Планирование расходов на оплату труда работников предприятия на материалах МУП 'Мухтоловпассажиравтотранс'

  • Вид работы:
    Дипломная (ВКР)
  • Предмет:
    Эктеория
  • Язык:
    Русский
    ,
    Формат файла:
    MS Word
    180,3 Кб
  • Опубликовано:
    2014-07-20
Вы можете узнать стоимость помощи в написании студенческой работы.
Помощь в написании работы, которую точно примут!

Планирование расходов на оплату труда работников предприятия на материалах МУП 'Мухтоловпассажиравтотранс'

Автономная некоммерческая образовательная организация высшего образования Центросоюза Российской Федерации

Российский университет кооперации

Арзамасский филиал

Кафедра экономики кооперации и предпринимательства

Специальность: Экономика и управление на предприятии (торговля и общественное питание)

Форма обучения: очная



ВЫПУСКНАЯ КВАЛИФИКАЦИОННАЯ РАБОТА

Тема:

Планирование расходов на оплату труда работников предприятия на материалах МУП «Мухтоловпассажиравтотранс»



Сазоновой Натальи Сергеевны

Студентки 5 курса

Научный руководитель

Рыпина О.Л., ст. преп.





ЗАДАНИЕ

По выпускной квалификационной работе

Специалиста Сазоновой Натальи Сергеевны

. Тема работы «Планирование расходов на оплату труда работников предприятия»

Утверждена приказом по Арзамасскому филиалу от 17 февраля 2014 г. №04-04/10-с

. Срок сдачи законченной работы 31 мая 2014 г.

. Исходные данные к работе: учебники, учебные пособия, монографическая литература по экономическим дисциплинам, статистические данные предприятия.

. Содержание пояснительной записки (перечень подлежащих разработке вопросов)

. Теоретические аспекты организации оплаты труда на предприятиях.

. Анализ и планирование оплаты труда работников МУП «Мухтоловпассажиравтотранс».

. Совершенствование системы оплаты труда на МУП «Мухтоловпассажиравтотранс».

Календарный план выполнения ВКР

Наименование разделов и этапов выполнения ВКР

Сроки выполнения этапов работы

Примечания

1. Подбор и предварительное знакомство с литературой

18.02.2014 г.


2. Составление плана работы и согласование его с руководителем

18.02.2014 г.


3. Поэтапное написание текста ВКР



3.1 Глава 1

февраль 2014 г.


3.2 Глава 2

март 2014 г.


3.3 Глава 3

апрель 2014 г.


3.4 Введение, заключение

30 апреля 2014 г.


4. Представление чернового варианта работы руководителю

30.04.2014 г.


5. Доработка ВКР в соответствии с замечаниями руководителя

05.05.2014 г.


6. Проверка законченной ВКР на заимствование текстов с использованием системы «Антиплагиат»

12.05.2014 г.


7. Получение отзыва научного руководителя, печать титульного листа. Передача работы на рецензирование

23.05.2014 г.


Утверждение ВКР о допуске к защите заместителем директора Арзамасского филиала

31.05.2014 г.


8. Получение рецензии. Передача завершенной работы с отзывом и рецензией в учебно-методический отдел

05.06.2014 г.


9. Подготовка к защите (подготовка доклада, компьютерной презентации, раздаточного материала)

06.06.2014 г.-14.06.2014 г.


10. Защита ВКР

16.06.2014 г.




СОДЕРЖАНИЕ

ВВЕДЕНИЕ

ГЛАВА 1. ТЕОРЕТИЧЕСКИЕ АСПЕКТЫ ОРГАНИЗАЦИИ ОПЛАТЫ ТРУДА НА ПРЕДПРИЯТИЯХ

.1 Социально-экономическая сущность оплаты труда

.2 Формы и системы оплаты труда

.3 Методика анализа и планирования оплаты труда работников предприятия

ГЛАВА 2. АНАЛИЗ И ПЛАНИРОВАНИЕ ОПЛАТЫ ТРУДА РАБОТНИКОВ МУП «Мухтоловпассажиравтотранс»

.1 Организационно - экономическая характеристика деятельности МУП «Мухтоловпассажиравтотранс»

.2 Анализ использования труда и его эффективности

.3 Анализ расходов на оплату труда работников предприятия

ГЛАВА 3. СОВЕРШЕНСТВОВАНИЕ СИСТЕМЫ ОПЛАТЫ ТРУДА НА МУП «Мухтоловпассажиравтотранс» НА 2014 ГОД

.1 Пути совершенствования системы оплаты труда на предприятии

.2 Планирование фонда заработной платы МУП «Мухтоловпассажиравтотранс» на 2014 год

.3 Экономический эффект от предложенных мероприятий

ЗАКЛЮЧЕНИЕ

СПИСОК ИСПОЛЬЗОВАННЫХ ИСТОЧНИКОВ

ПРИЛОЖЕНИЯ


ВВЕДЕНИЕ

Актуальность темы. В настоящее время заработная плата служит важнейшим стимулирующим фактором для качественной работы персонала предприятия. Заработная плата есть элемент дохода наемного работника, форма экономической реализации права собственности на принадлежащий ему ресурс труда.

Планирование средств на оплату труда является важнейшим элементом механизма стимулирования труда работников. Размер денежных средств, направляемых на оплату труда, определяет уровень заработной платы работников, который, таким образом, формирует интерес к работе и ее результатам.

Оплата труда представляет собой одну из сложных и противоречивых экономических категорий. Ее сложность определяется многофакторной зависимостью размера оплаты труда от условий его осуществления. Противоречивость вытекает из-за столкновения интересов субъектов рыночных отношений. В первую очередь речь идет о работнике и работодателе. Один из них озабочен уровнем своего благосостояния, который определяется заработной платой. Второй же, заинтересован в снижении уровня своих издержек. Хотя и при увеличении расходов на оплату труда, работники будут больше стимулированы в своем труде и, следовательно, работодатель может получить больше прибыли, которая покроет все его расходы.

Объектом исследования в данной работе является Муниципальное унитарное предприятие «Мухтоловпассажиравтотранс».

Предмет исследования - расходы на оплату труда работников предприятия.

Цель работы - исследовать технологию планирования средств на оплату труда работников МУП «Мухтоловпасажиравтотранс».

В процессе достижения поставленной цели решаются следующие задачи:

.   Рассмотреть социально-экономическую сущность оплаты труда;

2.      Исследовать существующие формы и системы оплаты труда;

.        Представить методику анализа и планирования оплаты труда работников предприятия;

.        Дать организационно-экономическую характеристику деятельности МУП «Мухтоловпассажиравтотранс»;

.        Выполнить анализ использования труда и его эффективности;

.        Выполнить анализ расходов на оплату труда работников МУП «Мухтоловпассажиравтотранс»;

.        Разработать пути совершенствования системы оплаты труда на автотранспортном предприятии;

.        Запланировать фонд оплаты труда в МУП «Мухтоловпасажиравтотранс»;

.        Рассчитать экономический эффект от предложенных мероприятий.

Практическую основу выпускной квалификационной работы составляют первичные документы, финансовая отчетность исследуемого предприятия за 2012-2013 годы.

Степень изученности проблемы. Изучением данной проблемы занимаются как зарубежные, так и отечественные экономисты. Большой вклад в разработку внесли Арзуманова Т.И., Раицкий К.А., Скляревская В.А., Носков Я.С, Клищ Н.Д. и другие.

Практическая значимость работы заключается в том, что проведенные исследования могут быть использованы работниками экономической службы автотранспортного предприятия при планировании фонда оплаты труда, а также могут и использоваться мероприятия, которые были разработаны специально дня данного предприятия. Структура ВКР. Работа содержит 88 листов, включает 14 таблиц, 1 рисунок и состоит из введения, трех глав, заключения и девяти приложений. Библиографический список использованной литературы включает 50 источников.

ГЛАВА 1. ТЕОРЕТИЧЕСКИЕ АСПЕКТЫ ОРГАНИЗАЦИИ ОПЛАТЫ ТРУДА НА ПРЕДПРИЯТИЯХ

1.1    Социально-экономическая сущность оплаты труда

Оплата труда (заработная плата) - это основная часть средств, направляемых на потребление, представляющая собой долю дохода, зависящую от конечных результатов и распределяющуюся между работниками в соответствии с количеством и качеством затраченного труда, реальным трудовым вкладом каждого и размером вложенного капитала. [31, с. 6]

Большую часть доходов потребителей составляет заработная плата. Поэтому она оказывает определяющее влияние на величину спроса потребительских товаров и уровень их цен. В экономической теории существует две основные концепции определения сущности заработной платы:

)   Заработная плата есть цена за труд, ее величина и динамика формируются под воздействием рыночных факторов и в первую очередь спроса и предложения;

2)      Заработная плата - это денежное выражение стоимости товара, «рабочая сила» или «превращаемая форма стоимости товара в рабочую силу». Ее величина определяется условиями производства и рыночными факторами - спросом и предложением. Под влиянием, которых происходит отклонение заработной платы от стоимости рабочей силы. [12, с. 240]

Первая концепция была разработана А. Смитом и Д. Рикардо. А. Смит считал что, труд вступает в качество товара и имеет естественную цену, то есть «естественную заработную плату».

Вторая концепция была разработана К. Марксом. В основу он заложил положение о разграничении понятий «труд» и «рабочая сила» и обосновал, что труд не может быть товаром и не имеет стоимости.

Сущность заработной платы проявляется в ее функциях. Для рыночной экономики основными функциями заработной платы являются:

)   Воспроизводственная функция. Является одной из основных функций заработной платы, она обеспечивает работнику объем потребления материальных благ и услуг на уровне, достаточном для нормального воспроизводства рабочей силы и повышения интеллектуального потенциала в соответствии с изменяющимися техническими и социальными факторами производства.

2)      Стимулирующая функция. Побуждать работника к трудовой активности, повышению эффективности труда. Этой цели служит установление размера заработков в зависимости от достигнутых работником результатов труда. Реализация этой функции осуществляется руководством предприятия через конкретные системы оплаты труда.

)        Регулирующая функция. Играет роль баланса интересов работников и работодателей. Она выступает регулятором спроса на продукцию и услуги предприятия, а также на рабочую силу на рынке труда. Основа реализации регулирующей функции заключается в дифференциации оплаты труда по группам работников, по приоритетности деятельности или другим признакам.

)        Социальная функция. Социальная функция не должна противоречить воспроизводственной и стимулирующей. Смысл ее заключается в том, чтобы не допускать необоснованного, с точки зрения воспроизводства персонала, снижения заработной платы тех категорий работников, спрос на которые ниже, чем на рынке труда. [31, с. 34]

Таким образом, заработная плата многофункциональна. Все присущие ей функции только в совокупности позволяют правильно понять сущность заработной платы.

В настоящее время организация оплаты труда строится на соблюдении следующих принципов.

. Повышение реальной заработной платы по мере роста эффективности производства и труда. Этот принцип связан с действием объективного экономического закона возвышения потребностей, согласно которому более полное их удовлетворение реально лишь при расширении возможностей получить за свой труд большее количество материальных благ и услуг. Но такая возможность должна быть увязана с результатами производственной деятельности, с эффективностью труда.

. Обеспечение опережающих темпов роста производительности труда над темпами роста средней заработной платы. Сущность этого принципа - максимизация трудовых доходов на основе развития и повышения эффективности производства. Нарушение данного принципа ведет к выплате необеспеченных товарами денег, к инфляции, развитию застойных явлений в экономике страны.

. Дифференциация заработной платы в зависимости от трудового вклада работника в результаты деятельности предприятия, содержания и условий труда, района расположения, его отраслевой принадлежности. Данный принцип основан на необходимости усиления материальной заинтересованности работников в квалификации своего труда, обеспечении высокого качества продукции.

. Равная оплата за равный труд. В условиях рынка рассматриваемый принцип следует понимать как недопущение дискриминации в оплате труда по полу, возрасту, национальной принадлежности, соблюдение принципа справедливости в распределении внутри предприятия, предполагающего адекватную оценку одинакового труда через его оплату.

. Учет воздействия рынка труда. На рынке труда представлен диапазон заработной платы как в государственных и частных компаниях, так и в неорганизованном секторе, где рабочая сила не охвачена профсоюзами, и плата за труд полностью определяется администрацией. Рынок труда - это область, где, в конечном счете, формируется оценка видов труда.

. Простота, логичность и доступность форм и систем оплаты труда. Этот принцип обеспечивает широкую информированность о сущности систем оплаты труда. Стимул становится таковым лишь в том случае, когда у работника есть о нем понятная и подробная информация.

В социально-экономической жизни общества заработная плата выполняет важную роль. В качестве личного дохода служит основным материальным источником жизнеобеспечения работников и их семей и в качестве совокупного платежного спроса - одним из факторов поддержания и развития производства. В условиях рыночной экономики на величину заработной платы влияет ряд рыночных и нерыночных факторов. В результате чего складывается определенный уровень оплаты труда.

К нерыночным факторам относятся:

1) Спрос и предложение. Здесь все зависит от востребованности той или иной профессии на рынке труда или отдельном предприятии. Если в какой-то сфере производства наблюдается экономический рост, работающие в ней будут получать больше. Соответственно, если упадок, то меньше.

2)      Квалификация. Естественно, что человек с более высоким уровнем мастерства получает больше. Так же на этот фактор влияет и образование.

)        Возраст. Считается, что наиболее заинтересованы в росте заработной платы люди возрастом от 24 до 45 лет. Они готовы тратить максимум сил и времени на работу. Поэтому наниматели отдают предпочтение именно им.

)        Пол. Как не странно, но это тоже важно. Считается, что у женщин на первом месте семья и дети. А потом уже работа. Следовательно, она не может отдавать максимум сил производству.

)        Форма оплаты труда. Повременная и сдельная оплаты не всегда эффективны. Более предпочтительны те формы, где оценивается труд конкретного человека, его вклад в дело, ответственность и инициатива.

)        Стимулирование труда. Чем лучше человек работает, тем больше платят. Имеются в виду различные премии, бонусы, поощрения. Естественно рабочие максимально отдаются работе, ведь это их деньги.

Как видите, факторы формирования заработной платы разнообразны, хотя и не все можно брать во внимание при поиске работы. Самое главное это желание хорошо зарабатывать и упорство в достижении этой цели.

К основным рыночным факторам, влияющими на заработную плату, относят:

) Изменения спроса и предложения на рынке товаров и услуг, при производстве которых используется данный труд. Снижение спроса на рынке товаров и услуг ведет к сокращению объемов выпуска, а следовательно к падению спроса на используемый ресурс и наоборот;

) Полезность ресурса для предпринимателя (соотношение величины предельного дохода от использования фактора труда и предельных издержек на этот фактор). Характеризует соотношение величины предельного дохода от использования фактора труда и предельных издержек на этот фактор;

) Эластичность спроса на труд.

