Статистико-экономический анализ эффективности производства подсолнечника на примере районов Воронежской области
Курсовая работа
Статистико-экономический
анализ эффективности производства подсолнечника на примере районов Воронежской
области
Введение
корреляционный подсолнечник цена регрессивный
Очевидно, что не может быть ни богатого государства, ни устойчивой
прогрессивной политической системы, ни стабильного рынка, если не обеспечена
гарантированная и высокопроизводительная база сырьевого снабжения общественного
производства. В то же время аграрный, а вместе с тем и
продовольственно-сырьевой кризисы, являющиеся следствием серьезных ошибок в
общеэкономической и аграрной политике прежней административной системы, еще
больше усугубились при первых же попытках формирования рыночных отношений.
Таким образом, сложившаяся ситуация коснулась как рядового сельскохозяйственного
товаропроизводителя, так и всех отраслей народного хозяйства в целом. Причины
снижения темпов развития агропромышленного комплекса многоплановы и носят не
только экономический, но политический и социальный характер, от необоснованного
сокращения государственной поддержки села до значительной миграции сельского
населения в связи с отсутствием нормальных условий проживания.
Таким образом, на сегодняшний день остается актуальной
проблема повышения эффективности и конкурентоспособности производства и
переработки любой сельскохозяйственной продукции, в том числе и высокодоходного
подсолнечника.
В настоящее время в силу изменившихся экономических условий
производства наблюдается территориальное изменение в размещении подсолнечника
по зонам и снижение интенсивности его возделывания. В результате снижается
уровень агротехники, наблюдается чрезмерная концентрация и резкое сокращение
объема производства масло семян. Удельный вес сортов и гибридов отечественной
селекции из года в год снижается. Все это требует необходимости продолжения
изучения формирующихся тенденций в аграрном секторе, анализа сложившегося
состояния и обоснования дальнейших направлений повышения эффективности и
конкурентоспособности производства и переработки масло семян подсолнечника./3,290
с/
Целью курсовой работы является статистико-экономический
анализ эффективности производства подсолнечника на примере районов Воронежской
области, разработка системы мер, направленных на повышение экономической
эффективности производства.
Задачи курсовой работы:
· Провести анализ рядов динамики денежной
выручки за реализацию подсолнечника за ряд лет;
· Проанализировать среднюю цену 1ц и
денежной выручки за реализованный подсолнечник.
· Провести группировку статистических
показателей по урожайности;
· Провести корреляционно-регрессионный
анализ зависимости уровня окупаемости от урожайности.
· Выявить проблемы и возможные пути их
решения при производстве подсолнечника;
· Предложить возможные направления повышения
экономической эффективности производства и переработке подсолнечника на основе
его интенсификации.
Объектом исследования являются районы Воронежской области.
Теоретической и методологической основой исследования
являются научные труды отечественных и зарубежных ученых-экономистов по
проблемам аграрной экономики и эффективности производства масличных культур,
соответствующие разработки научно-исследовательских институтов и вузов.
1.
Анализ рядов динамики денежной выручки за реализованный подсолнечник
.1
Динамика денежной выручки за реализованный подсолнечник и анализ ее изменения
Выручка от реализации характеризует общий финансовый
результат (валовой доход) от реализации продукции (работ, услуг), т. е.
является одним из важнейших показателей финансовой деятельности предприятия.
На основании исходных данных выявим динамику денежной выручки
от реализации подсолнечника за 6 лет по Воронежской области. Для анализа этого
показателя нам необходимо найти среднюю величину выручки, а также несколько
аналитических показателей.
Последовательно расположенные во времени статистические
данные называются уровнями рядов динамики. Они должны быть сопоставимы между
собой, особенно в территориальном разрезе, по кругу охватываемых объектов,
методике расчёта, критической дате, структуре. Уровни рядов динамики могут
характеризовать величину явления за некоторые отрезки времени (интегральные
ряды динамики) или на определённую дату (моментные ряды динамики). Каждое число
ряда динамики называется уровнем и обозначается Y, индивидуальный уровень,
соответственно, Y1, Y2, Y3…Yn. Индивидуальный уровень характеризует различные
общественные явления за определенный период времени, однако часто возникает
необходимость определить размер изучаемого явления за весь указанный период. В
этом случае рассчитывается средний уровень динамики:
, (1)
где
- средний уровень динамики выручки, тыс. руб.
денежная выручка за реализацию подсолнечника, тыс. руб.-
число лет изучаемого периода/8,379 с/
Так, средняя величина денежной выручки за реализацию подсолнечника
за 6 лет в период с 2003 по 2008 годы составила:
Таким образом, величина денежной выручки в среднем за 6 лет
составила 3798,4 тыс. руб.
С целью изучения динамики используются следующие
аналитические показатели динамики денежной выручки:
) Абсолютный прирост
) Темп роста
) Темп прироста
) Абсолютное значение 1% прироста
) Средний абсолютный прирост
) Средний темп роста
Рассмотрим динамику выручки от реализации подсолнечника по
районам Воронежской области за 2007 - 2012 годы.
Таблица 1.1 - Расчет показателей динамики выручки от
реализации подсолнечника по Воронежской области на 2007-2012 гг.
Методику расчета и экономический смысл этих показателей
рассмотрим исходя из данных таблицы 1.1 Обозначим годы и соответственно,
денежную выручку индексами Y1-2007г., Y2-2008г. и так далее до 2012 г. и выявим
динамику выручки с помощью выше перечисленных показателей.
. Абсолютный прирост показывает, на сколько единиц в
абсолютном выражении увеличилось или уменьшилось изучаемое явление. Он
определяется двумя способами - цепным и базисным.
а) Цепной. Определяется как разность между каждым последующим
уровнем ряда динамики и предыдущим уровнем:
Рассчитывая цепные показатели ряда динамики, следует
отметить, что динамика выручки реализации подсолнечника носит неустойчивый
характер.
