Статистика внешней торговли РФ

  • Вид работы:
    Курсовая работа (т)
  • Предмет:
    Эктеория
  • Язык:
    Русский
    ,
    Формат файла:
    MS Word
    463,35 Кб
  • Опубликовано:
    2014-10-10
Вы можете узнать стоимость помощи в написании студенческой работы.
Помощь в написании работы, которую точно примут!

Статистика внешней торговли РФ















Курсовая работа

Статистика внешней торговли РФ

Содержание

ВВЕДЕНИЕ

ГЛАВА 1. ТЕОРЕТИЧЕСКИЕ АСПЕКТЫ СТАТИСТИКИ ВНЕШНЕЙ ТОРГОВЛИ

.1 Понятие, цель и задачи статистики внешней торговли РФ

.2 Источники статистических данных внешнеторговой деятельности

.3 Показатели статистики внешней торговли

ГЛАВА 2. СТАТИСТИКА ВНЕШНЕЙ ТОРГОВЛИ РФ

.1 Статистический анализ показателей внешней торговли

.2 Статистический анализ показателей динамики изменения внешней торговли

.3 Определение основных тенденций динамики внешней торговли в Российской Федерации

ЗАКЛЮЧЕНИЕ

СПИСОК ЛИТЕРАТУРЫ

экспорт импорт показатель внешняя торговля

ВВЕДЕНИЕ

Традиционной и наиболее развитой формой международных экономических отношений является внешняя торговля. На долю торговли приходится около 80 % всего объема международных экономических отношений.

Международная торговля - одна из наиболее развитых и традиционных форм международных экономических отношений. Анализ специфических проблем открытой экономики начинается обычно с внешней торговли как важнейшей формы международных отношений. В общем виде международная торговля является средством, с помощью которого страны могут развивать специализацию, повышать производительность своих ресурсов и таким образом увеличивать общий объем производства. [11, с. 55]

Анализ динамики внешней торговли России является актуальным, так как Россия в настоящее время активно борется за улучшение своего положения на международном рынке, и внешняя торговля для России это основной источник средств для поднятия национальной экономики и решения внутренних экономических и социальных проблем.

Для анализа внешней торговли необходимо владеть статистической информацией об основных статистических показателях.

Статистическая информация - это цифровая информация в виде числовых рядов различных показателей, прогнозных моделей и оценок. Данные представлены в виде средних или относительных величин и позволяют выявлять закономерности развития социально-экономических явлений и процессов.

Основными задачами статистики являются:

предоставление органам государственного управления информации, необходимой им для принятия решений по широкому кругу вопросов, связанных с формированием экономической политики, разработкой различных государственных программ и мер по их реализации;

информирование об основных итогах и тенденциях социально-экономического развития широкой общественности, научно-исследовательских учреждений, общественно-политических организаций и отдельных лиц.

Данные экономической статистики позволяют обеспечить систематическое количественное описание всех основных аспектов экономического процесса и экономики в целом. Они необходимы, прежде всего, органам государственного управления для решения вопросов, связанных с регулированием экономики и разработкой экономической политики.

Сегодня основной задачей статистики также является систематическое описание и анализ экономических явлений и процессов.

Целью данной курсовой работы является изучение показателей статистики внешней торговли.

Для достижения поставленной цели были определены следующие задачи:

Изучить показатели внешней торговли;

Провести анализ показателей внешней торговли в Российской Федерации за 2005-2009 гг.

На основании полученных данных анализа сделать вывод о развитии внешней торговли в Российской Федерации.

Объектом данного исследования выступает внешнеторговая деятельность, предметом исследования является статистика внешнеторговой деятельности РФ.

ГЛАВА 1. ТЕОРЕТИЧЕСКИЕ АСПЕКТЫ СТАТИСТИКИ ВНЕШНЕЙ ТОРГОВЛИ

1.1 Понятие, цель и задачи статистики внешней торговли РФ

Статистика внешней торговли - отрасль экономической статистики, характеризующая объём и динамику внешней торговли, её географическое распределение, товарный состав, долю стран в мировом товарообороте, а также значение внешней торговли для народного хозяйства страны. [9,стр. 50]

Внешняя торговля представляет собой торговлю между странами, состоящую из экспорта и импорта товаров и услуг. Осуществляется преимущественно через коммерческие сделки, оформляемые внешнеторговыми контрактами. Внешняя торговля страны регулируется государством. Для этого используются такие средства, как таможенный тариф, лицензирование, контингентирование и другие нетарифные ограничения, а также прямое и косвенное субсидирование экспорта и другие средства.

