Изучение демографических процессов в России и за рубежом. Сравнительный анализ

  • Вид работы:
    Реферат
  • Предмет:
    Эктеория
  • Язык:
    Русский
    ,
    Формат файла:
    MS Word
    570,79 Кб
  • Опубликовано:
    2015-02-28
Вы можете узнать стоимость помощи в написании студенческой работы.
Помощь в написании работы, которую точно примут!

Изучение демографических процессов в России и за рубежом. Сравнительный анализ

Содержание

Введение

. Демографическая ситуация в России

2. Демографическая ситуация в мире

Заключение

Список литературы

ВВЕДЕНИЕ

Занимая первое место в мире по площади территории, Россия стремительно теряет свои позиции на демографическом поле. Если в 1991 г. по численности населения РФ была на 6 месте, то в 2012 г. - 10 место, к 2050 г. Россия займет 14 место. Сокращение численности населения при такой огромной территории создает угрозы в первую очередь территориальной целостности государства. Ситуация очевидна: страна переживает демографический кризис. Но открытым остается вопрос: какими факторами и причинами он обусловлен и затрагивает ли он все население или носит избирательный характер?

Феномен «седеющего населения» сформировался во второй половине ХХ в. В древности и в средние века старость была чрезвычайно редким явлением: вплоть до XVII в. только 1% людей достигал 65-летнего возраста. К началу XIX в. этот показатель повысился до 4%. В дальнейшем на повышение продолжительности жизни в промышленно развитых странах оказал влияние комплекс факторов: значительные достижения в области здравоохранения особенно путем борьбы с инфекционными и другими заболеваниями, улучшение питания, совершенствование медицинского обслуживания и повышение других слагаемых качества жизни населения. В 1950 г. пожилые люди в возрасте 60 лет и старше составляли 8% мирового населения, в 2000 г. - уже 10%. Сегодня, по оценкам демографов, около 70% населения Западной Европы проживут более 65 лет, а 30-40% - более 80.

В этой связи в ближайшие три-четыре десятилетия численный и возрастной состав населения в промышленно-развитых странах претерпит значительные изменения. Из-за снижения рождаемости и увеличения продолжительности жизни прогнозируется резкое увеличение доли пожилых людей и уменьшение численности населения. При сохранении существующих уровней рождаемости и смертности в европейских странах количество детей в возрасте до 15 лет сократится к 2050 г. на 40% (до 87 млн), а численность пожилых удвоится (до 169 млн человек). Если Европа намерена сохранить сегодняшнее соотношение возрастных групп населения, то ей придется принять к 2050 г. 169 млн иммигрантов, преимущественно из стран Африки и Среднего Востока. Прогнозы демографов говорят о том, что в ближайшие 50 лет возрастная структура населения в европейских странах резко изменится в пользу средних и старших возрастов.

Актуальность исследования обусловлена рядом обстоятельств. Во-первых, углублением демографических проблем, которые негативно могут сказаться на безопасности современного российского общества. Во-вторых, обострением миграционных проблем, причем не связанных только с внешними, но и с внутренними факторами. Проблемы миграции сложны.

Цель данного исследования посвящена изучению демографических процессов в России и за рубежом. Задачи данной работы дать сравнительный анализ демографической ситуация в России и мире.

1. ДЕМОГРАФИЧЕСКАЯ СИТУАЦИЯ В РОССИИ

Демографическая проблема в России обсуждается давно. С середины 90-ых в стране наблюдалась убыль населения. В 2010 г. был остановлен процесс сокращения численности населения. По данным Росстата в 2012 году численность населения России впервые увеличилась и на первое полугодие 2013 г. составила 143,3 млн. человек. (Рис.1)[1].

Рис.1. Численность населения России 1990-2013 гг., в млн. ч.

Увеличение численности населения при сохраняющейся естественной убыли было обеспечено миграционным сальдо. В 2013 году по данным Росстата Россия впервые преодолела естественную убыль населения. Однако динамика изменения естественного прироста демонстрирует превышение рождаемости над смертностью только в нескольких федеральных округах России. Остается открытым вопрос - за счет кого произошло это «демографическое чудо»? Имеет ли оно этнические и конфессиональные корни или обусловлено материальными факторами (экономическим благополучием регионов)?

До 2009 г. единственным федеральным округом с положительным сальдо рождаемости оставался Северо-Кавказский. В 2012 г. число таких федеральных округов увеличилось до четырех: Северо-Кавказский, Уральский, Сибирский и Дальневосточный. Прирост в Дальневосточном федеральном округе обусловлен увеличением прироста в республике Саха (этнический состав: якуты - 49%, русские - 30%). В Сибирском федеральном округе прирост на 44% обеспечен приростом населения в республиках Бурятия, Тыва, Хакасия, Алтай, на 56 % за счет областей с долей русского населения 83-88%. В Уральском федеральном округе положительное сальдо достигнуто преимущественно за счет Ханты-Мансийского и Ямало-Ненецкого автономных округов (доля русского населения - 63,5% и 59,7% соответственно). (Рис.2). В I полугодии 2013 года динамика сохранилась.

