Планирование объемов производства на хлебопекарном предприятии
Введение
Предшественница современной России. Россия
советская была страной парадоксов: вместо экономики экономическая политика,
вместо экономической теории политическая экономия, вместо торговли
распределение по карточкам, вместо спроса и предложения товаров государственное
распределение экономических ресурсов. Нет рыночной экономики нет и её
теоретического обоснования, теории рыночного хозяйства.
Воссоздание рынка, по своей сути, является
воссозданием новой экономической системы, а из новой экономической политики
вырастает «новая», рыночная, экономика.
Теоретическое осмысление практики экономической
жизни России времен перестройки происходило на основе сложившейся европейской и
американской экономических теорий. В начале 90-х годов появляются первые американские
учебники, переведенные на русский язык для массового читателя, в частности
«Экономикс. Принципы, проблемы и политика» (авторы Кэмпбелл Р. Макконнелл,
Стэнли Л. Брю, 1995 г.). Мы вновь открываем «окно в Европу».
В середине 90-х годов в России изданы первые
отечественные учебные пособия и монографии по экономической теории, но чаще
всего они базируются на американском фактическом и теоретическом материалах,
так как российский рынок еще только формируется. Из них наиболее
фундаментальным является «Курс экономической теории» под редакцией проф. М.Н.
Чепурина, проф. Е.А. Киселевой.
Сложившийся «экономический стандарт» 2000 года
определил следующую структуру экономической теории: введение, микроэкономика,
макроэкономика, теория переходной экономики, история экономических учений. В
своей патриархальной простоте наши предки довольствовались весьма не многим:
полусырая пища, мясо, коренья и шкуры диких или домашних животных удовлетворяли
их нужды. Наши предки долго не знали роскоши, в ХI веке они питались еще
просом, гречихою и молоком, потом уже выучились готовить яства и прочее, но и в
старь они отличались хлебосольством.[1]
Изведав выгоды гражданской оседлой жизни русские
стали заниматься земледелием для получения хлебного зерна и тогда же стали печь
хлебы и готовить квас, а в 20 веке мы узнаем, что квасом подливали в банях и
обливались кислым квасом для здоровья. Квас готовили из хлебных зерен разного
рода обработки и даже из репы и арбуза.
Начало введения кваса во всеобщее употребление
вышло из народной памяти, знаем только, что искусство печь хлебы и делать квас,
еще в Х веке было уже во всеобщем употреблении, чему способствовали изобилие
плодородной земли. Квас продавался в посадах, в лавках, и был в употреблении в
монастырях по будням.
Русская кухня на протяжении веков для всех
сословий была национальной и подчинялась обычаю, а не искусству. Кушанья были
просты и однообразны, хотя русские столы отличались множеством блюд, но многие
из блюд были похожи одно на другое. Богатые люди имели обыкновение назначать
себе блюда на целый год (гастрономический календарь), причем счет велся по
церковным праздникам, по мясоедам и по постам; так что для каждого дня,
сообразно его значению в церковном круге, назначался заранее стол, хотя в
прочем изменить его значение завесило от воли хозяина.
Русские ели преимущественно хлеб
ржаной, не исключая богатых и владетельных особ. Иногда примешивали к ржаной
муку ячную, но это не было постоянным правилом, так как ячмень в России мало
разводился. Пшеничная мука употреблялась на просфоры
<../../pravoslavie/prosvira/index.html> и калачи, которые были для
простого народа лакомством в праздничные дни. От этого даже возникла пословица:
«калачом не заманишь», в том смысле, что и приятное не поможет заинтересовать.
Лучшие калачи пеклись из крупчатой муки в виде колец, не в большом размере,
другой сорт пекся из толченой муки круглыми булками, эти калачи назывались
«братскими», был третий сорт называемый смесными калачами, их пекли пополам из
пшеничной и ржаной муки. Такие калачи пекли к царскому столу не из экономии, а
ради особого вкуса. Вообще, как хлебы ржаные, так и пшеничные пеклись без соли,
и не всегда заботились, чтобы мука была свежая.
В 16 и 17 веках было в употреблении
между народом толокно, приготовленное из овсяной муки с водой. В сухом виде оно
отпускалось служилым людям для продовольствия наряду с ржаною мукой.
Из кушаньев, приготовляемых из
теста, занимают первое место пироги. По способу печенья они были пряженые и
подовые. Подовые были всегда из квасного теста, а пряженые из квасного а иногда
из пресного. Мука для них употреблялась пшеничная, крупчатая, или толченая,
смотря по важности дня, когда они готовились. Пеклись также и ржаные пироги.
Все русские пироги в старину, имели продолговатую форму и различную величину:
большие назывались: пирогами, кулебяками, маленькие пирожками. В скоромные дни,
они начинялись бараньим, говяжьим и заячьим мясом, и несколькими мясами вместе,
например: бараниной и говяжьим салом, также мясом и рыбою вместе с прибавкою
каши или лапши. На масленицу пекли пряженые пироги с творогом и с яйцами на
молоке, на коровьем масле, с рыбой вместе и с яйцами, или с тельным, как
называлось рыбное блюдо приготовляемое в виде котлет.[2]
Другой вид печенья был каравай -
сдобный хлеб, с различными способами приготовления. Был каравай битый, который
сбивался с маслом, в сосуде ставленный, в роде кулича на молоке. Яичный, на
большом количестве яиц, каравай с сыром, каравай братский и прочие.
1. Теоретическая часть
Планирование является важнейшей частью любого бизнеса.
Серьёзный подход к планированию создает основу для устойчивого и эффективного
бизнеса.
Основным инструментом планирования выступает
бизнес-план. Бизнес-план краткое, точное, доступное и понятное описание
предполагаемого бизнеса, позволяющее выбрать из большого количества различных
ситуаций, наиболее перспективные решения и определить средства для их
достижения.