Под импортом товара понимается ввоз товара на таможенную территорию Российской Федерации без обязательства об обратном вывозе. Для осуществления импорта товаров покупатель-импортер (резидент РФ) должен пройти следующие основные этапы:

зарегистрироваться в качестве участника внешнеэкономической деятельности (если фирма-импортер не была ранее зарегистрирована);

подписать контракт на импорт;

получить необходимые лицензии, сертификаты, разрешения;

оформить паспорт импортной сделки;

произвести необходимые платежи по контракту;

принять товар в согласованном с экспортером (продавцом, нерезидентом РФ) пункте или порту назначения;

произвести таможенное оформление импортируемых грузов, нести расходы по уплате импортных таможенных пошлин, сборов, налогов.

Под экспортом понимается вывоз товара с таможенной территории РФ без обязательства об обратном ввозе.

Экспорт из России условно можно разделить на следующие основные стадии:

регистрация фирмы-экспортера как участника ВЭД (если фирма-экспортер не была ранее зарегистрирована);

переговоры по согласованию коммерческих, технических и иных условий контракта;

предконтрактная подготовка и подписание контракта;

получение необходимых лицензий, сертификатов, разрешений;

подготовка товара к поставке: упаковка, маркировка, подготовка отгрузочных документов;

оформление паспорта сделки;

экспортная таможенная очистка;

поставка товара на условиях, определенных в контракте в соответствии с Инкотермс;

расчеты за поставленный товар в соответствии с условиями платежа.[3, стр. 74]

Результаты внешней торговли находят свое отражение в статистике внешней торговли, в свою очередь являющейся составной частью статистики внешнеэкономических связей, которая, помимо товаров, перемещаемых через границу страны, учитывает и другие операции, в частности выполнение работ и услуг. Особо следует отметить развитие направления услуг интеллектуального характера, которое, несомненно, имеет приоритет с точки зрения эффективности внешнеэкономической деятельности.

Цель и задачи статистики внешней торговли определяются сущностью внешней торговли и стоящими перед ней задачами. Соответственно целью статистики внешней торговли является документальный учет и анализ информации об объемах и видах товаров, пересекающих границу страны, в конкретных условиях состояния и развития российской экономики и конъюнктуры мирового рынка; в статистике должны отражаться также и неторговые операции, т. е. некоммерческие сделки, например поставки товаров в рамках гуманитарной помощи.

В решении этих задач статистике отводится важная роль, поскольку она способствует принятию стратегических управленческих решений в сфере внешней торговли.

Наряду с анализом данных о внешней торговле России и мировой торговле, экспорте и импорте тех или иных товаров данные статистики внешней торговли Российской Федерации используются компетентными федеральными органами исполнительной власти:

при исчислении уровня таможенного обложения соответствующих товаров при ввозе их в пределы территории РФ;

при уточнениях перечня товаров, происходящих из развивающихся стран и подпадающих под генеральную систему преференций, т. е. подлежащих при ввозе в Российскую Федерацию льготному таможенному обложению либо полному освобождению от таможенного обложения. [8,с.28]

Данные статистики внешней торговли активно используются федеральными органами исполнительной власти при ведении двухсторонних переговоров по различным аспектам торгово-экономического сотрудничества, а также в процессе консультаций, предшествующих открытию так называемых антидемпинговых процедур, т. е. мер по защите отечественных производителей.

С 1 января 1995 г. ведение статистики внешней торговли и официальная публикация данных статистики внешней торговли товарами были приведены в соответствие существующей международной практике и поставлены на документальную основу (в качестве первичного учетного документа использовались грузовые таможенные декларации - ГТД), поэтому внешнеторговая статистика стала называться таможенной статистикой внешней торговли. [4, стр. 34]

Официальная статистическая информация по внешней торговле, предназначенная для ее анализа, содержит данные, характеризующие стоимостные и количественные объемы ввезенных и вывезенных товаров, их географическое распределение, сальдо внешнеторговых балансов, товарную структуру экспорта и импорта, дает представление о стране происхождения и стране назначения того или иного товара, условиях поставки и т. д. Выходные формы отчетности (всего 28 форм), по которым представлена информация в официальных публикациях, получили принципиальное одобрение в Генеральном секретариате ГАТТ и Статистическом бюро Евростата как соответствующие международным стандартам в области статистики. [22]

На их основе формируются официальные публикации «Таможенная статистика внешней торговли Российской Федерации» (годовые сборники и квартальные бюллетени).

