Планирование производственной программы предприятия
Исходные данные 163
|
Объем
производства изделия Б, тыс.шт./год
|
35
|
|
Вид
материала
|
1
|
2
|
3
|
4
|
|
Стоимость,
руб./ед.измер.
|
2
|
20
|
30
|
3
|
|
Норма
расхода, ед.измер./шт.
|
2
|
4
|
2
|
1
|
|
Итого,
стоимость материалов, руб/шт
|
147
|
|
Вид
комплектующих изделий
|
1
|
2
|
3
|
|
Стоимость,
руб./ед.измер.
|
9
|
5
|
3
|
|
Норма
расхода, ед.измер./шт.
|
2
|
3
|
6
|
|
Итого,
стоимость комплектующих, руб/шт
|
51
|
|
Номер
технологической операции
|
Используемое
оборудование
|
Первоначальная
стоимость используемого оборудования, тыс.руб./ед.
|
Технологическая
трудоемкость, час./шт.
|
|
1
|
-ручная
операция-
|
|
0,4
|
|
2
|
б
|
400
|
0,3
|
|
3
|
в
|
500
|
0,2
|
|
4
|
г
|
600
|
0,6
|
|
5
|
д
|
700
|
0,7
|
|
Итого
|
2200
|
2,2
|
Раздел 1
1.1 Расчет количества единиц оборудования и
эффективный фонд времени
Эффективный фонд времени работы оборудования,
[час]:
планирование оплата прибыль
где А - число календарных дней в рассматриваемом
периоде;
В - число выходных и праздничных дней (выбрать в
соответствии с рассматриваемым периодом);
С - число смен в сутки;- число часов в одной
смене;
γ - планируемые
простои оборудования в долях единицы.
А = 365 дней
В = 116 дней
С = 1 смена= 8 часов
γ = 0,05
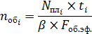
Количество единиц оборудования по операциям,
[ед.об.]:
где ti - время обработки изделия или услуги на
i-том оборудовании, час/шт.
(условно принято, что технологическая
трудоемкость i-той операции равна времени обработки изделия на i-той
операции);пл - планируемый объем производства в
рассматриваемом периоде, шт./период;
β − коэффициент
загрузки оборудования;об.эф. − эффективный фонд времени работы
оборудования
= 0,3 час./ед.прод.;= 0,2 час./ед.прод.;= 0,6
час./ед.прод.;= 0,7 час./ед.прод.;пл = 35 тыс.шт./год;
β= 0,85;
nоб.б= (35000* 0,3)/(0,85* 1893)=6,53=7 ст.
βф = (35000*
0,3)/(7* 1893)=0,79об.в= (35000* 0,2)/(0,85* 1893)=4,35=4 ст.
βф= (35000* 0,2)/(4*
1893)=0,92об.г= (35000* 0,6)/(0,85* 1893)=13,05=13 ст.
βф = (35000*
0,6)/(13* 1893)=0,85об.д = (35000* 0,7)/(0,85* 1893)=15,23=15 ст.
βф = (35000*
0,7)/(15* 1893)=0,86
βф показывает
фактическую загрузку оборудования, рассчитывая ее, мы проверяем оптимальность
загруженности станков, полученный коэффициент должен лежать в интервале от 0,8
до 0,9.
Суммарная первоначальная стоимость
технологического оборудования, [тыс. руб.]:
где m0 - число
технологических операций;
-первоначальная
стоимость единицы оборудования, используемого на i-той операции, включающая
стоимость оборудования, транспортные расходы и расходы на монтаж и наладку,
тыс.руб.
=400*7+500*4+600*13+700*15=23100
тыс.руб.
.2 Стоимостная структура основных средств
|
№
|
Вид
основных средств
|
%
|
тыс.
руб.
|
|
1
|
Земля
|
12
|
11550
|
|
2
|
Здания
|
18
|
17325
|
|
3
|
Сооружения
|
12
|
11550
|
|
4
|
Передаточные
устройства
|
5
|
4813
|
|
5
|
Машины
и оборудование:
|
40
|
38500
|
|
a)
Силовое
|
5
|
4813
|
|
b)
Технологическое
|
24
|
23100
|
|
c)
Вычислительное
|
5
|
4813
|
|
d)
Лабораторно-испытательное
|
6
|
5775
|
|
6
|
Инструменты
|
4
|
3850
|
|
7
|
Трансп.
Средства
|
4
|
3850
|
|
8
|
Произв.
