Оценка качества яблочного сока по содержанию в них аминокислот
МИНИСТЕРСТВО ОБРАЗОВАНИЯ И НАУКИ РОССИЙСКОЙ ФЕДЕРАЦИИ
Федеральное государственное бюджетное образовательное
учреждение
высшего профессионального образования
«КУБАНСКИЙ ГОСУДАРСТВЕННЫЙ УНИВЕРСИТЕТ»
(ФГБОУ ВПО «КубГУ»)
Кафедра аналитической химии
ВЫПУСКНАЯ
КВАЛИФИКАЦИОННАЯ (ДИПЛОМНАЯ) РАБОТА
ОЦЕНКА
КАЧЕСТВА ЯБЛОЧНОГО СОКА ПО СОДЕРЖАНИЮ В НИХ АМИНОКИСЛОТ
Работу
выполнила Е.В.Жолудева
Факультет
химии и высоких технологий, ОФО
Специальность
200503 Стандартизация и сертификация
Научный
руководитель
канд.
хим. наук, ст.преп. Л.И. Пиль
Нормоконтролер
доц., канд. хим. наук
О.Б.
Воронова
Краснодар
2013
РЕФЕРАТ
Цель настоящей работы - исследовать возможность
применения содержания аминокислот в яблочном соке, как показатель качества и
подлинности продукта.
В результате исследования подобраны условия
определения аминокислот в яблочном соке спектрофотометрическим методом. Изучено
определение аминокислот в присутствии аскорбиновой кислоты. Проведена
метрологическая оценка показателей качества разработанной методики.
Работа выполнена спектрофотометре «SHIMADZU UV
2000».
ВВЕДЕНИЕ
Анализ пищевого продукта - это сложная
аналитическая задача: нужно учитывать многокомпонентность исследуемого
вещества, его агрегатное состояние и физические свойства. Судить о качестве
исходного сырья или готовой продукции возможно только при выполнении
совокупного анализа: физического, химического, микробиологического,
физико-химического и бактериологического. При этом качество готовой продукции
может отличаться от качества исходного сырья, потому что на качество продукции
влияет множество факторов, формирующих и сохраняющих качество: сырье для
выработки, технология производства, техническое оснащение предприятия,
классификация специалистов, маркировка, упаковка, транспортирование, условия и
сроки хранения, качество реализации и др. Среди огромного количества пищевых
продуктов наиболее ценными являются плоды и овощи, а также продукты их
переработки, так как они содержат необходимые компоненты для жизнедеятельности
организма: витамины, макро- и микроэлементы, незаменимые аминокислоты,
органические кислоты и т. д.
Из общих биохимических
параметров концентрация аминокислот наиболее адекватный показатель качества.
Во-первых, добавки аминокислот производителями не практикуются за счет их дороговизны.
Во-вторых, чем выше концентрация аминокислот, тем корректнее восстановлен сок,
тем выше его качество. В растениях их концентрация достаточно низкая, но они
всегда присутствуют, так же как и витамины. В отличии от последних,
аминокислоты более устойчивы к хранению, окислению, термообработке. Если они
отсутствуют в напитке, тогда это что угодно, только не сок.
1.
Аналитический обзор
.1 Роль аминокислот
в жизнедеятельности организма человека
Трудно переоценить роль аминокислот в
жизнедеятельности организма человека. Большинство альфа-аминокислот обладают
широким спектром биологической активности и являются исходными веществами для
синтеза гормонов, ферментов, антител и многих других веществ. Клетки нашего
тела, как и любого живого организма, в основном состоят из протеинов - белков.
Потому и необходимо запас белков в организме постоянно пополнять. Вот только не
все белки являются ценными, а ценность белка зависит от того, насколько он
богат незаменимыми аминокислотами. Ведь именно из аминокислот, образующихся в
результате расщепления белков из пищевых продуктов, и синтезируются в
человеческом организме белки. Человек нуждается всего в двадцати аминокислотах
из 150 существующих в природе. Самостоятельно организм может синтезировать 12
аминокислот, а вот остальные восемь аминокислот в организме человека не
синтезируются. Поэтому и получили они название незаменимые аминокислоты. Их
нужно получать вместе с пищей. Яблочный сок богат аминокислотами как
заменимыми, так и незаменимыми [1]. Если в организме нормальное количество
аминокислот, то и минералы с витаминами выполняют все свои полезные функции.
Поэтому исследование возможности применения содержания аминокислот в яблочном
соке как показатель качества и подлинности продукта является актуальной задачей
на сегодняшний день.
1.2 Сырьё для
производства яблочного сока
.2.1 Сорта яблок
Сорта яблок различают главным образом по срокам
созревания. По этому признаку сорта разделяют на три основные группы: летние,
осенние и зимние (каждая группа в свою очередь подразделяется ещё на две
подгруппы: ранне- и позднеосенние, ранне- и позднезимние) [2]. Сроки созревания
плодов зависят от индивидуальных потребностей конкретного сорта (таких, в
первую очередь, как сумма положительных температур за то время, пока растение находится
в состоянии активной жизнедеятельности (вегетационный период)), а также от
почвенно-климатичесих и микроклиматических особенностей местности, в которой
дерево данного сорта произрастает.
Выращивание яблок ранних сроков созревания дает
возможность не только употреблять в пищу свежие плоды более длительный период,
но и продлять сезон работы консервного завода. Яблоки летних сортов созревают в
июле-августе. Исследование товарных качеств яблок летнего срока созревания
показало, что в последние годы летние сорта яблок представлены крупноплодными
сортами. Сорта с мелким плодами (50,0-25,0г) и даже средней величины
(75,0-51,0r) заменены на выше среднего (125,0-101,0г) и более крупные
(175,0-126,0г). К группе крупных сортов необходимо отнести сорта Элита, Арго,
Союз, Фортуна. Характерной особенностью яблок раннего срока созревания является
невысокое содержание сухих веществ (9,0-12,0%), сахаров (7,0-9,0%), пектина при
довольно высоком содержании кислот (1,0-1,8%) и низком сахарокислотном индексе
(8-10). Яблокам раннего срока созревания характерна высокая кислотность. Так,
если у зимних сортов варьирование в содержании кислот составляет от 0,2 до 1,3
%, то у летних сортов от 0,64% до 1,8%. Яблоки летнего срока созревания
являются источником витаминов, так как до 60% исследованных сортов яблок, имеет
уровень накопления аскорбиновой кислоты в пределах 10,0-15,8мг%, в то время как
среди зимних сортов такое содержание витамина С характерно не многим сортам.
Содержание витамина Р довольно низкое в летних сортах яблок и варьирует в
пределах 40-80 мг%, что в сравнении с осенними и зимними сортами ниже в 2-4
раза. Количество пектиновых веществ в яблоках летних сортов содержится от 0,40
до 0,80%, представлены они в период съема в основном растворимым пектином.
Низкое содержание сахаров и высокая кислотность плодов являются одной из причин
незначительного использования яблок летнего срока созревания при выработке
сока, в тоже время многие сорта можно рекомендовать для производства
сухофруктов и пюреобразных продуктов. При подборе сортов яблок для производства
соков необходимо использовать сорта, чтобы в них удачно сочеталось содержание
сахаров, кислот, ароматических, красящих веществ и сок обладал приятным вкусом,
хорошим ароматом и красивым цветом. Важнейшими показателями, характеризующими
качество плодового сока, является содержание сухих веществ и кислот. Вкусовые
качества готового продукта характеризуются сахарокислотным индексом. Количество
извлекаемого при прессовании сока зависит от ряда факторов, из которых основное
значение имеет строение ткани плодов и технология подготовки сырья к
переработке. Далеко не каждый сорт яблок, имеющий хорошие вкусовые качества,
может быть рекомендован для производства сока. Практикой установлено, что
ранние сорта яблок в основном идут в реализацию в свежем виде. Они не пригодны
для длительного хранения и период их потребления для промышленной переработки
также очень ограничен из-за быстрого перезревания. Между тем, промышленная
переработка ранних сортов яблок позволила бы значительно увеличить выпуск
пищевых продуктов, тем более, что с экономической точки зрения, целесообразно
выращивать летние сорта. Соки, полученные из летних сортов яблок,
характеризуются как имеющие низкое содержание сухих веществ, сахаров, высокую
кислотность с невысокими вкусовыми качествами. Селекционируют новые сорта
яблок, которые не уступают осенним и зимним сортам по содержанию сухих веществ,
что позволят получить качественные соки и в значительной степени снизить норму
расхода сырья при производстве сока.
Сок, полученный из летних сортов яблок,
отличается повышенным содержанием веществ, находящихся в коллоидном состоянии
(крахмал, пектин, белковые вещества), поэтому летние сорта рекомендуется
использовать для получения не осветленных соков.
Большинство осенних сортов яблок имеют плоды
среднего размера и крупные. Наиболее крупные плоды имеют сорта Хольштейнер,
Любава, Красна Дарья, Уэлси. Привлекательные товарные качества имеют яблоки
сорта Галла, Гала Мает, Прима, Красный мак, Красна Дарья, Рубин. Многие осенние
сорта отличаются высокими технологическими свойствами. Так, Пармен зимний
золотой, Зори Кубани, Казачка, Прима, Палитра, Робо незаменимые сорта при
производстве сока яблочного, обеспечивающие высокий выход, отличные вкусовые
качества и получение самоосветляющихся соков. Особенностью осенних сортов яблок
является довольно высокое содержанием сухих веществ (13,0-15,0%) и сахаров
(9,9- 11,8%), что на 20-30% выше в сравнении с летними и зимними сортами.
Содержание титруемых кислот у осенних сортов находится на уровне 0,50-0,70 %.
Высокое содержание сахаров и умеренная кислотность придают плодам наиболее
благоприятное сочетание сахара и кислоты, обеспечивая сахаро-кислотный индекс в
наиболее благоприятных пределах -16-20. Содержание пектиновых веществ невысокое
- 0,60-0,80%. Осенним сортам яблок характерно невысокое содержание аскорбиновой
кислоты, которое находится на уровне 5,0-7,0 мг%. Однако, среди осенних сортов
яблок постоянно выделяются с максимальным содержанием витамина С сорта
Хольштейнер, Уэлст дабл Ред, Красна Дарья, Казачка, Красный мак, Зори Кубани.
Количество витамина Р в яблоках осенних сортов невысокое 80-120 мг%, что для
зимних сортов является минимальным уровнем содержания. В зависимости от
биохимических показателей яблок предложен конвейер переработки плодов на
различные виды консервной продукции.
Зимние сорта яблок наиболее ценная группа,
обеспечивающая питание свежими плодами в течение круглого года. Существенно
сказывается на выходе сока морфологические особенности строения тканей
различных сортов яблок, т.к. степень извлечения сока при прессовании
обусловлена физиологическими и физико-химическими свойствами плодовой ткани.
Так, яблоки позднего срока созревания имеют плотные стенки клеток не только
наружного эпидермиса, но и внутренней паренхимы. Протоплазма клетки плохо
проницаема для находящегося в клеточном соке экстрактивных веществ, препятствуя
выходу сока при отжиме. Поэтому эти сорта яблок, несмотря на высокое содержание
сухих веществ, имеют высокую норму расхода сырья на тонну готовой продукции и
не могут быть рекомендованы для производства соков яблочных осветленных. В
зависимости от содержания сухих веществ, сахаров, кислот, пектина, соотношения
сока и мякоти предложен технологический конвейер по переработке яблок позднего
срока созревания на различные виды консервной продукции - сок, сухофрукты,
пюреобразные продукты, сидры, а также выделены сорта, имеющие высокую
лежкоспособность.
1.2.2 Химический состав
яблок
Свежие плоды и ягоды - источник важнейших
углеводов, минеральных веществ, витаминов, сбалансированный набор которых
повышает их диетические свойства. Человеку в год требуется минимум 65-70 кг
плодов и ягод, из которых на долю яблок приходится 35%. Производство и
потребление плодово-ягодного сырья на душу населения у нас в стране очень
низкое - 15-18 кг, в зарубежных странах оно гораздо выше и составляет: от 97 кг
в Англии до 152 кг в Германии. Низкие объемы производства плодов и ягод в
России приводят нас к зависимости от экспортных закупок [3]. Следует отметить,
что недостаток количества фруктов особенно ощутим в зимне-весенний период
времени, что ставит задачу не только сохранять и продлять сроки потребления
плодов в свежем виде, но и увеличить выпуск высококачественной консервной
продукции [4]. Химический состав растительного сырья определяет его пищевую
ценность, органолептические свойства, динамику изменения вкусовых и товарных
качеств в процессе хранения и переработки [5,6,7,8]. Биохимические показатели
качества в плодах каждой культуры варьируют даже в пределах одного сорта в
зависимости от зоны произрастания, погодных условий вегетационного периода,
агротехнических мероприятий и других факторов [9,10,11,12]. Однако, несмотря на
колебания, в них сохраняются специфичсекие особенности, свойственные данной
группе или сорту. Необходимы комплексные исследования биохимических показателей
качества плодово-ягодного сырья в сортовом разрезе.
Большое значение, обусловливающее пищевые
достоинства плодов, а в сочетании с кислотами и вкус, имеет комплекс углеводов,
количественно преобладающий в плодах. Одним из важнейших показателей, по
которому судят о качестве перерабатываемого сырья, является накопление сухих
веществ, от содержания которых зависят биохимические процессы, происходящие в
плодах при хранении. При изготовлении консервов (варенье, джемы, соки, компоты)
сухие вещества являются важнейшим показателем, определяющим качество консервов,
расход сырья, вспомогательных материалов, длительность технологического
процесса. Количество общих сухих веществ, определяемых высушиванием, в семечковых
плодах варьирует от 7,5 до 24,8%, растворимых сухих веществ от 7,5 до 20,8% [13].
Содержание сухих веществ зависит не только от
вида, сорта сырья, но и от погодных условий вегетационного периода,
агротехнических мероприятий, проводимых при выращивании плодов. Обильные дожди
перед уборкой урожая способствуют значительному снижению содержания сухих
веществ, ухудшая при этом лежкость плодов и увеличивая нормы расхода сырья при
переработке. Большую часть сухих веществ, содержащихся в плодах, составляют углеводы,
к которым относятся сахара, крахмал, целлюлоза, пектиновые вещества.
Сахара являются основным источником энергии,
расходуемой растением в процессе роста. С участием сахаров осуществляется
важнейший процесс у высших растений - дыхание, сопровождающееся уменьшением
сахаров, массы плодов, изменением состава окружающей плоды атмосферы,
возникающей вследствие поглощения 02 и выделения С02 [5]. В зеленых плодах
содержание сахара обычно невысокое. В начальный период созревания, когда
значительная часть питательных веществ расходуется на образование тканей плода,
количество сахаров несколько снижается, а затем увеличивается пропорционально
массе плодов [14]. Так, из сахаров в яблоках преобладает фруктоза (5,5%), в
основном формирующая сладкий вкус яблок, затем глюкоза (2,0%) и сахароза
(1,5%). По накоплению углеводов обычно судят о качестве яблок, сроках их
