Статистический анализ производственной деятельности в МАУК РДТ 'Мастеровые' за период 2008-2012 гг.
КУРСОВАЯ РАБОТА
По дисциплине "Статистика"
На тему: "Статистический анализ производственной деятельности в
МАУК РДТ "Мастеровые" за период 2008-2012гг."
Оглавление
Введение
. Основные понятия и определения по
объекту исследования
2. Система
показателей, используемых для статистического анализа МАУК РДТ
"Мастеровые"
3. Методы статистического анализа МАУК РДТ "Мастеровые"
4. Расчет основных показателей МАУК РДТ "Мастеровые"
5. Расчет индексов
6. Корреляционно-регрессионный анализ
Заключение
Список использованных источников
Приложение
Введение
В современном обществе важную роль в механизме
управления экономикой на различных уровнях выполняет статистика, осуществляя
сбор, научную обработку, обобщение и анализ информации, характеризующей развитие
экономики. Одними из наиболее существенных структурных элементов экономики
являются предприятия и организации. Поэтому важным элементов статистического
анализа является анализ деятельности предприятий и организаций. Статистический
анализ применяется для исследования экономических процессов и экономических
отношений, показывает сильные и слабые стороны предприятия и используется для
принятия оптимального управленческого решения[2].
Анализ производственной деятельности предприятия
позволяет определить наиболее рациональные способы использования ресурсов и
сформировать структуру предприятия. Кроме того, статистический анализ может
выступать в качестве инструмента прогнозирования отдельных показателей
предприятия и финансовой деятельности в целом.
Статистический анализ позволяет проконтролировать
правильность движения финансовых потоков денежных средств организации и
проверить соблюдение норм и нормативов расходования финансовых, материальных
ресурсов и целесообразность осуществления затрат[10].
Актуальность выбранной темы определяется тем, что
показатели производственных и финансовых результатов характеризуют абсолютную
эффективность хозяйствования предприятия по всем направлениям его деятельности.
Цель работы - раскрыть основные аспекты анализа
финансовых и производственных результатов деятельности предприятия и
исследовать пути улучшения финансовых результатов деятельности организации.
Для достижения поставленной цели потребовалось решить
следующие задачи:
изучить теоретические основы оценки деятельности предприятия
его организационную структуру;
провести соответствующий анализ важнейших показателей,
отражающих результаты деятельности предприятия;
на основе полученных результатов анализа дать
рекомендации по улучшению деятельности предприятия.
Объектом исследования является деятельность
муниципального автономного учреждения культуры Русского драматического театра
"Мастеровые".Предмет исследования составляют финансовые,
производственный и структурные данные деятельности предприятия.
В качестве информационной базы исследования выступила
отчетность анализируемого предприятия за 2008-2012гг.
Методологической основой исследования явились такие
методы как индексный метод и корреляционно-регрессионный анализ.
Объем работы - 5 страниц.
Работа состоит из введения, двух глав, заключения,
списка использованных источников, 5 приложений, а также содержит в себе 8
таблиц и 8 рисунков.
Во введении обосновывается актуальность темы,
определяется цель и формируются задачи.
В первой главе раскрываются теоретические аспекты
анализа деятельности предприятия.
Во второй главе приводится непосредственно анализ
деятельности предприятия на основе данных МАУК РДТ "Мастеровые".
Заключение содержит краткие выводы по разделам
основной части работы.
1. Основные
понятия и определения по объекту исследования
История
Театр "Мастеровые" был основан в 1975 году и прошел долгий путь
становления - от любительской театральной студии к профессиональному театру.
Как указано на официальном сайте Русского драматического театра
"Мастеровые", день рождения театра - 8 мая 1975 г., место рождения -
премьера спектакля "Дороги, опаленные войной", поставленного по
стихам фронтовых поэтов. Это была дипломная работа выпускника Московского
Государственного института Культуры Юрия Колесникова. Актеры - молодые рабочие
строящегося автогиганта, отсюда и название театра - "Мастеровые"
[14].
За время своего существования театр несколько раз менял свой адрес - это
были и Дворец культуры КАМАЗа, и общежитие № 1/16 с проходной сценой и залом на
75 мест. В канун 2006 года театр переехал в здание Интерклубаи обрел, наконец,
собственный дом.
Многие актеры пришли в коллектив еще школьниками, росли вместе с театром
и, став настоящими профессионалами, составляют нынешний костяк труппы. В начале
90-х были набраны два актерских курса в Санкт-Петербургскую и Казанскую
академии культуры и искусств - сегодня эти выпускники составляют ядро труппы.
В августе 1997 г. скончался Юрий Михайлович Колесников, руководивший
театром два десятилетия. Осиротевшая труппа пригласила возглавить театр бывшего
актера "Мастеровых" Анатолия Яковлева. С 2006 года и по настоящее
время художественным руководителем является Валентин Ярюхин.
Основные положения и цели
Полное официальное наименование Русского драматического театра
"Мастеровые" на русском языке: муниципальное автономное учреждение
культуры города Набережные Челны "Русский драматический театр
"Мастеровые".
Учредителем (собственником) театра является муниципальное образование
город Набережные Челны. Функции и полномочия учредителя (собственника) театра
осуществляет Исполнительный комитет муниципального образования город Набережные
Челны. Координацию и регулирование деятельности театра осуществляет управление
культуры Исполнительного комитета муниципального образования город Набережные
Челны.
Юридический адрес театра: 423810, Республика Татарстан, город Набережные
Челны, улица Академика Рубаненко, дом 7 (3/18).
Фактический адрес театра: 423810, Республика Татарстан, город Набережные
Челны, улица Академика Рубаненко, дом 7 (3/18) [12].
Основными целями Русского драматического театра "Мастеровые"
являются формирование и удовлетворение духовных и социально-культурных
потребностей зрителей в театральном искусстве, повышение уровня культуры,
эстетического воспитания подрастающего поколения, организация культурно-просветительской
деятельности и культурных форм досуга, сценическое воплощение произведений
классической и лучшей современной драматургии.
Основной деятельностью РДТ "Мастеровые" является выполнение
работ, оказание услуг в сфере культуры.Для достижения поставленной цели театр
осуществляет следующие виды деятельности:
) создание, показ спектаклей и других представлений, производство
декораций, костюмов, аксессуаров;
) разработка и производство сценических приспособлений, устройств и
механизмов, индивидуальной осветительной и музыкальной сценической аппаратуры;
) организация театрально-зрелищных мероприятий, проведение
мастер-классов[12].
Управлениетеатром
Органами управления РДТ "Мастеровые" являются:
)наблюдательный совет;
) художественный руководитель;
) директор;
) общее собрание работников учреждения.
Наблюдательный совет является высшим органом управления театром.К
компетенции наблюдательного совета относится рассмотрение:
) предложений учредителя или художественного руководителя,
директора о внесении изменений в устав;
) предложений учредителя или художественного руководителя,
директора о создании и ликвидации филиалов театра, об открытии и о закрытии его
представительств;
) предложений учредителя или художественного руководителя,
директора о реорганизации театра или о его ликвидации;
) предложений учредителя или художественного руководителя,
директора об изъятии имущества, закрепленного за театром на праве оперативного
управления;
) предложений художественного руководителя, директора об участии
театра в других юридических лицах, в том числе о внесении денежных средств и
иного имущества в уставный (складочный) капитал других юридических лиц или
передаче такого имущества иным образом другим юридическим лицам, в качестве
учредителя или участника;
) проекта плана финансово-хозяйственной деятельности театра;
) по представлению художественного руководителя, директора проекты
отчетов о деятельности театра и об использовании его имущества, об исполнении
плана его финансово-хозяйственной деятельности, годовую бухгалтерскую
отчетность театра;
) предложений художественного руководителя, директора о совершении
сделок по распоряжению имуществом, которым в соответствии с уставом театр не
вправе распоряжаться самостоятельно;
) предложения художественного руководителя, директора о совершении
крупных сделок;
) предложения художественного руководителя, директора о совершении
сделок, в совершении которых имеется заинтересованность;
) предложения директора о выборе кредитных организаций, в которых
театр может открыть банковские счета;
) вопросов проведения аудита годовой бухгалтерской отчетности
театра и утверждения аудиторской организации[12].
