Анализ производственной деятельности ООО 'Томскнефтепереработка'
Содержание
Введение
1. Общие сведения о предприятии и его задачах
1.1 История предприятия ООО "Томскнефтепереработка"
1.2 Назначение предприятия в системе нефтепроводного транспорта
2. Описание технологического процесса и технологической схемы
производственного объекта
2.1 Структура предприятия
2.2 Описание технологических схем складского хозяйства
3. Организационно - экономическая часть
3.1 Основных отделы предприятия. Их функции и назначение:
4. Индивидуальное задание
Заключение
Список используемой литературы
Введение
Я проходил производственную практику в компании ООО
"Томскнефтепереработка"
Предприятие мощностью 600 тысяч тонн в год по сырью находится
в с. Семилужки Томской.
Срок производственной практики составляет 90 дней (760
часов).
Цели практики:
1. Закрепление теоретических знаний, полученных мной в
процессе обучения;
2. Приобретение необходимых знаний и навыков
практической работы по специальности "Нефтегазовое дело" в области
эксплуатации и обслуживания объектов транспорта и хранения нефти и газа;
. Сбор сведений для выпускной квалификационной работы.
Задачи:
1. Ознакомиться со спецификой работы специалистов
трубопроводного транспорта нефти и газа, а именно по профессии
Оператор-товарный;
2. Ознакомиться с содержанием, организацией и методикой
проведения работ по обслуживанию объектов нефтегазового комплекса;
. Применить теоретические знания и навыки, полученные
в ходе обучения.
1. Общие
сведения о предприятии и его задачах
1.1 История
предприятия ООО "Томскнефтепереработка"
ООО "Томскнефтепереработка" - первый на юге Томской
области нефтеперерабатывающий завод, один из основных поставщиков
нефтепродуктов в Западно-Сибирском регионе.
2012 г. Мощность завода ООО
"Томскнефтепереработка" по переработке нефти составляет 600 000 тонн
в год.
2011 г. Мощность завода ООО
"Томскнефтепереработка" по переработке нефти составляет 400 000
тонн в год.
2011 г. Этап II Проводится дальнейшее
техническое перевооружение I и II этапа. Ввод в эксплуатацию в августе
2011 года. Мощность возросла до 400 000 тонн нефти в год.
2009-2010 гг.этап модернизации завода по
увеличению мощностей до 240 000 тонн в год, был достигнут в 2010 года.
Построен приемно-сдаточный пункт с системой измерения
количества и показателей качества нефти с точкой подключения к магистральному
нефтепроводу ОАО АК "Транснефть".
Создано предприятие ООО "Томскнефтепереработка" для
реализации проекта строительства НПЗ малой мощностью до 200 000 тон в
год, с дальнейшей переработкой нефти и реализации продукции.
Руководством компании было принято решение о приобретении
месторождения в Западно-Сибирском Федеральном округе. Проведенные маркетинговые
исследования позволили сделать окончательный вывод о целесообразности
строительства нефтеперерабатывающего завода в Томской области.
технологическая схема нефтепроводный транспорт
1.2
Назначение предприятия в системе нефтепроводного транспорта
МНПЗ предназначен для переработки сборной Западно-Сибирской
нефти по топливному варианту путем разгонки на фракции, являющиеся товарной
продукцией. Разгонка сырья производится на установках УПН-100.
Проектом предусмотрено обессоливание нефти перед разгонкой.
Сырье на предприятие поступает по трубопроводу через узел
учета нефти от магистрального трубопровода.
Хранение сырья и готовой продукции производится на складе в
резервуарах общей емкостью 7000 м3.
Отгрузка готовой продукции осуществляется автотранспортом.
Снабжение предприятия энергоресурсами производится:
электроэнергией - от проектируемой подстанции, оснащенной
двумя трансформаторами мощностью 10/04 кВ каждый.
Резервное электроснабжение осуществляется от проектируемой
дизельной электростанции с установкой одного дизельного генератора мощностью
565 кВт. Для аварийной остановки предусмотрена система бесперебойного питания
от аккумуляторных батарей.
теплоэнергией:
а) паром с Р=0,5 МПа от проектируемой блочно-модульной
котельной, оснащенной двумя паровыми котлами ДСЕ-2,5-14Лж;
б) теплофикационной водой с t =130 ÷ 70оС от проектируемой блочно-модульной котельной;
в) горячей водой с t = 65оС от - проектируемой
блочно-модульной котельной.
