Разработка способов анализа лекарственного средства фурацилина с натрия хлоридом

  • Вид работы:
    Курсовая работа (т)
  • Предмет:
    Химия
  • Язык:
    Русский
    ,
    Формат файла:
    MS Word
    89,35 Кб
  • Опубликовано:
    2014-10-10
Вы можете узнать стоимость помощи в написании студенческой работы.
Помощь в написании работы, которую точно примут!

Разработка способов анализа лекарственного средства фурацилина с натрия хлоридом

Содержание

Введение

Глава 1. Общая характеристика фурацилина

.1 Общая характеристика фурацилина

.2 Получение и физические свойства фурацилина

.3 Способы идентификации фурацилина

.4 Способы количественного определения фурацилина

.5 Фармакологическое действие, применение в медицине и хранение лекарственных препаратов фурацилина

Глава 2. Разработка способов анализа лекарственного средства фурацилина с натрия хлоридом

.1 Валидационная оценка методик качественного и количественного анализа ингредиентов лекарственного средства по показателю «Специфичность»

.2 Валидационная оценка методики количественного определения фурацилина по показателю «Линейность»

.3 Валидационная оценка методики количественного определения фурацилина по показателю «Правильность»

.4 Валидационная оценка методики количественного определения фурацилина по показателю «Прецизионность»

Вывод

Список литературы

лекарственный фурацилин фармакологическое

Введение

Первые сведения о синтетическом получении фурановых веществ появились ещё в начале XIX века, то есть на заре органической химии как самостоятельной науки.

Однако только со второй половины XIX столетия, со времени появления и упрочения структурной теории А. М. Бутлерова и установления на её основе химической структуры пятичленных гетероциклов, создались необходимые предпосылки для обособления химии фурановых соединений как производных одного из этих родоначальных циклов - фурана.

Исторически первым в ряду фурановых соединений, был синтез в 1818 г. пирослизевой кислоты при пирогенетическом разложении слизевой кислоты. Образовавшийся при этом побочно жидкий продукт исследован не был, что отсрочило открытие фурана более чем на 50 лет. Затем следует случайное открытие фурфурола Доберейнером в 1832 году, при попытке осуществить синтез муравьиной кислоты из крахмала и сахара действием серной кислоты и двуокиси марганца. Фурфурол был получен вновь в 1840 году при обработке овсяной муки серной кислотой, причем, в количествах, достаточных для исследований, и Стенхоуз сумел определить его важнейшие свойства и вывести эмпирическую формулу.

К тому же времени (1845 г.) относится получение фурфурола из отрубей и появление сохранившегося до наших дней названия этого вещества - фурфурол, которое должно было выразить источник его получения и внешние признаки (furfur - отруби, oleum - масло). От этого названия впоследствии было выведено общепринятое ныне наименование основного гетероцикла (фурфуран, фуран) и всех его производных.

В течение 60 лет в медицинской практике и ветеринарии для лечения бактериальных и некоторых протозойных инфекций применяются препараты производные 5-нитрофурана. Противомикробная активность этого класса химических соединений была впервые установлена в 1944г. M. Dood, W. Stillman и сразу привлекла внимание медиков. Исследования показали, что среди многочисленных производных фурана, изучавшихся с конца 18 столетия, противомикробными свойствами характеризуются только соединения, содержащие (NO2-группу) строго в положение 5-ого фуранового цикла.

Для применения в медицинской практике в 50-60-х годах был предложен ряд различных производные 5-нитрофурана. Затем, в связи с введением в клиническую практику большого числа высокоэффективных химиотерапевтических препаратов в других классах химических веществ, которые превышали по степени активности нитрофураны и имели ряд преимуществ по фармакокинетическим и токсикологическим характеристикам интерес к препаратам рассматриваемой группы снизился. Тем не менее до сих пор нитрофураны применяются в медицинской практике.

Глава 1. Общая характеристика фурацилина

.1 Общая характеристика фурацилина

Основу химической структуры лекарственных средств, производных фурана, составляет пятичленный кислородсодержащий гетероцикл. В медицинской практике используют ЛС производные 5-нитрофурфурола (фурфураля, 2-фу-ранкарбальдегида):


К ЛС этой группы относятся фурацилин, фурадонин, фуразолидон, фурагин.