Бизнес-план это инструмент контроля и управления
фирмой. Качественно разработанный бизнес-план помогает учесть риски и повысить
эффективность бизнеса. Бизнес-план это еще и эффективный инструмент привлечения
инвестиций, так как он позволяет оценить рентабельность будущего проекта.
Помимо инвесторов заинтересованными лицами будущего бизнеса являются
потенциальные потребители и поставщики фирмы.
Бизнес-планом можно назвать целевой программный
документ, представляющий собой систему расчетов, технико-экономических
обоснований, совокупность экономических показателей, описание мер и действий,
посвященных реализации основной цели предпринимательской деятельности получения
максимальной прибыли от нее.
Таким образом, бизнес-план представляет собой
модель деятельности фирмы, которая использует все элементы планирования
применительно к категориям рыночной экономики: бизнесу, конкурентной борьбе,
деятельности маркетинговых служб, коммерческому риску, стратегии безубыточности
и необходимого уровня рентабельности.[3]
Бизнес-план требуется для того, чтобы четко
определить свои возможности, удостовериться в реалистичности идей, воплощаемых
в проекте.
Назначение бизнес-плана состоит в том, что он
помогает предпринимателям решать следующие задачи:
) бизнес-план показывает, какими методами и с
помощью каких средств можно достичь поставленных целей;
) с помощью бизнес-плана можно получить желаемые
вложения капитала от потенциальных инвесторов;
) изучить емкость и перспективность развития
будущего рынка сбыта;
) определить потенциальную прибыльность дела;
) обнаружить всевозможные риски, подстерегающие
новое дело;
) определить показатели, по которым можно будет
регулярно контролировать состояние дел.
К числу основных функций бизнес-планирования
относятся:
) обоснование стратегии (общей концепции) и
тактики развития предприятия;
) планирование, позволяющее оценивать и
контролировать процесс развития деятельности предприятия.
При разработке бизнес-плана необходимо соблюдать
основные принципы планирования:
) непрерывность;
) эластичность и гибкость;
) точность и детализация;
) экономичность;
) оптимальность.
Бизнес-планирование решает следующие важные
проблемы:
) определяет степень жизнеспособности и будущей
устойчивости предприятия, снижает риск предпринимательской деятельности;
) конкретизирует перспективы бизнеса в виде
системы количественных и качественных показателей системы;
) привлекает внимание и интерес, обеспечивает
поддержку со стороны потенциальных инвесторов фирмы;
) помогает получить ценный опыт планирования.
Любой бизнес имеет свои особенности,
следовательно, не может существовать «стандартный» план, который был бы
универсальным во всех случаях.[4]
Существует один испытанный принцип составления
любого бизнес-плана: он всегда должен быть кратким. Но иногда, чтобы адекватно
рас-крыть суть проблемы, его делают достаточно обширным. Большинство проектов
ограничиваются 10-20 страницами.
Разделы, связанные с управлением, маркетингом и
финансированием проекта, обязательно присутствуют в любом бизнес-плане. Другие
разделы могут меняться в зависимости от специфики деятельности фирмы и проекта.
Непосредственное написание бизнес- плана
является достаточно ответственным и трудоёмким этапом.
Предприниматель должен самостоятельно написать
бизнес-план, даже если это требует большого количества времени и у
предпринимателя нет навыков такого рода работы. Помощь консультантов может быть
оказана предпринимателю при сборе необходимой информации и осуществлении её
первичной обработки.
Специалисты по бизнес-планированию рекомендуют
выполнять следующие правила составления и оформления бизнес-плана:
) предложения должны быть небольшими, ясными и
чёткими;
) не нужно увлекаться использованием технических
терминов, все должно быть понятно;
) бизнес-план должен включать только относящуюся
к делу информацию; 4) идеи, представленные в бизнес-плане, не должны быть
чрезмерно амбициозными;
) желательно использование фотографий, диаграмм,
графиков, таблиц;
) необходимо позаботится о чёткой структуре
плана;
) важно правильно выбирать время для работы над
бизнес-планом. Это занятие требует большой сосредоточенности;
) при составлении бизнес-плана нельзя забывать о
гибкости планирования.
Спланировать бизнес - значит оценить
возможности, необходимость и объемы выпуска конкурентоспособной продукции,
определить емкость рынка и его конкретного сегмента, оценить спрос на
продукцию, выпускаемую фирмой, результативность ее работы на рынке.
Быстрое развитие технологий, усложнение и
многообразие предлагаемых продукции и услуг, появление большого количества
конкурентоспособных компаний, повышение требовательности потребителей,
увеличение объема и скорости получения информации, новых знаний - все эти и
другие изменения вынуждают искать методы для лучшей адаптации к новым условиям.
К этому следует добавить неопределенность, непредсказуемость и нестабильность
внешней среды. Поэтому в настоящее время управление организацией принимает все
более предпринимательский характер. Это проявляется в том, что в управлении
возрастает роль предвидения, стратегического представления. Стимулирование
направлено на поощрение инициативы, предприимчивости, новаторства.[5]
Бизнес и предпринимательство, несомненно, имеют
разное смысловое значение, хотя и тесно взаимосвязаны. Бизнес, сам по себе, -
это сложный процесс, предусматривающий принятие комплекса ответственных
решений, и успешность его ведения во многом зависит от владения специальными
знаниями: управленческими, юридическими, финансовыми и другое.
Бизнес-план должен быть нацелен на максимизацию
выполнения намеченных задач, то есть важна не только их постановка, но и
последующая реализация. Необходимо не только планировать, но и выполнять
запланированное бизнес-план должен быть руководящим документом, обеспечивающим
эффективность деятельности.