Из расчетов видно, что абсолютные показатели значительно
колеблются и не возможно выявить определенной тенденции изменения денежной
выручки, но следует отметить, что большее сокращение денежной выручки от
реализации подсолнечника наблюдается в 2010 г. на 1459,4 млн. руб., что связано
с уменьшением количества произведенного подсолнечника в 2010 г. по сравнению с
2009 г. на 311,4 тыс.т., а наибольший прирост денежной выручки был в 2012 г.
(1886.4 млн. руб.), что связано с увеличение количества подсолнечника в 2012г.
на 56,4 тыс.т., и увеличением цены 1ц на 386,3 руб., по сравнению с 2011г..
б) Базисный. Определяется как разность между каждым
последующим и начальным уровнем ряда динамики, который принимается за базу
сравнения:
По данным очевидно, что тенденция денежной выручки от
реализации подсолнечника в целом отрицательная, однако этого недостаточно,
чтобы выявить динамику изменения выручки, так как показатели колеблются.
Следует отметить, что наибольший прирост денежной выручки наблюдается в 2009 г
(984,9 млн. руб.). Это связано с ростом количества подсолнечника в 2009 г. на
(536,6 тыс.т.) по сравнению с 2008 (362,1тыс. т.) и ростом цены 1ц
подсолнечника на 911,6 руб. Большее сокращение денежной выручки наблюдается в
2011 г. на 1086,1 млн. руб Это связано со снижением количества подсолнечника в
2011 г. на 289,9 тыс. т. по сравнению с 2008 г. на 362,1 тыс. т.
При анализе общественных явлений важную роль играет изучение
темпов роста и прироста показателей.
. Темп роста. Он показывает как быстро или какими темпами
изменяется общественное явление, выражается в процентах. Определяется также
двумя способами.
а) Цепной. Определяется как отношение каждого последующего
уровня ряда динамики к предыдущему, умноженному на сто. (Темп прироста
обозначим через Т):
Как видно из рассчитанных данных, темп роста в целом положительный,
но он не имеет выявленной тенденции, так как показатели по годам сильно
отличаются друг от друга. Темп роста в 2009г (161,4%),а в 2010 (70,2%), так же
в 2011г (82,2%),а в 2012г. (166,9%). Необходимо проводить анализ более точными
методами, для выявления закономерностей изменения денежной выручки.
б) Базисный. Определяется как отношение каждого последующего
уровня изменения к начальному, который принимается за базу сравнения и
умножается на сто.
По рассчитанным показателям видно, что по отношению к
базисному году, темп роста был относительно положительным и возрастал с 2008
года, однако в 2010 году резко снизился. Динамика не выявлена, определенной
тенденции изменения денежной выручки здесь не наблюдается.
. Темп прироста. Показывает, на сколько процентов
увеличилось или уменьшилось изучаемое явление. Определяется как разница между
темпом роста и 100%. Определяется двумя способами.
, (2)
где
- темп прироста денежной выручки, %
а) Цепной.
Рассчитанные данные свидетельствуют о том, что наибольший
темп прироста денежной выручки был в 2012 г.(66,9%), а наименьший в 2010 г.
(-29,8%).
б) Базисный. Определяется по формуле:
(3)
Рассчитанные данные позволили заметить, что наибольший темп
прироста наблюдается в 2009г. (25,2%), а наименьший в 2011г. (-27,8%). Базисные
показатели говорят о неустойчивой динамике денежной выручки. Например, в 2008,
2010 и 2011 гг. она была отрицательной по сравнению с 2009 г., а в 2012 г. уже
положительной. Наибольшие изменения были отмечены в 2009 году, здесь
максимальный прирост денежной выручки по сравнению с 2007 годом составил 25,2%.
. Абсолютное значение 1% прироста. Этот показатель
служит косвенной мерой базисного уровня.
Представляет собой одну сотую часть базисного уровня, но
одновременно представляет собой и отношение абсолютного прироста к
соответствующему темпу роста.
Определяется только цепным методом.
Для каждого последующего года рассчитывается как отношение
предшествующего уровня к 100:
Рассматривая цепные показатели ряда динамики, следует
отметить, что динамика денежной выручки от реализации подсолнечника имеет неустойчивый
характер. Так, при резком снижении денежной выручки в 2009 году - 30,3 млн.
руб., в 2010 году наблюдается ее увеличение на 18,6 млн. руб. В 2010 году
денежная выручка заметно возросла, а в 2011 году снова понизилась.
Так, если в 2008 году увеличение денежной выручки на 1%
означало увеличение ее на 39,1 млн. руб., то в 2009 году это увеличение
составило 30,3 млн. руб., то есть последовало уменьшение в динамике прироста
денежной выручки, от реализации подсолнечника. Поэтому 2008-2012 годах в
динамике этого показателя не наметился позитивный характер; постоянно то
увеличивалась мера роста этого показателя, то уменьшалась.
В целях подтверждения изложенных выводов динамику денежной
выручки можно изобразить графически в виде линейного графика:
Рисунок 1 - Динамика денежной выручки от реализации
подсолнечника по Воронежской области с 2008 по 2012 годы, млн. руб.
График подтверждает ранее сделанные выводы. В 2010 году
наблюдается резкое увеличение денежной выручки, а в 2011 году резкое сокращение
до 2012 ниже уровня 2009 года. Это говорит о неустойчивом характере изменения
денежной выручки. В данной динамике наблюдается яркие колебание показателей.
В связи с изложенным, значительный интерес представляют собой
средние или обобщенные показатели, такие как средний абсолютный прирост и
средний темп роста.
Рассчитаем средний темп роста денежной выручки:
(5)
где
млн. руб.
- конечный уровень ряда динамики, млн. руб.,
- начальный уровень ряда динамики, млн. руб.
