Статистика браков в Амурской области
Министерство
образования и науки Российской Федерации
Федеральное
государственное бюджетное образовательное учреждение
высшего
профессионального образования
АМУРСКИЙ
ГОСУДАРСТВЕННЫЙ УНИВЕРСИТЕТ
(ФГБОУ
ВПО «АмГУ»)
Экономический
факультет
Кафедра
Экономики и менеджмента организации
Направление
подготовки 080200.62 «Менеджмент»
КУРСОВАЯ
РАБОТА
на
тему: Статистика браков в Амурской области
по
дисциплине «Социально-экономическая статистика»
Исполнитель студент
группы 372 сб Н.А. Семечев
Руководитель доцент, к.
э. н. Г.А. Заломская
Нормоконтроль ассистент
Е.В. Чупалова
Благовещенск
2014
РЕФЕРАТ
Курсовая работа содержит - с., 13
таблиц, 7 источников, 2 приложения, 5 рисунков
СТАТИСТИКА БРАКОВ, БРАЧНОСТЬ,
РАЗВОДИМОСТЬ, АБСОЛЮТНОЕ ЧИСЛО БРАКОВ, ОБЩИЙ КОЭФФИЦИЕНТ БРАЧНОСТИ, ПЕРВЫЕ И
ПОВТОРНЫЕ БРАКИ, ПОКАЗАТЕЛИ СОСТОЯНИЯ В БРАКЕ, БРАЧНЫЙ СТАТУС, ДИНАМИКА ЧИСЛА
ЗАРЕГИСТРИРОВАННЫХ БРАКОВ, ПРИРОСТ ЧИСЛА БРАКОВ, КОЭФФИЦИЕНТ ПРИРОСТА БРАКОВ,
КОЭФФИЦИЕНТ ПРЕКРАЩЕНИЯ БРАКОВ, ГРУППИРОВКА ГОРОДОВ И РАЙОНОВ, СРЕДНИЕ
ВЕЛИЧИНЫ, ДИСПЕРСИЯ, МОДА, МЕДИАНА, КОРРЕЛЯЦИОННАЯ СВЯЗЬ, ИНДЕКСНЫЙ И ФАКТОРНЫЙ
АНАЛИЗ БРАКОВ.
Целью данной курсовой работы
является статистическое изучение браков в Амурской области.
Статистика браков - один из основных
разделов социально-экономической статистики, позволяющий правильно, а главное,
эффективно осуществлять социальную политику государства.
СОДЕРЖАНИЕ
Введение
1. Теоретические основы статистического изучения браков
1.1 Сущность статистического изучения браков
.2 Система статистических показателей, используемых в изучении
браков
2. Статистический анализ браков в Амурской области
2.1 Анализ динамики браков
.2 Анализ структуры браков в Амурской области
.3 Группировка городов и районов Амурской области по числу браков
за 2009 год
.4 Анализ браков с помощью расчета средних величин и показателей
вариации
.5 Корреляционно - регрессионный анализ взаимосвязи между
количеством браков и средним возрастом брачующихся
Заключение
Библиографический список
Приложение А. Динамика браков и разводов в Амурской области
Приложение Б. Число браков в городах и районах Амурской области в
2013 году
ВВЕДЕНИЕ
Изучение статистики браков стало
особенно важно на современном этапе. Одним из направлений деятельности
государства является демографическая политика, при планировании которой
невозможно не использовать данные статистики браков.
Сегодня проекты в области демографии
семьи являются приоритетными, на них тратятся миллиарды рублей. Чтобы оценить
правильность и эффективность такого рода денежных вложений необходимо
обращаться к статистике браков.
Эффективность ведения социально -
экономической политики государства оценивается по количеству браков и разводов.
Чтобы корректировать курс своей политики государство опять же должно вести
статистику браков и разводов.
В данной курсовой работе рассмотрены
главные теоретические аспекты статистики браков, произведен расчет ряда
показателей, характеризующих состояние браков в Амурской области, сделаны
основные выводы и прогнозы.
Предметом данной курсовой работы
являются методы статистического анализа, позволяющие оценить и графически
интерпретировать динамику, структуру браков в Амурской области и их взаимосвязь
с влияющими на них факторами.
Объектом являются статистические
показатели, позволяющие охарактеризовать браки, заключенные в Амурской области.
Целью курсовой работы является
статистическое изучение браков в Амурской области.
Основные задачи курсовой работы:
изучить основные этапы
статистического исследования (статистическое наблюдение, сводка, группировка,
расчет обобщающих показателей), основы регрессионного и корреляционного,
индексного и факторного анализов.
проанализировать статистические
данные и сформулировать выводы, вытекающие из анализа;
овладеть техникой расчета системы
показателей анализа социально - экономических процессов и рассчитать эти
показатели;
приобрести практические навыки
решения конкретных задач различного типа в области социально - экономической
статистики.
1. ТЕОРЕТИЧЕСКИЕ ОСНОВЫ
СТАТИСТИЧЕСКОГО ИЗУЧЕНИЯ БРАКОВ
.1 Сущность статистического изучения
браков
Показатели брачности делятся на две
большие группы: показатели вступления в брак и показатели состояния в браке.
Начнем с первой группы и остановимся, прежде всего, на общих показателях
вступления в брак. К ним относятся абсолютное число браков и общий коэффициент
брачности.
Абсолютное число браков за год никак
не может характеризовать уровень брачности, так как зависит от общей
численности населения.
Это число может быть использовано
лишь для расчета общего коэффициента брачности или сопоставления с ним числа
разводов.
Общий коэффициент брачности
представляет собой число браков в расчете на 1000 населения, т.е.
рассчитывается в промилле. Как и в любом другом общем демографическом
коэффициенте, здесь временным отрезком может быть как один год, так и несколько
лет сразу. Расчет производится по следующей формуле:
где- общий коэффициент
брачности за период времени;- абсолютное число браков за период времени;ср
- средняя за период времени общая численность населения;- число лет, входящих в
рассматриваемый период времени.
Пользоваться общим
коэффициентом брачности безусловно лучше, чем абсолютным числом браков. Но все
же этот показатель имеет существенный недостаток. Дело в том, что интенсивность
вступления в брак в разных возрастах, естественно, не одинакова. Чаще всего
вступают в брак в возрастном интервале 18-30 лет. Однако дело не только в
возрастных различиях интенсивности вступления в брак. В условиях официальной
моногамии (единобрачия) зарегистрировать брак могут только те, кто в нем не
состоит. Следовательно, чем выше в данном населении будет доля, не состоящих в
зарегистрированном браке людей в возрасте 18-30 лет, тем, при прочих равных
условиях, выше будет и общий коэффициент брачности.
Первые и повторные
браки.
Браки бывают первые и
повторные. Последние, в свою очередь, делятся на те, в которые люди вступают
после развода и после овдовения.
Определение числа браков
по сочетанию брачных состояний супругов может иметь следующие сочетания:
первые для обоих
супругов браки;
повторные для обоих
супругов браки;
браки вдовых для обоих
супругов;
браки разведенных для
обоих супругов;
первые для жены и
повторные для мужа браки;
повторные для жены и
первые для мужа браки;
для жены брак первый, а
муж - вдовец;
жена - вдова, а для мужа
брак первый;
для жены брак первый, а
муж - разведен;
жена - разведена, а для
мужа брак первый;
жена - вдова, а муж -
разведен;
жена - разведена, а муж
- вдовец.
Разработки с таким
распределением браков органы государственной статистики не делают. Однако для
анализа брачности такого рода информация была бы весьма полезна, например, с
точки зрения оценки значимости брачного состояния, как критерия выбора супруга.
Числа браков по сочетанию брачных состояний супругов (а, соответственно, и их
доли в общем числе браков) могут быть подсчитаны при дополнительной разработке
записей актов о заключении брака, где есть информация о брачном состоянии
каждого из супругов.
Показатели состояния в
браке.
Наряду с рассмотренными
выше показателями вступления в брак используются и показатели состояния в
браке. Основой для расчета этих показателей являются распределения населения по
состоянию в браке, полу и возрасту. Одной из основных групп показателей
состояния в браке являются доли (в о/оо, т.е. в расчете на
1000 человек) населения того или иного брачного статуса в общей численности
населения данного пола и возраста.
Расчет этих показателей
осуществляется предельно просто. Численность населения данного пола и возраста
и имеющего данный брачный статус делится на численность всего населения
соответствующего пола и возраста и полученное частное от деления умножается на
1000. Среди этих брачных статусов традиционно (у нас в стране начиная с
переписи населения 1979 года) выделяются: никогда не состоявшие в браке,
состоящие в браке, разведенные и вдовые.
На основе последней
микропереписи населения 2010 г. есть возможность проанализировать брачный
состав населения. Также существует возможность вычислить доли населения данного
пола и возраста, состоящего в зарегистрированном и незарегистрированном браке,
как в численности всего населения соответствующего пола и возраста, так и среди
состоящих в браке в соответствующей половозрастной группе. Более того все эти
расчеты можно сделать раздельно для первых и повторных браков. Кстати, это дает
возможность оценить различия в доли незарегистрированных браков среди первых и
повторных браков.
Кроме того, после разработки