топливом - затемненным продуктом и углеводородными газами
собственного производства, на период пуска - привозным жидким топливом;
водой - на хоз-бытовые, лабораторные, питьевые и
технологические нужды от собственной артезианской скважины;
азотом - от баллонов, устанавливаемых в шкафах;
Водоотведение:
хоз-бытовые, ливневые стоки - на очистку в проектируемые
очистные сооружения;
технологические стоки с установок ЭЛОУ - на проектируемые
очистные сооружения;
химзагрязненные стоки от лаборатории, смыва отбортованных
площадок - на проектируемые очистные сооружения;
стоки от промывки резервуаров в период ремонта с содержанием
нефтепродуктов 1000 мг/л - на проектируемые очистные сооружения;
загрязненные стоки от промывки резервуаров моющими растворами
вывозятся с предприятия организацией, производящей промывку, для повторного
использования и регенерации моющих растворов;
стоки от очистных сооружений с ПДК, установленными для
рыбохозяйственных водоемов, отводятся в р. Ручей
В качестве сырья используется легкая низкосернистая нефть
(содержание серы - 0,5%), что позволяет достигать высокого качества
производимой продукции.
В настоящее время завод ООО "Томскнефтепереработка"
выпускает следующие виды продукции:
С вводом в эксплуатацию вторичных процессов переработки
нефти в 2015 году номенклатура выпускаемой продукции будет соответствовать
техническому регламенту, утвержденному Постановлением Правительства №118 от
27.02.2008 "О требованиях к автомобильному и авиационному бензину,
дизельному и судовому топливу, топливу для реактивных двигателей и топочному
мазуту"
Миссией ООО "Томскнефтепереработка" является
внутреннее развитие, расширение производственной базы и увеличение мощности
завода с применением инновационных идей и технологий.
Стратегия предприятия - увеличение глубины переработки и
мощности, а также улучшение качества продукции и безопасности производства.
Детально проработанная стратегия развития компании предполагает, что к концу
2015 года ООО "Томскнефтепереработка" должно пройти сложный и довольно
интенсивный путь от нефтеперерабатывающего завода с малыми мощностями и
ресурсами до предприятия с внедренными глубокими процессами вторичной
переработки нефти. При этом все процессы будут обеспечивать полное выполнение
требований Правительства Российской Федерации к предприятиям,
специализирующимся на нефтепереработке, по глубине и стандартам качества.
Цель - укрепление позиций на региональном рынке
Томской области и близлежащих регионов, за счет расширения общей
производительности мощностей переработки, а также развитие экспортного
направления и вывод продукции на внешние рынки.
2. Описание
технологического процесса и технологической схемы производственного объекта
2.1 Структура
предприятия
. Объекты технологического назначения:
Установка перегонки нефти УПН100А;
Установка переработки нефти УПН100Б;
Склад нефти и нефтепродуктов (резервуарные парки темных и
светлых нефтепродуктов);
Насосная склада;
Пункт налива автоцистерн;
Малогабаритная котельная;
Трансформаторная подстанция;
Операторная;
Дизельная электростанция;
2. Объекты водоснабжения и канализации.
Противопожарные резервуары;
Насосная противопожарного водоснабжения;
Резервуар дренажных вод V=50 м куб.
Очистные сооружения;
3. Объекты административно-бытового назначения.
Административно-бытовой корпус;
Контрольно-пропускной пункт;
Площадка для хранения материалов;
Основным видом передвижения в районе является автотранспорт.
На нужды отопления и горячего водоснабжения используется
мазут и каменный уголь.
По территории области проходит нефтепровод, от которого завод
обеспечивается нефтью.
Готовая продукция предприятия отправляется потребителям
автотранспортом грузоподъемностью 10 т.
Перемещение продуктов в процессе производства осуществляется
по трубопроводам.
Для отгрузки продукции автотранспортом предусматривается
пункт налива в автоцистерны на 5 стояков.
Въезд-выезд на предприятие для проезда автоцистерн, пожарной
и ремонтной техники предусматривается со стороны автодороги общей сети.
2.2 Описание
технологических схем складского хозяйства
. Прием нефти и отгрузка готового продукта - мазута.