Пренебрежение же необходимостью планирования
обычно оказывается причиной неудач в сфере бизнеса. При организации нового
предприятия первой задачей обычно является определение предполагаемого рынка сбыта
и своих потенциальных клиентов, изучение их потребностей. Бизнес-планы нужны на
открытие любого нового проекта или своего дела всем производителям и
предпринимателям.
Бизнес-план в конечном счете должен дать
правильный ответ на такие важные вопросы рыночных отношений, как возможная
стоимость проекта и планируемые доходы. Каждый предприниматель должен знать,
сколько будет стоить новый проект и принесет ли это дело доходы, а если
принесет, то когда и какова степень риска?
Маркетинг - это процесс создания и удержания
клиента. Даже малый опыт предпринимательской деятельности приводит к пониманию
важности иметь «своего» клиента, а не рассматривать в его качестве каждого
человека. Поэтому используются понятия сегмента рынка, целевого рынка, который
составляют свои покупатели и потенциальные, которые таковыми могут стать.[6]
Сегментация рынка важна при создании нового
предприятия, она может использоваться и при выпуске нового товара. Сегментация
осуществляется по определенным критериям, один из которых, например, критерий
демографического характера, позволяющий классифицировать клиентов по возрастным
и половым признакам, роду занятий, образовательному уровню и др. и в
соответствии с этим выявлять покупательские предпочтения.
На данном сегменте рынка необходимо исследовать
степень распространенности товаров (или услуг), производимых не только вашей
фирмой, но и конкурентами; желательно его дополнить характеристиками качества
товара - в соотношении с реальными потребностями сегодняшнего дня и
возможностями их роста. В некоторых случаях изучение деятельности конкурентов
помогает снять многие вопросы дальнейшего исследования, сократить его объем,
что обычно актуально для предприятий малого бизнеса.
Но даже установление потенциального роста
потребностей еще не будет означать, что ваши товары будут покупаться. Требуется
проведение дополнительных мероприятий по продвижению товара на рынке сбыта. В
этом случае речь идет о разработке стратегии рекламы, в которой находят
воплощение результаты анализа качества товара (в том числе, в сравнении с
конкурирующим товаром) и его соответствия запросам потребителей.
Рекламные затраты наиболее значимы на первых
этапах, когда предприятию необходимо заявить о себе на рынке.
Помимо рекламной компании должны быть грамотно
разработаны мероприятия по сбыту и продаже. Здесь решаются вопросы не только
удобного расположения места реализации товара (магазина), но и полноценного
обслуживания клиента.[7]
Ценообразование - не менее важный инструмент в
стратегии маркетинга. Начинающие предприниматели нередко, не решаясь
«назначить» цену, искусственно ее занижают, и тем самым фактически невольно ее
«диктуют». Даже ставя задачу завоевания рынка, подобным способом этой цели не
достигнуть. Это не просто наихудшая из возможных стратегий, а заведомо обреченная
на провал. Среди многочисленных характеристик товара она занимает чуть ли не
последнее место, не говоря уже о том, что понятия «цена» и «ценность» в
восприятии человека, по свидетельству специалистов в области рекламы - тесно
взаимосвязаны.
Следует отметить, что даже в наших условиях
покупательские предпочтения сегодня на стороне более дорогостоящего и
качественного товара.
Сложившаяся практика предпринимательской
деятельности свидетельствует о том, что цена должна не только покрывать
издержки, но и работать на «имидж», что в свою очередь приносит дополнительную
прибыль. Цена является важной частью общей стратегии. Исследование
покупательской способности не должно исключаться, но с ее помощью возможно
определять ценовые рамки как гарантию избежание убытков и обеспечения желаемого
уровня прибыли с помощью цены. Для предпринимателей прибыль является сигналом,
где можно добиться наибольшего прироста стоимости, в какие сферы инвестировать
капитал. При анализе прибыли и убытков высвечиваются ошибки и просчеты в
использовании финансовых средств, организации производства и сбыта готовой
продукции.[8]
Планированию необходимо учиться, в том числе на
практике, то есть, стремиться не только грамотно планировать, но и выполнять
намеченное неукоснительно.
В общем случае бизнес-план должен состоять из:
) резюме бизнес-плана;
) описания предприятия;
) анализа рынка;
) описания проекта, программы развития;
) финансового плана;
) анализа экономической эффективности проекта;
) приложений.
Бизнес-план может быть дополнен любой
информацией по желанию составителя. Резюме бизнес-плана должно содержать
краткие сведения о проекте и краткую характеристику предприятия:
) основную задачу и цель проекта;
) период реализации проекта;
) программу развития проекта и направление
капитальных вложений;
) сумму необходимых инвестиций и их источник;
) риски, связанные с реализацией проекта;
) график финансирования;
) прогноз финансовых результатов проекта на
четыре года;
) конкурентные преимущества проекта;
) оценку потенциала проекта;
) экономическую эффективность проекта.
Резюме - это самостоятельный рекламный документ,
содержащий основные положения всего бизнес-плана. Резюме - это единственная
часть бизнес-плана, которую читают все потенциальные инвесторы. Очень важно
поместить в резюме краткую и ясную информацию о проекте.
Все последующие пункты бизнес-плана
расшифровывают информацию из резюме и доказывают правильность расчетов.
Описание предприятия:
) основные продукты или услуги;
) организационная структура предприятия.;
) основные потребители и маркетинг;
) технологические процессы, применяемые на
предприятии, и основные фонды;
) оценка кадрового потенциала предприятия;
) финансовое состояние предприятия;
) юридические и социальные вопросы.
Анализ рынка:
) общее описание рынка, тенденции и динамика
развития;
) спрос;
) предложение;
) основные конкуренты и конкурентные факторы;
) выводы и заключение.