Хоз. Инвентарь
|
2
|
1925
|
|
9
|
Прочее
|
3
|
2888
|
|
|
Итого
|
100
|
96250
|
.3 Условия для расчета численности основных
производственных рабочих
Продолжительность отпуска =24 раб. дня (в
соответствии с Трудовым кодексом РФ)
Величина планируемых невыходов: Н = 10 рабочих
дней.
Коэффициент выполнения норм: kвн = 1.
Эффективный фонд времени одного работающего:
Численность основных производственных рабочих:
,
где
- трудоемкость i-той операции, час.\шт.;
Rопр =35000*(0,4+0,3+0,2+0,6+0,7)/(1720*1)=45
чел.впр =45*0,25=11 чел.
Средняя трудоемкость:
= (0,4+0,3+0,2+0,6+0,7)/5=0,44
Средняя заработная плата ОПР принята:
26700
руб.
Средняя тарифная ставка:
=( 12
*26700)/1720=186,3 руб./час
Средняя расценка:
*
=186,3*0,44=82
руб./шт.
На нашем предприятии три системы оплаты труда:
Повременная - размер оплаты труда прямо
пропорционально зависит от времени, затраченного (фактически отработанного) с
учетом квалификации работника и условий труда.
Сдельная - размер оплаты труда зависит от
количества произведенной продукции (выполненного объема работы) с учетом их
качества сложности и условий труда.
Штатно-окладная- размер оплаты труда зависит от
штатного расписания, в котором по каждой должности установлены величины
месячных окладов.
1.4 Штатное расписание
|
№
|
Должность
|
Число
работающих
|
Основная
з/пл, руб./мес. чел.
|
Категория
исполнителей
|
Система
оплаты
|
|
1
|
Директор
|
1
|
70
000
|
Руководство
|
Штатно-окладная
|
|
2
|
Зам.
Директора по экономике
|
1
|
54
000
|
|
|
|
3
|
Главный
бухгалтер
|
1
|
46
000
|
|
|
|
4
|
Зам.
Директора по производству
|
1
|
55
000
|
|
|
|
5
|
Главный
инженер
|
1
|
44
000
|
|
|
|
6
|
Инженер
|
3
|
30
000
|
Специалисты
|
|
|
7
|
Экономист
|
1
|
27
000
|
|
|
|
8
|
Технолог
|
2
|
29
000
|
|
|
|
9
|
Бухгалтер
|
1
|
25
000
|
|
|
|
10
|
Кассир
|
1
|
21
000
|
|
|
|
11
|
Инспектор
отдела кадров
|
1
|
32
000
|
Отдел
по работе с персоналом
|
|
|
12
|
Менеджер
по продажам
|
2
|
35
000
|
Коммерческий
отдел
|
|
|
13
|
Менеджер
по поставкам и закупкам
|
2
|
35
000
|
|
|
|
14
|
Менеджер
по логистике
|
2
|
36
000
|
|
|
|
15
|
Водитель
|
2
|
21
000
|
Обслуживающий
персонал
|
|
|
16
|
Уборщица
|
2
|
14
000
|
|
|
|
17
|
Охранник
|
6
|
16
000
|
|
|
|
18
|
Курьер
|
2
|
13
000
|
|
|
|
19
|
Грузчик
|
3
|
14
000
|
|
|
|
20
|
Кладовщик
|
2
|
17
500
|
|
|
|
21
|
Механик
|
6
|
26
000
|
ВПР
|
Повременная
|
|
22
|
Наладчик
|
5
|
26
000
|
|
|
|
23
|
Рабочий
|
45
|
26700
|
ОПР
|
Сдельная
|
|
|
Итого
|
93
|
2490500
|
|
|
.5 Описание способа планирования ФОТ персонала
=
2490500*12/1000=29886 тыс.руб./год
|
Страховые
взносы в:
|
%
|
Тыс.руб./год
|
|
Пенсионный
фонд РФ
|
26,00%
|
7770
|
|
Фонд
социального страхования РФ
|
2,90%
|
867
|
|
Федеральный
фонд обязательного медицинского страхования
|
3,10%
|
926
|
|
Территориальный
фонд обязательного медицинского страхования
|
2,00%
|
598
|
|
Средства
от несчастных случаев
|
4,00%
|
1195
|
|
Сумма
|
38,00%
|
11357
|
.6 Условия формирования сметы затрат на
производство
стоимость основных материалов и комплектующих;
(147+51)*35= 6930 тыс.руб./год
− стоимость вспомогательных
материалов (7 % суммарной стоимости основных материалов и комплектующих
изделий);
0,07*6930= 485 тыс.руб./год
− величина
транспортно-заготовительных расходов (8 % суммарной стоимости основных
материалов, комплектующих изделий и вспомогательных материалов);
0,08*(6930+485)= 593 тыс.руб./год
− стоимость инструментов и приспособлений
(3 % стоимости материалов и комплектующих);
0,03*6930= 208 тыс.руб./год
− стоимость топлива и энергии (40 %
суммарной стоимости основных материалов и комплектующих изделий; выделить
стоимость технологической энергии в пределах 70 % общей стоимости топлива и
энергии);
0,4*6930= 2772 тыс.руб./год
Технологическая энергия
0,7*2772= 1940 тыс.руб./год
− средневзвешенная норма амортизации
основных средств (10 % первоначальной стоимости основных средств);
0,1*(96250-11550)= 8470 тыс.руб./год
− величина нематериальных активов;
3200 тыс.руб.
