Синтез шестичленных кислородсодержащих гетероциклических соединений

  • Вид работы:
    Курсовая работа (т)
  • Предмет:
    Химия
  • Язык:
    Русский
    ,
    Формат файла:
    MS Word
    1,29 Мб
  • Опубликовано:
    2015-07-02
Вы можете узнать стоимость помощи в написании студенческой работы.
Помощь в написании работы, которую точно примут!

Синтез шестичленных кислородсодержащих гетероциклических соединений

Содержание

Введение

Глава 1. Нуклеофильное присоединение к α,β - непредельным карбонильным соединениям

.1 Общие положения

.2 Реакция Дильса - Альдера

.3 Присоединение по Михаэлю

Глава 2. Методы синтеза шестичленных кислородсодержащих гетероциклических соединений

.1 Реакция Аллана - Робинсона

.2 Реакция Ауверса

.3 Гетеро - реакция Дильса - Альдера

.3.1 Методика синтеза 2-этокси-2,3-дигидро-2Н-пирана

.3.2 Методика синтеза (±)-1-Метокси-1,4аα,5,6,7,7аα-1-гексагидроциклонента[с]-пирана

.4 Реакция Принса

.5 Получение хромонов по Симонису

.6 Конденсация енаминов с замещенными салициловыми альдегидами с последующим окислением образующихся O,N-кеталей

.7 Синтез солей пирилия ацилированием олефинов

.7.1 Методика синтеза 2,4,6-триметилпирилия тетрафторбората

.8 Конденсация двухатомных спиртов с кетонами

.9 Дегидратация этиленгликоля

.9.1 Методика получения диоксана гидратацией этиленгликоля

.10 Взаимодействие пирокатехина с дибромалканами в щелочной среде

.11 Взаимодействие фенола с β-галогенэтилпропионатом

.12 Взаимодействие о-оксибензилового спирта с формальдегидом

.13 Конденсация енаминов с дикетеном

.14 Конденсация енаминов с непредельными карбонильными соединениями

.15 Синтез солей пирилия взаимодействием кетонов с дикетонами

.16 Синтез солей пириллия взаимодействием ацетона с уксусным ангидридом

.16.1 Методика получения 3,4,6-триметилпирилий перхлората

Заключение

Список литературы

Введение

Для органических соединений характерно огромное разнообразие структур. Многие из них содержат циклические системы. Если циклическая система состоит из атомов углерода и хотя бы одного атома другого элемента, соединение относится к гетероциклическим. Примерно половина известных органических соединений имеет структуру, содержащую хотя бы один гетероциклический компонент [1].

С точки зрения обычных валентных представлений шестичленный цикл, содержащий атом кислорода, может быть представлен в виде пирановых структур или их производных - пиронов:


Кроме упомянутых структур известна катионная форма шестичленного гетероцикла с одним атомом кислорода - катион пирилия


Особое место занимают так называемые ароматические гетороциклы, в которых гетероатом включен в ароматическую систему сопряжения. При этом для обеспечения сопряжения он может отдавать неподеленную пару электронов.

Кислородсодержащие гетероциклы входят в состав важнейших молекулярных биорегуляторов - простагландинов, осуществляющих контроль за физиологическими функциями организма (деятельностью нервной системы, метаболизмом клетки, воспалительными процессами и др.). [4]

Физико-химические свойства

В чистом виде флавоноиды - кристаллические соединения, бесцветные (изофлавоны, катехины, лейкоантоцианидины, флаванонолы, флаваноны), желтые (флавоны, флавонолы, халконы, ауроны), а также окрашенные в красный, синий или фиолетовый цвета (антоцианидины). Без запаха горького вкуса, с определенной температурой плавления (гликозиды 100-180 0С, агликоны до 300 0С).

В зависимости от рН среды. В кислой среде они имеют оттенки красного или розового цветов; в щелочной - синего.

Гликозиды, катехины и лейкоантоцианидины хорошо растворимы в воде, этаноле и метаноле различной концентрации, но нерастворимы в полярных органических растворителях.

Агликоны, за исключением катехинов и лейкоантоцианидинов растворяются в этиловом эфире, ацетоне, этилацетате, спиртах, практически нерастворимы в воде.

Агликоны и гликозиды флавоноидов лишены запаха. Некоторые из них обладают горьким вкусом.

Флавоноидные гликозиды обладают оптической активностью, способны к кислотному и ферментативному гидролизу.

О-гликозиды при действии разбавленных минеральных кислот и ферментов гидролизуются до агликона и углеводного остатка [1].