результатов микропереписи населения 2010 г. стало возможным определить по
каждой половозрастной группе доли вдовых и разведенных раздельно после первого
и повторного брака как в численности всего населения соответствующего пола и
возраста, так и среди, соответственно, всех вдовых и разведенных в данной
половозрастной группе.
Следующая группа показателей состояния
в браке - средние числа лет пребывания в том или ином брачном статусе, в т.ч.
по возрастным группам. Как и рассмотренные выше, эти показатели рассчитываются
только раздельно для женщин и мужчин. Формулы расчета этих показателей для
различных брачных статусов аналогичны и мы рассмотрим их на примере расчета
среднего числа лет пребывания в браке.
Этот показатель рассчитывается
следующим образом:
где x - длина возрастного интервала x (обычно она равна
1 (при однолетней возрастной структуре) или 5 (при пятилетней возрастной
структуре));xб - доля (в о/оо)
состоящих в браке в возрасте (или возрастном интервале) x.
Показатель рассчитывается суммарно для всех возрастов от 15 (или
16, в зависимости от характера исходной информации) до 70 лет или для отдельных
возрастных интервалов (при этом берутся, естественно, только те возраста,
которые входят в этот возрастной интервал). Он показывает, сколько лет в
среднем один человек состоит в браке на протяжении всей жизни (или в определенном
возрастном периоде) при существующем брачном составе населения.
Средние числа лет пребывания в том или ином брачном состоянии
рассчитываются тем же способом для добрачного статуса (в этом случае берутся
доли никогда не состоявших в браке), для пребывания в первом и повторном браке
(берутся доли состоящих, соответственно, в первом и повторном браке), в разводе
(берутся доли разведенных и разошедшихся), во вдовстве (берутся доли вдовых).
Две другие группы показателей не являются непосредственно характеристиками
брачного состояния, но отражают возраст населения, находящегося в том или ином
брачном статусе.
В первую очередь, это возрастная структура населения того или
иного брачного статуса. Она может быть рассчитана для всех рассмотренных выше
брачных статусов путем деления возрастных численностей населения данного
брачного статуса на общую численность населения соответствующего брачного
статуса каждого пола в отдельности и умножения полученных частных от деления на
100, т.е. расчет ведется в процентах.
Другая группа показателей - средние возраста населения того или
иного брачного статуса. Так, например, средний возраст состоящих в браке
рассчитывается по следующей формуле:
где
х - возраст (при одногодичной группировке) или середина
возрастного интервала;хб - числа состоящих в браке по
возрасту.
Аналогично рассчитываются средние возраста никогда не состоявших в
браке, состоящих в первом и повторном браках (в т.ч. зарегистрированных и
незарегистрированных), разведенных (в т.ч. после первого и повторного брака),
вдовых (в т.ч. после первого и повторного брака).
Оценка динамики числа существующих браков.
Каждый год регистрируется определенное количество браков и
разводов. Эти числа учитываются органами государственной статистики. Однако
этой информации недостаточно для того, чтобы определить как от года к году
меняется число существующих зарегистрированных браков (мы вынуждены говорить
здесь только о зарегистрированных браках, так как только они учитываются в
текущей статистике). Дело в том, что часть браков прекращает свое существование
из-за смерти одного из супругов. Число таких браков не фиксируется органами
государственной статистики. Но их можно посчитать при дополнительной разработке
записей актов о смерти, где есть пункт о брачном состоянии умершего. Число
браков, прекративших свое существование вследствие смерти одного из супругов,
т.е. число овдовений, равно числу умерших, состоявших в браке. Зная это число,
мы можем оценить динамику числа существующих зарегистрированных браков.
Прирост числа зарегистрированных браков за каждый год равен: число
зарегистрированных браков - число зарегистрированных разводов - число
овдовений.
Таким образом мы получаем абсолютный показатель. На его основе
можно рассчитать общий коэффициент прироста числа зарегистрированных браков.
Для этого надо абсолютную величину прироста числа зарегистрированных браков
разделить на общую среднегодовую численность населения и умножить на 1000, т.е.
рассчитать в промилле. Таким образом, расчет здесь аналогичен любому
демографическому общему коэффициенту.
Сумма чисел разводов и овдовений дает число прекратившихся браков.
Если мы разделим ее на общую среднегодовую численность населения и умножим на
1000, то получим общий коэффициент прекращения браков.
Разделив число разводов на число прекратившихся браков и умножив
частное от деления 100 мы получим долю (в процентах) браков, закончившихся
разводами, в общем числе прекратившихся браков.
Разделив число овдовений на число прекратившихся браков и умножив частное
от деления 100 мы получим долю (в процентах) браков, закончившихся овдовениями,
в общем числе прекратившихся браков.
Сами овдовения следует разделить на две части: овдовения жены
(т.е. браки, закончившиеся смертью мужа) и овдовения мужа (т.е., браки,
закончившиеся смертью жены). Для того, чтобы разделить, таким образом, число
овдовений, нам нужно при дополнительной разработке записей актов о смерти
учитывать не только брачное состояние умершего, но и пол. Подсчитав эти числа
овдовений, мы можем, естественно, рассчитать и доли браков, закончившиеся
овдовениями жены и мужа, в общем числе прекратившихся браков.
При разработке результатов микропереписи населения 1994 г. была
получена таблица, в которой отражены доли состоявших в первом браке и разведшихся
или овдовевших в общем, числе вступивших в первый брак в зависимости от года
вступления в брак. К сожалению, все рассмотренные здесь показатели могут быть
рассчитаны только за прошлые годы.
.2 Система статистических показателей, используемых в изучении
браков
Для изучения социально-экономических
явлений в статистике используются статистические показатели.
Статистический показатель -
обобщенная количественная характеристика качественно определенного социального
явления. Это понятие, содержащее количественную определенность, качественную
определенность, определенность пространства и времени.
Различают два вида обобщающих
показателей: абсолютные и относительные.
Абсолютные величины - именованные
числа, имеющие определенную размерность и единицы измерения. Они характеризуют
показатели на определенный момент времени или за период.
Относительные величины характеризуют
количественное соотношение сравниваемых абсолютных величин. Их получают в
результате сравнения двух показателей.
В данной работе для проведения
статистического анализа браков в Амурской области использовались следующие
показатели:
1 Показатели динамики. В зависимости
от ряда динамики некоторые показатели его анализа определяются по-разному.
Общие обозначения уровней рядов
динамики следующие:
- данный период;
- уровень
предшествующего периода;
- уровень базисного
периода.
средний уровень.
Первым из аналитических показателей
является абсолютный прирост уровней, который исчисляется как разница между
двумя уровнями: цепным и базисным абсолютным приростом.
Цепной абсолютный прирост:
(1)
Базисный абсолютный
прирост:
(2)
Средний абсолютный
прирост:
(3)
Темпы роста (отношение
двух уровней ряда):
цепной темп роста:
(4)
базисный темп роста:
(5)
Обобщением цепных темпов
роста за период с 2004 -2013 годы является средний темп роста, который
исчисляется по формуле:
(6)
Самое обычное представление о темпе
прироста уровня ряда, дает вычитание единицы (или 100%) из соответствующего
темпа роста:
(7)
(8)
Средний темп прироста
определяется по формуле:
% (9)
Абсолютное значение
одного процента определяется по формуле:
(10)
Общий коэффициент
брачности рассчитывается по формуле:
Кбр.=
(11)
где 
- среднегодовая
численность наличного населения.
Система нормальных
уравнений, с помощью которой находятся параметры
в методе аналитического
выравнивания имеет вид:
(12)
Так же параметры
можно
исчислить с помощью определителей по формулам:
(13)
(14)
Анализ структуры браков.
Формула относительного
сравнения:
(15)
Группировка городов и районов.
Для проведения группировки
рассчитывается оптимальное количество групп по формуле Стерджесса:
=1+3,322*lgN (16)
После определения числа групп
определяются интервалы группировки.
Рассчитываем величину интервала:
(17)
Определение средних величин и
показателей вариации.
Для расчета средней величины
используется средняя арифметическая простая:
(18)
и средняя арифметическая
взвешенная:

=
(19)
где
значение
признака, частота признака.
Частота - число,
показывающее, как часто встречается данный вариант.
Далее рассчитываем
структурные величины: моду и медиану.
Мода - это значение
признака, наиболее часто встречающееся в изучаемой совокупности. Для
интервальных рядов распределения мода рассчитывается по формуле:
(20)
где
-
нижняя граница модального интервала;
- величина модального
интервала;
- частота модального
интервала;
- частота интервала,
предшествующего модальному;
- частота интервала,
следующего за модальным.
Медиана- это величина, которая делит
численность упорядоченного вариационного ряда на две равные части: одна часть
имеет значение варьирующего признака меньшие, чем средний вариант, а другая
большие.
(21)
- нижняя граница
медианного интервала;
- величина медианного
интервала;
-полусумма частот ряда;
- сумма накопленных
частот, предшествующих медианному интервалу;
частота медианного
интервала.
Следующим этапом является расчет
показателей вариации к которым относятся:
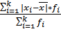
Среднее линейное отклонение
(взвешенное):

= 
(22)
Дисперсия - средний
квадрат отклонений индивидуальных значений признака от их средней величины.
Формула дисперсии:
(23)
где
значение
признака, частота признака.
Среднее квадратическое
отклонение. Формула:
(24)
Коэффициент вариации:
(25)
Корреляционно- регрессионный анализ.
Корреляционная связь - это неполная
связь между признаками, которая проявляется при рассмотрении достаточно
большого числа наблюдений. Факторными называются признаки, которые оказывают
влияние на другие признаки и обуславливают их изменения. Признаки, изменяющиеся
под влиянием факторных, называют результативными. Методами корреляции могут
измеряться связи между двумя признаками (парная корреляция). В зависимости от
формы связи различают линейную и криволинейную корреляцию.
При анализе прямолинейной
зависимости применяется уравнение:
x = a0 + a1x, (26)
где yx - теоретические
уровни результативного признака,
a0, a1 -
параметры прямой;
х - значение факторного признака.
Параметры прямой уравнения,
вычисляются путем решения системы нормальных уравнений вида:
(27)
Измерить тесноту
корреляционной связи между факторным и результативным признаками позволяют
линейный коэффициент корреляции:
(28)
Вычисление дисперсий для
расчета теоретического корреляционного отношения производится по следующим
формулам:
1.
- общая дисперсия (29)
.
-остаточная дисперсия (30)
.
-факторная дисперсия (31)
Теоретическое
корреляционное отношение:
(32)
Формула индекса
корреляционной связи:
(33)
Частный коэффициент
эластичности:
(34)
где
-
параметр при признаке- факторе;
- средние значения
факторного и результативного признаков.
Адекватность
регрессионной модели можно оценить критерием Фишера:
(35)
число параметров модели;
n- число единиц наблюдения.
Значимость коэффициентов линейного
уравнения регрессии оценивается с помощью критерия Стьюдента:
(36)
(37)
(38)
Для проведения оценки
коэффициента корреляции с помощью t- критерия, используется формула:
(39)
Ошибка аппроксимации:
(40)
2. СТАТИСТИЧЕСКИЙ АНАЛИЗ БРАКОВ В
АМУРСКОЙ ОБЛАСТИ
.1 Анализ динамики браков
Проведем анализ динамики браков в
Амурской области, заключенных в период с 2004 г. по 2013 г.
Для этого рассчитаем ряд показателей
динамики по формулам (1)-(10). В качестве базисного года возьмем 2004 г.
По формулам 1 и 2, используя
исходные данные, рассчитываем базисный абсолютный прирост и абсолютный прирост
по цепной схеме в 2013 году:
По формулам 3 и 4, используя
исходные данные, рассчитываем базисный темп роста и темп роста по цепной схеме
в 2013 году:
По формулам 7 и 8, используя
исходные данные, рассчитываем базисный темп прироста и темп прироста по цепной
схеме в 2013 году:
По формуле 10, абсолютное значение
одного процента прироста в 2013 году:
Аналогично проведем
расчеты для всех лет и заносим в таблицу 1.
По формулам 6 и 9,
используя исходные данные, рассчитываем средний темп роста и средний темп
прироста:
Таблица 1 - Динамика
браков в Амурской области за 2004-2013 годы
|
Год
|
Кол-во браков, ед.
|
Абсолютный прирост, ед.
|
Темп роста, %
|
Темп прироста, %
|
Абсолютное значение 1% прироста, ед.
|
|
|
Цепной
|
Базисный
|
Цепной
|
Базисный
|
Цепной
|
Базисный
|
|
|
2004
|
5818
|
-
|
0
|
-
|
100
|
-
|
0
|
-
|
|
2005
|
5944
|
126
|
126
|
102,16
|
102,16
|
2,16
|
2,165
|
58,18
|
|
2006
|
6467
|
523
|
649
|
108,79
|
111,15
|
8,79
|
11,15
|
59,44
|
|
2007
|
7288
|
821
|
1470
|
112,69
|
125,26
|
12,6
|
25,26
|
64,67
|
|
2008
|
7449
|
161
|
1631
|
102,20
|
128,03
|
2,20
|
28,03
|
72,88
|
|
2009
|
6781
|
-668
|
963
|
91,03
|
116,55
|
-8,96
|
16,55
|
74,49
|
|
2010
|
6894
|
113
|
1076
|
101,66
|
118,49
|
1,66
|
18,42
|
67,81
|
|
2011
|
7071
|
177
|
1253
|
102,56
|
121,53
|
2,56
|
21,51
|
68,94
|
|
2012
|
7629
|
558
|
1811
|
107,89
|
131,12
|
7,89
|
31,12
|
70,71
|
|
2013
|
7359
|
-270
|
1541
|
96,46
|
126,48
|
-3,53
|
26,48
|
76,29
|
Анализируя данные таблицы 1, можно
сделать вывод о том, что количество браков в 2005 году по сравнению с базисным
выросло на 2,16 %, в 2006 - на 11,16 %,в 2007 г. - на 25,27 %,в 2008 г. - на
28,03 %. В 2009 г. произошло снижение числа заключенных браков на 668 или на
8,96 % по отношению к 2008 году. В следующие два года наблюдается рост
количества браков, но в 2013 году вновь произошло снижение на 3,54 % (или на
270 браков) по сравнению с предыдущим годом.
Ниже представлен график динамики
браков за период с 2004 г. по 2013 г.
Рисунок 1 - Динамика
браков за 2004 - 2013 годы
На графике видно, что в
целом наблюдается положительная динамика браков в 2004 - 2008 годах, наиболее
резкий спад происходил в 2008-2009 годах, наибольшее число браков заключено в
2012 г.
Проведем аналитическое
выравнивание динамического ряда.
Для выравнивания ряда по
прямой воспользуемся уравнением:
Для нахождения
параметров a0 и a1 необходимо решить систему нормальных
уравнений:

Параметры а0 и
а1 также можно вычислить по формулам (13),(14).
Приведенные данные
показывают, что для нахождения параметров а0 и а1 необходимо
получить следующие значения:
. Обозначив годы (t)
порядковыми номерами, расчет параметров а0 и а1 произведем
по форме таблицы 2.
Таблица 2 - Расчетные
данные для определения параметров а0 и а1 и выровненных
теоретических значений (
)
|
год
|
y
|
t
|
|
yt
|
|
|
2004
|
5818
|
1
|
1
|
5818
|
6139,813
|
|
2005
|
5944
|
2
|
4
|
11888
|
6302,443
|
|
2006
|
6467
|
3
|
9
|
19401
|
6465,073
|
|
2007
|
7288
|
4
|
16
|
29152
|
6627,703
|
|
2008
|
7449
|
5
|
25
|
37245
|
6790,333
|
|
2009
|
6781
|
6
|
36
|
40686
|
6952,963
|
|
2010
|
6894
|
7
|
49
|
48258
|
7115,593
|
|
2011
|
7071
|
8
|
64
|
56568
|
7278,223
|
|
2012
|
7629
|
9
|
81
|
68661
|
7440,853
|
|
2013
|
7359
|
10
|
100
|
73590
|
7603,483
|
|
итого
|
68700
|
55
|
385
|
391267
|
68716,48
|
Далее, подставив полученные значения
в формулы 12 и13, найдем а0 = 5977,183 и а1=162,63.
В результате получаем следующие
уравнение общей тенденции ряда динамики:

=5977,183+162,63t

=5977,183+162,63*1 =
6139,813;

=5977,183+162,63*2 =
6302,443 и т.д.
Из уравнения видно, что
количество браков увеличивалось в течение всего периода в среднем на 162,63
брака.
Осуществим
прогнозирование браков с помощью метода экстраполяции. Элементарными методами
экстраполяции являются средний абсолютный прирост, средний темп роста,
экстраполяция на основе выравнивания ряда по аналитической формуле:

=5977,183+162,63t
Таким образом:

=5977,183+162,63*11 =
7766,113;

=5977,183+162,63*12 =
7928,743 и т.д.
Определим средний
абсолютный прирост по формуле 3:
Далее для
прогнозирования на основе среднего абсолютного прироста применяется формула:

=
+

=7359+154,1 = 7513.1 и
т.д.
Для прогнозирования на
базе ряда динамики с помощью среднего темпа роста применяется формула:

=
+

=7359+102,722 = 7461.722
и т.д.
В таблице 3 представлены
прогнозы числа браков всеми тремя методами.
Таблица 3 - Годовые
прогнозные значения количества браков в Амурской области
|
Год
|
Прогноз на основе
|
|
Среднего абсолютного прироста
|
Среднего темпа роста
|
Аналитического выравнивания
|
|
|
|
t
|
|
|
2014
|
7513,1
|
7461,722
|
11
|
7766,113
|
|
2015
|
7667,2
|
7564,444
|
12
|
7928,743
|
|
2016
|
7821,3
|
7667,166
|
13
|
8091,373
|
|
2017
|
7975,4
|
7769,888
|
14
|
8254,003
|
|
2018
|
8129,5
|
7872,61
|
15
|
8416,633
|
По данным таблицы 3 можно сделать
вывод, что при сохранении текущей тенденции, в 2018 году среднее число браков
составит 8416,633 брака. Но при этом несомненно стоит отметить, что
экстраполяция в рядах динамики дает возможность получить точное значение
прогноза. Точное совпадение фактических данных и прогностических точечных
оценок, полученных путем экстраполяции кривых, характеризующих тенденцию, имеет
малую вероятность. Поэтому любой статистический прогноз носит приближенный
характер.
статистический брак амурская область
2.2 Анализ структуры браков в Амурской
области
Охарактеризуем структуру браков в
Амурской области. Пользуясь данными Таблицы А.1 Приложения А вычислим
относительный показатель структуры браков городского и сельского населения от
их общей численности по формуле 15 для 2004 года:
Аналогично поведем
расчеты для всех анализируемых лет и полученные результаты занесем в таблицу 4.
Таблица 4 -
Относительный показатель структуры (доля) городского и сельского населения в общем
числе браков Амурской области
|
Год
|
Относительный показатель структуры (доля) браков, %
|
Всего браков
|
|
Городское
|
Сельское
|
|
|
2004
|
72,7
|
27,2
|
5818
|
|
2005
|
72,7
|
27,2
|
5944
|
|
2006
|
73,2
|
26,7
|
6467
|
|
2007
|
72,2
|
27,7
|
7288
|
|
2008
|
76,3
|
23,6
|
7449
|
|
2009
|
79,9
|
20,0
|
6781
|
|
2010
|
81,3
|
18,6
|
6894
|
|
2011
|
82,36
|
17,6
|
7071
|
|
2012
|
82,7
|
17,2
|
7629
|
|
2013
|
84,1
|
15,8
|
7359
|
|
итого
|
78,01
|
21,9
|
68700
|
Для более наглядного анализа данных
таблицы 4 построим диаграмму.
Рисунок 2 - Относительный показатель
структуры (доля) городского и сельского населения в общем числе браков Амурской
области
Из рисунка 2 видно, что доля
городского населения намного превосходит долю сельского населения в общем числе
браков. В группе городского населения наблюдается устойчивая положительная
динамика (доля городского населения постоянно увеличивается), в группе
сельского населения наблюдается абсолютно противоположная ситуация, которая во
многом объясняется миграцией населения «из села в город».
.3 Группировка городов и районов
Амурской области по числу браков за 2013 год
Проведем группировку городов и
районов Амурской области по количеству браков за 2013 год, исходные данные
представлены в Приложении Б. Для проведения группировки рассчитаем оптимальное
количество групп (n) по формуле Стерджесса (16).
= 1 + 3,322lg(29) = 5,85 ≈ 6.
После определения числа групп
следует определить интервалы группировки. Для формирования границ группы с
равными интервалами необходимо рассчитать шаг или величину интервала (h) по
формуле 17:
h=
=
браков.
Результаты проведения
группировки оформлены в таблицах 5-7.
Таблица 5 -
Распределение городов и районов Амурской области по числу браков в 2013 году
|
№ группы
|
Группы городов и районов по числу браков, ед.
|
Число муниципальных образований в абсолютном выражении
|
Число муниципальных образований в относительных единицах, %
|
|
1
|
4-436,83
|
25
|
89,29
|
|
2
|
436,84-869,67
|
2
|
7,14
|
|
3
|
869,68-1302,51
|
0
|
0
|
|
4
|
1302,52-1735,35
|
0
|
0
|
|
5
|
1735,36-2168,19
|
0
|
0
|
|
6
|
2168,20-2601
|
1
|
3,57
|
|
Итого
|
28
|
100
|
Таблица 6 - Распределение городов и
районов Амурской области по числу браков в 2013 году (рабочая таблица)
|
№ группы
|
Группы городов и районов по числу браков, ед.
|
Название муниципального образования
|
Число браков, ед.
|
|
1
|
4-436,83
|
г. Тында
|
381
|
|
|
Благовещенский
|
16
|
|
|
Завитинский
|
148
|
|
|
Ромненский
|
68
|
|
|
Мазановский
|
109
|
|
|
Октябрьский
|
155
|
|
|
Архаринский
|
111
|
|
|
Белогорский
|
61
|
|
|
Свободненский
|
64
|
|
|
Селемжинский
|
69
|
|
|
Тындинский
|
71
|
|
|
Магдагачинский
|
172
|
|
|
Шимановский
|
4
|
|
|
Константиновский
|
87
|
|
|
Зейский
|
72
|
|
|
Ивановский
|
198
|
|
|
Михайловский
|
91
|
|
|
Сковородинский
|
256
|
|
|
г. Райчихинск
|
200
|
|
|
Серышевский
|
188
|
|
|
Бурейский
|
202
|
|
|
г. Шимановск
|
188
|
|
|
пгт Прогресс
|
100
|
|
|
Тамбовский
|
197
|
|
|
г.Зея
|
308
|
|
Итого
|
25
|
3516
|
|
2
|
436,84-869,67
|
г. Белогорск
|
677
|
|
|
г. Свободный
|
584
|
|
Итого
|
2
|
1261
|
|
3
|
869,68-1302,51
|
0
|
0
|
|
Итого
|
0
|
0
|
|
4
|
1302,52-1735,35
|
0
|
0
|
|
Итого
|
0
|
0
|
|
5
|
1735,36-2168,19
|
0
|
0
|
|
Итого
|
0
|
0
|
|
6
|
2168,20-2601
|
Благовещенск
|
2601
|
|
Итого
|
1
|
2601
|
|
Всего
|
28
|
7378
|
Таблица 7 - Группировка городов и районов
Амурской области по числу браков в 2013 году (аналитическая таблица)
|
№ группы
|
Группы городов и районов по числу браков, ед.
|
Число муниципальных образований в абсолютном выражении, ед.
|
Число браков, ед.
|
|
|
|
Всего
|
В среднем на одно муниципальное образование
|
|
1
|
4-436,83
|
25
|
3516
|
140,64
|
|
2
|
436,84-869,67
|
2
|
1261
|
630,5
|
|
3
|
869,68-1302,51
|
0
|
0
|
0
|
|
4
|
0
|
0
|
0
|
|
5
|
1735,36-2168,19
|
0
|
0
|
0
|
|
6
|
2168,20-2601
|
1
|
2601
|
2601
|
|
Итого
|
28
|
7378
|
3372,14
|
На основе полученных данных построим
гистограмму, отраженную на рисунке 3.
Рисунок 3 -Группировка
муниципальных образований по общей численности браков
Анализируя таблицу 7 и
рисунок 3 можно сделать вывод, что самая объемная группа - первая; в нее входят
25 муниципальных образований с суммарным числом браков, равным 3516. В трех
группах вообще не субъектов, и во 2 и 6 группе - 2 и 1 субъект соответственно.
Наибольшее число браков на одно муниципальное образование наблюдается в шестой
группе и равно 2601.
.4 Анализ браков с
помощью расчета средних величин и показателей вариации
В данном пункте
произведем расчет средних величин и показателей вариации на основе данных
группировки муниципальных образований области по числу браков, выполненной в п.
2.3.
Рассчитаем среднюю
арифметическую простую (
) по формуле (18):