ЛС этой группы впервые были получены в Англии в 1940-х гг. при утилизации фурфурола. В нашей стране были синтезированы фурацилин, фурадонин,фуразолидон.

Лекарственные препараты - производные 5-нитрофурфурола - антибактериальные средства широкого спектра действия в отношении грамположительных и грамотрицательных бактерий, некоторых крупных вирусов, трихомонад, лямблий. В зависимости от характера заместителя наблюдаются некоторые различия в спектре их антибактериального действия. Например, фурацилин влияет на грамотрицательные и грамположительные бактерии. Фуразолидон наиболее эффективен в отношении грамотрицательных бактерий, а также трихомонад и лямблий. Фурадонин и фурагин наиболее эффективны при инфекциях мочевых путей. Особенности действия препаратов определяют показания к применению и способы использования отдельных препаратов.

В основе механизма антибактериальной активности ЛС производных фурана лежит нарушение синтеза ДНК и белка микробных клеток. При этом - N02-rpynna восстанавливается до аминогруппы -NH2.

.2 Получение и физические свойства фурацилина

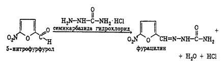
Фурацилин (фурацин, нитрофуран, нитрофуразон, 5-нитрофурфурилиденсемикарбазон) C6H6O4N4.

 <#"822740.files/image003.jpg">


.3 Способы идентификации фурацилина

Для испытания подлинности используют ИК-спектры производных нитрофурана. Их спрессовывают в виде таблеток с бромидом калия и снимают спектры в области 1900-1700 см-1 . ИК-спектры должны полностью совпадать с ИК-спектрами ГСО. ИК-спектр фурацилина имеют полосы поглощения при 971, 1020, 1205, 1250, 1587, 1784 см-1.

Химические реакции, используемые для идентификации фурацилина.

Подлинность фурацилина устанавливают по цветной реакции с водным раствором гидроксида натрия. Нитрофурал при использовании разбавленных растворов щелочей образует ацисоль, окрашенную в оранжево-красный цвет:


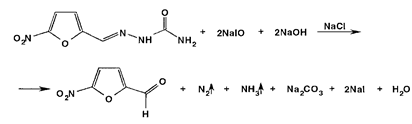
При нагревании фурацилина в растворах гидроксидов щелочных металлов происходит разрыв фуранового цикла и образует карбонат натрия, гидразин и аммиак. Последний обнаруживают по изменению окраски влажной красной лакмусовой бумаги:


Характерные цветные реакции, позволяющие отличать друг от друга производные 5-нитрофурана, дает спиртовый раствор гидроксида калия в сочетании с ацетоном: нитрофурал приобретает темно-красное окрашивание.

Фурацилин также идентифицируют с помощью общей реакции образования 2,4-динитро- фенилгидразона (температура плавления 273°С). Он выпадает в осадок при кипячении раствора лекарственного вещества в диметилформамиде с насыщенным раствором 2,4-динитрофенилгидразина и 2 М раствора хлороводородной кислоты. Раствор нитрофурала в диметилформамиде после добавления свежеприготовленного 1%-ного раствора нитропруссида натрия и 1 М раствора гидроксида натрия дает красное окрашивание.

Производные нитрофурана образуют в слабощелочной среде окрашенные нерастворимые комплексные соединения с солями серебра, меди, кобальта и других тяжелых металлов. При добавлении к раствору нитрофурантоина (в смеси диметилформамида и воды) 1%-ного раствора сульфата меди (II), нескольких капель пиридина и 3 мл хлороформа после встряхивания хлороформный слой приобретает зеленое окрашивание. Комплексные соединения нитрофурала и фуразолидона в этих условиях не извлекаются хлороформом.

Окислительно-восстановительные реакции (образования «серебряного зеркала», с реактивом Фелинга) могут быть выполнены после щелочного гидролиза, сопровождающегося образованием альдегидов.