Художественный руководитель и директор являются исполнительным органом
управления театра. Художественный руководитель по согласованию с директором:
а) утверждает репертуар;
б) утверждает план показа спектаклей;
в) исключает спектакли из репертуара;
г) определяет сроки, места и состав участников гастролей и гастрольного
репертуара;
д) утверждает проведение на сценических площадках театра гастрольных или
выездных спектаклей других организаций.
К компетенции художественного руководителя относятся:
. выпуск к публичному исполнению новых или возобновленных постановок;
. распределение ролей в новых или в возобновленных постановках;
.внесение на рассмотрение директора предложений по вопросам поощрения и
дисциплинарного воздействия по отношению к артистам, художественному персоналу;
. другие вопросы художественно - творческой деятельности.
Художественный руководитель несет персональную ответственность за
творческие результаты деятельности театра[12].
Руководство организационно-производственной и финансовой деятельностью
театра осуществляет директор. Директор по согласованию с художественным
руководителем:
а) утверждает производственно-финансовый план и штатное расписание
театра;
б) принимает решения по вопросам сдачи в аренду помещений, транспорта;
в) принимает решение об использовании денежных средств;
г) принимает решение о заключении и расторжении трудовых договоров
(контрактов) с артистами, художественным персоналом, работниками театра;
д) принимает решение о применении в соответствии с трудовым
законодательством Российской Федерации мер поощрения и дисциплинарного
воздействия по отношению к артистам, художественному персоналу, работникам
театра;
е) заключает сделки от имени театра, подписывает финансовые документы,
утверждает годовую бухгалтерскую отчетность театра и регламентирующие
деятельность театра внутренние документы, издает приказы и дает указания,
обязательные для исполнения всеми работниками театра.
К компетенции директора относятся:
. вопросы осуществления текущего руководства деятельностью театра, за
исключением вопросов, отнесенных федеральными законами или уставом к
компетенции учредителя, наблюдательного совета либо иных органов театра;
. организация проектных, строительных, реставрационных и иных работ,
изменение функционального назначения помещений, если эти решения не затрагивают
интересы художественно-творческой части театра;
. другие вопросы финансово-хозяйственной деятельности.
Директор несет персональную ответственность за обеспечение надлежащих
организационно-технических условий для работы театра.
Общее собрание работников является коллегиальным органом управления
театром.Общее собрание работников театра:
) обсуждает и принимает проект коллективного договора;
) избирает представителей работников в комиссию по трудовым спорам
театра;
) утверждает коллективные требования к работодателю.
Источниками формирования имущества и финансовых ресурсов театра являются:
)имущество, закрепленное за ним на праве оперативного управления;
)бюджетные поступления в виде субсидий и субвенций;
)средства от оказания платных услуг;
)добровольные имущественные взносы и пожертвования;
)иные поступления, не запрещенные законодательством Российской Федерации,
законодательством Республики Татарстан, муниципальными правовыми актами[12].
Деятельность театра
Вопросы, связанные с улучшениями условий и охраны труда, рабочего времени
и времени отдыха, оплаты труда, выплаты пособий и компенсаций, занятости,
обучения и переобучения, условий высвобождения работников, социальных гарантий,
регламентированы Коллективным договором, принятым собранием трудового
коллектива театра.
Так, например, стороны коллективного договора принимают на себя такие
обязательства, как:
ежегодно выпускать не менее 2-х спектаклей;
играть не менее 200 спектаклей за сезон;
обслуживать не менее 28 тысяч зрителей за сезон [13].
С 1975 года в репертуаре театра насчитывается более 40 спектаклей разных
жанров - от детских сказок до глубоких драматических постановок.
Помимо театральных постановок, РДТ "Мастеровые" принимает
активное участие и в общегородских мероприятиях, таких как торжественное
мероприятие, посвященное Международному Дню театра; театрализованное
представление, посвященное 67-ой годовщине Победы в ВОВ; "Сабантуй -
2012"; "День строителя"; "Фестиваль цветов"; открытие
района "Замелекесье"; театрализованное представление, посвященное
встрече Нового 2013 года и других.
В рамках реализации программы по профилактике правонарушений среди молодежи
театр "Мастеровые" ведет постоянную работу со школами города по
привлечению детей и подростков в театр. Это и специальные детские показы,
новогодние представления, конкурсно-развлекательная программа на бульваре
Энтузиастов в период каникул.
В театре действует театральная студия "Подмастерье", где
занятия по актерскому мастерству, сценическому движению и сценической речи
посещают около 20 подростков в возрасте от 14 до 18 лет.
В мае 2012 года театром "Мастеровые" была разработана и
предложена новая услуга для детей нашего города - занимательная экскурсия с
элементами мастер-классов по актёрскому мастерству, хореографии и театральному
гриму. Таким образом, за это время в театре была проведена 41 экскурсия,
которую посетило 1 178 человек.
Театр - участник различных российских и международных конкурсов. Ежегодно
лучшие работы актеров театра отмечаются наградами и премиями различного уровня.
2 Система
показателей, используемых для статистического анализа МАУК РДТ
"Мастеровые"
Статистическое исследование независимо от его масштабов и целей всегда
связано с расчетом и анализом различных по виду и форме выражения
статистических показателей.
Статистический показатель представляет собой количественную и
качественную характеристику социально-экономических явлений и процессов в
условиях качественной определенности. Качественная определенность показателя
заключается в том, что он непосредственно связан с внутренним содержанием
изучаемого явления или процесса, его сущностью.
Как правило, изучаемые статистикой процессы и явления
достаточно сложны, и их сущность не может быть отражена посредством одного
отдельного взятого показателя. В таких случаях используется система
статистических показателей[11].
Система статистических показателей - это совокупность
взаимосвязанных показателей, имеющая одноуровневую или многоуровневую структуру
и нацеленная на решение конкретной статистической задачи. В отличие от
признака, статистический показатель получается расчетным путем. Это может быть
простой подсчет единиц совокупности, суммирование их значений признака,
сравнения двух или нескольких величин или более сложные расчеты[1].
Расчетные показатели, вычисляемые по различным
формулам, служат для решения отдельных статистических задач анализа - измерения
вариации, характеристики структурных сдвигов, оценки взаимосвязи и т.д. Они
также делятся на абсолютные, относительные или средние. В эту группу входят
индексы, коэффициенты тесноты связи, ошибки выборки и прочие показатели.
В статистической практике широко применяются относительные показатели,
которые представляют собой результат деления одного абсолютного показателя на
другой и выражает соотношение между количественными характеристиками
социально-экономических процессов и явлений. Абсолютный показатель отражает
физические размеры изучаемых статистикой процессов и явлений, а именно их
массу, площадь, объем, протяженность, временные характеристики, а также могут
представлять собой объем совокупности, т.е. число составляющих ее единиц.
В данной работе для анализа деятельности объекта исследования будут
использованы следующие показатели[1]:
) Относительный показатель структуры(ОПС), который представляет
собой отношение структурных частей изучаемого объекта и их целого и показывает,
какой долей обладает или какой удельный вес имеет та или иная часть в общем
итоге. Он вычисляется по формуле:
ОПС
= 
(1)
2) Относительный показатель координации(ОПК), который представляет
собой соотношение структурных частей изучаемого объекта и их целого. Он
вычисляется по формуле:
ОПК
= 
(2)
)Относительный показатель структуры(ОПС), который представляет собой
соотношение абсолютных показателей, характеризующих различные явления.
ОПС
=
х 100% (3)
)Относительный показатель интенсивности(ОПИ), который характеризует
степень распространения изучаемого процесса или явления и вычисляется по
формуле:
ОПИ
= 
(4)
5)Относительный показатель динамики, который представляет собой отношение
уровня исследуемого процесса или явления за данный период времени и уровня
этого же процесса или явления в прошлом.
ОПД
= 
(5)
)Относительный показатель плана и реализации плана. Они помогают
сравнивать достигнутые результаты с намеченными целями предприятия.
Относительный показатель плана(ОПП) характеризует напряженность плана, т.е. во
сколько раз намечаемый объем производства превысит достигнутый уровень или
сколько процентов от этого уровня составит. Относительный показатель реализации
плана(ОПРП) отражает фактический объем производства в процентах по сравнению с
планируемым уровнем.