Данные платежного баланса используются для измерения объема таких важнейших макроэкономических показателей, как валовой внутренний продукт и национальный доход. Платежный баланс служит также источником информации для составления национальных счетов, в частности статьи «Товары» раздела «Счет текущих операций». При этом необходимо иметь в виду, что в платежном балансе данные приводятся в ценах ФОБ, как по экспорту, так и по импорту, поскольку стоимость фрахта и страхования, являющихся услугами, показывается по статье «Текущие трансферты» раздела «Счет текущих операций».

Данные таможенной статистики внешней торговли используются при формировании тех агрегатов платежного баланса, по которым отражаются экспорт и импорт залога, объема операций в рамках оказания благотворительной и технической помощи, движение наличной иностранной валюты. Это позволяет использовать данные платежного баланса для формирования внутренней и внешней политики, для регулирования валютного рынка.

1.2 Источники статистических данных внешнеторговой деятельности

Статистическая информация - это цифровая информация в виде числовых рядов различных показателей, прогнозных моделей и оценок. Данные представлены в виде средних или относительных величин и позволяют выявлять закономерности развития социально-экономических явлений и процессов. Статистическая информация - показатели, рассчитанные по совокупности компаний, фирм, корпораций, банков и других организаций, рынкам, Географическим и административным территориям и т.д. [2,с.82]

Статистическая информация предоставляется чаще всего государственными службами, а также компаниями, занятыми исследованиями и разработками, консалтинговыми фирмами.

В России основным источником статистической информации является Государственный комитет по статистике (далее - Госкомстат) и ряд коммерческих и полукоммерческих структур созданных на его базе.

Базы данных (далее - БД) статистической информации подразделяются на:

· базы данных глобальной статистики;

·              базы данных национальной статистики.

БД содержат показатели по развитию всего хозяйства в целом, макроэкономические показатели как в мировом масштабе, так и по отдельным регионам или странам, по национальному доходу и валовому продукту с разбивкой по отраслям, данные по занятости населения, денежному обращению, ценах, охватывая статистику производства, финансов, торговли, потребления.

Госкомстат осуществляет подготовку, издание и распространение экономико-статистических и информационных материалов, в частности, тематических и отраслевых статистических сборников, бюллетеней и т.д.

Другим источником статистической информации является Государственный таможенный комитет (далее - ГТК). ГТК располагает информацией о внешней торговле России и специальной таможенной информацией (таможенных доходах, нарушениях таможенных правил и т.д.) Передача функции сбора всей информации о внешней торговле ГТК РФ была осуществлена в 1995 году. Ранее, эта информация собиралась и представлялась Госкомстатом РФ.[15,c.21] На основании действующего в настоящее время Соглашения между Госкомстатом России и ГТК РФ о сотрудничестве и межведомственном информационном обмене, таможенные органы представляют региональным статистическим органам:

) ежемесячно нарастающим итогом сводный отчет об экспорте и импорте важнейших товаров;

) ежеквартально отчет об экспорте и импорте по странам - контрагентам нарастающим итогом;

) данные об экспорте и импорте важнейших товаров ( в группировке товар-страна).

Следует отметить, что информация об экспорте и импорте важнейших товаров по видам и странам, в силу специфики её учета и представления, не содержит полных сведений, необходимых для анализа внешнеэкономической деятельности. Поэтому, ряд данных, например, по экспорту нефти, уточняется Госкомстатом по данным АК "Транснефть", по газу - Минтопэнерго России, т.е. по договорам, заключенным с экспортерами-посредниками и по данным контрактов предприятий с зарубежными фирмами. При публикации уточнённых данных, Госкомстат делает соответствующие ссылки на источник.

Часть данных ГТК РФ о внешнеэкономической деятельности не подлежит разглашению. Информация, доступная пользователю, может быть получена в ГНИВЦ ГТК, региональных таможенных управлений, в отделах и подразделениях ГТК, управлений и таможен. В большинстве случаев, её получение требует специального разрешения.

Данные таможенной статистики публикуются в сборниках "Таможенная статистика внешней торговли" - ежеквартальных и годовых. Сборники содержат информацию о географической, товарной структуре экспорта и импорта, направлениях товаропотоков, ценах на товары в привязке к ТН ВЭД.