сбора[15,16]. Сахара отличаются между собой сладким вкусом. Порог сладости
(минимальная концентрация, при которой ощущается сладкий вкус) зависит от вида
сахара и составляет для фруктозы 0,25%, для глюкозы 0,55% и для сахарозы 0,38%
. Вкусовые ощущения зависят не только от количества сахара, но и от содержания
кислот, поэтому для оценки вкусовых качеств сырья чаще определяют соотношение
сахара и кислоты или сахаро-кислотный индекс [17]. Свойства сахаров, их
изменения в процессе переработки сказываются на качестве консервной продукции.
Сахара хорошо растворимы в воде, поэтому их потери возможны при мойке,
бланшировке сырья. Потемнение продуктов, содержащих сахара, чаще всего
вызывается происходящим при нагревании взаимодействием сахаров с
аминокислотами. При этом образуются темно окрашенные соединения, называемые
меланоидинами, что является одной из основных причин потемнения и
нежелательного изменения аромата, вкуса, цвета плодово-ягодных консервов.
Полисахариды представлены в основном крахмалом (0,8%), клетчаткой (0,6%),
пектиновыми веществами (0,6 - 2,0%)[18] .
Крахмал в наибольшем количестве содержится в
недозрелых плодах. Зимние сорта яблок ко времени съема имеют 1,0 - 1,5%
крахмала, который при дальнейшем хранении в течение 1 - 1,5 месяцев переходит в
сахара. С содержанием крахмала в яблоках связано состояние зрелости плодов. По
данным М. Линде, в зеленых яблоках содержится значительное количество крахмала (4,8
- 5,8%), а по мере созревания его количество уменьшается до 0,8%; по мнению
других авторов, в момент съема количество крахмала составляет 2-3%[15].
Целлюлоза или клетчатка - основная часть стенок
клеток растений, массовая доля составляет от 0,24 до 2,0 %, что обусловлено
сортом и районом выращивания [17].
Пектиновые вещества в плодах встречаются в трех
видах: протопектин, нерастворимый в воде; пектин - растворимый в воде,
содержащийся в клеточном соке; пектиновая кислота - вещество, образованное из
1,4-глюкозидносвязанных молекул галактуроновой кислоты. Морфологическое и
физиологическое значение пектиновых веществ в тканях плодов заключается в том,
что они выполняют функции связывания клеток. По содержанию пектиновых веществ
сорта яблок значительно разнятся между собой - от 0,18 до 2,0%. Минимальные
количества определены у крупноплодных сортов, максимальное - у мелких сортов .
Вкусовые качества плодов и продуктов их
переработки определяются количественным содержанием органических кислот
алифатического ряда и их соотношением. Накопление в плодах кислот тесно связано
со всем комплексом превращений органических кислот во время формирования урожая
и его хранения, с типом дыхания и обмена веществ[5,6]. Скорость превращения
глюкозы в пировиноградную кислоту в процессе аэробного дыхания определяет
интенсивность расхода питательных веществ плодов и сроки их хранения. Кислоты
влияют на различные процессы переработки. Их содержанием обусловлены режимы
стерилизации консервов, коррозионная устойчивость жестяной тары и крышек. В
кислой среде не развиваются термостойкие бактерии. Кислоты способствуют
инверсии сахарозы, что наблюдается при засахаривании варенья. Яблочные соки,
полученные из яблок с высоким содержанием кислот, легко
осветляются[18,19,20,21,22]. Получить высококачественные джемы, конфитюры можно
при определенном pH среды, которая способствует увеличению желирования
[67,109,110,120]. Общая кислотность плодов яблок варьирует в широких пределах -
0,2-1,5 %. Их содержанием обусловливаются определенные вкусовые качества. Общее
содержание кислот складывается из титруемой доли (свободные кислоты и кислые
соли) и не титруемой доли (нейтральные соли), однако кислый вкус плодов
определяют только титруемые кислоты [5,6].
В яблоках из органических кислот содержатся в
основном яблочная, лимонная кислоты. Яблочная кислота в яблоках составляет 68%
от суммы всех кислот. Затем следует лимонная (12%), янтарная (3,8%),
хлорогеновая (3,7%) и др. Органическими кислотами в основном богата плодовая
мякоть, в кожуре их гораздо меньше[5]. Общее содержание кислот еще не
характеризует в полной мере кислого вкуса плодов. Он зависит от количества
свободных водорастворимых ионов [23]. Разные участки плода отличаются по
величине pH . Кислый вкус плодов зависит от соотношения в них кислот и сахаров.
В зависимости от помологического сорта яблок данный показатель
(сахаро-кислотный индекс) варьирует от 10 до 60.
Азотистых веществ в плодах по количеству
немного. Их массовая доля составляет 0,2 - 0,45% [24]. Они прежде всего
представлены аминокислотами и белками, однако играют важную роль в мета- и
кетаболизме плодов при хранении, участвуют в сахароаминных реакциях.
Распределение азотистых соединений в яблоках неравномерно. Кожица содержит
примерно в 3 - 4 раза больше азота, чем мякоть плода, соответственно отличается
большей активностью в обмене веществ. В яблоках количественно преобладают
глутаминовая и аспарагиновая кислоты, а также аспарагин, аланин. Колебания
остальных аминокислот значительны в зависимости от условий произрастания.
Аромат яблок связывают многие исследователи с содержанием глицина[25].
Для сырья, закладываемого на хранение и
используемого в процессе консервирования, важно содержание аскорбиновой
кислоты, а также веществ Р-витаминной активности, которые выполняют роль
антиоксидантов [5,6].
Наличие фенольных соединений и полифенольных
веществ в плодах очень важно с точки зрения формирования вкуса. Известно, что
основной вкус плодов обусловлен определённым сочетанием сладких, кислых,
горьких и вяжущих веществ. К веществам с флавонойдной структурой, которые стали
называть витамином Р, относятся рутин, катехины, лейкоантоцианы, кверцетин,
которые имеют высокую биологическую капилляроукрепляющую природу, хотя и в
разной степени. Носителями вяжущего вкуса в яблоках являются полифенолы (дубильные
вещества), а также флавонолы и их производные [5,6]. Академики В.И. Паладин,
А.Н. Бах, А.И. Опарин считают полифенольные вещества активными участниками
многих биохимических процессов [6]. Окраска большинства плодов обусловлена
водорастворимыми пигментами, к которым относятся антоцианы. Содержание
антоцианов в плодах зависит от их зрелости, они в основном сосредоточены в
кожице - от 3,5 до 18 мг в 1 г сухих веществ [19]. Флавоны и флавонолы могут
наделять плоды желтым цветом, ликоины - оранжевым. Лейкоантоцианы, катехины,
флава- ноны в плодах содержатся в бесцветной форме, однако при нарушении
структуры они могут образовать соединения, окрашенные в красный цвет.
Количественным и качественным содержанием полифенолов свежих плодов
определяется качество готового продукта. Многие фенольные соединения являются
антиоксидантами, служащими акцепторами образующихся при аутоксикации свободных
радикалов (т. е. фенольные соединения способны гасить свободнорадикальные
процессы), в связи с этим представляет практический интерес изучение развития
заболевания загар в плодах при хранении с участием фенольных веществ.
1.2.3 Пищевая ценность
яблок
Яблоко - это настоящий кладезь полезных веществ,
начиная с витаминов, в первую очередь A, B1, B2, C и P, и заканчивая микроэлементами
- кальцием, фосфором, калием, серой и т.д. Плюс к этому фруктовые кислоты,
пектины и танины - вещества, способствующие пищеварению и укрепляющие стенки
кровеносных сосудов. При этом яблоко на 95% состоит из воды так что лучшего
средства для утоления жажды или для низкокалорийной диеты не сыскать, ведь
пищевая ценность яблока всего 85 ккал на 100 г. Благодаря танинам яблоко,
точнее его сок, обладает ранозаживляющими свойствами. Широко известны и
мочегонные свойства яблок. Благодаря содержанию легкоусвояемых сахаров яблоко
является великолепным природным тоником. А клетчатка, которой в изобилии в
любом самом сладком и мягком плоде, великолепно чистит и стимулирует зубы и
дёсны - не зря же в древности сырые яблоки ели после трапезы, чтобы почистить
зубы. Яблоки очень полезны при диабете - они быстро и без побочных явлений
снижают уровень холестерина в крови. Некоторые специалисты считают, что для
поддержания нормального уровня холестерина достаточно трёх яблок в день.
1.3 Технология
производства яблочного сока
Сок - жидкий пищевой продукт, который несброжен,
способен к брожению, получен из съедобных частей доброкачественных, спелых,
свежих или сохраненных свежими либо высушенных фруктов и (или) овощей путем
физического воздействия на эти съедобные части и в котором в соответствии с
особенностями способа его получения сохранены характерные для сока из
одноименных фруктов и (или) овощей пищевая ценность, физико-химические и
органолептические свойства [26]. Сок готовят из яблок разных сортов и сроков
созревания, поэтому по химическому составу яблочные соки могут значительно
различаться, хотя большинство промышленных сортов яблок имеет незначительный
диапазон в содержании сухих веществ (19…21%) и органических кислот (0,3…0,6%),
также они содержат пектиновые вещества (0,5…1,0%), богаты витаминами. Для
получения соков лучшими являются яблоки осенне-зимних сортов с плотной тканью,
которые при дроблении дают мезгу зернистой структуры, хорошо поддающуюся
прессованию. Выход сока составляет 80% и более. После дробления мезга должна
сразу поступать на прессование, так как при измельчении нарушается целостность
клеточных стенок, и высвобождаются полифенольные ферменты. При этом с участием
кислорода воздуха окисляются полифенольные и другие легкоокисляемые соединения,
что приводит к потемнению и ухудшению вкуса и запаха сока. Продукты окисления
полифенолов могут иметь красную, оранжевую, коричневую окраску и,
соответственно, менять цвет сока. Отжатый сок, который содержит пектиновые и
полифенольные вещества и некоторую часть крахмала и азотистых соединений,
необходимо осветлить комбинированными способами с применением пектолитических и
амилолитических ферментов и других осветляющих веществ. Для получения яблочного
сока применяют комплексные механизированные линии, включающие приёмку сырья и
получение готового продукта.
Соки осветлённые представляют собой жидкую фазу
плодов с растворёнными в ней веществами, отжатую из плодовой ткани. Доставка,
приёмка и хранение сырья осуществляются в производстве соков так же, как при
изготовлении других видов фруктовых консервов. Мытое сырьё инспектируют, удаляя
плоды, поражённые вредителями, загнившие и с другими дефектами [27].
Механическое измельчение (дробление) является основным способом воздействия на
растительную ткань в производстве соков. Однако чрезмерно мелкое измельчение
превратит мезгу в сплошную массу, в которой не будет «каналов» для вытекания
сока. Степень повреждения клеток при механическом измельчении зависит от вида
плодов и конструкции измельчающего устройства. Степень повреждения клеточной
структуры яблок при измельчении на шлифовальной машине порядка 30…35%. Однако,
при измельчении яблок на тёрочно-ножевой дробилке доля клеток с повреждёнными
мембранами может достичь 60…80%. При прессовании также происходит повреждение мембраны.
В процессе нагревания растительного сырья коагулируются и обезвоживаются белки
протоплазмы, что приводит к увеличению клеточной проницаемости. Тепловая
обработка оказалась наиболее эффективной для плодов с низкой сокоотдачей.
Нагревание не только повышает выход сока, но и оказывает другие воздействия на
сырьё: инактивирует ферменты, снижает слизистость и вязкость, способствует
переходу красящих веществ из кожицы и мякоти плодов в сок. Режим нагревания
должен быть правильно подобран для каждого вида и сорта сырья. Дроблёные плоды
нагревают в аппаратах непрерывного действия разного устройства.
Большинство плодов и ягод содержат пектиновые
вещества, которые затрудняют выделение сока и уменьшают его выход. Пектиновые
вещества находятся в плодах в виде нерастворимого в воде протопектина и
растворимого пектина. Протопектин входит в состав клеточных стенок и срединных
пластинок растительных тканей. Основное влияние на процесс выделения сока
оказывает растворимый пектин, который обладает водоудерживающей способностью и
повышает вязкость сока, препятствуя его вытеканию. Поэтому при обработке мезги
пектолитическими ферментами необходимо, прежде всего, разрушить нерастворимый
протопектин. Протопектин должен быть гидролизован только частично, так чтобы
отделить клетки одну от другой и частично разрушить их стенки для повышения
клеточной проницаемости. Пектолитические ферментные препараты не только
разрушают пектиновые вещества, но и действуют на клетки токсичными веществами
неферментативной природы, которые входят в состав препаратов и вызывают
коагуляцию белково-липидных мембран и гибель растительных клеток. В результате
этих превращений клеточная проницаемость увеличивается, протоплазменные
мембраны разрываются, и выход сока значительно облегчается. Для обработки мезги
плодов при производстве соков без мякоти используют ферментный препарат
Пектофостидин, который выпускается в виде порошка. Препарат Novoferm 10х
(выращивается поверхностным способом) представляет собой комплекс ферментов
пектиназы, полигалактуроназы, пектинметил-эстеразы, целлюлазы и амилазы.
Оптимальная температура действия пектолитических ферментных препаратов 35…40°C.
Повышение температуры сверх 55°С инактивирует ферменты и действие препарата
прекращается. Продолжительность обработки 1…2 часа. Novoferm 10х применяется
как для обработки мезги, так и для осветления соков. Новым видом ферментов,
которые могут применяться для обработки мезги в целях повышения выхода сока,
являются разжижающие ферменты, в состав которых входит пектиназа и целлюлаза.
Для извлечения сока из подготовленной мезги
плодов применяют прессование, центрифугирование, диффузию и т.д. Основной
способ извлечения сока из плодов и ягод - прессование - состоит в давлении на
мезгу. Основная функция пресса заключается не в раздавливании растительной
ткани, не в повреждении биомембран клеточной структуры, а в выдавливании сока,
уже выделившегося из повреждённых в процессе предварительной обработки клеток.
Пресс не предназначен для выделения сока из клеток, а служит для отделения
жидкой фазы мезги - сока, вытекающего из разорванных ещё до начала прессования
клеток. Высокий выход сока зависит главным образом от надлежащей
предварительной обработки сырья. Прессово-экстракционный способ состоит в
отжатии сока из мезги на прессе, затем к выжимкам добавляют воду в соотношении
от 1:0,5 до 1:1, тщательно размешивают и извлекают полученный сок на барабанном
вакуум-фильтре. Сок, отжатый из выжимок, содержит меньше растворимых сухих
веществ, чем после однократного прессования, поэтому его уваривают или используют
для приготовления сахарного сиропа в производстве соков с сахаром. Диффузионный
способ заключается в том, что весь сок с растворимыми сухими веществами
извлекают из выжимок водой.
Для получения прозрачного продукта необходимо
нарушить коллоидную систему и обеспечить оседание взвешенных частиц и удаления