ОПП
= 
(6)
ОПРП
= 
(7)
Средняя величина представляет собой обобщенную количественную
характеристику признака в статистической совокупности в конкретных условиях
места и времени. Она отражает типичные черты и дает обобщающую характеристику
однотипных явлений по одному из варьирующих признаков. Важнейшее свойство
средней заключается в том, что она отражает то общее, что присуще все единицам
исследуемой совокупности. Значения признака отдельных единиц совокупности
варьируют под влиянием множества факторов, среди которых могут быть как
основные, так и случайные. Сущность средней в том и заключается, что в ней
взаимопогашаются те отклонения значений признака, которые обусловлены действием
случайный факторов, и учитываются изменения, вызванные действием факторов
основных. Это позволяет средней отражать типичный уровень признака и абстрагироваться
от индивидуальных особенностей, присущих отдельным единицам.
Определить среднюю во многих случаях удобнее через исходное соотношение
средней(ИСС) или ее логическую формулу[1]:
ИСС
= 
(8)
Важное значение в статистических исследованиях
коммерческой деятельности имеет индексный метод. Индекс - это относительная
величина, показывающая во сколько раз уровень изучаемого явления в данных
условиях, отличается от уровня того же явления в других условиях.Полученные на
основе этого метода показатели используются для характеристики развития
анализируемых показателей во времени, по территории, изучения структуры и
взаимосвязей, выявления роли факторов в изменении сложных явлений.
3. Методы статистического анализа МАУК
РДТ "Мастеровые"
В практической деятельности для решения конкретных
производственных задач применяются теоретические положения статистики. Знание
статистики необходимо современному специалисту для принятия решений в условиях
стохастики (когда анализируемые явления подвержены влиянию случайностей).
Для изучения предмета статистики разработаны и
применяются специфические приемы, совокупность которых образует методологию.
Применение в статистике конкретных методов предопределяется поставленными
задачами и зависит от характера исходной информации. При этом статистика
опирается на такие категории, как количество и качество, необходимость и
случайность, причинность, закономерность, индивидуальное и общее.
Статистические методы используются комплексно. Это
обусловлено сложностью процесса экономико-статистического исследования,
состоящего из трех основных стадий:
сбор первичной статистической информации;
статистическая сводка и обработка первичной
информации;
обобщение и интерпретация статистической
информации[5].
Общей методологией изучения статистических
совокупностей является использование основных принципов которыми
руководствуются в любой науке. К этим принципам, как к своего рода началам
относятся следующие:
.Объективность изучаемых явлений и процессов;
.Выявление взаимосвязи и системности в которых
проявляется содержание изучаемых факторов;
.Целеполагание, т.е. достижение поставленных целей со
стороны исследователя, изучающего соответствующие статистические данные[10].
Этапы статистического исследования:
1. Статистическое наблюдение - массовый научно
организованный сбор первичной информации об отдельных единицах изучаемого
явления.
2. Группировка и сводка материала - обобщение
данных наблюдения для получения абсолютных величин (учетно-оценочных
показателей) явления.
. Обработка статистических данных и анализ
результатов для получения обоснованных выводов о состоянии изучаемого явления и
закономерностях его развития[7].
Все этапы статистического исследования тесно связаны
друг с другом и одинаково важны. Недостатки и ошибки, возникающие на каждой
стадии, сказываются на все исследовании в целом. Поэтому правильное
использование специальных методов статистической науки на каждом этапе
позволяет получить достоверную информацию в результате статистического
исследования.
Методы экономико-статистического анализа можно условно подразделить на
две группы: традиционные и математические.
В число основных традиционных способов и приемов
экономико-статистического анализа можно включить следующее[4]:
• статистическое наблюдение;
• сводка;
• группировка;
• расчет обобщающих показателей;
• выборочный метод;
• анализ рядов динамики;
• индексный метод анализа;
• основы корреляционного и регрессионного анализа;
• метод цепных подстановок;
• балансовый метод;
• метод средних величин;
• графический метод.
При этом статистические методы не ограничиваются простым сопоставлением
показателей за различные периоды. Важно выявить факторы, повлиявшие на
изменение показателей, исследовать их фактическую повторяемость и определить
вероятность повторения тех или иных явлений и результатов.
В зависимости от специфики решаемых задач целесообразно сочетание
различных методов анализа. В данной курсовой работе рассматриваются 2 из
вышеперечисленных методов статистического анализа: индексный метод и
корреляционно-регрессионный анализ.
Индексный метод является гибким аналитическим инструментом и может
применяться в анализе показателе производственной, финансовой, инвестиционной и
других видах деятельности предприятия (фирмы).
Индекс - это относительная величина, показывающая, во
сколько раз уровень изучаемого явления в данных условиях отличается от уровня
того же явления в других условиях. Различие условий может проявляться во
времени (тогда говорят об индексах динамики), в пространстве (территориальные
индексы), в выборе в качестве базы сравнения какого-либо условного уровня,
например планового показателя, уровня договорных обязательств и т.п.
Соответственно вводят индекс выполнения обязательств или, если плановый уровень
сравнивается с уровнем предыдущего периода, - индекс планового задания[1].
В экономическом анализе индексы используются не только
для сопоставления уровней изучаемого явления, но главным образом для
определения экономической значимости причин, объясняющих абсолютное различие
сравниваемых уровней.
Относительная величина, получаемая при сравнении
уровней, называется индивидуальным индексом, если исследователь не интересуется
структурой изучаемого явления и количественную оценку уровня в данных условиях
сравнивает с такой же конкретной величиной уровня этого явления в других
условиях.
Так, индивидуальный индекс цены рассчитывается по
следующей формуле:
(9)
где p1 -
цена за единицу в текущем периоде;
p0 - ценаза единицу в базисном периоде.
Индивидуальный индекс физического объема реализации
вычисляется по формуле:
(10)
где q1 -
количество продаж товара в текущем периоде;
q0 - количество продаж товара в базисном периоде.
Сводный индекс - это сложный относительный показатель,
который характеризует среднее изменение социально-экономического явления,
состоящего из непосредственно несоизмеримых элементов. Исходной формой сводного
индекса является агрегатная. При расчете агрегатного индекса для разнородной
совокупности находят такой общий показатель, в котором можно объединить все ее элементы.
Различают сводный индекс цен, сводный индекс товарооборота и сводный индекс
физического объема реализации.
Так, сводный индекс физического объема реализации,
характеризующий изменение количества проданных билетов не в денежных, а
физических единицах измерения, рассчитывается по формуле и имеет вид:
(11)
Индивидуальные индексы производительности труда имеют
следующий вид:
(12)
Индекс трудоемкости, являющийся обратной величиной к
индексу производительности труда, будет равен:
(13)
В ряде случаев, вместо индексов в агрегатной форме удобнее использовать
средние арифметические и средние гармонические индексы. Любой сводный индекс
можно представить как среднюю взвешенную из индивидуальных индексов. Однако при
этом форму средней нужно выбрать таким образом, чтобы полученный средний индекс
был тождественен исходному агрегатному индексу.
Системы индексов могут использоваться для анализа динамики социально-экономических
явлений за ряд последовательных периодов. В этом случае для достижения
сопоставимости они должны рассчитываться по единой схеме. Такая схема расчета
индексов за несколько временных периодов называется системой индексов.
Корреляционный и регрессионный анализ являются довольно сложной
операцией. Исходными предпосылками для их проведения являются: случайный
характер факторов, нормальное распределение факторов и результативного
показателя, стохастическая независимость факторов[3].
На практике в большинстве случаев между различными переменными величинами
существуют зависимости такого вида, когда каждому значению одной переменной (Х)
соответствует не какое-то одно определенное, а множество значений другой
переменной(Y), причем нельзя сказать заранее,
какое именно значение примет зависимая величина Y. Такая зависимость получила
название статистической (или стохастической, вероятностной).
Простейшим визуальным способом выявить наличие взаимосвязи между
количественными переменными является построение диаграммы рассеяния. Это
график, на котором по горизонтальной оси (X) откладывается одна переменная, по
вертикальной (Y) другая. Каждому объекту на диаграмме соответствует точка,
координаты которой равняются значениям пары выбранных для анализа переменных.
Понять особенность статистической зависимости проще, если сравнить её с
функциональной зависимостью - зависимостью вида, когда каждому возможному
значению случайной величины Х соответствует одно возможное значение случайной
величины Y.