норма амортизации нематериальных активов 10
%/год;
,1*3200= 320 тыс.руб./год
− планируемые расходы на ремонт
основных средств (7 % общей стоимости амортизируемых основных средств);
0,07*(96250-11550)= 5929 тыс.руб./год
− величина прочих затрат (10 % от суммы
рассчитанных элементов сметы затрат). К этой сумме следует прибавить планируемые
расходы на ремонт основных средств;
0,1*(10988+29886+11357+8790)+5929= 12031
тыс.руб./год
.7 Смета затрат на производство
|
№
|
Элемент
сметы
|
Экономическое
содержание
|
Сумма,
тыс.руб./год.
|
%
|
|
1
|
Материальные
затраты (стоимость возвратных отходов принимается равной нулю)
|
Стоимость
материалов и покупных комплектующих, используемых в составе изделия;
стоимость топлива и энергии всех видов, покупаемых со стороны и расходуемых
на технологические и нетехнологические нужды; стоимость вспомогательных
материалов и зап. частей для ремонта оборудования, инструментов и
приспособлений, и других элементов, необходимых для производства. Стоимость
материальных ресурсов формируется исходя из цен их приобретения, но без учета
налога на добавленную стоимость.
|
10988
|
15
|
|
2
|
Затраты
на оплату труда
|
Заработная
плата за фактически выполненную работу в соответствии с принятыми на
предприятии формами и системами оплаты труда; стимулирующие и компенсирующие
выплаты; оплата непроработанного времени в соответствии с существующим законодательством;
выплаты, обусловленные районным регулированием оплаты труда и т.п.
|
29886
|
41
|
|
3
|
Страховые
взносы
|
11357
|
16
|
|
4
|
Амортизация
основных средств и нематериальных активов
|
Сумма
амортизационных отчислений на полное восстановление основных производственных
фондов и нематериальных активов.
|
8790
|
12
|
|
5
|
Прочие
затраты
|
Платежи
по обязательному страхованию имущества; оплата процентов по полученным
кредитам; оплата услуг сторонних организаций; затраты на гарантийный ремонт и
обслуживание; затраты на командировки; планируемые затраты на ремонт основных
средств и пр.
|
12031
|
16
|
|
Итого
затраты на производство в текущем периоде
|
73052
|
100
|
. Материальные затраты
+485+593+208+2772= 10988 тыс.руб./год
. Затраты на оплату труда
ФОТ=29886 тыс.руб./год
Страховые взносы
тыс.руб./год
Амортизация основных средств и нематериальных
активов
+320 =8790 тыс.руб./год
Прочие затраты
,1*(10988+29886+11357+8790)+5929= 12031
тыс.руб./год
Коммерческие расходы
равны
5 % от
=0,05*73052= 3653
тыс.руб./год
.8 Расчет полной и производственной
себестоимости изделия Б
=(73052+3653)/35000=
2,19 тыс.руб./шт.пр =
=73052/35000= 2,09 тыс.руб./шт.
где
-
затраты на производство в текущем плановом периоде.
.9 Условно-постоянные и переменные затраты
γ1+ γ2=1
γ1 = 0,7 (условно-постоянные
коммерческие расходы)
γ2 = 0,3(переменные
коммерческие расходы)
2557+1096= 3653 тыс.руб./год
|
Суммарные
затраты, тыс.руб./год
|
|
76705
|
|
№
|
Условно-постоянные
затраты
|
Сумма,
тыс.руб./год
|
№
|
Переменные
затраты
|
Сумма,
тыс.руб./год
|
|
1
|
Коммерческие
затраты
|
2557
|
1
|
Коммерческие
затраты
|
1096
|
|
2
|
Нетехнологические
топливо и энергия
|
832
|
2
|
Технологические
топливо и энергия
|
1940
|
|
3
|
З/пл.
(кроме ОПР)
|
15468
|
3
|
З/пл.