γ-Пиран бесцветная жидкость; т. кип. 840C (с разложением); 1,4559; хорошо растворим в этаноле, диэтиловом эфире, бензоле. Нестабилен, разлагается при стоянии на воздухе при комнатной температуре; введение заместителей стабилизирует пирановый цикл. [5]

Ряд природных антибиотиков, обладающих широким спектром антибактериального действия, содержит пергидропирановое ядро. К ним относятся, например, стрептомицин, канамицин, неомицин и др. Так, стрептомицин используется при лечении туберкулеза. В 1981 г. было установлено строение самого мощного из известных токсинов небелковой природы - бреветоксина В. Он является продуктом жизнедеятельности морской водоросли Gymnodinium breve и состоит из 11 конденсированных кислородсодержащих гетероциклов, из которых 8 - гидропирановые. В 1995 г. осуществлен полный синтез этого соединения, содержащего 23 хиральных центра.


Синтетические лекарственные вещества пиранового ряда, используемые в современной медицине, представлены в основном производными бензопирана.

Наиболее важным из них является витамин Е, вернее группа веществ, называемых токоферолами (например, а-токоферол, 2), основу которых составляет токол (1):


Токоферолы различаются по числу и положению метальных групп в бензольном цикле.

Известно, что они благоприятствуют обмену жиров, поддерживают нормальную деятельность нервных волокон в мышцах, облегчают течение сердечно-сосудистых заболеваний. Токоферолы являются природными антиоксидантами. Они легко образуют свободные радикалы (за счет отрыва атома водорода от фенольного гидроксила), которые способны улавливать другие свободные радикалы, возникающие в организме в результате окислительных превращений биологически важных эндогенных субстратов[6].

Шестичленные кислородсодержащие гетероциклы представляют обширный класс органических соединений, имеющих широкий спектр применения. Участвуя в биологических процессах они исполняют важную функцию и являются незаменимыми веществами в жизнедеятельности человека.

Глава 1. Нуклеофильное присоединение к α,β-непредельным карбонильным соединениям

.1 Общие положения

Наиболее важной электронооттягивающей группой является, пожалуй группа =С=О в α,β-ненасыщенных альдегидах, кетонах, сложных эфирах [7]. Замена одного атома водорода в этилене на электроноакцепторную карбонильную группу приводит к тому, что соединения такого типа могут присоединять по кратной углерод - углеродной связи нуклеофильные реагенты, причем атака этих реагентов направляется на β-углеродный атом .

Однако α,β непредельным карбонильным соединениям свойственен еще ряд реакций, которые по конечному результату можно рассматривать как реакции присоединения по кратной углерод - углеродной связи, но в которых α,β-карбонильные соединения ведут себя подобно сопряженным диенам как единая система, способная к 1,4-присоединению.

В отличие от сопряженных диенов сопряженные α,β-ненасыщенные карбонильные соединения имеют большие дипольные моменты, причем избыточная электронная плотность сосредоточивается на атоме кислорода. Поскольку π-электроны двойной связи С=С в α,β-ненеасыщенных карбонильных соединениях смещаются в сторону карбонильной группы, дипольный момент этих соединений больше, чем у соответствующих насыщенных карбонильных соединений [8].

В реакциях α,β-непредельных альдегидов и кетонов с нуклеофильными реагентами могут затрагиваться положения 2 и 4 сопряженной системы, что объясняется эффективностью передачи полярного влияния карбонильной группы через винильную. Таким образом, нуклеофил в обоих случаях атакует электронодефицитные атомы углерода. Стабилизация образовавшегося аниона осуществляется присоединением противоиона к атому кислорода, т.е. по положению 1. В общем виде схема превращений обоих типов выглядит следующим образом:


Продукты 1,4-присоединения при А = Н неустойчивы и как и другие виниловые спирты переходят в соответствующие альдегиды или кетоны.


