Получение и исследование свойств привитых сополимеров акриловой кислоты на полилактидной матрице
МИНИСТЕРСТВО
ОБРАЗОВАНИЯ
БЕЛОРУССКИЙ
ГОСУДАРСТВЕННЫЙ УНИВЕРСИТЕТ
ХИМИЧЕСКИЙ
ФАКУЛЬТЕТ
КАФЕДРА
ВЫСОКОМОЛЕКУЛЯРНЫХ СОЕДИНЕНИЙ
Курсовая
работа
ПОЛУЧЕНИЕ И
ИССЛЕДОВАНИЕ СВОЙСТВ ПРИВИТЫХ СОПОЛИМЕРОВ АКРИЛОВОЙ КИСЛОТЫ НА ПОЛИЛАКТИДНОЙ
МАТРИЦЕ
Рацкевича Ивана Сергеевича
Минск
Оглавление
Введение
. Литературный обзор
.1 Прививочная полимеризация
.1.1 Химическое инициирование
.1.2 Фотохимическое инициирование
.2 Радиационная прививочная
полимеризация
.3 Молекулярная и надмолекулярная
структура полилактида
.4 Физико-химические свойства
полилактида
.5 Сополимеризация полилактида и
акриловой кислоты
. Экспериментальная часть
.1 Инициирование
.2 Прививка
2.3 Определение молекулярной массы
2.4 Результаты исследований и их
обсуждение
.4.1 Определение привеса и
статической обменной емкости
.4.2 Определение молекулярной массы
Выводы
Заключение
Список используемых источников
Введение
В настоящее время, экологические проблемы
вызывают серьезную озабоченность мировой общественности. И одной из важнейших
является крупнотоннажное производство коммерческих полимеров из
невозобновляемых источников (нефть, газ и т.д.), что ведет за собой исчерпание
природных ресурсов. В связи с высокой устойчивостью синтетических полимеров
(полиэтилен, полипропилен, полиэтилентерефталат, поливинилхлорид) к воздействию
таких факторов, как температура, солнечная радиация, вода, микроорганизмы и
другие биологические объекты, актуальной стала проблема предотвращения
загрязнения окружающей среды синтетическими полимерами, время разложения
которых в естественных условиях значительно превышает продолжительность жизни
человека. В отличие от крупнотоннажных синтетических полимеров, природные
высокомолекулярные соединения или биополимеры (белки, нуклеиновые кислоты, полисахариды,
гликопротеиды, липопротеиды, липосахариды и др.) в естественных условиях
относительно быстро (от нескольких месяцев до нескольких лет) распадаются на
простые химические соединения. Однако материалы из биополимеров не обладают
таким широким спектром свойств как изделия из синтетических полимеров, поэтому
они не способны в полной мере заменить крупнотоннажные синтетические полимеры.
В связи с этим усилилось внимание к
синтетическим высокомолекулярным соединениям, которые, обладая достоинствами
традиционных крупнотоннажных полимеров (в первую очередь, термопластичностью,
позволяющей легко перерабатывать их в готовые изделия), могли бы так же быстро,
как и биополимеры, распадаться под влиянием биологических факторов окружающей
среды. Наиболее перспективными синтетическими полимерами такого типа в
настоящее время представляются алифатические полиэфиры на основе
гидроксиалканкарбоновых кислот (полилактид, полигликолид полигидроксибутират).
Свойства алифатических полиэфиров могут варьироваться в широких пределах, а их
способность к деструкции под воздействием различных факторов, в том числе и
биологических, может быть использована для создания новых материалов и изделий,
представляющих интерес не только с позиций охраны окружающей среды, но и
возможного применения в медицине, фармацевтике, легкой промышлености и т.д.
[1-4].