Информация данного раздела призвана показать
рынки сбыта для вашей продукции (услуги). Покупатели подразделяются на оптовых
покупателей, розничных продавцов, конечных потребителей. Потребители
характеризуются отраслью, месторасположением (если это предприятия) либо
возрастом, полом и др. (если это население). Среди потребительских
характеристик товара выделяются такие, как внешний вид, назначение, цена,
прочность, срок службы, безопасность использования и другие.
Описание проекта, программа развития:
) основные задачи и цели проекта;
) описание комплекса мероприятий, необходимых
для осуществления проекта;
) производственную программу;
) анализ рисков.
Финансовый план:
) план доходов и расходов;
) программа капитальных вложений;
) потребность и источники финансирования.
Цель раздела - показать основные пункты из массы
финансовых данных. Здесь даются нормативы для финансово-экономических расчетов,
приводятся прямые (переменные) и постоянные затраты на производство продукции,
калькуляция себестоимости продукции, смета расходов на реализацию проекта,
потребность и источники финансирования, рассчитывается таблица расходов и
доходов, поток реальных денег (поток наличности), прогнозный баланс.[9]
Анализ экономической эффективности:
) эффективность проекта определяется по
чистым денежным потокам;
) расчет ставки дисконтирования с обоснованием
выбора методики;
) для оценки эффективности проекта применяются
стандартные критерии (чистая приведенная стоимость проекта, внутренняя норма
доходности, индекс прибыльности);
) срок окупаемости проекта;
) выводы об экономической целесообразности
реализации проекта.
Приложения способствуют разгрузке основного
текста от подробностей и предоставляют потенциальным партнерам и инвесторам
дополнительные наглядные материалы.
При анализе степени риска необходимо учитывать
следующее обстоятельство. Управленческие решения чаще всего принимаются в
условиях неопределенности результатов и ограниченности информации. Значит, чем
полнее и достовернее информация, тем больше возможностей подготовить хороший
прогноз и снизить риск.
Современная экономика отличается значительным
возрастанием степени риска предпринимательской деятельности. Проблема рисков
является наиболее болезненной для предпринимателей, поскольку делает бизнес, по
сути, мало предсказуемым.
Успех деятельности фирмы на рынке в значительной
степени зависит от того, способен ли ее руководитель направить имеющиеся
ресурсы на достижение цели и использовать их с максимальным эффектом.
Руководитель должен взвешивать свои перспективы и возможности.
Двигателем рыночной экономики принято считать
предпринимателей как деловых, инициативных, творчески мыслящих, предприимчивых
людей, осуществляющих свою деятельность самостоятельно, на свой страх и риск,
под собственную имущественную ответственность и направленную на получение
прибыли. Предпринимательство предполагает наличие новаторской экономической
деятельности, касающейся не только нахождения новых источников сырья и рынков
сбыта, организации производства и освоения новых видов продукта, но и внедрения
широкого круга инновации.[10]
2. Расчетная часть
.1 Исходные данные для расчёта
) Оптовые цены на сырье
) Нормы расхода и тарифы на топливо,
электроэнергию, воду
) Тарифные ставки основных рабочих, рублей
) Плановый уровень рентабельности на изделия
) Рецептура
экономический хлеб затрата себестоимость
2.2 Расчет объема производства в натуральном
выражении
Объем производства ГП, т, рассчитывается по
формуле
(1)
где Рсут - суточная
производительность печи по данному виду продукции, т; Траб -
количество рабочих дней в году (для хлебопекарного производства 330-340).
Расчеты годового выпуска продукции сведены в
таблицы 1.
Таблица 1 - Расчет годового выпуска продукции
|
Наименование
изделий
|
Масса,
кг
|
Суточная
производительность печи, т
|
Количество
рабочих дней в году
|
Годовой
выпуск, т
|
|
Хлеб
домашний
|
0,8
|
14,8
|
330
|
4884
|
|
Роглики
с маком
|
0,1
|
13,6
|
330
|
4488
|
|
Итого
|
-
|
-
|
-
|
9372
|
2.3 Расчет материальных затрат
.3.1 Расчет потребности и стоимости сырья
Расчет потребности муки М, т. производится по
формуле
(2)
где Нвых - плановый выход изделия, %.
Количество остального основного и
дополнительного (прочего) сырья Кс, т, рассчитывается по формуле
где Нр - норма расхода сырья на 100
кг муки, кг.
Хлеб домашний
Рогалики с маком
Расчет стоимости сырья Сс, тыс. руб.,
основного и дополнительного сырья ведется по формуле
(4)
где Цс - цена за одну тонну сырья,
тыс. руб.
Хлеб домашний
Рогалики с маком
Годовые затраты на сырье представлены в таблице
2.
Таблица 2 - Годовая смета затрат на сырье
|
Наим.
изделий
|
Виды
сырья
|
Плановый
выход, %
|
Рецептура,
кг
|
Потребность
сырья, т
|
Оптовая
цена за 1 т сырья, тыс. руб.
|
Стоимость
сырья, тыс. руб.