Повышение цены ресурса, увеличение издержек предпринимателя ведут к снижению спроса на труд, а следовательно условий найма. В то же время эластичность спроса на труд по цене не всегда одинакова и зависит от характера динамики предельного дохода, доли затрат на ресурс в издержках, от эластичности спроса на товары;

) Взаимозаменяемость ресурсов. Возможности работодателя снизить издержки на труд при неизменной технической базе ограничены. Основные возможности снижения издержек на труд связаны с сокращением переменной части заработка, однако в качестве сдерживающего фактора выступают условия коллективных трудовых договоров;

) Изменение цен на потребительские товары и услуги. Рост цен на товары и услуги, вызывает повышение стоимости жизни, то есть увеличение воспроизводственного минимума в структуре ставки заработной платы. [19, с. 230]

Выделяют три метода регулирования оплаты труда: государственный, договорный и локальный. [31, с. 27]

Государственное (централизованное) регулирование осуществляется с помощью установления принципов оплаты труда и государственных гарантий оплаты труда. Согласно ст. 23 Всеобщей декларации прав человека: «каждый человек без какой-либо дискриминации имеет право на равную оплату за равный труд и на справедливое и удовлетворительное вознаграждение, обеспечивающее достойное человека существование для него самого и его семьи. Вознаграждение выплачивается в таких размерах, чтобы обеспечить достойное человека существование». Конституция РФ в ст.37 закрепляет право каждого на вознаграждение за труд, без какой бы то ни было дискриминации и не ниже установленного законом минимального размера.

Государство также в централизованном порядке устанавливает меры по защите заработной платы:

)   ст. 136 ТК РФ определяет периодичность выплаты заработной платы - не реже чем через каждые полмесяца;

2)      ст. 137 и 138 ТК РФ устанавливают ограничения удержаний из заработной платы: при ликвидации юридического лица, несостоятельности индивидуального предпринимателя расчеты по выплате выходных пособий и оплате труда производится во вторую очередь после требований по выплатам за причинение вреда жизни и здоровью;

)        ст. 236 ТК РФ устанавливает ответственность работодателей за задержку выплаты заработной платы;

)        глава 57 ТК РФ регламентирует осуществление государственного надзора и контроля за соблюдением законодательства о труде, в том числе о заработной плате.

Договорное регулирование оплаты труда. Сочетание централизованного и договорного регулирования трудовых отношений, в том числе вопросов оплаты труда, а также социальное партнерство, включающее право на участие работников, работодателей, их объединений в договорном регулировании трудовых и иных непосредственно связанных с ними отношений, относятся к числу основных принципов трудового права (ст. 2 ТК РФ).

В ст. 9 ТК РФ подчеркивается, что регулирование трудовых и иных непосредственно связанных с ними отношений может осуществляться путем заключения, изменения, дополнения работниками и работодателями коллективных договоров, соглашений, трудовых договоров.

Договорное регулирование предполагает учет особенностей и специфики организации производства и труда. На уровне организации решаются вопросы о формах, системах и размерах оплаты труда, мерах поощрения, компенсациях и доплатах, устанавливается механизм регулирования оплаты труда с учетом роста цен и уровня инфляции. Отмечается, что этот метод в настоящее время является ведущий.

Локальное регулирование оплаты труда. В соответствии со ст. 135 ТК РФ заработная плата работнику устанавливается трудовым договором в соответствии с действующими у данного работодателя системами оплаты труда. На практике системы оплаты труда закрепляются в коллективных договорах в качестве самостоятельного раздела либо в качестве приложения положения об оплате труда, положения о премировании, положения о выплате вознаграждения по итогам работы организации за год и др. Работодатель принимает локальные нормативные акты, содержащие нормы трудового права, в пределах своей компетенции в соответствии с законами и иными нормативными правовыми актами, коллективным договором, соглашениями. Учитывая данное положение, к локальным актам в настоящее время относятся все нормативные акты организации, принимаемые работодателем.

Закрепляя право на оплату труда, государство устанавливает и определенные гарантии для реализации этого права. В систему основных государственных гарантий по оплате труда работников, в соответствии со ст.130 ТК РФ, включаются:

величина минимального размера оплаты труда в Российской Федерации;

меры, обеспечивающие повышение уровня реального содержания заработной платы;

ограничение перечня оснований и размеров удержаний из заработной платы по распоряжению работодателя, а также размеров налогообложения доходов от заработной платы;

ограничение оплаты труда в натуральной форме;

обеспечение получения работником заработной платы в случае прекращения деятельности работодателя и его неплатежеспособности в соответствии с федеральными законами;

федеральный государственный надзор за соблюдением трудового законодательства и иных нормативных правовых актов, содержащих нормы трудового права, включающий в себя проведение проверок полноты и своевременности выплаты заработной платы и реализации государственных гарантий по оплате труда;

ответственность работодателей за нарушение требований, установленных Трудовым кодексом РФ, законами, иными нормативными правовыми актами, коллективными договорами, соглашениями;

сроки и очередность выплаты заработной платы.

Оплата труда представляет собой основную часть средств, направляемых на потребление, и представляющую собой долю дохода, зависящую от конечных результатов и распределяющуюся между работниками в соответствии с количеством и качеством затраченного труда, реальным трудовым вкладом каждого и размером вложенного капитала. Ее сущность проявляется в следующих функциях: воспроизводственной, стимулирующей, регулирующей и социальной. На нее также оказывают значительное влияние рыночные и нерыночные факторы. Регулирования оплаты труда производится на основе трех методов: государственный, договорный и локальный.

1.2 Формы и системы оплаты труда

Формы и системы оплаты труда призваны обеспечить учет в заработной плате количественных и качественных результатов труда, создавать у работников материальную заинтересованность в улучшении непосредственных результатов своей работы и общих итогов деятельности предприятия.

Система оплаты труда - это определенная взаимосвязь между показателями, характеризующими меру труда и меру его оплаты в пределах и сверх норм труда, гарантирующая получение работником заработной платы в соответствии с фактически достигнутыми результатами труда (относительно нормы) и согласованной между работником и работодателем ценой его рабочей силы. [39, с. 238]

На практике в основном используются две формы оплаты труда- это сдельная, при которой заработок зависит от количества произведенных единиц продукции с учетом качества, сложности и условий труда и повременная, при которой заработная плата зависит от количества затраченного времени (но не календарного, а нормативного, которое предусматривается тарифной системой) с учетом квалификации работника и условий труда. Вместе с тем как раньше больше всего превалировала оплата по сдельным системам, то сейчас на предприятиях все больше используется повременная оплата (окладные системы). [39, с. 239]

Формы и системы оплаты труда представлены на рисунке 1.

При повременной (тарифной) оплате труда заработок работника определяется исходя из фактически отработанного им времени и тарифной ставки (оклада). Тарифная система оплаты труда - это совокупность нормативов, позволяющих дифференцировать заработную плату работников различных категорий. Она включает: тарифную ставку, тарифную сетку, тарифные коэффициенты и тарифно-квалификационные справочники, квалификационный разряд. [20, c. 177]

Рисунок 1 - Формы и системы оплаты труда

Под тарифной ставкой понимается фиксированный размер вознаграждения за труд определенной сложности, произведенный в единицу времени (час, день, месяц).

Тарифная сетка - шкала разрядов, которая определяет через тарифный коэффициент соотношение оплаты труда каждого разряда к 1-му разряду. Коэффициентом 1-го разряда служит единица, а другие показывают, во сколько раз оплата труда рабочего определенного разряда выше оплаты рабочего 1-го разряда.

Тарифно-квалификационные справочники - нормативные документы, предназначенный для тарификации работ, присвоения квалификационных разрядов рабочим, а также для составления программ по подготовке и повышению квалификации рабочих в системе профессионально-технического образования и непосредственно на производстве.

Тарификация работ должна производиться в соответствии с их сложностью без учета условий труда. В необходимых случаях условия труда (тяжесть, вредность и др.) подлежат учету путем установления доплат к тарифным ставкам (окладам) на основе их оценки на рабочих местах в соответствии с перечнями работ по степени тяжести и вредности, утверждаемыми соответствующими органами.

Тарификация работы - отнесение видов труда к тарифным разрядам или квалификационным категориям в зависимости от сложности труда.

Квалификационный разряд - величина, отражающая уровень профессиональной подготовки работника.

Повременная форма оплаты труда применяется при невозможности или нецелесообразности установления количественных параметров труда. При этой форме оплаты труда работник получает заработную плату в зависимости от количества отработанного времени и уровня его квалификации. Различают следующие разновидности повременной формы оплаты труда: простая повременная, повременно-премиальная, окладная, контрактная.

Заработная плата при простой повременной системе начисляется по тарифной ставке работника данного разряда за фактически отработанное время. Может устанавливаться часовая, дневная, месячная тарифная ставка.

Заработная плата работника за месяц (Зпм) при установленной часовой тарифной ставке работника данного разряда (Тч) определяется по формуле:

Зп.м. = Тч ×Чф, (1)

Где, Чф - фактически отработанное количество часов в месяце.

При повременно-премиальной оплате труда вместе с заработной платой могут начисляться премии. Премии могут устанавливаться как в твердых суммах, так и в процентах от оклада.

Заработная плата при повременно-премиальной оплате труда рассчитывается так же, как и при простой повременной оплате труда.

Сумма премии прибавляется к заработной плате работника и выплачивается вместе с заработной платой.

Заработок при повременно-премиальной системе ( определяется по формуле:

 (2)

Где, Ч - количество отработанного времени данным работником, час.;

П - установленный % премии согласно премированному положению.

Некоторые организации применяют почасоую и поденную системы оплаты труда как разновидности повременной формы. В этом случае заработок работника определяют путем умножения часовой (дневной) ставки оплаты труда на число фактически отработанных часов (дней).

При окладной системе оплата труда производится не по тарифным ставкам, а по установленным месячным должностным окладам. Система должностных окладов используется для руководителей, специалистов и служащих. Должностной месячный оклад - абсолютный размер заработной платы, устанавливаемый в соответствии с занимаемой должностью. Окладная система оплаты труда может предусматривать элементы премирования за количественные и качественные показатели. Заработок по окладной системе () рассчитывается по формуле:

 (3)

Где, О - размер оклада работника согласно штатному расписанию, руб.;

 - количество рабочих дней в месяце;

 - фактически отработано дней работником.

Переменная часть заработной платы включает такие элементы, как доплаты и надбавки. По своей природе они близки именно к этой части заработной платы, но по периодичности отличаются от должностного оклада или тарифной ставки. Каждый элемент заработной платы выполняет свои функции. Доплаты и надбавки связаны, как правило, с особыми условиями работы. Они носят относительно стабильный характер и персонифицированы, т. е. установлены для конкретного человека.

Ряд доплат и надбавок являются обязательными для предприятий всех форм собственности. Их выплата гарантирована государством и установлена Трудовым кодексом РФ. Другие доплаты и надбавки применяются в отдельных сферах приложения труда. В большинстве случаев эти доплаты также обязательны, однако об их конкретных размерах договариваются непосредственно на самом предприятии.

По характеру выплат доплаты и надбавки делятся на компенсационные и стимулирующие. [39, c. 264]

В настоящее время применяется около 50 видов наиболее распространенных доплат и надбавок компенсационного характера. К ним относятся доплаты:

за работу в вечернее и ночное время;

за сверхурочную работу;

за работу в выходные и праздничные дни;

за разъездной характер работы;

несовершеннолетним работникам в связи с сокращением их рабочего дня;

рабочим, выполняющим работы, уровень которых ниже присвоенного им тарифного разряда;

при невыполнении норм выработки и изготовлении бракованной продукции не по вине работника;

до среднего заработка в условиях, предусмотренных законодательством;

рабочим в связи с отклонениями от нормальных условий исполнения работы;

за работу по графику с разделением дня на части перерывами не менее 2 ч;

за многосменный режим работы;

за работу сверх нормативной продолжительности рабочего времени в период массовой приемки и закладки на хранение сельскохозяйственной продукции и др.

К обязательным относятся доплаты и надбавки за вредные, тяжелые и опасные условия труда.

К стимулирующим доплатам и надбавкам относят оплату:

за высокую квалификацию (специалистам);

за профессиональное мастерство (рабочим);

за работу с меньшей численностью работников;

за совмещение профессий (должностей);

за расширение зон обслуживания или увеличение объема выполняемых работ;

за выполнение обязанностей отсутствующего работника;

бригадирам из числа рабочих, не освобожденных от основной работы;

за ведение делопроизводства и бухгалтерского учета;

за обслуживание вычислительной техники и др. [39, c. 237]

Минимальный размер компенсационных доплат и надбавок гарантируется государством и обязателен для применения. Доплаты и надбавки стимулирующего характера устанавливаются по усмотрению руководства предприятия, и их размеры определяются предприятием самостоятельно. При определении размера доплат и надбавок стимулирующего характера учитываются конкретные условия работы.

Размер доплат и надбавок чаще всего определяется в процентах, т.е. относительно должностного оклада или тарифной ставки за отработанное время. Однако предприятие может устанавливать их и в абсолютной сумме, либо в равном размере для всех работников, либо дифференцированно. Размеры доплат и надбавок должны корректироваться при изменениях окладов или ставок с учетом инфляции.

Таким образом, особенности работы отражаются в доплатах и надбавках, чей перечень предприятие устанавливает самостоятельно, не нарушая гарантии государства по их компенсационным видам. Доплаты и надбавки могут устанавливаться в процентах к постоянной части заработной платы или в абсолютной сумме.

Премия - это поощрение работника за труд выше ожидаемого результата. [29, с. 267]

В условиях рыночной экономики работодатель самостоятельно устанавливает систему премирования.

Система премирования включает:

виды премирования;

размеры поощрения;

круг премируемых работников;

периодичность премирования;

источники выплаты премий.

Существуют различные виды премирования, в том числе:

) Текущее (системное) премирование. Оно обычно выплачивается по итогам работы за месяц при выполнении основных показателей деятельности предприятия.

) Эпизодическое премирование

) Специальное премирование. К нему относится поощрение за сохранность тары, за изобретательскую и рационализаторскую деятельность. [39, c. 268]

Контрактная система - является разновидностью бестарифной системы оплаты труда, предполагает заключение договора (контракта) на определенный срок между работодателем и исполнителем. Основное преимущество контрактной системы - четкое распределение прав и обязанностей, как работника, так и руководства предприятия. Эта система достаточно эффективна в условиях рынка. Контракты могут заключаться с руководителями, специалистами, а также с рабочими. [39, c. 242]

Повременная форма оплаты труда, как правило, применяется при оплате труда руководящего персонала организации, работников вспомогательных и обслуживающих производств, а также лиц, работающих по совместительству.