части коллоидов, прежде всего нестойких. Однако в процессе хранения возможно
взаимодействие коллоидов между собой и образование более крупных частиц,
которые могут вызвать помутнение сока и выпадение осадка Различают физические,
биохимические и физико-химические способы сепарирование. К биохимическим -
обработка ферментами. К физико-химическим: отстойка, обработка бентонитом,
мгновенный подогрев.
После осветления сока для отделения
скоагулировавших коллоидов и осевших частиц его фильтруют. Фильтрование -
механический процесс выделения взвешенных частиц из сока путём пропускания его
через пористый слой. Различают 3 вида фильтрования: поверхностное, глубокое и
адсорбционное. Для фильтрования фруктовых соков используют фильтры разных
типов: пластинчатые (фильтр-прессы), намывные и барабанные. Барабанные фильтры
представляют собой вращающийся барабан с решётчатой поверхностью из
полипропилена, на которую натянуто фильтровальное полотно.
Для обеспечения более гармоничного вкуса соков
их купажирут (смешивают). Купажируют соки либо одного вида плодов или ягод с
разным содержанием кислот и сахаров, либо соки двух разных видов. Пектиновые
вещества прессового сока, не подвергшегося дальнейшей технологии обработки,
находятся в прочной связи с белками и полисахаридами, с которыми выделяется в
осадок при осаждении со спиртом. Пектиновые вещества в процессе получения
осветленного яблочного сока независимо от технологии претерпевают качественные
и количественные изменения, такие, как разрыв цепи молекулы и
диметоксилирования, не преводящие к разрыву связей с другими соединениями -
белком и полисахаридами. Это подтверждает предположение, что в сырье пектиновые
вещества находятся в едином белково-полисахаридном комплексе. Технологическая
схема с применением ультрафильтрации позволяет значительно быстрее, проще и
эффективнее получить осветленный яблочный сок, стабильный в процессе
длительного хранения. Был изучен способ ультрафильтрации на осветление соков.
Из сока изготовляют концентрат. Установлено, что степень нарушения окраски
концентрата зависела от температуры и времени хранения, при этом образцы после
ультрафильтрации характеризовались более светлой окраской и в меньшей степени
бурели при хранении. Применение пектолитических ферментов перед
ультрафильтрацией вызывало интенсификацию окраски концентрата. Яблочный
концентрат слабо мутнел при хранении независимо от способа осветления. При
ультрафильтрации крахмальный комплекс разрушался и не требовалось
дополнительной обработки соков амилолитическими ферментами.
1.3.1 Виды яблочных
соков
Соки в зависимости от способов их производства и
обработки фруктов (или) овощей бывают следующих видов[27]:
а) сок прямого отжима - сок, произведенный
непосредственно из свежих или сохраненных свежими фруктов и (или) овощей путем
их механической обработки;
б) свежеотжатый сок - сок прямого отжима,
произведенный из свежих или сохраненных свежими фруктов и (или) овощей в
присутствии потребителей и не подвергавшийся консервированию
в) восстановленный сок - сок, произведенный из
концентрированного сока или концентрированного сока и сока прямого отжима и
питьевой воды.
г) концентрированный сок - сок, произведенный
путем физического удаления из сока прямого отжима части содержащейся в нем воды
в целях увеличения содержания растворимых сухих веществ не менее чем в два раза
по отношению к исходному соку прямого отжима. При производстве
концентрированного сока может быть применен процесс экстракции сухих веществ из
измельченных фруктов и (или) овощей той же партии, из которых предварительно
был отделен сок, посредством питьевой воды при условии, что продукт данной
экстракции добавляется в исходный сок до этапа концентрирования внутри одного
поточного технологического процесса. В концентрированный сок могут быть
добавлены концентрированные натуральные ароматообразующие вещества,
произведенные из одноименного сока либо из одноименных фруктов или овощей;
д) диффузионный сок - сок, который произведен
путем извлечения с помощью питьевой воды экстрактивных веществ из свежих
фруктов и (или) овощей либо высушенных фруктов и (или) овощей одного вида, сок
из которых не может быть получен путем их механической обработки. Диффузионный
сок может быть подвергнут концентрированию, а затем восстановлению. Содержание
растворимых сухих веществ в диффузионном соке должно быть не ниже уровня,
установленного для восстановленных соков;
е) фруктовый и (или) овощной нектар - жидкий
пищевой продукт, который несброжен, способен к брожению, произведен путем
смешивания сока, и (или) фруктового и (или) овощного пюре, и (или)
концентрированного фруктового и (или) овощного пюре с питьевой водой с
добавлением сахара, и (или) сахаров, и (или) меда, подсластителей или без их
добавления. Минимальная объемная доля сока и (или) фруктового и (или) овощного
пюре во фруктовом и (или) в овощном нектаре должна быть не ниже уровня,
установленного в приложении 2 к настоящему Федеральному закону. В такой нектар
могут быть добавлены фруктовая и (или) овощная мякоть и (или) клетки цитрусовых
фруктов, концентрированные натуральные ароматообразующие вещества одноименных
фруктов и (или) концентрированные натуральные ароматообразующие вещества
одноименных овощей. Консервирование фруктового и (или) овощного нектара может
быть осуществлено только с использованием физических способов, за исключением
обработки ионизирующим излучением. Смешанный фруктовый и (или) овощной нектар
производят путем смешивания двух и более соков, или фруктового и (или) овощного
пюре, или концентрированного фруктового и (или) овощного пюре, произведенных из
различных видов фруктов и (или) овощей;
ж) фруктовый и (или) овощной сокосодержащий
напиток - жидкий пищевой продукт, который несброжен, способен к брожению,
произведен путем смешивания сока или соков и (или) фруктового и (или) овощного
пюре либо концентрированного фруктового и (или) овощного пюре с питьевой водой
и в котором минимальная объемная доля сока и (или) фруктового и (или) овощного
пюре составляет не менее чем 10 процентов либо, если такой продукт произведен
указанными способами из сока лимона или лайма, не менее чем 5 процентов.
Консервирование фруктового и (или) овощного сокосодержащего напитка может быть
осуществлено только с использованием физических способов, за исключением
обработки ионизирующим излучением.
1.4 Методы определения
аминокислот
Аминокислоты являются биологически активными
веществами, они играют большую роль в жизнедеятельности организма человека, их
широко используют в качестве лекарственных средств [28,29,30,31,32,33] . Часть
из них являются незаменимыми и поступают в организм вместе с пищей. В настоящее
время существует ряд методов количественного определения аминокислот в
лекарственном растительном сырье, в лекарственных препаратах и биологических
жидкостях, в пищевых продуктах.
Из всего многообразия методов количественного
определения аминокислот в различных объектах, можно выделить четыре основные
группы: хроматографические, спектрофотометрические, титриметрические и
электрохимические методы анализа.
1.4.1
Хроматографические методы
За последние десятилетия достигнуты значительные
успехи в области газожидкостной хроматографии аминокислот. Предложен метод с
использованием микронабивных колонок, позволяющий за сравнительно короткое
время разделять практически полностью 17 важных в биологическом отношении α-аминокислот
[28].
Разработана методика определения аминокислот с
помощью газожидкостной хроматографии в образцах сыворотки, плазмы, мочи и
спинномозговой жидкости, основанная на получении
2,3,4,5,6-пентафторбензоил-изобутиловых эфиров с последующим разделением на
колонке из полидиметилсилоксана в режиме программирования температуры от 140°С
до 250°С с пламенно-ионизационным детектором. Время хроматографического
разделения составляет 28 мин. В результате исследований удалось разделить 27
аминокислот [34].
Несмотря на многообразие методик
высокоэффективной жидкостной хроматографии в анализе аминокислот, наиболее
экспрессным и доступным является обращено-фазовый вариант со
спектрофотометрическим детектированием. Для успешного разделения и
детектирования аминокислоты переводят в гидрофобные и поглощающие свет
производные, то есть проводят предколоночную дериватизацию. В качестве
реагентов для дериватизации применяют ортофталевый альдегид,
нафталин-2,3-дикарбоксиальдегид, 9-флуоренилметилхлороформиат [35].
Разработана методика количественного определения
L-цистина, L-глутаминовой кислоты и глицина в лекарственном препарате
«Элтацин», обладающего антиоксидантной активностью в сочетании с
антиангинальным эффектом [35]. Глутаминовую кислоту и глицин определяли методом
обращено-фазовой высокоэффективной жидкостной хроматографии после
предколоночной дериватизации с реагентом ортофталевый альдегид /
N-ацетил-L-цистеин. Дериватизация цистеина, по данным авторов, затруднена из-за
нестабильности самой аминокислоты и образующихся производных. Поэтому, анализ
цистеина проводили методом броматометрического титрования. Установлено, что
присутствие в образце значительных количеств цистеина не мешает определению
продуктов дериватизации глицина и глутаминовой кислоты с реагентом ортофталевый
альдегид / N-ацетил-L-цистеин. Метод характеризуется высокой воспроизводимостью
и точностью определения.
Исследована возможность использования
4,7-фенантролин-5,6-диона (фанхинона) в качестве флуорогенного реагента-метки
для предколоночного образования его производных с целью разделения и
количественного анализа аминокислот методом высокоэффективной жидкостной
хроматографии. Не обладающий собственной флуоресценцией, фанхинон реагирует с
аминогруппами аминокислот (при 68 °С в течение 160 мин), образуя иминохинолы,
флуоресценцию которых измеряют при длине волны 460 нм. Выделенные производные
идентифицировали по Тпл, ИК-, масс-, и ПМР-спектрам. Высокоэффективной
жидкостной хроматографии проводили на хроматографе с флуоресцентным детектором
и колонкой при градиентном элюировании смесями: раствор триэтиламина -
фосфатный буфер (рН 3) - метанол. В качестве внутреннего стандарта использовали
хинидин. Данный метод достаточно перспективен в условиях крупных лабораторий и
может быть предложен для анализа аминокислот в готовых лекарственных формах .
Разработана методика высокоэффективной
жидкостной хроматографии с потенциометрическим биосенсором для количественного
определения лизина. Биосенсор сконструирован прикреплением, содержащей
лизиноксидазу, мембраны к ионно-селективному NH4+ - электроду. Генерируемые при
ферментативной деградации лизина ионы аммония детектируют потенциометрически.
Разработан хроматоденситометрический экспресс-метод анализа в культуральных
жидкостях триптофана. Тонкослойную хроматографию проводили на пластинках
«Сорбфил». Хроматографию осуществляли в системе пропанол-2 - 25 % раствор
аммония гидроксид (7:3) в течение 25 минут. Хроматограммы высушивали при
комнатной температуре и 15 мин выдерживали при 120ºС.
Для обнаружения пятен на хроматограммах использовали специфический реагент -
4-диметиламинобензальдегид, избирательный к индольному кольцу триптофана, в
виде 0,5 % этанолового раствора с добавлением 5 % кислоты серной
концентрированной. После проявления хроматограмм способом погружения в
тефлоновую кювету со свежеприготовленным раствором 4-диметиламинобензальдегид,
их выдерживали в течение 5-7 минут при температуре 110ºС.
Сканирование пятен триптофана проводили при длине волны 625 нм на компьютерном
видеоденситометре. Разработанный метод, несмотря на высокую точность
определения и производительность, специфичен по отношению к триптофану [36].
Для анализа α-аминокислот
в биологических жидкостях, лекарственных препаратах, продуктах питания широко
используются методы капиллярного электрофореза, основанные на разделении
компонентов сложной смеси в кварцевом капилляре под действием приложенного
электрического поля [37]. Поскольку аминокислоты имеют цвиттерионный характер,
они могут быть разделены с использованием буферных растворов электролитов с
соответствующим значением рН, чаще всего используют нейтральные и основные
разделяющие буферные растворы [38].
С целью повышения специфичности и
чувствительности метода капиллярного электрофореза для анализа отдельных α-аминокислот
используют их предварительную дериватизацию, с последующим разделением в
кварцевом капилляре и спектрофотометрическим определением продуктов реакции.
Так, в качестве дериватизирующих агентов используют 9-флуоренилметилформиат,
9-(2-карбазол)-этилхлорформиат, цианиновый краситель . Перспективность метода
обусловлена такими его достоинствами, как экспрессность анализа, простота
подготовки пробы, небольшой расход реактивов, простота аппаратурного оформления
[39].
1.4.2
Спектрофотометрические методы
Спектрофотометрические методы основаны на
способности аминокислот или продуктов их взаимодействия с определенными
реагентами поглощать в УФ - области спектра. Эта группа методов наиболее широко
используется в настоящее время для количественного анализа α-аминокислот.
Растворы ароматических аминокислот (триптофана,
фенилаланина, тирозина) поглощают в диапазоне 240-300 нм. На этом основании
разработаны экспресс-методы их количественного определения, отличающиеся
простотой. Однако, вследствие того, что максимумы светопоглощения этих аминокислот
близки, то в процессе количественного определения отдельных ароматических
аминокислот возможны ошибки анализа. Поэтому, в большинстве случаев, данный
метод анализа является предварительным и требует дополнительного анализа с
помощью высокоэффективной жидкостной хроматографии, газожидкостной
хроматографии и аминокислотных анализаторов [40].
Разработан простой и точный
спектрофотометрический метод анализа цистина (примеси цистеина в лекарственных
препаратах), основанный на способности его солянокислых растворов к
светопоглощению при длине волны 250 нм. При изучении аналитических возможностей
метода, установлено, что цистеин в это области не поглощает и не мешает
определению цистина [41].
Учитывая важную биологическую роль цистеина
(участие в реакциях трансаминирования, обмене серы в организме, в частности, в
тканях хрусталика), разработка доступных методов его определения является
важной аналитической задачей. Так, разработана методика количественной оценки
цистеина в биологических жидкостях, основанная на его
окислительно-восстановительной реакции с солями железа (III) в присутствии
1,10-фенантролина с последующим спектрофотометрическим определением продукта
реакции. Методика характеризуется высокой точностью определения и простотой
исполнения [42].
С целью определения суммарного содержания
аминокислот в сыворотке крови был разработан спектрофотометрический метод
количественной оценки продукта реакции аминокислот с альдегидом ортофталевым.