Допустим, что существует стохастическая зависимость случайной переменной
Y от Х. Зафиксируем некоторое значение х переменной Х. Переменная Y, в силу ее
случайной зависимости от Х, может принять любое значение из некоторого
множества, причем какое именно - заранее не известно. Поэтому, прежде всего,
стараются выяснить, изменяется или нет при изменении Х математическое ожидание
Y. Если при изменении X
математические ожидания М(Y) изменяются, то говорят, что имеет место
корреляционная зависимость величины Y от Х.
Функция же f(х)=М(Y),
описывающая изменение математического ожидания случайной переменной Y при
изменении значений переменной Х, называется функцией регрессии Y на Х, а ее
график - линией регрессии.
Поскольку наиболее простой формой зависимости в математике является
прямая, то в корреляционном и регрессионном анализе наиболее популярны линейные
модели.
Если f(х) - линейная функция, то
корреляционную зависимость можно описать с помощью уравнения вида:
М(Y/х) =Bх+A, (14)
где А и В - некоторые параметры, а М(Y/х) - условное математическое
ожидание наблюдавшихся значений Y, соответствующих Х=х.
В качестве оценок математических ожиданий принимают условные средние,
которые находят по данным наблюдений (по выборке). Условным средним ухназывают
среднее арифметическое наблюдавшихся значений Y, соответствующих Х=х.
Условное математическое ожидание М(Y/х) является функцией от х,
следовательно, его оценка, т.е. условное среднее ух, также функция от х;
обозначив эту функцию через φ(х), получим уравнение ух
= φ(х). Это
уравнение называют выборочным уравнением регрессии; функцию φ
(х) называют выборочной
регрессией, а ее график - выборочной линией регрессии.
Метод, который позволяет совершенно точно вычислить
положение линии регрессии, наилучшим образом проходящей через множество точек,
и составить уравнение этой линии, это - метод наименьших квадратов, состоящий в
том, что сумма квадратов расстояний от точек на диаграмме до этой линии
минимальна (по сравнению со всеми возможными линиями).
Другими словами, нужно свести к минимуму функцию S:
S
(15)
Может возникнуть вопрос, а именно почему сумма
квадратов? Дело в том, что, во-первых, квадрат любого числа всегда
неотрицателен, и, следовательно, сумма квадратов всегда не отрицательна, т.е.
ограничена снизу, и, следовательно, у нее есть минимум.
Выполнив элементарные преобразования, получим систему двух линейных
уравнений относительно а и b:
(16)
Решения этой системы уравнений можно записать в следующем, удобном для
расчетов виде:
b = 
=

(17)
Получив
значения a и b, можно составить уравнение линейной зависимости вида 
и
построить график этой зависимости.
Форма
связи (линия регрессии) сама по себе не дает ответа на вопрос о тесноте связи
пары переменных, в нашем случае это связь между численностью населения города и
доходом театра от продажи спектаклей. На этот вопрос отвечает коэффициент
парной корреляции. Он показывает, насколько тесно две переменные связаны между
собой. Визуально о тесноте связи можно судить по тому, насколько компактно
расположены точки-объекты около линии регрессии. Чем ближе точки к линии
регрессии, тем теснее связь.
Коэффициент
парной корреляции r принимает значения в диапазоне от -1 до +1.
Положительные
значения коэффициента корреляции r свидетельствуют о положительной связи между
признаками, отрицательные - об отрицательной связи.
Если
r = 1, то между двумя переменными существует функциональная положительная
линейная связь, т.е. на диаграмме рассеяния соответствующие точки лежат на
одной прямой с положительным наклоном.
Если
r = -1, то между двумя переменными существует функциональная отрицательная
линейная зависимость, т.е. на диаграмме рассеяния соответствующие точки лежат
на одной прямой с отрицательным наклоном.
Если
r = 0, то рассматриваемые переменные линейно независимы, т.е. на диаграмме
рассеяния облако точек "вытянуто по горизонтали".
Формула
для вычисления парного коэффициента корреляции:
r = 
(18)
Чем выше по модулю (по абсолютной величине) значение коэффициента
корреляции, тем сильнее связь между признаками. Принято считать, что
коэффициенты корреляции, которые по модулю больше 0,7, говорят о сильной связи
Коэффициенты корреляции, которые по модулю меньше 0,7, но больше 0,5, говорят о
связи средней силы. Наконец, коэффициенты корреляции, которые по модулю меньше
0,5, говорят о слабой связи.
Основными задачами корреляционного анализа являются определение наличия
связи между отобранными признаками, установление ее направления и
количественная оценка тесноты связи. Задачи корреляционного анализа сводятся к
измерению тесноты известной связи между варьирующимися признаками, определению
неизвестных причинных связей и оценке факторов, оказывающих наибольшее влияние
на результативный признак.
Задачами регрессионного анализа являются выбор типа модели (формы связи),
установление степени влияния независимых переменных на зависимую и определение
расчетных значений зависимой переменной (функции регрессии).
Решение всех названных задач приводит к необходимости комплексного
использования этих методов.
Исследование связей в условиях массового наблюдения и действия случайных
факторов осуществляется, как правило, с помощью экономико-статистических
моделей.
Необходимые условия применения корреляционного анализа.
. Наличие достаточно большого количества наблюдений о величине
исследуемых факторных и результативных показателей (в динамике или за текущий
год по совокупности однородных объектов).
. Исследуемые факторы должны иметь количественное измерение и отражение в
тех или иных источниках информации.
Применение корреляционного анализа позволяет решить следующие задачи:
) определить изменение результативного показателя под воздействием одного
или нескольких факторов, т.е. определить, на сколько единиц изменяется величина
результативного показателя при изменении факторного на единицу;
) установить относительную степень зависимости результативного показателя
от каждого фактора[3].
Методы экономико-статистического анализа носят универсальный характер и
не зависят от отраслевой принадлежности предприятия, позволяют менеджеру
анализировать положение дел на предприятии, разрабатывать варианты
управленческих решений, выбирать наиболее эффективные формы, оценивать влияние
этих решений на результаты деятельности предприятия.
4. Расчет основных показателей МАУК РДТ
"Мастеровые"
На 01.01.2013 вРДТ "Мастеровые" работают 60 человек при
количестве 79 штатных единиц, т.е. театр укомплектован на 75%. Из них
соотношение мужчин и женщин примерно одинаковое: 29 и 31 чел.
соответственно[9]. Возрастной состав представлен на рис. 1.
Рис.1. Возрастной состав персонала РДТ "Мастеровые", чел.
Рассчитаем относительные показатели структуры возрастного состава
персонала, используя рис.1 и формулу(1).
ОПСдо
25 лет = 
х 100% =
8,33%
ОПС26-50
лет = 
х 100% =
63,33%
ОПСсвыше
51 года = 
х 100% =
28,34%
Как
видно из рис.1 и проведенных расчетов, основной состав персонала театра - люди
в самом активном профессиональном возрасте 26-50 лет. Определим, какую часть
относительно работников в возрасте 26-50 лет составляют работники до 25 лет и
старше 51 года с помощью относительного показателя координации, вычисляемого по
формуле (2):
ОПКдо
25 лет = 
х 100% =
13,16%
ОПКсвыше
51 года = 
х 100% =
44,74%
По
образовательному уровню картина следующая (рис.2)[9].
Рис.2.
Образовательный состав персонала РДТ "Мастеровые", чел.
Рассчитаем
относительные показатели структуры по рис.2, используя формулу(1): 13,33% -
люди с начальным профессиональным или средним образованием; людей с высшим и
средним профессиональным образованием соответственно 40% и 46,67%.
ОПСвысшее
образование =
х 100% = 40%
ОПСсреднее
профессиональное образование = 
х 100% =
46,67%
ОПСначальное
профессиональное/среднее образование = 
х 100% =
13,33%
Рассчитаем
средний стаж работы сотрудников театра. Данные о стаже работы сотрудников
театра представлены на рис.3:
Рис.3.
Стаж работы сотрудников РДТ "Мастеровые", чел
Для
интервального вариационного ряда необходимо определить середины интервалов. И
тогда расчет, используя формулу(8) и согласно данным из рис.3 будет выглядеть
следующим образом:
ИСС
= 
= 13 лет
Наряду
с постоянными сотрудниками в театре, как и в любой другой организации
существует текучесть кадров. Данные текучести кадров представлены в таблице
1[9].