Тем не менее широкое применение полилактида
сдерживается из за его относительно высокой стоимости и
гидрофобности(отсутствию свойств совмещаться с гидрофильными веществами). Для
устранения этих недостатков были предложены различные композиционные материалы
на основе полилактида [5]. Исследование свойств этих материалов показало, что
они обладают не удовлетворительными механико-прочностными характеристиками
из-за плохой адгезии материалов различной природы. Для улучшения совместимости
полилактида с другими полимерами в композиционных материалах перспективным
видится модификация данного полимера путем прививочной полимеризации.
.
Литературный обзор
.1 Прививочная полимеризация
Прививочная полимеризация представляет собой
один из наиболее перспективных современных методов получения модифицированных
полимерных материалов, совмещающих в себе различные, часто противоположные
свойства. Различным аспектам проблемы прививочной полимеризации - способом ее
осуществления, исследованию основных закономерностей, кинетики и механизма ее
протекания, структуре и физико-химическим свойствам привитых полимерных
материалов, вопросам реализации процессов в опытно- промышленном и промышленном
масштабе посвящена обширная литература, в том числе ряд монографий и обзоров
[6].
Привитые сополимеры состоят из макромолекул
разветвленной конфигурации. Основная цепь построена из звеньев одного типа, а
боковые цепи - из звеньев другого типа. Привитые сополимеры сочетают свойства
гомополимеров. О практической значимости прививочной сополимеризации
свидетельствует, в частности, использование привитых сополимеров для создания
новых материалов, улучшения совместимости смесей соответствующих гомополимеров.
Привитые сополимеры нельзя синтезировать прямой
сополимеризацией сомономеров. Исходными реагентами служат либо несколько
гомополимеров, либо гомополимер и мономер. Принцип сополимеризации - создание
активных центров в середине основной цепи гомополимера. Активным центром может быть
радикал, ионная пара, функциональная группа [7].
Прививка по реакции радикальной полимеризации
это наиболее распространенный способ промышленного синтеза привитых
сополимеров.
1.1.1 Химическое инициирование
Полимеризация под влиянием химических инициаторов
- один из наиболее распространенных методов. Состоит в возбуждении молекул
полимера веществами, способными при нагревании разлагаться с образованием
свободных радикалов. К таким веществам относятся неорганические и органические
перекиси (перекись водорода, перекись бензоила), гидроперекиси,
диазосоединения.
Широко применяемый инициатор - пероксид бензоила
- легко при нагревании распадается с образованием двух свободных радикалов [8].
.1.2 Фотохимическое инициирование
Это полимеризация, при которой возбуждение
молекулы происходит за счет поглощения ею световой энергии. В результате
прямого поглощения кванта света фотохимическая полимеризация может проходить
при температурах, при которых полимеризация, инициируемая другими видами, не
протекает.
Радикалы образуются при облучении гомополимера
ультрафиолетовым светом (λ<400 нм)
по общей схеме фотолиза:
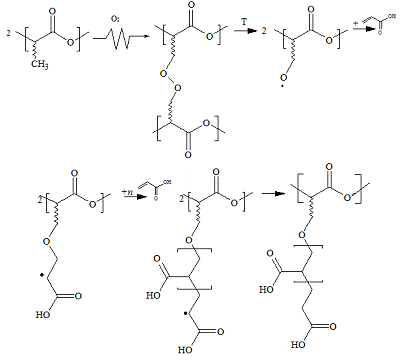
1.2 Радиационная прививочная полимеризация
Среди многообразных методов получения привитых
сополимеров важная роль принадлежит радиационной прививочной полимеризации.
Радиационный метод инициирования прививки
является наиболее универсальным, он позволяет осуществить процесс практически в
любых системах матрица - прививаемый мономер. Радиационно-химическое
инициирование прививочной полимеризации по сравнению с вещественным имеет ряд
преимуществ.
Существуют четыре главных метода радиационной
прививки: 1) прямой метод, т.е. непосредственное облучение системы
модифицируемый полимер - прививаемый мономер; 2) постполимеризация, т. е.