Продукт реакции определяют спектрофотометрически в присутствии меркаптоэтанола
при длине волны 340 нм. Метод характеризуется высокой чувствительностью и
позволяет количественно определить все α-аминокислоты,
за исключением цистина, пролина и оксипролина [43].
1.4.3 Титриметрические
методы
Аминокислоты относятся к веществам, титрование
которых в воде затруднено из-за слабых кислотно-основных свойств и/или малой
растворимости.
Аминокислоты растворяют в кислоте уксусной
ледяной, и полученный раствор титруют 0,1 М раствором кислоты хлорной.
Титрование может быть проведено с индикатором (кристаллический фиолетовый), так
и потенциометрически с использованием стеклянного электрода в качестве
индикаторного. Параллельно проводят контрольный опыт.
Методика анализа характеризуется высокой
точностью определения, не требует использования дорогостоящего оборудования.
Однако данный метод имеет ряд существенных недостатков: использование
агрессивных, высокотоксичных реагентов; для приготовления титранта используют
ангидрид кислоты уксусной, оборот которого в РФ ограничен; длительность приготовления
титранта (0,1М раствора кислоты хлорной - более 48 ч).
Для количественного анализа отдельных
аминокислот используют также метод Кьельдаля, кислотно-основное и
йодометрическое титрование.
1.4.4 Электрохимические
методы
Эти методы, как правило, являются строго
специфичными, т.е. в оптимизированных условиях они позволяют определить лишь
отдельные α-аминокислоты
(например, полярографию используют для анализа аминокислот или продуктов их
взаимодействия, способных к восстановлению или окислению на микроэлектродах).
Так, разработан способ полярографического определения триптофана, основанный на
электрохимическом восстановлении продуктов его взаимодействия с формальдегидом
[44]. Предложена доступная методика полярографического количественного определения
метионина в таблетках, основанная на способности метионина к окислению.
1.5 Обсуждение
аналитического обзора и постановка задачи
Трудно переоценить роль аминокислот в
жизнедеятельности организма человека. Большинство альфа-аминокислот обладают
широким спектром биологической активности и являются исходными веществами для
синтеза гормонов, ферментов, антител и многих других веществ.
Из общих биохимических
параметров концентрация аминокислот наиболее адекватный показатель качества.
Во-первых, добавки аминокислот производителями не практикуются за счет их
дороговизны. Во-вторых, чем выше концентрация аминокислот, тем корректнее
восстановлен сок, тем выше его качество. В растениях их концентрация достаточно
низкая, но они всегда присутствуют, так же как и витамины. В отличии от
последних, аминокислоты более устойчивы к хранению, окислению, термообработке.
Поэтому содержание аминокислот может служить показателем качества и подлинности
яблочного сока. Если они отсутствуют в напитке, тогда это что угодно, только не
сок.
Для определения суммарного
содержания аминокислот в яблочном соке был выбран спектрофотометрический метод
с использованием реакции с нингидрином. Метод не требует дорогостоящего
оборудования, реактивов и высокой квалификации оператора.
Цель работы - исследовать
возможность определения суммарного содержания аминокислот в яблочном соке, как
показатель качества и подлинности продукта.
аминокислота реакция нингидриновый
яблочный
2.
Экспериментальная часть
.1 Исходные реактивы,
материалы, используемая аппаратура
Спектрофотометр «SHIMADZU UV 2000»;
Электроплитка бытовая по ГОСТ 14919-83;
Шкаф сушильный лабораторный;
Водяная баня любого типа;
рН -метр-иономер « Эксперт-001»;
Колбы мерные по ГОСТ 1770 - 74 исполнения 2
вместимостью 50, 100 и 250см3;
Пипетки мерные вместимостью 1, 2, 5, 10 см3 2
класса точности по ГОСТ 20292-74;
Стаканы химической вместимостью 50 и 100см3 ГОСТ
1770-74;
Воронка лабораторная по ГОСТ 25336 типа В
диаметром 56мм и высотой 80 мм;
Вода дистиллированная по ГОСТ 6709-72;
Нингидрин ТУ 6-09-0-1384-79;
Фосфатный буфер pH 6,86;
Кислота аскорбиновая х.ч;
Кислота соляная по ГОСТ
3118-77, х.ч.
2,6 дихлорфенолиндофенолят натрия;
Валин, х.ч;
Гистидин, х.ч;
Изолейцин, х.ч;
Лейцин, х.ч;
Лизин, х.ч;
Метионин, х.ч;
Треонин, х.ч;
Триптофан, х.ч;
Фенилаланин, х.ч;
Тирозин, х.ч;
Цистеин, х.ч;
Аланин, х.ч;
Аргинин, х.ч;
Аспаргин, х.ч;
Глютамин, х.ч;
Глицин, х.ч;
Пролин, х.ч;
Серин, х.ч;
2.2 Приготовление
растворов
.2.1 Приготовление 1,0
% раствора нингидрина
В мерную колбу вместимостью 100,0 см3 помещают
1,0 г нингидрина и доводят объём до метки фосфатным буферным раствором pH 6,86.
Раствор годен в течение двух недель при хранении в холодильнике.
2.2.2 Приготовление
стандартного раствора аскорбиновой кислоты с концентрацией 2,0 мг/мл.
На аналитических весах взвешивают 0,1000г
аскорбиновой кислоты с погрешностью 0,000025г, переносят в мерную колбу
вместимостью 50,0 см3 и доводят объём до метки дистиллированной водой.
2.2.3 Приготовление
основного раствора треонина массовой концентрации 1,7026 мг/мл.
Навеску треонина массой 0,17026г количественно
переносят в мерную колбу вместимостью 100,0 см3. В колбу вносят небольшое
количество дистиллированной воды. Содержимое колбы тщательно перемешивают до
полного растворения кристаллов треонина, после чего объём в колбе доводят водой
до метки, содержимое тщательно перемешивают.
.2.4 Приготовление
рабочего раствора треонина массовой концентрации 0,17026 мг/мл.
В мерную колбу вместимостью 100,0 см3 вносят
10,0 см3 основного раствора и доводят объём до метки дистиллированной водой.
Содержимое колбы тщательно перемешивают.
2.2.5 Приготовление
фосфатного буферного раствора pH 6,86
В мерную колбу вместимостью 1000,0 см3 переносят
содержимое фиксонала фосфатного буфера с pH 6,86 и доводят объем до метки
дистиллированной водой.
2.2.6 Приготовление
раствора 2,6-дихлофенолиндофенолят натрия
Навеску 2,6-дихлофенолиндофенолята массой
0,0625г растворяют приблизительно в 150 см3 горячей воды, предварительно
прокипячённой в течение 30 минут, доводят до объёма 250,0 см3 той же
охлаждённой водой, перемешивают и фильтруют в тёмную склянку. Раствор хранят в
холодильнике не более 10 дней [45]
.3 Оптимизация условий
проведения нингидриновой реакции
Для проведения исследования в качестве
достаточно чувствительного метода был выбран спектрофотометрический метод с
использованием реакции с нингидрином [46]. Растворы аминокислот, полипептидов,
пептонов и первичных аминов при нагревании с ннгидрином приобретают синюю или
фиолетовую окраску. Реакция между нингидрином и указанными соединениями
протекает сложно. Вещества претерпевают глубокое превращение. Предполагают, что
нингидрин сначала восстанавливается, а аминокислоты окисляются, что
сопровождается их декарбоксилированием и дезаминированием (рисунок 1). При
дальнейшем взаимодействии избытка нингидрина с восстановленным нингидрином и
амиаком образуется окрашенный продукт конденсации. Образующееся соединение
имеет фиолетово-синюю окраску(λ
max = 568нм) и носит название фиолетовый Руэманна.
Рисунок 1 - Нингидриновая реакция на α
-аминокислоты
Несмотря на широкую известность реакции
нингидрина с α-аминокислотами и
казалось детальную ее изученность, отдельные аспекты данной реакции в частности
температура, длительность нагревания и pH раствора различными авторами
трактуются по-разному (таблица 1).
Таблица 1 - Условия определения аминокислот
спектрофотометрическим методом
|
Длительность
нагрева, минуты
|
Температура
нагревания, 0С
|
рH
|
Реагент
|
Литературный
источник
|
|
25
|
95
|
5-6
|
2%
спиртовой р-р нингидрина
|
Khan A.A. Studies of the kinetics
and mechanism of interaction of α-aminoacids
with ninhydrin // J. Indian Chem. Soc. - 1989.
|
|
|
|
|
VOL. 66, № 7. - P. 454-456.
|
|
15
|
100
|
6,4
|
2%
р-р нингидрина в метилцелозольве
|
Бондаренко
Б.Н. Количественное определение аминокислот при хроматографии в тонком слое /
Б.Н. Бондаренко // Лаб. дело. - 1984. - № 2. - С. 118-120.
|
|
4
|
100
|
5,5-6,0
|
спиртовый
р-р нингидрина
|
Крищенко
В.П. Комплексная методика определения аминокислот в различных фракциях
азотного комплекса растений / В.П. Крищенко // Изв. АН СССР. Сер. Биология. -
1978. - № 3. - С. 327-331.
|
|
30
|
100
|
6,4
|
1%
этаноловый р-р нингидрина
|
Половодова
Н.В. Разработка спектрофотометрической методики определения кислоты
аспарагиновой на основе реакции с нингидрином / Н.В.Половодова // Молодежная
наука Прикамье - 2002: Тез. докл. Обл. науч. конф. молодых ученых, студентов
и аспирантов, Пермь, 6-9 декабря 2002 г. - Пермь, 2002. - С. 162
|
|
10-15
|
100
|
6,4
|
0,2%
раствор нингидрина в этиловом спирте
|
Калашникова
О.М Определение аминокислотного состава микробных матов водных экосистем
байкальского региона с помощью тонкослойной хроматографии// Вест.Моск.ун-та,
сер.2. Химия 2004. Т 45. №6.
|
|
15
|
100
|
5-6
|
2%
спиртовый раствор нингидрина
|
Диханина
И.В, Айрапетова А.Ю, Лазарян Г.Д, Количественное определение аминокислот в
пыльце (обножке)// Химико-фармацевтический журнал. Том 40, №20, 2006
|
По литературным данным время проведения реакции
варьируется от 4 до 30 минут, температура нагревания от 95 до 1000С, рH
раствора от 5,0 до 6,4. Поэтому условия проведения реакции нуждаются в
уточнении.
2.3.1 Оптимизация pH
раствора нингидрина
Была изучена зависимость аналитического сигнала
от pH раствора нингидрина. Для измерения pH использовали рН -метр-иономер
«Эксперт-001» с комбинированным электродом. Прибор предварительно градуировали
по двум стандартным буферным растворам (4,01; 9,18). Растворы нингидрина с
различными значениями pH готовили добавлением в раствор нингидрина с pH 6,86
фосфорной кислоты (1:10) или 4М гидроксида натрия.
Для проведения анализа к 1,00 см3 0,12718 мг/мл
раствора аланина прибавляли 1,00 см3 дистиллированной воды и 1,00 см3 0,5%
раствора нингидрина с различными значениями pH. Нагревали в течение 30 минут
при температуре 100˚C. Охлаждали до 200С. Прибавляли 10,0 см3
дистиллированной воды, растворы перемешивали и определяли оптическую плотность
на спектрофотометре (таблица 2).
Таблица 2 - Зависимость оптической плотности от
pH раствора нингидрина
|
№
|
рH
|
Оптическая
плотность при λ=568 нм.
|
|
1
|
4,7
|
0,039
|
|
2
|
5,1
|
0,053
|
|
3
|
5,4
|
0,090
|
|
4
|
5,6
|
0,120
|
|
5
|
6,0
|
0,161
|
|
6
|
6,4
|
0,192
|
|
7
|
6,5
|
0,197
|
|
8
|
6,7
|
0,199
|
|
9
|
6,9
|
0,200
|
|
10
|
7,1
|
0,194
|
|
11
|
7,4
|
0,186
|
|
12
|
7,8
|
0,172
|
График зависимости аналитического сигнала от pH
раствора нингидрина представлен на рисунке 2.
Рисунок 2 - Зависимость аналитического сигнала
от pH раствора нингидрина
На интенсивность поглощения существенно влияет
реакция среды. В интервале рН от 6,4 до 6,9 величины оптических плотностей
практически не изменяются. Для эксперимента была выбрана величина рН 6,86.
2.3.2 Определение
температуры проведения реакции
Реакция взаимодействия α-аминокислот
с нингидрином идёт при нагревании, поэтому необходимо было установить
оптимальную температуру проведения реакции. Для поддержания постоянной
температуры в диапазоне от 50 до 100˚C использовали водяной термостат, а в
диапазоне температур от 110 до 155˚C применяли силиконовую баню.
Результаты определения представлены в таблице 3.
Таблица 3
Зависимость аналитического сигнала от
температуры нагрева
|
Температура
нагрева, ˚C
|
Оптическая
плотность при λ=568 нм
|
|
70
|
0,029
|
|
87
|
0,164
|
|
91
|
0,168
|
|
94
|
0,192
|
|
96
|
0,193
|
|
98
|
0,194
|
|
100
|
0,196
|
|
110
|
0,193
|
|
115
|
0,194
|
|
120
|
0,198
|
|
125
|
0,200
|
|
130
|
0,198
|
|
135
|
0,190
|
|
145
|
0,175
|
|
155
|
0,128
|
При температуре 50˚C образование
сине-фиолетовой окраски не наблюдали. В интервале температур от 94 до 130˚C
оптическая плотность раствора достигает максимального значения и не зависит от
температуры (рисунок 3). При дальнейшем нагревании происходило изменение спектральных
характеристик и уменьшение абсорбционности.
Рисунок 3 - Зависимость аналитического сигнала
от температуры
Для проведения анализа была выбрана температура
100 0 С.
.3.3 Оптимальное время
проведения реакции
Была изучена зависимость абсорбционности от
времени нагревания раствора (рисунок 4). Реакцию проводили при температуре 100˚C
и pH раствора 6,86.
Рисунок 4 - Зависимость оптической плотности от
времени нагревания
После 30 минут нагревания абсорбционность
раствора остаётся практически постоянной. Для анализа было выбрано оптимальное
время проведения реакции 30 минут.
После охлаждения исследовали стабильность
окраски фиолетового Руэманна во времени в течение 30 минут (таблица 4).
Таблица 4 - Стабильность окраски фиолетового
Руэманна во времени
|
Время,
мин.
|
Оптическая
плотность при λ= 568 нм
|
|
5
|
0,205
|
|
10
|
0,206
|
|
15
|
0,206
|
|
20
|
0,205
|
|
25
|
0,207
|
|
30
|
0,206
|
Аналитический сигнал полученного соединения не
изменялся в течение 30 минут.
2.3.4 Определение
концентрации реагента
Была изучена зависимость аналитического сигнала
от концентрации нингидрина (рисунок 5). В пробирку с притёртой пробкой объёмом
25,0 см3 помещают 1,00 см3 0,17026мг/мл раствора треонина, прибавляют 0,25;
0,50; 0,75; 1,00; 1,50; 2,00 см3 1% раствора нингирина и доводят
дистиллирванной водой до объёма 3,00 см3 (таблица 5).
Таблица 5 - Зависимость аналитического сигнала
от концентрации нингидрина
|
Объём
треонина, см3
|
Объём
нингидрина, см3
|
Объём
воды, см3
|
Концентрация
нингидрина в растворе, мг/мл
|
Оптичесая
плотность раствора
|
|
1,00
|
0,25
|
1,75
|
0,8
|
0,436
|
|
1,00
|
0,50
|
1,50
|
1,7
|
0,501
|
|
1,00
|
0,60
|
0,25
|
2,0
|
0,506
|
|
1,00
|
0,70
|
1,00
|
2,3
|
0,484
|
|
1,00
|
0,80
|
0,50
|
2,7
|
0,468
|
|
1,00
|
1,00
|
1,00
|
3,3
|
0,448
|
|
1,00
|
1,20
|
0,80
|
4,0
|
0,424
|
|
1,00
|
1,30
|
0,70
|
4,3
|
0,418
|
|
1,00
|
1,40
|
0,60
|
4,7
|
0,398
|
1,50
|
0,50
|
5,0
|
0,382
|
Зависимость аналитического сигнала от
концентрации реагента представлена на рисунке 5.
Рисунок 5 - Зависимость оптической плотности от
концентрации нингидрина
По результатам полученных данных в интервале
концентраций от 1,7 до 2,3 мг/мл величины абсорбционности растворов имеют
максимальные значения и практически не меняются. Для проведения анализа была
выбрана концентрация нингидрина 2,0 мг/мл. Для получения этой концентрации
прибавляют 0,60 см3 1% раствора нингидрина к пробе. Общий объём раствора 3,00
см3.
.3.5 Исследование
спектральных характеристик продуктов реакции α-аминокислот
с раствором нингидрина
Для проведения анализа к 1,00 см3 раствора
аминокислоты прибавляют 1,40 см3 дистиллированной воды и 0,60 см3 1% раствора
нингидрина, приготовленного на фосфатном буфере с pH 6.86. Нагревают в течение
30 минут при температуре 100˚C. После быстрого охлаждения до температуры
20˚C снимают на спектрофотометре спектры поглощения продуктов
взаимодействия нингидрина с различными α-аминокислотами
(рисунок 6).
Рисунок 6 - Видимая область спектра продуктов
взаимодействия α-аминокислот
с раствором нингидрина
В видимой области спектров поглощения продуктов
взаимодействия α-аминокислот
