|
00,004
|
|
|
|
|
0,84
|
0,222
|
Пересчитаем весовую долю ацетона в мольные на
входе в абсорбер:
Молекулярная масса исходной смеси на входе в
абсорбер:
Плотность газовой смеси при н.у.:
Плотность газовой смеси при рабочих условиях:
Расход газа по условиям в абсорбере
Производительность абсорбера по поглощаемому
компоненту:
Расход поглотителя (воды):
Удельный расход поглотителя:
Расчет движущей силы процесса
Определяем движущую силу внизу аппарата:
Определяем движущую силу вверху аппарата:
Средняя движущая сила определится:
Расчет скорости газа и диаметра абсорбера
Выбраны колпачковые тарелки.
Для них рабочая скорость газа можно рассчитать
по уравнению:
где 
- диаметр колпачка, м;

- расстояние от верха колпачка до
следующей тарелки, м;

плотность жидкой фазы, кг/м3;
Рассчитаем плотность газовой фазы.
Средняя мольная концентрация:
Плотность воздуха при рабочих
условиях:
Плотность паров ацетона при рабочих
условиях:
Средняя плотность газовой фазы при
рабочих условиях:
Рассчитаем плотность жидкой фазы.
Средняя мольная концентрация:
Плотность воды при рабочих условиях
(из справочника):
Плотность ацетона при рабочих
условиях 
Средняя плотность жидкой фазы при
рабочих условиях:
Предварительно зададимся по [1]:
диаметром аппарат 
,
диаметром колпачка 
,
высотой колпачка 
Расстоянием между тарелками 
,
Расстоянием от колпачка до тарелки 
Рассчитаем скорость газа по
уравнению:
Диаметр аппарата будет равен:
Принимаем стандартный диаметр из
ряда диаметров колонн 
Выбранный и полученный диаметры
колонн не совпали, значит требуется провести уточнённый перерасчёт. Но по [1]
аппарат с 
имеет те же самые расчётные данные,
что и аппарат с 
, а значит пересчёт не требуется.
Значит диаметр аппарата:
Уточнение скорости газовой смеси в
аппарате:
Характеристика стандартной тарелки
(ТСК-Р - 2200)
Диаметр колпачка 
Количество колпачков 
Свободное сечение тарелки 
Высота переливного порога 
Рабочее сечение тарелки 
Масса тарелки , 186 кг
Периметр слива(ширина переливной
перегородки) 
Расчет коэффициентов массоотдачи.
Коэффициенты молекулярной диффузии
для газа и жидкости:
абсорбер пар массоотдача
- учитывает ассоциацию молекул
растворителя (для воды)
- мольная масса растворителя
мольные объёмы газов:
νац = 74 см3/атом
νвозд = 29,9 см3/атом
Рассчитаем по формулам:
Расчет ßx и ßy проводится
по формулам:
Вязкость жидкости находим по
уравнению:
где µxa и µxa вязкость жидких
ацетона и воды при температуре абсорбции
µxa = 0,319 мПа*с при 22ºС
µxвод = 0,98 мПа*с при 22º С
откуда 
= 71,6 мПа*с
Вязкость газовой фазы рассчитывается
по приближенной формуле
аддитивности:
µв = 18,23 мкПа с - вязкость воздуха
при 22 0С
µа = 7,41 мкПа с - вязкость паров
ацетона при 22 0С
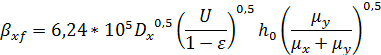
Рассчитаем коэффициенты массоотдачи:
Для получения выбранной размерности
умножим коэффициенты массоотдачи на плотности фаз:
βу = 0,46*(ρу - yср) =
0,46*(1,35 - 0,123) = 0,56 кг/м2с
βх =
0,00038*(ρх
- xср*
ρх)
= 0,00038*(929 - 0,28*929) = 0,254 кг/м2с
Следовательно, коэффициент
массопередачи 
:
где 
- тангенс угла наклона к линии
равновесия
Расчет числа тарелок абсорбера
Число тарелок абсорбера находим по
уравнению. Суммарная площадь тарелок F равна:
Рабочую площадь тарелок с перетоками
f определяют с учетом площади, занятым переливными устройствами:
= φ*0,785*d2
где φ - доля
рабочей площади тарелки, примем φ=0,9;
Рассчитаем рабочую площадь одной
тарелки по уравнению
Тогда требуемое число тарелок
определяют делением суммарной площади тарелок F на рабочую площадь одной тарелки
f:
принимаем 34 тарелки
Определение высоты абсорбера
Расстояние между тарелками
предварительно зададимся[3]: 
Проверим брызгоунос:
Где 
коэффициенты, зависящие от типа
тарелки.