Рис.2. Динамика естественного прироста населения по Федеральным округам, в чел. (по данным Росстата)

В ближайшие два года ожидается естественный прирост населения в Приволжском и Южном федеральном округе. На данный момент в Приволжском федеральном округе положительное сальдо - в пяти национальных республиках (Татарстан, Чувашия, Марий Эл, Башкортостан и Удмуртия), а также в Оренбургской области (75% русских) и Пермском крае (83 % русских). В Южном федеральном округе положительное сальдо в Калмыкии и Астраханской области (61% русских). Прирост по округу будет достигнут за счет превышения рождаемости над смертностью в Краснодарском крае (приблизительно в 2013 г.) и республике Адыгея.

Самый демографически неблагополучный Центральный федеральный округ выйдет на положительную динамику не ранее 2017 г. По данным за первое полугодие 2013 г. во всех областях Центрального региона сохранилась естественная убыль населения, в то время как Москва лидирует по показателям положительного сальдо естественного движения населения. Современное состояние естественного прироста населения характеризуется устойчивым ростом рождаемости и более медленным снижением смертности. Это скорее всего объясняется переносом повышенной рождаемости поколением раньше (годы перестройки) в СССР.

Таблица 1 Прогноз естественного прироста населения по федеральным округам

Округ

Центральный

Северо-Западный

Южный

Северо-Кавказский

Приволжский

Уральский

Сибирский

Дальневосточный

Год достижения естественного прироста населения

прогноз - 2017

прогноз - 2015

прогноз - 2014

всегда прирост

прогноз - 2014

2009

2009

2012

Субъекты, которые обеспечат положительное сальдо федеральному округу

Москва, Московская область

Республика Коми, Санкт-Петербург, Калининградская и Архангельская области

Калмыкия и Астраханская область

6 республик

Татарстан, Марий Эл, Башкортостан и Удмуртия

Ханты-Мансийский и Ямало-Ненецкий автономные округа

Республика Алтай, Бурятия, Тыва, Хакасия, Забайкальский и Красноярский край

Саха (Якутия)



Коэффициент увеличения рождаемости, показывающий во сколько раз выросла рождаемость по округам, свидетельствует об ускоренном росте в Северо-Кавказском ( в 1.7 раза), Уральском и Центральном федеральных округах. (Рис.3).

Рис.3. Отношение уровня рождаемости и смертности 2012 г. к уровню рождаемости и смертности 2000 г.

В отношении темпов роста смертности наблюдается их замедление во всех округах, кроме Северо-Кавказского.

По абсолютным показателям рождаемость в Северо-Кавказском федеральном округе значительно уступает рождаемости в других округах. Однако по относительным показателям (рождаемость и смертность на 1000 человек) Северо-Кавказский регион демонстрирует лучшие показатели - высокую рождаемость и низкую смертность. В среднем показатели рождаемости в данном округе выше среднероссийских показателей рождаемости на 4,1 ед., по смертности ниже на 5 ед. Наиболее неблагополучный в сфере демографии регион - Центральный округ - по показателям рождаемости в 1,5 раза и по показателям смертности в 1,7 раз хуже показателей Северо-Кавказского федерального округа. (Рис.4).

Рис.4. Показатели рождаемости и смертности на 1000 человек по федеральным округам

Отношение рождаемости к смертности в данном округе превысило 2, в то время как в Уральском, Сибирском и Дальневосточном лишь в последние годы удалось достигнуть только 1. И хотя каждый федеральный округ в динамике демонстрирует увеличение разрыва между рождаемостью и смертностью, наибольшие темпы - в Северо-Кавказском регионе. (Рис.5).

Рис.5. Отношение рождаемости к смертности по округам

В последние годы не менялась десятка лидеров по естественному приросту населения. Так, прирост в республике Дагестан опережает данный показатель во всех федеральных округах с положительной динамикой (кроме Северо-Кавказского), а прирост в Тюменской области и Чеченской республике в 2012 г. опережает положительное сальдо в Сибирском и Дальневосточном федеральных округах.

Наибольшая убыль населения отмечена в ряде областей Центрального федерального округа. Абсолютным лидером по данному показателю является Московская область, в то время как Москва входит в десятку лидеров по естественному приросту. Санкт-Петербург и Ленинградская область имеют ту же динамику.

Таблица 2 Лидеры по приросту населения в 2012 г.

Субъект РФ

Доля русского населения

Московская область

87%

Нижегородская область

94%

Тульская область

Воронежская область

91%

Ленинградская область

87%

Ростовская область

89%

Тверская область

87%

Владимирская область

89%

Саратовская область

85%

Тамбовская область

95%


Таблица 3 Лидеры по убыли населения в 2012 г.

Субъект РФ

Доля русского населения

Республика Дагестан

4%

Тюменская область

69%

Чеченская Республика

2%

г. Москва

86%

Республика Татарстан

40%

Республика Саха (Якутия)

37%

Республика Ингушетия

1%

Кабардино-Балкарская Республика

22%

Республика Башкортостан

35%

Республика Бурятия

65%


Традиционно убыль населения наблюдается в регионах с преимущественно русским населением. Это важнейший эффект. Среди демографических лидеров - национальные республики с низкой долей русского населения, а также Тюменская область и г. Москва, в которых прирост достигнут за счет иммиграции и высокого уровня жизни граждан.

Исходя из гипотезы, что естественная убыль напрямую зависит от доли русского населения, рассмотрим динамику естественного движения населения в 20 регионах с долей русского населения выше 90% и 9 регионах с долей от 1 до 31 %.