с раствором нингидрина независимо от природы аминокислоты на спектрах
поглощения наблюдаются два максимума (таблица 6).
Таблица 6 - Характеристика спектров поглощения
продуктов реакции α-аминокислот
с раствором нингидрина
|
α-аминокислота
|
Максимумы
спектров поглощения, нм
|
|
Лизин
|
400,2
|
565,0
|
|
Валин
|
401,0
|
565,0
|
|
Треонин
|
401,1
|
567,4
|
|
Аланин
|
401,0
|
565,3
|
|
Фенилаланин
|
400,0
|
565,0
|
2.3.6 Влияние
аскорбиновой кислоты на аналитический сигнал
С целью расширения аналитических возможностей
нингидриновой реакции, изучено определение аминокислот в присутствии аскорбиновой
кислоты [47]. Аскорбиновая кислота является достаточно сильным восстановителем
(Ео=+0,18В), восстанавливает часть нингидрина, что способствует повышению
чувствительности реакции и стабильности образующего окрашенного соединения.
Исследовали влияние аскорбиновой кислоты на абсорбционность пробы (рисунок 7).
При анализе использовали стандартный раствор треонина.
Рисунок 7 - Зависимость оптической плотности
фиолетового Руэманна от концентрации аскорбиновой кислоты
Установлено, что использование в качестве
цветореагента нингидрина и проведение реакции в присутствии аскорбиновой
кислоты, позволяет повысить чувствительность реакции (рисунок 8).
Рисунок 8 - Спектры поглощения продукта реакции
нингидрина с некоторыми α
-аминокислотами
Введение в реакционную смесь аскорбиновой
кислоты позволяет повысить абсорбционность. Аналитический сигнал увеличивается
в среднем в 2 раза.
2.3.7 Влияние на
аналитический сигнал разбавления пробы
Разбавленные пробы сока подвергали анализу при
установленных ранее условиях. Аналитический сигнал изменялся пропорционально
степени разбавления. При проведении анализа сок разбавляли в 20 раз, а
сокосодержащий напиток в 5 раз.
Предложенные условия проведения нингидриновой
реакции с α-аминокислотами
представлены в таблице 7.
Таблица 7 - Оптимальные условия проведения
нингидриновой реакции
|
Условия
реакции
|
Показатели
|
|
pH
|
6,86
|
|
Температура,˚C
|
100
|
|
Время,
мин.
|
30
|
|
Концентрация
реагента, мг/мл
|
2,0
|
|
Концентрация
аскорбиновой кислоты, мг/мл
|
0,3
|
|
Разбавление
сока
|
1:20
|
|
Разбавление
сокосодержащего напитка
|
1:5
|
|
Длина
волны, нм
|
568
|
2.4 Определение
аскорбиновой кислоты
Так как в разрабатываемой методике для
увеличения чувствительности рекомендуется добавление аскорбиновой кислоты,
необходимо оценить концентрацию аскорбиновой кислоты в анализируемых соках.
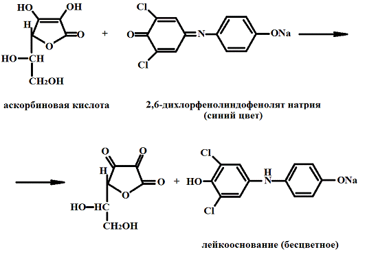
Определение аскорбиновой кислоты основано на
окислении аскорбиновой кислоты раствором 2,6-дихлорфенолиндофенолята натрия до
дегидроаскорбиновой кислоты (рисунок 9). Так как реагент обладает и свойством
кислотно-основного индикатора, то в конечной точке титрования раствор
приобретает розовую окраску, обусловленную окраской реагента в кислой среде.
Подкисление пробы проводили соляной кислотой.
Рисунок 9 - Окисление аскорбиновой кислоты
раствором 2,6-дихлорфенолиндофенолята натрия
Результаты анализа яблочных соков на содержание
аскорбиновой кислоты представлены в таблице 8.
Таблица 8 - Содержание аскорбиновой кислоты в
яблочных соках
|
Название
яблочного сока
|
Технология
производства сока
|
Концентрация
аскорбиновой кислоты в соке, мкг/мл
|
Масса
аскорбиновой кислоты
|
|
|
|
|
в
аликвоте анализируемого сока ( ×104),мг.
|
Добавленная ( ), мг.
|
|
|
На
Здоровье
|
Прямого
отжима
|
8,56
|
1,72
|
0,
9
|
0,02
|
|
Сады
Придонья
|
Прямого
отжима
|
8,60
|
1,72
|
0,
9
|
0,02
|
|
Добрый
|
Восстановленный
|
1,80
|
0,36
|
0,
9
|
0,004
|
|
Никитина
Усадьба
|
Восстановленный
|
0,90
|
0,18
|
0,
9
|
0,004
|
Концентрация аскорбиновой кислоты в соке мала и
отношение массы аскорбиновой кислоты, содержащейся в аликвоте сока к массе
добавленной аскорбиновой кислоты, составляет не более 0,02%. Поэтому содержание
аскорбиновой кислоты в соке можно не учитывать.
2.5 Выбор вещества
стандарта
В соке присутствуют такие аминокислоты как
треонин, изолейцин, лейцин, лизин, фенилаланин, валин, метионин, гистидин,
аргинин, тирозин, серин, аланин, глицин, глутаминовая кислота, аспаргиновая
кислота, пролин.
Были определены молярные коэффициенты поглощения
продукта реакции α-аминокислот
с нингидрином в установленных условиях эксперимента (таблица 9).
Таблица 9. Молярные коэффициенты поглощения
продукта реакции α
-аминокислот с нингидрином
|
Незаменимые
аминокислоты
|
Заменимые
аминокислоты
|
|
α-аминокислота
|
Ԑ·10-4
|
α-аминокислота
|
Ԑ·10-4
|
|
Треонин
|
1,28
|
Аргинин
|
1,02
|
|
Изолецин
|
1,12
|
Тирозин
|
1,02
|
|
Лейцин
|
1,23
|
Серин
|
1,23
|
|
Лизин
|
1,04
|
Аланин
|
1,42
|
|
α -фенил-β-аланин
|
1,46
|
Глицин
|
1,13
|
|
Валин
|
0,96
|
Глутаминовая
к-та
|
1,32
|
|
Метионин
|
1,45
|
Аспаргиновая
к-та
|
1,31
|
|
Гистидин
|
1,09
|
Пролин
|
1,15
|
Из литературных источников известны концентрации
отдельных аминонокислот, содержащихся в осветлённых яблочных соках [48].
Концентрации аминокислот в яблочных соках представлены в таблице 10.
Таблица 10 - Содержание аминокислот в
осветлённых яблочных соках
|
№
|
α-аминокислота
|
моль/л
|
моль/л
|
|
1
|
Треонин
|
0,0009
|
0,0013
|
|
2
|
Изолейцин
|
0,0006
|
0,00375
|
|
3
|
Лейцин
|
0,0014
|
0,0026
|
|
4
|
Лизин
|
0,0015
|
0,0023
|
|
5
|
Фенилаланин
|
0,0012
|
0,0012
|
|
6
|
Валин
|
0,0010
|
0,0014
|
|
7
|
Метионин
|
0,0007
|
0,00009
|
|
8
|
Гистидин
|
0,0006
|
0,0031
|
|
9
|
Аргинин
|
0,0019
|
0,0002
|
|
10
|
Тирозин
|
0,0015
|
0,0011
|
|
11
|
Серин
|
0,0036
|
0,0075
|
|
12
|
Аланин
|
0,003
|
0,0085
|
|
13
|
Глицин
|
0,0024
|
0,0021
|
|
14
|
Глутаминовая кислота
|
0,0036
|
0,0029
|
|
15
|
Аспарагиновая кислота
|
0,0126
|
0,0033
|
|
16
|
Пролин
|
0,0092
|
0,0014
|
Для определения суммарного содержания
аминокислот в яблочных соках необходимо выбрать вещество-стандарт. Любой
интегральный показатель является приближённой и субъективной (зависящей от
выбора вещества-стандарта) оценкой[49]. Метрологические аспекты применения
интегральных показателей не разработаны, вещество-стандарт выбирают
эмпирически. Однако, если известен состав смеси и определены коэффициенты
чувствительности, можно заранее рассчитать систематическую погрешность, которая
возникает при оценке суммарного содержания аналитов при использовании того или
иного вещества-стандарта.
При большом различии концентраций аналитов выбор
стандартного вещества осложняется, но в любом случае следует использовать
вещество со средним молярным коэффициентом поглощения. Была выбрана
аминокислота треонин, удовлетворяющая этому условию.
Оптическая плотность раствора пробы (AƩ)
- обобщённый аналитический сигнал n
компонентов исследуемой смеси. При выполнении закона Бугера-Ламберта-Бера.
A = Kici (1)
Суммирование ведём от i=1
до i=n.
В отсутствие случайных погрешностей рассчитывают интегральный показатель
c* = A/Кст
= Kici/Кст
= pici (2)
где pi
- относительная величина коэффициента чувствительности i
- го аналита
pi = Ki/Kст (3)
Нормируя все ci
по сƩ
- суммарной концентрации аналитов в растворе пробы, получаем
Ri = ci/c (4)
Объединяя (2) и (4), получаем
c* =pici
= cpici (5)
Вычислим абсолютную (∆с) и относительную (δс)
погрешности оценок:
∆с = c*
- с = с (piRi - 1) (7)
δс = piRi
- 1 (8)
Выведенные формулы применимы для априорной
оценки погрешности независимо от того, присутствует ли Xст
в пробе. Это - важное преимущество, поскольку аналитик зачастую не знает,
присутствует ли Xст в пробе.
Из формулы (8) следует, что переход от одной пробы к другой, с приблизительно
тем же набором и соотношением аналитов, но другой суммарной концентрацией, не
влияет на величину погрешности.
Расчеты показывают, что при использовании
стандартных веществ с разными Kст
погрешность δс, взятая по
модулю, должна проходить через минимум при piRi
= 1, в этом случае δс = 0. Если
все аналиты присутствуют в приблизительно равных концентрациях, оптимальное
значение Kст можно найти в
явном виде:
Kстопт = Кi/n (9)
При большом различии концентраций аналитов выбор
стандартного вещества осложняется, но в любом случае следует использовать
соединения, отвечающие условию:
К1< Кст < Кn. (10)
Предложенный алгоритм прогнозирования
систематических погрешностей был применён при разработке и оптимизации методики
определения суммарного содержания аминокислот в яблочных соках (таблица 11).
Таблица 11 - Оценка систематической погрешности
выбора вещества-стандарта
|
Ԑ·10-4
|
pi
|
Сок1
|
Сок2
|
|
|
с,
моль/л
|
Ri
|
pi·Ri
|
с,
моль/л
|
Ri
|
pi·Ri
|
|
1,28
|
1,00
|
0,0009
|
0,0203
|
0,02
|
0,0013
|
0,0312
|
0,03
|
|
1,12
|
0,87
|
0,0006
|
0,0136
|
0,01
|
0,00375
|
0,0901
|
0,08
|
|
1,23
|
0,96
|
0,0014
|
0,0316
|
0,03
|
0,0026
|
0,0624
|
0,06
|
|
1,04
|
0,81
|
0,0015
|
0,0339
|
0,03
|
0,0023
|
0,0552
|
0,04
|
|
1,46
|
1,14
|
0,0012
|
0,0271
|
0,03
|
0,0012
|
0,0288
|
0,03
|
|
0,96
|
0,75
|
0,0010
|
0,0226
|
0,02
|
0,0014
|
0,0336
|
0,03
|
|
1,45
|
1,13
|
0,0007
|
0,0158
|
0,02
|
0,00009
|
0,0022
|
0,00
|
|
1,09
|
0,85
|
0,0006
|
0,0136
|
0,01
|
0,0031
|
0,0744
|
0,06
|
|
1,02
|
0,80
|
0,0019
|
0,0429
|
0,03
|
0,0002
|
0,0048
|
0,00
|
|
1,02
|
0,80
|
0,0013
|
0,0000
|
0,00
|
0,0015
|
0,0000
|
0,00
|
|
1,23
|
0,96
|
0,00368
|
0,0831
|
0,08
|
0,0075
|
0,1801
|
0,17
|
|
1,42
|
1,11
|
0,0030
|
0,0678
|
0,08
|
0,0085
|
0,2041
|
0,23
|
|
1,13
|
0,88
|
0,0024
|
0,0542
|
0,05
|
0,0021
|
0,0504
|
0,04
|
|
1,32
|
0,0036
|
0,0813
|
0,08
|
0,0029
|
0,0696
|
0,07
|
|
1,31
|
1,02
|
0,0126
|
0,2846
|
0,29
|
0,0033
|
0,0793
|
0,08
|
|
1,15
|
0,90
|
0,0092
|
0,2078
|
0,19
|
0,0014
|
0,0336
|
0,03
|
Относительная систематическая погрешность
использования в качестве вещества-стандарта треонина составляет 3%.
2.6 Методика
определения аминокислот
Пробу объёмом 0,10-1,00 см3 помещают в пробирку
со шлифом, прибавляют 0,60 см3 1% раствора нингидрина, приготовленного на
фосфатном буфере pH 6,86, прибавляют 0,45см3 0,2% раствора аскорбиновой кислоты
и доводим дистиллированной водой до объёма 3,00см3. Пробирки неплотно закрывают
стеклянными пробками для выхода пара. Нагревают на кипящей водяной бане в
течение 30 минут, после чего быстро охлаждают до температуры 20˚C. После
охлаждения в пробирки вносят по 10,00 см3 дистиллированной воды, закрывают
пробками, интенсивно встряхивают и измеряют оптическую плотность исследуемого
раствора относительно дистиллированной воды в кюветах толщиной поглощающего
слоя 10 мм на спектрофотометре при λ=568
нм.
2.7 Построение
градуировочного графика
Для построения градуировочного графика была
выбрана аминокислота треонин. Предварительно оценена систематическая
погрешность использования треонина в качестве вещества-стандарта. Она составила
3%. При оптимизированных условиях проведения реакции треонина с 1,0% раствором
нингидрина в присутствии аскорбиновой кислоты была изучена зависимость
светопоглощения продукта реакции от концентрации треонина (рисунок 10).
Рисунок 10 - Зависимость аналитического сигнала
фиолетового Руэманна от концентрации треонина
Установлено, что продукт взаимодействия треонина
с раствором нингидрина подчиняется закону светопоглощения Бугера-Ламберта-Бера
в диапазоне концентраций от 1,0477 до 10,4755 мкг/мл.
Качественную характеристику разрабатываемой
методики предел обнаружения рассчитывали по формуле [49].
Сmin = 
(11)
где t-
коэффициент Стьюдента; 
- ; 
- ; 
- ; a - ; n - ;
СminP
- предел обнаружения, мкг/мл. Минимальная концентрация, которую можно
определить при выбранной доверительной вероятности 0,95, равна 0,07 мкг/дм3.
2.8 Анализ соков
Правильность предложенной методики проверяли
методом «введено-найдено». Были проанализированы образцы яблочных соков,
приобретённые в торговой сети: «На Здоровье», «Сады Придонья», «Добрый»,
«Агуша», «Фруто-Няня», «Никитина Усадьба» и сокосодержащего напитка «Живчик»
без добавки и с добавкой стандартного раствора треонина (таблица 12).
Таблица 12 - Проверка правильности методики
методом «введено-найдено» (n=6, P=0,95)
|
Название
сока
|
Технология
производства
|
Введено,
мкг/мл
|
|
|
|
|
Найдено,
мкг/мл ± ∆
|
|
На
Здоровье
|
Прямого
отжима
|
-
2,62 3,27
|
2,41
± 0,02 5,14 ± 0,10 5,72 ± 0,18
|
|
Сады
Придонья
|
Прямого
отжима
|
-
2,62
|
1,79
± 0,02 3,93 ± 0,10
|
|
Добрый
|
Восстановленный
|
-
2,62
|
1,71
± 0,03 4,32 ± 0,06
|
|
Агуша
|
Восстановленный
|
-
2,62
|
1,67
± 0,02 4,00 ± 0,06
|
|
Фруто-Няня
|
Концентрированный
|
-
2,69 3,27
|
2,27
± 0,02 4,79 ± 0,04 5,80 ± 0,04
|
|
Никитина
Усадьба
|
Концентрированный
|
-
2,62 3,27
|
2,30
± 0,09 4,89 ± 0,02 5,74 ± 0,12
|
|
Живчик
|
Сокосодержащий
|
-
1,96
|
2,36
± 0,01 3,95 ± 0,05
|
Погрешность определения проанализированных соков
находится в диапазоне от 0,4 до 11%.
Для образцов соков восстановленного и
концентрированного в пределах погрешности эксперимента получены идентичные
значения. Разницу между суммарной концентрацией аминокислот в пересчёте на
треонин для соков прямого отжима можно объяснить неполным соблюдением условий
технологического процесса.
2.8 Метрологическая
оценка показателей качества разработанной методики
Разработка методики анализа
предусматривает установление приписанных характеристик погрешности. Значения
приписанных характеристик погрешности устанавливают для всего диапазона
действия методики анализа. Планирование эксперимента должно отвечать условиям
воспроизводимости. С этой целью ОО отсылают в L лабораторий, каждая из которых
получает N результатов единичного анализа в условиях повторяемости. Под
«лабораторией» подразумевают сочетание таких факторов, как «оператор»,
«оборудование» и «место измерений». Одна лаборатория в общепринятом значении
этого слова представляет собой несколько «лабораторий» в том случае, если она
может предусматривать наличие нескольких операторов, каждый из которых
располагает своим рабочим местом с комплектом оборудования и условиями, в
которых выполняют работу.
Для оценки показателей качества был выбран
образец восстановленного сока «Добрый». Оценку прецизионности проводили
согласно РМГ 61 - 2003 Государственная система обеспечения единства измерений.
Показатели точности, правильности и прецизионности методов количественного
химического анализа. Методы оценки. Для образца сока в условиях внутрилабораторной
прецизионности было получено 20 сходимых результатов суммарного определения
аминокислот в пересчёте на вещество-стандарт треонин (таблица 13).
Алгоритм оценивания
прецизионности включал в себя расчет среднего арифметического по формуле (11),
показателя разброса по формуле (12), проверку однородности дисперсии по
критерию Кохрена и расчет показателя и предела повторяемости на основе данных.
Таблица 13 - Результаты единичного анализа
образца для оценивания
|
№
|
Результат
единичного анализа, полученного в условиях повторяемости, мкг/мл
|
|
Лаборатория
1
|
Лаборатория
2
|
|
1
|
1,7411
|
1,6786
|
|
2
|
1,6964
|
1,6607
|
|
3
|
1,6607
|
1,7411
|
|
4
|
1,7143
|
1,7143
|
|
5
|
1,7054
|
1,6786
|
|
6
|
1,7143
|
1,6786
|
|
7
|
1,6696
|
1,6875
|
|
8
|
1,6339
|
1,6964
|
|
9
|
1,7054
|
1,7232
|
|
10
|
1,7054
|
1,7054
|