Статистическая информация предоставляется также компаниями, занятыми исследованиями и разработками, консалтинговыми фирмами.

1.3 Показатели статистики внешней торговли

Экспорт - вывоз из страны товаров отечественного производства, а также реэкспорт товаров . К товарам отечественного производства относятся также товары иностранного происхождения , ввезённые в страну и подвергшиеся существенной переработке , изменяющей основные качественные или технические характеристики товаров .

Импорт - ввоз товаров в страну .В импорт включаются ввезённые товары, предназначенные для потребления в народном хозяйстве страны , для реэкспорта , и товары , закупаемые для отечественных организаций за границей , для потребления на месте . К реэкспортным товарам относятся товары , ввезённые в страну , а затем вывезенные за границу без переработки.

Внешнеторговый товарооборот - включает сумму стоимости экспорта и импорта страны, участвующей в международном товарообмене. Различают стоимостный и физический объемы внешней торговли. Стоимостный объем подсчитывается за определенный отрезок времени в текущих (изменяющихся) ценах соответствующих лет с использованием текущих валютных курсов. Физический объем внешней торговли исчисляется в постоянных ценах. На его основе можно производить необходимые сопоставления, определять реальную динамику внешней торговли. Объем международной торговли подсчитывается путем суммирования объемов экспорта всех стран.

Сальдо торгового баланса - стоимость экспорта минус стоимость импорта. В данной работе мы прослеживаем динамику сальдо торгового баланса по отношению к 2004 году, принимая данный год за базисный (рассчитываем показатель темпов роста базисный).

Торговый баланс - соотношение стоимостей экспорта и импорта за какой-либо период времени (обычно год) по данным статистики внешней торговли страны. Торговый баланс может быть благоприятным (активным) и неблагоприятным (пассивным). Платежный баланс напрямую связан с торговым балансом и отражает соотношение платежей и поступлений какой-либо страны за определенный период времени (обычно год). Он состоит из приходной и расходной частей. Приходная часть платежного баланса:

1) экспорт товаров;

2)      невидимый экспорт - доходы от туризма, от предоставления займов и кредитов, от выпуска ценных бумаг, от оказания услуг и пр.

Расходная часть платежного баланса:

1) импорт товаров;

2)      невидимый импорт - расходы на оплату услуг, полученных из-за рубежа, приобретение лицензий, патентов, «ноу-хау» и оплата обучения, лечения, отдыха за рубежом, гастролей иностранных артистов, спортсменов и т.д.

Коэффициент импорта - ( импортная квота ) количественный показатель , характеризующий значимость импорта для народного хозяйства и отдельных отраслей по различным видам продукции.

Коэффициент импорта рассчитывается как отношение стоимости импорта (ИМ) к стоимости ВВП:

Ки =(ИМ / ВВП)*100 % (1.1)

Коэффициент экспорта - (экспортная квота) количественный показатель, характеризующий значимость экспорта для народного хозяйства и отдельных отраслей по различным видам продукции.

Коэффициент экспорта рассчитывается как отношение стоимости экспорта (ЭК) к стоимости ВВП:

Кэ = (ЭК / ВВП)*100 % (1.2) [12,c.42]

Показатели динамики изменения внешней торговли:

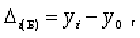
Абсолютный прирост выражает абсолютную скорость изменения ряда динамики и определяется как разность между данным уровнем и уровнем, принятым за базу сравнения.

Абсолютный прирост (цепной)

 (1.3)

где yi - уровень сравниваемого периода; yi-1 - уровень предыдущего периода

Абсолютный прирост (базисный)

 (1.4)

где yi - уровень сравниваемого периода; y0 - уровень базисного периода

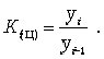
Коэффициент роста Ki определяется как отношение данного уровня к предыдущему или базисному, показывает относительную скорость изменения ряда.  Коэффициент роста цепной

 (1.5)

где yi - уровень сравниваемого периода; yi-1 - уровень предыдущего периода

Коэффициент роста базисный

 (1.6)

где yi - уровень сравниваемого периода; y0 - уровень базисного периода

Темп роста - отношение величины экономического показателя в данное время к его исходному значению, принятому за базу отсчета, измеряемое в процентах:

Темп роста цепной

 (1.7)

где Крц - коэффициент роста цепной

Темп роста базисный

 (1.8)

где Крб - коэффициент роста базисный

Темп прироста определяется как отношение абсолютного прироста данного уровня к предыдущему или базисному: Темп прироста цепной

Tпцрц - 100% (1.9)

где Трц - темп роста цепной

Темп роста базисный

Tпбрб - 100% (1.10)

где Трб - темп роста базисный

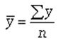
Средний уровень ряда определяет обобщенную величину абсолютных уровней. Он определяется по средней, исчисленной из значений, меняющихся во времени.

