Расчет параметров продуктов горения бензола в воздухе

  • Вид работы:
    Контрольная работа
  • Предмет:
    Химия
  • Язык:
    Русский
    ,
    Формат файла:
    MS Word
    75,9 Кб
  • Опубликовано:
    2014-12-05
Вы можете узнать стоимость помощи в написании студенческой работы.
Помощь в написании работы, которую точно примут!

Расчет параметров продуктов горения бензола в воздухе

ПРЦВШ (Ф) ФГБОУ ВПО

Кафедра «Пожарная безопасность»











Контрольная работа

по дисциплине «Теория горения и взрывов»

Задание № 1

Определить удельные теоретические количества и объем воздуха, необходимого для полного сгорания паров бензола. Условия, в которых находится воздух, характеризуются температурой Тв и давлением Рв , а пары бензола - температурой Тг и давлением Рг . Результаты расчетов выразить в следующих единицах: ; ;;;

Исходные данные (N - номер группы, n - номер по списку студентов:

Тв=300+(-1)N*2*N-(-1)n*0.2*n= 277,6 K

Рв=[90−(−1)N⋅0,5⋅N+(−1)n ⋅0,1⋅n]⋅103 =95900 Па ;

Тг=300−(−1)N⋅2⋅N−(−1)n⋅0,2⋅n= 321,6 К ;

Рr=[90+(−1)N⋅N+(−1)n⋅0,2⋅n ]⋅103=79400 Па .

( N =11, n=2 )

. Запишем стехиометрическое уравнение реакции горения бензола в воздухе:

С6Н6+7,5О2+7,5⋅3,76N2=6CO2+3H2O+7,5⋅3,76N2+Qp (1),

где Qр - теплота химической реакции. Из данного уравнения можно определить стехиометрические коэффициенты бензола и молекулярного кислорода: Vг =1, V0 = 7,5

. Удельное теоретическое количество воздуха - число киломолей воздуха, которые необходимы для полного сгорания одного киломоля бензола, рассчитывается по формуле:

 (2)

где 4,76  - количество воздуха, в котором содержится единица количества кислорода, = - отношение стехиометрических коэффициентов молекулярного кислорода ( Vо ) и бензола ( Vг )

Подставляя в (г) значения Vо и Vг ,получаем:

 =35,7  (3)

. Объем воздуха, необходимого для полного сгорания одного киломоля бензола, определяется так:

 , (4)

где  - объем одного киломоля воздуха при температуре Тв и давлением Рв . Значение рассчитывается по формуле

=22,4 (5)

где 22,4 - мольный объем газа при нормальных условиях, Ро = 101325 Па - нормальное давление, То = 273 К - нормальная температура.

Подставляя Тв , То , Рв , Ро в (5), получаем

=22,4 (6)

Удельный теоретический объем воздуха рассчитывается по формуле (4):

4. Объем воздуха, необходимого полного сгорания единицы объема газообразного горючего, определяется так:

(7)

где  - объем одного киломоля горючего - паров бензола при температуре Тг и давления Рг . Учитывая, что

=22,4 (8)

и подставляя (8) и (5) в (7), получаем следующее выражение для удельного теоретического объема воздуха:

= (9)

Вычисляем значение данного параметра процесса горения:

=35.7

Объем воздуха, необходимого для полного сгорания одного килограмма бензола, определяется так:

, (10)

где  - мольная масса горючего - масса одного киломоля бензола, выраженная в килограммах. Мольная масса бензола численно равна его молекулярному весу находится по формуле:

=Ас⋅nc+Aн⋅nн , ΣiAi⋅ni (11)

где Ас и Ан - атомные веса углерода и водорода, nc и nн - числа атомов углерода в молекуле бензола. Подставляя значения Ас = 12, nc = 6, Ан = 1, nн = 6, получаем:

=12⋅6+1⋅6=78

Удельный теоретический объем воздуха находим, подставляя значения n в и в формулу (10):

=35,7

Результат расчетов:

=35,7

 =28.4

= 11.02

Задание № 2

Определить удельные теоретические количество, объем и состав продуктов горения бензола, если известны коэффициент избытка воздуха в , температура Тп и давление Рп продуктов сгорания, температура Тг и давление Рг паров бензола. Результаты расчетов выразить в мольных долях (в процентах) и в следующих единицах: ; ;;

Исходные данные:

в=1,5+(−1)N⋅0,1⋅N−(−1)n⋅0,01⋅n = 0,2 ;

Рп=[90+(−1)N⋅2⋅N+(−1)n⋅0,2⋅n ]⋅103 = 68400 Па ;

Тп=1600−(−1)N⋅20⋅N−(−1)n⋅2⋅n = 1816 К ;

Тг=273−(−1)N⋅2⋅N+(−1)n⋅0,2⋅n = 295,4 К ;

Рг=[90−(−1)N⋅2⋅N−(−1)n⋅0,2⋅n]⋅103 = 111600 Па ;

решение (N=11, n=2).