ОПР
|
14418
|
|
4
|
Страховые
взносы (з/пл. всех кроме ОПР)
|
5259
|
4
|
Страховые
взносы (з/пл. ОПР)
|
4902
|
|
5
|
Средства
от несчастных случаев ( кроме ОПР)
|
619
|
5
|
Средства
от несчастных случаев (ОПР)
|
577
|
|
6
|
Амортизация
ОС и НМА
|
8790
|
6
|
Материалы,
комплектующие
|
6930
|
|
7
|
Транспортно-заготовительные
расходы
|
593
|
7
|
Вспомогательные
материалы
|
485
|
|
8
|
Инструменты
и приспособления
|
208
|
|
|
|
|
9
|
Прочие
материальные затраты
|
12031
|
|
|
|
|
Итого
|
46357
|
Итого
|
30348
|
1.10 Графические зависимости
Зависимость общей суммы затрат на производство и
реализацию продукции, суммарных переменных и суммарных условно-постоянных
затрат от величины объема производства за планируемый период.
|
N
|
0
|
8,75
|
17,5
|
26,25
|
35
|
|
тыс.шт./год
|
|
|
|
|
|
|
Sусл.пост.,
тыс.руб./год
|
46357
|
46357
|
46357
|
46357
|
46357
|
|
Sперем.,
тыс.руб./год
|
0
|
7587
|
15174
|
22761
|
30348
|
|
Sсум,
тыс.руб./год
|
46357
|
53944
|
61531
|
69118
|
76705
|
Зависимость себестоимости единицы продукции,
удельных условно-переменных и удельных условно-постоянных затрат от величины
объема производства в планируемом периоде.
|
N,
тыс.шт./год
|
8,75
|
17,5
|
26,25
|
35
|
|
Sусл.пост,
тыс.руб./шт.
|
5,30
|
2,65
|
1,77
|
1,32
|
|
Sперем,
тыс.руб./шт.
|
0,87
|
0,87
|
0,87
|
0,87
|
|
Sед.прод.,
тыс.руб./шт.
|
6,17
|
3,52
|
2,63
|
2,19
|
.11 Условия для расчета потребности в оборотных
средствах
нормы запаса материалов и комплектующих изделий
в календарных днях
|
Норма
запаса
|
|
материалов
|
кал.дней
|
комплектующих
|
кал.дней
|
|
t_зап_м1
|
30
|
t_зап_к1
|
30
|
|
t_зап_м2
|
35
|
t_зап_к2
|
35
|
|
t_зап_м3
|
30
|
t_зап_к3
|
40
|
|
t_зап_м4
|
30
|
|
Соотношение между производственным циклом и
суммарной технологической трудоёмкостью изготовления изделия gц
= 10;
время нахождения готовой продукции на складе
предприятияреал. = 5 кал. дня
структуру оборотных средств γоб.
(удельный вес стоимости производственных запасов, незавершенного производства и
готовой продукции в общей сумме оборотных средств равен 0,6). Тогда,
=
(1 - 0,6) = 0,4 − оборотные средства, находящиеся в расходах будущих
периодов, дебиторской задолженности, краткосрочных финансовых вложениях и т.п.,
а также денежные средства в кассе и на расчетном счете.
оборотные средства в производственных запасах
,
-
норма расхода i-го материала, j-го вида комплектующих изделий на одно
изготавливаемое изделие в стоимостном выражении, руб.\шт.;
Тпл - планируемый период, календ.дн.\год;
=(4*30+80*35+60*30+3*30)*35000/360=
468 тыс.руб.
=(18*30+15*35+18*40)*35000/360=
174 тыс.руб.
=468+174= 641
тыс.руб.
Стоимость инструментов и приспособлений входит в
состав производственных запасов, поэтому их величину следует прибавить к
рассчитанным оборотным средствам в производственных запасах.
=1,4*641+208= 1106
тыс.руб.
оборотные средства в незавершенном производстве
=(147+51+2090)/(2*2090)=
0,55
- коэффициент нарастания затрат (условно
принимается равномерное нарастание затрат).
-
затраты на материалы и комплектующие изделия, руб\шт;
−
производственная себестоимость, руб/шт.
=(2090*35000)/360*0,55*4,03
=448 тыс.руб.
Тц - длительность производственного цикла,
кален. дни. Длительность производственного цикла - отрезок времени между
началом и окончанием производственного процесса изготовления одного изделия
(заготовки, детали и т.д.)
Длительность производственного цикла состоит из
времени технологических операций времени подготовительно-заключительных
операций; длительности естественных процессов, вспомогательных операций;
времени межоперационных и междусменных перерывов.
