Анализ лекарственных препаратов и лекарственных форм, содержащих п-аминобензосульфамид и его производные (сульфаниламидные препараты)
Оглавление
Введение
.
Классификация сульфаниламидных препаратов. Обзор методов качественного
определения
.1
Реакции, обусловленные ароматической аминогруппой
.2
Реакции обусловленные сульфогруппой
.3
Реакции, обусловленные амидной группой
.4
Реакции, обусловленные ароматическим ядром
.5
Физико-химические методы идентификации
.
Количественное определение
.1
Нитритометрия
.2
Нейтрализацуия
.3
Неводное титрование
.4
Ацидиметрия
.5
Куприметрия
.6
Броматометрия
.7
Йодхлорметрия
.8
Гравиметрический метод
.9
Фотоколориметрический метод
.10
Спектрофотометрический метод
.
Испытания на чистоту
.
Фармацевтический анализ некоторых наиболее распространенных лекарственных форм
с сульфаниламидными препаратами
Заключение
Список
используемой литературы
Введение
Сульфаниламидные препараты - это группа
химически синтезированных соединений, используемых для лечения инфекционных
болезней, главным образом бактериального происхождения. Сульфаниламиды стали
первыми лекарственными средствами, позволившими проводить успешную профилактику
и лечение разнообразных бактериальных инфекций. Благодаря этим препаратам,
вошедшим в медицинскую практику с 1930-х годов, удалось значительно снизить
смертность от воспаления легких, заражения крови и многих других бактериальных
инфекций. Их повсеместное применение во время Второй мировой войны спасло
множество жизней. Сульфаниламидные препараты были открыты немецкой корпорацией
"И.Г. Фарбениндустри" в ходе исследований азокрасителей -
синтетических красителей, в структуру которых входит сульфаниламид. В 1932
"И.Г. Фарбениндустри" запатентовала несколько азокрасителей, в том
числе пронтозил. Фармаколог Г. Домагк, руководивший исследовательским отделом
корпорации, обнаружил, что пронтозилом можно вылечить мышей, инфицированных
бактериями; после этого он немедленно приступил к изучению как пронтозила, так
и других азокрасителей в качестве средств лечения инфекционных болезней
человека, и в итоге показал, что они действительно эффективны. В 1935 ученые
Пастеровского института (Франция) установили, что антибактериальным действием
обладает именно сульфаниламидная часть молекулы пронтозила, а не структура,
придающая ему окраску. За открытие пронтозила (известного также как красный
стрептоцид) и его лекарственных свойств Домагк в 1939 был награжден Нобелевской
премией по физиологии и медицине. Начиная с 1930-х годов были синтезированы
тысячи различных сульфаниламидов, но медицинское применение нашли лишь 20 из
них. Наиболее широко известны сульфаниламид (стрептоцид) и полученные на его
основе сульфатиазол, сульфапиридазин, сульфадиазин, этазол, сульфадоксин,
сульфацетамид (сульфацил) [8]. В основе лечебного действия сульфаниламидов
лежит их способность подавлять рост бактерий (бактериостатический эффект) [10].
На настоящий момент времени данная группа
лекарственных средств широко применяется в медицине, поэтому контроль качества
приобретает особое значение.
Целью данной курсовой работы является: анализ
методик качественного и количественного определения сульфаниламидных препаратов
и выявление наиболее простых, точных и эффективных.
Для осуществления цели данной курсовой работы мы
решали следующие задачи:
) Провели анализ литературы по данной теме;
) Выявили наиболее распространенные и доступные
методики качественного и количественного определения;
) Составили схемы фармацевтического анализа на
наиболее распространенные лекарственные формы.
1. Классификация сульфаниламидных
препаратов. Обзор методов качественного определения
|
Наименование
препарата
|
Структурная
формула
|
Физико-химические
свойства
|
|
1
|
Сульфаниламид
Sulfanilamide (Стрептоцид) n-сульфамидо-бензоламинометилен-сульфат натри
|
|
Белый
кристаллический порошок, без запаха. Тпл = 164-167 оС. Мало растворим в воде,
трудно в спирте, легко растворим в кипящей воде, раство-рим в растворах едких
щелочей.
|
|
2
|
Стрептоцид
растворимый Streptocidum solubile n-аминобензол-сульфамид
|
|
Белый
кристаллический порошок, без за-паха. Хорошо растворим в воде. Практически
нерастворим в органических растворителях
|
|
3
|
Сульфацил-натрий
Sulfacylum-natrium (Альбуцид-натрий)n-аминобензол-сульфонилацетамид-натрий
|
|
Белый
кристаллический порошок, без за-паха. Хорошо растворим в воде. Практически
нерастворим в спирте.
|
|
4
|
Уросульфан
Urosulfan n-аминобензол-сульфонилмочевина
|
|
Белый
кристаллический порошок, без за-паха. Мало растворим в воде, трудно в спирте,
легко в разведённых кислотах и растворах едких щелочей.
|
|
5
|
Сульгин
Sulginum n-аминобензол-сульфонилгуанидин
|
|
Белый
мелкокристаллический порошок. Очень мало растворим в воде и в растворах едких
щелочей, мало в спирте.
|
|
6
|
Норсульфазол
Norsulfazolum (Сульфатиазол) 2-[n-аминобензол-сульфамидо]-тиазол
|
|
Белый
или белый со слегка желтоватым оттенком кристаллический порошок, без запаха.