=
=263,5
Для начала вычислим середины
интервалов по формуле:
xi=
,
где x1 и х0 -
конец и начало интервала соответственно.
После подсчетов получили
х1=220,415, х2=653,255, х6=2384,6.
Произведем расчет
средней арифметической взвешенной (
) по формуле (19).

=
=328,624.
Далее рассчитаем
структурные средние величины: моду и медиану.
Мода - это значение
признака, наиболее часто встречающееся в изучаемой совокупности. Для дискретных
рядов распределения модой является вариант с наибольшей частотой. Для
интервальных рядов распределения мода рассчитывается по формуле (20).
М0=4+432,83*
=212,091
Мода показывает, что
наиболее частое число браков в муниципальных образованиях - 212,091 брак.
Медина - это величина,
которая делит численность упорядоченного вариационного ряда на две равные
части: одна часть имеет значения варьирующего признака меньшие, чем средний
вариант, а другая - большие.
В интервальном
вариационном ряду порядок нахождения медианы следующий:
располагаем
индивидуальные значения признака по ранжиру;
определяем для данного
ранжированного ряда накопленные частоты;
по данным о накопленных
частотах находим медианный интервал.
Медиана делит
численность ряда пополам, следовательно, она там, где накопленная частота
составляет половину или больше половины всей суммы частот, а предыдущая
(накопленная) частота меньше половины численности совокупности. Медиану находим
по формуле (21):
Ме=4+432,83*
=246,3848
Как видим, половина
городов и районов имеет число браков меньшее 246,3848, а половина - большее.
Далее произведем расчет
показателей вариации, к которым относятся размах вариации (R), среднее линейное
отклонение (
), среднее
квадратическое отклонение, дисперсия, коэффициент вариации.
Размах вариации: R=xmax-xmin=2601-4=2597
Максимальное отклонение
числа браков по муниципальным образованиям составляет 2597.
Для удобства, расчет
остальных параметров произведем при помощи таблицы.
Таблица 8 - Данные для
расчета средних показателей и показателей вариации
|
№ группы
|
Группировка городов и районов Амурской области по числу браков
|
Xi
|
f
|
|Xi-Xcp|
|
|Xi-Xcp|*f
|
(Xi-Xcp)2
|
(Xi-Xcp)2 *f
|
|
1
|
4-436,83
|
220,415
|
25
|
108,2095
|
2705,2366
|
11709,2882
|
292732,204
|
|
2
|
436,84-869,67
|
653,255
|
2
|
324,6305
|
649,26107
|
105384,985
|
210769,9694
|
|
3
|
869,68-1302,51
|
1086,095
|
0
|
757,4705
|
0
|
573761,612
|
0
|
|
4
|
1302,52-1735,35
|
1518,935
|
0
|
1190,311
|
0
|
1416839,17
|
0
|
|
5
|
1735,36-2168,19
|
1951,775
|
0
|
1623,151
|
0
|
2634617,66
|
0
|
|
6
|
2168,20-2601
|
2384,6
|
1
|
2055,976
|
2055,9755
|
4227035,4
|
4227035,403
|
|
итого
|
7815,075
|
28
|
6059,747
|
5410,4732
|
8969348,12
|
4730537,577
|
Рассчитаем среднее линейное
отклонение по формуле (22):

=
=193,2312
Среднее отклонение числа
браков по городам и районам Амурской области от среднего значения составляет
193,2312 браков.
Далее найдем дисперсию
по формуле (23):

=
= 168947,7706
Если извлечь из
дисперсии корень второй степени получится среднее квадратическое отклонение по
формуле (24):