- поверхностное натяжение.
Высота подпора жидкости над сливным
устройством:

- объемный расход воды.
Условия выполняются.(0,1>0.097)
Высота колонны:
Н = Нт(n-1)+(Нл - Нт )u+Z1+Z2
Нл = 900 - расстояние между
тарелками в месте установки люка, =16 - кол-во люков между тарелками.
где Нт = 0,6 м - расстояние между
тарелками;= 1 м - высота сепарационного пространства;= 2,5 м - высота кубового
пространства.
Н = 0,6(34-1)+(0.9-0.6)*16+1+2,5 =
28.1 м
. Гидравлический расчет колонны
Гидравлическое сопротивление сухой
тарелки
ΔРс = ζw2ρг/2Fc 2
где
- коэффициент сопротивления тарелки
с диаметром колпачка Dk=0.1 м;= 0,123 - относительное свободное сечение
колонны.
ΔРс = 3,1∙1,182∙1,35/2∙0,1232
= 192.584 Па
Гидравлическое сопротивление
обусловленное силами поверхностного натяжения:
ΔРσ = 4σ/Dk = 4∙0,07/0,1
= 2.8 Па
где σ = 0,0663
Н/м - поверхностное натяжение воды;
Гидравлическое сопротивление
газожидкостного слоя:
ΔРсл = ρж·g·h0 = 929∙9,8∙0,034
= 309,9 Па
Полное сопротивление тарелки:
ΔРт = ΔРс+ΔРσ+ΔРсл =
505,094 Па.
Полное сопротивление колонны:
ΔРа = 505.094∙34 = 17
170 Па.
Расчёт потерь давления на местные
сопротивления (
)
Полное гидравлическое сопротивление
абсорбера:
. Конструктивный расчет
Так как водный раствор ацетона при
температуре 22 С° является коррозионно активным веществом, то в качестве
конструкционного материала для основных деталей выбираем сталь 12Х18Н10Т ГОСТ
5632-72, обладающую необходимыми конструкционными свойствами.
Толщина обечайки:
sд
= 165 МН/м2 - допускаемое напряжениe,= 0.101325 Мпа - давление в абсорбере,
j
= 0,8 - коэффициент ослабления из-за сварного шва,
Поправка на коррозию рассчитывается:
- коррозионная проницаемость;
- амортизационный срок службы;
Согласно рекомендациям принимаем
толщину обечайки d = 8 мм.
Расчет днища.
j
= 1 - для днищ, изготовленных из цельной заготовки
По ГОСТ 6533 - 78 примем толщину
стенки днища dдн = 8 мм.
= 40 мм= 550 мм
Масса днища mд = 350 кг.
Объем днища Vд = 0.15395 м3.
Расчет фланцевого соединения
Соединение обечайки с днищами
осуществляется с помощью плоских приварных фланцев по ГОСТ 28759.2-90:
= 2330 мм= 2290 мм= 2246 мм= 55 мм
а1
= 14 мм= 10 мм= 23 ммусл = 0,3 МПа
Диаметр
болтов - M20,
Количество
болтов z = 72
Расчет
условного диаметра штуцеров.
Условный
диаметр рассчитываем исходя из объемного расхода и рекомендуемой скорости
движения среды. Рекомендуемые скорости примем для газа 
, для жидкости 
.
Диаметр
штуцера определяем по формуле:
где