Очень мало растворим в воде, мало в спирте, растворим в разведённых
минеральных кислотах и растворах едких и углекислых щелочей.
|
|
7
|
Фталазол
Phthalazolum 2-[n-фталиламино-бензолсульфамидо]-тиазол
|
|
Белый
или белый со слегка желтоватым оттенком кристаллический порошок, без запаха.
Практически нерастворим в воде, очень мало растворим в спирте, растворим в
водном растворе карбоната натрия.
|
|
8
|
Этазол
Aethazolum (Cульфаэтидол) 2-[n-аминобензол-сульфамидо]-5-этил-1,3,4-тиадиазол
|
|
Белый
или белый со слегка желтоватым оттенком кристаллический порошок. Практически
нерастворим в воде, трудно растворим в спирте, легко в растворах щелочей,
мало - в разведённых кислотах.
|
|
9
|
Сульфадимезин
Sulfadimizinum
|
|
|
Сульфаниламидные
препараты пролонгированного действия
|
|
10
|
Сульфапиридазин
Sulfapyridazinum 6-[n-аминобензол-сульфамидо]-3-метоксипиридазин
|
|
Белый
или белый со слегка желтоватым оттенком кристаллический порошок, без запаха,
горьковатый на вкус. Практически нерастворим в воде, мало растворим в спирте,
легко - в разведённых кислотах и щелочах.
|
|
11
|
Сульфамонометоксин
Sulfamono-methoxinum 4-[n-аминобензол-сульфамидо]-6-метокси-пиримидин
|
|
Белый
или белый со слегка кремоватым оттенком кристаллический порошок. Очень мало
растворим в воде, мало растворим в спирте, легко - в разведённой
хлористо-водородной кислоте.
|
|
12
|
Сулфадиметоксин
Sulfadimethoxinum 4-[n-аминобензол-сульфамидо]-2,6-метоксипиримидин
|
|
Белый
или белый со слегка кремоватым оттенком кристаллический порошок, без запаха.
Практически нерастворим в воде, мало растворим в спирте, легко - в
разбавленной хлористоводородной кислоте и растворах едких щелочей.
|
|
13
|
Сульфален
Sulfalenum 2-[n-аминобензол-сульфамидо]-3-метоксипиразин
|
|
Белый
или белый со слегка желтоватым оттенком кристаллический порошок. Практически
нерастворим в воде, легко - в разведённых кислотах и щелочах.
|
|
14
|
Саладозин
Saladozine (Салазопиридазин)
S-(n-[n-(3-метокси-пиридазин-6)-сульфамидо]-фенилазо)-салициловая кислота
|
|
Мелкокристаллический
порошок оранжевого цвета. Практически нерастворим в воде, мало растворим в
спирте, растворим в растворе едкого натра.
|
|
15
|
Ко-тримоксазол
Co-Trimoxozole (Бисептол) Комбинированный препарат, содержащий два
действующих вещества:сульфаметоксазол и триметоприм
|
|
Белый
кристаллический порошок, без за-паха или почти без запаха. Практически
нерастворим в воде, трудно в спирте, мало в - в хлороформе и эфире, хорошо в
ацетоне, растворим в растворах едких щелочей.
|
Сульфаниламиды мало растворимы или практически
нерастворимы в воде и в таких органических растворителях, как этанол, эфир,
хлороформ. Сульфаниламид умеренно растворим в этаноле, а салазодин легко
растворим в диметилформамиде. В ацетоне некоторые из них растворимы (сульфаниламид).
Большинство сульфаниламидных препаратов обладают
амфотерными свойствами. Эти свойства обусловлены наличием ароматической
аминогруппы обладающей основными свойствами и амидной группы с подвижным атомом
водорода, обладающей кислотными свойствами. Кислотные свойства выражены
сильнее, чем основные. Наличие этих двух групп даёт возможность образования
растворимых в воде солей:
В разведенных кислотах при комнатной температуре
нерастворимы фталилсульфатиазол и салазодин, в молекулах которых атом водорода
первичной аминогруппы замещен ароматическим радикалом.
Кислотные свойства у сульфаниламидов выражены
сильнее, чем основные. Они обусловлены наличием в молекуле группы -SO2-NН-,
содержащей подвижный атом водорода. Вследствие этого сульфамиды образуют с
щелочами соли, поэтому они легко растворяются в растворах щелочей[3,4].