предварительное облучение полимера в отсутствие воздуха с последующим
контактированием мономера с облученным полимером; 3) пероксидный метод, т. е.
предварительное облучение полимера в атмосфере воздуха или кислорода с
последующей обработкой облученного полимера мономером в условиях, при которых
разлагаются образовавшиеся при облучении пероксиды и гидропероксиды; 4)
сшивание смесей полимеров [9].
Ниже приведена схема взаимодействия излучения
высокой энергии с полимером в вакууме (или инертной среде)
В результате предварительного облучения полимера
в присутствии кислорода возникают, либо диперекисные соединения, либо
гидроперекиси. В любом случае перекиси затем разлагаются под действием тепла, и
в присутствии мономера образуется привитой сополимер.
.3 Молекулярная и надмолекулярная структура
полилактида
Макромолекулы немодифицированных полилактидов обычно
линейны. Элементарным звеном макромолекулы является остаток молочной кислоты
(72 г/моль). Поли-L-лактид представляет собой изотактический полимер, тогда как
поли-D,L-лактид является атактическим. Поли-L-лактид имеет упорядоченную
структуру и высокую степень кристалличности, при комнатной температуре
находится в аморфно-кристаллическом фазовом состоянии. Степень кристалличности
зависит от условий кристаллизации [10].
Поли-L-лактид
при кристаллизации образует псевдо-орторомбические кристаллы (α
форма)
с параметрами решетки α = β = γ 90º. Существуют
также β
и
γ
полиморфные
модификации. Кристаллит α формы
содержит примерно 103 макромолекулярных спиралей, в которых на 3
витка, закрученных влево приходится 10 мономерных звеньев. Надмолекулярная
структура кристаллизованного полилактида имеет сферолитную морфологию [11].
.4 Физико-химические свойства полилактида
Физико-химические свойства полилактида могут
варьироваться в широких пределах в зависимости от молекулярной и
надмолекулярной структуры. Большое влияние на свойства полилактида оказывает
наличие остатков растворителя. Свойства полилактида можно целенаправленно
изменять в процессе модификации, например, получая смеси с другими полимерами,
вводя пластификаторы, наполнители.
Кристаллический полилактид не растворим в
этилацетате, тетрагидрофуране и ацетоне, но растворим в диоксане, ацетонитриле,
трихлометане, метиленхлориде, трихлоэтане и дихлоуксусной кислоте.
Температура плавления аморфно-кристаллического
поли-L-лактида зависит от
условий синтеза, переработки, а также от стереохимии цепи и находится в
интервале 130÷180 ºС
Температура стеклования промышленных полилактидов находится в пределах 50÷80
ºС.
Полилактид пригоден для таких процессов, как литье под давлением, экструзия,
формование пластин, выдувка пленок. Вязкость расплава полилактида составляет
500÷5000
Па·с
при 10-50 с-1.
1.5 Сополимеризация полилактида и акриловой
кислоты
Сополимеры полилактида и акриловой кислоты могут
быть получены различными способами.
В смесь акриловой кислоты и пероксида бензоила
помещают пленки из полилактида, и выдерживают в течении 6 часов при 85 ˚C.
Процент прививки получения сополимера таким методом составил 5,95% от массы
исходного полилактида [13].
Так же волокна полилактида можно предварительно
обрабатывать 10% раствором (NH4)2S2O8
в течении часа для образования активных центров.
Затем активированный полилактид, помещают в
раствор акриловой кислоты [14].
Существуют так же и другие методы
сополимеризации и один из них радиационная постполимеризация. Предварительно подготовленные
образцы полилактида подвергают γ-Излучению
60Co на воздухе,
а затем обрабатываются раствором акриловой кислоты в присутствии солей Fe2+.
О изменении свойств полилактида после
модификации можно судить по изменению молекулярной массы, водоудерживанию,
статической обменной емкости(СОЕ), изменении механических свойств и др.