 (1.11)

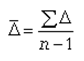
Средний абсолютный прирост - определяется как среднее из абсолютных приростов за равные промежутки времени одного периода. Он рассчитывается по формуле:

 (1.12)

Средний темп роста - это средний коэффициент роста, который выражается в процентах:

 (1.13)

Средний темп прироста рассчитывается на основе средних темпов роста вычитанием из последних 100%:

(1.14)

Также в статистике используются следующие понятия и показатели: отчетный период; направление товаропотока (ввоз или вывоз); страна происхождения при ввозе; страна назначения при вывозе; статистическая стоимость; код и наименование товара; вес нетто; код и наименование дополнительных единиц измерения; количество по дополнительным единицам измерения; характер сделки; вид таможенного режима; категория отправителя (получателя) товара; регион (республика, край, область, автономная область, автономный округ). [20,с.305]

Перечисленные показатели позволяют обеспечить подготовку не только периодических публикаций по статистике внешней торговли, но и проводить различного рода аналитические исследования, в частности, в области развития внешней торговли.

ГЛАВА 2. СТАТИСТИКА ВНЕШНЕЙ ТОРГОВЛИ РФ

2.1 Статистический анализ показателей внешней торговли

В 2005г. внешнеторговый оборот России составил 370,4 млрд. долларов США, в том числе экспорт - 245,3 млрд. долларов, импорт - 125,1 млрд. долларов. Сальдо торгового баланса оставалось положительным, 120,1 млрд. долларов США (в 2004г. - 85,8 млрд. долларов).

В 2006г. внешнеторговый оборот России составил 468,6 млрд. долларов США, в том числе экспорт - 303,9 млрд. долларов, импорт - 164,7 млрд. долларов. Сальдо торгового баланса оставалось положительным, 139,2 млрд. долларов США (в 2005г. - 120,1 млрд. долларов).

В 2007г. внешнеторговый оборот России составил 578,2 млрд. долларов США, в том числе экспорт - 355,2 млрд. долларов, импорт - 223,1 млрд. долларов. Сальдо торгового баланса оставалось положительным, 132,1 млрд. долларов США (в 2006г. - 139,2 млрд. долларов).

В 2008г. внешнеторговый оборот России составил 763,7 млрд. долларов США, в том числе экспорт - 471,8 млрд. долларов, импорт - 292,0 млрд. долларов. Сальдо торгового баланса оставалось положительным, 179,8 млрд. долларов США (в 2007г. - 132,1 млрд. долларов). [15]

В 2009г. внешнеторговый оборот России составил 495,9 млрд. долларов США, в том числе экспорт - 304,0 млрд. долларов, импорт - 191,9 млрд. долларов . Сальдо торгового баланса оставалось положительным, 112,1 млрд. долларов США (в 2008г. - 179,8млрд. долларов).[22]

Рисунок 2.1 Динамика показателей внешней торговли РФ с 2005 по 2009 год

Мы наблюдаем относительно равномерный рост как экспорта, так и импорта на протяжении периода с 2005 по 2008 год, но тем не менее с 2009 года наблюдается резкий спад. Средний темп роста экспорта равен 124,90%, средний темп импорта равен 132,43%.Сальдо торгового баланса оставалось положительным также на протяжении всего периода, однако, наблюдается его снижение в период с 2006 по 2007 год. Это объясняется резким увеличением импорта (в сравнении с увеличением экспорта) в 2007 году по отношению к 2006 году. После данного краткосрочного спада мы снова видим ситуацию равномерного роста торгового баланса. И снова снижение мы наблюдаем в 2009 году.

Также мы можем проследить динамику всего внешнеторгового оборота (рис. 2.2).

Рисунок 2.2 Внешнеторговый оборот РФ с 2005 по 2009 гг.

Наблюдаем относительно равномерное увеличение внешнеторгового оборота на протяжении всего рассматриваемого периода, за исключением небольшого скачка в 2008 году и снижения в 2009 году.