средний темп роста =
или 104%.
Так же рассчитаем средний темп прироста:
средний темп прироста =104-100%=4%
По результату расчета видно, что денежная выручка ежегодно
увеличивалась на 4%. Или на 160,6 млн.руб.
Это положительная тенденция, но с помощью рассчитанных
показателей нельзя выявить определенную закономерность уменьшения или
увеличения (в данном случае увеличения) денежной выручки.
Для более полного анализа цены подсолнечника, целесообразно
рассмотреть цену 1ц подсолнечника за 9 лет по Воронежской области.
Состояние качественных показателей определяется рядом
факторов как экономического, так и природного характера, поэтому динамику этих
показателей изучают в длительный период.
В нашем случае этот период составляет 9 лет (с 2004 по 2012
годы).
Определим темп роста в процентах двумя методами: цепным и
базисным и отобразим рассчитанные показатели в таблице.
. Определим цепным методом темп роста цены реализации
1 ц подсолнечника:
Цепные показатели роста цены реализации 1 ц подсолнечника
говорят о неустойчивой динамике движения цен. Резкое повышение уровня цен
произошло в 2007 году, темп роста составил 211,5%, а в 2006 году он составил
96,2%. В период с 2004 по 2012 годы наблюдается скачкообразный темп роста,
тенденция не выявлена
. Определим темп роста цены реализации 1 ц
подсолнечника по Воронежской области базисным методом:
В базисном методе динамика цен реализации подсолнечника не
устойчива. Темпы роста по всем годам выше 78.1%, хотя наблюдались резкие
колебания. Так, темп роста в 2006 году составил 78.1%, а в 2007 уже 165.2%, то
есть резкий скачок; в 2010 году темп роста наибольший 248%, а в 2011 году уже
158%, здесь наблюдается резкое снижение, но по сравнению с 2005 годом это
относительно высокие показатели.
В 2005 году увеличение денежной выручки на 1% было
равнозначно увеличению ее на 6,1 млн. руб.
В 2005-2012 годах динамика не выявлена, постоянно то
увеличивалась мера роста этого показателя, то уменьшалась. Так, если в 2005
году увеличение денежной выручки на 1% означало увеличение ее на 6,1 млн. руб.,
то в 2008 году это увеличение в динамике денежной выручки, от реализации
подсолнечника составило 10,1 млн. руб..
По результату расчета видно, что цена ежегодно увеличивалась
на 10% или на 93,1 руб.
Это положительная тенденция, но с помощью рассчитанных
показателей нельзя выявить определенную закономерность уменьшения или
увеличения (в данном случае увеличения) денежной выручки.
Таблица 1.2 - Показатели динамики цены 1ц. подсолнечника
Таким образом, в динамике цены реализации 1 ц подсолнечника
нет общей тенденции, нет закономерности. В целях более детального изучения цен
следует провести выравнивание ряда динамики цен реализации подсолнечника.
1.2 Выявление
тенденции в изменении цены 1ц реализованного подсолнечника
При анализе рядов динамики часто возникает задача выявить
общие тенденции развития явления, то есть найти тренд (плавную линию развития).
Здесь используется способ выравнивания рядов динамики - изменение явления
представляет собой функцию времени. Для этого используются различные
статистические методы. Наиболее часто применяются метод укрупнения периодов,
метод скользящей средней и аналитическое выравнивание. Сущность метода
укрупнения периодов заключается в том, что представленный ряд по каким-либо
интервалам (дни, месяцы, годы) заменяются новыми укрупненными интервалами (дни
- декадами, месяцы - кварталами, годы - по 3-хлетиям, 5-тилетиям, 10-тилетиям).
Выравнивание производится по трех-, четырех-, пятилетиям и т. д. Так как наша
исходная информация приведена за девять лет, то выравнивание следует произвести
по трехлетиям. /16,230 с/
Рассмотрим применение этих методов, используя исходную
информацию о денежной выручке от реализации подсолнечника(табл.1.3.).
Приведенные данные свидетельствуют о том, что тенденция в
изменении цены реализации отсутствует. Она то понижается, то повышается.
Проведем выравнивание ряда динамики цены реализации,
используя метод укрупнения периодов. Выравнивание производится по трех-,
четырех- и пятилетиям.
Так как исходная информация приведена за 9 лет, то
выравнивание следует провести по трехлетиям.
Для этого:
а) Определим сумму цены реализации по трехлетиям, руб.:
- 2006: 613,97+498,684+479,727 =1592,381
- 2009: 1014,519+837,144+911,625 =2763,288
- 2012: 1524,144+973,028+1359,288 =3856,46
б) Определим среднюю цену реализации по трехлетиям как
простую арифметическую, руб.:
- 2006: 1592,381/3=530,8
- 2009: 2763,288/3=921,1
- 2012: 3856,46/3=1285,5
Полученные данные выявили закономерность развития цены
реализации 1 ц подсолнечника, она с каждым трехлетием увеличивалась
приблизительно на 380 руб., так в 2004-2006 гг.(530,8 руб), а
с 2007-2009 гг.(921,1 руб). Однако трех средних величин
недостаточно для надежных выводов, поэтому следует применить метод расчета
скользящей средней. Он рассчитывается также по трехлетиям, которые образуются
со сдвигом на один год, то есть происходит скольжение по ряду динамики на один
период:
а) Определим сумму цены реализации по трехлетиям, руб.:
2004 - 2006: 613,97+498,684+479,727=1592,381
2005 - 2007: 498,684+479,727+1014,519=1992,93
- 2008: 479,727+1014,519+837,144=2331,39
- 2009: 1014,519+837,144+911,625=2763,288
- 2010: 837,144+911,625+1524,144=3272,913
- 2011: 911,625+1524,144+973,028=4768,085
- 2012: 1524,144+973,028+1359,288=3856,46
б) Определим среднюю цену реализации по трехлетиям по простой
арифметической:
2004 - 2006: 1592,381/3=530,8
2005 - 2007: 1992,93/3=664,3
- 2008: 2331,39/3=777,1
- 2009: 2763,288/3=921,1
- 2010: 3272,913/3=1091
- 2011: 4768,085/3=1589,4
- 2012: 3856,46/3=1285,5
Скользящая средняя выявила определенную положительную
тенденцию изменения цены реализации 1 ц подсолнечника, она с каждым периодом
увеличивалась достаточно пропорционально 2004-2006гг. (530,8 руб.),
2005-2007гг. (664,3 руб.), 2006-2008 (777,1 руб.), кроме 2010-2012 гг. Но для
обобщения явления недостаточно данных только по трехлетиям, необходимо
применение и других методов изучения динамики цен.