Сырая нефть поступает в резервуар Е101/1 (Е101/2) по
трубопроводу от магистрального нефтепровода с узла коммерческого учета нефти.
Предусмотрен вариант подачи нефти в резервуары из автоцистерн через сливной
коллектор насосом Н105, Н105Р. Нефть из резервуара Е101/1 (Е101/2) насосом
Н101/1, Н101/2 подается на установки переработки нефти УПН 100А, УПН 100Б в
расходные емкости Е201, Е401. Предусмотрен возврат некондиции в пусковой период
с установок УПН-100 и аварийный сброс с узлов обессоливания УПН-100 в
резервуары нефти склада.
Мазут с установок переработки нефти поступает по
трубопроводам в резервуар Е102/1. Отгрузка мазута осуществляется
автотранспортом. Подача мазута на сливо-наливные стояки поз. СТ103/1,2
производится насосами Н102/1, Н102/2, Н102Р. Предусмотрена циркуляция мазута
при отгрузке для предотвращения застывания продукта. Автоматизированная система
верхнего налива АСН-5В НОРД (0-0) ХЛ2 состоит из наливного стояка и
измерительного модуля, позволяющего наливать мазут в автоцистерну в
двухскоростном режиме (по схеме "медленно-быстро-медленно"), а также
обеспечивает автоматическую остановку процесса (при достижении верхнего уровня
в автоцистерне).
Для предотвращения аварийных ситуаций проектом
предусматривается установка электрозадвижек на входе-выходе продукта в
резервуары, отключающих подачу продукта по достижению верхнего уровня.
Резервуары с нефтью поз. Е101/1, Е101/2 обвязаны таким
образом, что возможно перекачивание продукта насосами поз. Н105, Н105Р в случае
аварии (разгерметизации оборудования) из одного резервуара в другой.
Аварийным резервуаром для мазута является резервуар поз.
Е102/2. В случае аварии (разгерметизации резервуара Е102/1) предусмотрена возможность
перекачки мазута насосами поз. Н102/1, Н102/2, Н102Р в аварийный резервуар с
последующим возвратом в исходный.
Для освобождения трубопроводов установлена дренажная емкость
поз. Е105, откуда дренажные стоки насосом поз. Н104 подаются в резервуар с
исходной нефтью поз. Е101/1.
. Прием и отгрузка готовых продуктов - дизельного
топлива и бензиновой фракции.
Готовая продукция, а именно:
летом - бензиновая фракция, дизельное топливо "Л";
зимой - бензиновая фракция, тяжелое дизельное топливо,
дизельное топливо "З",
по трубопроводам поступает с установок УПН 100А, УПН 100Б в
резервуары склада соответственно поз. Е104/1 (104/2), Е103/1, Е103/2.
Отгрузка готовой продукции потребителю производится
автотранспортом. Для налива автоцистерн установлены 3 автоматизированных систем
верхнего налива:
СТ101/1 - для налива дизельного топлива "З";
СТ101/2 - для налива дизельного топлива "Л" либо
фракции тяжелого дизельного топлива;
СТ102 - для налива бензиновой фракции.
Автоматизированные системы верхнего налива АСН-5М состоят из
наливного стояка, насосного блока и измерительного комплекса. Порядок работы
системы приведен в "Паспорте с техническим описанием и инструкцией по
эксплуатации", который прилагается при заказе системы.
Дренаж емкостей и трубопроводов, стоки от пропарок и
подтоварная вода направляются в дренажную емкость поз. Е105
3.
Организационно-экономическая часть
Форма организации труда на установке - коллективная. Общее
руководство осуществляется директором. Руководство за ведением технологического
процесса, расстановкой кадров, ритмом рабочих смен осуществляется начальником
установки. Установка в течение смены обслуживается персоналом смены под
руководством старшего оператора.
Применение на установке системы контроля, автоматического
регулирования и управления процессом с помощью ЭВМ позволяет повысить
эффективность управления технологическим процессом, поддержание параметров в
автоматическом режиме, снижение отклонений в количестве и качестве выпускаемой
продукции.
С организационной точки зрения установка представляет собой
комплекс рабочих мест, обслуживаемых рабочими разных квалификаций и профессий,
объединенных единой цепью ритмичной работы.
На предприятии принята безцеховая структура управления.