|
|
1
|
2
|
3
|
4
|
5
|
6
|
7
|
|
Хлеб
домашний
|
Мука
пш.1 сорт
|
129,5
|
100
|
3771,4
|
12,0
|
45256,8
|
|
Дрожжи
хлебопекарные прессованные
|
|
1,0
|
37,7
|
15,90
|
599,43
|
|
Соль
пищевая поваренная
|
|
1,5
|
56,5
|
5,5
|
310,75
|
|
Итого
|
Сахар-песок
|
|
3,0
|
|
30,5
|
3499,5
|
|
|
Молоко
сухое обезжиренное
|
|
25/2,78
|
113,1
|
10
|
1048
|
|
|
Вода
|
|
20,0
|
104,8
|
0,0363
|
1048
|
|
|
-
|
|
-
|
-
|
-
|
50664,4
|
|
|
Рогалики
с маком
|
Мука
пш.1 сорт
|
126,5
|
100
|
3547,8
|
12
|
42573,6
|
|
|
Дрожжи
хлебопекарные прессованные
|
|
2,0
|
70,9
|
15,90
|
1127,31 293,6
|
|
|
Соль
пищевая поваренная
|
|
1,5
|
53,2
|
5,5
|
5407,6
|
|
|
Сахар-песок
|
|
5,0
|
177,3
|
30,5
|
8088,3
|
|
|
Маргарин
столовый
|
|
8,0
|
283,8
|
28,5
|
3079,8
|
|
|
Мак
|
|
1,0
|
35,4
|
87,0
|
9411,51
|
|
|
Вода
|
|
40,0
|
51,3
|
0,0363
|
51,3
|
|
|
Итого
|
-
|
|
-
|
-
|
-
|
60620,5
|
|
|
|
|
|
|
|
|
|
|
|
|
|
|
2.3.2 Расчет годовой потребности и стоимости
электроэнергии на технологические цели
Годовая потребность в электроэнергии Кэ,
кВт
час,
рассчитывается по формуле
где Нрэ - норма расхода
электроэнергии на 1 тонну продукции, кВт
час
Стоимость электроэнергии на год Сэ,
тыс. руб., определяется по формуле
где Цэ - тариф за 1 кВт
час
электроэнергии, руб.
Затраты электроэнергии на 1 тонну продукции Зэ,
тыс. руб. (с точностью до 0,01), рассчитывается по формуле
(7)
Годовая смета затрат представлена в таблице 3.
Таблица 3 - Годовая смета затрат на
электроэнергию
|
Показатели
|
Наименование
изделия
|
|
Хлеб
домашний
|
Рогаликов
с маком
|
|
1
|
2
|
3
|
|
Годовой
выпуск продукции, т
|
4884
|
4488
|
|
Норма
расхода электроэнергии, кВт×час
|
260
|
370
|
|
Годовая
потребность электроэнергии, кВт×час
|
1269840
|
1660560
|
|
Тариф
за кВт×час
электроэнергии, руб
|
2,10
|
2,10
|
|
Годовая
стоимость электроэнергии, тыс. руб.
|
2666,66
|
3487,17
|
|
Затраты
электроэнергии, тыс. руб.
|
0,54
|
0,77
|
.4 Расчет показателей по труду и заработной
плате
Расчет показателей по труду и заработной плате
производится на основе данных о составе бригады и дневных тарифных ставок.
Результаты сводятся в таблицу 4.
Таблица 4 - Расчет суммы дневных тарифных ставок
бригады
|
Штат
бригады
|
Разряд
|
Всего
рабочих, чел.
|
Сумма
дневных тарифных ставок, руб.
|
|
|
|
|
|
|
Мастер-пекарь
|
2
|
1/2
|
1/2
|
70
|
70
|
35
|
35
|
|
Машинист
|
3
|
1/2
|
1/2
|
54,96
|
54,96
|
27,48
|
27,48
|
|
Формовщик
|
3
|
-
|
1
|
-
|
54,96
|
-
|
-
|
|
Тестовод
|
4
|
1
|
1
|
68,56
|
68,56
|
68,56
|
68,56
|
|
Оператор
БХМ
|
4
|
1/2
|
1/2
|
60,80
|
60,80
|
30,40
|
30,40
|
|
Рабочий
растворного узла
|
4
|
1/2
|
1/2
|
68,56
|
68,56
|
34,28
|
34,28
|
|
Дрожжевар
|
4
|
1
|
1
|
68,56
|
68,56
|
68,56
|
68,56
|
|
Наладчик
|
4
|
1/2
|
1/2
|
66,32
|
66,32
|
33,16
|
33,16
|
|
Оператор
(кочегар) печей
|
4
|
1/2
|
1/2
|
60,80
|
60,80
|
30,40
|
30.40
|
|
Укладчик
|
3
|
1
|
1
|
54,96
|
54,96
|
54,96
|
54,96
|
|
Итого
|
-
|
6
|
7
|
573,5
|
628,48
|
382,8
|
437,76
|
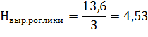
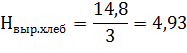
Расчет нормы выработки Нвыр, т, производится по
формуле
(8)
где n
- число смен, в течение которых вырабатываются данные изделия (n=3).
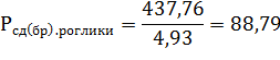
Сдельная бригадная расценка Рсд(бр), руб.,
рассчитывается по формуле (с точностью до 0,01)
(9)
где Тнд(бр) - сумма дневных тарифных ставок
бригады, руб.
Тарифный фонд заработной платы основных рабочих
по сдельным расценкам Фз/п, тыс. руб., рассчитывается по формуле
(10)
Сумма доплат Фз/пдоп, тыс. руб.,
рассчитывается по формуле
(11)
где 155 - величина доплат, %.
Производительность труда в натуральном выражении
ПТ, т, рассчитывается по формуле
(12)
где ГП(общ) - объем выпуска продукции по двум
изделиям, т;
Ссч - численность рабочих по предприятию, чел.
(количество бригад4).
Производительность труда в денежном выражении
ПТ, тыс. руб., рассчитывается по формуле
(13)
где ТП(общ.) - объем продаж в денежном
измерении, тыс.руб.
.5 Расчет полной себестоимости продукции
Основное сырье мука См, тыс. руб. (хлеб -
38083,5 ,рогалики - 4168,4)
Стоимость реализуемых отходов Ср, тыс. руб.:
(14)
где М - количество муки;
0,06 - реализуемые отходы, %;
0,3 - цена 1т отходов, тыс. руб.