Таблица 1.3- Цена реализации подсолнечника по годам, рублей
Анализируя данные таблицы, следует отметить, что за счет
применения методов: укрупнения периодов и расчета скользящей средней,
получилось выявить определенные тенденции изменения цены реализации 1 ц
подсолнечника по Воронежской области в период с 2004 по 2012 годы. Наблюдается
постоянное пропорциональное увеличение цены реализации по годам, кроме
2010-2012 г.. Метод скользящей средней также выявил определенную тенденцию
изменения цены реализации 1 ц подсолнечника; она постоянно увеличивалась.
Для более полных выводов необходимо провести аналитическое
выравнивание и выявить определенный тренд развития цены реализации 1 ц
подсолнечника. Этот метод достаточно надежный, здесь применяется уравнение,
которое в наибольшей степени отражает процесс развития общественного явления.
Рассмотренные приемы выявления общей тенденции изменения
динамического ряда не позволяют получить описание плавной линии развития
(тренда) данного ряда. Для этой цели используется аналитическое выравнивание,
сущность которого заключается в нахождении уравнения, выражающего
закономерность изменения явления как функцию времени
у = f (t). Вид уравнения определяется характером динамики
развития конкретного явления. Логический анализ при выборе вида уравнения может
быть основан на рассчитанных показателях динамики.
Предположим, что в нашем условном примере абсолютные приросты
цены реализации 1 ц подсолнечника относительно стабильные, тогда аналитическое
выравнивание ряда динамики выполняется по прямой, то есть используется
аналитическое уравнение вида:
(6)
где:
- теоретическое значение цены 1 ц за каждый год,- условное
обозначение периодов времени,
- неизвестные параметры.
Параметры рассчитываются по методу наименьших квадратов
(МНК), тогда система нормальных уравнений при выравнивании имеет вид:
Для упрощения поиска параметров уравнения отсчет времени t
можно производить так, чтобы сумма показателей времени изучаемого ряда динамики
была равна нулю (t = 0). При нечетном числе уровней ряда динамики уровень,
находящейся в середине ряда, берется за 0. Тогда даты времени, стоящие выше
этого уровня, обозначаются числами со знаком минус (-1, -2, -3. и т. д.), а
ниже - с плюсом (+ 1, +2, +3 и т. д.)./2,311 с/
Исходные и расчетные данные для решения системы представим в
виде таблицы:
Таблица 1.4 - Исходные данные для решения системы уравнений
Представим данные в системе нормальных уравнений и получим
следующие выражения:
Подставив найденные значения параметров
в уравнение прямой,
найдем его конкретное выражение:
Параметр
показывает ежегодное увеличение или уменьшение
изучаемого явления, в данном случае - это цена реализации 1 ц подсолнечника,
руб. Так, ежегодно в течение изучаемого периода средняя цена реализации 1 ц
подсолнечника повысилась на 56,3 руб.
Подставив значение t в полученное уравнение можно определить
расчетные значения выручки для каждого года:
Таким образом, мы получили выравнивание ряда цены реализации
подсолнечника, которое свидетельствует о систематическом росте этого показателя
при годовом приращении выручки. В изучаемой совокупности районов следует
положительная тенденция динамики цены реализации подсолнечника.
Оставив выявленную тенденцию можно составить прогноз
изменения выручки до 2015 года, тыс. руб.:
Таким образом, цена реализации 1 ц подсолнечника постоянно
увеличивается и делает производство подсолнечника рентабельным для предприятия.
Но, также для более полного анализа эффективности деятельности предприятия
необходимо изучать внутреннюю структуру резервов повышения производства и
выручки культуры. С этой целью при использовании ЭВМ строится не только
линейная, но и другие функции, такие как парабола, экспонента, степенная; затем
посредством оценки статистических характеристик выбирается один из них, который
в значительной степени отвечает условиям изучаемой совокупности предприятий,
определяет прогнозную выручку и разрабатываются пути ее повышения.
2. Индексный метод анализа
2.1 Сущность индекса. Индивидуальные и общие
индексы цены.
Слово Index - латинское, означает в переводе показатель,
указатель.
В статистике индексами называют относительные показатели,
выражающие изменения сложных экономических явлений, состоящих из
непосредственно несоизмеримых элементов.
По своей сущности и способу расчета индексы относят к
относительным величинам, получают индексы путем отношения двух величин.
Чаще всего индекс определяется как отношение отчетной величины к
базисной, при этом отчетная величина обозначается со знаком 1(
), базисная - со знаком 0 (
)
Индекс =
Отличительная особенность индекса от относительной величины в том,
что относительная величина изучает изменение одного какого-то явления или
отдельного элемента сложного явления.
Индекс применяется для изучения изменения всего сложного явления в
целом, отдельные элементы которого не подлежат непосредственному суммированию.
В зависимости от сущности изучаемого явления различают индексы
качественных и количественных показателей.