Регионы с максимальным процентом русского народа в этническом составе демонстрируют уменьшающуюся естественную убыль населения, однако перспектива достижения превышения рождаемости над смертностью в ближайшие годы недостижима. (Рис.6).

Рис.6. Сальдо естественного прироста в 20 субъектах РФ с долей русского населения свыше 90%, в чел.

В то же время в 9 субъектах с долей русского населения от 0,7% до 31% рождаемость значительно превышает смертность, при этом лидерами выступают исламские республики Северного Кавказа. (Рис.7).

В 20 регионах в 1,5-1,8 раза хуже показатели смертности от новообразований, болезней органов пищеварения, болезней органов дыхания, инфекционных и паразитарных болезней, выше заболеваемость онкологией. В предстоящие годы в этих регионах не следует ожидать резкого увеличения рождаемости, так как число детей на 1000 человек (будущие потенциальные родители) ниже среднего по стране [2].

Рис.7. Сальдо естественного прироста в 9 субъектах РФ, в чел.

В 2020, 2025 и 2030 г. так называемый «бэби-бум» затронет исключительно национальные республики. В Чеченской республике, Ингушетии, Тыве, Дагестане, Республике Алтай, Якутия и Ненецком автономном округе демографический взрыв будет наблюдаться в каждые годы.

Таблица 4 Регионы с ожидаемой наибольшей рождаемостью

2020

2025

2030

Чеченская Республика

Чеченская Республика

Чеченская Республика

Республика Ингушетия

Республика Ингушетия

Республика Ингушетия

Республика Тыва

Республика Тыва

Республика Тыва

Республика Дагестан

Республика Дагестан

Республика Дагестан

Республика Алтай

Республика Саха (Якутия)

Республика Алтай

Республика Саха (Якутия)

Республика Алтай

Республика Саха (Якутия)

Ненецкий автономный округ

Ненецкий автономный округ

Карачаево-Черкесская республика

Ненецкий автономный округ

Республика Бурятия

Кабардино-Балкарская республика

Республика Северная Осетия -Алания

Чукотский автономный округ

Республика Калмыкия

Республика Калмыкия

Карачаево-Черкесская республика


Худшие показатели рождаемости в эти годы продемонстрируют регионы с русским населением. В 2030 г. еще один православный народ - мордва также будет далек от бэби-бума. В десятку регионов с самыми низкими показателями рождаемости в 2020-2030 г. входят преимущественно области Центрального федерального округа.

Таблица 5 Регионы с ожидаемой наименьшей рождаемостью

2020

2025

2030

г. Москва

г. Москва

г. Санкт-Петербург

г. Санкт-Петербург

г. Санкт-Петербург

г. Москва

Московская область

Ленинградская область

Ленинградская область

Тульская область

Московская область

Тульская область

Мурманская область

Тульская область

Смоленская область

Ленинградская область

Смоленская область

Воронежская область

Ярославская область

Ярославская область

Московская область

Ивановская область

Мурманская область

Рязанская область

Камчатский край

Владимирская область

Республика Мордовия

Магаданская область

Ивановская область

Тамбовская область


Таким образом, демографический кризис опосредован этнической избирательностью. Убыль русского населения продолжается и уже привела к его сокращению более чем на 8 млн. человек с 1989 г. С 2002 г. увеличилась численность этносов, исповедующих ислам. В 2 раза выросла численность узбеков, в 1,6 раз -таджиков, что объясняется миграционными потоками. Увеличилась численность российского исламского населения, при этом большие темпы роста продемонстрировали народы, проживающие на территории Северо-Кавказского федерального округа. Из православных народов увеличилась численность армян и осетин. Произошло сокращение таких православных этносов, как русские, удмурты, мордва, чуваши, марийцы. Численность населения Удмуртии с 2009 г. стала расти за счет естественного прироста, в республиках Марий Эл и Чувашия - с 2012 г., в Мордовии пока сохраняется убыль, численность русского населения продолжает сокращаться за счет естественной убыли населения.

Таблица 6 Этнический состав России по данным переписи, в млн. человек


1989 г.

2002 г.

2010 г.

Все население

147,02

145,16

142,8565

Русские

119,87

115,87

111,0169

Татары

5,52

5,56

5,310649

Украинцы

4,36

2,94

1,927988

Башкиры

1,35

1,67

1,584554

1,77

1,64

1,435872

Чеченцы

0,9

1,36

1,43136

Армяне

0,53

1,13

1,182388


На основе данных переписи 2010 г. о доле русского населения в численности населения субъектов можно говорить о сокращении русского населения в 2012 г. на 88 000 человек, в то время как численность населения других национальностей возросла на 108 000 человек.

Стремительное сокращение доли русского населения в национальных республиках создает угрозы национальной безопасности страны: утрачивается связующая роль русского народа, появляются регионы, не отождествляющие себя с Россией, происходит разрыв связей между народами на пространственном поле российской цивилизации. Демографическая ситуация в регионе становится индикатором сепаратистских настроений. Самыми неустойчивыми в этом отношении являются такие регионы, как Дагестан, Ингушетия, Чечня, с долей титульных народов более 90%, а также республика Тыва. В этих республиках наблюдается и самая низкая доля людей, говорящих по-русски. Потенциальными очагами напряжения могут стать те регионы, в которых доля титульных народов превышает 50% и за счет естественного прироста эта доля увеличивается [3].