Сдельная форма оплаты труда применяется, когда есть возможность учитывать количественные показатели результата труда и корректировать его путем установления норм выработки, нормы времени, нормированного производственного задания.

Организация сдельной оплаты труда предусматривает соблюдение следующих условий:

) Наличие научно-обоснованных норм затрат труда и правильную тарификацию работ в соответствии с требованиями тарифно-квалификационных справочников;

) Выработка продукции должна быть решающим показателем работы сдельщика, а её уровень должен непосредственно зависеть от самого работника. Иначе говоря, отдельный работник или их группа могли бы реально обеспечивать соответствующий уровень производительности своего труда;

) Создание на рабочих местах всех необходимых условий для эффективной работы;

) Без надлежащего учёта результатов работы и фактически отработанного времени не может быть эффективной сдельной оплаты потому, что любые отклонения в правильности учета приведут к искусственному завышению объёма выполненной работы или уровню выполнения норм.

При сдельной системе оплаты труда работников оплата осуществляется по сдельным расценкам в соответствии с количеством произведенной продукции. Основой сдельной оплаты труда является сдельная расценка за единицу продукции, работ, услуг, которая определяется по формуле:

(4)

Где, Тч - часовая тарифная ставка выполняемой работы;

Т - норма выработки на изготовление одного изделия, час.;

Рсд. - сдельная расценка, руб./шт.

Сдельная расценка, а соответственно и сдельная форма оплаты труда, может быть индивидуальной и коллективной.

В зависимости от способа подсчета заработка при сдельной оплате различают несколько систем оплаты труда.

Прямая сдельная система оплаты труда - это когда труд работников оплачивается по сдельным расценкам непосредственно за количество произведенной продукции (операций). [10, с. 35]

Индивидуальная сдельная расценка за единицу продукции или работы определяется следующим образом:

ЗсдсдВ, (5)

Где, Зсд - сдельный заработок;

В - количество произведенной продукции работником.

Она может применяться там, где увеличение выпуска продукции зависит в основном от рабочего, где труд исполнителя нормируется, где на первый план выдвигается необходимость расширения производства продукции и услуг. Эта система недостаточно стимулирует работника повышать качество продукции, экономно расходовать производственные ресурсы.

Сдельно-премиальная - когда оплата труда включает премирование за перевыполнение норм выработки, достижение определенных качественных показателей: сдачу работ с первого предъявления, отсутствие брака, рекламации, экономии материалов. Она служит основой мотивации работников в улучшении как количественных, так и качественных результатов труда.

При сдельно-премиальной оплате труда работающему сверх заработка по прямым сдельным расценкам выплачивается премия за выполнении и перевыполнение заранее установленных количественных и качественных показателей работы:

Зсд.пр = Зсдпр или Зсд. пр. = Зсд  (1+) , (6)

Где, Зсд.пр - сдельный заработок при сдельно-премиальной оплате труда;

Зпр - премия за выполнение (перевыполнение) установленных показателей;

П - процент премии за выполнение показателей премирования.

В положении о премировании персонала устанавливают размеры премий и условий поощрения, при соблюдении которых премия выплачивается или снижается, если выявлены конкретные упущения в работе.

Сдельно-прогрессивная оплата труда предусматривает начисление заработной платы следующим образом:

за объём работы в пределах трудовой нормы - по стабильной расценке;

за объём работы, превышающий нормы выработки - по повышенным расценкам.

Применение сдельно-прогрессивной оплаты труда эффективно в тех случаях, когда требуется стимулировать быстрый рост объёма работы (продукции, оборота, услуг), например, на новом предприятии или на новом рынке. Однако при перевыполнении норм труда, здесь может быть утрачена обоснованная связь роста заработной платы с ростом производительности труда. Расчет заработка при сдельной системе оплаты труда осуществляется по документам о выработке.

Расчет заработка при сдельно-прогрессивной системе рассчитывается по формуле:

Зсд.прог. = Nн.  (7)

Где, Зсд.прог. - сдельный заработок при сдельно-прогрессивной оплате труда;

Nн. - продукция, изготавливаемая по установленной норме;

 - общий фактический выпуск продукции за отчетный период;

 - повышенная сдельная расценка, руб.

Косвенно-сдельная применяется для оплаты труда вспомогательных рабочих (наладчиков, комплектовщиков и др.). Размер их заработка определяется в процентах от заработка основных рабочих, труд которых они обслуживают:

При косвенно-сдельной оплате расценка определяется исходя из тарифной ставки нормируемого объекта основных работ, которых обслуживает косвенный сдельщик:

  (8)

Где, Рк - косвенная сдельная расценка, руб.;

Тс - тарифная ставка, руб.;- нормируемый объем основных работ косвенного работника, которых обслуживает косвенный сдельщик.

Эта система мотивирует заинтересованность работника в улучшении обслуживания производственных процессов, рациональном использовании ресурсов и т.д.

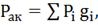
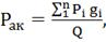
Аккордная система - это когда совокупный заработок определяют за выполнение тех или иных стадий работы или за полный комплекс выполняемых работ. [23, c. 137]

Эту систему оплаты труда целесообразно применять в условиях срочного выполнения всего комплекса (объёма) работ (аварийные случаи, освоение новой продукции), влияющих на ход производственного процесса других производственных звеньев. Стоимость всей работы определяется исходя из действующих норм и расценки на отдельные элементы работы путём их суммирования.

Разновидностью аккордной формы является оплата труда работников, которые не состоят в штате предприятия и выполняют работы по заключенным договорам гражданско-правового характера. Аккордная оплата труда стимулирует выполнение всего комплекса работ с меньшей численностью работающих и в более короткие сроки.

Аккордные сдельные расценки определяются при индивидуальной форме оплате труда по формуле:

 (9)

При коллективной форме труда по формуле:

 (10)

Где, Рак - аккордная сдельная расценка, руб.;i - расценка i-го вида работ, руб.;i - объем i-го вида работ в натуральных измерителях;- общий объем работ по конечному результату, в натуральных измерителях.

Сумма аккордного заработка определяется по формуле:

Зак =  (11)

За сокращение сроков выполнения аккордного задания при качественном выполнении работ рабочим выплачивается премия. Тогда система будет называться аккордно-премиальной.

В зависимости от принятой на производственном участке системы учета результатов труда (по отдельным рабочим местам или бригады в целом) применяют две разновидности сдельной формы оплаты труда:

индивидуальную

бригадную (коллективную).

При прямой индивидуальной сдельной системе оплате рабочий получает зарплату за всю выполненную работу в течение определенного периода (день, неделя, месяц) по установленным расценкам. Такая оплата труда применяется на тех работах, где труд работника подлежит точному учёту, при этом учитывается количество изготовленной работником годной продукции. [10, с. 47]

Бригадная (коллективная) сдельная система оплаты труда применяется в условиях, когда производственный процесс осуществляется первичным трудовым коллективом (бригадой), где имеет место совмещение профессий и взаимозависимость исполнителей, когда затруднен учет индивидуальной выработки каждого члена бригады. В этом случае устанавливают коллективные сдельные расценки на все виды работ. Общий заработок бригады распределяется между членами бригады в соответствии с присвоенными им разрядами и отработанным каждым работником временем. Бригадная сдельная система оплаты труда не учитывает фактическую выработку каждого члена бригады и может привести к уравниванию.

.3 Методика анализа и планирования оплаты труда работников предприятия

Переход к рыночной экономике существенным образом трансформировал подход к регулированию средств, расходуемых предприятием на формирование личных доходов работников. Поскольку заработная плата является денежным эквивалентом, получаемым работником в обмен на свою деятельность на предприятии, или ценой его рабочей силы, то для каждого конкретного работодателя издержки на оплату труда его работников представляют большую часть общих издержек на производство продукции, которые работодатель должен возместить в процессе ее реализации на рынке товаров и услуг. [17, с. 85]

Издержки работодателя на рабочую силу определяются в основном количеством работающих по найму, условиями оплаты их труда, предусмотренными законодательством, коллективным договором, тарифными соглашениями, индивидуальными трудовыми договорами (контрактами), эффективностью труда работающих по найму.

Основными задачами анализа эффективного использования трудовых ресурсов являются:

изучение и оценка обеспеченности предприятия и его структурных подразделений трудовыми ресурсами в целом, а также по категориям и профессиям;

определение и изучение показателей текучести кадров;

выявление резервов трудовых ресурсов, более полного и эффективного их использования. [6, с. 54]

При проведении комплексного анализа использования трудовых ресурсов рассматривают следующие показатели:

обеспеченность предприятия трудовыми ресурсами;

определение факторов и количественное изменение их влияния на изменение трудовых показателей

характеристика движения рабочей силы;

использование фонда рабочего времени;

производительность труда;

анализ показателей по труду;

анализ фонда заработной платы;

анализ эффективности использования фонда заработной платы. [6, с. 67]

Существуют различные мнения о показателях, характеризующих эффективность использования трудовых ресурсов. Одно из них заключается в том, что из всех показателей эффективности использования

трудовых ресурсов наиболее обобщающим является производительность труда. Это весьма важный и емкий показатель в экономике вообще. Производительность труда является также одним из важнейших показателей экономической эффективности. Производительность труда - это выработка продукции на одного работающего в единицу времени или затраты труда на производство единицы продукции.

Повышение производительности труда и эффективность использования трудовых ресурсов оказывают непосредственное влияние на рост объема промышленного производства и реализации производимой продукции.

Задачами анализа производительности труда являются:

) Оценка достигнутого уровня производительности труда работников;

) Дать оценку выполнения плана по производительности труда;

) Выявить факторы и определить размер их влияния на производительность труда;

) Определить резервы роста производительности труда.

Для оценки эффективности использования трудовых ресурсов важное значение имеет анализ соотношения темпов роста производительности труда и средней заработной платы.

Если темпы роста производительности труда отстают от роста средней заработной платы, то при прочих равных условиях прибыль организации имеет тенденцию к сокращению.

Также предприятию необходимо исследовать расходы на оплату труда и оценить целесообразность этих затрат, выявить возможности их экономии.

Анализ расходов на оплату труда предполагает оценку формирования и использования фонда оплаты труда на предприятии. Основными его этапами являются:

Этап 1. Выполняется анализ общего объема, динамики фонда оплаты труда. При этом оценивается общий объем фонда оплаты труда, анализируется абсолютное и относительное изменение его размера с предыдущим периодом.

Этап 2. Вторым важным этапом анализа является исследование структуры фонда оплаты труда. На этом этапе определяют объемы и удельный вес в составе общего объема фонда оплаты труда и основной заработной платы, дополнительной заработной платы, других поощрительных и компенсационных выплат.

Анализ состава поощрительных и компенсационных выплат позволяет выяснить, какую форму поощрения за счет прибыли считать наиболее действенной - премии и другие денежные выплаты, оплату акций предприятия или участие в его выкупе, оказания социальных и трудовых льгот в не денежной форме

Этап 3. Анализ уровня и динамики средней заработной платы выполняется в целом и по категориям трудовых ресурсов. На этом этапе вычисляют уровень средней заработной платы на предприятии и по отдельным категориям трудовых ресурсов, определяют изменения этих показателей по сравнению с предыдущим периодом.

Этап 4. На четвертом этапе осуществляется анализ факторов, обусловившие изменение объема фонда оплаты труда.

Важнейшими факторами, влияние которых оценивается количественно, являются:

среднесписочной численности работников предприятия;

производительность труда;

уровня средней заработной платы;

среднего количества дней, отработанных одним работником;

продолжительности рабочей смены;

Таким образом, перечень оцениваемых факторов, может быть значительно расширен вследствие использования различных методов анализа.

При анализе систем оплаты труда необходимо установить, какие из них и каким образом влияют на конечные результаты деятельности предприятия в целом, как усилить воздействие на конкурентоспособность продукции, какие меры осуществлять по повышению реальной заработной платы. [14, с. 197]

Планирование средств на оплату труда является важнейшим элементом механизма стимулирования труда работников предприятия. Размер средств, направляемых на оплату труда, определяет уровень заработной платы работников, который в свою очередь формирует интерес к работе и ее результатам.

Планирование расходов по оплате труда может осуществляться различными методами, такими как укрупненный, по средней заработной плате и нормативный. [18, с. 414]

Цель планирования средств на оплату труда - это определение оптимального размера фонда заработной платы исходя из планируемых результатов хозяйственной деятельности предприятия. [41, c. 227]

Плановая величина расходов на оплату труда должна обеспечить решение следующих задач:

воспроизводство рабочей силы;

создание стимулов для повышения количества и качества труда в плановом периоде;

обеспечение роста средней заработной платы и качества жизни работников предприятия;

обеспечение рационального соотношения в оплате труда работников различных категорий;

сокращение текучести кадров. [30, c. 321]

ГЛАВА 2. АНАЛИЗ И ПЛАНИРОВАНИЕ ОПЛАТЫ ТРУДА РАБОТНИКОВ МУП «МУХТОЛОВПАССАЖИРАВТОТРАНС»

.1 Организационно - экономическая характеристика деятельности МУП «Мухтоловпассажиравтотранс»

МУП «Мухтоловпассажиравтотранс» было зарегистрировано 9 ноября 2010 года. Оно создано в соответствии с Гражданским кодексом РФ, Федеральным законом «О государственных и муниципальных предприятиях» от 14.11.2002 г. №161-ФЗ, Федеральным законом «Об общих принципах организации местного самоуправления в Российской Федерации» №131-ФЗ от 06.10.2003 г., Уставом Ардатовского муниципального района Нижегородской области.

Полное фирменное наименование предприятия: Муниципальное унитарное предприятие «Мухтоловский пассажирский автомобильный транспорт».

Сокращенное наименование предприятия:

МУП «Мухтоловпассажиравтотранс».

Местонахождения предприятия (Юридический адрес): 607150, Нижегородская область, Ардатовский район, р. п. Мухтолово, ул. Вокзальная, д. 19.

Учредителем предприятия является администрация Ардатовского муниципального района Нижегородской области.

Предприятие является юридическим лицом, имеет самостоятельный баланс, круглую печать со своим полным наименованием и указанием на местонахождение, имеет обособленное имущество на праве хозяйственного ведения, приобретает и осуществляет имущественные и личные неимущественные права, несет ответственность. Предприятие вправе в установленном порядке открывать банковские счета на территории Российской Федерации. Иметь штампы и бланки.