Стоит отметить, что мы могли проследить относительную динамику внешнеторгового оборота, не прибегая к его значениям за анализируемые годы, а только лишь исходя из определения внешнеторгового оборота и уже прослеженной динамики экспорта и импорта.

Проанализируем торговый баланс и баланс услуг за период с 2005 по 2009 год (таблица 2.1).

Таблица 2.1 Торговый баланс и баланс услуг РФ


Товары

Услуги


Экспорт

Импорт

Торговый баланс

Экспорт

Импорт

Баланс услуг

I квартал 2005 г.

54 390

-28 972

25 417

5 740

-8 845

-3 105

II квартал 2005 г.

59 281

-29 831

29 450

6 086

-9 346

-3 260

III квартал 2005 г.

62 889

-31 977

30 912

6 321

-9 946

-3 625

IV квартал 2005 г.

66 322

-33 824

32 498

6 722

-10 347

-3 626

всего за 2005 год

242882

-124624

118277

24869

-38484

-13616

I квартал 2006 г.

73 462

-35 248

38 214

7 031

-10 282

-3 252

II квартал 2006 г.

75 995

-39 399

36 596

7 524

-3 318

III квартал 2006 г.

76 996

-41 736

35 260

7 919

-11 183

-3 263

IV квартал 2006 г.

76 621

-46 121

30 500

8 454

-12 179

-3 725

всего за 2006 год

303074

-162504

140570

22928

-44486

-13558

I квартал 2007 г.

78 767

-49 624

29 144

9 050

-13 310

-4 260

II квартал 2007 г.

83 002

-53 544

29 458

9 224

-13 867

-4 642

III квартал 2007 г.

85 878

-56 841

29 037

9 812

-14 343

-4 530

IV квартал 2007 г.

105 022

-61 389

43 633

10 973

-16 341

-5 368

всего за 2007 год

352669

-221398

131272

39059

-57861

-18800

I квартал 2008 г.

121 835

-70 734

51 101

12 241

-18 471

-6 230

II квартал 2008 г.

125 545

-76 632

48 913

13 222

-19 644

III квартал 2008 г.

130 786

-80 416

50 370

13 317

-19 769

-6 452

IV квартал 2008 г.

93 974

-64 462

29 512

12 214

-17 409

-5 195

всего за 2008 год

472140

-292244

179896

50994

-75293

-24299

I квартал 2009 г.

63 550

-45 485

18 065

9 976

-15 340

-5 365

II квартал 2009 г.

67 522

-44 638

22 884

10 637

-14 883

-4 246

III квартал 2009 г.

78 742

-47 463

31 279

10 323

-15 129

-4 805

IV квартал 2009 г.

91 515

-53 056

38 458

10 692

-16 253

-5 561

всего за 2009 год

301329

-190642

110686

41628

-61605

-19977


Торговый баланс за все годы данного периода является активным, что означает превышение экспорта товаров из России над импортом. Самая благоприятная ситуация наблюдается в 2008 году, где экспорт товаров превышает импорт на 179,8 млрд. долларов США. Баланс же услуг отрицателен в течение всего анализируемого периода, что означает превышение импорта услуг в Россию над их экспортом. И самая неблагоприятная ситуация для России наблюдается в том же 2008 году, где торговый баланс равен -24,97 млрд. долларов США. [22]

Анализируя товарную структуру внешней торговли РФ, можем сказать, что в экспорте товаров из России преобладают минеральные продукты, что не удивительно, ведь наша страна является одним из важнейших экспортеров нефти и газа в мире. Наименьшую долю занимают кожевенное сырье, пушнина и изделия из них. В импорте же преобладают машины, оборудование и транспортные средства, меньшую долю занимают, также, кожевенное сырье, пушнина и изделия из них.

2.2 Статистический анализ показателей динамики изменения внешней торговли

Таблица 2.2 Анализ динамики внешнеторгового оборота за 2005-2009 гг.