1.1 Реакции, обусловленные
ароматической аминогруппой
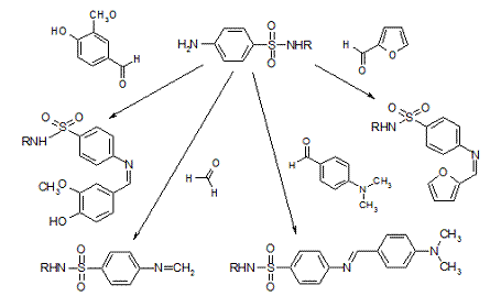
Реакции конденсации
Сульфаниламиды образуют в щелочной среде
продукты конденсации с 2,4-динитрохлорбензолом (желтого цвета) с образованием
хиноидных цвиттер-ионов имеет вид:
Лигниновая проба
Своеобразной разновидностью реакции образования
шиффовых оснований является лигниновая проба, используемая для экспресс-анализа.
Она выполняется на древесине или газетной бумаге, при нанесении на которую
сульфаниламида (или другого первичного ароматического амина) и капли
разведенной хлороводородной кислоты появляется оранжево-желтое окрашивание.
Сущность происходящего химического процесса в том, что лигнин содержит
ароматические альдегиды: n-оксибензальдегид, сиреневый альдегид, ванилин (в
зависимости от вида лигнина). Альдегиды взаимодействуют с первичными
ароматическими аминами, образуя Шиффовы основания кислой среде окрашенные
продукты конденсации с альдегидами типа шиффовых оснований.
В качестве реактивов используют
n-диметиламино-бензальдегид (желтое или оранжевое окрашивание), ванилин
(желтое), формальдегид (желто-оранжевое или розовое), уксуснокислый раствор
фурфурола (красное или малиново-красное).
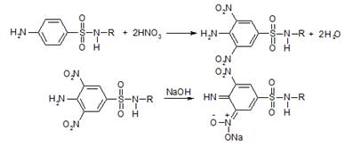
Реакции диазотирования и азосочетания с фенолами
При действии на сульфамид нитритом натрия в
кислой среде образуется соль диазония, которая при сочетании с различными
фенолами в щелочной среде образует азокраситель. Сочетание с первичными аминами
наиболее легко протекает в слабокислой среде. В сильно кислой среде (pH=1-3)
образуется соль амина, которая препятствует азосочетанию:
В щелочной среде (pH=10) преобладает свободный
амин, соль диазония инактивируется вследствие образования диазонат-иона:
Оптимальное условие азосочетания: pH = 9. На
первой стадии идёт диазотирование в среде соляной кислоты, а затем реакция
азосочетания с фенолами в слабощелочной среде:
Сульфаниламиды с замещенной аминогруппой дают
эту реакцию после предварительного гидролиза, который проводят нагреванием с разведенной
хлороводородной кислотой.
В качестве азосоставляющего может выступать
амин, который в оптимальной области pH = 5-7 образует с солью диазония
азокраситель основного характера. Наиболее широкое применение в качестве
реагента нашел дихлорид N-(1-нафтил)-этилендиамин: реагент Братонна-Маршал-ла.
Замещение может идти как в положение 2, так и в положение 4:
.2 Реакции, обусловленные
сульфогруппой
Все сульфаниламидные препараты имеют в своем
составе серу сульфамидной группы. Для открытия серы, необходимо окислить
органическую часть молекулы концентрированной азотной кислотой, при этом сера
переходит в сульфогруппу, которую легко можно обнаружить с раствором хлорида
бария:
1.3 Реакции, обусловленные амидной
группой
Водород амидной группы обуславливает возможность
взаимодействия сульфаниламидов с солями тяжелых металлов (CuSO4, CoCl2 и др.).
Получаемые соединения представляют собой окрашенные вещества, растворимые и
нерастворимые в воде. При этом цвет осадка или раствора для каждого
сульфаниламидного препарата различный, что дает возможность отличать один
препарат от другого. Последнее характеризует эту реакцию как частную,
определяющую индивидуальность препарата.
Реакция выполняется с натриевыми солями
сульфаниламидов. Поэтому сульфаниламиды, представляющие кислую форму,
нейтрализуют щелочью, затем добавляют раствор соли тяжелого металла. Следует
избегать избытка щелочи, так как в этом случае может образовываться гидроокись
металла, которая будет маскировать основную реакцию.
ФС рекомендует использовать реакцию с раствором
хлорида кобальта при испытании на подлинность сульфадиметоксина. Образуется
ярко-розовый с лиловым оттенком аморфный осадок. Сульфаниламид в этих условиях
образует голубоватый с синеватым оттенком осадок, а сульфален приобретает
голубое окрашивание.
На характер протекания реакции оказывает влияние
заместители в сульфамидной группе. В случае гетероцикла, возможно образование
внутримолекулярной связи и комплексные соединения не растворяются в воде.
Реакция с сульфатом меди (II), как и с хлоридом
кобальта (II), может быть использована для отличия сульфаниламидов друга от
друга.
Например, норсульфазол с раствором сульфата меди
(II) образует грязно-фиолетовый осадок, переходящий в тёмно-лиловый, а
стрептоцид - зеленоватый с голубым оттенком осадок.
С солями серебра вещества данной группы образуют
соединения в виде белого осадка. Реакция протекает количественно.
Реакция с нитропруссидом натрия
Растворы сульфамидов в растворах щелочей при
добавлении 1%-го раствора нитропруссида натрия и последующем подкислении
минеральной кислотой образует окрашенные в красный или красно-коричневый цвет
раствор или осадок.