К первой группе показателей относят индексы, которые характеризуют
изменения количества или объёма произведенной продукции, размеры посевных
площадей, численности скота, стоимости основных производственных средств и т.д.
Ко второй группе относят индексы таких показателей как
производительность труда, себестоимость произведенной продукции, цен реализованной
продукции, уровень рентабельности. Эти показатели характеризуют качество
произведенной работы.
В международной практике индексы принято обозначать символами I и i. Буквой «I» обозначаются общие индексы, буквой «i» - частные. Знак внизу справа означает период: 0-базисный;
1-отчетный.
Все экономические индексы можно классифицировать по следующим
признакам:
) По степени охвата явления индексы бывают индивидуальные и
сводные. Индивидуальные индексы служат для характеристики отдельных элементов
сложного явления. Их примером могут быть изменения объёма производства
отдельных видов продукции, а так же цен на отдельные акции какого-либо
предприятия. Для измерения динамики сложного явления, составные части которого
непосредственно несоизмеримы, рассчитывают сводные или общие индексы.
Если индексы охватывают не все элементы сложного явления, а только
часть их, то такие индексы называют групповыми или субиндексами, например,
индексы физического объёма продукции по отдельным отраслям промышленности,
индексы цен по группам продовольственных и непродовольственных товаров.
Групповые индексы отражают закономерности в развитии отдельных частей изучаемых
явлений. В таких индексах проявляется их связь с методом группировок.
). По базе сравнения все индексы можно разделить на две группы:
динамические и территориальные. Первая группа индексов отражает изменение
явления во времени. Например, индекс цен на продукцию в 2004 году по сравнению
с предыдущим; индекс стоимости потребительской корзины в августе по сравнению с
июлем 2004г.
При исчислении динамических индексов происходит сравнение значения
показателя в отчетный период со значением этого же показателя за предыдущий
период, который называется базисным. Однако в качестве последнего могут быть
использованы и прогнозные и плановые показатели.
Территориальные индексы применяются для межрегиональных сравнений.
Большое значение эти индексы имеют в международной статистике при сопоставлении
показателей социально-экономического развития различных стран.
). По виду весов индексы бывают с постоянными и переменными
весами.
). В зависимости от формы построения различаются индексы
агрегатные и средние. Последние делятся на арифметические и гармонические.
Агрегатная форма общих индексов является основной формой экономических
индексов. Средние индексы - производные, они получаются в результате
преобразования агрегатных индексов.
).По характеру объёма исследования общие индексы подразделяются на
индексы количественных и качественных показателей.
).По объекту исследования индексы бывают: производительности
труда, себестоимости, физического объёма продукции, и т.д.
).По составу явления можно выделить две группы индексов:
постоянного состава и переменного. Деление индексов на эти две группы
используется для анализа динамики средних показателей.
).По периоду исчисления индексы подразделяются на годовые,
квартальные, месячные, недельные.
С помощью экономических индексов можно решить следующие задачи:
1. измерение динамики социально-экономического явления
за два и более периодов времени;
2. измерение динамики среднего экономического
показателя;
. измерение соотношения показателей по разным
регионам;
. определение степени влияния изменений значений одних
показателей на динамику других;
. пересчет значений микроэкономических показателей из
фактических цен в сопоставимые./1,200 с./
Индивидуальные и общие индексы.
Индивидуальные индексы получают в результате сравнения
однотоварных явлений (например, индекс цен на подсолнечное масло определяется
как отношение цены на этот товар в текущем периоде к цене базисного периода).
Индивидуальные индексы представляют собой относительные
величины динамики, выполнения плана, сравнения, и их расчет не требует знания
специальных правил.
В зависимости от экономического назначения индивидуальные
индексы бывают: физического объёма продукции, себестоимости, цен, трудоёмкости
и т.д.
Этот индекс показывает во сколько раз возросла (уменьшилась)
себестоимость какого-либо одного товара в отчетном периоде по сравнению с
базисным, или сколько процентов составляет рост (снижение) себестоимости
товара. Если из значения индекса, выраженного в процентах вычесть 100%, то
полученная величина покажет, на сколько процентов возросла (уменьшилась)
себестоимость продукции.
В экономических расчетах чаще всего используют общие индексы,
которые характеризуют изменение совокупности в целом. Построение этих индексов
и является содержанием индексной методологии.
Анализ динамики уровней качественных показателей по
нескольким единицам означает анализ динамики уровней средних величин различных
экономических показателей (средней себестоимости, средней цены, средней
заработной платы и т. д.). Этот анализ выполняется с помощью системы
взаимосвязанных индексов: индекса переменного состава, индекса фиксированного
состава.
Общий индекс цены продукции I
рассчитывается по формуле
,
где z0 и z1 - средняя цена единицы
продукции по группе предприятий соответственно в отчетном и базисном периодах.
;
,
где q0 и q1 - количество реализованной продукции отчетного и базисного года.
Следовательно,
Этот индекс носит название переменного состава. Это объясняется
тем, что при исчислении средней себестоимости единицы продукции в отчетном
периоде весами служило количество продукции отчетного периода. При определении
средне себестоимости единицы продукции базисного периода весами было количество
продукции базисного периода, т.е. исчислялись средние с меняющимися весами.
Чтобы устранить влияние изменений в структуре весов на показатель
изменения уровня себестоимости, рассчитывают отношение средних с одними теми же
весами, т.е. исчисляется индекс себестоимости фиксированного состава./17, 140с/
.2 Индексный анализ средней цены 1ц и денежной выручки за
реализованный подсолнечник
При изучении динамики общественных явлений широко используются
индексы. Они позволяют не только отобразить динамику изучаемого явления в
целом, но и показать влияние отдельных факторов, как относительном, так и
абсолютном выражении. Рассмотрим это на примере динамики цены 1ц подсолнечника
в сельскохозяйственных организациях районов Воронежской области. Имеются
следующие исходные данные.