2.1 Инициирование
Из ранее полученных пленок поли-D,L-лактида
были приготовлены образцы которые подверглись различным вариантам
инициирования. Химическое инициирование проводилось следующим образом. В
круглодонную колбу помещался образец пленки полилактида (m=0.1112
г), туда же вливался раствор 10% раствор персульфата натрия (NH4)2S2O8,
реакционная смесь подогревалась до 85 ˚С и выдерживалась при данной
температуре 30 минут (Образец 1). Следующий образец подвергся фотохимическому
облучению. Для чего была сделана пленка (m=0.1098
г), которая 60 минут находилась под воздействием ультрафиолетового облучения
(Образец 2). Образцы 3(m=0.0235
г) и 4(m=0.0654 г)
подвергались радиационному излучению 2 Мрад и 10 Мрад соответственно.
2.2 Прививка
Далее собственно образец помещаем в
круглодонную колбу, заливаем 10% раствором акриловой кислоты (V=20 мл, ρ=1.00 г/см3).
Туда же вносим 0.6 г. соли Мора (из расчета 30 г/дм3) и помещаем
сверху обратный холодильник. Содержимое пробирки кипятят нагревая на плитке, в
течении 1 ч. Затем пленки извлекают, промывают дистиллированной водой и сушат
при температуре 40-50
в течение 20 минут. Определяют
привес ∆m. Далее
взвешенные пленки помещают в коническую колбу, заливают 40 мл 0,1 н раствора NaOH, закрывают
притертой пробкой. Выдерживают пленку в этом растворе в течение 30 минут,
периодически помешивая содержимое колбы. Отбирают по три пробы по 10 мл
раствора над пленкой и оттитровывают 0,1 н раствором НСl, используя
фенолфталеин в качестве индикатора.
2.3 Определение молекулярной
массы
Молекулярную массу полилактида до и после
облучения определяли вискозиметрическим методом, при температуре 30 ºС.
Измерения проводили при помощи капиллярного вискозиметра Оствальда с диаметром
капилляра 0,56 мм. В качестве растворителя использовался трихлорметан. Измерив
время истечения растворов разной концентрации нашли относительную вязкость (ηотн),
удельную вязкость (ηуд)
и наконец приведенную вязкость (ηпр).
Молекулярную массу определили по уравнению Марка-Куна-Хаувинка:
[η]
= K·Mα
K и α
составила
1,31·10-4 дл/г и 0,777 соответственно [15].
2.4 Результаты исследований и
их обсуждение
.4.1 Определение привеса и статической обменной
емкости
Расчетные формулы:

(1)
где 
- привес пленки,

- масса исходной пленки, г,

-масса привитой пленки, г.
,
где 
и 
- объем соляной кислоты, пошедшей
на титрование 10 см3 гидроксида натрия до и после взаимодействия с
катионитом соответственно, мл.
Таблица 1
|
Образец
|
∆m, %
|
H’NaOH, моль/л
|
COE, мг-экв/г
|
|
1
|
4.31
|
0.095
|
1.034
|
|
2
|
9.5
|
0.0935
|
1.664
|
|
3
|
18.29
|
0.095
|
4.316
|
|
4
|
21.74
|
0.087
|
5.37
|
Рис. 1. Зависимость изменения статической ионной
емкости от количества прививаемой акриловой кислоты.
.4.2 Определение молекулярной массы
Молекулярную массу полилактида определяли
вискозиметрическим методом при 30 ºС.
Таблица 2. Экспериментальные данные для
необлученного полилактида.
|
С,
г/дл
|
Время
истечения жидкости, с
|
η отн=t/t0
|
η уд= η отн-1
|
η пр=, дл/г
|
|
|
1
|
2
|
3
|
ср.