=0,4+0,3+0,2+0,6+0,7=
2,2 час/шт.
m0− количество операций.
gц =10 - соотношение между производственным
циклом и технологическим временем.
=2,2*10= 22 ч.
=(22*365)/(1*8*(365-116))= 4,03
кал.дня
оборотные средства в готовой
продукции
=(2090*35000)/360*5= 1016 тыс.руб.
суммарную потребность в оборотных
средствах
=(1106+448+1016)/0,6= 4283 тыс.руб.
.12 Баланс хозяйственных средств на
начало хозяйственной деятельности
Условно вступительный баланс
(составляемый на момент возникновения предприятия) совпадает с текущим
балансом, составляемым на начало отчетного периода.
На момент формирования БХС
отсутствуют такие элементы активов:
− затраты в незавершенном
производстве;
− готовая продукция и товары
для перепродажи;
− дебиторская задолженность;
− краткосрочные финансовые
вложения.
Величина сырья и материалов - исходя
из рассчитанного норматива оборотных средств в производственных запасов.
Значение прочих запасов и затрат (
)
определяется как разница между нормативом оборотных средств в производственных
запасах с учетом прочих элементов производственных запасов + МБП, и нормативом
оборотных средств в производственных запасов (
)
Денежные средства в кассе и на
расчетном счете определяются следующим образом:
В соответствии с основным уравнением баланса
итог пассивов принимается равным рассчитанному итогу активов.
Условия формирования баланса хозяйственных
средств предприятия на начало хозяйственной деятельности:
удельный вес собственного (уставного) капитала в
общей сумме пассивов баланса (0,6);
удельный вес в общей сумме заемного капитала
долгосрочных кредитов банков (0,7), краткосрочных кредитов банков (0,2), прочих
краткосрочных обязательств (0,1). Под прочими краткосрочными обязательствами в
данной работе понимается задолженность перед персоналом, бюджетом,
внебюджетными фондами.
На основе принятого удельного веса собственного
(на начало деятельности) капитала устанавливается величина собственного и
необходимого заемного капитала.
Бухгалтерский баланс на начало хозяйственной
деятельности
|
АКТИВ
|
тыс.
руб.
|
ПАССИВ
|
тыс.
руб.
|
|
1.
Внеоборотные активы
|
|
3.
Капитал и резервы
|
|
|
Нематериальные
активы
|
3200
|
Уставный
капитал
|
62240
|
|
Основные
средства
|
96250
|
Добавочный
капитал
|
------
|
|
|
|
Резервный
капитал
|
------
|
|
|
|
Нераспределенная
прибыль (непокрытый убыток)
|
------
|
|
Итого
по разделу 1
|
99450
|
Итого
по разделу 3
|
62240
|
|
|
|
|
|
|
2.
Оборотные активы
|
|
4.
Долгосрочные обязательства
|
|
|
Запасы
|
|
Займы
и кредиты
|
29045
|
|
сырье
и материалы
|
641
|
Итого
по 4 разделу
|
29045
|
|
прочие
запасы + инструменты
|
464
|
|
|
|
затраты
в незавершенном производстве
|
------
|
|
|
|
|
|
|
|
готовая
продукция и товары для перепродажи
|
------
|
5.
Краткосрочные обязательства
|
|
|
|
|
|
|
расходы
будущих периодов
|
1285
|
Займы
и кредиты
|
8299
|
|
|
|
|
|
Дебиторская
задолженность
|
------
|
|
|
|
Краткосрочные
финансовые вложения
|
------
|
Прочие
краткосрочные обязательства
|
4149
|
|
Денежные
средства
|
1892
|
|
|
|
|
|
|
|
|
Итого
по разделу 2
|
4283
|
Итого
по разделу 5
|
12448
|
|
|
|
|
|
|
Баланс
|
103733
|
Баланс
|
103733
|
=4283-(641+464+1285)=
1892 тыс.руб.
.13 Расчет планируемой цены изделия Б методами
полных и переменных затрат
- Сумма желаемой нераспределенной прибыли (40%
стоимости собственного капитала), руб/год;
Удельный вес нераспределенной прибыли* в общей
сумме прибыли до налогообложения 0,8.
- При значении 0,8 обязательные платежи в бюджет
и выплаты дивидендов не планируются.
Нераспределенная прибыль:
=62240*0,4= 24896
тыс.руб./год
Прибыль от реализации = прибыль до
налогообложения:
=24896/0,8= 31120
тыс.руб./год
Плановая цена изделия Б, рассчитанная методом
полных затрат:
=2,19*(1+31120/76705)=
3079 руб./шт.
