Расчет материального баланса
Санкт-Петербургский
Государственный Технологический Институт (Технический Университет)
Отделение
общеинженерных дисциплин Факультет: V
Кафедра
общих химических технологий Курс: 3
Группа:
588
Общие
химические технологии
Индивидуальное
задание № 1
Тема:
«Расчёт материального баланса»
Студентка: Степанова
О.В.
Преподаватель:
Александрова Ю.В.
Санкт-Петербург
г
Задание
Рассчитать материальный баланс
реактора синтеза аммиака. Объёмный расход исходной смеси 65 000 м3/час.
В исходной смеси объёмная доля метана составляет 0,17. Концентрации компонентов
в конечной смеси (объёмные доли): водород 0,50; азот 0,13; аммиак 0,18;
остальное метан.
баланс реактор синтез аммиак
Исходные данные
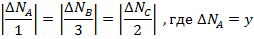
2+3H2 = 2NH3, CH4+ B = C, I01
= 65 000 м3/часI1 = 0,17A2 = 0,50B2
= 0,13C2 = 0,18I2 = 0,19
Решение
Мольные потоки компонентов:




Полученные данные
занесём в таблицу
|
Вещество
|
Mr
|
Приход
|
Расход
|
|
|
Ni1
|
Vi1
|
Gi1
|
Zi1
|
Ni2
|
Vi2
|
Gi2
|
Zi2
|
|
N2
|
28
|
|
|
|
|
|
|
|
0,50
|
|
H2
|
2
|
|
|
|
|
|
|
|
0,13
|
|
NH3
|
17
|
|
|
|
|
|
|
|
0,18
|
|
CH4
|
16
|
|
|
|
|
|
|
|
0,19
|
|
Σ
|
|
|
|
|
1
|
|
|
|
1
|