зн.
|
|
|
|
|
|
CHCl3
|
45,7
|
45,5
|
45,6
|
45,7
|
|
|
|
|
|
1,00
|
133,0
|
133,3
|
133,3
|
133,2
|
2,91
|
1,92
|
1,07
|
|
0,91
|
122,2
|
122,5
|
122,5
|
122,4
|
2,68
|
1,68
|
1,84
|
1,08
|
|
0,81
|
112,5
|
112,7
|
112,6
|
112,6
|
2,46
|
1,46
|
1,81
|
1,11
|
|
0,71
|
105,0
|
105
|
105,0
|
105
|
2,30
|
1,30
|
1,83
|
1,17
|
|
0,60
|
91,4
|
91,1
|
91,1
|
91,2
|
2,00
|
1,00
|
1,661
|
1,15
|
Рис. 2. Зависимости приведенной вязкости от
концентрации раствора полилактида (необлученного).
Таблица 3. Экспериментальные данные для
облученного полилактида.
|
С,
г/дл
|
Время
истечения жидкости, с
|
η отн=t/t0
|
η уд= η отн-1
|
η пр=, дл/г
|
|
|
1
|
2
|
3
|
ср.
зн.
|
|
|
|
|
|
CHCl3
|
45,7
|
45,5
|
45,6
|
45,7
|
|
|
|
|
|
1,00
|
104,6
|
104,1
|
104,1
|
104,2
|
2,25
|
1,25
|
1,25
|
0,81
|
98,2
|
98,4
|
98,0
|
98,2
|
2,12
|
1,12
|
1,24
|
0,83
|
|
0,81
|
91,7
|
91,8
|
91,6
|
91,7
|
1,98
|
0,98
|
1,21
|
0,84
|
|
0,71
|
85,0
|
85,0
|
85,0
|
85
|
1,83
|
0,83
|
1,17
|
0,85
|
|
0,60
|
76,3
|
76,6
|
76,6
|
76,5
|
1,65
|
0,65
|
1,09
|
0,84
|
Из графиков, зависимости приведенной вязкости от
концентрации растворов полилактида необлученного и облученного (Рис. 2 и 3),
нашли характеристическую вязкость, путем экстраполяции прямой к оси ординат и
при помощи уравнения Марка-Куна-Хаувинка определили молекулярные массы <Mv
необлуч.>= 1.4·105
г/моль,
и <Mv
облуч.>=8.5·104
г/моль.
Рис. 3. Зависимости приведенной вязкости от
концентрации раствора полилактида (облученного).
. В лабораторных условиях была проведена
прививочная сополимеризация акриловой кислоты на полилактидную матрицу, при
различных условиях инициирования.
. Проанализированы данные полученные в
ходе исследования привитых сополимеров о изменении статической обменной емкости
в зависимости от выбранных условий инициирования.
. Измерена молекулярная масса полимера до
и после облучения
<Mv
необлуч.>= 1.4·105 г/моль, и <Mv
облуч.>=8.5·104 г/моль.
Заключение
В данной работе рассмотрены исходные вещества и их
реакции для получения сополимера полилактида и акриловой кислоты, влияние
используемых инициаторов на условия протекания реакций и свойства получаемых
продуктов. Так, исходи из результатов исследования, можно сказать, что
радиационная прививочная полимеризация является наиболее оптимальной для
получения сополимера. Однако существуют свои нюансы, такие как доза облучения и
условия сополимеризации. Слишком большая доза облучения негативно сказывается
на механических и прочностных свойствах полученного сополимера. При облучении в
10 Мрад полилактид практически полностью подвергается деструкции и непригоден
для дальнейшего использования. Однако с увеличением дозы, увеличивается и
процент прививаемой акриловой кислоты.
Не следует забывать так же и о выборе мягких
условий прививочной полимеризации, таких как концентрация акриловой кислоты,
температура проведения синтеза. Если в сополимеризации использовать 30%
акриловую кислоту, полиэфир практически полностью подвергается кислотному
гидролизу.
Полученный сополимер полилактида и акриловой
кислоты, несмотря на определенную специфичность его получения, тем не менее
обладает очень интересными свойствами такими как появившаяся гидрофильность, по
сравнению с гидрофобным полилактидом. Нет сомнения, что это положительно
повлияет на его свойства в различных композиционных материалах.