Стоимость муки за минусом реализуемых отходов
См-о, тыс. руб., рассчитывается по формуле
(15)
Стоимость остального основного и дополнительного
сырья (прочего сырья) Сс, тыс. руб. (хлеб - 38837,78 , рогалики - 5587,5)
Накладные расходы Нр, тыс. руб., рассчитывается
по формуле
(16)
где Св - стоимость воды, тыс. руб.;
25 - накладные расходы, %.
Стоимость электроэнергии технологической Сэ,
тыс. руб. (хлеб - 2059,18; рогалики - 2756,64)
Заработная плата основных производственных
рабочих Ф, тыс. руб., рассчитывается по формуле
(17)
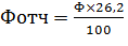
Отчисления от зарплаты Фотч, тыс. руб.,
рассчитываются по формуле
(18)
где 26,2 - отчисления от зарплаты основных
производственных рабочих, %.
Общепроизводственные расходы Опр, тыс. руб.,
рассчитываются по формуле
(19)
где 100 - общепроизводственные расходы, %.
Общехозяйственные расходы Охр, тыс. руб.,
рассчитываются по формуле
(20)
где 150 - величина общехозяйственных расходов,
%.
Производственная себестоимость Спр, тыс. руб.,
рассчитывается по формуле
(21)
Коммерческие расходы Кр, тыс. руб.,
рассчитываются по формуле
(22)
где 0,52 - коммерческие расходы, %.
Полная себестоимость Сполн, тыс. руб.,
рассчитывается по формуле
(23)
Расчет себестоимости продукции представлен в
таблице 5.
Таблица 5 - Расчет себестоимости продукции, тыс.
руб.
|
Статьи
затрат
|
Затраты
по ассортименту
|
|
Основное
сырье, мука
|
4256,8
|
42573,6
|
0,87
|
9,4
|
|
Стоимость
реализуемых отходов
|
0,67
|
0,63
|
0,00013
|
0,00014
|
|
Стоимость
муки за минусом реализуемых отходов
|
45256,13
|
42572,97
|
9,26
|
9,48
|
|
Стоимость
прочего сырья
|
5407,68
|
17995,61
|
1,10
|
4,00
|
|
Накладные
расходы на сырье
|
12665,93
|
15129,47
|
2,59
|
3,37
|
|
Стоимость
электроэнергии технологической
|
2059,18
|
2756,64
|
0,0033
|
0,003
|
|
Заработная
плата основных производственных рабочих
|
966,85
|
1015,56
|
0,19
|
0,262
|
|
Отчисления
от заработной платы
|
253,31
|
266,07
|
0,051
|
0,05
|
|
Общепроизводственные
расходы
|
966,85
|
1015,56
|
0,19
|
0,22
|
|
Общехозяйственные
расходы
|
1450,27
|
1523,34
|
0,29
|
0,33
|
|
Производственная
себестоимость
|
66983,62
|
79534,17
|
13,71
|
17,72
|
|
Коммерческие
расходы
|
323,00
|
413,58
|
0,066
|
0,09
|
|
Полная
себестоимость
|
62439,62
|
79948,76
|
12,78
|
17,81
|
|
|
|
|
|
|
|
.6 Расчет основных технико-экономических
показателей
Прибыль на тонну продукции П1, тыс.
руб., рассчитывается по формуле
(24)
где Р- рентабельность продукции, %;
С1 - полная себестоимость 1 тонны
продукции, тыс. руб.
Оптовая цена за 1 тонну продукции Ц1,
тыс. руб:
(25)
Товарная продукция, тыс. руб., рассчитывается по
формуле
(26)
Сумма прибыли П, тыс. руб., рассчитывается по
формуле
(27)
где Сполн - полная себестоимость всей товарной
продукции, тыс. руб
Для проверки правильности расчетов
рентабельность продукции Р, %, рассчитывается по формуле
(28)
Затраты на 1 рубль объема продаж З, коп.,
рассчитываются по формуле
(29)
где Сполн - полная себестоимость
товарной продукции, тыс. руб.
Результаты расчетов представлены в таблицах 6 и
7.
Таблица 6 - Расчет прибыли и объема продаж
|
Наименование
изделия
|
Объем
продаж, тыс. руб.
|
Полная
себестоимость тыс. руб.
|
Прибыль,
тыс. руб.
|
Рентабельность,
%
|
|
Хлеб
домашний
|
68659,272
|
62439,62
|
6219,65
|
9,058
|
|
Рогалики
с маком
|
87924,408
|
79948,76
|
7975,64
|
24,969
|
|
Итого
|
156583,68
|
142388,38
|
86195,29
|
-
|
Таблица 7 - Основные технико-экономические
показатели по производству хлеба домашнего и рогаликов с маком
|
Наименование
показателей
|
Значения
по предприятию
|
|
хлеб
|
рогалик
|
|
Объем
производства продукции, т.
|
4884
|
4488
|
|
Товарная
продукция, тыс. руб.
|
68659,72
|
87924,408
|
|
Численность
основных производственных рабочих, чел.
|
6
|
7
|
|
Фонд
заработной платы, тыс. руб.
|
379,19
|
398,26
|
|
Производительность
труда
|
|
|
|
в
натуральном выражении, т.
|
186,2
|
180,2
|
|
в
денежном выражении, тыс. руб.
|
3011,22
|
3011,22
|
|
Полная
себестоимость продукции, тыс. руб.
|
62439,62
|
79948,76
|
|
Сумма
прибыли, тыс. руб.
|
6219,65
|
7975,64
|
|
Рентабельность
изделия, %
|
9,058
|
24,969
|
|
Оптовая
цена за 1 т. продукции, тыс. руб.
|
14,058
|
19,591
|
|
Затраты
на 1 рубль товарной продукции, коп
|
90,94
|
90,92
|
В данной курсовой работе были приведены расчеты
основных технико-экономической показателей деятельности предприятия по
производству хлеба домашнего и рогалика с маком. Было рассчитано, что объем
производства продукции составит: хлеб домашнего - 4884 тонн; рогликов с маком -
4488 тонн.