Плановая цена изделия Б, рассчитанная методом
переменных затрат:
=0,87*(1+(31120+46357)/30348)=
3081 руб./шт.
.14 Расчет рыночной (фактической) цены изделия Б
(0,9 плановой цены производителя)
=3081*0,9= 2773
руб./шт.
.15 Расчет фактического объема продаж (0,9
планового объема производства изделия Б, при условии, что произведенный объем
продукции равен плановому, т.е. остатки готовой продукции Б соответствуют
разности между плановым и фактическим объемом продаж)
=35000*0,9= 31500
шт./год
.16 Расчет планового и фактического объема
продаж в стоимостном измерении
=3081*35000=
107835 тыс.руб./год
=2773*31500= 87350
тыс.руб./год
1.17 Отчет о прибылях и убытках предприятия за
планируемый период по плановым и фактическим данным
Плановой себестоимости проданной продукции,
=73052-448-1016=
71588 тыс.руб./год
Фактической себестоимости проданной продукции
=73052-448-1016-(3500*2,09)=
64273 тыс.руб./год
Принять:
фактическую величину коммерческих расходов 0,9
планируемой величины коммерческих расходов.
планируемую величину прибыли до налогообложения
в соответствии с расчетами п.1.12.
текущий налог на прибыль в размере 20% (при
удельном весе нераспределенной прибыли в общей сумме прибыли до налогообложения
0,8).
Отчет о прибылях и убытках
|
Наименование
показателя
|
Сумма,
тыс. руб./год
|
|
план
|
факт
|
|
Выручка
от продажи продукции
|
107835
|
87350
|
|
Себестоимость
проданной готовой продукции
|
71588
|
64273
|
|
Коммерческие
расходы
|
3653
|
3288
|
|
Прибыль
(убыток) от продажи
|
32594
|
19789
|
|
Прочие
доходы
|
1528
|
1375,2
|
|
Прочие
расходы
|
2702
|
|
Прибыль
(убыток) до налогообложения
|
31120
|
18463
|
|
Текущий
налог на прибыль
|
6224
|
3693
|
|
Нераспределенная
прибыль (убыток)
|
24896
|
14770
|
1.18 Плановый баланс хозяйственных средств на
конец года
|
АКТИВ
|
тыс.
руб.
|
ПАССИВ
|
тыс.
руб.
|
|
1.
Внеоборотные активы
|
|
3.
Капитал и резервы
|
|
|
Нематериальные
активы
|
2880
|
Уставный
капитал
|
62240
|
|
Основные
средства
|
87780
|
Добавочный
капитал
|
------
|
|
|
|
Резервный
капитал
|
------
|
|
|
|
Нераспределенная
прибыль (непокрытый убыток)
|
24896
|
|
Итого
по разделу 1
|
90660
|
Итого
по разделу 3
|
87136
|
|
|
|
|
|
|
2.
Оборотные активы
|
|
4.
Долгосрочные обязательства
|
|
|
Запасы
|
|
Займы
и кредиты
|
29045
|
|
сырье
и материалы
|
641
|
Итого
по 4 разделу
|
29045
|
|
прочие
запасы + инструменты
|
464
|
|
|
|
затраты
в незавершенном производстве
|
448
|
|
|
|
|
|
|
|
готовая
продукция и товары для перепродажи
|
1016
|
5.
Краткосрочные обязательства
|
|
|
|
|
|
|
расходы
будущих периодов
|
1285
|
Займы
и кредиты
|
-
|
|
|
|
|
|
Дебиторская
задолженность
|
------
|
|
|
|
Краткосрочные
финансовые вложения
|
------
|
Прочие
краткосрочные обязательства
|
4149
|
|
Денежные
средства
|
25816
|
|
|
|
|
|
|
|
|
Итого
по разделу 2
|
29670
|
Итого
по разделу 5
|
4149
|
|
|
|
|
|
|
Баланс
|
120330
|
Баланс
|
120330
|
=1892+320+8470+24896-8299-(448+1016)=
25816 тыс.руб.
где
- плановое или фактическое значение
величины денежных средств на конец года;
- величина денежных средств на
начало года;
- величина амортизации нематериальных
активов;
- величина амортизации основных
средств;
- величина амортизации МБП;
- фактическая или плановая величина
нераспределенной прибыли (непокрытого убытка);
- величина краткосрочных
обязательств.
Фактический баланс хозяйственных
средств на конец года
|
АКТИВ
|
тыс.
руб.
|
ПАССИВ
|
тыс.
руб.
|
|
1.
Внеоборотные активы
|
|
3.