Имущество предприятия находится в муниципальной собственности муниципального образования Ардатовского района Нижегородской области. Имущество предприятия является неделимым и не может быть распределено по вкладам (долям, паям), в том числе между работниками предприятия (см. Приложение 1). Уставный капитал предприятия составляет 1350 тыс. руб. (Один миллион триста пятьдесят тысяч) рублей.

Подвижной состав предприятия находящийся на балансе представлен в Приложении 2.

Предприятие создано в целях оказания услуг автомобильным транспортом, направленных на удовлетворение потребностей физических и юридических лиц в перевозке пассажиров и грузов, обеспечения устойчивого и бесперебойного функционирования движения автотранспорта, получение прибыли и реализации на пассажирском автомобильном транспорте экономической, финансовой и социальной политики, проводимой органами местного самоуправления Ардатовского муниципального района Нижегородской области.

Согласно Уставу (см. Приложение 3), предприятие осуществляет следующие виды деятельности:

организация, координация транспортного процесса и перевозка пассажиров, багажа и грузов транспортом общего пользования на городских, пригородных и междугородних маршрутах;

оказание автотранспортных услуг юридическим и физическим лицам по договорам фрахтования;

сервисное обслуживание пассажиров, оказание услуг по предварительной и текущей продаже билетов;

оказание услуг по управлению движением автобусов через диспетчерские пункты, автостанции и автовокзалы, оказание справочно-информационных услуг;

контроль за соблюдением Правил перевозки пассажиров и багажа, а также других правил и положений, регламентирующих использование подвижного состава автомобильного транспорта общего пользования;

проведение мероприятий по обеспечению всестороннего и полного учета выполняемых объемов работ, сбора денежной выручки, расходования автомобильного топлива;

осуществление деятельности по техническому обслуживанию и ремонту автотранспортных средств, включая закупку деталей и запчастей к автомобильной технике. Гаражного и иного оборудования, необходимого для функционирования автотранспортных средств, основных производственных фондов и территории в соответствии с действующими нормами и правилами;

оказание услуг по проведению предрейсового и послерейсового медицинского осмотра водителей автотранспортных средств, в том числе посторонним организациям и частным перевозчикам, оказание экстренной медицинской помощи;

оказание услуг грузового автотранспорта в соответствии с заключенными договорами, обеспечение своевременной доставки и сохранности грузов;

осуществление обязательного страхования пассажиров на междугородних маршрутах;

разработка и реализация систем обеспечения автомобильных перевозок и взаимодействие со всеми видами транспорта.

Предприятие не вправе осуществлять деятельность, не предусмотренную настоящим Уставом.

Материально-техническая база предприятия представляет собой совокупность зданий, сооружений, технологического и энергетического оборудования, транспортных средств, инструментальной оснастки, организационных и вычислительных средств, с помощью которых происходит процесс воспроизводства в рамках основных, вспомогательных, обслуживающих и управленческих звеньев предприятия. [40, c. 293]

В таблице приведены основные экономические показатели работы МУП «Мухтоловпассажиравтотранс» за 2012-2013 гг. (см. Приложение 4).

Таблица 1

Основные экономические показатели работы МУП «Мухтоловпассажиравтотранс» за 2012-2013 гг.

Показатели

2012 г.

2013 г.

Изменение, (+/ -)

Темп прироста,%

1. Выручка от реализации услуг, тыс. руб.

22615

17129

- 5486

- 24,3

2. Себестоимость продаж, тыс. руб.

29292

21732

-7560

-25,8

2.Прибыль от продаж, тыс. руб.

6677

4603

-2074

-31,1

3.Валовая прибыль, тыс. руб.

6677

4603

-2074

-31,1

4. Прочие доходы, тыс. руб.

2487

2673

+186

+7,48

5. Прочие расходы, тыс. руб.

679

468

-211

- 31

6. Чистая прибыль (убыток), тыс. руб.

4869

2434

-2435

-50


По данным таблицы 1 можно сделать вывод о том, что выручка от реализации услуг снизилась в 2013 году на 5486 тыс. руб. или на 24,3%. Прибыль от продаж тоже подверглась снижению на 31,1%. Себестоимость продаж в 2013 году по сравнению с 2012 снизилась на 7560 тыс. руб., но, несмотря на это, выручка предприятия все же понизилась. Также понизилась и прибыль от продаж на 2074 тыс. руб. или на 31,1%. В 2013 году наблюдается увеличение прочих доходов на 186 тыс. руб. (7,48%), а прочие же расходы наоборот уменьшились на 211 тыс. руб. (31%). Следовательно, чистая прибыль по предприятию подверглась снижению и составила в 2013 году 2434 тыс. руб. Она снизилась на 2435 тыс. руб. (50%).

В МУП «Мухтоловпассажиравтотранс» присутствует линейная организационная структура управления (см. Приложение 5).

.2 Анализ использования труда и его эффективности

Трудовые ресурсы - часть населения страны, которая по физическому развитию, приобретенному образованию, профессионально-квалификационному уровню способна заниматься общественно полезной деятельностью [5, с. 132].

Показатели по труду используются при анализе хозяйственной деятельности предприятия и планировании. Ряд показателей по труду используют для планирования решений мотивационного характера (показатели, связанные с оплатой труда).

Целью анализа трудовых показателей является определение основных направлений экономической работы по выявлению резервов экономии труда, заработной платы и возможностей дополнительного выпуска продукции (работ, услуг), нового ассортимента изделий за счет роста производительности труда. [38, c. 354]

При этом обычно анализируют такие показатели, как обеспеченность персоналом, качественный состав работающих, движение персонала, использование рабочего времени, использование фонда заработной платы, производительность труда. Все показатели были взяты из формы Т-2. Пример этой формы представлен в Приложении 6.

Проведем анализ обеспеченности предприятия персоналом в таблице 2.

Таблица 2

Обеспеченность МУП «Мухтоловпассажиравтотранс» трудовыми ресурсами в 2012-2013 гг.

Категории работников

2012 г.

2013 г.

Отклонение


чел.

%

чел.

%

Относительное отклонение, чел.

Темп прироста,%

1. Рабочие

58

63

53

61

- 5

- 8,6

2.Служащие, в том числе:

34

37

34

39

0

0

- специалисты - руководители

31 3

33,6 3,26

31 3

35,6 3,45

0 0

0 0

Всего:

92

100,00

87

100,00

-5

- 5,4


В 2013 году относительное отклонение по всему персоналу оказалось в размере 5 человек, в общем, из них 5 - это рабочие. Численность руководителей и специалистов осталась без изменения как в 2012 ,так и в 2013 году.

Таким образом, на анализируемом предприятии наблюдается «дефицит» рабочей силы. На предприятии, согласно штатному расписанию (см. Приложение 7) необходимая численность работников должна составлять 108 человек.

Это свидетельствует о снижении производительности труда и не эффективном использовании трудовых ресурсов, что говорит о пересмотре предприятием установок по численности и составу персонала, тем не менее, придется отметить неэффективное использование трудовых ресурсов.

Качественная характеристика трудового потенциала направлена на оценку:

физического и психологического потенциала работников предприятия (способность и склонность работника к труду - состояние здоровья, физического развития, выносливости и т.п.);

объема общих и специальных знаний, трудовых навыков и умений, обусловливающих способность к труду определенного качества;

качество членов коллектива как субъектов хозяйственной деятельности (ответственность, сознательная зрелость, интерес, сопричастность к экономической деятельности предприятия и т.п.)

Проведем анализ состава персонала по половозрастному составу, образованию и стажу работы.

Анализ состава персонала МУП «Мухтоловпассажиравтотранс» по половозрастному составу за 2012-2013 гг. представлен в таблице 3.

Согласно таблице 3 в МУП «Мухтоловпассажиравтотранс» численность работников в возрасте до 18 лет в 2013 году по сравнению с 2012 годом изменилась и составила 1 человек, лица женского пола в таком интервале отсутствуют.

Таблица 3

Анализ персонала МУП «Мухтоловпассажиравтотранс» по половозрастному составу за 2012-2013 гг.

Показатель

2012 г.

2013 г.

Отклонение, (+/-)

Динамика,%

1

2

3

4

5

Всего, чел.

92

87

-5

94,6

в том числе:





До 18 лет:

2

1

-1

50

- мужчины

2

1

-1

50

- женщины

-

-

-

-

18-25 лет:

8

6

-2

75

- мужчины

8

6

-2

75

- женщины

-

-

-

-

26-36 лет:

32

28

-4

87,5

- мужчины

30

26

-4

87

1

2

3

4

5

- женщины

2

2

0

100

37-50 лет:

41

37

-4

90,2

- мужчины

36

33

-3

91,7

- женщины

5

4

-1

80

Старше 50 лет:

9

15

+6

166,7

- мужчины

7

12

+5

171,4

- женщины

2

3

+1

150


Численность работников в возрасте от 18 до 25 лет в 2013 году по сравнению с 2012 годом снизилась с8 человек до 6 человек или на 2 человека (25%), и все эти работники лица мужского пола. Численность работников в возрасте от 26 до 36 лет в 2013 году по сравнению с 2012 годом снизилась на 4 человека или на 12,5%, снижение произошло по мужскому полу. Следует отметить снижение численности работников в возрасте от 37 до 50 лет снизилась на 4 человека (а именно снижение по мужскому полу составил 3 человека, по женскому - 1 человек) или на 9,8%. Так численность работников в возрасте старше 50 увеличилась за анализируемый период соответственно на 6 человек (или 66,7%), из них 5 мужчин и 1 женщина.

Таким образом, в МУП «Мухтоловпассажиравтотранс» увеличивается численность персонала старше 50 лет, а также идет большая нехватка молодого персонала.

Рассмотрим трудовой потенциал работников по образованию в таблице 4.

Таблица 4

Трудовой потенциал МУП «Мухтоловпассажиравтотранс» по образованию за 2012-2013 гг.

Показатель

2012 г.

2013 г.

Отклонение, (+/-)

Динамика, %

Всего, чел.

92

87

-5

94,6

в том числе:





- неполное среднее

17

19

+2

111,8

- среднее

25

24

-1

96

- среднее специальное

32

28

-4

87,5

- незаконченное высшее

8

8

0

100

- высшее

10

8

-2

80


В 2013 г. в МУП «Мухтоловпассажиравтотранс» произошло увеличение работников с неполным средним образованием на 2 человека (11,8%). Численность работающих со средним образованием снизилась на 1 человека или на 4% по сравнению с 2012 годом. Среднее специальное образование в 2013 году имели 28 человек, незаконченное высшее - 8 человек, высшее - 8 человек. Численность работающих с высшим образованием снизилась в 2013 году по сравнению с 2012 годом на 20%. Одной из причин роста численности работающих с неполным средним образование говорит о том, что предприятие просто не просто нуждается в рабочей силе.

Проведем распределение работников по стажу работы на предприятии и отразим данные в таблице 5.

расход заработный плата труд

Таблица 5

Распределение работников МУП «Мухтоловпассажиравтотранс» по стажу работы за 2012-2013 гг.

Показатели

2012 г.

2013 г.

Отклонение, (+/-)

Динамика, %

Численность, чел.

92

87

-5

94,6

Стаж работы:





До 1 года

6

4

-2

66,7

От 1-3 лет

9

10

+1

111

От 3-5 лет

13

15

+2

115,4

От 5-10

21

21

0

100

Свыше 10 лет

43

37

-6

86


Согласно таблице 5, стаж работы в коллективе МУП «Мухтоловпассажиравтотранс» у большинства сотрудников свыше 10 лет, в 2013 году это число составило 37 работников. Однако, есть и те, кто работает менее 1 года, их в 2013 году составило 4 человека, что говорит о текучести кадров на предприятии.

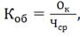
Движение рабочей силы на предприятии, связанное с приемом и увольнением работников, является важным объектом для анализа, поскольку уровень стабильности кадров - один из факторов, оказывающих влияние на производительность труда и эффективность производства. [24, c. 45]

Движение рабочей силы ведется на основе следующих показателей:

)   Коэффициент оборота кадров по приему:

 % (12)

 - число принятых работников, чел.;

 - среднесписочная численность работников, чел.

)   Коэффициент общего оборота:

% (13)

Где,  - оборот кадров, чел.

)   Коэффициент текучести кадров:

% (14)

Где,  - Число работников, уволенных по причинам, относящимся к текучести кадров, чел.

)   Коэффициент оборота по выбытию:

 % (15)

Где,  - число выбывших работников, чел.

)   коэффициент восполнения рабочей силы:

 , (16)

Движение рабочей силы представлено в таблице.

Таблица 6

Движение рабочей силы на МУП «Мухтоловпассажиравтотранс» за 2012-2013 гг.

Показатели

2012 г

2013 г

Отклонения, (+/-)

Темп прироста,%

1

2

3

4

5

1. Среднесписочная численность, чел.

92

87

- 5

- 5,4

2. Принято на работу, чел.

9

7

- 2

- 22,2

3. Выбыло с предприятия, в том числе:

18

10

- 8

- 44,4

3.1 на учебу

4

2

- 2

- 50

3.2 в вооруженные силы

2

0

- 2

0

3.3 на пенсию

3

- 2

- 40

3.4 по собственному желанию

5

4

- 1

- 20

3.5 по инициативе администрации

2

1

- 1

- 50

4. Оборот кадров, чел. (п.2 +п.3)

27

17

- 10

- 37

Коэффициенты:





- коэффициент общего оборота, %

17,4

13,8

- 3,6

- 20,7

- коэффициент оборота кадров по приему, %

9,78

8,05

- 1,73

- 17,7

- коэффициент текучести кадров,

7,61

5,75

- 1,86

- 26,8

- коэффициент оборота по выбытию,%

19,57

11,5

- 8,07

- 41,2

- коэффициент восполнения рабочей силы, %

0,5 < 1

0,3 < 1

- 0,2

- 40


Из анализа движения рабочей силы видно, что по предприятию все коэффициенты снизились в 2013 году по сравнению с 2012 годом. Коэффициент общего оборота рабочей силы снизился на 3,6% в 2013. Также снизился процент принятых работников на 1,73% по отношению к 2012 году. Как положительный фактор можно отметить то, что в отчетном году наблюдалось снижение коэффициента текучести кадров на 1,86% по сравнению с 2012 годом, это могло произойти за счет улучшения трудовой дисциплины и уменьшения количества увольнений по собственному желанию. Коэффициент восполнения работников в 2013 году получился равным 0,3 и он уменьшился на 0,2%. В нашем случае в 2013 году, как и в 2012 этот показатель получился меньше единицы и это свидетельствует о том, что сокращаются рабочие места. Наибольшую отрицательную оценку получил коэффициент оборота по выбытию, он уменьшился на 8,07%, а наименьшую - коэффициент восполнения рабочей силы, уменьшение которого произошло на 0,2%. В целях снижения коэффициента оборота рабочей силы по выбытию на 8,07% в 2013 году говорит о том, что необходимо обратить внимание на организацию труда в цехе, на условия труда и оплаты работников.