1.4 Способы количественного определения фурацилина

Количественное определение проявляющего восстановительные свойства нитрофурала выполняют йодометрическим методом, основанным на окислении йодом в щелочной среде (для улучшения растворимости к навеске прибавляют хлорид натрия и смесь подогревают). Титрованный раствор йода в щелочной среде образует гипойодит:


Гипойодит окисляет нитрофурал до 5-нитрофурфурола:

 

После окончания процесса окисления фурацилина раствор подкисляют и титруют выделившийся избыток йода тиосульфатом натрия:


Известен способ определения нитрофурала броматометрическим методом, основанным на окислении гидразиновой группы в присутствии концентрированных кислот при температуре 80-90°С:


Фуразидин-калий количественно определяют ацидиметрически, титруя 0,01 М раствором хлороводородной кислоты (индикатор бромтимоловый синий). Для установления подлинности и количественного определения нитрофурала используют УФ-спектры его 0,0006% - ных растворов в смеси диметилформамида с водой (1:50). Максимумы поглощения такого раствора в области 245-450 нм находятся при 260 и 375 нм, а минимум - при 306 нм. Максимумы второй полосы поглощения (365-375 нм) более специфичны хм производных 5-нитрофурана, т. к. обусловлены наличием различных электронодонорных групп в положении 2 фурановдго цикла. Количественное спектрофотометрическое определение выполняют при 375 нм и рассчитывают содержание с использованием стандартного образца нитрофурала.

Растворителем для УФ-спектрофотометрического определения может служить 50%-ный раствор серной кислоты, в котором нитрофурал, имеет максимум поглощения при 227 нм.

Также количественное определение нитрофурала, можно проводить фотоколориметрическим методом, основанным на использовании цветных реакций с едкой щелочью в различных растворителях.

.5 Фармакологическое действие, применение в медицине и хранение лекарственных препаратов фурацилина

Фармакологическое действие. Является антибактериальным веществом, действующим на различные грамположительные и грамотрицательные бактерии (стафилококки, стрептококки, дизентерийная палочка, кишечная палочка, сальмонелла паратифа, возбудитель газовой гангрены и др.) Применяют для лечения и предупреждения гнойно-воспалительных процессах, при пролежнях и язвах, ожогах II и III степени, для подготовки гранулирующей поверхности к пересадкам кожи и к вторичному шву орошают рану водным раствором фурацилина и накладывают влажные повязки; при остеомиелите после операции промывают полость водным раствором фурацилина и накладывают влажную повязку; при эмпиемах плевры отсасывают гной и промывают плевральную полость с последующим введением в полость 20 - 100 мл водного раствора фурацилина. При анаэробной инфекции, помимо обычного хирургического вмешательства, рану обрабатывают фурацилином, при хронических гнойных отитах применяют в виде капель спиртовой раствор фурацилина. Кроме того, препарат назначают при фурункулах наружного слухового прохода и эмпиемах околоносовых пазух; для промывания верхнечелюстной (гайморовой) и других околоносовых пазух используют водный раствор фурацилина; при конъюнктивитах и скрофулезных заболеваниях глаз, в конъюнктивальный мешок закапывают водный раствор фурацилина; при блефаритах края век смазывают фурацилиновой мазью, и внутрь для лечения бактериальной дизентерии.

Формы выпуска препарата:

Аэрозоль.

Раствор для наружного применения 0,02% (водный).

Раствор для наружного применения 0,066%(спиртовой).

Мазь 0,2%.

Таблетки по 0,02 г. для приготовления раствора для наружного применения.

Таблетки по 0,1 г. для приёма внутрь.

Условия хранения. Производные 5-нитрофурана хранят по списку Б в прохладном месте в хорошо укупоренной таре. Предохраняющей от действия света и влаги.

ГЛАВА 2. Разработка способов анализа лекарственного средства фурацилина с борной кислотой

.1 Валидационная оценка методик качественного и количественного анализа ингредиентов лекарственного средства по показателю «Специфичность»

Для определения специфичности, мы готовим 3 модельных смеси:

) оба ингредиента по прописи;

) только первый ингредиент по прописи;

) только второй ингредиент по прописи.

Далее была проведена валидационная оценка качественного анализа каждого из ингредиентов лекарственного средства по показателю «специфичность».

Для установления специфичности следует убедится в отсутствии положительного эффекта реакции на сопутствующие вещества.