Капитал и резервы
|
|
|
Нематериальные
активы
|
2880
|
Уставный
капитал
|
62240
|
|
Основные
средства
|
87780
|
Добавочный
капитал
|
------
|
|
|
|
Резервный
капитал
|
------
|
|
|
|
Нераспределенная
прибыль (непокрытый убыток)
|
14770
|
|
Итого
по разделу 1
|
90660
|
Итого
по разделу 3
|
77010
|
|
|
|
|
|
|
2.
Оборотные активы
|
|
4.
Долгосрочные обязательства
|
|
|
Запасы
|
|
Займы
и кредиты
|
29045
|
|
сырье
и материалы
|
641
|
Итого
по 4 разделу
|
29045
|
|
прочие
запасы + инструменты
|
464
|
|
|
|
затраты
в незавершенном производстве
|
448
|
|
|
|
|
|
|
|
готовая
продукция и товары для перепродажи
|
8331
|
5.
Краткосрочные обязательства
|
|
|
|
|
|
|
расходы
будущих периодов
|
1285
|
Займы
и кредиты
|
-
|
|
|
|
|
|
Дебиторская
задолженность
|
------
|
|
|
|
Краткосрочные
финансовые вложения
|
------
|
Прочие
краткосрочные обязательства
|
4149
|
|
Денежные
средства
|
8375
|
|
|
|
|
|
|
|
|
Итого
по разделу 2
|
19544
|
Итого
по разделу 5
|
4149
|
|
|
|
|
|
|
Баланс
|
110204
|
Баланс
|
110204
|
=1892+320+8470+24896-8299-(448+(3500*2,09+1016))=8375
тыс.руб.
.19 Расчет плановой и фактической величины
основных показателей хозяйственной деятельности предприятия
Сумма хозяйственных средств:
Плановая: 120330 тыс.руб./год.
Фактическая: 110204 тыс.руб./год.
Собственные оборотные средства:
Плановые: 29670-4149= 25521
тыс.руб./год
Фактические: 19544-4149= 15395
тыс.руб./год
Коэффициент обеспеченности
собственными средствами:
Плановый: (29670-4149)/29670= 0,86
Фактический: (19544-4149)/19544=
0,79
Коэффициент абсолютной ликвидности:
Плановый: 25816/4149= 6,22
Фактический: 8375/4149= 2,02
Коэффициент текущей ликвидности (или
коэффициент покрытия баланса):
Плановый: 29670/4149= 7,15
Фактический: 19544/4149= 4,71
Выручка от продажи продукции:
Плановая: 107835 тыс.руб./год
Фактическая: 87350 тыс.руб./год
Прибыль до налогообложения:
Плановая: 31120 тыс.руб./год
Фактическая: 18463 тыс.руб./год
Нераспределенная прибыль:
Плановая: 24896 тыс.руб./год
Фактическая: 14770 тыс.руб./год
Производительность труда на
предприятии:
Плановая: 107835/93= 1160
тыс.руб./чел.
Фактическая: 87350/93= 939
тыс.руб./чел.
Фондоотдача:
Плановая: 107835/92015= 1,17
Фактическая: 87350/92015= 0,95
Фондоёмкость:
Плановая: 92015/107835= 0,85
Фактическая: 92015/87350= 1,05
Число оборотов оборотных средств:
Плановое: 107835/16977= 6,35
Фактическое: 87350/11914= 7,33
Оборачиваемость собственного
капитала:
Плановая: 107835/74688= 1,44
Фактическая: 87350/69625= 1,25
Рентабельность продукции:
Плановая: 32594/71588= 0,46
Фактическая: 19789/64273= 0,31
Рентабельность продаж:
Плановая: 32594/107835= 0,3
Фактическая: 19789/87350= 0,23
Рентабельность активов:
Плановая: 31120/112032= 0,28
Фактическая: 18463/106969= 0,17
Рентабельность собственного
капитала:
Плановая: 24896/74688= 0,33
Фактическая: 14770/69625= 0,21
Плановые и фактические значения
основных показателей хозяйственной деятельности предприятия в I периоде
|
Наименование
показателя и его размерность
|
План
|
Факт
|
|
Сумма
хозяйственных средств (тыс.руб/год):
|
120330
|
110204
|
|
Собственные
оборотные средства(тыс.руб/год):
|
25521
|
15395
|
|
Коэффициент
обеспеченности собственными средствами:
|
0,86
|
0,79
|
|
Коэффициент
абсолютной ликвидности:
|
6,22
|
2,02
|
|
Коэффициент
текущей ликвидности:
|
7,15
|
4,71
|
|
Выручка
от продажи продукции(тыс.руб/год):
|
107835
|
87350
|
|
Прибыль
до налогообложения(тыс.руб/год):
|
31120
|
18463
|
|
Нераспределенная
прибыль(тыс.руб/год):
|
24896
|
14770
|
|
Производительность
труда на предприятии (тыс.руб./чел):
|
1160
|
939
|
|
Фондоотдача:
|
1,17
|
0,95
|
|
Фондоёмкость:
|
0,85
|
1,05
|
|
Число
оборотов оборотных средств:
|
6,35
|
7,33
|
|
Оборачиваемость
собственного капитала:
|
1,44
|
1,25
|
|
Рентабельность
продукции:
|
0,46
|
0,31
|
|
Рентабельность
продаж:
|
0,30
|
0,23
|
|
Рентабельность
активов:
|
0,28
|
0,17
|
|
Рентабельность
собственного капитала:
|
0,33
|
0,21
|
.20 График рентабельности
Точка безубыточности (критический объем продаж):
=46357/(3081-867)=
20939 шт./год
где
- суммарные условно-постоянные
затраты, руб./год;
- цена единицы продукции, руб./шт.;
- удельные переменные затраты,
руб./шт.