В общей сложности годовой объем производства
составил 9372 тонн. Исходя из приведенных выше расчетов, можно сделать
следующие выводы:
1) показатель товарной продукции достигнет
отметки 156583,68 тыс. руб., что, безусловно, положительный факт в
жизнедеятельности предприятия;
2) показатель себестоимости продукции составил
142388,38 тыс. руб., что свидетельствует о том, что предприятие запланирует
период, получит прибыль в размере 86195,29 тыс. руб. Этот факт является
показателем положительной динамики в развитии предприятия;
) предприятию выгодно производить рогалики с
маком , так как их рентабельность составляет 25 %,а сумма прибыли составляет
7975,64тыс. руб., что превышает прибыль хлеба домашнего.
Заключение
Бизнес план позволяет
сориентировать хозяйственную деятельность фирмы в соответствии с потребностями
покупателей и возможностями получить ресурсы, определить конкретные ее виды,
рынки сбыта.
На основании бизнес плана,
организации предоставляется возможность в получении заемных средств или
инвестиций, исходя из того, на сколько будет доходным, с точки зрения бизнес
плана проект и на сколько он может заинтересовать инвестора или кредитора
(исходя из того, кому адресован бизнес план, так как у них разные цели).
Практика планирования создает
важные преимущества, которые проясняют окружающие проблемы, улучшают
координацию действий в организации, способствуют более рациональному
распределению ресурсов.
Бизнес-план помогает защитить
деятельность фирмы от негативной информации, всевозможных рисков, угроз,
натисков конкурентов, своевременно спрогнозировать риски и предоставить меры по
их избеганию.
Бизнес план не только желателен
в своем составлении, а просто необходим, особенно во вновь сложившихся частных
фирмах, применение планирования в которой, позволит открыть новые возможности
выхода на рынок, путем привлечения инвесторов и заемных средств. А так же в
состоявшихся компаниях, для поддержки финансового баланса, стабильности и
внедрения новых товаров-новинок, и предупреждения рисков, путем их страхований.
Список использованной литературы
1
Аносова, М. М. Организация производства на предприятиях общественного питания:
Учебник для ссузов 1-е изд. [Текст] / М. М. Аносова, Л. С. Кучер.- Мн.: Дело,
2011.-351 с.
Сафронов,
Н. А. Экономика организации (предприятия) [Текст] / Н. А. Сафронов.- Мн.:
Экономика отрасли, СПО, 2007. - 251 с.
Карташова,
В. Н. Экономика организации (предприятия) [Текст] / В. Н. Карташова, А. В.
Приходько.- Мн.: Приораздат, 2010. - 382 с.
Ефимова,
О. П. Экономика общественного питания [Текст] / О. П. Ефимова, под ред. Н.
Кабушкина.- Мн.: Инфра, 2009. - 270 с.
Зайцев,
Л.Г. Стратегический менеджмент [Текст] / Л.Г. Зайцев, М. И. Соколова.- Мн.:
Юрист, 2012. - 270 с.
Пелих,
А. С. Бизнес-план [Текст] / А. С. Пелих. - Мн.: Золото, 2008. - 232 с.
Пивоваров,
К. В. Бизнес- планирование [Текст] / К. В. Пивоваров.- Мн.: Маркетинг, 2009.-
380 с.
Арзуманова,
Т. И. Экономика и планирование на предприятиях торговли и питания [Текст] / Т.
И. Арзуманова.- Мн.: Дашков и К, 2010. - 351 с.
Воронин,
В. Т. Менеджмент в пищевой промышленности [Текст] / В. Т. Воронин.- Мн.: Колос,
2008. - 280 с.
Приложения
Приложение А
Оптовые цены на сырье, используемое в
хлебопечении
|
Наименование
сырья
|
Оптовая
цена, за 1 кг.руб.
|
|
1
|
2
|
|
Мука
пшеничная высший сорт
|
15,0
|
|
Мука
пшеничная 1 сорт
|
12,0
|
|
Мука
пшеничная 2 сорт
|
10,0
|
|
Мука
ржаная обойная
|
8,20
|
|
Мука
ржаная обдирная
|
7,70
|
|
Дрожжи
хлебопекарные прессованные
|
15,90
|
|
Соль
поваренная
|
5,5
|
|
Сахар-песок
|
30,5
|
|
Сода
пищевая (пачка)
|
7,5
|
|
Пудра
сахарная
|
32,0
|
|
Патока
мальтозная
|
35,0
|
|
Маргарин
столово-молочный
|
28,5
|
|
Молоко
коровье цельное пастеризованное
|
10,0
|
|
Молоко
коровье цельное сухое
|
87,0
|
|
Молоко
коровье обезжиренное сухое
|
60,1
|
|
Молоко
сгущенное
|
40,0
|
|
Сливки
|
58,20
|
|
Меланж
|
48,0
|
|
Эссенция
|
23,0
|
|
Крахмал
кукурузный
|
25,0
|
|
Пудра
ванильная
|
527
|
|
Яйцо
|
30,5
|
|
Яичный
порошок
|
115,0
|
|
Ванилин
|
283,9
|
|
Масло
сливочное
|
92,0
|
|
Кондитерский
жир
|
39,4
|
|
Какао-порошок
Самара
|
56,5
|
|
Кислота
лимонная
|
55,0
|
|
Масло
соевое
|
30,5
|
|
Масло
горчичное
|
23,0
|
|
Масло
подсолнечное
|
35,0
|
|
Сыворотка
молочная сухая (жидкая)
|
4,0
|
|
Повидло
яблочное
|
30,0
|
|
Мак
пищевой
|
87,0
|
|
Кокосовая
стружка
|
55,15
|
|
Ядро
грецкого ореха
|
168,5
|
|
Арахис
|
48,5
|
|
Сахарная
пудра
|
25,50
|
|
Изюм
|
63,9
|
|
Мускатный
орех
|
125,9
|
|
Кардамон
|
325,7
|
|
Тмин
|
220,6
|
|
Солод
|
110
|
|
Облепиха
|
150
|
|
Сметана
|
17,07
|
|
Сахар-сырец
|
15,75
|
Приложения Б
Нормы расхода электроэнергии на 1т продукции
|
Вид
изделий
|
Нормы
расхода, общие кВт*ч
|
На
электронагрев оборудования и выпечку, кВт*ч
|
|
Хлеб
|
60
|
260
|
|
Булочные
|
130
|
370
|
|
Баранки,
сушки, бублики
|
160
|
-
|
|
Сухари
|
140
|
-
|
|
Кондитерские
|
281
|
217
|
Нормы расхода воды
на 100кг муки
|
Вид
изделий
|
Нормы
расхода, %
|
|
Хлеб
ржаной Хлеб пшеничный Хлеб ржано-пшеничный Булочные Печенье, вафли
|
50,0
45,0 47,0 35-40,0 8,1 кг на 1т
|
Приложения В
Цены на природные
ресурсы
|
Вид
ресурсов
|
Цена,
руб.