Основными структурными подразделениями мини-завода являются:
технологические установки по переработке нефти УПН 100А,
100Б;
объекты общезаводского и вспомогательного хозяйства.
Весь контроль и управление производством централизованы и
осуществляется из единой операторной завода.
3.1 Основных
отделы предприятия. Их функции и назначение:
. Лаборатория
Контроль:
готовая продукция
сырьё
технологический процесс
вода (сточная, техническая, дистиллированная, природная)
Так же лаборатория занимается сертификацией и декларацией.
2. Отдел главного механика.
Главный механик осуществляет техническое
руководство и обеспечивает надёжную, бесперебойную, технически правильную
эксплуатацию, ремонт и техническое освидетельствование технологического,
механического оборудования, технических устройств (кроме энергетического и
метрологического), коммуникаций, зданий и сооружений производственного
назначения.
3. Отдел АСУ и ТМ
Отдел АСУ и ТМ обеспечивает выполнение функций управления
автономно, под наблюдение оперативного персонала (оператор технологических
установок, оператор товарно-сырьевого склада).
4. Отдел главного энергетика
Главный энергетик отвечает за снабжение предприятия
энергоресурсами:
электроэнергией - от проектируемой подстанции;
теплоэнергией;
топливом;
водой - на хоз. - бытовые, лабораторные, питьевые и
технологические нужды от собственной артезианской скважины;
азотом - от баллонов, устанавливаемых в шкафах;
За водоотведение:
хоз. - бытовые, ливневые стоки - на очистку в очистные
сооружения;
хим. загрязненные стоки от лаборатории;
стоки от промывки резервуаров в период ремонта;
стоки от очистных сооружений с ПДК, установленными для
рыбохозяйственных водоемов, отводятся в р. Ручей.
За электрическое освещение:
Используются:
ртутные лампы;
светильники с люминесцентными лампами;
Этот отдел занимается организацией достоверного учета нефти и
ведет
непосредственное взаимодействие с аналитической лабораторией.
Так как труба для поступления сырья к предприятию еще не проложена, сырье на
предприятие поступает в автоцистернах.
Оператор товарный должен проследить, чтобы в цистерне,
поступающей на предприятие, нефть была в полном количестве (до пяточки).
Далее оператор товарный берет пробу нефти, отдает в
лабораторию для анализа, где определяется качество привезенного продукта.
Продолжительность рабочего дня работающих в соответствии с
"Кодексом законов о труде Российской Федерации" составляет 7 часов
при 40 часовой рабочей неделе.
Продолжительность рабочего дня для ИТР составляет 8 часов,
включая часовой перерыв на обед. Режим работы - односменный, с двумя выходными
днями в неделю.
График работы основного производственного персонала -
трехсменный, четырех - бригадный, скользящий, необходимый для обеспечения
непрерывного режима производства.
Согласно "Списка производств, цехов, профессий и
должностей с вредными условиями труда, работа в которых дает право на
дополнительный отпуск и сокращенный рабочий день", утвержденный Совмином и
ЦС профсоюзов №298/П-22 25 октября 1974г, проектируемое производство относится
к нефтяной и газовой промышленности (глава IX). На основании
"Списка…" производственный персонал предприятия права на сокращенный
рабочий день не имеет, но имеет право на дополнительный отпуск.
Основная система оплаты труда, принятая в ООО
"Томскнефтепереработка" и определяемая спецификой производства является
повременно - премиальная оплата труда, целью которой является усиление
материальной заинтересованности работников в выполнении установленных планов и
договорных обязательств, повышении эффективности производства и качества
работы. В случае производственной необходимости вводят сдельную и
сдельно-премиальную оплаты труда.
При оплате труда работников применяются часовые тарифные
ставки и должностные оклады Единой Тарифной сетки по оплате труда, которые
устанавливаются в пределах категории производства (основная, вспомогательная,
непромышленная сферы) и используются при составлении штатных расписаний
рабочих, руководителей, специалистов и служащих с надбавками, доплатами и
районным коэффициентом.
Штатные расписания рабочих филиалов утверждаются руководствами
филиалов в пределах плановой численности работников и средств, предусмотренных
на оплату труда.
Квалификационные категории руководителям, специалистам,
служащим ООО "Томскнефтепереработка" присваивается только по
результатам аттестации работников в соответствии с утвержденными штатными
расписаниями.