Гидролиз сульфаниламидов
Гидролитическое расщепление - одна из
характерных реакций, подтверждающая природу сульфаниламидов. При этом
гидролитическое расщепление легче происходит в кислой среде; щелочной гидролиз
затруднен вследствие образования аниона, препятствующего атаке гидроксид-иона.
При гидролизе образуются продукты расщепления по сульфамидной группе. При
гидролизе норсульфазола образуется 2-аминотиазол с температурой плавления t пл.
= 87 - 90°C.

Электрофильное замещение
Имея активированное ароматическое ядро
сульфаниламиды могут: галогенироваться, нитроваться, сульфироваться.
Для фармацевтического анализа имеет значение
нитропроизводные сульфаниламидов, поскольку окрашены в желтый цвет, и
бромпроизводные, которые не растворимы в воде и выпадают в осадок.
Аминогруппа сульфаниламидного препарата -
электронодонорный ориентант Ι рода,
активирующий бензольное кольцо в реакции SE.
Бромирование сульфаниламидов раствором брома
приводит к замещению водородов в орто-положение к аминогруппе на бром и
образованию осадков белого цвета:
При нитровании образуется динитропроизводное,
окрашенное в жёлтый цвет. При последующем добавлении раствора щёлочи
интенсивность окраски увеличивается, что происходит вследствие образования
аци-соли:
Пиролиз сульфаниламидов
При нагревании сухого порошка сульфаниламидных
препаратов образуются различные кристаллические возгоны и плавы, окрашенные в
большинстве случаев в темно-бурый цвет. Исключение составляют: стрептоцид,
сульгин и уросульфан, плавы которых окрашены в фиолетово-красный цвет.
Если в молекуле препарата имеется сера в
гетероциклическом ядре (фталазол, этазол..) при пиролитическом расщеплении
выделяется газооб-разный продукт, в данном случае сульфидная сера H2S, который
можно определить по запаху или по почернению фильтровальной бумаги, смоченной
ацетатом свинца Pb(CH3COO)2.
При пиролизе сульфаниламидов, не содержащих серу
в ядре (сульфадимезин, сульфацил.), образуется диоксид серы SO2.
1.5 Физико-химические методы
идентификации
Характерные особенности имеют УФ-спектры
растворов сульфаниламидов. Они широко применяются для идентификации и
количественного спектрофотометрического определения сульфаниламидов с
использованием таких растворителей, как вода, 0,01 М и 0,002 М растворы
гидроксида натрия, 0,1 М раствор хлороводородной кислоты и др. Например, в
водных растворах определяют при 258 нм сульфаниламид и сульфацетамид натрия, а
сульфадиметоксин спектрофотометрируют при длине волны 270 нм (растворитель
0,002 М раствор гидроксида натрия).
Для сульфалена и сульфадиметоксина ФС
рекомендован способ измерения УФ-спектров поглощения щелочных растворов по
сравнению с кислыми растворами той же концентрации. Такой дифференциальный
УФ-спектр у сульфалена имеет один максимум поглощения при 325 нм, а у
сульфадиметоксина - один минимум поглощения при 260 нм и два максимума при 253
и 268 нм. Одновременно измеряют дифференциальные УФ-спектры кислых растворов
сульфалена и сульфадиметоксина относительно щелочных. Они имеют по одному
максимуму поглощения: при 289 нм - у сульфалена, при 288 нм - у
сульфадиметоксина.
Характерные спектры, обусловленные наличием в
молекуле азогрупппы, имеют в видимой области спектра (400-600 нм)
азопроизводные сульфаниламидов. Их используют для идентификации и
количественной оценки. Так, салазодин идентифицируют по наличию максимума
поглощения в области 457 нм (растворитель 0,1 М раствор гидроксида натрия).
Известны многочисленные методики
фотоколориметрического определения сульфаниламидов, в т.ч. в крови и моче,
основанные на цветных реакциях образования азокрасителей с использованием таких
азосоставляющих, как хинозол, резорцин, продуктов диазотирования с роданинами,
а также индофенольной реакции (с хлораминами, гипохлоритом натрия) и др. Для
испытания на подлинность сульфаниламида и фталилсульфатиазола применяют
ИК-спектроскопию в области 4000-400 см-1. Идентифицируют по наличию
характеристических полос поглощения ИК-спектров, которые должны совпадать с
прилагаемыми к ФС рисунками ИК-спектров.[6,9,12]
2. Количественное определение
.1 Нитритометрия
Этот метод рекомендуется НД для количественного
определения сульфаниламидов, являющихся первичными ароматическими аминами.
Определение основано на способности первичных аминов образовывать в кислой
среде диазосоединения:
ФС устанавливает нитритометрию для
количественного определения: сульфаниламида, сульфацетамида натрия,
сульфодиметоксина, сульфалена. Титрант - нитрит натрия (0,1 М раствор). Титруют
в присутствии KBr при 18-20 ºС
или при 0-10 ºС. KBr катализирует
процесс диазотирования, а охлаждение реакционной смеси позволяет избежать
потерь азотистой кислоты и предотвратить разложение соли диазония. Точку
эквивалентности можно установить: с помощью внутренних индикаторов (тропеолин
00, нейтральный красный, смесь тропеолина 00 с метиленовым синим); внешних
индикаторов (йодкрахмальная бумага) или потенциометрически.