Полноту использования трудовых ресурсов можно оценить по количеству отработанных дней и часов одним рабочим за анализируемый период времени, а также по степени использования фонда рабочего времени.

Для определения фонда рабочего времени рассчитывается баланс рабочего времени одного рабочего.

Он включает в себя:

) Календарный фонд - общее количество дней в году с полной продолжительностью рабочего дня.

) Номинальный фонд - количество рабочих дней в году без выходных и праздничных. Он определяется разницей между количеством календарных и нерабочих (выходных и праздничных).

) Реальный фонд - количество дней в году с учетом невыходов.

Норма рабочего для всех работающих определяется по календарю, из расчета шестидневной рабочей недели, продолжительностью 40 часов. [8, c. 220]. Баланс рабочего времени представлен в таблице 7.

Таблица 7

Баланс рабочего времени на МУП «Мухтоловпасажиравтотранс за 2012-2013 гг.

Показатели

2012

2013

Изменение


В расчете на 1 рабочего

(+/-)

%

1. Календарный фонд рабочего времени, в том числе, дни: - праздничные и выходные дни

365 101

365 101

0 0

0 0

- номинальный фонд рабочего времени, дни

264

264

0

0

3. Неявки на работу, в том числе, дни: - ежегодные отпуска; - болезни; - прогулы; - прочие неявки

89 34 16 21 18

76 30 21 15 10

-13 -4 +5 -6 -8

85,4 88 131 71,4 55,5

4.Явочный (реальный) фонд рабочего времени, дни

175

188

+13

107,4

5.Среднесписочная численность рабочих, в том числе: - рабочие; - специалисты; - руководители

92 58 31 3

87 53 31 3

-5 -5 0 0

94,6 91,4 0 0

6. Бюджет рабочего времени, час. ( п.4 × п.7)

1400

1504

+104

107,4

7. Продолжительность рабочего дня, час.

8

8

0

100

8. Отработано одним работником, чел./дней,

197

214

+17

108,6

9. Внутрисменные простои, час.

0

0

0

0

10. Предпраздничные сокращенные дни, час.

8

8

0

100

11. Полезный фонд рабочего времени, час. (п.6 - п.10 - п.9)

1392

1496

+104

107,5

12. Фонд рабочего времени, час. (п. 5× п.8× п.7)

144992

148944

+3952

102,7


Как видно из таблицы 7, произошло увеличение явочного фонда рабочего времени на 7,4%, что свидетельствует о снижение общего количества неявок на 14,6% в 2013 году по сравнению с 2012. Возросло число отработанных дней в 2013 году на 17 дней или на 8,6%. Бюджет рабочего времени вырос в 2013 году на 7,4%. Фонд рабочего времени в 2013 году увеличился по сравнению с 2012 годом на 3952 часов или на 2,7%. В целом все это является положительной стороной для предприятия.

Проведем факторный анализ фонда рабочего времени.

Фонд рабочего времени (ФРВ) зависит от численности рабочих (ЧР), количества отработанных дней одним рабочим в среднем за год (Д) и средней продолжительности рабочего дня (П):

ФРВ = ЧР× Д×П, (17)

На анализируемом предприятии фактический фонд рабочего времени больше прошлого года на 3952 часа. Влияние факторов на его изменение можно установить способом абсолютных разниц:

)   Изменение за счет среднесписочной численности работников:

∆ФРВчр. = (ЧР1 - ЧР0) ×Д0×П0 = (87- 92) ×197×8 = - 7880 часов

Таким образом, за счет среднесписочной численности работников ФРВ уменьшился на 7880 часов.

)   За счет отработанного времени 1 работником:

∆ФРВ д. = (Д 1 - Д 0) ×ЧР1×П0 = (214-197) ×87×8 = +11832 часа.

Таким образом, за отработанные дни одним работником ФРВ увеличился на 11832 часа

) За счет продолжительности рабочего дня:

∆ФРВп. = (П1 - П 0) ×Д 1×ЧР1 == 0 часов - на ФРВ это не повлияло

Всего + 3952 часа.

Производительность труда является одним из важнейших качественных показателей работы предприятия, выражением эффективности затрат труда.

Уровень производительности труда характеризуется соотношением объема произведенной продукции или выполненных работ и затрат рабочего времени. От уровня производительности труда зависят темпы развития промышленного производства, увеличение заработной платы и доходов, размеры снижения себестоимости продукции. Повышение производительности труда путем механизации и автоматизации труда, внедрения новой техники и технологии практически не имеет границ. Поэтому целью анализа производительности труда является выявление возможностей дальнейшего увеличения выпуска продукции за счет роста производительности труда, более рационального использования работающих и их рабочего времени.

Производительность труда характеризует эффективность, результативность затрат труда и определяется количеством продукции, произведенной в единицу рабочего времени, либо затратами труда на единицу произведенной продукции или выполненных работ. Эффективность использования трудовых ресурсов в МУП «Мухтоловпассажиравтотранс» выражается в изменении производительности труда.

Уровень производительности труда характеризуется выработкой продукции (работ, услуг) в единицу времени:

Вр. = , (18)

Где, Вр. - выработка продукции в единицу времени;

В - выручка от реализации, руб.;

С - среднесписочная численность работников (или рабочих).

Для определения уровня выработки услуг МУП «Мухтоловпассажиравтотранс» на одного работающего, составим таблицу, где произведем факторный анализ производительности труда.

Таким образом, факторная модель для анализа производительности труда на предприятии будет иметь вид:

Пт = Уд ×Д×П×ЧВ, (19)

Где, Уд - удельный вес рабочих в общей численности персонала;

Д - количество отработанных дней одним рабочим за год;

П - продолжительность рабочего дня в часах;

ЧВ - часовая производительность труда

Исходные данные для факторного анализа производительности труда представлены в таблице 8.

На основе данных таблицы 8, проведем факторный анализ производительности труда.

Таблица 8

Исходные данные для факторного анализа производительности труда работников МУП «Мухтоловпассажиравтотранс» за 2012-2013 гг.

Показатели

2012 г. (0)

2013 г. (1)

Отклонение, (+, -)

1

2

3

4

1. Выручка от реализации, тыс. руб.

22615

17129

- 5486

2.Численность работающих, чел.

92

87

-5

3.Удельный вес рабочих, %

63

61

-2

4.Годовая выработка одного работника, тыс. руб. (п.1: п.2)

245,8

196,9

-48,9

5.Количество отработанных дней

197

214

3

6.Продолжительность рабочего дня, ч.

8

8

0

7.Часовая производительность труда рабочего, тыс. руб. (п.4: п.3: п.5: п.6)

0,25

0,19

-0,06


)   Изменение за счет удельного веса рабочих:

∆Пт уд. = Уд 1×Д0×П0×ЧВ0=(-2×197×8×0,25)×0,01=-7,88 тыс. руб.

За счет снижения удельного веса рабочих, производительность труда снизилась на 7,88 тыс. руб.

)   Изменение за счет количества отработанных дней:

∆Пт д. = Уд 0×Д1×П0×ЧВ0=(63×3×8×0,25)×0,01=3,78 тыс. руб.

За счет увеличения количества отработанных дней, производительность труда увеличилась на 3,78 тыс. руб.

)   Изменение за счет часовой производительности труда:

∆Птчв. = Уд0×Д0×П0×ЧВ1=(63×197×8×-0,06)×0,01=-59,6 тыс. руб.

За счет снижения часовой производительности труда произошло уменьшение производительности труда на 59,6 тыс. руб.

Влияние всех факторов на производительности труда в 2013 году составило:

,88 +3,78 - 59,6 = -55,5 (тыс. руб.)

Факторный анализ производительности труда показывает, что доля рабочих на протяжении периода уменьшалась. Что привело к значительному снижению производительности труда в 2013году на 7,88 тыс. руб. Также увеличение числа отработанных дней увеличило производительность труда в 2013 году по сравнению с 2012 годом на 3,78 тыс. руб. И, однако, снижение часовой производительность труда уменьшило ее в 2013 году на 59,6тыс. руб.

Таким образом, положительное влияние на рост производительности труда в 2013 году оказал лишь один фактор, это увеличение числа отработанных дней в году.

Резервы роста производительности труда - это возможность более полного использования производительной силы труда, всех факторов повышения его производительности за счет совершенствования техники, технологии, улучшения организации производства, труда и управления.

Резервы тесно связаны с факторами роста производительности труда. Если тот или иной фактор рассматривать как возможность, то использование связанного с ним резерва - это процесс превращения возможности в действительность. [8, c. 134]

Для МУП «Мухтоловпассажиравтотранс» к числу резервов производительности труда необходимо отнести:

. Резервы экстенсивного роста производительности труда:

снижение трудоемкости изготовления продукции (работ, услуг);

рациональное использование рабочего времени и совершенствование структуры кадров;

улучшение использования оборудования и других технических средств во времени;

привлечение финансовых средств (кредит, акционирование и т.д.).

. Резервы интенсивного роста производительности труда:

снижение затрат труда на единицу продукции (работ, услуг);

снижение расходов на материалы и энергию;

улучшение использования техники по транспортной мощности;

экономное расходование и выгодное вложение финансовых средств.

2.3 Анализ расходов на оплату труда работников МУП «Мухтоловпассажиравтотранс»

Труд работников оплачивается на основании Положения об оплате труда и премировании руководителей, специалистов и служащих муниципального унитарного предприятия «Мухтоловпассажиравтотранс» (см. Приложение 8).

Размер заработной платы каждому работнику устанавливается в зависимости от квалификации, сложности и условий выполнения работ.

На предприятии действуют следующие системы оплаты труда: окладная и повременно-премиальная системы.

В МУП «Мухтоловпассажиравтотранс» действуют доплаты и надбавки стимулирующего характера: компенсация сверхурочных работ, оплата работы в ночное время, доплата за праздничные дни, доплата за совмещение, доплата за работу на "сторону" и т.п. (см. Приложение 8).

Основным источником выплат заработной платы всем категориям работающих является фонд оплаты труда или фонд заработной платы. Одной из основных статей издержек обращения являются расходы на оплату труда персонала. Фонд оплаты труда - это сумма заработной платы всех работников предприятия с учетом их количественного и качественного труда, а также удержаний на социальное страхование и НДФЛ [12, с. 156]. Фонд заработной платы должен быть обоснованным и достаточным для нормального функционирования предприятия.

Излишек фонда оплаты труда ложится на себестоимость продукции, сокращает прибыль, снижает рентабельность. В то же время недостаток фонда, особенно в период инфляции, вызывает относительное снижение заработной платы, может привести к увеличению текучести кадров, дестабилизации коллектива и даже к социальным конфликтам, плоть до забастовок. Проведем анализ фонда оплаты труда и оформим его в таблице.

Таблица 9

Анализ фонда оплаты труда на МУП «Мухтоловпассажиравтотранс» за 2012-2013 гг.

Показатели

2012 г.

2013 г.

Отклонение, (+/-)

Темп роста, %

1

2

3

4

5

6

7

8

Единицы измерения

сумма, тыс. руб.

уд. вес %

сумма, тыс. руб.

уд. вес %

сумма, тыс. руб.

уд. вес %

%

Фонд оплаты труда, всего В том числе:

11493,4

100

10717

100

-776,4

0

93,2

-выплаты по тарифным ставкам, окладам и сдельным расценкам

3800

33,1

3730

34,8

-70

+1,7

98,2

Доплаты, надбавки к тарифным ставкам, окладам

250

2,2

169

1,6

-81

-0,6

67,6

-Выплаты стимул. характера

198

1,7

200

1,9

+2

+0,2

101

- выплаты компенсирующего характера

187

1,63

160

1,5

-27

-0,13

85,6

- премии по текущему премированию

1780

15,49

1500

14

-280

-1,49

84,3

- премии за выполнение особо важных работ

1240

10,79

1200

11,2

-40

+0,41

96,8

- материальная помощь

890

7,7

850

7,9

-40

-0,2

95,5

- оплата отпусков

440

3,83

390

3,64

-50

-0,19

88.6

- надбавки за стаж

1800

15,7

1700

15,9

-100

+0,2

94,4

- прочие выплаты

908,4

7,9

818

7,6

-90,4

-0,3

90,05


Согласно таблице 9, фонд оплаты труда в отчетном году сократился и составил 10717 тыс. руб. Основным элементом фонда оплаты труда, выплачиваемой в денежной форме являются выплаты по тарифным ставкам, окладам, сдельным расценкам, которые снизились в 2013 году на 1,8%.

В том числе практически по всем позициям произошло уменьшение, за исключением выплаты стимулирующего характера, которые увеличились на 1%. Наибольшее изменение в отрицательную сторону претерпели премии по текущему премированию на 280 тыс. руб. или же на 15,7%, наименьшее - выплаты компенсирующего характера на 27 тыс. руб. или на 14,4%.

Проведем факторный анализ фонда оплаты руда. На изменение фонда оплаты труда каждой категории персонала оказывает влияние изменения численности и средней заработной платы работающих. Данные оформим в виде таблицы.

Таблица 10

Исходные данные для факторного анализа фонда оплаты труда на МУП «Мухтоловпассажиравтотранс» за 2013 г.

Факторы

2012 г.(0)

2013 г. (1)

Изменение, (+/-)

Темп роста, %

1. Среднесписочная численность работников, чел.

92

87

- 5

94,6

2. Количество отработанных дней одним работником за год, дни

214

+17

108,7

3. Средня продолжительность рабочего дня, час.

8

8

0

100

4. Фонд оплаты труда, руб.

11493400

10717000

-776400

93,2

5. Среднегодовая зарплата 1 работника, руб. (п.4:п.1)

124928

123184

-1700

98,6

6. Среднедневная зарплата 1 работника, руб. (п.5:п.2.)

634

575,7

-58,3

91

7. Среднечасовая зарплата 1 работника, руб.