(11)
, l = 1, ..., L. (12)
На основе полученных значений
выборочных дисперсий проверили гипотезу о равенстве генеральных дисперсий, используя
критерий Кохрена. Дисперсии результатов единичного анализа, полученные в
различных лабораториях, имеют различные значения. Предполагают, что для
аттестованной методики анализа такие различия между лабораториями невелики и,
что допустимо установить одно общее (усредненное) значение дисперсии для всех
лабораторий, применяющих данную методику.
Значение критерия Кохрена Gmax
рассчитали по формуле:
(13)
и сравнили его с табличным значением
этого критерия (Gтабл) для числа степеней свободы v = N - 1, соответствующего
максимальной дисперсии, и f=L, соответствующего числу суммируемых дисперсий, и
принятой доверительной вероятности Р = 0,95.
Так как Gmax < Gтабл, то
считали однородными
и по ним оценивали средние квадратические отклонения (далее - СКО),
характеризующие повторяемость результатов единичного анализа (параллельных
определений), полученных для содержания, соответствующего содержанию
компонента. СКО- Srl рассчитывают по формуле:
(14)
где в числе слагаемых нет
отброшенных значений.
Показатель повторяемости методики
анализа в виде СКО - srl для
содержания, соответствующего содержанию компонента в ОО, устанавливают,
принимая равным Srl:
srl
» Srl.
Показатель повторяемости
методики анализа в виде СКО, выраженный в процентах рассчитывают:
srl,
% =
(15)
где Х - общее среднее значение
результатов анализа, полученных в условиях повторяемости.
Предел повторяемости
рассчитывали по формуле:
= Q(P,n)σrl, (16)
где n - число параллельных
измерений. При Р=0,95; n=2; Q(P,n)=2,77.
Для оценки показателя
воспроизводимости методики анализа рассчитали выборочное СКО результатов
анализа, полученных в условиях воспроизводимости, - SRl по формуле:
(17)
Показатель воспроизводимости
методики анализа в виде СКО - sR
для содержания, соответствующего содержанию компонента, устанавливают, принимая
равным SRl:
sRl
» SRl
Показатель воспроизводимости
методики анализа в виде СКО, выраженный в процентах:
sRl,
% =
(18)
Предел повторяемости рассчитывали по
формуле:
= Q(P,n)σRl, (19)
где n - число параллельных измерений.
Для оценки правильности и точности
методики анализа применяли метод добавки. Образцами для оценивания являлись
рабочие пробы и пробы с добавкой, которую вносили в виде раствора
вещества-стандарта. Исходные данные представлены в таблице 14.
Таблица 14 - Результаты для оценивания
правильности и точности методики определения аминокислот
|
Номер результата анализа, l
|
Результаты
анализа пробы без добавки, xl
|
Результаты
анализа пробы с добавкой, xꞌl
|
Значение
экспериментально найденной величины добавки, xдl= xꞌl - xl
|
|
1
|
1,7411
|
4,2946
|
2,5536
|
|
2
|
1,6964
|
4,3393
|
2,6429
|
|
3
|
1,6607
|
4,3036
|
2,6429
|
|
4
|
1,7143
|
4,3304
|
2,6161
|
|
5
|
1,7054
|
4,3750
|
2,6696
|
|
6
|
1,7143
|
4,3750
|
2,6607
|
|
7
|
1,6696
|
4,3661
|
2,6964
|
|
8
|
1,6339
|
4,3125
|
2,6786
|
|
9
|
1,7054
|
4,2232
|
2,5179
|
|
10
|
1,7054
|
4,3214
|
2,6161
|
|
11
|
1,6786
|
4,3393
|
2,6607
|
|
12
|
1,6607
|
4,4018
|
2,7411
|
|
13
|
1,7411
|
4,3661
|
2,6250
|
|
14
|
1,7143
|
4,3214
|
2,6071
|
|
15
|
1,6786
|
4,3393
|
2,6607
|
|
16
|
1,6786
|
4,3929
|
2,7143
|
|
17
|
1,6875
|
4,3661
|
2,6786
|
|
18
|
1,6964
|
4,3214
|
2,6250
|
|
19
|
1,7232
|
4,3393
|
2,6161
|
|
20
|
1,7054
|
4,3750
|
2,6696
|
Рассчитывают значения следующих величин:
- среднее значение
результатов анализа пробы без добавки;
- среднее значение
результатов анализа пробы с добавкой;
- среднее значение
экспериментально найденной добавки;
- СКО,
характеризующее случайный разброс результатов анализа пробы без добавки;
- СКО,
характеризующее случайный разброс результатов анализа пробы с добавкой;
Θ =
-
оценка математического ожидания систематической погрешности методики анализа,
где С - аттестованное значение добавки к пробе;
- рассчитанное значение
t-критерия,
где Δдоб
- погрешность аттестованного значения добавки к пробе.
- погрешность аттестованного
значения ОО.
где 
- приписанное значение концентрации
добавленного треонина, мкг/мл;