Таблица 1 Текучесть кадров за период
2008-2012гг.
|
2008
|
2009
|
2010
|
2011
|
2012
|
|
Убыло, чел.
|
5
|
4
|
5
|
3
|
2
|
|
Прибыло, чел.
|
4
|
5
|
5
|
3
|
4
|
Примечательно, что ежегодная текучесть кадров в театре не характерная для
артистического цеха предприятия. В артистическом цеху она носит периодический
характер. Данные о текучести кадров в артистическом цеху театра и их доля в
общей численности убывших и прибывших кадров представлены в таблице 2 и на
рис.4.
Таблица 2 Текучесть сотрудников в артистическом
цеху за период 2008-2012 гг.
|
2008
|
2009
|
2010
|
2011
|
2012
|
|
Убыло, чел.
|
1
|
0
|
0
|
1
|
1
|
|
Прибыло, чел.
|
1
|
1
|
0
|
0
|
1
|
Рис.4.
Соотношение текучести кадров на предприятии в целомиартистическом цеху
предприятия
Рассчитаем
относительный показатель структуры(ОПС) для такого явления, как текучесть
кадров в целом по предприятию, используя формулу (3) и данные из таблицы 1:
ОПС2008
= 
х 100% =
125%
В
2008 году процент убыли персонала выше процента его прибыли на 25%.
ОПС2009
= 
х 100% =
80%
В
2009 году процент убыли персонала меньше процента его прибыли на 20%.
ОПС2010
= 
х 100% =
100%
ОПС2011
= 
х 100% =
100%
В
2010 и в 2011 годах количество убывшего и прибывшего персонала относятся один к
одному. Но в 2010 году наблюдается большая текучесть кадров по сравнению с 2011
годом, поскольку убыло на 2 человека больше и прибыло на их места на 2 человека
больше, чем в 2011 году.
ОПС2012
= 
х 100% =
50%
В
2012 году количество убывших кадров составляет 50% количества прибывших.
Определим
степень интенсивности выпуска и показа спектаклей для каждой пятой части
населения с помощью относительного показателя интенсивности.
По
основным макроэкономическим показателям развития города Набережные Челны
численность постоянного населения на конец каждого из рассматриваемых периодов
составляет (таблица 3)[6].:
Таблица 3 Численность населения города
Набережные Челны за период 2008-2012 гг, тыс.чел.
|
2008
|
2009
|
2010
|
2011
|
2012
|
|
Общая численность
|
506,2
|
506,4
|
506,6
|
506,6
|
506,9
|
|
Пятая часть населения
|
101,24
|
101,28
|
101,32
|
101,32
|
101,38
|
Тогда, используя формулу (4), получим:
ОПИ2008
= 
х 101,24
= 45
ОПИ2009
= 
х101,28 =
44,8 ≈ 44
ОПИ2010
= 
х101,32 =
44,6 ≈ 44
ОПИ2011
= 
х101,32 =
41,2 ≈ 41
ОПИ2012
= 
х101,38 =
44,8 ≈ 44
Как
видно из проведенных расчетов, что не смотря на увеличивающуюся численность
населения города, количество показов спектаклей на каждую пятую часть
населения, начиная с 2009 года сокращалось с 45 до 41 спектакля. А в 2012 году
их количество практически смогло достигнуть числа показов в 2008 году, при этом
численность населения города увеличилась на 0,7 тыс. человек.
Определим
направление и аналитическое выражение связи между численностью населения города
и количеством спектаклей, сыгранных в течении рассматриваемых периодов с
помощью метода приведения параллельных данных.
Таблица 4 Сводня таблица численности населения
города и количества сыгранных спектаклей за период 2008-2012 гг.
|
2008
|
2009
|
2010
|
2011
|
2012
|
|
Население тыс.чел.
|
506,2
|
506,4
|
506,6
|
506,6
|
506,9
|
|
Количество спектаклей
|
225
|
224
|
223
|
206
|
224
Рис.5.
Обратная зависимость между численностью населения города и количеством
спектаклей
Анализ
рис.5показывает наличие близкой к прямолинейной зависимости, т.к. точки
расположены практически по прямой линии.
Основные
характеристики экономической деятельности РДТ "Мастеровые"
представлены в таблице 5[8].
В
целом можно отметить, что данные по деятельности театра соответствуют
обязательствам, описанным в коллективном договоре и муниципальных заданиях, в
которых зафиксированы следующие ключевые параметры деятельности театра:
- ежегодно выпускать не менее 2-х спектаклей;
играть не менее 200 спектаклей за сезон;
обслуживать не менее 28 тысяч зрителей за сезон.
Таблица 5 Основные характеристики деятельности
РДТ "Мастеровые" в 2008-2012 гг.
|
Показатель
|
2008 год
|
2009 год
|
2010 год
|
2011 год
|
2012 год
|
|
Количество спектаклей,
|
225
|
224
|
223
|
206
|
224
|
|
в т.ч. детских
|
100
|
103
|
106
|
116
|
126
|
|
взрослых
|
125
|
121
|
117
|
90
|
99
|
|
Количество зрителей, чел.
|
29543
|
30896
|
31054
|
30768
|
32704
|
|
Средняя наполняемость зала,
человек за спектакль
|
128
|
134
|
138
|
149
|
146
|
|
% наполняемости от числа
стационарных мест
|
88%
|
94%
|
99%
|
107%
|
102%
|
Рис.6.
Динамика соотношения количества сыгранных детских и взрослых спектаклей в РДТ
"Мастеровые" в 2008-2012 гг.
В
2008-2012 годах общее число сыгранных спектаклей в среднем достигает 220
спектаклей. При этом в динамике соотношения детских и взрослых постановок
количество сыгранных детских спектаклей неизменно растет (рис.6).
Возможно,
это объясняется растущей популярностью подобного развлечения у молодежи, что
является следствием усиленной работы коллектива театра в реализации программы
по профилактике правонарушений среди молодежи.
Действительно,
в нашем городе список подобных досуговых развлечений очень скуден. И если
принять во внимание небольшую плату, интересный репертуар и высокое качество
исполнения, то такая популярность - закономерный факт.
Но
говорить о том, что театр "становится более детским" неправильно,
поскольку нельзя сопоставлять временные и трудозатраты на постановку и
исполнение детского и взрослого спектаклей.
Чтобы
выпустить "качественный продукт" взрослого репертуара требуются более
тщательный сценарий, более глубокая отработка игры актеров, создание более
сложной декоративно-художественной составляющей и т.п. К тому же, на постановку
нового взрослого спектакля уходит не один год, поэтому количество сыгранных
спектаклей может быть уменьшено, т.к. в них работают одни и те же актеры,
которым нужно время для отработки премьерного спектакля.
Кроме
этого, есть еще один важный фактор, оказывающий на деятельность театра сильное
влияние - это экономическая ситуация.
Сильное
снижение динамики показателей в 2011 году может быть следствием экономического
кризиса 2008-2010 гг, поскольку на постановку новых спектаклей требуется
финансирование, которое в тот период направлялось на поддержание других
объектов социального минимума. Ведь наверняка театральная деятельность не
считается первоочередной в списке социальных нужд. Поэтому в 2010 году
финансирование было небольшое, и соответственно, в 2011 году сыграно меньше
спектаклей.
Вероятно,
также считают и зрители - жители города, которые в силу своих экономических
трудностей предпочитали тратить деньги только на самое необходимое: питание,
одежду и т.п. Поэтому средняя наполняемость зала в 2008-201 годах имеет самое
низкое значение и находится на пороге общего количества стационарных мест в
зрительном зале.
Однако
в период экономического подъема в 2011 году благосостояние зрителей улучшилось,
появились свободные средства на развлечения - и произошел скачок посещаемости:
средняя наполняемость зала 107 %.
В
таблице 6 представлены данные по внебюджетной деятельности РДТ
"Мастеровые"[8].