79,3

72

-7,3

91


Для факторного анализа по ФОТ используем следующие модели:

ФОТ = ЧР× ГЗП , (20)

ФОТ = ЧР × Д × ДЗП , (21)

ФОТ = ЧР × Д ×П× ЧЗП , (22)

Где, ЧР - среднесписочная численность работников;

Д - количество отработанных дней одним работником за год;

П - средняя продолжительность рабочего дня;

ГЗП - среднегодовая зарплата одного работника;

ДЗП - среднедневная зарплата одного работника;

ЧЗП - среднечасовая зарплата одного работника.

Расчет влияния факторов на фонд оплаты труда по данной модели можно произвести способом абсолютных разниц:  1) Изменение фонда оплаты труда за счет среднесписочной численности работников:

∆ФЗПчр = (ЧР1- ЧР0) × Д0× П0× ЧЗП0 = - 5×197×8×79,3= -624884 руб.

) Изменение за счет количества отработанных дней:

∆ФЗПд = ЧР0× (Д1- Д0) × П0 × ЧЗП0 = 92×17×8×79,3= 992202 руб.

) Изменение за счет средней продолжительности рабочего времени:

∆ФЗПчзп = ЧР1 × Д1× (П1- П0) × ЧЗП0 = 87×214×0×79,3= 0 руб.

) Изменение за счет среднечасовой заработной платы:

∆ФЗПчзп = ЧР0 × Д0 × П0 × (ЧЗП1 - ЧЗП0)=92×197×8×(72-79,3)= -

руб.

Итого: - 691124 руб.

Итак, по полученным расчетам в 2013 году также наблюдается понижение ФОТ на 776400 руб. Рассмотрим влияние каждого фактора на ФОТ:

наибольшее понижение ФЗП в 2013 году имеется за счет снижения среднечасового заработка, а значит и среднегодового на 1058442 руб., этот понижение является результатом понижения окладов в отчетном году;

однако уменьшение среднесписочной численности работников на 5 человек привело к понижению на - 624884 руб.

изменение за счет количества отработанных дней составило 992202 руб.

Проведем анализ динамики показателей по труду и оформим в таблице.

Таблица 11

Анализ динамики показателей по труду на МУП «Мухтоловпассажиравтотранс»

Показатели

Ед. изм.

2012 г.

2013 г.

Отклонение, (+/-)

Темп изменения, %

Выручка

тыс. руб.

22615

17129

- 5486

75,7

Численность работников, всего

чел.

92

87

- 5

94,6

Производительность труда

тыс. руб.

245,82

196,89

- 48,93

120

Фонд оплаты труда

Тыс. руб.

11493,4

10717

- 776,4

93,2

Среднегодовая заработная плата

тыс. руб.

124,9

123,2

- 1,7

98,6


Из таблицы 11 видно, что производительность труда в отчетном году снизилась на 20%, однако, это отчасти вызвано снижением численности работников. Численность работников в отчетном году также потерпела изменения. Общая численность уменьшилась на 5 человек и составила 87 человек. Темп роста составил 94,6%. ФОТ в отчетном году снизился на 776,4 тыс. руб. или на 6,8%. Это является положительным фактором для предприятия, так как происходит опережение темпов роста производительности труда (+20%) от роста средней заработной платы по (-1,4%) предприятию. Это в свою очередь говорит о положительной тенденции, что значит, происходит эффективное расходование ФОТ.

Главной задачей руководителей и специалистов МУП «Мухтоловпассажиравтотранс» состоит в грамотном стимулировании работников, тем самым используя вышеуказанные факторы. Таким образом, это позволит создать эффективный механизм формирования расходов на оплату труда. Важная роль в решении этой проблемы принадлежит планированию расходов на оплату труда.

В МУП «Мухтоловпассажиравтотранс» самостоятельно планируются расходы на оплату труда, а также и другие финансовые показатели из предусмотренных на то источников.

ГЛАВА 3. СОВЕРШЕНСТВОВАНИЕ СИСТЕМЫ ОПЛАТЫ ТРУДА НА МУП «МУХТОЛОВПАССАЖИРАВТОТРАНС» НА 2014 ГОД

.1 Пути совершенствования системы оплаты труда на предприятии

Возрастание роли материальной заинтересованности обусловлено тем, что в условиях рыночной экономики предприятия ищут более эффективные методы оплаты труда, дающие простор развитию личной материальной заинтересованности.

Систему материального стимулирования нужно ориентировать на квалификацию, а на уровень квалификации выполняемой работы. Под фактической квалификацией понимается не только способность работника выполнять свои обязанности, но и способность участвовать в разрешении производственных проблем, знать их и разбираться в любом аспекте хозяйственной деятельности своего предприятия.

Мотивация сотрудников являлась и является одним из важных вопросов для руководителей любого предприятия. Самым главным стимулом, конечно же, является материальная выгода.

Для повышения уровня мотивации персонала можно применить так называемый компенсационный пакет, состоящий из собственно заработной платы и предоставляемых сотрудникам социальных льгот (оплата страховки, питания, транспортных и других расходов). Причем как первая, так и вторая составляющие вознаграждения должны ежегодно пересматриваться, сравниваться с льготами, которые предлагают другие предприятия.

Можно применять следующие виды материальных стимулов:

индивидуальные разовые премии за особые заслуги;

пересмотр заработной платы по результатам оценки работы сотрудника за год;

корпоративная премия по итогам года (ее размер зависит от результатов работы предприятия, при этом при начислении вознаграждения к каждому сотруднику в соответствии с его рангом применяются различные коэффициенты);

социальный пакет.

Также рекомендуется применять систему премирования (за совмещение профессий и должностей, за сложность и своевременность выполняемой работы, за работу во вредных условиях труда, за работу в ночное время, за руководство бригадой, за профессиональное мастерство, персональная надбавка).

Эффективная система вознаграждения повышает производительность работников, направляет их деятельность в нужное для организации русло.

Необходимо стремиться, чтобы тарифы, а по возможности и вся заработная плата были бы скорректированы на рост цен если не 1:1, то в той пропорции, какую максимально позволяет спрос на продукцию предприятия при повышении им цен. Отставание темпов роста зарплаты от темпов роста цен ведет в первую очередь к сужению потребительского спроса и к дальнейшему снижению объемов производства, компенсация которого осуществляется за счет нового роста цен. Индексация заработной платы, по возможности максимально компенсирующая рост цен, позволяет сохранить стимулирующую роль заработной платы.

Первоочередными задачами совершенствования оплаты труда является установление оплаты труда на уровне, который обеспечивает нормальное воспроизводство рабочей силы, гарантирует собственнику получение определенного результата, ликвидирует сложившиеся диспропорции, обеспечивает социальную защищенность работника, полную самостоятельность администрации и трудовых коллективов в определении форм, систем и размеров оплаты труда.

Выполнение этих задач требует обоснования и установления на общегосударственном уровне минимальной заработной платы, дифференцированной по регионам и зонам России. Минимальный размер следует рассматривать как исходный для установления размеров оплаты труда работников соответствующего уровня квалификации.

В МУП «Мухтоловпассажиравтотранс» для того, чтобы рассматривать вопросы регулирования оплаты труда можно заключить коллективный договор с работниками.

В нем будут отражены обязательства сторон по следующим вопросам:- форма, система и размер оплаты труда, денежное вознаграждение, компенсации, льготы;

механизм регулирования оплаты труда исходя из роста цен, уровня инфляции, выполнения показателей определенных коллективным договором;

занятость, переобучение, условия высвобождения работников;

продолжительность рабочего времени и времени отдыха, отпусков;

улучшение условий и охраны труда работников, в том числе женщин и молодежи;

добровольное и обязательное медицинское страхование;

соблюдение интересов работников при приватизации предприятий, ведомственного жилья;

экономическая безопасность и охрана здоровья работников на производстве;

льготы для работников, совмещающих работу с обучением;

отказ от забастовок по условиям, включенным в данный коллективный договор, при своевременном и полном их выполнении.

Оплата труда работников оказывает воздействие на прибыль и конкурентоспособность предприятия. Именно поэтому, основная задача для МУП «Мухтоловпассажиравтотранс» состоит в том, чтобы разработать такую систему материального стимулирования, которая бы побудила трудовой коллектив на достижение высоких результатов в деятельности предприятия.

В условиях оплаты труда по окладам и тарифным ставкам, которые действуют в МУП «Мухтоловпассажиравтотранс» достаточно сложно избавиться от противоречий между интересами отдельного работника и всего коллектива. В качестве возможного варианта совершенствования организации и стимулирования труда рассмотрим гибкую систему оплаты труда. Введение данной системы необходимо в целях стимулирования материальной заинтересованности работников предприятия в конечном результате труда и, как следствие, увеличения доходности предприятия в целом. В данном случае размер тарифных ставок (окладов) устанавливают в текущем месяце по итогам работы за предыдущий месяц с учетом личного вклада каждого конкретного работника в результаты труда.

Критерии определяют зависимость заработка работников от результатов их работы, прибыли, полученной организацией, и суммы денежных средств, которая может быть направлена на выплату заработной платы. Таким образом, фактическая величина заработной платы каждого работника будет зависеть от ряда критериев:

уровня качество выполняемых работ;

сложности выполняемых работ;

коэффициента квалификационного уровня работника (ККР);

коэффициента трудового участия (КТУ);

фактически отработанного времени.

При такой системе для каждого работника в конце каждого месяца по результатам труда за расчетный месяц, необходимо с учетом указанных критериев устанавливать новый должностной оклад на следующий месяц. Для этого издается соответствующий приказ о размере оплаты труда за отчетный период. При оплате труда работников оценивается их вклад в конченые результаты структурного подразделения, где они работают.

МУП «Мухтоловпассажиравтотранс» является унитарным предприятием. Имущество предприятия находится в муниципальной собственности муниципального образования Ардатовского района Нижегородской области. Имущество предприятия является неделимым и не может быть распределено по вкладам (долям, паям), в том числе между работниками предприятия.

На предприятии с ноября 2014 года планируется установить на некоторую технику и оборудование, которое имеется в МУП «Мухтоловпассажиравтотранс» навигационную систему «ГЛОНАСС». Основные функции и возможности программного обеспечения спутниковой системы ГЛОНАСС для мониторинга транспорта:

Контроль в режиме реального времени местоположения транспорта или персон;

Просмотр истории перемещения транспортных средств;

Учет ГСМ (Контроль топлива);

Просмотр отчетов о работе транспортного средства;

Контроль и учет времени работы водителей;

Регистрация происходящих плановых и внеплановых событий по гео - зонам, маршрутам, точкам "POI";

Получение информации с датчиков о состоянии транспорта;

Ведение маршрутов и путевых листов;

Обмен текстовых сообщений с водителем;

Формирование отчетов в PDF формат для электронного документооборота;

Выгрузка данных для использования данных в других программах на предприятии (Например: Выгрузка в 1С);

Быстрый и интуитивно понятный интерфейс даже для неподготовленного оператора;

Гибкий и видоизменяемый интерфейс оператора/диспетчера;

Просмотр данных с видеокамер, установленных на транспорте и зданиях.

Внедрения данной навигационной системы позволит достичь управленческого, социального и коммерческого эффекта. Благодаря этой системе также будет уменьшен объем работы специалистов.

3.2 Планирование фонда заработной платы МУП «Мухтоловпассажиравтотранс на 2014 год

Заработная плата - это вознаграждение за труд в зависимости от квалификации работника, сложности, количества, качества и условий выполняемой работы, а также выплаты компенсационного и стимулирующего характера [15, с. 177].

Заработная плата и прежде всего ее размер, структура, распределение между различными категориями работающих является не только экономической, но и социальной категорией. Она является основным источником дохода работников предприятия и поэтому в значительной мере обуславливает уровень их благосостояния. Планирование средств на оплату труда является важнейшим элементом механизма стимулирования труда работников предприятия. Размер средств, направляемых на оплату труда, определяет уровень заработной платы работников, который, в свою очередь, формирует интерес к работе и ее результатам.

Главная цель планирования фонда оплаты труда сводится к определению необходимого размера фонда заработной платы исходя из планируемой результативности хозяйственной деятельности предприятия [8, с. 226].

В процессе достижения поставленной цели решаются следующие задачи:

выбор форм и систем оплаты труда, в наибольшей мере соответствующих стратегии и тактике развития предприятия;

определение величины расходов на оплату труда;

расчет величины чистой прибыли, направляемой на оплату труда;

расчет средней заработной платы работников предприятия;

определение и поддержание на запланированном уровне соотношения между заработной платой, производительностью и фондовооруженностью труда;

расчет налогов и отчислений, установленных в зависимости от величины фонда заработной платы;

обеспечение участия работников предприятия в капитале и прибыли, получаемой по итогам хозяйственной деятельности и т.д.

В конечном счете, механизм планирования оплаты труда должен обеспечить решение следующих задач:

воспроизводство рабочей силы;

создание стимулов для повышения количества и качества труда в плановом периоде;

обеспечение роста средней заработной платы и качества жизни работников предприятия;

обеспечение рационального соотношения в оплате труда работников различных категорий;

сокращение текучести кадров.

Предпосылками для планирования фонда оплаты труда являются:

) Планируемая численность работников МУП «Мухтоловпассажиравтотранс»;

) Материалы анализа фонда оплаты труда за 2012-2013 гг.;

) Положения по оплате труда и премирование по МУП «Мухтоловпассажиравтотранс», введенное с 1 января 2013 года;

Планирование средств на оплату труда предприятия производят самостоятельно. Для обоснованности этого процесса используют типовую методологию планирования.

Основные методы планирования фонда оплаты труда:

) По достигнутому уровню базового фонда оплаты труда. В данном случае плановый фонд оплаты труда (ФОТп) определяется на основе:

фонда оплаты труда базисного года, фактического или ожидаемого периода (ФОТб);

планируемого коэффициента роста объема производства (Коп);

планируемого сокращения (увеличения) численности работающих (Эч) и достигнутого в базисном периоде уровня средней заработной платы (ЗПсб):

ФОТп=ФОТб × К0п±Эч-ЗПСб, (23)

Недостаток этого метода планирования ФОТ состоит в том, что в плановый фонд оплаты труда переносятся все нерациональные выплаты заработной платы, имевшие место в базисном периоде и поэтому данный метод может применяться на стадиях предплановой работы для укрупненного расчета ФОТ. Для детальных плановых расчетов в силу присущих ему недостатков он не подходит, хотя широко применяется на практике.

) Планирование ФОТ на основе средней заработной платы. Метод состоит в определении планового фонда оплаты труда на основе плановой численности работающих по категориям и планируемой среднегодовой заработной платы одного работника данной категории. Данный метод более точен, так как основывается на плановых показателях. Хотя рассчитать среднюю зарплату в плановом периоде в условиях значительной инфляции очень сложно.