нитритометрия сульфаниламидный
препарат броматометрия
2.2 Нейтрализация
Используется для количественного определения
сульфаниламинов и их солей. Метод основан на способности сульфаниламидов
образовывать соли со щелочами (Jnd - фенолфталеин или тимоловый синий):
2.3 Неводное титрование
Метод неводного титрования в среде
диметилформамида. ФС рекомендует для определения фталилсульфатиазола и
салазодина, имеющих очень слабо выраженые кислотные свойства. Титрант - раствор
щелочи в смеси метанола и бензола (индикатор тимоловый синий).
Фталилсульфатиазол в неводной среде титруется 0,1 М раствором гидроксида натрия
как двухосновная кислота:
2.4 Ацидиметрия
Натриевые соли сульфаниламидов можно титровать
кислотой в спирто-ацетоновой среде. Индикатор метиловый-оранжевый. Например,
альбуцид титруется по схеме:
2.5 Куприметрия
В основе метода лежит реакция взаимодействия
сульфаниламидов с ионами меди (II). Титруют в фосфатной или боратной буферной
системе с визуальной фиксацией точки эквивалентности.
2.6 Броматометрия
Метод основан на реакции галогенирования
сульфаниламидов. Титрант - раствор бромата калия в кислой среде в присутствии
бромида калия. Конечную точку устанавливают при прямом титровании по
обесцвечивании брома или изменения окраски индикатора метилового оранжевого, а
при обратном титровании иодометрически (Jnd - крахмал):
.7 Йодхлорметрия
Метод основан на реакции галогегнирования.
Иодирование осуществляется с помощью титрованного раствора иодмонохлорида.
Избыток последнего устанавливают иодометрически:
.8 Гравиметрический метод.
Для количественного определения используют
реакцию минерали-зации сульфамидов при осторожном нагревании с не содержащим
примеси сульфатов 30%-ным раствором перекиси водорода в присутствии следов
хлорида железа (III). В результате получается светлая прозрачная жидкость,
содержащая эквивалентное сульфаниламиду количество сульфат-ионов. Последние
осаждаются раствором хлорида бария, осадок фильтруется, промывается, сушится до
постоянного веса, взвешивается и пересчитывается на препарат.
.9 Фотоколориметрический метод.
Метод основан на способности сульфаниламидов
давать окрашенные продукты реакции с альдегидами, солями тяжелых металлов; для
данного метода могут быть использованы и реакции образования азокрасителей.
Сравнивая интенсивность окраски со стандартным раствором, можно судить о
количественном содержании вещества в препарате.
.10 Спектрофотометрический метод.
Для фотометрического титрования сульфаниламидов
использованы сульфат меди (II) и вольфрамат натрия. [3,4,9,12,13]
. Испытания на чистоту
В сульфаниламидах определяют отсутствие или
предельное содержание допустимых количеств органических примесей, сульфатов,
хлоридов, сульфатной золы и тяжелых металлов, контролируют pH среды (кислотность
или щелочность), прозрачность, цветность растворов. Гидраты (сульфацетамид
натрия), стрептоцид, фталилсульфатиазол и салазодин подвергают проверке на
потерю в массе при высушивании. Некоторые сульфаниламиды контролируют на
содержание исходных продуктов синтеза. Так, по ФС во фталилсульфатиазоле
определяют содержание примесей фталевой кислоты и норсульфазола. Определение
этих примесей осуществляется титриметрическими методами. Фталевую кислоту
титруют 0,1 М раствором гидроксида натрия в водном извлечении. Примесь
норсульфазола (не более 0,5%) определяют нитритометрическими методами.
Для испытания на посторонние органические
примеси в сульфалене и сульфадиметоксине используют ТСХ на пластинках Силуфол
или Армсорб УФ-254. После хроматографирования в условиях, приведенных в ФС,
должно просматриваться только одно пятно, соответствующее стандартному образцу
свидетеля. Этот же метод применяют для установления степени чистоты салазодина
и определения в нем допустимых количеств примесей салициловой кислоты (2%) и сульфапиридазина
(0,5%). Содержание примесей определяют по величине и интенсивности пятен
соответствующих свидетелей, нанесенных на ту же пластинку. Аналогичным методом
устанавливают наличие посторонних примесей в стрептоциде и сульфацетамиде
натрия. Устанавливают также микробиологическую чистоту сульфаниламидов[1,4].
.Фармацевтический нализ некоторых наиболее
распространенных лекарственных форм с сульфаниламидными препаратами.
.Альбуцид(глазные капли,20% раствор
сульфацил-натрия).
Состав в 10 мл препарата:
сульфацил-натрия - 2,0;
натрия тиосульфат - 0,015;
раствор кислоты соляной 1М - 0,035;
вода для инъекций - до 10 мл.