Средняя заработная плата включает в себя доплаты, надбавки и
районный коэффициент, утвержденный правительством РФ дифференцированно по
территориальному признаку и местным факторам, влияющих на размер районного
коэффициента и северной надбавки.
4.
Индивидуальное задание
Потери нефти и
нефтепродуктов в резервуарном парке.
Методы определения потерь
нефти
Все потери нефти и нефтепродуктов классифицируются на
следующие виды:
1. количественные потери;
2. качественно-количественные потери, при которых происходит
количественная потеря с одновременными ухудшениями качества нефтепродукта, -
потери от испарения;
3. качественные потери, когда ухудшается
качество нефтепродукта при неизменном количестве, - потери при недопустимом
смешении.
Согласно "Нормам естественной убыли." под естественной
убылью понимаются потери, являющиеся следствием несовершенства существующих
в данное время средств и технологии приема, хранения, отпуска и транспорта
продуктов. При этом допускается лишь уменьшение количества при сохранении
качества в пределах заданных требований. Естественная убыль может быть также
обусловлена изменением физико-химических свойств нефтепродукта или воздействием
метеорологических факторов.
Нефтепродукты в зависимости от физико-химических свойств,
обуславливающих их естественную убыль, распределены по группам (табл.1) [4].
Таблица 1.
Потери нефтепродуктов и нефти
|
Источники
потерь
|
Потери, %
|
|
В резервуарах в
том числе: от "больших дыханий" от выдуваний от газового сифона при
зачистке в насосных станциях с канализационными стоками В линейной части в
том числе: от утечек от аварий при наливе железнодорожных цистерн
|
64,8 54,0 4,6
0,9 5,3 2,3 7,5 23,5 22,3 1,2 1,84
|
Методы определения потерь нефти в резервуарах
Метод определения потерь нефти от испарения
измерением объема паровоздушной смеси, вытесняемой из резервуара [9].
Потери углеводородов рассчитываются по формуле:
G=V∙C∙r, (1)
Где:
G-потери углеводородов, кг;
V-объём паровоздушной смеси, вышедшей из резервуара за
измеряемый промежуток времени, приведённый к давлению 0,101 мПа и температуре
273 К; м3, С - концентрация углеводородов в выходящей из
резервуара паровоздушной смеси; доли единицы
r - средняя плотность вытесняемых из резервуара углеводородных
паров, приведённых к давлению 0,101 мПа и температуре 273 К; кг/ м3
Ø Объем паровоздушной
смеси, выходящей из резервуаров, измеряется ротационными газовыми счетчиками
типа РГ, выбираемыми по максимально ожидаемой производительности; нормальными
диафрагмами, смонтированными на резервуарах в соответствии с РД 50-213-80;
анемометрами (п.4). В холодное время года применять счетчики не рекомендуется,
так как на роторах оседает иней, затрудняющий вращение последних.
Ø Концентрация
углеводородов определяется не менее 8 раз за время заполнения резервуара по
анализам проб паровоздушной смеси на газоанализаторах КГА1-1 (ОСТ 25.1256) или
хроматографах. Во избежание искажения результатов анализов вследствие
конденсации углеводородов температура подаваемых на анализ проб должна быть не
ниже, чем температура паров, выходящих из резервуара. [3] При отсутствии данных
хроматографических анализов плотность паров можно рассчитать по формуле:

, (2)
Где: Мп=0,0043 (212+tнк) 1,7-средняя
молярная масса углеводородных паров нефти в паровоздушной смеси, кг/моль; tнк-температура начала
разгонки нефти, С;
Ø В начале и конце заполнения
резервуара нефтью фиксируются показания счетчика (или расходомера, анемометра),
уровнемера, атмосферное давление, температура паровоздушной смеси, температура
воздуха, отбираются пробы паровоздушной смеси (ПВС) на хроматографический
анализ.
Фиксируются давление и температура в сепараторах КСУ, если
нефть из этих установок поступает в резервуар.
Ø В промежуточные моменты
времени ежечасно измеряется температура ПВС и отбираются пробы ПВС для
определения концентрации углеводородов на газоанализаторе КГА1-1 (ОСТ 25.1256).