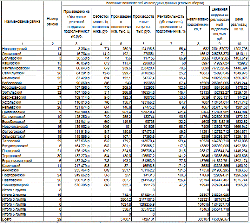
Таблица 2.1 Количество, цена 1ц и выручка от реализованного
подсолнечника

Определяется общее изменение средней цены подсолнечника.
Относительное.
Путем расчета индекса средней цены, который определяется как
отношение средней ценой отчетного года к средней цене базисного года.
Данный индекс является индексом переменного состава, так как в нем
изменяется только один элемент: цена 1ц подсолнечника.
Используя данные таблицы, рассчитаем показатель:
или 65%
Абсолютное.
Как разность между средней ценой 1ц подсолнечника отчетного и
базисного периодов.
руб.
Следовательно, средняя цена 1ц подсолнечника по Воронежской
области в 2012 году понизилась на 35% или 340,5 руб.
Средняя цена 1ц подсолнечника находится под влиянием 2 факторов:
· цена 1ц подсолнечника в отдельных
хозяйствах района,
· структура
произведенной продукции.
Влияние первого фактора:
Относительное.
Определяется путем расчета индекса постоянного состава.
Рассчитывается данный индекс как отношение средней фактической цены отчетного
года к средней условной цене отчетного года:
или 65%.
Абсолютное.
руб.
Следовательно, за счет понижения цены 1ц подсолнечника в 2012г. во
всех анализируемых районах средняя цена данного вида продукции по районам
Воронежской области понизилась на 35% или 345,9 руб.
Влияние второго фактора:
Относительное.
Определяется путем расчета индекса структуры произведенного
подсолнечника, который рассчитывается как отношение средней условной цены
отчетного года к средней цене базисного года:
или 100,6%
Абсолютное.
руб.
Следовательно, за счет улучшения структуры реализованного
подсолнечника средняя цена данного вида продукции по Воронежской области в
2012г. увеличилась на 0,6% или 5,4 руб.
Рассчитанные показатели находятся во взаимосвязи, что позволяет
построить две модели:
Мультипликативная.
Расчет общего индекса выручки определяется по следующей формуле:
Аддитивная.
Выявленные изменения в цене 1ц подсолнечника и структуре
произведенной продукции окажут влияние на величину выручки. В этой связи
представляет интерес анализ состояния выручки при производстве подсолнечника.
Определяется общее изменение выручки.
Относительное.
Путем расчета общего индекса затрат, который определяется как
отношение выручки отчетного года к выручке базисного года.
,
где
,
- фактическая выручка от продажи подсолнечника по Воронежской
области в 2012 и 2011гг.
или 55%.
Абсолютное.
Как разность между числителем и знаменателем рассчитанного
индекса.
тыс. руб.
Следовательно, выручка, связанная с производством подсолнечника в
2012г. по Воронежской области уменьшилась на 45% или 3213202,7 тыс. руб.
Выручка находится под влиянием трех факторов:
· цены 1ц подсолнечника в отдельных
хозяйствах района,
· количество произведенного подсолнечника,
· структура произведенной продукции.
Влияние первого фактора:
Относительное.
Определяется путем расчета общего индекса цены постоянного
состава, который составил
= 0,65=65%.
или -2191933,71 тыс. руб.
Следовательно, за счет понижения цены 1ц подсолнечника в
анализируемых хозяйствах района производственные затраты на данный вид
продукции по Воронежской области в 2012г. уменьшилась на 35% или -2191933,71
тыс. руб.
Влияние второго фактора:
Относительное.
Определяется путем расчета индекса количества произведенного
подсолнечника или его физического объема:
где
,
- количество произведенного прироста живой массы в районе в 2012 и
2011гг.
или 85%.
Абсолютное.
или 1055700,6 тыс. руб.
Следовательно, за счет уменьшения количества реализованного
подсолнечника в 2012г. выручка на данный вид продукции по Воронежской области
уменьшилась на 15% или 1055700,6 тыс. руб.
Влияние третьего фактора:
Относительное.
Определяется путем расчета индекса структуры произведенного
подсолнечника, который составил
=1,006= 100,6%.
Абсолютное.
или 34219,26 тыс. руб.
Следовательно, за счет улучшения структуры реализованного
подсолнечника по Воронежской области в 2012г. выручка на данный вид продукции
увеличилась на 0,6% или 34219,26 тыс. руб.
Рассчитанные показатели находятся во взаимосвязи, что позволяет
построить две модели:
Мультипликативная

Аддитивная.
Таким образом, индексный анализ выявил основную проблему при
производстве подсолнечника в понижении цены.
3.
Методы статистической группировки и дисперсионного анализа
.1
Сущность группировки, её основные методологические аспекты
Изучаемые статистикой массовые явления и процессы протекают в
множествах элементов (единиц) некоторого вида, или совокупностях. Определить
совокупность - значит определить входящие в нее элементы, т.е. единицы.
Структура совокупности показывает, как единицы разграничиваются друг с другом,
т.е. под структурой понимается характер распределения единиц совокупности для
каждого признака и характер взаимосвязи признаков между собой.
Группировка - это разбиение совокупности на группы,
однородные по какому-либо признаку или объединение отдельных единиц
совокупности в группы, однородные по каким-либо признакам.
Группировка лежит в основе всей дальнейшей работы с собранной
информацией. На основе группировки рассчитываются сводные показатели по
группам, появляется возможность их сравнения, анализа причин различий между
группами, изучения взаимосвязей между признаками. Если рассчитать сводные
показатели только в целом по совокупности, то мы не сможем уловить ее
структуры, роли отдельных групп, их специфики.
Статистические группировки по задачам, решаемым с их помощью,
делятся на: типологические, структурные и аналитические.