Выпускают в флаконах по 5 и 10 мл.
Органолептический контроль: бесцветный,
прозрачный раствор без включений.
Качественное определение.
Сульфацил натрия:
)к 2-3 капли раствора прибавляют 5-6 капель
разведенной соляной кислоты,2-3 капли 0,1 моль/л раствора натрия нитрита и 0,1-
0,3 мл полученной смеси вливает в 1-2 мл бетта-нафтола появляется вишнево
красное окрашивание.
)к 2-4 каплям раствора прибавляем 2-3 капли
сульфата меди. Образуется голубовато-зеленый осадок. который не исчезает при
стоянии.
Натрия тиосульфат:
)к 1 мл раствора прибавляем 3-4 капли 0,02
моль/л раствор йода. Раствор йода обесцвечивается.
Na2S2O3 + I2 =2NaI +Na2S4O6
Количественное определение:
мл 0,1 моль/л раствора натрия нитрита
соответствует 0, 02542 г сульфацил-натрия.
Где М - молярная масса титруемого вещества
г/моль;- фактор эквивалентности;
С - концентрация титранта моль/л.
Где
Х - количество искомого вещества г ;- объем
титранта мл ;
К- поравочный коэффициент;
Т - титр г/мл;
Р - средняя масса(объем) лекарственной формы;
а - масса навески.(ожидаемый)= 7,87 мл.
Натрия тиолусьфат.
мл раствора титруют 0,02 моль/л раствором йода,
индикатор - крахмал.
мл 0,02 моль/л раствора йода соответствует
0,004964 г натрия тиосульфата которого в 10 мл раствора должно быть не менее
0,0135 и не более 0,0165.
2Na2S2O3 + I2 =2NaI +Na2S4O6(ожидаемый)=1,51
мл.
Определяют примеси:
Хлориды
Раствор 0.2 г препарата в 10 мл воды должен
выдерживать испытание на хлориды (не более 0,01% в препарате).
Сульфаты
Раствор 0,5 г препарата в 10 мл воды должен
выдерживать испытание на сульфаты (не более 0,02% в препарате).
Тяжелые металлы
г препарата растворяют в 17,5 мл воды, добавляют
2,5 мл разведенной уксусной кислоты, взбалтывают в течение 5 ми- нут и выпавший
осадок отфильтровывают. 10 мл фильтрата должны выдерживать испытание иа тяжелые
металлы (не более 0,001 % в препарате).
Применение:используется для лечения
воспалительных заболеваний передних отделов глаза инфекционной этиологии,
возбудителями которых являются чувствительные к сульфацетамиду бактерии.
Заболевания: гнойные конъюнктивиты, блефатиры, кератиты, язвы роговицы. Альбуцид
также применяется для профилактики гнойных воспалительных явлений у
новорожденных детей.
Хранение:Флакон используется в течение 28 дней
после вскрытия. Хранить в темном прохладном месте.
. Мазь стрептоцидовая 10%.
состав на 100 г:
стрептоцида - 10,0;
вазелина - до 100,0.
Органолептический контроль: белая или
желтоватого цвета мазь, однородная, не имеет специфического запаха.
Качественное определение: к 0,3 мази прибавляем
2 мл воды, 5-6 капель разведенной соляной кислоты, нагреваем на водяной бане до
растворения основы. После охлаждения отделяют солянокислое извлечение и
проводят следующие реакции:
а) к 0,5 мл извлечения прибавляют 3-5 капель
разведенной соляной кислоты,2-3 капли 0,1 моль/л раствора натрия нитрита и 0,1-
0,3 мл полученной смеси вливает в 1-2 мл бетта-нафтола появляется вишнево
красное окрашивание.
б) к 3-5 мл извлечения добавляем 2-3 капели
сульфата меди. Появляется зеленый с голубым оттенком осадок.
Количественное определение: к 0,5 г мази
прибавляем 1-2 мл хлороформа, 1 мл разведенной соляной кислоты, 5 мл воды и
перемешиваем до растворения основы и препарата. Добавляем 0,2 г калия бромида,
1 каплю раствора метиленового синего и 2 капли раствора тропеолина 00, титруем
0,1 моль/л раствором натрия нитрита при температуре 18-20℃
до перехода красно-фиолетового окрашивания в голубое.
мл 0,1 моль/л раствора натрия нитрата
соответствует 0,01722 г стрептоцида.(ожидаемый)=2,9 мл.
Определяют примеси:
Хлориды.
.5 е препарата взбалтывают с 20 мл воды в
течение I-2 минут и фильтруют. 4 мл фильтрата, разведенные водой до 10 мл.
должны выдерживать испытание на хлориды (не более 0.02% в препарате).
Сульфаты
мл того же фильтрата должны выдерживать
испытание иа сульфаты (не более 0,04% в препарате).
Органические примеси
.3 г препарата растворяют в 5 мл концентрированной
серной кислоты. Окраска полученного раствора не должна быть интенсивнее эталона
№ 5а.
Применение:Гнойные раны, инфицированные ожоги,
рожа.