Таблица 6 Основные показатели внебюджетной
деятельности РДТ "Мастеровые" в 2008-2012 гг.
|
Показатель
|
2008 год
|
2009 год
|
2010 год
|
2011 год
|
2012 год
|
|
Доход от
предпринимательской деятельности, млн.руб., план
|
5,0
|
4,3
|
4,3
|
7,0
|
7,5
|
|
Доход от
предпринимательской деятельности, млн.руб., факт,
|
4,9
|
4,0
|
6,6
|
8,4
|
9,1
|
|
в т.ч. показ спектаклей, %
|
58
|
61
|
58
|
57
|
69
|
|
аренда, %
|
13
|
10
|
14
|
21
|
20
|
|
проведение мероприятий, %
|
3
|
4
|
5
|
6
|
4
|
|
Расходы на заработную
плату, % от дохода
|
26
|
25
|
23
|
29
|
35
|
В рассматриваемом периоде доход от предпринимательской деятельности
театра падает, что можно объяснить экономическим кризисом 2008-2010 гг. и
незначительно растет на 30 % начиная с 2010 года. Лишь в 2010 году театр
достигает плановый показатель по доходу.
В 2008-2009 гг. достижение плана по доходу на уровне 95%. Это может быть
связано либо с неправильным планированием показателя, либо с ошибками
менеджмента театра, действия которого не принесли ожидаемый доход.
Если посмотреть структуру доходов, то видно, что доход от основной
деятельности театра - показа спектаклей - составляет около ⅔ общего
дохода.
Также доходы от проведенных мероприятий и аренда помещения, напрямую
зависящие от качества менеджмента, выросли в 2010 году и чуть снизились в 2012
году. Объяснением этому может быть внутренняя ситуация в театре. Известны факты
расхождения в позициях руководства театра - художественного руководителя и
директора: в ситуации конфликта основные силы уходят на противостояние, а не на
развитие общего дела.
При этом доля расходов на заработную плату растет, и составила в 2012
году 140% уровня 2009 года.
Поскольку театр - учреждение сферы культуры, где основной продукт
творческий, характеристики его основной деятельности трудно поддаются анализу.
Невозможно провести аналогию по выпуску готовой продукции, например,
промышленного предприятия (количеству выпущенных изделий) и театра (количеству
сыгранных спектаклей). Здесь нет уверенной зависимости успеха театра от
количества продукта на выходе. Возможно лишь отметить некоторые тенденции,
сопоставив несколько факторов.
Так, самая большая средняя наполняемость зала отмечена в 2011 году.
Однако в этом же году сыграно меньше спектаклей по сравнению с другими годами рассматриваемого
периода.
Сравнительная динамика общего количества сыгранных спектаклей и средней
наполняемости зала за 2008-2012 года представлена на рис.7.:
Рис.7.
Сравнительная динамика общего количества сыгранных спектаклей и средней
наполняемости зала в 2008-2012 гг.
Поэтому,
делая вывод по показателям основной и внебюджетной деятельности театра в
2008-2012 гг., можно отметить прямую зависимость показателей театра с
экономической ситуацией. В целом, практически все показатели имеют динамику
роста и соответствуют значениям, регламентированным в коллективном договоре и
муниципальных заданиях, хотя и не доходят до плановых значений по доходу.
На
основании данных за 5 лет об источниках формирования доходов театра и его
расходов, проанализируем эффективность деятельности театра[8].
Таблица 7 Предпринимательская деятельность
театра за период 2008-2012 гг.
|
2008 год
|
2009 год
|
2010 год
|
2011 год
|
2012 год
|
|
Доход(итого):
|
4 900 031
|
4 000 000
|
6 600 000
|
8 441 552
|
9 061 279
|
|
Показ спектаклей
|
2 518 126
|
1 961 779
|
3 931 244
|
3 913 310
|
4 887 010
|
|
Аренда помещений
|
569 327
|
515 678
|
923 347
|
1 379 233
|
1 354 476
|
|
Возмещение ком.услуг
|
300 087
|
238 964
|
328 772
|
481 865
|
518 491
|
|
Проведение мероприятий
|
230 848
|
198 751
|
221 500
|
412 980
|
273 130
|
|
Проведение мастер-классов
|
54 230
|
38 278
|
59 186
|
-
|
-
|
|
Автостоянка
|
470 187
|
459 340
|
647 020
|
626 910
|
615 167
|
|
Центр занятости
|
167 320
|
-
|
125 218
|
-
|
-
|
|
Остаток на начало
|
589 906
|
587 210
|
363 713
|
1 627 254
|
1 413 005
|
|
Расход(итого):
|
4 212 821
|
3 636 287
|
4 972 746
|
6 430 659
|
7 404 110
|
|
Заработная плата
|
1 500 895
|
1 490 075
|
1 505 233
|
2 045 105
|
2 456 200
|
|
Начисление на заработную
плату
|
203 786
|
200 147
|
207 656
|
591 439
|
785 527
|
|
Коммунальные услуги
|
734 541
|
701 132
|
769 401
|
885 439
|
527 347
|
|
Налоги
|
238 342
|
223 154
|
260 254
|
429 790
|
554 953
|
|
Связь, интернет
|
56 981
|
50 261
|
75 210
|
65 699
|
92 381
|
|
Транспортные услуги
|
45 683
|
38 864
|
90 230
|
86 282
|
49 482
|
|
Содержание имущества
|
159 444
|
146 638
|
173 207
|
193 046
|
269 669
|
|
Увеличение материальных
запасов
|
596 072
|
345 761
|
744 475
|
687 572
|
730 162
|
|
Увеличение основных средств
|
-
|
-
|
-
|
95 000
|
212 347
|
|
Прочие расходы
|
547 523
|
339 712
|
969 880
|
1 195 897
|
1 690 242
|
|
Командировочные расходы
|
129 554
|
100 543
|
177 200
|
155 390
|
35 700
|
|
Остаток на конец
|
687 210
|
363 713
|
1 627 254
|
1 413 005
|
1 657 169
|
Рассчитаем статистические показатели экономической деятельности театра на
базе общего дохода театра в указанных периодах. Для расчетов будем использовать
данные о совокупном доходе театра из таблицы 7.
Рассмотрим следующие относительные показатели:
. Относительный показатель динамики(ОПД) с переменной базой сравнения за
2008 год, используя формулу (5):
ОПД2009 =х 100% = 81,63%
ОПД2010 = х 100% = 165%
ОПД2011 = х 100% = 127,9%
ОПД2012 = х 100% = 107,34%
Рассчитанная таким образом величина показывает, во сколько раз текущий
уровень дохода предприятия превышает предшествующий или какую долю от
последнего он составляет. Таким образом, можно сделать вывод, что наиболее
высокий рост доходов театра был в 2010 году, хотя его абсолютная величина не
превышает абсолютной величины дохода, полученного театром в 2012 году. Также
видно, что в 2009 году доход театра упал на 18,37% и плановый доход не был
достигнут.
. Относительные показатели плана и реализации плана дохода
предпринимательской деятельности театра, используя формулы (6) и (7):
ОПП2009
=  х 100% =
87,755%
ОПП2010
=  х 100% =
107,5%
ОПП2011
=  х 100% =
106,06%
ОПП2012
=  х 100% =
89,286%
Полученные
данные указывают на то, что в 2010 и 2011 году театру, в условиях острой
экономической ситуации, возникшей в 2008-2010 годах, пришлось работать в более
напряженном режиме.
ОПРП2008
=  х 100% =
102,08%
ОПРП2009
=  х 100% =
93,02%
ОПРП2010
=  х 100% =
153,49%
ОПРП2011
=  х 100% =
120%
ОПРП2012
=  х 100% =
121,33%
Исходя
из полученных данных, можно сказать, что наиболее успешным было выполнение
плана предпринимательской деятельности театра в 2010 году. Театр смог получить
доход в 1,5 раз больше планируемого.
5. Расчет индексов
В пределах рассматриваемого периода, опираясь на
данные из таблицы 5, можно наблюдать увеличение показа детских спектаклей и
снижение количества показа взрослых. Определим с помощью индексного метода
показатели, объясняющие различие сравниваемых уровней.
Известно, что в период 2008 - 2010 гг. цена билетов на
детский спектакль составляла 150 руб., а с 2011 года цена билетов выросла до
170 рублей. Тогда индивидуальный индекс цены, согласно формуле (9), будет
равен:
ip=  = 1,13
или 113 %.
Т.е.
цена на билеты возросла по сравнению с базисным уровнем в 1,13 или на 13%.