Ø Отбирается до резервуара
одна проба нефти за период наблюдения в любое время для последующего
определения фракционного и углеводородного состава, плотности, давления
насыщенных паров, газового фактора (при температуре в резервуаре и давлении
1,05 атм).
Ø При расчете средней
плотности паров по результатам хроматографических анализов принимается
среднеарифметическое значение.
Рисунок 1. Схема установки счетчика типа РГ на
резервуаре:
1 - резервуар; 2 - счетчик типа РГ; 3-манометр; 4 - труба
жестяная; 5-патрубок входной; 6 - постамент; 7 - карман термометрический; 8 -
штуцер для отбора проб паровоздушной смеси; 9 - пробоотборник; 10 - люк
световой; 11 - измеритель уровня; 12 - арматура дыхательная
Метод определения потерь нефти от испарения по
изменению углеводородного состава [9].
Величина потерь нефти испарения определяется по формуле:
(3)
Где: S - величина потерь нефти, массовые доли;

-концентрация "остатка", т.е. того, что остаётся в
обезвоженной пробе нефти, отобранной до резервуара, после испарения из неё
углеводородов, массовые доли;

- концентрация "остатка" в пробе нефти, отобранной
после резервуара, доли массовые.
Концентрации определяются по формуле:
(4)
(5)
Где:

-суммарные концентрации углеводородов в пробах нефтей, отобранных
до и после резервуара.
Концентрации индивидуальных углеводородов в исходной нефти
рассчитывают по формуле:
(6)

, (7)
Где: 
-массовая концентрация i-го углеводорода в разгазированной нефти,
массовые доли; ri,Yi-плотность и концентрация i-го
углеводорода в газе, выделившемся из нефти при давлении 0,101 МПа и температуре
20 С; кг/м3 и доли мольные; 
-плотность газа при давлении 0,101 МПа и температуре 20 С, кг/м3;
Г-остаточный газовый фактор, м3/кг; Vг-объем газа,
выделившегося из нефти при давлении 0,101 МПа и температуре 20° С, м3;
Gрн-масса пробы исследуемой разгазированной нефти, кг.
Суммарное содержание легких углеводородов в пробах нефти,
отобранных до и после источника потерь, вычисляются по формулам:
(8)

, (9)
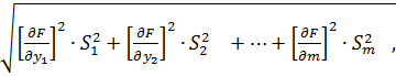
В метеорологии ошибки измерений (прямых и косвенных) принято
оценивать среднеквадратичным отклонением, выраженным в абсолютной или
относительной форме. По ГОСТ 8.381 среднеквадратичное отклонение результата
косвенных измерений величины, являющейся функцией х =F (Y1,Y2,.,Yт),
вычисляют по формуле:
S=
(10)
(11)
δС' и δС"
- среднеквадратичные
относительные ошибки в определении концентрации "остатков" в пробах
нефти, отобранных до и после резервуара.
Среднеквадратичная относительная ошибка в определении потерь
выражается формулой:
(12)
Метод применим, если разница в концентрациях остатков в пробах
нефти, отобранных до и после источника потерь, больше допустимых расхождений
между параллельными определениями концентрации на хроматографе по ГОСТ 13379,
ГОСТ 14920.
Пример расчета технологических потерь нефти по изменению ее
углеводородного состава [9].
Задача: Определить
величину технологических потерь нефти по изменению ее углеводородного состава
до и после резервуара, если давление в сепараторах КСУ не превышает 0,105 МПа,
газовый фактор до источника потерь составляет 3 × 10-3м3/кг, после источника потерь равен нулю,
плотность нефтяного газа ρ'0=1,467
кг/м3. Углеводородные составы проб нефти до и после резервуара
представлены в табл.2.
Таблица 2
Углеводородные составы проб нефти до и после резервуара
|
Компоненты
|
Содержание
компонентов
|
|
до резервуара
|
после
резервуара
|
|
в нефтяном
газе, мольные доли
|
в
дегазированной нефти, массовые доли
|
в нефти,
массовые доли
|
|
Метан (СН4)
|
0,4090
|
-
|
-
|
|
Этан (С2Н6)
|
0,0855
|
0,0020
|
0,0015
|
|
Пропан (С3Н8)
|
0,3054
|
0,0102
|
0,0083
|
|
Изо-бутан ( i С4Н10)
|
0,0493
|
0,0155
|
0,0082
|
|
Н-бутан ( n С4Н10)
|
0,0935
|
0,0223
|
0,0131
|
|
Изо-пентан ( i
С5Н12)
|
0,0236
|
0,0152
|
0,0108
|
|
Н-пентан ( n С5Н12)
|
0,0186
|
0,0165
|
0,0121
|
|
Гексан (С6Н14)
|
0,0151
|
0,0163
|
0,0159
|
Определяем суммарные концентрации легких углеводородов в
пробах дегазированной нефти до и после резервуара.