Хранение:В прохладном, защищенном от света
месте.
.Раствор норсульфазола натрия 10%.
Состав на 100 мл:
Норсульфазола натрия - 10,0 ;
Воды для инъекций - до 100 мл.
Органолептический контроль: прозрачный
бесцветный раствор без запаха.
Качественное определение:
Норсульфазол:
а) к 2-3 капли раствора прибавляют 5-6 капель
разведенной соляной кислоты,2-3 капли 0,1 моль/л раствора натрия нитрита и 0,1-
0,3 мл полученной смеси вливает в 1-2 мл бетта-нафтола появляется вишнево
красное окрашивание.
б) к 2-3 каплям раствора прибавляем 1-2 капли
сульфата меди образуется грязно-фиолетовый осадок.
Натрий:
а) часть раствора на графитовой палочке вносим в
бесцветное пламя, пламя окрашивается в желтый цвет.
Количественное определение: к 0,5 мл раствора
добавляем 5 мл воды и 1 мл разведенной соляной кислоты, 0,2 г калия бромида,1
каплю тропеолина 00 и титруем 0,1 моль л раствором натрия нитрата при
температуре 18-20℃ до перехода
красной окраски в желтую.

мл 0,1 моль/л раствора натрия нитрита
соответствует 0,02773 безводного норсульфазол-натрия.(ожидаемый)=1,8 мл.
Определяют примеси:
Хлориды
г препарата нагревают с 20 мл воды до кипения,
сразу же охлаждают и фильтруют. 4 мл этого фильтрата, разведенные водой до 10
мл, должны выдерживать испытание на хлориды (не более 0,01% в препарате).
Сульфаты
мл того же фильтрата должны выдерживать
испытание на сульфаты (не более 0,02% в препарате).
Органические примеси
.3 г препарата растворяют в 5 мл
концентрированной серной кислоты. Окраска полученного раствора не должна быть
интенсивнее эталона № 5а.
Применение:Пневмония (воспаление легких),
церебральный менингит (гнойное воспаление оболочек мозга), гонорея,
стафилококковый и стрептококковый сепсис (заражение крови микробами
/стрептококками/ из очага гнойного воспаления), дизентерия, инфекционные
заболевания глаз.
Хранение: В сухом, темном месте.
.Раствор сульфопиридазина-натрия 20%.
Состав на 100 мл:
Сульфапиридазин-натрия - 20,0;
Воды для инъекций - до 100 мл.
Органолептический контроль: бесцветная
прозрачная жидкость без запаха.
Качественное определение.
Сульфапиридазин:
а) к 1-2 каплям раствора прибавляем 0,5-1 мл
воды, 5-6 капель разведеной соляной кислоты, 2-3 капли 0,1 моль/л раствора
натрия нитрита и 0,1 - 0,3 мл полученной смеси вливают в 1-2 мл щелочного
раствора бетта-нафтола. Появляется темно-красное окрашивание.
б) к 5-6 каплям раствора прибавляем 0,5 мл воды,
3-5 капель раствора сульфата меди. Образуется буровато-зеленый осадок,
переходящий в серый.
Натрий: часть раствора на графитовой палочке
вносим в бесцветное пламя. Пламя окрашивается в желтый цвет.
Количественное определение: 5 мл раствора
помещаем в мерную колбу на 100 мл и доводим объем до метки. К 5 мл полученного
раствора прибавляем 3 мл разведеной соляной кислоты, 0,25 г калия бромида, 1
каплю тропеолина 00 и при 18-20 ℃
титруем 0,1 моль/л раствором натрия нитрата до перехода красной окраски в
желтую.
1 0,1 моль/л раствора натрия нитрата
соответствует 0,03744 г сульфапиридазин-натрия.(ожидаемый)=1,34 мл.
Применение:Трахома <#"822548.files/image053.gif">
с полученным раствором проводим
следующие реакции:
а) к 1-2 каплям раствора прибавляем,
5-6 капель разведенной соляной кислоты, 2-3 капли 0,1 моль/л раствора натрия
нитрита и 0,1 - 0,3 мл полученной смеси вливают в 1-2 мл реагента
Братонна-Маршалла(N-(1-нафтил)-этилендиамин). Появляется темно-красное
окрашивание.
б) к 5-6 каплям раствора прибавляем
0,5 мл воды, 3-5 капель раствора сульфата меди. Образуется грязно-зеленовато-серый
осадок.
в)К 0,05 г препарата прибавляют 0,05
г резорцина, 1-2 капли концент-рированной серной кислоты и сплавляют на пламени
горелки в течение 1-2 минут. После охлаждения полученную массу растворяют в 2-3
мл раствора едкого натра и выливают в воду; наблюдается ярко-зеленая
флюоресценция.
Количественное определение: около
0,5 г (точная навеска) порошка растертых таблеток помещают в коническую колбу
емкостью 150 мл растворяют в 10-20 мл диметилформамиде нейтрализованного
непосредственно перед титрова-нием по тимоловому синему и титруют 0,1 Н
раствором едкого натра в смеси метилового спирта и бензола до появления синего
окрашивания (индикатор - тимоловый синий).