Типологическая группировка - это разделение
исследуемой качественно разнородной совокупности на классы,
социально-экономические типы, однородные группы единиц в соответствии с
правилами научной группировки.
Структурной называется группировка, в которой
происходит разделение однородной совокупности на группы, характеризующие ее
структурами какому-либо варьирующему признаку.
Аналитическая (факторная) группировка позволяет выявить
взаимосвязи между признаками общественных явлений.
Эти группировки включают взаимосвязанные признаки, которые
делятся на факторные (вызывающие изменение другого признака) и результативные
(изменяющиеся под влиянием факторного признака). Если с изменением факторного
признака средняя величина результативного признака закономерно изменяется, то
группировка позволяет обнаружить зависимость (прямую или обратную)
результативного признака от факторного.
При проведении группировки решается ряд задач:
1) выделение группировочного признака;
) определение числа групп и величины
интервалов;
) при наличии нескольких группировочных
признаков описание того, как они комбинируются между собой;
) установление показателей, которыми
должны характеризоваться группы, т. е. сказуемого группировки.
Метод группировки основывается на двух категориях -
группировочном признаке и интервале.
Группировочный признак - это признак, по которому происходит
объединение отдельных единиц совокупности в однородные группы. Группировка
должна производиться на основании вполне объективных и легко распознаваемых
признаков.
В зависимости от числа положенных в их основание признаков
различают простые и многомерные группировки.
Группировка, выполненная по одному признаку, называется
простой.
Когда же в основу группировки положены два и более признака,
то она называется комбинационной. Комбинационные группировки позволяют более
глубоко анализировать статистический материал по сравнению с простыми
группировками. Особенно важное значение они имеют в тех случаях, когда влияние
одного факторного признака на результативный затушевывается влиянием другого.
Выработаны следующие основные правила для выбора
группировочных признаков.
· прежде всего, необходимо уяснить сущность изучаемого
явления;
· в основании группировки надо положить наиболее
существенные признаки, отвечающие цели исследования;
· группировочные признаки должны отбираться с
учетом конкретных особенностей изучаемых явлений;
· для всесторонней характеристики сложных общественных
явлений целесообразно брать несколько признаков.
Число групп зависит от задач исследования и вида признака,
положенного в основание группировки. Численности совокупности, степени вариации
признака.
После определения числа групп следует определить интервалы
группировки.
Интервал - это значения варьирующего признака, лежащие в
определенных границах. Каждый интервал имеет свою величину, верхнюю и нижнюю
границы или хотя бы одну из них.
Интервал очерчивает количественные границы групп. Как
правило, он представляет собой промежуток между максимальными и минимальными
значениями признака в группе.
Нижней границей интервала называется наименьшее значение
признака в интервале, а верхней границей - наибольшее значение признака в нем.
Интервалы в зависимости от их величины могут быть равные и
неравные.
Если вариация признака проявляется в сравнительно узких
границах и распределение носит более или менее равномерный характер, то строят
группировку с равными интервалами.
Первые и последние интервалы могут быть открытыми и
закрытыми. Открытыми называются те интервалы, у которых указана только одна
граница: верхняя у первого, нижняя у последнего. Закрытыми называются
интервалы, у которых указаны обе границы.
Неравные интервалы применяются в статистике, когда значения
признака варьируют неравномерно и в значительных размерах./11,176с./
3.2 Аналитическая группировка районов по величине
произведено на 100 га пашни денежной выручки за семена подсолнечника
Произведем аналитическую группировку районов Воронежской
области по урожайности подсолнечника, с целью выявления его влияния на
себестоимость 1ц зерна.
Построим ранжированный ряд распределения хозяйств по
произведено на 100га пашни денежной выручки за семена подсолнечника.
;14;3;13;12;28;25;2;27;32;7;31;26;9;10;8;16;19;18;29;5;21;30;6;11;1;
;20;15
Определим число групп, на которые необходимо исходные данные.
n = 1+3.322 lg N, где N - число наблюдений,
Определим равный интервал (i)./18,448 с/
;
Распишем границы группы и подсчитаем число хозяйств, которые
войдут в каждую группу, т.е. строим интервальный ряд распределения и представим
его в виде таблицы
Таблица 3.1 Интервальный ряд распределения предприятий
Воронежской области по урожайности подсолнечника
Определим среднее значение изучаемого
признака (средняя урожайность подсолнечника) по средней взвешенной:
Определим показатели вариации:
· Определим взвешенную дисперсию.
.
ц.
· Определим среднее квадратическое отклонение
взвешенное.
ц.
· Определим коэффициент вариации:
Рассчитанный коэффициент вариации превышает 63%, что
свидетельствует о значительных колебаниях в произведено на 100 га пашни
денежной выручки за реализованный подсолнечник, то есть размах вариации
значителен.
Поэтому построенный интервальный ряд не может быть
рекомендован к практическому применению и требуется построить новый
интервальный ряд с использованием правила трех сигм. Данное правило в лучшей
степени учитывает вариацию группировочного признака и дает более равномерное
распределение единиц совокупности по группам.
Таблица 3.2 Интервальный ряд распределения районов Воронежской
области по урожайности подсолнечника с использованием правила 3
На основе полученных групп определяются сводные или
обобщающие показатели, по каждой группе и совокупности в целом и представляется
в виде таблицы.
Таблица 3.3 Свободные показатели по группам районов по
произведено на 100 га пашни денежной выручки за реализованный подсолнечник
На основе данных таблицы 3.3 рассчитываются средние или
аналитические показатели и представляются в виде таблицы 3.4.
Таблица 3.4 Группировка хозяйств Воронежской области по
урожайности подсолнечника
Была проведена аналитическая группировка, которая не показала
определенную зависимость между произведено на 100га денежной выручки за
реализованный подсолнечник и ценой реализации 1ц изучаемой культуры.