= 0,0020 + 0,0102 + 0,0155 + 0,0223 + 0,0152 + 0,0165 + 0,0163 =
0,0980 масс. доли.

= 0,0015 + 0,0083 + 0,0082 + 0,0131 + 0,0108 + 0,0121 + 0,0159 =
0,0699 масс. доли.
рассчитаем концентрации легких углеводородов в пробах нефти,
отобранных до и после резервуара:

=0,0699 масс. доли.
По формулам (12) рассчитаем концентрации "остатков":
С'= 1-0,1020 = 0,8980 масс. доли,
С"= 1 - 0,0699 = 0,9301 масс. доли.
Разность концентраций остатков 0,0321 масс. доли больше сходимости
между параллельными определениями 0,0100 по ГОСТ 13379, метод можно применять
для расчета потерь.
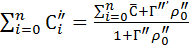
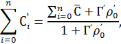
Технологические потери нефти рассчитаем по формуле (21):
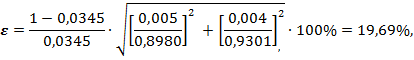
Относительную среднеквадратичную ошибку в определении потерь
рассчитаем по формуле (20):
Где: 0,005 масс. доли - абсолютная ошибка в определении
концентрации остатка С'по ГОСТ 13379 [9];
,004 масс. доли - абсолютная ошибка в определении концентрации
остатка С"по ГОСТ 13379 [9];
Заключение
Находясь на производственной практике, мной были достигнуты
следующие цели:
1.
Изучение
нормативно-технической документации, руководящих документов ООО
"Томскнефтепереработка".
2.
Получение
навыков работы в составе бригад (смен) в соответствии с получаемой профессией,
выполнение под руководством инструктора работ, предусмотренных квалификационной
характеристикой по рабочей профессии, выполнение пробной квалификационной
работы, изучение должностных и производственных инструкций для среднего
управленческого персонала (мастер участка, бригадир, диспетчер). Работа
стажером мастера участка, бригадира, диспетчера.
3.
Изучение
сырьевой и энергетической базы предприятия.
4.
Изучение
функций и содержания работы основных отделов предприятия.
5.
Изучение
порядка ведения технологической и эксплуатационной документации.
6.
Подготовка
к выпускной квалификационной работе.
2. "Коллективный
договор, регулирования социально-трудовых отношений между работодателем и
работниками ОАО "Транссибирские магистральные нефтепроводы" на
2007-2010 годы".
. ГОСТ
12.0.003-74*ССБТ - "Классификация опасных вредных производственных
факторов".
. Технологический
регламент ООО "Томскнефтефтепереработка"
. РД
153-39.4-078-01 "Правила технической эксплуатации резервуаров МН";
. Абузова
Ф.Ф., Бронштейн И.С., Новоселов В.Ф. и др. Борьба с потерями нефти и
нефтепродуктов при их транспортировке и хранении. - М.: Недра, 1981.
. Афанасьев
В.А., Иванцов О.Н., Поповский Б.В., Сафарян Н.К. Сооружение газохранилищ и
нефтебаз. - М.: Недра, 1973
. Борьба
с потерями нефти и нефтепродуктов при их транспортировке и хранении / Ф.Ф.
Абузова, И.С. Бронштейн, В.Н. Новоселов и др. - М.: Недра, 1981. - 248 с.
. Коршак
А.А. Современные средства сокращения потерь бензинов от испарения. - Уфа:
ДизайнПолиграфСервис, 2001. - 144 с.
. Хранение
нефти и нефтепродуктов: Учебное пособие. 2-ое изд., переработ. и доп. / Под
общей редакцией Ю.Д. Земенкова. - Тюмень: Издательство "Вектор Бук",
2003. - 536 с.