объёмный расход фазы.
Диаметр
штуцера для входа и выхода жидкости:
Принимаем

Диаметр
штуцера для входа и выхода газа:
Принимаем

Все
штуцера снабжаются плоскими приварными фланцами по ГОСТ 12820-80,
|
dусл
|
D
|
D2
|
D1
|
h
|
n
|
d
|
|
50
|
140
|
110
|
59
|
13
|
4
|
М14
|
|
500
|
620
|
580
|
544
|
25
|
20
|
М20
|
Расчет опоры аппарата.
Аппараты вертикального типа с соотношением Н/D
> 5,
размещаемые на открытых площадках, оснащают так
называемыми
юбочными цилиндрическими опорами.
Ориентировочная масса аппарата.
Масса обечайки
где Dн = 2,216 м - наружный диаметр колонны;
Dвн = 2,2 м - внутренний диаметр колонны;
Ноб = 28,1 м - высота цилиндрической части
колонны
ρ = 7900 кг/м3 - плотность
стали
Общая масса колонны. Принимаем, что масса
вспомогательных устройств (штуцеров, измерительных приборов, люков и т.д.)
составляет 10% от основной массы колонны, тогда
к = 1.1(mоб + mт + 2mд )= 1,1(12312.7+34∙186+2·350)
= 21 270 кг
Масса колонны заполненной водой при
гидроиспытании.
Масса воды при гидроиспытании
в = 1000(0,785D2Hц.об+2Vд) =
1000(0,785·2.22·28.1 + 2·0.15395) = 107071 кг
Максимальный вес колонны
Примем по ОСТ 26-467-84:
Опора
2-2200-1,6-0,8-2300 = 2.1 м, = 2,38 м.= 2.5 м= 8 мм= 25 мм= 25 мм= 60 мм
Фундаметные
болты - M36 ГОСТ 24379.1-80
Количество
болтов z = 16
Площадь
опорного кольца
А
= 0,785(D32 - D12) = 0,785(2,52 - 2,12) = 1.444 м2
Удельная
нагрузка опоры на фундамент
s = Q/A =
1.26/1.444 = 0.872 МПа < [s]
= 15 МПа - для бетонного фундамента.
Заключение
В
данном курсовом проекте был рассчитан тарельчатый абсорбер для поглощения паров
ацетона водой и сделан чертеж общего вида аппарата с разрезами. Из полученных
результатов, можно сделать вывод, что рассчитанный абсорбер получился средней
высоты и с достаточно большим гидравлическим сопротивлением.
В
процессе выполнения курсового проекта были проведены расчёты: материального
баланса, скорости газа и диаметра колонны, определение числа тарелок и
механические расчеты.
В
результате расчетов я получил тарельчатый абсорбер диаметром 2200 мм, высотой
28.1 м с количеством колпачковых тарелок (типа ТСК-Р) равным 34.
Список
использованных источников
1.
Павлов К.Ф., Романков П.Г., Носков А.А. Примеры и задачи по курсу ПАХТ: Учебное
пособие для вузов/ Под редакцией чл-корр. АН СССР П.Г. Романкова. -9-е изд.,
перераб. и доп. -Л.: Химия, 1981. - 560с., ил.
.
Лащинский А.А., Толчинский А.Р. Основы конструирования и расчёта химической
аппаратуры. Л.: Машиностроение, 1970. - 752 с.
.
Основные процессы и аппараты химической технологии. Пособие по проектированию/
Под ред. Ю.И. Дытнерского. - М.: Химия, 1983-272с., ил.
.
Рамм В.М. Абсорбция газов. М. : Химия, 1975. 655 с.
.
Разработка конструкции химического аппарата и его графической модели.
Методические указания. - Иваново, 2004
.
Учебно-методические указания по выполнению курсовой работы
по
дисциплине «Процессы и аппараты нефтегазопереработки и нефтехи-мии»
/Составители Хафизов Ф.Ш., Фасхутдинов Р.Р., Ибрагимов Р.Р. - Уфа, 2009