Методика качественного анализа фурацилина: К 0,5 мл исследуемого раствора прибавляют 2 капли раствора натрия гидрооксида-появляется оранжево красное окрашивание

Методика качественного анализа кислоты борной: Выпаривают досуха 5 капель лекарственного средства, прибавляют 1 мл спирта 95% и поджигают. Пламя окрашивается в зеленый цвет.

В модельной смеси №1, где содержатся оба ингредиента по прописи (фурацилин и кислота борная) с помощью качественных реакций доказывают подлинность каждого компонента лекарственного средства.

В модельной смеси №2, содержащей только фурацилин с помощью качественных реакций на второй компонент (кислота борная) подтверждают отсутствие аналитического эффекта у первого компонента.

В модельной смеси №3, содержащей только кислота борная с помощью качественных реакций на первый компонент (фурацилин) подтверждают отсутствие аналитического эффекта у второго компонента.

Таким образом, согласно проведенным исследованиям, доказана специфичность методик идентификации фурацилина и борной кислоты в лекарственном средстве.

Далее проводим валидационную оценку количественного определения по показателю специфичность.

Методика количественного определения фурацилина:

Раствор фурацилина 0,02% ,1 мл исследуемого раствора вносят в мерную колбу вместимостью 50 мл, приливают 20 мл воды,5 мл 1 М раствора натрия гидроксида, доводят объем раствора водой до метки, перемешивают и через

мин измеряют оптическую плотность раствора (Ах) на спектрофотометре при длине волны около 440 нм. Толщина слоя раствора в кювете-10 мм, раствор сравнения-вода.

Параллельно проводят аналогичное определение оптической плотности, используя 1 мл 0,02% (0,0002 г/мл) раствора РСО фурацилина (Аст). Содержание фурацилина (Х) в процентах вычисляют по формуле

Х=

Кислота борная. К 0,5 мл лекарственного средства прибавляют 3 мл нейтрализованного по фенолфталеину глицерина и титруют при взбалтывании 0,1 М раствором натрия гидроксида до розового окрашивания

мл 0,1 М раствора натрия гидроксида соответствует 0,006183 г кислоты борной.

В модельной смеси №1, где содержатся оба ингредиента по прописи (фурацилин и кислота борная) с помощью количественных реакций определяем два компонента

В модельной смеси №2, содержащей только фурацилин с помощью количественной реакций на второй компонент (кислота борная) доказываем отсутствие влияния первого компонента на анализ

В модельной смеси №3, содержащей только кислота борная с помощью количественной реакции на первый компонент (фурацилин) подтверждают отсутствие влияния второго компонента на анализ.

Вывод: Определили валидационную оценку по показателю специфичность

.2 Валидационная оценка методики количественного определения фурацилина по показателю «Линейность»

Линейность методики - это наличие прямой пропорциональной зависимости аналитического сигнала от концентрации или количества определяемого вещества в анализируемой пробе.

Линейность выражается уравнением у = ax + b. Это уравнение называют линейной регрессией. Параметр b градуировочной функции характеризует отрезок, отсекаемый на оси ординат и соответствующий значению холостого опыта, а коэффициент a характеризует наклон градуировочной кривой и является отражением чувствительности методики.

Если при проведении контрольного опыта, титрант не расходуется, то градуировочный график принимает форму прямой, выходящей из начала координат, и имеющей тангенс угла наклона равный 1.

Основной характеристикой линейности является коэффициент корреляции-мера взаимосвязи измеренных явлений. Коэффициент корреляции (обозначается «r») рассчитывается по специальной формуле:

.

Для аналитических целей можно использовать только ту методику, для которой зависимость функции от аргумента коррелируется с коэффициентом r, который должен быть ≥ 0,99.

Для проверки линейности брали 5 экспериментальных точек. Использовали точные навески фурацилина (0,02 г) помещали в мерную колбу вместимостью 100 мл, растворяли в 10 мл диметилформамида, охлаждают,доводят объем раствора водой до метки перемешивают и готовили из них растворы таким образом, чтобы концентрация фурацилина в растворах составляла 0,0004%, 0,0003%, 0,0004%, 0,0005%, 0,0006%. Измеряли оптическую плотность каждого раствора на спектрофотометре при длине волны 375 нм в кювете с толщиной слоя 10 мм. В качестве раствора сравнения использовали - воду очищенную.