Но аналитическая группировка показала зависимость окупаемости
от произведено на 100 га пашни денежной выручки за подсолнечник и
себестоимостью 1ц подсолнечника, оказалось, что уровень окупаемости прямо
пропорционально зависит от произведено на 100 га пашни денежной выручки и
обратно пропорционально зависит от себестоимости 1ц подсолнечника. Чем выше
произведено на 100 га пашни денежной выручки за подсолнечник и меньше
себестоимость 1ц, тем выше уровень окупаемости.
3.3 Сущность
дисперсионного анализа. Оценка существенности влияния изучаемого фактора на
уровень окупаемости производства подсолнечника
Каждая статистическая совокупность состоит из множества
варьирующих единиц. Вариация, т. е. различия между значениями единиц
совокупности, складывается под влиянием бесконечного количества причин,
факторов. Но степень влияния отдельных факторов на изменение величины того или
иного признака неодинакова. Одни факторы влияют больше, другие - меньше. При
большом числе наблюдений случайные факторы взаимно погашаются, т. е. компенсируют
друг друга. Однако в опытном деле при небольшом числе наблюдений взаимное
погашение случайных факторов может произойти не полностью, и поэтому могут в
какой-то мере искажаться результаты опыта.
Для статистической оценки зависимости между явлениями при
небольшом числе наблюдений широкое применение находит метод, получивший
название дисперсионного анализа.
Знание основ этого метода - необходимое условие рационального
планирования и статистической обработки опытных данных.
Дисперсионный анализ заключается в сопоставлении факторной
дисперсии со случайной для оценки достоверности результатов статистической
группировки.
Дисперсионный анализ проводится по следующей схеме:
· расчленение общей дисперсии по источникам ее
образования;
· определение числа степеней свободы
вариации и F-критерия;
· анализ дисперсий.
Дисперсионный анализ дает, прежде всего, возможность
определить роль систематической и случайной вариаций в общей вариации и,
следовательно, установить роль изучаемого фактора в изменении результативного признака.
Для этого используется правило сложения дисперсий, согласно которому, общая
дисперсия равна сумме двух дисперсий: остаточной и факторной.
=
+
,
где
- общая дисперсия, которая измеряет
влияние на результат всех факторов,
- факторная дисперсия, которая измеряет влияние на результат
изучаемого фактора,
- показывает влияние на результат всех остальных факторов, кроме
изучаемого.
Дисперсионный анализ позволяет оценить достоверность
вариации, обнаруженной методом аналитических группировок. Определение
достоверности вариации дает возможность с заданной степенью вероятности
установить, вызвана ли межгрупповая вариация признаком, положенным в основание
группировки, или она является результатом действия случайных причин. /16. 198
с/
Основной характеристикой такой оценки является критерий
Фишера, разработанного английский ученым Р. Фишером.
Фишер установил распределение отношений дисперсий и
разработал соответствующие математические таблицы. В них приводится
теоретическое значение F-критерия (предельно возможное) при разных уровнях
вероятности или значимости 0,05 и 0,01. Уровень значимости - это достаточно
малое значение вероятности, отвечающее событиям, которые в данных условиях
исследования будут считаться практически невозможными. Появление такого события
считается указанием на неправильность начального предположения.
Критерием Фишера при проверке существенности связи пользуются
потому, что при больших числах степеней свободы его табличные значения мало
изменяются.
Критерий Фишера представляет собой отношение факторной и
остаточной дисперсий.
Значение F-критерия зависит от числа степеней свободы
факторной и случайной дисперсий, т. е. числа независимых отклонений от средней
величины. Число степеней свободы представляет собой число независимых
отклонений индивидуальных значений признака от средней без одного.
Для общей дисперсии число степеней свободы определяется:
где N - число единиц изучаемой совокупности (число хозяйств в
районе).
Для групповой или факторной дисперсии:
где n - число групп.
Для остаточной дисперсии:
Теперь фактическое значение критерия Фишера надо сравнить с
критическим, табличным. Если оно окажется больше критического, то связь между
результативным и факторным признаками считается существенной, если же наоборот,
то связь между указанными признаками считается несущественной.
При дисперсионном анализе общая дисперсия расчленяется на
факторную, связанную с группировочным признаком, и остаточную, не связанную с
группировочным признаком.
Мы рассмотрели схему дисперсионного анализа при группировке
по одному факторному признаку. Аналогично производится анализ при
комбинационной группировке по двум и более факторам. В этих случаях необходима
оценка достоверности влияния не только каждого положенного в основание
группировки фактора, но и результата их взаимодействия. Последний определяется
как разность между эффектом совместного влияния двух группировочных признаков,
взятых в отдельности.
Дисперсионный анализ, таким образом, позволяет из всего
многообразия факторов отобрать существенные, которые при дальнейшем
исследовании могут быть положены в основу построения
корреляционно-регрессионной модели.
Дисперсионный анализ предостерегает исследователя от
поспешных, недостаточно обоснованных выводов.
Аналитическая группировка подтвердила факт наличия связи
между урожайностью и себестоимостью 1ц подсолнечника, определила направление
этой связи - связь обратная. Однако она не дает ответа на вопрос - на сколько
связь существенна. Поэтому логическим продолжением аналитической группировки
является однофакторный дисперсионный анализ, как математический метод оценки
существенности связи.
) Определяем общую вариацию себестоимости подсолнечника под
влиянием всех факторов (урожайности, трудоёмкости 1ц, уровня интенсификации,
фондообеспеченности, уровня специализации, удельного веса затрат, стоимости
внесённых удобрений, уровня концентрации, трудообеспеченности).
где
- индивидуальное значение результата,
- уровень окупаемости.
= 67186,9
Таблица 3.5- Вариация признака по районам
2) Определяется факторная вариация, измеряющая влияние
группировочного признака (производственные затраты на 1 га посева):

- количество районов в группе.