Пока еще не найдены общие закономерности, которые бы позволили предсказать, по какому пути в том или ином конкретном случае пойдет присоединение. Считается, что α,β-непредельные альдегиды более склонны к 1,2-присоединению, а α,β-непредельные кетоны - к 1,4-присоединению. Эти тенденции наблюдаются в реакциях с самыми различными нуклеофилами:


α,β-Непредельные альдегиды и кетоны, как и насыщенные, присоединяют слабые нуклеофилы только после активации карбонильной группы, которая, как правило осуществляется с помощью протонирования. Оно всегда идет по атому кислорода, а последующее присоединение нуклеофила по атому углерода, находящемуся в положении 4. Полученный продукт 1.4-присоединения - виниловый спирт - перегруппировывается в соответствующее карбонильное соединение [9]:


1.2 Реакция Дильса-Альдера (Диеновый синтез)

Реагируя одновременно как диен и как диенофил, α,β-ненасыщеиные карбонильные соединения могут димеризоваться, в том числе акролеин, метилвинилкетон и др., например [10]:


Существенно, что при этом не образуется м-изомер, что еще раз подтверждает предположение о протекании реакции по гомолитическому механизму. формальдегид нуклеофильный енамин альдегид

На основании этого экспериментального факта было сформулировано Правило "наибольшей кислородной плотности", согласно которому участники реакции в начальный момент ориентируются друг относительно друга так, чтобы атомы кислорода находились возможно ближе друг к другу Аналогично реагируют кротоновый альдегид и винилметилкетон [8].

Поскольку многие реакции Дильса - Альдера при повышении температуры становятся обратимыми, работать следует при возможно более низких температурах. Катализаторы обычно не требуются, хотя в некоторых случаях кислоты Льюиса (CCl3COOH, AlCl3) повышают скорость и региоселективность. В случае исходных веществ, склонных к полимеризации, прибавляют подходящие ингибиторы полимеризации (например, гидрохинон) [10].

1.3 Присоединение по Михаэлю [11]

Присоединение С-Н-кислотных соединений к винилогам карбонильных соединений в присутствии основных катализаторов имеет большое препаративное значение. Особенно гладко эти реакции протекают с (3-дикарбонильными соединениями, но хорошо идут также с кетонами и нитрилами типабензилцианида. Часто их называют присоединением по Михаэлю.

При наличии в С-Н-кислотном компоненте нескольких реакционноспособных водородных атомов кроме моноаддукта могут получаться более сложные продукты присоединения. Моноаддукт обычно удается получить с хорошим выходом, если брать избыток С-Н-кислотного компонента или проводить реакцию в разбавленных растворах.

Значительный интерес представляет присоединение альдегидов к винилогам карбонильных соединений. Альдегидный водородный атом не имеет С-Н-кислотного характера, а углеродный атом карбонильной группы представляет электрофильный центр; следовательно, для осуществления реакции полярность последнего необходимо изменить. Такое изменение происходит при реакциях ароматических альдегидов с цианид-ионом.


Промежуточно образующийся карбениевый ион присоединяется к винилогу карбонильного соединения; при этом регенерируется катализатор (CN-) и с высоким выходом образуются -дикарбонильные соединения.

В случае енолизуемых алифатических альдегидов сильноосновный цианид катализирует альдольную конденсацию. Вместо цианид-иона часто выгодно использовать гетероциклические цвиттер-ионы, получаемые из гетероциклических четвертичных солей, в особенности 1,3-тиазолов.

Проведение реакции по Михаэлю часто осложняется тем, что кроме присоединения одновременно протекает альдольная или кляйзеновская конденсация. Так осуществляется, например, взаимодействие мезитилоксида с малоновым эфиром в присутствии эквимолярного количества алкоголята натрия. Эта реакция важна как путь к получению дигидрорезорцинов:


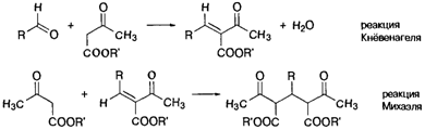
С другой стороны, реакция присоединения по Михаэлю часто следует за кротоновой конденсацией. Так, α,β-ненасыщенные соединения, образовавшиеся из β-дикарбонильных соединений и альдегидов в условиях реакции Кнёвенагеля, часто реагируют с другой молекулой β-дикарбонильного соединения по типу реакции Михаэля, давая алкилиден-бис-β-дикарбонильные соединения:


Тенденция к превращениям такого типа особенно сильно выражена у формальдегида.

Побочных реакций, вызываемых основными катализаторами, при взаимодействии с альдегидами и кетонами можно избежать, если вместо С-Н-кислотного соединения взять соответствующий енамин.

В то время как из енаминов альдегидов обычно образуются устойчивые, перегоняющиеся без разложения циклобутановые производные, циклобутаны, образующиеся из енаминов кетонов и электрофильных олефинов, при повышенной температуре вновь расщепляются на исходные вещества, которые затем дают термодинамически выгодные ациклические соединения. Образованию соединений с открытой цепью благоприятствуют полярные апротонные растворители.