Таблица 1 - Результаты измерения оптической плотности.

V мл

1,0

1,5

2,0

2,5

3,0

C %

0,0002

0,0003

0,0004

0,0005

0,0006

А

0,133

0,171

0,217

0,293

0,375


По полученным данным строили градуировочный график зависимости оптической плотности от концентрации.

Рисунок 1- Градуировочный график зависимости оптической плотности от концентрации фурацилина.

По полученным данным рассчитывали коэффициент уравнения линейности и коэффициент корреляции.

= 606x + 0,0046= 0,9863

Заключение : Для данной выборки значение коэффициента корреляции составил 0,9963. Это позволяет утверждать о наличии линейной зависимости оптической плотности от концентрации.

.3 Валидационная оценка методики количественного определения фурацилина и кислоты борной по показателю «Правильность»

Правильность аналитической методики называется степень близости экспериментальных результатов к истинному значению во всей области измерений. Главным фактором, определяющим правильность, является значение систематической погрешности.

Для определения правильности мы готовим 3 образца:

первый (низкой концентрации)

второй (средней концентрации)

третий (высокой концентрации)

Раствор А1. Точные навески фурацилина (0,01 г) и кислоты борной (1,0 г) помещали в мерную колбу вместимостью 100 мл, растворяли в 30 мл воды при нагревании, после охлаждения доводили водой до метки.

Раствор А2. Точные навески фурацилина (0,02 г) и кислоты борной (2,0 г) помещали в мерную колбу вместимостью 100 мл, растворяли в 30 мл воды при нагревании, после охлаждения доводили водой до метки.

Раствор А3. Точные навески фурацилина (0,03 г) и кислоты борной (3,0) помещали в мерную колбу вместимостью 100 мл, растворяли в 30 мл воды при нагревании, после охлаждения доводили водой до метки.

Далее проводили три параллельных определения каждого модельного образца. Для оценки полученных результатов наиболее простым и наглядным критерием служит открываемость (R), которая вычисляется по формуле:

R =  × 100% ;

Статистическая обработка результатов анализа представлена в таблице 2.

Таблица 2- Результаты установления методики количественного определения по показателю «правильность»

Взято,г

Найдено, г

 R,%

 R-100

 (R-100)2

1(нижний)

0,45

0,447

99,35

0,65

0,422

1(нижний)

0,45

0,467

100,8

0,8

0,6

1(нижний)

0,45

0,447

99,35

0,65

0,422

2(средний)

0,9

0,905

100,6

0,6

0,36

2(средний)

0,9

0,891

99,02

0,98

0,960

2(средний)

0,9

0,934

100,8

0,8

0,64

3(верхний)

1,35

1,344

99,56

0,44

0,1936

3(верхний)

1,35

1,372

101,7

1,7

2,89

3(верхний)

1,35

1,344

99,56

0,44

0,1936

∑ 100,08

∑ 6,72

=  =  = 0,92;=  = 2,14.

Табличный коэффициент по ГФXI = 2,306. Так как экспериментальный критерий Стьюдента = 2,14 ˂ табличного, методика является правильной и не содержит систематических ошибок.

.4 Валидационная оценка методики количественного определения фурацилина по показателю «Прецизионность»

Прецизионность (воспроизводимость) - это характеристика случайного рассеяния. По существу это мера суммы случайных ошибок. При установлении прецизионности следует иметь в виду, что данная характеристика бывает 3-х уровней:

повторяемость (сходимость);

промежуточная прецизионность (внутрилабораторная воспроизводимость);

межлабораторная воспроизводимость.

Для целей фармацевтического анализа достаточно только первого уровня.

При установлении повторяемости проводят не менее 6 параллельных определений, затем вычисляют величину стандартного отклонения (SD) и относительного отклонения (RSD). Следует отметить, что ни один нормативный документ не устанавливает нижнюю границу прецизионности и она определяется используемым методом анализа:


Методика количественного определения.