Индивидуальный
индекс физического объема реализации вычисляется по формуле (10) и имеет вид:
iq =  = 1,09
или 109%
Таким
образом, выпуск детских спектаклей в отчетном 2012 году увеличился в 1,09 или
на 9% по сравнению с базисным 2011 годом.
Сводный
индекс физического объема реализации, согласно формуле (11) имеет вид:
Iq =  = 1,09
или 109%
Получили,
что оборот в целом по данной категории, а именно выпуск детских спектаклей. в
текущем периоде по сравнению с базисным увеличился на 9%.
Известно,
что в 2011 в среднем в детских спектаклях задействовано 15 человек артистов, а
также средняя продолжительность детских спектаклей, равная 1,33 часа. Отсюда T0 =
0,09. В 2012 артистов, задействованных в детских спектаклях стало меньше - 13
человек. Отсюда T1 = 0,1. Тогда индивидуальный индекс
производительности труда, вычисленный по формуле (12) имеет вид:
Iw =  :  =1,21 или
121%
Полученный
результат говорит о том, что производительность труда в отчетном 2012 году была
увеличена на 21% по сравнению с базисным 2011 году в связи с увеличением
количества выпущенных спектаклей и уменьшением числа занятых артистов в детских
спектаклях. При этом индекс трудоемкости, согласно формуле (13), будет равен:
Iw=  :  = 0,98
или 98%.
Исходя
из полученных данных, можно сказать, что увеличение производительности труда
сказалось на снижении трудоемкости на 2%.
6. Корреляционно-регрессионный анализ
Для удобства проведения расчетов составим таблицу значений.
Таблица 8 Сводная таблица с данными о
численности населения города Набережные Челны и доходом МАУК РДТ
"Мастеровые" от продажи билетов на спектакли.
|
№
|
xi
|
yi
|
xi2
|
xiyi
|
|
1
|
506,2
|
2 518,1
|
256 238,44
|
1 274 662,22
|
|
2
|
506,4
|
1 961,8
|
256 440,96
|
993 455,52
|
|
3
|
506,6
|
3 931,2
|
256 643,56
|
1 991 545,92
|
|
4
|
506,6
|
3 913,3
|
256 643,56
|
1 982 477,78
|
|
5
|
506,9
|
4 887
|
256 947,61
|
2 477 220,3
|
|
Итого
|
2 532,7
|
17 211,4
|
1 282 914,13
|
8 719 361,74
|
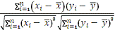
Рассчитаем коэффициент корреляции:
r = 1 099,184 : (0,52*2364,1) = 1 099,184 : 1 229,332 ≈ 0,89
Полученный результат говорит о том, что между численностью населения
города Набережные Челны и доходом театра от продажи спектаклей существует
сильная связь, т.к. коэффициент корреляции по модулю больше 0,7, и
положительном направлении связи, т.к. знак коэффициента больше 0.
Рассмотрим зависимость между численностью населения города Набережные
Челны и доходов театра от продажи билетов на спектакли в период с 2008 по 2012
гг. Попробуем провести линию регрессии через облако точек на диаграмме
рассеяния.
Рис.8 Диаграмма рассеяния, представляющая зависимость между численностью
населения и доходом предприятия.
Подставим вычисленные по таблице суммы в соотношения, найдем искомые
параметры:
a =
(22 080 748 257,082 - 22 083 527 478,898) :(6 414 570,65 - 6414 569,29) = 2 779
221,816 : 1,36 ≈ 2 043 545,453
b =
(43 596 808,7 - 43 591 312,78) : (6 414 570,65 - 6414 569,29) = 5 495,92 : 1,36
≈ 4 041,118
Таким образом, уравнение прямой имеет вид:
График зависимости представлен на рис.9:
Рис.8 Линия регрессии, представляющая зависимость между численностью
населения и доходом предприятия.
Линия регресси проходит довольно близко к точкам, что подтверждает
наличие тесной связи между рассматриваемыми явлениями.
Заключение
В результате выполнения курсовой работы был проведен статистический
анализ производственно-экономического состояния МАУК РДТ
"Мастеровые". Были проанализированы:
· основные цели и направление деятельности МАУК РДТ
"Мастеровые";
· основные показатели внутренней структуры театра;
· основные показатели экономической деятельности театра;
Исходя из имеющихся данных, можно сказать, что на производственную
деятельность театра оказывают влияние различные внутренние и внешние факторы:
текучесть кадров, мировой экономический кризис 2008-2010 гг., конкуренция, рост
цен, рост численности населения.
Благодаря такому методу статистического анализа как индексный метод было
выявлено влияние цены билетов детских спектаклей на количество их выпуска за
сезон. И благодаря такому методу статистического анализа как
корреляционно-регрессионный метод была выявлена тесная взаимосвязь между
растущей численностью населения города Набережные Челны и доходом МАУК РДТ
"Мастеровые" от продажи билетов на детские и взрослые спектакли.
На мой взгляд, необходимо сформировать такую
административно-управленческую политику внутри организации, чтобы театр был
минимально подвержен внешним изменяющимся экономическим факторам.
Список использованных источников
1. Практикум
по теории статистики: учеб. пособие/ Под ред. Р.А.Шмойловой. - М.: Финансы и
статистика, 2012. - 327 с.
2. Статистика: учебное
пособие/ Сизова Т.М. СПб.: СПб ГУИТМО, 2009.- Режим доступа
<#"823253.files/image080.gif">
Приложение 2
Исх.№ 12/01
от 02.12.2010г. г. Набережные Челны
ОТЧЕТ
Муниципального автономного учреждения
культуры города Набережные Челны
"Русский драматический театр "Мастеровые" за 2010 год
. Вводная часть
За 2010 год на сцене "Русского драматического театра
"Мастеровые" было сыграно 223 спектакля - 106 для детей и 117 для
взрослых. Их посмотрело в общей сложности 31 054 человека. Средняя
наполняемость зала - 138 человек за спектакль, что составляет 99% от общего
числа мест в зрительном зале. Мы благодарны всем нашим зрителя, тем, кто даже в
такой сложной экономической ситуации остался верен нашему театру.
Заканчивать старый год и начинать новый премьерой стало в театре уже
традицией. В январе 2010 года это была премьера сказки К. Гоцци "Принцесса
Турандот". За время зимних каникул ее посмотрело 5 149 школьников города
(декабрь 2009 г. - январь 2010 г.)
Стоимость спектакля К. Гоцци "Принцесса Турандот" составила 499
384,00 рубля. Постановка была осуществлена за счет собственных средств.
января было дано благотворительное представление для детей
реабилитационного центра "Асылташ", детского дома
"Мэрхемет", учащихся школы-интерната для детей-инвалидов №86 и детей
из благотворительного фонда "Дети ДЦП".
"Русский драматический театр "Мастеровые" традиционно
принимает активное участие и в общегородских мероприятиях, таких как:
· праздничный концерт, посвященный Международному дню 8 Марта;
· праздничный концерт, посвященный Дню защитников отечества;
· театрализованное представление, посвященной 65-ой годовщине
Победы в ВОВ;
· "Сабантуй - 2010";
· открытие главной елки города на площади "Азатлык" и
др.
С 20 по 27 апреля т.г. по приглашению Экспертного совета Российской
национальной театральной премии "Арлекин" (г. Санкт-Петербург) театр
"Мастеровые" принял участие во внеконкурсной программе фестиваля.
Вниманию зрителей был предложен спектакль по сказке Э.Т.А. Гофмана
"Щелкунчик". Питерский зритель по достоинству оценил мощный потенциал
челнинских актеров, высокий профессиональный уровень режиссуры, оригинальное и
самобытное художественное решение постановок. Поездка на фестиваль была
осуществлена на собственные средства театра - 303 200,00 рублей.
24 мая в театре "Мастеровые" прошел спектакль, организованный
при поддержке администрации города. Показ спектакля "Очень простая
история" по пьесе М. Ладо на этот раз был приурочен к празднованию Дня
Российского предпринимателя. Билеты на спектакль приобрели челнинские
предприниматели. Средства, вырученные от продажи билетов, а это 290 000 рублей,
были направлены на постановку спектакля по пьесе Н.В. Гоголя
"Женитьба" к открытию нового театрального сезона. В октябре
предприниматели города вновь посетили театр "Мастеровые". Их вниманию
был представлен премьерный спектакль, а вновь собранные средства - 262 000
рублей - планируется направить на новую постановку, теперь уже детского,
спектакля.