) Нормативный метод, помогающий избежать недостатков вышерассмотренных методов. Именно его применяет большинство фирм в странах с развитой рыночной экономикой.

МУП «Мухтоловпассажиравтотранс» высчитывает планированный фонд оплаты труда на основе этого метода, посредством средней заработной платы и среднесписочной численности работников.

Рассчитаем планируемый фонд оплаты труда МУП «Мухтоловпассажиравтотранс» на 2014 год. По плану необходимая численность работников должна быть 99 человек (см. Приложение 9). Средняя заработная плата за месяц составляет 10265 руб. (10710 за 2013 г./12×87). Плановый фонд заработной платы за месяц будет равен 10162 тыс. руб. (99×10265). Исходя из этого, планируемый фонд оплаты труда на будущий год составит 12194,8 тыс. руб. (10162 ×12 мес.), что на 1484,8 тыс. руб. больше чем в 2013 году.

.3 Экономический эффект от предложенных мероприятий

Несмотря на то, что в настоящее время происходит жесткая конкуренция автотранспортного предприятия с большим количеством частников, которые занимаются перевозками, МУП «Мухтоловпассажиравтотранс» продолжает свою деятельность. Для того чтобы предприятие развивалось и стало более конкурентоспособным, ему необходимо проведение ряда мероприятий.

Такими мероприятиями будут являться: установление навигационной системы «ГЛОНАСС», внедрение последней версии программы «1С: Зарплата и Управление Персоналом 8». Все перечисленные мероприятия достаточно дорогостоящие, поэтому необходимо рассчитать их экономический эффект.

Экономический эффект от внедрения средств автоматизации может быть лишь косвенным, так как внедренные средства автоматизации не являются прямым источником дохода, а являются либо вспомогательным средством организации получения прибыли, либо помогают минимизировать затраты.

Говоря об экономическом эффекте от внедрения нашей системы, хотим выделить несколько основных статей расхода, которые могут значительно сократиться после внедрения системы мониторинга:

. Снижение пробега автотранспорта.

. Как следствие, сокращение расходов на ГСМ.

. Снижение расходов на мобильную связь с водителем.

. Снижение расхода топлива.

. Оптимизация схем логистики, как следствие, снижение пробега.

. Значительное повышение дисциплины среди сотрудников.

. Снижение износа автотранспорта.

Таблица 12

Эффект от внедрения системы на один автобус, выполняющий рейсы по одному и тому же маршруту:

Статья расхода

До внедрения системы

После внедрения системы (по плану)

Разница

Ежемесячный пробег, км.

4818

4000

818

Расход топлива, л./100 км.

30

21

9

Расходы на мобильную связь, руб./мес.

450

200

250


На основе таблицы 12, рассчитаем годовую экономию на 29 автобусов, которые имеются в автопарке, и занесем расчеты в таблицу 13.

Таблица 13

Расчет годовой экономии по МУП «Мухтоловпассажиравтотранс»

Показатель

Экономия на единицу техники

Экономия на 29 единиц


В месяц

В год

В месяц

В год

Снижение ежемесячного пробега

818 км.

9816 км.

23722 км.

284664 км.

Снижение среднего расхода топлива

270 л.

3240 л.

7830 л.

93960 л.

Снижение расходов на мобильную связь

250 руб.

3000 руб.

7250руб.

87000 руб.

Снижение общеэксплуатационных расходов

700 руб.

8400 руб.

20300 руб.

243600 руб.


Эффект от внедрения системы «ГЛОНАСС» в автопарк из 29 автобусов может составить:

л. ×36руб./литр+7250руб.+20300 руб.= 309430 руб. в месяц - экономия на 29 единиц техники.

Расчет заработной платы - это сложная и трудоемкая работа. В процессе ее решения наибольший эффект достигается при использовании различных специализированных программ.

«1С: Зарплата и Управление Персоналом 8» - это программа для учёта кадров и расчёта зарплаты. Эта программа позволяет не только автоматизировать расчет зарплаты, но и организовать подробный учет сотрудников.

В новой программе «1С: Зарплата и Управление Персоналом 8» (1С ЗУП), в отличие от её аналога версии 7.7, реализована отдельная подсистема кадровой аналитической отчетности. Ее кадровая отчетность имеет существенно более широкие возможности, чем в аналогичной версии 7.7 и включает отчеты по произвольным спискам работников, отчеты по движению работников и, например, наглядные диаграммы и графики отпусков, а так же полноценный воинский учет с формированием необходимой отчетности. В новой версии 1С ЗУП 8 реализованы все унифицированные формы по учету труда, включая формы Т-7, Т-10, Т-10а, Т-54.

«1С: Зарплата и Управление Персоналом 8» позволяет:

·    планирование потребностей в персонале;

·              подбор персонала и работа с кандидатами;

·              управление мотивацией персонала;

·              учет кадров и анализ кадрового состава;

·              автоматизация кадрового делопроизводства;

·              управление денежными расчетами с персоналом, включая депонирование;

·              расчет заработной платы;

·              исчисление регламентированных законодательством налогов и взносов с фонда оплаты труда;

·              отражение начисленной зарплаты и налогов в затратах предприятия;

·              планирование различных мероприятий.

Преимущества новой программы по сравнению с прикладным решением «1С: Зарплата и Кадры 7.7.» (которая сейчас используется на данном предприятии):

)   В прикладном решении «1С: Зарплата и Управление Персоналом 8» реализована возможность ведения учета нескольких организаций в единой информационной базе. Организации могут использовать общие списки физических лиц, классификаторы аналитической информации и т.д. При этом каждая организация может вести учет по общей или упрощенной системе налогообложения в рамках одной и той же информационной базы.

2)      Реализовано ведение не только регламентированного учета начислений, но и управленческого учета заработной платы со всем многообразием стимулирующих надбавок и бонусов, характерных для современных торговых и производственных предприятий, а также возможность описывать дополнительные начисления со всеми реализованными в конфигурации алгоритмами расчета, в частности, можно описать любое количество дополнительных отпусков с различным отражением в учете.

)        «1С: Зарплата и Управление Персоналом 8» содержит усовершенствованный механизм учета использования рабочего времени с поддержкой корректировки отработанного времени вручную, почасовых невыходов, графиков сокращенного рабочего времени.

)        Реализованы не только инструменты учета кадров, но и инструментарий управления персоналом: аттестациями, обучением, занятостью, включая планирование отпусков, набор кадров, включая менеджер контактов, и другие возможности.

В настоящий момент в МУП «Мухтоловпассажиравтотранс» используется программа «1С: Зарплата и Кадры 7.7» , но предприятие собирается перейти на более новую версию этой программы, что является большим шагом к совершенствованию.

Начислением заработной платы на предприятии занимается главный бухгалтер. Общая трудоемкость текущего расчета заработной платы составляла 56 чел/час (1чел.× 7 дн. × 8 ч.). Всего в бухгалтерии трудятся 4 человека.

Таблица 14

Экономический эффект от внедрения автоматизированной системы «1С: Зарплата и Управление Предприятием 8»

Показатели

Ед. измерения

До внедрения

После внедрения (по плану)

Отклонение





Натуральная единица

%

Численность работников

чел.

4

4

-

-

Экономия рабочего времени за год

час.

480

1440

+960

300

Суммарная экономия за год

руб.

28800

86400

+57600

300


Экономический эффект от внедрения данной программы составит 57600 руб. за год (в месяц 4800 руб.)

Из таблицы видим, что после внедрения программы предполагается большая экономия рабочего времени, следовательно, предполагается что работник может выполнять больше трудовых операций.

Стоимость программы предприятию обойдется в 17500 руб. Таким образом, учитывая полученный экономический эффект, предприятие окупит расходы на программу в течение трех с половиной месяцев (

Планируемая навигационная система внесет значительный вклад в развитие МУП «Мухтоловпассажиравтотранс» и облегчит работу специалистам. Благодаря этой системе можно узнавать конкретные данные на каждого работника. Таким образом, экономический эффект от всех предложенных мероприятий оценивается положительно. Внедряя программу «1С: Зарплата и Управление Предприятием 8» существенно сокращается объем работы. Тем самым, размер заработной платы увеличивается, поскольку такая работа требует специальных умений и навыков. То есть, предприятию придется отправлять работников на специальные курсы и обучения. На основе всего вышесказанного получается то, что с использованием этих мероприятий, предприятие увеличит производительность и выручку.

ЗАКЛЮЧЕНИЕ

Актуальность темы. В настоящее время заработная плата служит важнейшим стимулирующим фактором для качественной работы персонала предприятия.

Заработная плата есть элемент дохода наемного работника, форма экономической реализации права собственности на принадлежащий ему ресурс труда.

Планирование средств на оплату труда является важнейшим элементом механизма стимулирования труда работников. Размер денежных средств, направляемых на оплату труда, определяет уровень заработной платы работников, который, таким образом, формирует интерес к работе и ее результатам.

Объектом исследования является МУП «Мухтоловпассажиравтотранс».

Предмет исследования - планирование расходов на оплату труда работников предприятия.

В процессе изучения теоретических аспектов организации оплаты труда было выявлено, что:

.   Оплата труда (заработная плата) - это основная часть средств, направляемых на потребление, представляющая собой долю дохода, зависящую от конечных результатов и распределяющуюся между работниками в соответствии с количеством и качеством затраченного труда, реальным трудовым вкладом каждого и размером вложенного капитала.

2.      На практике в основном используются две формы оплаты труда - это сдельная, при которой заработок зависит от количества произведенных единиц продукции с учетом качества, сложности и условий труда и повременная, при которой заработная плата зависит от количества затраченного времени (но не календарного, а нормативного, которое предусматривается тарифной системой) с учетом квалификации работника и условий труда. И каждая форма содержит несколько систем оплаты труда.

.        Основной целью анализа и планирования показателей по труду и его оплате на предприятии является определение оптимальной численности работников, которая позволит обеспечить выполнение своих обязанностей при экономном использовании средств на оплату труда и снижении трудовых затрат.

В ходе анализа и планирования расходов на оплату труда работников была представлена организационно-экономическая характеристика МУП «Мухтоловпассажиравтотранс».

Был выполнен анализ расходов на оплату труда работников предприятия. По результатам анализа можно сделать следующие выводы:

.   Результатом работы МУП «Мухтоловпассажиравтотранс» за отчетный 2013 год явилась выручка в сумме 17129 тыс. руб., что на 5486 тыс. руб. меньше, чем в 2012 году.

2.      Списочная численность работников на 2013 год составила 87 человек, что на 5 человек меньше, чем в 2012 году. Из анализа движения рабочей силы видно, что по предприятию все коэффициенты снизились в 2013 году по сравнению с 2012 годом. Коэффициент общего оборота рабочей силы снизился на 3,6% в 2013. Также снизился процент принятых работников на 1,73% по отношению к 2012 году. Как положительный фактор можно отметить то, что в отчетном году наблюдалось снижение коэффициента текучести кадров на 1,86% по сравнению с 2012 годом, это могло произойти за счет улучшения трудовой дисциплины и уменьшения количества увольнений по собственному желанию. Коэффициент восполнения работников в 2013 году получился равным 0,3 и он уменьшился на 0,2%. В нашем случае в 2013 году, как и в 2012 этот показатель получился меньше единицы и это свидетельствует о том, что сокращаются рабочие места. Наибольшую отрицательную оценку получил коэффициент оборота по выбытию, он уменьшился на 8,07%, а наименьшую - коэффициент восполнения рабочей силы, уменьшение которого произошло на 0,2%. В целях снижения коэффициента оборота рабочей силы по выбытию на 8,07% в 2013 году говорит о том, что необходимо обратить внимание на организацию труда в цехе, на условия труда и оплаты работников.

.        На основе анализа баланса рабочего времени было выявлено, что произошло увеличение явочного фонда рабочего времени на 7,4%, что свидетельствует о снижение общего количества неявок на 14,6% по сравнению с прошлым годом. Возросло число отработанных дней в 2013 году на 17 дней или на 8,6%. Бюджет рабочего времени вырос в 2013 году на 7,4%.

.        Фонд рабочего времени в 2013 году увеличился по сравнению с прошлым годом на 3952 часов или на 2,7%. В целом все это является положительной стороной для предприятия.

.        Факторный анализ производительности труда показывает, что доля рабочих на протяжении периода уменьшалась. Что привело к значительному снижению производительности труда в 2013 году на 7,88 тыс. руб. Таким образом, положительное влияние на рост производительности труда в 2013 году оказал лишь один фактор, это увеличение числа отработанных дней в году. В связи с этим руководству предприятия необходимо подумать о поисках резервов роста производительности труда.

.        На основе анализа показателей по труду было выявлено, что производительность труда в отчетном году снизилась на 20%, однако, это отчасти вызвано снижением численности работников. Численность работников в отчетном году также потерпела изменения. Общая численность уменьшилась на 5 человек и составила 87 человек. Темп роста составил 94,6%. ФОТ в отчетном году снизился на 776,4 тыс. руб. или на 6,8%. Это является положительным фактором для предприятия, так как происходит опережение темпов роста производительности труда (+20%) от роста средней заработной платы по (-1,4%) предприятию. Это в свою очередь говорит о положительной тенденции, что значит, происходит эффективное расходование ФОТ.

.        В МУП «Мухтоловпассажиравтотранс» применяется в основном повременно-премиальная и окладная системы оплаты труда согласно Положению по оплате труда работников предприятия.

.        Фонд оплаты труда в 2013 году сократился и составил 10717 тыс. руб. Основным элементом фонда оплаты труда, выплачиваемый в денежной форме, являются выплаты по тарифным ставкам, окладам, сдельным расценкам, которые снизились в 2013 году на 1,8%. Для стимулирования трудовой деятельности на МУП «Мухтоловпассажиравтотранс» применяются различного рода выплаты, такие как поощрения, премии, трудовые и социальные льготы и т.п.

.        Анализ расходов на оплату труда работников МУП «Мухтоловпассажиравтотранс» показывает, что фонд оплаты труда в отчетном 2013 году сократился и составил 10717 тыс. руб. Основным элементом фонда оплаты труда, выплачиваемой в денежной форме являются выплаты по тарифным ставкам, окладам, сдельным расценкам, которые снизились в 2013 году на 1,8%. Практически по всем позициям произошло уменьшение, за исключением выплаты стимулирующего характера, которые увеличились на 1%. Наибольшее изменение в отрицательную сторону претерпели премии по текущему премированию на 280 тыс. руб. или же на 15,7%, наименьшее - выплаты компенсирующего характера на 27 тыс. руб. или на 14,4%. Таким образом, на МУП «Мухтоловпассажиравтотранс» на величину расходов на оплату труда оказали следующие факторы: за счет снижения среднечасового заработка, а значит и среднегодового на 1058442 руб., это понижение является результатом понижения окладов в отчетном году; уменьшение среднесписочной численности работников на 5 человек привело к понижению на - 624884 руб.; изменение за счет количества отработанных дней составило 992202 руб.