2005

2006

2007

2008

2009

Внешнеторговый оборот

370,4

468,6

578,2

763,7

Абсолютный прирост (млн.руб) -цепной -базисный

  - -

  98,2 98,2

  109,6 207,8

  185,5 393,3

  -267,8 125,5

Коэффициент роста -цепной -базисный

  - -

  1,26 1,26

  1,23 1,56

  1,32 2,06

  0,65 1,33

Темп роста (%) -цепной -базисный

 - -

 126 126

 123 156

 132 206

 65 133

Темп прироста -цепной -базисный

 - -

 26 26

 23 56

 32 06

 -35 33


Исходя из данной таблицы, мы видим, что внешнеторговый оборот с 2005 по 2008 годы возрастал, в 2009 году наблюдается резкий спад на 267,8 млрд. долларов, в связи с мировым финансовым кризисом и падением цены на нефть. Это привело к сокращению спроса на продукцию, поэтому резко снизился импорт и экспорт товаров. [22]

Абсолютный прирост был рассчитан по формулам 1.3 и 1.4.

Рассмотрев график можно сделать следующие выводы: цепной абсолютный прирост относительно предыдущего периода равномерно возрастал до 2008 года, в 2008 году началось резкое снижение. Динамика базисного абсолютного прироста идентична.

Рисунок 2.3 Абсолютный прирост внешнеторгового оборота  с 2004 по 2009 гг.

Коэффициент роста рассчитан по формулам 1.5 и 1.6. Динамика данного показателя представлена на рисунке 2.2.

Рисунок 2.4 Коэффициент роста внешнеторгового оборота с 2004 по 2009 гг.

Практически в течение всего анализируемого периода как базисный, так и цепной коэффициенты роста возрастают до 2008 года, затем наблюдается резкое снижение.

Темп роста рассчитан по формулам 1.7 и 1.8.

Рисунок 2.5 Темп роста внешнеторгового оборота с 2004 по 2009 гг.

Из рисунка 2.5 видно, что базисный и цепной темп роста возрастают до 2008 года, потом наблюдается резкий спад.

Темп прироста был рассчитан по формулам 1.9 и 1.10.

Рисунок 2.6 Темп прироста внешнеторгового оборота с 2004 по 2009 гг.

Как видно из графика темп прироста как базисный, так и цепной увеличивался до 2008 года, а потом произошло резкое снижение.

Объем внешнеторгового оборота в Российской Федерации за анализируемый период повысился на 125,5 млрд. долларов или на 33%.

2.3 Определение основных тенденций динамики внешней торговли в Российской Федерации

Основные тенденции в статистике - изменение, определяющее общее направление развития.

Методы

.   Сглаживание или механическое выравнивание отдельных уровней ряда динамики с использованием фактических значений соседних уровней.

2.      Выравнивание с применением прямой, проведенной между уровнями таким образом, чтобы она отражала тенденцию, присущую ряду и одновременно освободила бы его от незначительных показателей.

Таблица 2.3 Исходные данные для расчета основных тенденций


V

t

t2

y(V)*t

yt

2005

370,4

-2

4

-740,8

426,14

2006

468,6

-1

1

-468,6

480,75

2007

578,2

0

0

0

2008

763,7

1

1

763,7

589,97

2009

495,9

2

4

991,8

644,58

итого

2676,8






Первые две графы таблицы - ряд динамики, подвергаемый выравниванию, дополняются графой 3, в которой показана система отсчета времени t, выбранная таким образом, чтобы сумма t равна 0. Данные пятой графы рассчитаны по формуле:

Уравнение прямой

yt=a0+a1*ti (2.1)

где a0= (2.2)

a1= (2.3) [12,c.67]

Отобразим данную таблицу графически:

Рисунок 2.7

Из графика видно, что показатель yt равномерно возрастал на протяжении всего анализируемого периода, а показатель V в 2009 году резко начал снизился.

Средний уровень ряда равен 535,36. Этот показатель рассчитан по формуле 1.11.

Рассчитав средний абсолютный прирост по формуле 1.12, можно сказать, что в среднем, ежегодный объем внешней торговли изменился на 31,4.

Средний темп роста был рассчитан по формуле 1.13 и равен 132,25.

В среднем ежегодный объем внешнеторгового оборота вырос на 32,25%. Это видно из расчета по формуле 1.14.

ЗАКЛЮЧЕНИЕ

Если рассматривать мировую торговлю в плане тенденций ее развития, то налицо с одной стороны - явное усиление международной интеграции, постепенное стирание границ и создание различных межгосударственных торговых блоков, с другой стороны - углубление международного разделения труда, градация стран на промышленно-развитые и отсталые.

Нельзя не заметить, что международная торговля все сильнее влияет на экономику каждой страны. Из того, что производится в стране, все большая часть идет на экспорт, а в объеме потребления все большую роль играет импорт.