Таблица 7 Регионы с наибольшей потенциальной угрозой националистической розни с русским народом и сепаратизма

Субъект федерации

Доля титульного народа

Доля русских

Доля владеющих русским языком

Республика Дагестан

96%

4%

91%

Республика Ингушетия

93%

1%

88%

Чеченская Республика

91%

2%

92%

Республика Тыва

81%

16%

85%

Республика Кабардино-Балкарская

70%

22%

96%

Чувашская Республика

65%

26%

95%

Республика Северная Осетия

64%

21%

97%

Республика Калмыкия

56%

30%

98%

Республика Татарстан

53%

40%

97%

Республика Карачаево-Черкесская

52%

31%

96%


Введем для дальнейшего анализа понятие коэффициента «демографической устойчивости», позволяющего провести кластерный анализ.

ду,

гдеN(t) - численность народа за соответствующий год (выбраны годы переписи), Р/С - отношение общего коэффициента рождаемости к общему коэффициенту смертности. Введенный коэффициент индицирует рост населения за счет текущего естественного прироста и демографического результата продолжительного предыдущего прироста.

Пороговое значение в случае гармоничного сочетания положительных признаков демографической устойчивости (предыдущий рост и текущий прирост) составляет 2. Если коэффициент меньше двух, то следует вывод, что что-то не в порядке. Либо раньше, либо в текущий момент. Именно отсюда вытекает возможность полуколичественной оценки «устойчивости». В расчете учтены те народы, которые не имеют государственности за пределами России (для исключения погрешности, связанной с миграционными потоками). (Рис.8).

Рис.8. Коэффициенты демографической устойчивости народов России

На этом рисунке видно, что существует и конфессиональный признак, «ответственный» за демографический успех. Коэффициент демографической устойчивости имеет ярко выраженный конфессиональный характер: для народов, исповедующих ислам он равен 3,85; для буддистов и шаманистов - 2,86, для православных народов - 1,83. Единственным православным народом с коэффициентом выше 2 являются осетины. Народы исламского ареала, буддийского и иных верований демографически возрождаются более активно. Православие по какой-то причине пока сочетается с худшими показателями демографического развития. Вероятно, мировоззренческая миссия православия еще не стала эффективным фактором, влияющим на репродуктивную традицию. Худшие показатели у мордвы и русских, которые еще не вышли на уровень самовоспроизводства населения.

Таким образом, проблема демографического кризиса в России опосредована не только этничностью, но и ментальным фактором, в частности, ролью и значением мировоззренческой функции вероисповедания. Проблема возрождения православия наиболее остро отражается на русском народе. Поэтому, действительно, можно говорить об этно- и конфессионально избирательном демографическом кризисе.

Демографическая проблема лишь в малой степени определена материальным фактором, значительное влияние оказывает идейно-духовное состояние общества.

Рис.12. Распределение по возрасту вступления в брак для мужчин и женщин (доля от общей численности вступивших в брак), 1980-2010 гг.

Проявлениями упадочного идейно-духовного состояния русского и других православных народов являются следующие[6] :

-       поздняя брачность: снижение числа вступивших в брак в возрасте 18-24 года и рост в диапазоне 25-34 года (рис.12);

-       разводы. Число разводов на 1000 человек в регионах с наибольшей убылью населения составляет 3,9-4,8, в республиках Северного Кавказа 0,9 -3;

-       сексуализация молодежи;

-       внебрачная репродуктивность;

-       нуклеаризация семьи;

-       проблема одиноких людей;

-       аборты. С 2000 г. наметилась тенденция снижения количества абортов, что во многом связано с практикой широкого применения средств контрацепции. Но в России по-прежнему самый высокий в Европе показатель абортов. В абсолютном выражении число абортов в 2012 г. составило 1,06 млн. (для сравнения в 2000 г. - 2,13 млн.ч.);

-       алкоголизация, наркомания, токсикомания;

-       суицид;

-       гендерный разрыв и специфика семейных отношений;

-       конфессиональная основа демографической вариативности.

Правительство отказывается замечать тот факт, что низкая рождаемость и высокая смертность в нашей стране сопряжены в первую очередь с духовным состоянием общества. Так, в Указе Президента РФ от 9 октября 2007 г. N 1351 «Об утверждении Концепции демографической политики Российской Федерации на период до 2025 года» написано, что «современная демографическая ситуация в Российской Федерации в значительной степени обусловлена социально-экономическими процессами, происходившими в XX веке».

Главными причинами низкой рождаемости названы: «низкий денежный доход многих семей, отсутствие нормальных жилищных условий, современная структура семьи (ориентация на малодетность, увеличение числа неполных семей), тяжелый физический труд значительной части работающих женщин (около 15 процентов), условия труда, не отвечающие санитарно-гигиеническим нормам, низкий уровень репродуктивного здоровья, высокое число прерываний беременности (абортов)». Однако если взглянуть на данные статистики, то можно увидеть, что именно в национальных республиках, особенно Северо-Кавказского федерального округа, проживает население с самыми низкими доходами, на рождаемость которых не влияют ни уровень доходов, ни кризис 2009 г.