Присоединение по Михаэлю имеет исключительно большое препаративное значение, так как этим путем удается удлинять в одну стадию углеродную цепь на несколько углеродных атомов:


Присоединение метилвинилкетона к 2-метилциклогексанону-1 с последующей циклизацией путем кротоновой конденсации приводит к окталону с ангулярной метильной группой. Очевидно, что это соединение содержит кольца А и В стероидов. Благодаря большой стереоспецифичности присоединения по Михаэлю оно имеет большое значение при синтезе стероидных соединений. Все известные синтезы веществ этого класса включают стадию присоединения по Михаэлю.

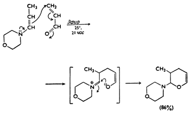
Взаимодействием ацетоуксусного эфира, аммиака (или первичного амина) и альдегида по Ганчу получают соединения ряда дигидропиридина:


При этом образуются, с одной стороны, β-амино- или β-алкиламинокротоновый эфир, а с другой стороны, в результате реакции Кнёвенагеля - алкилиден- или аралкилиденацетоуксусный эфир. Далее оба соединения реагируют друг с другом по типу присоединения по Михаэлю и дают после циклизации дигидропиридинкарбоновый эфир, который можно легко дегидрировать (например, под действием оксидов азота) до эфира пиридинкарбоновой кислоты, если в реакции использовали аммиак.

Присоединение по Михаэлю енаминов к п-бензохинону (реакция Неницеску) дает интересные в физиологическом отношении 5-гидроксииндолы. Так, из N-монозамещенных эфиров аминофумаровой (или аминомалеиновой) кислоты и п-бензохинона в присутствии трифторида бора, как правило, с хорошим выходом получают диэтиловые эфиры 5-гидроксииндолди- карбоновых-2,3 кислот:


Глава 2. Методы синтеза шестичленных кислородсодержащих гетероциклических соединений

.1 Реакция Аллана - Робинсона [12]

Синтез флавонов и изофлавонов.


2.2 Реакция Ауверса [12]

Превращение кумаранонов во флавоны. Дегидробромирование 2-бром-2-(α-бромбензил)-кумарона действием спиртового раствора щелочи.

2.3 Гетеро - реакция Дильса - Альдера [12]

Относится к реакциям [4+2]-циклоприсоединения, протекает как согласованный процесс.


2.3.1 Методика синтеза 2-этокси-2,3-дигидро-2Н-пирана [10]

0,1 моль этилвинилового эфира смешивают с акролеином в мольном соотношении 4:5. Реакцию проводят 2 часа при температуре 185°С в автоклаве или запаянной ампуле.

Методика пригодна для синтезов в полумикромасштабе.

2.3.2 Методика синтеза (±)-1-Метокси-1,4аα,5,6,7,7аα-1-гексагидроциклонента[с]-пирана [13]

Смесь 9,61 г (100 ммоль) 1-циклопентен-1-карбальдегида , 9,00 г (125 ммоль) винилэтилового эфира (т. кип. 33 лС/760 мм рт. ст., лакриматор!), 0,1 г безводного карбоната натрия и 0,1 г гидрохинона (ингибитор полимеризации) в течение 48 ч нагревают при 185 °С в атмосфере азота в запаянной ампуле (стекло марки пирекс, 4x10 см).

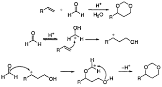
2.4 Реакция Принса [12]

Присоединение карбонильных соединений к олефинам в присутствии кислых катализаторов.


2.5 Получение хромонов по Симонису [12]

Получение хромонов реакцией фенолов с эфирами β-кетокислот, протекающей под действием пентаоксида фосфора.


2.6 Конденсация енаминов с замещенными салициловыми альдегидами с последующим окислением образующихся O,N-кеталей [14]

При конденсации енаминов с замещенными салициловыми альдегидами, в таких инертных растворителях как бензол или гексан, с количественными выходами образуются O,N-кетали типа соединения А, которые могут быть окислены с отщиплением азотсодержащего остатка и превращены в тетрагидроксантоны.