- масса навески, взвешиваемая на
аналитических весах, 0,17026г;

- предел возможного отклонения
аналитических весов, 2,5*10-5;

- массовая доля основного вещества в
реактиве, 98%;

- предельное значение возможного
отклонения массовой доли основного вещества в реактиве, 1% ;

- предел возможного отклонения
объёма мерной колбы от номинального, 0,2 см3;

- номинальный объём колбы, в которой
готовился основной раствор, 100 см3;

- предел возможного отклонения
объёма раствора, отбираемого пипеткой, от номинального, 0,03 см3;

- объём основного раствора,
отбираемого пипеткой, 5 см3;

- предел возможного отклонения
объёма мерной колбы от номинального, 0,12 см3;

- номинальный объём колбы, в которой
готовился рабочий раствор, 50 см3;

- предел возможного отклонения
объёма раствора, отбираемого пипеткой, от номинального, 0,015 см3 ;

- объём сока, отбираемого пипеткой,
1 см3 (объём сока - 0,4 см3);

- предел возможного отклонения
объёма раствора, отбираемого пипеткой, от номинального, 0,015 см3;

- объём рабочего раствора треонина,
отбираемого пипеткой, 1 см3 (объём треонина - 0,2 см3);

- предел возможного отклонения
объёма раствора, отбираемого пипеткой, от номинального, 0,015 см3 ;

- объём раствора аскорбиновой
кислоты, отбираемого пипеткой, 1 см3 (объём аскорбиновой кислоты - 0,45 см3);

- предел возможного отклонения
объёма раствора, отбираемого пипеткой, от номинального, 0,015 см3;

- объём рабочего раствора
нингидрина, отбираемого пипеткой, 1 см3 (объём нингидрина - 0,6 см3);

- предел возможного отклонения
объёма раствора, отбираемого пипеткой, от номинального, 0,02 см3;

- объём воды, отбираемого пипеткой,
2 см3 (объём воды - 1,35 см3);

- предел возможного отклонения
объёма раствора, отбираемого пипеткой, от номинального, 0,04 см3 ;