Новая проблема, усугубляющая демографический кризис в стране - это иммиграционный вызов национальной идентичности. В настоящее время стабилизация численности населения в России была достигнута за счет миграционного сальдо (в 2012 году число оставшихся мигрантов составило 294 930 человек).

Решение проблем демографической политики через привлечение мигрантов и повышение уровня жизни населения не является эффективным, поскольку полностью игнорирует тот факт, что современная демографическая ситуация обусловлена духовным кризисом, в особенности, русского народа. Кризис, что уже очевидно, носит этноизбирательный характер, однако данный факт замалчивается, либо не замечается, во всяком случае адекватной государственной политической реакции на него не происходит.

Таблица 8 Народы России. Ранжирование по численности населения (от большего к меньшему)


В таблице 8 представлены данные по демографическому состоянию народов России с численностью более 100 000 человек в 2010 г.

2. ДЕМОГРАФИЧЕСКАЯ СИТУАЦИЯ В МИРЕ

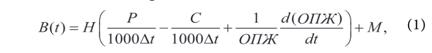
Следует заметить, однако, что указанные прогнозы носят инерционный характер. Это означает, что они исходят из предположения о невмешательстве в демографические процессы активной целенаправленной воли государства и общества, из того, что демографический процесс предопределен. Эта теория носит название теории демографического перехода. Однако в современных работах показано, что более обоснованной (имея в виду ее управленческий потенциал) является теория демографической вариативности. Ее основные постулаты зиждутся на фактах сочетания высокой продолжительности жизни и высокой рождаемости. Выявлены факторы, ответственные за данное сочетание для России. Долго жить как на Западе и рожать, как на Востоке - вполне достижимый для соответствующего государственного управления результат. Основными параметрами, описывающими демографическое состояние, являются рождаемость, смертность, ожидаемая продолжительность жизни, миграционное сальдо. Для государственного же мониторинга и управления целесообразно иметь интегративный целевой и ценностный параметр, характеризующий демографическое состояние и успешность демографической политики в целом. Как в этом смысле «суммировать» рождаемость, смертность, ожидаемую продолжительность жизни и миграцию? Они даже измеряются в различных единицах. С указанной целью предложен единый интегративный показатель успешности демографической политики - коэффициент витальности страны [4].


где Н- численность населения (чел), Р - рождаемость (чел на 1000 чел населения за год), С - смертность (чел на 1000 чел населения за год), Δt= 1 год, ОПЖ - ожидаемая продолжительность жизни (лет), М - миграционное сальдо (чел в год), В (эфф. чел. жизн. в год) - прирост населения с учетом эффективных человеческих жизней в связи с изменчивостью продолжительности жизни.

Введение данного параметра объясняется стремлением операционализировать в управленческом и правовом смысле признание человеческой жизни высшим мерилом государственно-управленческой успешности. Человеческая жизнь в первичном, самом важном цивилизационно-ценностном определении, есть сама жизнь, т. е. сам факт существования человека, каждого дня, проживаемого каждым человеком в этом мире. Данный факт описывается рождаемостью (прибавление человеческой жизни), смертностью (убытие человеческой жизни), прожитым человеком временем жизни, прибавлением или убытием человеческой жизни на национальной территории за счет миграции. Два первых показателя измеряются в количестве рожденных и умерших на 1000 чел. за один год. Третий измеряется в годах. Четвертый в абсолютном количестве человек. Как совместить их в едином интегративном показателе? Как сформировать показатель, чтобы он действительно характеризовал успешность (в позитивном ценностном смысле) государственной политики?

Введенный параметр позволяет это сделать. Его физический смысл заключается в возможности замера отклика демографического состояния общества на государственную политику высшего уровня. Подсчеты по формуле без учета миграционного вклада, например за годы реформ 1990-2005 гг., показывают, что в стране дополнительно не родилось, дополнительно умерло и сократилось количество эффективных человеческих жизней (из-за сокращения ожидаемой продолжительности жизни) в размере 28 млн человек. К сожалению, этот счет продолжается и в наши дни. Временной ход коэффициента витальности в России показан на рис. 1.

Рис. 1 Коэффициент витальности, полученный по ежегодным демографическим данным

Важный вывод в контексте обсуждаемой темы вытекает из хорошо заметного на рисунке факта, что амплитуда кратковременных (длительностью в несколько лет) выбросов больше, чем изменчивость за счет долговременного тренда (с характерным временем в десятки-сотни лет). Выбросы имеют как отрицательный, так и положительный характер. Это означает, что социально-политические, социально-экономические события (или на языке государственной политики, как управленческой практики, управленческие решения, меры и действия) могут приводить к очень значимым демографическим результатам. Результаты могут быть позитивными в случае умных и действенных управленческих мер. Это в свою очередь означает, что фатальную предопределенность длинных трендов демографического перехода не надо переоценивать. Активная государственная управленческая практика может существенно переломить ситуацию к лучшему. Этот же вывод подтверждается сравнительным анализом демографических данных по разным странам. Ситуации настолько разнятся, что это также подтверждает нашу оценку объяснительных или тем более абсолютизируемых выводов теории демографического перехода. Вместе с тем современные тренды, классифицируемые с позиций демографического перехода необходимо тщательно изучать и принимать во внимание.