В условиях расширяющихся международных экономических отношений внешняя торговля является важнейшей отраслью экономики России. Ее развитие оказывает существенное влияние на внутренний рынок страны, на насыщение потребительского рынка товарами и на увеличение объема их производства. Доля экспорта и импорта России в валовом внутреннем продукте растёт. Россия является важным торговым партнером для стран Европы и СНГ, а также для стран Азии.

Подводя итоги курсовой работы, можем сделать следующие выводы:

На протяжении периода с 2005 по 2008 год мы наблюдали относительно равномерный рост как экспорта, так и импорта, но тем не менее с 2009 года наблюдается резкий спад. Средний темп роста экспорта равен 124,90%, средний темп импорта равен 132,43%.Сальдо торгового баланса оставалось положительным также на протяжении всего периода, однако, наблюдается его снижение в период с 2006 по 2007 год. Это объясняется резким увеличением импорта (в сравнении с увеличением экспорта) в 2007 году по отношению к 2006 году. После данного краткосрочного спада мы снова видим ситуацию равномерного роста торгового баланса. И снова снижение мы наблюдаем в 2009 году.  Анализируя товарную структуру внешней торговли РФ, можем сказать, что в экспорте товаров из России преобладают минеральные продукты, что не удивительно, ведь наша страна является одним из важнейших экспортеров нефти и газа в мире. Наименьшую долю занимают кожевенное сырье, пушнина и изделия из них.

В импорте же преобладают машины, оборудование и транспортные средства, меньшую долю занимают, также, кожевенное сырье, пушнина и изделия из них.

Объем внешнеторгового оборота в Российской Федерации за анализируемый период повысился на 125,5 млрд. долларов. В среднем ежегодный объем внешнеторгового оборота вырос на 32,25%.

СПИСОК ЛИТЕРАТУРЫ

1.Внешняя торговля развитых капиталистических стран, под ред. Устинова И.М., М., “Международные отношения”,1989.

.Григорук Н. Е. Статистика внешнеэкономических связей. - М.: Финансы и статистика, 1993.

.Григорук Н. Е. Статистика внешнеэкономических связей. ¬¬- М.: Финансы и политика, 1993.

.Драганов В.Г. Основы таможенного дела 1998 г.

.Закон о таможенном тарифе. - М., 2008.

.Лисов А., Орлов В., Пресняков В. Статистика внешней торговли//Внешняя торговля. 1996. №10-11,

.Основы внешнеэкономических знаний, М., “Международные отношения”,1990.

.Правила по толкованию торговых терминов/Инкотермс, 1990.

.Романов Ю.А. Статистика внешней торговли. - М.: Междунар. отношения, 1974.

.Рябушкин Б.Т. Отражение данных таможенной статистики внешней торговли РИО РТА 1997 г.

.Статистика международной торговли. Концепции и определения/ООН. 1982.

.Статистика. \Под. ред. В.Г. Ионина. - М.:ИНФРА-М, 2008. - 384с.

.Статистический словарь/Под ред. Ю. А. Юркова. - М.: Финстатинформ, 1996.

.Товарная номенклатура внешнеэкономической деятельности Содружества Независимых Государств: 2-е изд. - М., 1996.

.Таможенная статистика: Учеб. пособие/Под ред. А„ Ф. Лисова. - М.: Российская таможенная академия, 1996.

.Таможенная статистика внешней торговли Российской Федерации: Стат. сб. за 1994 - 1996 гг./ГТК России.

.Таможенная статистика РИО РТА 1997 г.

.Учебное пособие “Источники статистической информации о внешней торговле зарубежных стран и международных организаций”, под ред. проф. А. Ф. Мухина, М., 1993.

.Экономика. \Под ред. А.Г. Грязновой, И.П.Николаевой, В.М.Кадыкова. - М.:ЮНИТИ-ДАНА, 2001. - 822с.

.Теория статистики. \Под ред. проф. Г.Л.Громыко. - М.:ИНФРА-М,2006. - 476 с.

.Сельцовский В.Л. «Проблемы сопоставимости статистических данных о внешней торговле России»//www.eer.ru

.Официальный сайт Росстата //www.gks.ru

.http://www.budgetrf.ru

.http://www.stat.hse.ru

Похожие работы на - Статистика внешней торговли РФ

 

Не нашли материал для своей работы?
Поможем написать уникальную работу
Без плагиата!
Без нейросетей!