2.7 Синтез солей пирилия ацилированием олефинов [13]

2.7.1 Методика синтеза 2,4,6-Триметилпирилия тетрафторбората [13]


Раствор 15,5 г (0,21 моль, 20 мл) трет-бутанола в 250 мл (2,65 моль, 270 г) уксусного ангидрида охлаждают на бане со льдом. К этому раствору прикапывают при перемешивании в течение 15 минут без охлаждения 30 мл 50%-ной борофтористоводородной кислоты. Температура реакционной смеси быстро поднимается до 40°С, а затем медленно примерно до 80°С. Для предотвращения нагревания выше 90°С смесь необходимо время от времени охлаждать. Интенсивно окрашенный желто-коричневый раствор охлаждают при перемешивании на ледяной бане. При температуре 40°С начинается кристаллизация соли пирилия. Смесь выдерживают при 5°С 15мин, прикапывают для полноты осаждения 500 мл эфира, оставляют еще на 15 мин при 5СС, отфильтровывают на стеклянном фильтре, несколько раз промывают эфиром и после высушивания в вакууме получают 22,5г (51%) соли пирилия в виде желтоватых кристаллов.

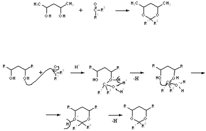
2.8 Конденсация двухатомных спиртов с кетонами [15]

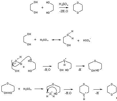
2.9 Дегидратация этиленгликоля [16]


2.9.1 Методика получения диоксана гидратацией этиленгликоля [16]

Реактивы: этиленгликоль - 25 г (22,5 мл); серная кислота (р=1,84 г/см3) - 4 г; карбонат калия (безводный); гидроксид калия; натрий металлический.

Посуда и оборудование: колба круглодонная вместимостью 150 мл; дефлегматор; термометр; холодильник водяной; колба Вюрца; делительная воронка.

(Работу проводить в вытяжном шкафу!)

В круглодонную колбу, снабженную дефлегматором с термометром и нисходящим холодильником, помещают 22,5 мл этиленгликоля и 2,4 мл концентрированной серной кислоты. Содержимое осторожно нагревают до кипения на горелке с асбестовой сеткой. Через некоторое время начинается отгонка продукта реакции в интервале 84... 102°С. Отгонку следует вести медленно, причем нагревание заканчивают, как только реакционная масса начнет сильно чернеть и вспениваться при температуре 102°С. К дистилляту добавляют кристаллический карбонат калия до образования двух слоев. Верхний слой, представляющий собой диоксан, ртделяют в делительной воронке и сушат сначала прокаленным карбонатом калия, а затем гидроксидом калия для удаления образующегося в побочной реакции уксусного альдегида (именно он обусловливает коричневый цвет продукта). Высушенный продукт перегоняют из колбы Вюрца над маленьким кусочком металлического натрия, собирая фракцию с температурой кипения 100... 103°С.

Выход 10 г (56,5% от теоретического).

,4-Диоксан - бесцветная жидкость, смешивается с водой, этиловым спиртом, диэтиловым эфиром. Т. кип. 101,3°С, т. пл. 11,7°С, р,4°= 1,0337, «3 = 1,4224.

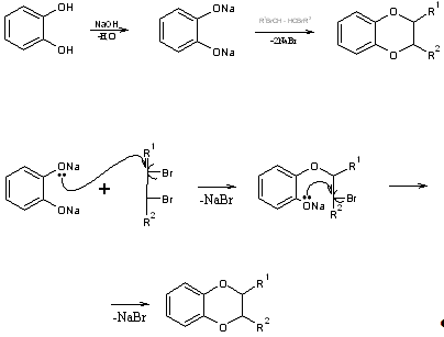
2.10 Взаимодействие пирокатехина с дибромалканами в щелочной среде [1]


2.11 Взаимодействие фенола с β-галогенэтилпропионатом [11]


2.12 Взаимодействие о-оксибензилового спирта с формальдегидом [9]


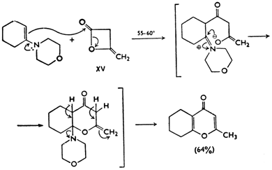
2.13 Конденсация енаминов с дикетеном [14]


2.14 Конденсация енаминов с непредельными карбонильными соединениями [14]


2.15 Синтез солей пирилия взаимодействием кетонов с дикетонами [14]



2.16 Синтез солей пириллия взаимодействием ацетона с уксусным ангидридом [17]


2.16.1 Методика получения 3,4,6-триметилпирилий перхлората [17]