Для оценки процесса старения населения применяются различные категории и шкалы. В соответствии с одной из них население можно считать «старым» в случае, если доля лиц в возрасте 60 лет и старше составляет 12% и выше по отношению ко всему населению, а в возрасте 65 лет и старше - 8% и более. В качестве количественных показателей старения населения используют доли лиц определенного возраста, например, старше 60 или 65 лет (обозначают 60+ или 65+) в общей численности населения. В соответствии с классификацией ООН началом старости считается возраст не 60, а 65 лет. Если доля населения в возрасте 65 лет и старше составляет 4% - население считается «молодым», 4-7% - на «пороге старости», 7% и выше - «старым». Согласно прогнозам ООН доля численности землян в возрасте 60 лет и старше повысится с 8,2% населения мира в 1950 г. до 15% в 2025 г., а в развитых странах - до 30%. Еще более высокие темпы старения прогнозируются в европейских странах. В Европе к 2050 г. 37% населения по этим прогнозам составят пожилые люди. Данная тенденция в полной мере присуща и для России, в которой за период 1959-2002 гг. общая численность населения увеличилась на четверть, а число пожилых людей увеличилось более чем в два с половиной раза. Но вновь добавим, при условии, если государство и общество ничего не будут предпринимать. Как отмечает в этой связи А.Г. Вишневский, известный сторонник предопределенности демографических процессов, в России старение началось позднее, чем в большинстве европейских стран, но также продвинулось весьма далеко, а поэтому по его мнению наши проблемы сродни проблемам всех стареющих обществ.

Демографическое старение населения страны вызвано, в первую очередь, снижением рождаемости и уменьшением доли и численности занятого населения (сужением основания возрастной пирамиды).

В то же время, в отличие от развитых стран, в России особенности возрастной структуры смертности (повышенная смертность в трудоспособных возрастах) усугубляют эту неблагоприятную тенденцию и приводят к сокращению и без того уменьшающейся численности населения в трудоспособных возрастах. Вместе с тем прогноз авторов в случае России иной. Современный российский тренд может существенно измениться при перенастройке государственной демографической политики. Обоснована эффективность факторов, которые могут существенно увеличить рождаемость и понизить смертность в когортах трудоспособного возраста. По итогам Всероссийской переписи населения 2002 г., с 1989 г. средний возраст жителей страны увеличился на 3 года. Численность населения трудоспособного возраста (мужчин 16-59 лет, женщин 16-54 лет) составила 89,0 млн человек (61%), моложе трудоспособного возраста - 26,3 млн человек (18%), старше трудоспособного возраста - 29,8 млн человек (21%). На начало 2005 г. численность граждан пенсионного возраста составила 30,4 млн человек или 20,3% от всего населения России.

Продолжается устойчивый рост численности лиц в возрасте 85 лет и старше. Особенно выражен процесс старения населения в европейской части России, где доля лиц пенсионного возраста превышает 23%. Большая часть пожилых людей проживает в городах. В то же время среди сельского населения их доля составляет почти 23%, что на 2,9% превышает аналогичный показатель для населения городов. В долгосрочной перспективе в рамках инерционного подхода прогнозируется снижение численности постоянного населения России: к 2020 г. она может сократиться на 9,1% (т. е. на 13,1 млн человек) и составить 130 млн человек. При этом численность населения трудоспособного возраста может сократиться на 15,8 млн человек и составить в 2020 г. 74,4 млн человек, или 57,3% от общей численности населения. Доля населения в возрасте старше трудоспособного возрастет к 2020 г. до 26,3% против 20,4% в 2005 г. При этом удельный вес пенсионеров в общей численности постоянного населения Российской Федерации возрастет с 25,4% в 2005 г. до 29,7% к 2020 г. Если ничего не менять в государственной практике, то в результате проявления данной тенденции пенсионная нагрузка пенсионной системы на занятое население будет возрастать.

Если в 2005 г. на каждые 100 получателей трудовых пенсий приходилось 198 человек занятых трудовой деятельностью, то в 2020 г. их в инерционном прогнозе будет всего 156 человек. Структура населения и демографическая динамика дают возможность сделать вывод о том, что рост масштабов старения может получить для России характер устойчивой и необратимой тенденции, в случае, если не предпринимать особых усилий. Следует отметить, что в России значительно сильнее, чем в Западной Европе, выражен гендерный дисбаланс возрастной структуры: в 2002 г. в группе от 60 лет и старше на 1000 женщин приходилось 529 мужчин. Поэтому и значения таких показателей, как доля лиц в возрасте 60+ в общей численности населения и демографическая нагрузка за счет пожилых, для женского населения у нас в стране почти в два раза выше, чем для мужского. Для сравнения: в Западной Европе в 2002 г. для возрастов 60+ на 1000 женщин приходилось 720 мужчин. В 1965 г. из каждой тысячи мужчин, достигших 20-летнего возраста, 732 имели шанс дожить до 60 лет. В 1980 г. - всего 644, в 2000-м - еще меньше - всего 563. В то же время соответствующий показатель в США в 2000 г. составил 865 человек, во Франции - 868, в Японии - 904, в Швеции - 912. Учитывая столь выраженный гендерный дисбаланс, можно отметить, что уже сегодня требуют особого внимания проблемы снижения высокой мужской смертности в трудоспособных возрастах, а также социальные проблемы пожилых женщин, особенно одиноких и проживающих в сельской местности. Растущая доля пожилых людей вызывает озабоченность в отношении устойчивости пенсионных систем и рынка труда, экономического состояния и перспектив медицинской помощи [5].