=
=411,0325
Из значения дисперсии
видно, что квадрат отклонения числа браков в каждом муниципальном образовании
от среднего числа браков по всем городам и районам составляет 168947,7706
браков.
Определим однородность
изучаемой совокупности при помощи коэффициента вариации. Рассчитаем его по формуле
(25):
=
=125,0767 %
Делая вывод по
полученным данным, можно сказать, что вариация числа браков велика, найденное
среднее значение плохо представляет всю совокупность, не является её надежной
характеристикой.
.5 Корреляционно -
регрессионный анализ взаимосвязи между количеством браков и средним возрастом
брачующихся
Изучим влияние среднего
возраста вступающих в брак на численность заключенных браков. Для этого
используем данные таблиц 4 и 9.
Таблица 9 - Средний
возраст вступающих в брак
|
Год
|
2004
|
2005
|
2006
|
2007
|
2008
|
2009
|
2010
|
2011
|
2012
|
2013
|
|
Возраст, лет
|
26,5
|
26,1
|
25,3
|
24
|
24,8
|
22,7
|
21,9
|
22
|
22,2
|
22,6
|
На рисунке 4 изображена динамика
среднего возраста вступающих в брак в Амурской области.
Рисунок 4 - Динамика среднего
возраста вступающих в брак
Из рисунка видно, что за последние
10 лет средний возраст брачующихся в Амурской области снизился.
Для того, чтобы выяснить
существование линейной зависимости между факторным признаком (средним возрастом
брачующихся) и результативным (числом браков) построим линейное уравнение
регрессии по формуле (26):
x=a0+a1*x
Для определения формы корреляционной
зависимости необходимо вычислить параметры уравнения прямой путем решения
системы нормальных уравнений вида (27).
Для того, чтобы
заполнить систему нормальных уравнений фактическими данными, необходимо
определить 
,
,
.
Расчеты этих показателей
представим в форме таблицы.
Таблица 10 - Расчет сумм
для вычисления параметров уравнения прямой по несгруппированным данным
|
Год
|
X
|
Y
|
X2
|
Y2
|
XY
|
Yx
|
(Y-Yx)
|
(Y-Yx)2
|
|
2004
|
26,5
|
5818
|
702,25
|
33849124
|
154177
|
6193,577
|
-375,577
|
141057,7
|
|
2005
|
26,1
|
5944
|
681,21
|
35331136
|
155138,4
|
6294,16
|
-350,16
|
122612,1
|
|
2006
|
25,3
|
6467
|
640,09
|
41822089
|
163615,1
|
6495,327
|
-28,3273
|
802,4359
|
|
2007
|
24
|
7288
|
576
|
53114944
|
174912
|
6822,224
|
465,776
|
216947,3
|
|
2008
|
24,8
|
7449
|
615,04
|
55487601
|
184735,2
|
6621,057
|
827,9432
|
685489,9
|
|
2009
|
22,7
|
6781
|
515,29
|
45981961
|
153928,7
|
7149,121
|
-368,121
|
135512,8
|
|
2010
|
21,9
|
6894
|
479,61
|
47527236
|
150978,6
|
7350,288
|
-456,288
|
208198,6
|
|
2011
|
22
|
7071
|
484
|
49999041
|
155562
|
7325,142
|
-254,142
|
64588,16
|
|
2012
|
22,2
|
7629
|
492,84
|
58201641
|
169363,8
|
7274,85
|
354,1498
|
125422,1
|
|
2013
|
22,6
|
7359
|
510,76
|
54154881
|
166313,4
|
7174,267
|
184,7334
|
34126,43
|
|
Итого
|
238,1
|
68700
|
5697,09
|
475469654
|
1628724
|
68700,01
|
-0,0121
|
1734758
|
Подставив в систему (27) данные из
таблицы и, проведя простейшие преобразования, получим:
a0= 
=12857,24;
а1 = 
= -251,459.
Уравнение регрессии
имеет вид: ух=12857,24 - 251,459х
Анализируя полученное
уравнение регрессии, можно сделать вывод, что с увеличением среднего возраста
брачующихся на 1 год число браков снижается на 251,459. Параметр а0
= 12857,24 показывает влияние на результативный признак неучтенных факторов.
Используя уравнение
корреляционной связи, можно вычислить теоретические значения ух для
любой промежуточной точки. Расчеты представлены в таблице 10.
Учитывая, что суммы
теоретических (уx) и эмпирических (у) значений числа браков
практически равны друг другу, а сумма разностей между ними примерно равна нулю,
параметры регрессионного уравнения определены верно.
На рисунке 5 изображена
зависимость между теоретическими значениями ух и значениями
факторного признака.
Рисунок 5 - Зависимость
количества браков от среднего возраста брачующихся
Измерить тесноту
корреляционной связи между факторным и результативным признаками позволяет
линейный коэффициент корреляции (r) (28):
= 
= -0,71
По абсолютной величине
коэффициент корреляции близок к единице, следовательно между средним возрастом
вступающих в брак и количеством браков сильная зависимость.
Далее рассчитаем
теоретическое корреляционное отношение (
) (32).
Для его расчета
необходимо предварительно вычислить дисперсии по формулам (29)-(31).
Общая дисперсия (29):

= 
- (6870)2 =
350065,4
Остаточная дисперсия
(30):

= 
= 173475,8
Факторная дисперсия
(31):

= 350065,4-173475,8 =
176589,6
Теоретическое
корреляционное отношение (32):

= 
= 0,71
Полученный результат
указывает на достаточную тесноту связи между результативным и факторным
признаками.
Рассчитаем индекс
корреляционной связи (R) по формуле (33):
= 
= 0,71
Далее вычислим
коэффициент детерминации по формуле:

= 
*100 % = (-0,71)2*100
% = 50,41 %
Анализируя полученный
результат, можно сказать, что число браков на 50,41 % зависит от среднего
возраста брачующихся и на 49,59 % от остальных факторов.
Найдем значение частного
коэффициента эластичности (34):
Э = -251,459*
= -0,8715 или -87,15 %
Видим, что при изменении
среднего возраста вступающих в брак на 1 % число браков изменится на 87,15 %.
Адекватность
регрессионной модели yx=a0+a1*x при малой
выборке оценим критерием Фишера (35):
э =

*
= 8,1436
Сравнивая полученное
эмпирическое значение критерия при уровне значимости 0,05 и числе степеней
свободы 1 и 8, получим:
э=
8,1436 > Fт= 5,32
Следовательно, уравнение
регрессии признается адекватным (значимым).
Значимость коэффициентов
линейного уравнения регрессии оценим с помощью критерия Стьюдента по формулам
(36), (37), (38):

= 
= 87,31

= 
* 1,6712 = -2,8538

= 
= 1,6712
При уровне значимости
0,05 и степени свободы k1 = 8 табличное значение t-критерия
Стьюдента tт = 2,31. Так как 
> 
> 
, то параметр 
признается значимым, а
параметр 
- не адекватным.
Аналогично оценим
коэффициент корреляции с помощью t-критерия (39):

= -0,71*
= -2,8517
Так как tэ =
-2,8517 < tт = 1,78, то коэффициент корреляции признается
незначимым.
На заключительном этапе
анализа вычислим ошибку аппроксимации (40):