. Запишем стехиометрическое уравнение реакции горения бензола в воздухе:

С6Н6+7,5О2+7,5⋅3,76N2=6CO2+3H2O+7,5⋅3,76N2+Qp , (1)

где Qp - теплота химической реакции. Из данного уравнения определяем следующие стехиометрические коэффициенты:CO2=6 , VH2O=3 , VC6H6=1 , VO2=7,5 , VN2=7,5⋅3,76

. Определяем расчетное количество продуктов сгорания одного киломоля горючего:

, (2)

Подставляя в (2) значения стехиометрических коэффициентов продуктов сгорания и горючего, получаем:

, (3)

. Удельное теоретическое количество воздуха - число киломолей воздуха, необходимого для полного сгорания одного киломоля горючего, определим с помощью формулы:

 (4)

Где 4,76 - количество воздуха, в котором содержится единица количества кислорода,

- отношение стехиометрических коэффициентов молекулярного кислорода и бензола.


, (5)

. Избыточное количество воздуха, которое приходится на 1 Кмоль горючего, определяется выражением:

бензол пар сгорание воздух

, (6)

Подставляя в данное выражение значения


 =37,7(0,2-1)=30,16(7)

. Общее количество продуктов сгорания единицы количества вещества горючего определяется суммой:

, (8)

После подстановки значений  и  получаем:

6. Мольные доли продуктов сгорания, выраженные в процентах, определяются так:

ХСО2=

ХН2О=

ХN2 = (9)

ХО2 = %

В формулах (9) для мольных долей азота и кислорода в продуктах сгорания 0,79 и 0,21 - мольные доли данных веществ в воздухе, избыток которого приводит к увеличению доли азота и появлению кислорода в продуктах сгорания.

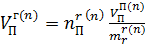
. Для определения удельных объемов  и продуктов сгорания необходимо рассчитать их мольный объем - объем одного киломоля газа при условиях, в которых находятся продукты:


где 22,4 - объем одного киломоля газа при нормальных условиях, Т0=273К - нормальная температура, Ро=101325Па - нормальное давление.

Подставляя в (10) значения ,,Ро ,То , получаем:

. (11)

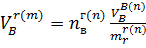
Объем продуктов, которые образуются при сгорании одного килограмма горючего, без учета избытка воздуха, рассчитывается так:

, (11)

где  - мольная масса горючего - масса одного киломоля бензола, выраженная в килограммах. Мольная масса бензола находится по формуле:

, (12)

где Ас и Ан - атомные веса углерода (12) и водорода (1), nc и nн - числа атомов углерода (6) и водорода (6) в малекулах бензола ( С6Н6 ).

Подставляя значения , и  в (12) получаем

. (13)

Избыточный объем воздуха, приходящийся на 1 килограмм горючего, определяется так:

, (14)

где  - объем одного киломоля избыточного воздуха, который находится в составе продуктов сгорания. Так как температура и давление избыточного воздуха соответствуют температуре и давлению продуктов сгорания, то  = =220,7 .

Подставляя данное значение, а такжев в (14), получим:

 . (15)

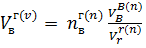
Общий удельный объем продуктов сгорания с учетом избытка воздуха определяется суммой

. (16)

Для расчета удельного объема продуктов полного сгорания горючего  будем считать, что пары бензола имеют температуру Тг при давлении:

 , (17)

где  - объем одного киломоля паров бензола при температуре Тг и давлении Рг . Мольный объем горючего рассчитывается по формуле:

, (18)

Подставляя полученное значение  , а такие значения  и  в (17), получаем:

=37,2 , (19)

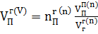
Избыточный объем воздуха, приходящийся на один кубический метр паров бензола, определяется так:

 , (20)

где = .

Подстановка в (20) значений =30,16 , =и

дает следующий результат:

=30,16

Общий удельный объем продуктов сгорания с учетом избытка воздуха определяется суммой


Результат расчетов:

VПВ

;

ХСО2= % ; ХН2О=4,4 % ; ХN2=%; ХО2=11,7%

Похожие работы на - Расчет параметров продуктов горения бензола в воздухе

 

Не нашли материал для своей работы?
Поможем написать уникальную работу
Без плагиата!
Без нейросетей!