Коэффициент покрытия:
=(3081-867)/3081= 0,72
Запас финансовой прочности:
=(107835-64513)/107835*100%= 40%
Операционный рычаг:
=(46357+31120)/31120= 2,49
.21 Выводы по первому плановому
периоду
Объем продаж достаточно высок,
продано 31,5 тыс.шт. из 35 тыс.шт., изделие Б конкурентоспособно. Получена в
текущем году прибыль. И при этом можно говорить о минимальных рисках, так как
запас финансовой прочности составил 40%.
На первом этапе своей деятельности
предприятие добилось главных целей: осуществило прирост собственных средств за
счет нераспределенной прибыли и получило реальные данные о спросе и предложении
на рынке. Большинство товара продано, но выявлены потребности в более
качественном товаре для одних потребителей, и менее качественном (с меньшими возможностями)
- для других.
Нераспределенная прибыль может быть
использована для:
Пополнения собственных оборотных
средств
Приобретения нового оборудования
Реконструкции производственных
процессов
Создания резервного фонда.
Оценка деловой активности
Деловая активность предприятия
проявляется, прежде всего, в скорости оборота оборотных средств. При чем
оборачиваемость оборотных средств фактическая больше плановой, то есть на
единицу оборотных активов получено больше выручки, что благоприятно для
предприятия.
Фактические выручка от реализации и
прибыль до налогообложения оказались меньше плановых, т.к. рыночная цена и
фактический объем продаж меньше плановых.
Фондоотдача характеризуется
количеством выпускаемой продукции на единицу основных производственных фондов.
Значение не велико, что может объясняться неполной загруженностью основных
средств. Свободные земля, помещения, что в свою очередь связано с тем, что
предприятие только образовалось, а в целях значительные расширения
производства, чтобы занимать более устойчивые позиции на рынке и завоевывать
новые рынки; а также неполная загрузка технологического оборудования, что и
наблюдается на первом году существования предприятия. Не задействованы все
мощности предприятия, что конечно планируется на следующих периодах. Также
зависит от подбора номенклатуры производимой продукции. Уменьшение фактического
показателя свидетельствует о необходимости поисков новых видов продукции,
совершенствования производимой и более тщательного анализа спроса.
Производительность труда на
предприятии характеризует эффективность использования человеческих ресурсов на
предприятии. Уменьшение фактической величины свидетельствует о снижение
величины выручки от реализации, но при этом каждый рабочий в среднем
обеспечивает 939 тыс.руб выручки в год.
Оборачиваемость собственного
капитала показывает, сколько денежных единиц продукции принесла одна единица
собственного капитала. Снижение оборачиваемости собственного капитала
показывает тенденцию к бездействию части собственного капитала.
Оценка рентабельности
Рентабельность предприятия отражает
степень прибыльности его деятельности.
Рентабельность продаж (план = 0,30;
факт = 0,23) показывает величину прибыли на 1 рубль реализованной продукции.
Наблюдается уменьшение фактического показателя, связанное с неизменностью
условно-постоянных затрат, уменьшающих прибыль более, чем изменяется выручка от
реализации.
Рентабельность продукции (план =
0,46; факт = 0,31) показывает величину прибыли на один рубль издержек текущего
периода.
Рентабельность активов (план =0,28;
факт = 0,17) показывает эффективность использования имущества предприятия,
уменьшение фактической величины, связано с получением меньших прибылей.