= 0,1*0,530842*100 % =
5,3 %
Ошибка аппроксимации не
превышает 12 - 15 %, что свидетельствует о правильном подборе факторного
признака, о точном проведении всех расчетов.
Делая вывод по
проделанной работе, можно сказать, что данная модель может быть использована
для анализа зависимости числа браков от среднего возраста брачующихся.
ЗАКЛЮЧЕНИЕ
В данной курсовой работе
были рассмотрены основные положения статистики браков. Были изучены базовые
теоретические сведения, произведен расчет основных показателей брачности.
Цели, намеченные в
начале выполнения курсовой работы, были достигнуты и были выполнены
поставленные задачи.
Подведем итоги.
Анализируя динамику
браков в Амурской области за 2004 - 2013 годы, можно убедиться в том, что число
браков за 2004 - 2013 годы увеличилось, но за период с 2008 по 2009 год
произошло снижение числа браков. Главным образом такая динамика сложилась под
влиянием брачной обстановки среди сельского населения.
Анализ структуры браков
в Амурской области показал, что доля городского населения в общем числе браков
намного превосходит долю сельского населения.
Группировка городов и
районов Амурской области указывает на то, что в 89,29 % муниципальных
образований число браков не превышает 436.
Анализируя выполненную
работу в целом, можно увидеть, что ситуация с заключением браков в Амурской
области нуждается в исправлении. Снижение числа браков, уменьшение доли браков
среди сельского населения, уменьшение среднего возраста брачующихся - это лишь
небольшой перечень проблем, имеющих место в брачной системе Амурской области.
БИБЛИОГРАФИЧЕСКИЙ СПИСОК
1 Амурский статистический ежегодник: Сборник/Амурстат., 2013. -
503с.
Конина, М.М. Социально - экономическая статистика / М.М. Конина. -
М.: Финансы и статистика, 2010. - 368 с.
Синельников, А.Б. Специфика брачности и разводимости в России
/А.Б. Синельников. - Ростов-на-Дону: Феникс, 2012. - 202 с.
Теслюк, И.Е.Социально - экономическая статистика / И.Е. Теслюк,
С.С. Подхватилина.- Н.Н.: БГДУ, 2002. - 239 с.
Тольц, М.С. Некоторые обобщающие характеристики брачности,
прекращения и длительности брака / М.С. Тольц. - М.:ИНФРА, 2002. - 247 с.
Иванова, Е.И. Браки и разводы /Е.И. Иванова. - М.: ИНФРА,2004. -
198 с.
Архангельский, В.Н. Система показателей для анализа
демографической ситуации /В.Н. Архангельский. - М.: КНОРУС, 2003. - 302 с.
ПРИЛОЖЕНИЕ А
Таблица А.1 - Динамика браков и
разводов в Амурской области
|
Годы
|
|
Число браков
|
|
|
Число разводов
|
|
|
Все население
|
Городское население
|
Сельское население
|
Все население
|
Городское население
|
Сельское население
|
|
1970
|
6543
|
4361
|
2182
|
842
|
93
|
|
1971
|
6970
|
4718
|
2252
|
1630
|
1326
|
304
|
|
1972
|
7563
|
4936
|
2627
|
2129
|
1709
|
420
|
|
1973
|
8478
|
5460
|
3018
|
2265
|
1887
|
378
|
|
1974
|
8875
|
5652
|
3223
|
2048
|
1619
|
429
|
|
1975
|
9252
|
5917
|
3335
|
2101
|
1730
|
371
|
|
1976
|
9877
|
6323
|
3554
|
2061
|
1667
|
394
|
|
1977
|
9383
|
6179
|
3204
|
2316
|
1924
|
392
|
|
1978
|
9796
|
6296
|
3500
|
2354
|
1953
|
401
|
|
1979
|
10321
|
6622
|
3699
|
2712
|
2192
|
520
|
|
1980
|
10644
|
6735
|
3909
|
2974
|
2348
|
626
|
|
1981
|
11108
|
7078
|
4030
|
3669
|
2917
|
752
|
|
1982
|
11609
|
7160
|
4449
|
4212
|
3296
|
916
|
|
1983
|
11212
|
7136
|
4076
|
4164
|
3130
|
1034
|
|
1984
|
11262
|
7014
|
4248
|
4307
|
3216
|
1091
|
|
1985
|
10668
|
6489
|
4179
|
4039
|
2894
|
1145
|
|
1986
|
10519
|
6571
|
3948
|
4024
|
2900
|
1124
|
|
1987
|
10400
|
6600
|
3800
|
3961
|
2930
|
1031
|
|
1988
|
10363
|
6818
|
3545
|
4089
|
2992
|
1097
|
|
1989
|
9493
|
6010
|
3483
|
4234
|
3001
|
1233
|
|
1990
|
9760
|
6183
|
3577
|
4092
|
3120
|
972
|
|
1991
|
10315
|
7088
|
3227
|
4478
|
3285
|
1193
|
|
1992
|
10402
|
7186
|
3216
|
4608
|
3464
|
1144
|
|
1993
|
10561
|
7492
|
3069
|
4444
|
3296
|
1148
|
|
1994
|
10771
|
7532
|
3239
|
4541
|
3345
|
1196
|
|
1995
|
10045
|
7060
|
2985
|
4148
|
3112
|
1036
|
|
1996
|
9839
|
6905
|
2934
|
4603
|
3391
|
1212
|
|
1997
|
7642
|
5289
|
2353
|
5024
|
3717
|
1307
|
|
1998
|
7824
|
5366
|
2458
|
5272
|
3881
|
1391
|
|
1999
|
7686
|
5399
|
2287
|
5342
|
3964
|
1378
|
|
2000
|
7434
|
5295
|
'2139
|
5114
|
3900
|
1214
|
|
2001
|
5877
|
4168
|
1709
|
4284
|
3244
|
1040
|
|
2002
|
6198
|
4404
|
1794
|
4099
|
3103
|
996
|
|
2003
|
5510
|
3984
|
1526
|
3617
|
2766
|
851
|
|
2004
|
5818
|
4231
|
1587
|
3085
|
2382
|
703
|
|
2005
|
5944
|
4323
|
1621
|
3806
|
2884
|
922
|
|
2006
|
6467
|
4735
|
1731
|
4941
|
3782
|
1159
|
|
2007
|
7288
|
5269
|
2019
|
6109
|
4621
|
1488
|
|
2008
|
7449
|
5684
|
1765
|
5591
|
4526
|
1065
|
|
2009
|
6781
|
5421
|
1360
|
4447
|
'3714
|
733
|
|
2010
|
6894
|
5609
|
1285
|
4167
|
3525
|
642
|
|
2011
|
7071
|
5824
|
1247
|
4533
|
3810
|
723
|
|
2012
|
7629
|
6311
|
1318
|
5079
|
4204
|
875
|
|
2013
|
7359
|
6190
|
1169
|
5062
|
4282
|
780
|
ПРИЛОЖЕНИЕ Б
Таблица Б.1 - Число браков в городах
и районах Амурской области в 2013 году
|
№ группы
|
Название муниципального образования
|
Число браков, ед.
|
|
1
|
г. Тында
|
381
|
|
2
|
Благовещенский
|
16
|
|
3
|
Завитинский
|
148
|
|
4
|
Ромненский
|
68
|
|
5
|
Мазановский
|
109
|
|
6
|
Октябрьский
|
155
|
|
7
|
Архаринский
|
111
|
|
8
|
Селемжинский
|
69
|
|
9
|
Белогорский
|
61
|
|
10
|
Свободненский
|
64
|
|
11
|
Тындинский
|
71
|
|
12
|
Магдагачинский
|
172
|
|
13
|
Шимановский
|
4
|
|
14
|
Константиновский
|
87
|
|
15
|
72
|
|
16
|
Ивановский
|
198
|
|
17
|
Михайловский
|
91
|
|
18
|
Сковородинский
|
256
|
|
19
|
г. Райчихинск
|
200
|
|
20
|
Серышевский
|
188
|
|
21
|
Бурейский
|
202
|
|
22
|
г. Шимановск
|
188
|
|
23
|
пгт Прогресс
|
100
|
|
24
|
Тамбовский
|
197
|
|
25
|
г.Зея
|
308
|
|
26
|
г. Белогорск
|
677
|
|
27
|
г. Свободный
|
584
|
|
28
|
Благовещенск
|
2601
|