Для определения прецизионности готовим модельный раствор фурацилина с кислотой борной №2. Для этого взяли точные навески фурацилина (0,02 г) и борной кислоты (0,9 г) поместили в мерную колбу вместимостью 100 мл, растворили в 30 мл воды при нагревании, после охлаждения довели водой до метки. Провели три параллельных титрования на трех уровнях концентраций (9 определений).

Определение №1.

Провели три параллельных титрования, отмеривая каждый раз по 1 мл ЛП.

Определение №2.

Провели три параллельных титрования, отмеривая каждый раз по 2 мл ЛП.

Определение №3.

Провели три параллельных титрования, отмеривая каждый раз по 3 мл ЛП.

Расчет содержания кислоты борной (г) проводят по следующей формуле:

;

Все полученные данные вносим в таблицу №3.

Таблица 3- Результаты установления методики количественного определения по показателю «прецизионность».

Уровень

Взятая,m

R, г/мл

 R,%

 R-Rср

 (R-Rcр)2

1

0,9

0,905

99,6

0,16

0,0256

1

0,9

0,89

98,7

1,06

1,12

1

0,9

0,9

99,7

0,06

0,0036

2

0,9

0,905

99,6

0,16

0,0256

2

0,9

0,905

99,5

0,26

0,07

2

0,9

0,89

99,7

0,06

0,0036

3

0,9

0,89

98,5

1,26

1,6

3

0,9

0,9

99,6

0,16

0,0256

3

0,9

0,9

99,6

0,0256


Rср= 99,76


∑ 2,9


SD =  = 0,36;=  = ± 0,36 %

Вывод: Прецизионность по принципам валидации соответствует ее требованиям.


Общие выводы

.Проанализированы и обобщены данные литературы по использованию в медицинской практике лекарственных средств фурацилина.

. Изучены методики качественного и количественного анализа фурацилина и лекарственных средств на ее основе.

. Исследована возможность использования химических и физико-химических методов для идентификации и количественного определения фурацилина и кислоты борной.

. Доказана валидность методик идентификации и количественного определения фурацилина и кислоты борной.

. Установлено, что методики характеризуются простотой выполнения, высокой чувствительностью и позволяют достоверно оценивать качество исследуемого препарата.

Список литературы

1. Беликов, В.Г. Фармацевтическая химия. / В.Г. Беликов.- Пятигорск, 2007.- 438 стр.

. Методическое пособие. Авторы: М.В. Гаврилин, И.Я. Куль, Н.В. Благоразумная, Л.Н. Дуккардт, С.П. Сенченко, С.Н. Степанюк, А.Г.Курегян. Метрологическая аттестация (валидация) методик анализа лекарственных средств - Пятигорск: Пятигорский филиал ГБОУ ВПО ВолгГМУ МЗ РФ, 2013. - 108 с.

. Методы анализа лекарств/ Максютина Н.П., Каган Ф.Е., Кириченко Л.А., Митченко Ф.А. - К.: Здоров`я, 1984-224 с., стр.42-45, 198, 212.

. Беликов В.Г. Лабораторные работы по фармацевтической химии: Учебное пособие/ В.Г. Беликов 2-е издание перераб. и доп.- Пятигорск, 2003.-342 стр.

. Лабораторные работы по фармацевтической химии/ Под ред. Вергейчика Е.Н., Компанцевой Е.В.- Пятигорск, 2003.- 341 стр.

. Государственный реестр лекарственных средств. Т.1: офиц. Издание (по состоянию на 1 сентября 2005 г.) ( 8 ежегодное период. изд.) / Федеральная служба по надзору в сфере здравоохранения и соц. Развития. Научный центр экспертизы средств мед. Применения. М.: Медицина, 2004.-1404 стр.

. Руководство к производственной практике по внутриаптечному контролю качества лекарственных средств: учеб. Пособие/ Е.В. Компанцева и (др.)-Пятигорск, 2006.-268 стр.

. Реестр лекарственных средств России. Энциклопедия лекарственного сырья./ под ред. Г.Л. вышковского- М: РЛС- 2009, 1504 стр.

Похожие работы на - Разработка способов анализа лекарственного средства фурацилина с натрия хлоридом

 

Не нашли материал для своей работы?
Поможем написать уникальную работу
Без плагиата!
Без нейросетей!