Ситуация стареющего населения в странах Европейского союза потребует к 2035 г. привлечения в западноевропейскую экономику не менее 35 млн работников-мигрантов, т. к. без этого невозможно будет поддержать современную пенсионную систему ЕС и его передовые экономические позиции.

С другой стороны последствия старения населения, носящие долговременный и глобальный по масштабу характер, порождают не только острые экономические, социальные, политические и психологические проблемы для большинства промышленно развитых стран, но и одновременно открывают существенные возможности для людей, народов и государств. Отечественные и зарубежные ученые отмечают «новый тип» пожилых людей, которые обладают высокой профессиональной и образовательной подготовкой, их здоровье и трудоспособность отличаются более высокими показателями, по сравнению с предыдущими поколениями, а ориентации все более смещаются к творческим установкам - труду и освоению новых профессиональных навыков. Уже сейчас в странах Западной Европы наблюдается такой феномен, как «молодые старики».

Суть его заключается в том, что по образу жизни, здоровью и трудоспособности, спектру интересов, тяге к знанию пожилые люди, достигшие 65 лет и более, вполне вписываются в круг людей среднего возраста. Возрастная структура общества отражает тип воспроизводства общества (расширенный, простой, суженный), удельный вес каждой возрастной группы, соотношение экономически активного и нетрудоспособного населения или как его называют специалисты - коэффициент демографической нагрузки, определяемый как отношение числа детей и пожилых к численности трудоспособного населения в расчете на 1000 человек.

В целом по России этот показатель составлял в 2003 г. величину равную 0,629. При этом демографическая статистика выделяет коэффициент демографической нагрузки по отдельным возрастам: моложе трудоспособного возраста - соотношение детей к трудоспособному населению и старше трудоспособного возраста - соотношение населения старше трудоспособного возраста к трудоспособному возрасту. В целом по России эти показатели составляли в 2003 г. 0,292 и 0,337, соответственно. Таким образом, на сегодня наблюдается устойчивая тенденция увеличения доли пожилых людей в промышленно развитых странах. В рамках теории демографического перехода прогнозируется увеличение доли лиц старше 65 лет более чем на 10 процентных пунктов - с 14,3% в 2000 г. до 25,7% в 2040 г.

демографический население смертность рождаемость

Ожидается, что особо быстрыми темпами будет стареть население Австрии, Германии, Канады, Италии, Испании, Республики Корея, Нидерландов, Швейцарии и Японии. Наряду со старением во многих странах ОЭСР станет сокращаться численность населения: особо заметно - в Германии, Греции, Италии, Испании и Японии, где темпы такого сокращения за 40-летний период, как ожидается, превысят 10%. Что же касается Австралии, Ирландии, Испании, Республики Корея, Новой Зеландии и США, то в них, напротив, численность населения возрастет более чем на 15%. И это как раз свидетельствует об ограниченности объяснительного и прогностического потенциала упомянутой теории и соответствующих инерционных прогнозов. В этой связи закономерной представляется тенденция, все более четко проявляющаяся в развитых странах, к увеличению пенсионного возраста, стимулированию финансовой подготовки к старости посредством развития систем негосударственного пенсионного обеспечения и личного страхования, пересмотру государственной политики в сфере занятости (табл. 1).

Поскольку у значительной части пожилых людей в приемлемой мере сохраняются здоровье и трудоспособность, они могут продолжать трудиться. Для применения их опыта и знаний потребуется наличие достаточного числа рабочих мест, приспособленных для них, а также привлекательные условия экономические, организационные и финансовые для продолжения их трудовой деятельности. Следует отметить, что в промышленно развитых странах в последние 25 лет многих работников вынуждали досрочно до наступления возраста 60 лет уходить на пенсию. Надо признать при этом, что данный подход находил положительный отклик у многих работников, которые с удовлетворением переходили на «заслуженный отдых». Если процесс старения населения приведет к пересмотру такой модели регулирования режима найма рабочей силы и заставит работодателей создавать более привлекательные условия занятости для пожилых трудящихся, то в долгосрочном плане новые формы продления трудовой жизни могут стать важным направлением социальной политики и регулирования рынка труда.

Кроме того, потребуется решение комплекса других проблем, связанных с системой социального обеспечения и поддержки пожилых граждан, в том числе - развития ряда социальных и медицинских наук, призванных разработать эффективные практические рекомендации в области социальной геронтологии и психологии пожилого возраста. Процесс увеличения численности пожилых людей в общей массе населения требует всестороннего учета их специфических потребностей как особой категории граждан. В частности, все более важной проблемой становится доступ пожилых людей к медицинским и социальным услугам. Необходимость надлежащего социального обслуживания пожилых предполагает расширение сети социальных учреждений для долговременного ухода, а также ухода в рамках семьи, что приведет к росту соответствующих социальных расходов и увеличению неоплачиваемой нагрузки на женщин. Кроме того, специалисты отмечают более высокий уровень потребностей пожилых людей в медицинских услугах и в лекарствах. Исследования вопроса в Мексике показало, что лица в возрасте 65 лет и старше прибегают к медицинским услугам вдвое чаще, чем население в целом, и на них приходится треть от совокупных расходов на обслуживание.