мл 0,1 Н раствора едкого натра
соответствует 0,02017 г C17H13N3O5S2, которого должно быть 0,475-0,525 г,
считая на средний вес одной таблетки.
Определяют примеси:
Свободная фталевая кислота
г препарата взбалтывают с 50 мл
свежепрокипяченной и охлажденной воды, нагревают на водяной бане при
температуре 70° в течение 5 минут. Быстро охлаждают и фильтруют. К 25 мл
фильтрата прибавляют 3 капли раствора фенолфталеина. Розовое окрашивание должно
появиться от прибавления не более 0,35 мл 0,05 н раствора едкого натра.
Хлориды
г препарата взбалтывают с 25 мл воды
в течение 1-2 минут и фильтруют. 5 мл фильтрата, разведенные водой до 10 мл,
должны выдерживать испытание на хлориды (не более 0,01% в препарате).
Сульфаты
мл того же фильтрата должны
выдерживать испытание на сульфаты (не более 0,025% в препарате).
Норсульфазол
с препарата взбалтывают с 10 мл
разведенной соляной кислоты в течение 15 минут к после отстаивания при
комнатной температуре фильтруют. К фильтрату прибавляют 40 мл воды, 0,5 г
бромида калия, 2 капли раствора тропеолнна 00 и I каплю раствора метиленового
синего и титруют 0,1 мол раствором нитрита натрия по 0,05 мл через одну минуту
до зеленого окрашивания.
На титрование должно расходоваться
не более 0,2 мл 0,1 мол раствора нитрита натрия.
мл 0,1 мол раствора нитрита натрия
соответствует 0,02553 г C17H13N3O5S2, которого должно быть не более 0,5%.
Применение:для лечения дизентерии,
гастроэнтеритов, энтероколитов, колитов и других инфекционно-воспалительных
заболеваний желудочно-кишечного тракта. Он применяется также для предупреждения
гнойных осложнений при операциях на кишечнике.
Хранение:Препарат хранят в сухом,
защищенном от света месте. Срок годности 10 лет.[2,7,8,10,11,12,13]
Заключение
Наиболее точным методом
количественного определения является нитритометрия. Она является фармакопейной
методикой определения лекарственных веществ, содержащих первичную аминогруппу.
В недавние годы был запатентован
усовершенствованный метод определения сульфаниламидов. Отличительные признаки
заявляемого способа от прототипа: использование в качестве титранта раствора
сульфата меди (II), титрование в присутствии восстановителя гидроксиламина
гидрохлорида, применение анализа в нейтральной среде, применение в качестве
индикатора мурексида. Установлено, что сульфаниламидные лекарственные препараты
легко вступают в реакцию с ионами меди, образуя бесцветные труднорастворимые
(Кs 4,9.10-13 6,1.10-10) продукты. Ввиду того, что ионы меди в растворах
неустойчивы (окисляются кислородом воздуха) для разработки способа
количественного определения сульфаниламидных лекарственных препаратов
использован в качестве титранта устойчивый фармакопейный реактив сульфат меди
(II). Титрование проводят в присутствии восстановителя гидроксиламин
гидрохлорид. Разработанный способ объемного титрования сульфаниламидных
соединений позволяет разрешить актуальную задачу анализа лекарственных
препаратов упрощение способа количественного определения их, сокращение времени,
повышение чувствительности, уменьшение затрат исследуемого вещества, устранение
использования токсичных и дорогостоящих реактивов.
Список используемой литературы.
) Государственная Фармакопея СССР X
изд., 1968 г., 1080 с.
) Кулешова М.И. «Анализ
лекарственных форм, изготовляемых в аптеках».- М.: Медицина, 1989 г., 287 с.
) Мелентьева Г.А. «Фармацевтическая
химия. В 2-х т.». - М.: Медицина, 1976. - Т. 1-2.
) Беликов В.Г. Фармацевтическая
химия. - М.: Высшая школа, 2005. - 632 с.
) Арзамасцев А.П. «Фармакопейный
анализ».- М.: Медицина, 1971, - 239 с.
) «Фармацевтическая химия./
Учебно-методическое пособие, под. ред. Гусевой Л.И./.- Воронеж, 2006 г., 78 с.
) Харкевич Д.А. «Фармакология».- М.:
Геотар Медиа, 2006 г., 750 с.
) Государственный реестр
лекарственных средств. - М., 2004.- 1202 с.
) Руководство к лабораторным
занятиям по фармацевтической химии. / Под ред. А.П. Арзамасцева. - 2-е изд.,
доп. и перераб. - М.: Медицина, 1995. -320 с.
) Машковский М.Д. «Лекарственные
средства».-М.: ООО «Новая волна», 2002 г. Т.1-2.
) Приказ МЗ СР РФ №706н от
23.08.2010 г. «Об утверждении правил хранения лекарственных средств».
) Солодунова Г.Н. //
учебно-методическое пособие: Волгоград,2012. - 57 с.
) Государственная фармакопея
Российской федерации. ХII издание. «Научный центр экспертизы средств
медицинского применения», М. 2008 г