|
|
Дизтопливо,
т
|
19500
|
|
Уголь,
т
|
1300
|
|
Газ,
м3
|
2,06
|
|
Вода,
м3
|
36,3
|
|
Электроэнергия,
кВт×
час
|
1,40
|
Коэффициенты
перевода условного топлива в натуральное
Газ - 1,16
Дизтопливо - 1,45
Приложения Г
Штат бригады и дневные тарифные ставки рабочих
х/б производств
|
Наименование
профессии
|
Разряд
|
Дневные
тарифные ставки, руб.
|
Группы
изделий
|
|
|
|
Хлеб
формовой
|
Хлеб
подовой
|
Лиственные
изделия
|
Булочные
на механических линиях
|
Бараночные
изделия
|
Сухарные
изделия
|
Печенье
сахарное, затяжное
|
|
1
|
2
|
3
|
4
|
5
|
6
|
7
|
8
|
9
|
10
|
|
Мастер-пекарь**
|
5
|
70,00
|
1
|
1
|
1
|
1
|
1
|
1
|
1
|
|
Пекарь*
|
4
|
68,56
|
-
|
-
|
1
|
-
|
-
|
1
|
-
|
|
Машинист
|
3
|
54,96
|
-
|
-
|
-
|
-
|
-
|
2-3
|
1
|
|
Формовщик
|
3
|
54,96
|
-
|
-
|
2-3
|
-
|
1
|
1
|
-
|
|
Тестовод
|
4
|
68,56
|
1
|
1
|
1
|
1
|
1
|
1
|
1
|
|
Оператор
БХМ**
|
4
|
60,80
|
1
|
1
|
1
|
1
|
1
|
1
|
1
|
|
Рабочий
растворного узла **
|
4
|
68,56
|
1
|
1
|
1
|
1
|
1
|
1
|
1
|
|
Дрожжевар***
|
4
|
68,56
|
1
|
1
|
-
|
-
|
-
|
-
|
-
|
|
Наладчик**
|
4
|
66,32
|
1
|
1
|
1
|
1
|
1
|
1
|
1
|
|
Оператор
(кочегар) печей **
|
4
|
60,80
|
1
|
1
|
1
|
1
|
1
|
1
|
1
|
|
Укладчик
|
3
|
54,96
|
1
|
1
|
1
|
1
|
1-2
|
1-2
|
3-4
|
Примечание:
*Пекарь на комплексно-механизированных линиях не
предусматривается
** В случае выработки 2 изделий на каждое
изделие приходится по ½ штатной
единицы
*** Дрожжевар предусматривается в случае
выработки изделий на жидких дрожжах и жидких заквасках, цеха по приготовлению
КМКЗ, ЖДФ обслуживаются рабочим растворного узла (или тестоваром).
Примечание: штат бригады подлежит уточнению с
преподавателем по технологии и организации производства.
Приложения Д
Рецептура Хлеб домашний масса 0,8 кг
|
Наименование
сырья
|
Расход
сырья, кг
|
|
Мука
пшеничная хлебопекарная в/с
|
100
|
|
Дрожжи
хлебопекарные прессованные
|
1
|
|
Соль
поваренная пищевая
|
1,5
|
|
Сахар-песок
|
3
|
|
Молоко
коровье цельное пастеризованное
|
10
|
|
Вода
|
20
|
|
Итого
|
135,5
|
Рогалики с маком масса 0,1 кг
|
Наименование
сырья
|
Расход
сырья, кг
|
|
Мука
пшеничная хлебопекарная 1 сорт
|
100
|
|
Дрожжи
хлебопекарные прессованные
|
2
|
|
Соль
поваренная пищевая
|
1,5
|
|
Сахар-песок
|
5
|
|
Маргарин
столовый не менее 82% жирности
|
8
|
|
Мак
пищевой
|
1
|
|
Вода
|
40
|
|
Итого
|
157,2
|
Приложения Е
Плановый уровень рентабельности по видам изделий
|
Вид
изделия
|
Уровень
рентабельности, %
|
|
1
|
2
|
|
По
хлебу из ржаной муки По хлебу из смешанных сортов муки По хлебу из пшеничной
муки Булочные изделия Печенье сдобное Печенье сахарное
|
8-10
9-10 12-15 20-25 25,0 20,0
|
Примечание: Цены, нормы, тарифные ставки взяты
на 01.01.10г. на ОАО «Кемеровохлеб».