ЗАКЛЮЧЕНИЕ

В дополнительных мерах по стимулированию рождаемости в целом не нуждаются такие народы, как: чеченцы, армяне, аварцы, осетины, даргинцы, буряты, якуты, кумыки, ингуши, лезгинцы, тувинцы, карачаевцы, калмыки, лакцы, казаки, табасараны, узбеки, таджики, балкарцы.

Их численность и доля в населении страны увеличилась, уровень рождаемости выше среднего по стране, уровень смертности ниже среднего по стране показателя, число родившихся превышает число умерших.

Эти народы сохранили духовную самобытность, не приняли губительные ценности общества потребителей и демонстрируют высокий потенциал дальнейшего демографического роста.

Эффективная государственная политика стимулирования рождаемости проводится в отношении татар, башкир, чувашей, удмуртов, кабардинцев и коми. Хотя их численность и доля в населении страны сократилась, народы смогли добиться естественного прироста, потенциалом их дальнейшего демографического восстановления являются высокая рождаемость и низкая смертность.

Эти народы демонстрируют сплоченность, национальную самоидентификацию, что во многом связано с наличием собственного государственного образования в составе России. Они также в большей степени сохранили традиционные нравственные и духовные ценности.

Необходимо предпринять дополнительные меры стимулирования рождаемости для русских, мордвы и адыгейцев.

Анализ положения русского народа говорит об избирательной политике сокращения его численности: это единственный народ в России, который не имеет своей собственной государственности - она есть российская государственность, рождаемость остается ниже средней по России, показатели смертности превышают средние, численность и доля населения продолжает неуклонно сокращаться. Заимствованные ценности потребительского общества, разлагающие духовную основу русского народа, отсутствие сплоченности, объединяющей национальной идеи и чувства гордости за свою страну приводят к утрате исконных духовных ориентиров, что находит свое физическое выражение в естественной убыли русского населения и сокращении его численности.

Но именно русский народ является скрепой всех российских народов, православие той духовной базой, которая сможет объединить разные конфессии на принципе мирного сосуществования и гармоничного развития. Требуется осознание описанной угрозы и адекватная государственная политика.

Исходя из возрастных характеристик населения промышленно развитых стран, возрастную структуру общества сегодня можно представить в виде прямоугольника, закругленного в верхней части, поскольку приблизительно равное число людей находится во всех возрастных десятилетиях (т. е. одинаковое число тех, кому 0-9 лет, 10-19 лет, 20-29 лет и т. д.).

Возрастная структура общества для 1900 г. для той же группы стран выглядит как пирамида, поскольку большое количество людей приходилось на самую младшую возрастную группу, гораздо меньше людей фиксировалось в трудоспособном возрасте и наименьшая доля людей - в пожилом.

Более того, на смену возрастной структуры населения в виде прямоугольника приходит ее новая разновидность в форме «перевернутой пирамиды»: одного ребенка, двух родителей, четырех бабушек и дедушек и нескольких прадедушек и прабабушек. Средний возраст представителей двух и более поколений при этом может составлять свыше 60 лет.

Складывающаяся ситуация в демографических характеристиках современного общества означает качественные изменения в структуре времени жизни поколений: увеличивается продолжительность времени, проживаемого в средних и старших возрастах и соответственно растут их доли во всем совокупном времени жизни каждого поколения. На старение населения или увеличение доли пожилых и старых людей в общей численности населения влияет ряд факторов: снижение рождаемости (или «старение снизу»), увеличение средней продолжительности жизни пожилых людей (или «старение сверху»), а также миграция и некоторые другие причины.

Список литературы

1.      Государственная политика вывода России из демографического кризиса. Монография. В.А. Якунин, С.С. Сулакшин, В.Э. Багдасарян и др. Под общейредакцией С.С. Сулакшина. 2-е изд. - М.: ЗАО Издательство «Экономика», Научный эксперт, 2013. - 888 с.

.        Казанцев, С. В. Современные угрозы экономике России / С. В. Казанцев // Мир новой экономики. - Москва : Финансовый Ун-т при правительстве РФ, 2013. - № 1. - С. 6-15.

.        Клупт, М.А. Региональные альтернативы глобального демографического развития / М. А. Клупт // Общественные науки и современность. - Москва, 2012. - № 2. - С. 66-77.

.        Тарлецкая, Л. Международная демографическая статистика: оценки и прогнозы ООН / Л. Тарлецкая // Мировая экономика и международные отношения. - М., 2012. - № 3. - С. 32-39.

.        Травкина, Н. М. Современные демографические тенденции в США [Текст] / Н. М. Травкина // США, Канада: экономика - политика - культура. - Москва, 2011. - № 12 (504). - С. 3-24.

.        Социально-экономическое неравенство и бедность: состояние и пути снижения масштабов [Текст] / А. Ю. Шевяков, В.С.. Сопцов В.В. Жаромский // Экономическая наука современной России. - М., 2014. - № 3(38). - С. 62-74.

Похожие работы на - Изучение демографических процессов в России и за рубежом. Сравнительный анализ

 

Не нашли материал для своей работы?
Поможем написать уникальную работу
Без плагиата!
Без нейросетей!