- объём воды, отбираемого пипеткой,
10 см3 (объём воды - 10 см3);
Рассчитанное значение t сравнивают с tтабл при
числе степеней свободы= L-1 и доверительной вероятности Р = 0,95.
Если t ≤ tтабл., то оценка систематической
погрешности незначима на фоне случайного разброса, и в этом случае её принимают
равной нулю (Θ=0).
При незначимости Θ
или принятом для методики анализа решении о введении в результаты анализа
поправки показателя правильности методики анализа [верхнюю ∆св и нижнюю ∆сн
границы, в которой неисключена систематическая погрешность методики анализа
находится с принятой вероятностью P=0,95] рассчитывают по формуле:
Верхнюю (Δв)
и нижнюю (Δн) границы, в
которых погрешность результата анализа находится с принятой вероятностью Р =
0,95, рассчитывают по формуле
Δв = |Δн|
= Δ
= 1,96
Результаты метрологической оценки представлены в
таблицах 15, 16.
Таблица 15 - Значения показателей повторяемости,
воспроизводимости, правильности и точности при доверительной вероятности Р=
0,95
|
Показатель
повторяемости (среднеквадратическое отклонение повторяемости), σr, %
|
Показатель
воспроизводимости, σR, %
|
Показатель
правильности (границы, в которых находится неисключенная систематическая
погрешность), ± Δс, %
|
Показатель
точности (границы в которых находится погрешность), ±Δ, %
|
|
1
|
2
|
14
|
28
|
Таблица 16 - Значения пределов повторяемости и
воспроизводимости при доверительной вероятности P = 0,95
|
Предел
повторяемости (для двух результатов параллельных определений), r, %
|
Предел
воспроизводимости (для двух результатов анализа), R, %
|
|
3
|
4
|
ЗАКЛЮЧЕНИЕ
Исследована зависимость оптической плотности
продукта реакции взаимодействия α-аминокислот
с раствором нингидрина от условий проведения реакции (температуры, времени,
реакции среды). Выбраны оптимальные значения температуры 100◦С, времени
проведения реакции 30 минут и рН раствора 6,86.
Исследовано влияние концентрации реагента на
оптическую плотность раствора. Была выбрана концентрация нингидрина 2,0 мг/мл.
Проведение реакции в присутствии раствора аскорбиновой кислоты позволяет
повысить чувствительность реакции (концентрация аскорбиновой кислоты 0,3 мг/мл)
Исследованы спектры поглощения продуктов
взаимодействия различных α-аминокислот
с нингидрином. Вне зависимости от аминокислоты спектры поглощения имеют два
четких максимума при длине волны 400 и 568 нм.
Определена концентрация аскорбиновой кислоты в
анализируемых соках. Установлено, что отношение массы аскорбиновой кислоты в
аликвоте сока к массе добавленной , составляет не более 0,02%.
Изучено влияние на аналитический сигнал
разбавления пробы. Установлено, что аналитический сигнал изменяется
пропорционально степени разбавления. Сок разбавляли в 20 раз, а сокосодержащий
напиток в 5 раз.
Проанализированы образцы яблочного сока (прямого
отжима, восстановленные, концентрированные) и сокосодержащий напиток. Проверка
правильности предложенной методики была проведена методом «введено-найдено».
Прогрешность определения проанализированных соков не превышает 11%.
CПИСОК ИСПОЛЬЗУЕМЫХ
ИСТОЧНИКОВ
1
Троян З.А, Корастилёва Н.Н. Минеральный и аминокислотный состав натурального
осветлённого яблочного сока// Хранение и переработка сельхозсырья. - 2006. -
№3. - С.27.
Причко
Т.Г. Оптимизация использования сортов семечковых, косточковых и ягодных культур
в садах различной технологической направленности. Рекомендации. - Краснодар. -
2008. - 75 с.
Княжев
В.А. Концепция и формирование научно-технического питания в области здорового
питания населения// Материалы Междунар. конф.Политика в области здорового
питания в России. -М.,1997.- С.13
4
Система научного и инженерного обеспечения пищевых и перерабатывающих отраслей
АПК России/ А.Н. Богатырёв, В.А. Панфилов, В.И. Тужилкин и др.-М.:
Пищ.промышленность, 1995. -582 с.
5
Арасимович В.В. Биохимия созревания плодов плодов// Физиология с.-х. растений.
- 1968. Т.10. -С.62-82.
Биохимия
растительного сырья/ В.Г. Щербаков, В.Г.Лобанов, Т.Н.Прудникова и др.-М.Колос,
1999.-276 с.
Кретович
В.Л Биохимия растений. - М.: Выс. школа, 1986. - 503 с.
Лучшие
сорта плодово-ягодных культур и винограда. - М.: Россельхозиздат, 1965. -366 с.
Гапоненко
Т.К., Проценко З.И. О пектиновых веществах и их роли в растениях// Ботанический
журнал. - 1962. - Т.47. - №10. -С.1488.
Запрометов
М.Н. Основы биохимии фенольных соединений. - М.: Высш.школа, 1974. - 214 с.
Причко
Т.Г. Оптимизация режимов и способов послеуборочной обработки и хранения яблок
Кубани с учётом биохимических особенностей. Автореф.дис. …канд.техн.наук. -
Краснодар, 1990. - 24 с.
Причко
Т.Г., Ушаков М.В. Влияние метеорологических условий вегетационного периода на
качество яблок// Материалы межрегиональной науч.-практич.конф. - Краснодар, -
23 марта 1999. -С.73-78.
Бархатов
В.Ю. Исследование физико-химических свойств пектиновых веществ яблок Кубани:
Автореф. …канд. техн.- Краснодар, 1972. - 20с.
Колесник
А.А. Факторы длительного хранения плодов и овощей. - М.: Гос.изд-во торг.
лит-ры, 1959. - 355 с.
Бруев
С.Н., Кожанова Н.И., Голубев С.Н. Сроки съёма лежкости плодов// Садоводство. -
1973. - №10. - С.18.
Гайковская
Л. Т., Бажуряну Н.С. Сахарно-кислотный индекс - показатель оптимального для
хранения срока съёма плодов яблони// Потенциальная лежкоспособность плодов и её
реализации при хранении. - Кишинёв, 1988. - С. 58-63.
Фае
Юнг А.Ф., Флауменбаум Б.П., Изотов И.К. Технология консервирования плодов и
овощей. - М.: Пищевая промышленность. - 1969. 605 с.
Марх
А.Т. Биохимия консервирования плодов и овощей. - М.: Пищевая промышленность,
1973.-371 с.
Коваль
И.А., Матвиенко Ю.С. Производство яблочного сока на предприятиях краснодарского
края// Консервная и овощесушильная пром-сть. - 1972. - № 5. - С. 15-16.
Наместников
А.Ф. Качество консервов. - М.: Пищ.пром-сть, 1967.-370 с.
Пацюк
Л.К., Горенькова А.Н., Самсонова А.Н. Современная технология производства
соков-напитков. - М.: ЦНИИТЭИпищепром, 1981. - Вып.10. - 165 с.
Плодовые
и овощные соки/ П. Дасканов, Р. Асларян, Р.Гепов и др. - М.: Пищ.пром-сть,
1969. - 413 с.
Варенцов
И.М Подбор сырья для консервирования// Консервная и овощесушильная пром-сть. -
1967. - № 12. - С. 17-21.
Химический
состав пищевых продуктов: Справочник. - М., ВО Агропромиздат, 1981. - Кн. I.
- 223 с. И Кн. II.
- 356 с.
25
Aromatisierte Fruchtustuckchen // Ernahrungsindustrie. -2000. - № 3.. 44-46.
ГОСТ
Р
51398-99. Консервы. Соки, нектары и сокосодержащие
напитки. Термины и определения. - М.: Изд-во стандартов, 2000. - 5 с.
ГОСТ
Р 51184-2003 Соки фруктовые. Прямого отжима. Технические условия. - М.: Изд-во
стандартов, 2004. - 20 с.
Раевский,
К.С. Медиаторные аминокислоты / К.С. Раевский, В.П. Георгиев, - М.: Медицина,
1986. - 240 с.
Машковский,
М.Д. Лекарственные средства/ М.Д. Машковский,- М.: Новая волна, 2000.
Разводовский,
Ю.В. Влияние L-триптофана на содержание свободных аминокислот и биогенных
аминов в головном мозге крыс при субхронической интоксикации фенобарбиталом /
Ю.В. Разводовский, Е.М. Дорошенко // Хим.-фарм. журн. - 2003. - Т. 37, № 1. -
С. 6-7.
Шилова,
И.В. Аминокислотный и минеральный состав надземной части Atragene Speciosa /
И.В. Шилова, Е.А. Краснов, Н.В. Барановская // Хим.-фарм. журн. - 2002. - Т.
36, № 11. - С. 36-38.
Дегтярев,
Е.В. Количественное определение L-триптофана методом хроматоденситометрии
пластинок / Е.В. Дегтярев, В.Г. Дегтярь, А.Ф. Вайсбург // Хим.-фарм. журн. -
1994. - Т. 28, № 4. - С. 52-55.
33
Gatte, R. Phanquenone: a useful fluorescent pre-chromatographic derivatization
reagent for liquid chromatographic analyses of aminoacid dosage form / R.
Gatte, M.G. Gioia, A.M. Di Pieta // Anal. chem. acta. - 2002. - № 1. - Р.
11-20.
34
Великанова, О.Ф. Спектрофотометрический метод определения суммарного количества
аминокислот в сыворотке крови / О.Ф. Великанова, Ю.В. Галаев // Лаб. дело. -
1981. - № 11. - С. 701-702
Бубенчикова,
В.Н. Лабазник шестилепестный: аминокислотный и минеральный состав / В.Н.
Бубенчикова, Ю.А. Сухомлинова // Фармация - 2005. - Т. 54, № 3. - С. 9-11.
Шпак,
А.В. Электрофоретические методы определения аминокислот/ А.В. Шпак, А.В.
Пирогов, О.А. Шпигун // Международный форум «Аналитика и аналитики»: Каталог
рефератов и статей. Т. 1. Воронеж, 2-6 июля 2003 г. - Воронеж, 2003. -192с.
Тихонов,
Б.Б. Применение метода капиллярного электрофореза для исследования
аминокислотного состава белков амаранта / Б.Б. Тихонов // Вестн. Тверск. гос.
техн. ун-та. - 2002. - № 2. - С. 128-130.
Рошаль,
Е.Р. УФ-спектрофотометрическое определение ароматических аминокислот / Е.Р.
Рошаль, В.Н. Сенаторова, А.Ф. Шолин и др. // Хим.-фарм. журн. - 1991. - Т. 25,
№ 4. - С. 80-83.
Аникина,
Н.В. Спектрофотометрическое определение цистина / Н.В. Аникина, М.Е. Пудель //
Хим.-фарм. журн. - 1983. - Т. 17, № 2. - С. 244-245.
Левина,
И.И. Непрямое полярографическое определение триптофана, триптамина и серотонина
в водно-органических растворах формальдегида / И.И. Левина, Г.В. Чечекин, А.П.
Арзамасцев // Хим.-фарм. журн. - 1997. - Т. 31, № 10. - С. 50-51.
Пахомов,
В.П. Стандартизация, рогов и пантов северного оленя. 1. Количественное
определение нингидрин активных веществ в порошке рогов северного оленя / В.П.
Пахомов, Т.В. Максимова, И.Н. Никулина и др. // Хим.-фарм. журн. - 1997. - Т.
31, № 4. - С. 53-54.
42
Gatte, R. Phanquenone: a useful fluorescent pre-chromatographic derivatization
reagent for liquid chromatographic analyses of aminoacid dosage form / R. Gatte,
M.G. Gioia, A.M. Di Pieta // Anal. chem. acta. - 2002. - № 1. - Р.
11-20.
43
Великанова, О.Ф. Спектрофотометрический метод определения суммарного количества
аминокислот в сыворотке крови / О.Ф. Великанова, Ю.В. Галаев // Лаб. дело. -
1981. - № 11. - С. 701-702.
Киселева,
Т.Л. Изучение аминокислотной фракции экстракта мумие сухого / Т.Л. Киселева,
Л.Н. Фролова, Л.А. Баратова и др. // Хим.-фарм. журн. - 1998. - Т. 32, № 2. -
С. 47-51.
ГОСТ
24556-89 Продукты переработки плодов и овощей. Методы определения витамина С. -
М.: Изд-во стандартов, 1989. - 25 с.
46
Khan, A.A. Studies of the kinetics and mechanism of interaction of α-aminoacids
with ninhydrin / J. Indian Chem. Soc. - 1989. - vol. 66, № 7. - P. 454-456.
47
Пат. 1007559 Poccийская Федерация, МПК 7 F 02 M 35/10. Унифицированный способ
количественного определения суммы свободных аминокислот в растительном сырье и
экстракционных препаратах/
Олешко
Г.И., Ярыгина Т.И, Зорина Е.В (Россия). № - 2009111168/15.
Электронные
библиотеки // Москва: Институт развития информационного общества. - 2006. -
Электронный журнал, посвященный созданию и использованию электронных библиотек.
- (Рус.). - URL:
Власова
В.И. Метрология спектрофотометрического анализа смесей органических соединений.
Проблема неаддитивности светопоглощения/ И.В.Власова, В.И.Вершинин, Т.Г.Цюпко//
Журнал.аналит.химии.-2011.-Т.66, №1. - С.25-33
К.Дёрффель,
Статистика в аналитической химии, Пер. с нем. - М.: Мир, 1994. - 268 с.