Анализируя ситуацию по изучению сополимеров
полилактида, можно сказать, что эта тема находится на стадии бурного развития.
К сожалению пока есть лишь немногочисленные зарубежные публикации научного и
познавательного характера. Остается масса нерешенных проблем неизбежных при
внедрении качественно новых технологий и продуктов. В связи с этим
представляется крайне важным направить усилия по воплощению в жизнь
инновационных проектов такого направления, поскольку улучшение качества жизни
людей, сохранение и щадящее использование природных ресурсов наиважнейшие
задачи для страны и человечества в целом.
полимеризация полилактид химический
кислота
Список используемых источников
1. Garlotta, D. A literature
review of poly(lactic acid) / D. Garlotta // J. Polym. Environ. - 2001. - Vol.
9, № 2. - P. 63-84.
2. Jacobsen, S.
Polylactide - Biologisch abbaubare Kunststoffe aus nachwachsenden Rohstoffen
fur neue Anwendungen.: Wechselwirkungen, Jahrbuch 2000. - S. 53 - 64.
3. Белов, Д.А. Биодеградируемые
композиционные материалы меди-цинского назначения на основе d,l
- полилактида / Д.А. Белов, А.Н. Бычкова, И.А. Климовцова // Материалы,
технологии, инструменты. - 2006. - Т 1, № 1. - С. 71 - 74.
4. Duda, A. Polilaktyd
[poli(kwas mlekowy)]: synteza, wlasciwosci i zastosowania / A. Duda, S. Penczek
// Polimery. - 2003. - T.48, №1. - S. 16-27.
5. Пикаев, А.К. Современная
радиационная химия. Твердое тело и полимеры. Прикладные аспекты. М.: Наука,
1987. С. 244.
6. Шишонок, М.В.
Высокомолекулярные соединения: учеб. пособие / М. В. Шишонок. - Минск: Выш.
Шк., 2012. - 535 с.
7. Тагер, А.А. Физико-химия
полимеров / А.А. Тагер. - М.: Химия, 1968. - 536 с.
. Круль, Л.П. Успехи в
синтезе привитых материалов методами радиационной прививочной полимеризации /
Л.П. Круль, А.П. Поликарпов // Успехи химии. - 1990. - Т 59, № 5. - С. 807 -
826.
9. Sarasua, J.R.
Crystallization and thermal behavior of optically pure polylactides and their
blends / J.R. Sarasua [et al.] // J. Mater. Sci. - 2005. - Vol. 40. - P.
1855-1862.
10. Cicero, J.A. Physical
Properties and Fiber Morphology of Poly(lactic acid) Obtained from Continuous
Two-Step Melt Spinning / J.A. Cicero, J.R. Dorgan // Journal of Polymers and
the Environment. - 2001. - Vol. 9, № 1. - P. 1-10.
11. Auras, R. An Overview of
Polylactides as Packaging Materials / R. Auras, B. Harte, S. Selke //
Macromolecular Bioscience. - 2004. - Vol.4, № 9. - P. 835-864.
. Chin-San Wu. A new
biodegradable blends prepared from polylactide
and hyaluronic acid / Chin-San
Wu, Hsin-Tzu Liao // Polymer. - 2005. - Vol. 46. - P. 10017-10026.
. Jantas R.,
Modification of a Polylactide Fibre Surface / R.
Jantas, S. Połowiński,D. Stawski,J.
Szumilewicz // FIBRES & TEXTILES in Eastern Europe. - 2010. - Vol. 18. -
No. 4 (81). - P. 87-91.
14. Dorgan, J.R. Fundamental
solution and single-chain properties of polylactides / J.R. Dorgan, J. Janzen,
D. Knauss // J. polym. Sci. Part B: Polym. Physics - 2005. - Vol. 43, № 21. -
P. 3100-3111.