Признанием успеха работы творческого коллектива театра стала победа в
номинации "Дебют 2009 года", которую получил молодой актер театра
Кулов Тимур. Вручение этой награды состоялось в марте 2010 года на праздничном
вечере, посвященном Дню работника культуры. Так же в I полугодии 2010 года по достоинству была оценена работа
лучших сотрудников театра, были вручены следующие награды:
· Нагрудный знак Министерства культуры Республики Татарстан
"За достижения в культуре" - 1 человек;
· Почетная грамота Министерства культуры Республики Татарстан -
1 человек;
· Благодарственное письмо Руководителя Исполнительного комитета
г. Набережные Челны - 1 человек;
· Почетная грамота Управления культуры Исполнительного комитета
г. Набережные Челны - 3 человека;
· Премия Мэра - 2 человека.
. Внебюджетная деятельность
Доход от основной деятельности театра "Мастеровые" в 2009 году
составил 6 600 000,00 рублей(информация на 01 декабря 2010 года)при плане 4 300
000,00 рублей.
Доход:
1. Показ спектаклей - 3 931 244,00 рублей;
2. Аренда помещений - 923 347,00 рублей;
. Возмещение коммунальных услуг - 328 772,00 рубля;
. Проведение мероприятий - 221 500,00 рублей;
. Проведение мастер-классов, лекций - 59 186,00 рублей;
. Автостоянка - 647 020,00рублей;
. Центр занятости - 125 218,00 рублей;
. Остаток на 01.01.10г. - 363 713,00 рублей.
Расход:
1. Заработная плата - 1 505 233,00 рубля (в т.ч. Центр занятости -
109 647,93 рублей);
2. Начисление на заработную плату - 207 656,00 рублей (в т.ч. Центр
занятости - 15 570,00 рублей);
. Коммунальные услуги - 769 401,00 рубль;
. Налоги - 260 254,00 рубля;
. Связь, Интернет - 75 210,00 рублей;
. Транспортные услуги - 90 230,00 рублей (в т.ч. командировка - 86
300,00 рублей);
. Содержание имущества - 173 207,00 рублей;
. Увеличение материальных запасов - 744 475,00 рубля;
. Командировочные расходы - 177 200,00 рублей (суточные - 72
000,00 рублей, проживание - 105 200,00 рублей);
. Прочие расходы - 969 880,00 рублей;
. Остаток (на 01.12.10 г.) - 1 627 254,00 рублей.
. Реализация программы по профилактике правонарушений
В рамках реализации программы по профилактике правонарушенийсреди
молодежи театр "Мастеровые" ведет постоянную работу со школами города
по привлечению детей и подростков в театр. С этой целью регулярно (не менее 4-х
раз в год) посещаются совещания завучей по воспитательной работе школ города.
Посредством электронной почты ежемесячно доводится до всех школ информация о
репертуарном плане театра. Администраторами театра ведется индивидуальная
работа с классными руководителями и завучами по воспитательной работе школ
города по привлечению старшеклассников на спектакли театра
"Мастеровые". Благодаря этому количество коллективных посещений
школьниками тетра в 2010 году составило 104 посещения - 6 161 человек.Кроме
этого около 5 000школьников посетят Новогодние представления в театре с 24
декабря по 8 января.
С целью усиления работы по профилактике правонарушений среди молодежи, в
период школьных каникул театр работает по специальному репертуарному плану,
который предусматривает ежедневный показ одного или двух спектаклей. Так в
период весенних каникул было показано 13 спектаклей, их посмотрело 1 436
школьника, а за время осенних каникул таких спектаклей было сыграно 12, их
посетило 1 236 человек. Особенно важной становится работа по организации досуга
школьников в период летних каникул, когда подростки наиболее предоставлены сами
себе. В июне месяце, благодаря активному сотрудничеству театра с пришкольными
лагерями города, театр посетило 2 025 человек, было сыграно 15 спектаклей.
В течение всего года продолжалась работа по привлечению студентов города
в театр, регулярно посещались совещания проректоров по учебно-воспитательной
работе ВУЗов, ежемесячно доводилась информацию о репертуарном плане театра. В
результате этой работы театр посещали в течение 2010 года студенты 11 учебных
заведений города.
Чтобы сделать доступным для молодежи доступ к развлечениям высокого
качества, в театре на билеты для школьников и студентов сохраняется скидка 33%.
. Благотворительные мероприятия
|
№ п/п
|
Наименование организации
|
Количество билетов, шт.
|
Сумма, руб.
|
|
1.
|
Общество инвалидов
|
88
|
12 650,00
|
|
2.
|
ПНД
|
78
|
11 210,00
|
|
3.
|
Исполком Автозаводского
района
|
118
|
16 960,00
|
|
4.
|
Исполком Центрального
района
|
107
|
15 380,00
|
|
5.
|
Исполком Комсомольского
района
|
6
|
860,00
|
|
6.
|
"Асылташ"
|
20
|
2 870,00
|
|
7.
|
Общество слепых
|
18
|
2 580,00
|
|
8.
|
"Мэрхэмэт"
|
30
|
4 310,00
|
|
9.
|
"Омэт"
|
30
|
4 310,00
|
|
10.
|
АДИиР
|
82
|
11 780,00
|
|
11.
|
МЦ "Заман"
|
30
|
4 310,00
|
|
12.
|
МЦ "Орион"
|
16
|
2 300,00
|
|
13.
|
"Изгелек"
|
46
|
6 610,00
|
|
14.
|
Фонд дети ДЦП
|
133
|
19 110,00
|
|
15.
|
Пансионат для ветеранов
труда
|
80
|
11 500,00
|
|
16.
|
Школы города
|
187
|
28 950,00
|
|
17.
|
Пенсионеры мэрии
|
154
|
22 130,00
|
|
Итого:
|
1 237
|
177 820,00
|
Директор Т.А. Певгова
Приложение 3
показатель статистический анализ оценка
Приложение 4
Список формул, используемых в работе
ОПС
=  (1)
ОПК
=  (2)
ОПС
= х 100% (3)
ОПИ
=  (4)
ОПД
=  (5)
ОПП
=  (6)
ОПРП
=  (7)
ИСС
=  (8)
(9)
(10)
(11)
(12)
(13)
М(Y/х) =Bх+A, (14)
S (15)
(16)
b =  =
 (17)=
 (18)
Приложение 5
Глоссарий
Статистический показатель представляет собой количественную и
качественную характеристику социально-экономических явлений и процессов в
условиях качественной определенности.
Система статистических показателей - это совокупность взаимосвязанных
показателей, имеющая одноуровневую или многоуровневую структуру и нацеленная на
решение конкретной статистической задачи.
Относительный показатель структуры(ОПС) представляет собой отношение
структурных частей изучаемого объекта и их целого и показывает, какой долей
обладает или какой удельный вес имеет та или иная часть в общем итоге.
Относительный показатель координации(ОПК) представляет собой соотношение
структурных частей изучаемого объекта и их целого.
Относительный показатель структуры(ОПС) представляет собой соотношение
абсолютных показателей, характеризующих различные явления.
Относительный показатель интенсивности(ОПИ) характеризует степень
распространения изучаемого процесса или явления.
Относительный показатель динамикипредставляет собой отношение уровня
исследуемого процесса или явления за данный период времени и уровня этого же
процесса или явления в прошлом.
Относительный показатель плана(ОПП) характеризует напряженность плана.
Относительный показатель реализации плана(ОПРП) отражает фактический
объем производства в процентах по сравнению с планируемым уровнем.
Средняя величина представляет собой обобщенную количественную
характеристику признака в статистической совокупности в конкретных условиях
места и времени. Она отражает типичные черты и дает обобщающую характеристику
однотипных явлений по одному из варьирующих признаков.
Индекс - это относительная величина, показывающая, во сколько раз уровень
изучаемого явления в данных условиях отличается от уровня того же явления в
других условиях.
Сводный индекс - это сложный относительный показатель, который
характеризует среднее изменение социально-экономического явления, состоящего из
непосредственно несоизмеримых элементов.
Похожие работы на - Статистический анализ производственной деятельности в МАУК РДТ 'Мастеровые' за период 2008-2012 гг.
|