.        Изначальными данными для планирования фонда заработной платы на МУП «Мухтоловпассажиравтотранс» являются: планируемая численность работников, данные анализа за предшествующие периоды, а также положение по оплате труда.

Вышесказанное позволяет наметить пути совершенствования оплаты труда на МУП «Мухтоловпассажиравтотранс», о чем и рассказывается во второй главе:

.   Первоочередными задачами совершенствования оплаты труда является установление оплаты труда на уровне, который обеспечивает нормальное воспроизводство рабочей силы, гарантирует собственнику получение определенного результата, ликвидирует сложившиеся диспропорции, обеспечивает социальную защищенность работника.

2.      Можно применять следующие виды материальных стимулов:

- индивидуальные разовые премии за особые заслуги;

пересмотр заработной платы по результатам оценки работы сотрудника за год;

корпоративная премия по итогам года (ее размер зависит от результатов работы предприятия, при этом при начислении вознаграждения к каждому сотруднику в соответствии с его рангом применяются различные коэффициенты);

социальный пакет.

Также рекомендуется применять систему премирования (за совмещение профессий и должностей, за сложность и своевременность выполняемой работы, за работу во вредных условиях труда, за работу в ночное время, за руководство бригадой, за профессиональное мастерство, персональная надбавка).

.   В качестве возможного варианта совершенствования организации и стимулирования труда, возможно ввести гибкую систему оплаты труда. Введение данной системы необходимо в целях стимулирования материальной заинтересованности работников предприятия в конечном результате труда и, как следствие, увеличения доходности предприятия в целом.

4.      На предприятии с ноября 2014 года планируется установить на всю технику и оборудование, которое имеется в МУП «Мухтоловпассажиравтотранс» навигационную систему «ГЛОНАСС», а также установить программу «1С: Зарплата и Управление Предприятием 8».

Практическая часть выпускной квалификационной работы и выводы, полученные в ходе анализа, могут быть использованы руководством МУП «Мухтоловпассажиравтотранс при планировании фонда оплаты труда и системы материального стимулирования работников.


СПИСОК ИСПОЛЬЗОВАННЫХ ИСТОЧНИКОВ

1. Конституция Российской Федерации: принята всенародным голосованием 12.12.1993 года.

.   Гражданский кодекс Российской Федерации. Часть 1 от 30.11.1994 №51 - ФЗ (ред. от 02.11.2013) // Собрание законодательства РФ. - 2007. - №32. - КосультантПлюс. [Электрон. ресурс]. - Электрон. дан. - [M., 2014]

3.      Трудовой Кодекс Российской Федерации с комментариями. - М.: Эксмо, 2012. - 256 с. - ISBN 978-5-699-57883-2.

.        Афанасьев А.М., Фролов А.М., Лочан А.А., Ермолаева Е.Е. Организация, планирование и управление хозяйственной деятельностью малого предприятия: учеб. пособие / А.М. Афанасьев, А.М. Фролов, А.А. Лочан, Е.Е. Ермолаева. - М.: Самара: СГАСУ, 2012. - 266 с. - ISBN 978-5-9585-0530.

.        Арзуманова, Т.И. Экономика и планирование на предприятиях торговли и питания: учебное пособ. / Т.И. Арзуманова, М.Ш. Мачабели. - М.: Издательский дом «Дашков и К0», 2011. - 274 с. - ISBN 978-5-394-01281-5.

.        Алимарина, Е.А. Особенности трудовых ресурсов современной России: учеб. пособие / Е.А. Алимарина, Ю.В. Брязгин; МГУ. - М.: ЭКОН, 2002. - 104 с.: ил. - Библиогр.: 27 назв. - ISBN 5-8029-0009-5.

.        Александрова, А.Б. Заработная плата на современном предприятии / А.Б. Александрова. - М.: Кн. мир, 2002. - 424 с.: прил. - ISBN 5-8041-0134-Х.

.        Бувальцева, В.И., Глушакова О.В. Экономический анализ. Учебное пособие / В.И. Бувальцева, О.В. Глушакова.- М.: Кемеровский государственный университет, 2011.-306 с. - ISBN: 978-5-8353-0997-9.

.        Бовша, Н.В. Зарплата и кадры: практикум для бухгалтера / Н.В. Бовша - М.: Новосибирск, 2009. - 268 с. - ISBN 978-5-379-00789-8.

.        Богословский, Д.В. Основные формы и системы заработной платы. Номинальная и реальная заработные платы / Д.В. Богословский - М.: Лаборатория Книги, 2012.-128 с.- ISBN 978-5-504-00808-0.

.        Балабанов, И.Т. Анализ и планирование финансов хозяйствующего субъекта / И.Т. Балабанов. - М.: Финансы и статистика, 2006. - 256 с.- ISBN 5-7749-0160-2.

12. Бычин, В.Б. Нормирование труда: учеб. пособие / В.Б. Бычин, С.В. Малинин. - М.: Экзамен, 2002. - 319 с.: ил., табл., прил. - Библиогр.: 41 назв. - ISBN 5-8212-0280-9.

.   Войтов, А.Г. Экономика. Общий курс. (Фундаментальная теория экономики) / А.Г. Войтов. - Изд. 12 - е, перераб. и доп. - М.: Издательско-торговая корпорация «Дашков и Ко», 2010. - 610 c. - ISBN 978-5-394-00832-0.

14.    Виноградова, М.В. Организация и планирование деятельности предприятий сферы сервиса: учеб. пособие / М.В. Виноградова, З.И. Панина. - Изд. 6-е, перераб. и доп. - М.: Издательско-торговая корпорация «Дашков и Ко», 2012. - 448 с. - ISBN 978-5-394-01467-3.

15. Владимирова, Л.П. Организация, нормирование и оплата труда на предприятиях отрасли (торговля): учебник / Л.П. Владимирова. - М.: Издательско-торговая корпорация «Дашков и Ко»,2006. - 347 с. - ISBN 5-9798-753-8.

16.    Грибов В.Д., Грузинов В.П. Экономика предприятия: учебник / В.Д. Грибов, В.П. Грузинов. - М.: Издательство «Финансы и статистика», 2009. - 400 с. - ISBN 978-5-279-03335-5.

17. Глебов, С.Т. Анализ и методы повышения производительности труда персонала как одного из основных факторов повышения эффективности управления на предприятии / С.Т. Глебов. - М.: Лаборатория Книги, 2011. - 139 с. - ISBN 978-5-504-00869-1.

.   Гиляровская, Л.Т. Экономический анализ: учебник для вузов / Под ред. Л.Т. Гиляровской.- Изд. 2-е, перераб. и доп. - М.: ЮНИТИ-ДАНА, 2005. - 615 с. -ISBN 5-238-00383-8.

19.    Жуков, А.Л. Регулирование и организация оплаты труда: учеб. пособие для вузов / А.Л. Жуков; Акад. труда и соц. отношений. - М.: МИК, 2002. - 335 с.: табл. - Библиогр.: 75 назв. - ISBN 5-87902-014-2. - Д8-02/76108 хр.

20. Комментарий к Трудовому кодексу российской Федерации / под общей ред. В.В. Семенихина. - М.: Эксмо, 2006. - 624 с.- (Отдел кадров). - ISBN 5-699-16035-3.

21.    Калина, А.В. Организация и оплата труда в условиях рынка (аспект эффективности): учеб. пособие [Электронный ресурс] / А. В. Калина. Изд. - 4-е, Межрегиональная академия управления персоналом. - М.: Киев, МАУП, 2003. - 356 с. - ISBN 966-608-279-9.

.        Клищ, Н.Д. Учет расчетов по оплате труда / Н.Д. Клищ. - М.: Лаборатория Книги, 2011. - 165 с. - ISBN 978-5-504-00710-6.

.        Кучмаева, О.В., Егорова Е.А. Экономика труда: учеб. пособие / О.В. Кучмаева, Е.А. Егорова. - М.: 2005. - 170 с.. - ISBN 5-7764-0280-8.

.        Лопарева, А.М. Экономика организации (предприятия): учеб. - метод. комплекс и рабочая тетрадь / А.М. Лопарева. - М.: Финансы и статистика: ИНФРА-М, 2008. - 240 с. - ISBN 978-5-279-03314-0.

.        Любушин, Н.П., Лещева В.Б., Дьякова В.Г. Анализ финансово-экономической деятельности предприятия: учебное пособие для вузов / под ред. проф. Н.П. Любушина. - М.: ЮНИТИ-ДАНА, 2004.-471 с. - ISBN 5-238-00105-3.

27. Лебедева, С.Н. Экономика торгового предприятия: учеб. пособие / под ред. С.Н. Лебедевой, Н.А. Казиначикова, А.В. Гаврикова. - М.: Новое знание, 2004.- 240с. - ISBN 5-14789-103-9.

28.    Мазманова, Б. Г. Управление оплатой труда : учеб. пособие / Б. Г. Мазманова. - М.: «Финансы и статистика», 2003.- 386 с. - ISBN 5-279-02215-6.

.        Максютов, А.А. Экономика предприятия / А.А. Максютов. - М.: Альфа-Пресс, 2005. - 528 с. - ISBN 5-94280-133-9.

30. Максименко, Н.В. Внутрифирменное планирование: учебник / Н.В. Максименко. - М.: Минск, 2011. - 459 с. - ISBN 978-985-06-1960-0.

31.    Носков, Я.С. Оценка эффективности использования трудовых ресурсов предприятия и пути ее повышения / Я.С. Носков. - М.: Лаборатория Книги, 2010. - 108 с. - ISBN - 978-5-834678-82-0.

.        Новиков, Д.А., Заложнев Д.А. Модели систем оплаты труда / Д.А. Новиков, Д.А. Заложнев. - М.: ПМСОФТ, 2009.-192 с.- ISBN 978-5-903183-07-4.

.        Наумова, Н.В., Жарикова Л.А. Учет труда и заработной платы: учеб. пособие / Н.В. Наумова, Л.А. Жарикова. -Тамбов.: Издательство «ТГТУ», 2007.- 72 с. - 100 экз. - ISBN 5-8265-0603-2 (978-5-8265-0603-5).

.        Остапенко, Ю. М. Экономика труда: учеб. пособие / Ю.М. Остапенко. - Изд. 2-е, перераб. и доп. - М.: ИНФРА-М, 2007. - 272 с. - (Высшее образование). - ISBN - 978-5-16-003063-0.

35. Панфилова, Н.Ю., Медведева Ю.Н., Марков М.В. Организация, нормирование и оплата труда: альбом наглядных пособий / Н.Ю. Панфилова, Ю.Н. Медведева, М.В. Марков. - М.: Екатеринбург: ГОУ ВПО «Уральский государственный технический университет ГУПИ», 2005. - 75 с. - ISBN - 978-5-14008880-1.

36.    Прыкин, Б.В. Технико-экономический анализ производства / Б.В. Прыкин. - М.: ЮНИТИ-ДАНА, 2005. - 399 с. - ISBN 5-238-00525-3

.        Раицкий, К.А. Экономика предприятия: учеб. для вузов / под ред. К. А. Раицкого. - М.: Маркетинг, 2003. - 112 с. - ISBN 5-94798-214-5.

.        Рощин, С.Ю., Разумова Т.О. Экономика труда: экономическая теория труда: учебное пособие / С.Ю. Рощин. - М.: ИНФРА-М, 2000.-400 с.- ISBN 5-16-000146-8.

39. Скляревская, В.А. Организация, нормирование и оплата труда на предприятии: учебник / В.А. Скляревская. - М.: Издательско - торговая корпорация «Дашков и Ко», 2012. - 340 с. - ISBN 978-5-394-01299-0.

40.    Савицкая, Г.В. Анализ хозяйственной деятельности предприятия / Г.В. Савицкая.- М.: НИЦ ИНФРА-М, 2009. -530 с. - ISBN 978-5-16-003428-7.

.        Савкина, Р.В. Планирование на предприятии: учебник / Р.В. Савкина. - М.: Издательско-торговая корпорация «Дашков и Ко», 2013. - 324 с. - ISBN 978-5-394-01317-1.

.        Семенов, В.М. Экономика предприятия: учеб. для вузов / под ред. В. М. Семенова. - СПб.: Питер, 2007.-384 с. - ISBN 978-5-469-00168-3.

43. Табурчак, П.П., Викуленко А.Е. Анализ и диагностика финансово - хозяйственной деятельности предприятия: учеб. пособие для вузов / П.П. Табурчак. - М.: Феникс, 2001. - 352 с. - ISBN5-93808-026-6.

.   Томская, А.Г. Нормирование и оплата труда: учебно-методический комплекс / А.Г. Томская, С.В. Гаврилова. - М.: Изд. центр «ЕАОИ», 2011.- 120 с. - ISBN 978-5-374-00319-2.

45.    Харитонов, Н.С. Правовое регулирование оплаты труда в Российской Федерации / Н.С. Харитонов. - М.: Лаборатория Книги, 2010.-120 с.- ISBN 978-5-834598-83-1.

.        Хеддервик, К. Финансовый и экономический анализ деятельности предприятия / под ред. Ю.Н. Воропаева - М.: «Финансы и статистика», 2005. - 159 c. - ISBN 5-279-01523-7.

47. Шепеленко, Г.И. Экономика, организация и планирование производства на предприятии: учеб. пособ. для вузов / Г.И. Шепеленко, 3-е изд., доп. и перераб. - М.: Ростов-на-Дону: издательский центр «МарТ», 2002. - 544 с. - ISBN 5-241-00014-3.

. Шилов, В.Р. Организационные структуры управления предприятием в рыночной экономике / В.Р. Шилов. - М.: Лаборатория Книги, 2010. - 122 с. - ISBN 978-5-815523-67-5.

. Щербакова, А.А. Оплата труда в Российской Федерации: современное состояние и проблемы / А.А. Щербакова. - М.: Лаборатория Книги, 2010. - 36 с. - ISBN 978-5-905855-82-5.

. Яковлев, Р.А. Оплата труда в организации / под ред. Яковлева Р.А.- М.: МЦФЭР,2003. - 166 с. - ISBN 5-271-00817-4.

Похожие работы на - Планирование расходов на оплату труда работников предприятия на материалах МУП 'Мухтоловпассажиравтотранс'

 

Не нашли материал для своей работы?
Поможем написать уникальную работу
Без плагиата!
Без нейросетей!