В трехгорлую колбу емкостью 250 мл, снабженную мешалкой, термометром и капельной воронкой (не допускать герметичности!) помещают 57 мл (0,56 моль) свежеперегнанного уксусного ангидрида, к которому при энергичном перемешивании и охлаждении ледяной баней до 4-5° С осторожно по каплям, не допуская перегрева, прибавляют 8,7 мл (0,1 моль) 70%-ной хлорной кислоты (прим. 1). Охлаждающую баню убирают, смесь выдерживают 15 мин при комнатной температуре и к полученному прозрачному раствору ацетил- перхлората при перемешивании приливают 14,7 мл (0,2 моль) ацетона. Происходит самопроизвольное разогревание реакционной массы до 40-50° С, раствор начинает постепенно темнеть и через 1 ч становится коричневым, а через 2-3 ч наблюдается обильная кристаллизация мелких желтовато-коричневых кристаллов. Смесь помещают в холодильник на 15-20 ч, после чего осадок пирилиевой соли отфильтровывают, промывают эфиром до получения прозрачного фильтрата и высушивают. Выход 6-9 г (27-41%). Соль кристаллизуют с применением активированного угля из небольшого количества воды, в которую добавляют 1-2 капли НСlO4.

Заключение

Кислородсодержащие гетероциклические соединения являются важной составляющей химии природных соединений и лекарственных средств, ценными продуктами химической промышленности.

Методы синтеза шестичленных кислородсодержащих гетероциклических соединений очень разнообразны, однако, среди них можно выделить несколько наиболее значимых:

а) Реакции циклоприсоединения

б) Реакции расширения цикла

в) Конденсация енаминов с карбонильными соединениями

г) Гидратация этиленгликоля как промышленный способ получения диоксана

Методы синтеза шестичленных кислородсодержащих гетероциклов в большинстве своем относительно не столь сложны и не требуют особых материальных затрат.

Список литературы

1. Лузин А.П. и др.: Органическая химия: Учебник/ Под ред. Тюкавкиной А.П., 2-е изд. перераб. и доп. - M.: Медицина, 1998. - 496с.

. Иванский В.И.: Химия гетероциклических соединений: Учеб. пособие для университетов. - М.: Высш. шк, 1979. - 569с.

. Племенков В.В.: Введение в химию природных соединений, Казань.: Изд-во Казанского ун-та, 2001. - 376с.

. Дрюк В.Г., Малиновский М.С.: Курс органической химии. - Вища шк., Головное изд-во, 1987. - 400с.

. Дрыгина О.В., Гарновский А.Д., Казанцев А.В.: "Успехи химии", 1985, Т. 54, В. 12; С. 1971-1996.

. Солдатенков А.Т., Колядина Н.М., Щедрин И.В.: Основы органической химии лекарственных веществ: - М.: Химия, 2001 - 192с.

. Сайкс П.: Механизмы реакций в органической химии; Пер. с англ., Под ред. проф. Варшавского Я.М., изд. 3-е; М.: Химия, 1977 - 320с.

. Аграномов А.Е.: Избранные главы органической химии: Учеб. пособие для вузов. 2-е изд. перераб. и доп., - М.: Химия, 1990 - 560с.

. Шабаров Ю.С.: Органическая химия: Учебник для вузов. 4-е изд., М.: Химия, 2002. - 848с.

. Беккер Х. и др.,: Органикум: в 2-х т., Пер. с нем. 4-е изд. - М.: Мир, 2012. - Т. 2. - 488с.

. Беккер Х. и др.,: Органикум: в 2-х т., Пер. с нем. 4-е изд. - М.: Мир, 2012. - Т. 1. - 504с.

. Ли Дж.: Именные реакции. Механизмы органических реакций./ Пер. с англ. В.М. Демьянович. - М.: Бином, 2006. - 456с.

. Титсе Л., Айхер Т.: Препаративная органическая химия: Реакции и синтезы в практикуме органической химии и научно-исследовательской лаборатории. Пер. с нем. - М.: Мир, 1999. - 704с.

. Пакет Л.: Основы современной химии гетероциклических соединений./ пер. с англ. Глушкова Р.Г., Граника В.Г. - М.: Мир, 1971. - 352с.

. Гетероциклические соединения: в 6-ти т., Под ред. Эльдерфилда Р., Пер. с англ.: - М.: ИздИнЛит, 1954 - Т. 3. - 438с.

. Гитис С.С. и др.: Практикум по органической химии: Учеб. пособие для вузов. - М.: Высш. шк., 1991. - 303с.

. Симонов А.М., Пожарский Ф.Г., Немиров Г.В., Назарова З.Н.: практикум по органической химии, Ростов-на-Дону, РГУ,1961. 100с.

Похожие работы на - Синтез шестичленных кислородсодержащих гетероциклических соединений

 

Не нашли материал для своей работы?
Поможем написать уникальную работу
Без плагиата!
Без нейросетей!