Основы физико-химических процессов получения топливных пеллет
РЕФЕРАТ
Основы физико-химических процессов получения топливных пеллет
Введение
Современный период развития
характеризуется явным истощением невозобновляемых ресурсов энергии и нанесением
ущерба окружающей среде при их переработке. В связи с этим особую актуальность
приобретает использование биотоплива, способное заменить традиционные топливные
источники. Большую роль играет и экологическая чистота новых энергетических
теплоносителей.
В последние годы энергетическое
использование древесных отходов рассматривается как альтернатива традиционным
видам топлива. Это связано с тем, что древесные отходы являются CO2-нейтральными,
имеют низкое содержание серы, относятся к возобновляемым источникам энергии.
Все это привело к тому, что технологии получения энергии из древесных отходов в
последние годы развиваются и совершенствуются. Переработка древесных отходов на
топливные пеллеты решает многие проблемы, связанные со вторичной переработкой
отходов древесины в процессе производства.
Изготовление топливных пеллет
связано с переработкой древесного сырья, заключающаяся в измельчении
низкосортного сырья, чтобы получить из него высококачественный материал.
Процесс получения древесных пеллет классически состоит из следующих основных
стадий: крупное дробление; сушка; мелкое дробление; смешение и водоподготовка;
прессование; охлаждение и сушка; расфасовка.
Физико-химические основы многих
технологических операций базируются на химии древесины и синтетических
полимеров, физической и коллоидной химии, теории прочности. Получение топливных
пеллет можно рассмотреть с точки зрения явлений, происходящих в условиях
прессования при контакте древесных частиц между собой: когезия, релаксация,
вякозкоупругие свойства компонентов древесины и их роль в межволоконном
взаимодействии.
Зная физико-химические процессы,
протекающие при получении топливных пеллет, можно разработать эффективные
методы совершенствования технологии и улучшения свойств пеллет, полученных из
древесины как хвойных, так и лиственных пород.
1. Вязкоупругие свойства
древесных волокон при получении топливных пеллет
Знание вязкоупругих свойств
древесных волокон необходимы для создания релаксационной теории и объяснения
механизма межволоконного взаимодействия при образовании топливных пеллет.
Технологические режимы с учётом вязкоупругих свойств древесины, регулируя
которые можно согласовать оптимальные режимы с параметрами оборудования.
Поскольку основные компоненты древесного комплекса являются полимерами, то их
поведение при нагревании под давлением определяется их физическим состоянием
[1].
1.1 Релаксационные
явления
В общем виде релаксацией называется
процесс перехода системы из неравновесного состояния в равновесное.
Релаксационные явления в полимерах возникают при любом нарушении статического
равновесия, вызванном внешним воздействием. Они связаны с откликом на эти
воздействия групп атомов, повторяющихся звеньев, сегментов макромолекул,
надмолекулярных образований. Интервалы времени, в течение которого составляющие
элементы достигают своего равновесия, зависят от химического строения и
физической структуры полимера, типа релаксационного процесса, температуры и
давления. Они лежат в очень широких пределах - от микросекунд до нескольких
лет. Причём составляющие элементы структуры выступают в роли самостоятельных
кинетических единиц различной подвижности. Подвижность конкретных элементов
характеризуют временем релаксации.
За время релаксации принимают
промежуток времени, в течение которого параметр, характеризующий отклонение
системы в момент времени от статического равновесия, уменьшится по сравнению с
его начальным значением в n раз.
Если мгновенно задать деформацию, то
напряжение необходимое для поддержания постоянного значения деформации, со
временем постепенно будет уменьшаться. Такое релаксационное явление называют
релаксацией напряжения. Если же задать постоянное напряжение, то образец будет
изменять свои размеры (деформироваться) по определённому закону. Такое
релаксационное явление называют релаксацией деформации.
Для описания поведения полимеров при
деформации используют механические модели, состоящие из идеальной упругой
пружины (упругий элемент) и демпфера - поршня, огруженного в вязкую жидкость
(вязкий элемент). Последовательное их соединение воспроизводит поведение
упруговязких тел (модель Масквелла). Параллельное соединение моделирует
поведение вязкоупругих тел (модель Кельвина). Довольно упрощённо можно принять,
что модель Масквелла описывает поведение линейного полимера, модель Кельвина -
сшитого [2].
Более точное описание свойств
реального полимера получают с помощью обобщённых моделей. На рисунке 1
приведена модель из четырёх элементов, сочетающая модели Масквелла и Кельвина.
Рисунок 1 - Обобщённая модель и
зависимость деформации от времени при постоянном напряжении и после его снятия tсн
Приложение механического напряжения
в момент t0 вызывает полную
деформацию по уравнению 1. Дополнительно к фактору времени добавляется фактор
температуры. Эта эквивалентность влияния температуры и времени на
релаксационные явления получила название принципа температурно-временной
суперпозиции.
е = еупр + евэл+еост
(1)
где е - полная деформация
полимерного тела;
еупр - мгновенно
возникающая упругая деформация;
евэл - высокоэластическая
деформация;
еост - остаточная
деформация
Итак, полная деформация полимерного
тела под воздействием силового поля состоит из трёх слагаемых. Мгновенно
возникающая упругая деформация еупр обусловлена изменениями
валентных углов и расстояния между химически связанными центрами атомов.
Высокоэластическая деформация евэл обусловлена релаксационными
процессами перегруппировки структурных элементов полимера, приводящими к
установлению нового равновесного расположения. Остаточная деформация еост
отражает необратимое перемещение центров макромолекул и надмолекулярных
структур и возрастает со временем неограниченно.
При снятии механического напряжения
в момент tсн мгновенная и
релаксирующая части деформаций реагируют на новые условия. Процесс возвращения
к исходному состоянию после снятия напряжения называют обратным упругим
последействием. Оно протекает в два этапа: уменьшение деформации соответствует
величине еупр, постепенное уменьшение - евэл. Необратимая
часть деформации не релаксирует и сохраняется без изменений. Изменение
высокоэластичной части деформации (а через это и полной деформации) всегда
отстаёт во времени от изменения напряжения как при развитии деформации, так и
при восстановлении исходной формы образца. В основе лежат релаксационные
явления. При циклическом изменении напряжения отставание деформации от
напряжения приводит к превращению части энергии, затрачиваемой на
деформирование, в тепло. Таким образом, механически обратимая
высокоэластическая деформация вследствие её релаксационного характера
термодинамически необратима [3].
1.2 Температурные
переходы компонентов древесины
Впервые статический метод
определения температурных переходов к установлению стеклования целлюлозы
применили В.А. Каргин и П.В. Козлов [4]. По их данным, температура стеклования
сухой целлюлозы составляет 220 - 230°С. Позднее был обнаружен ряд переходов,
соответствующих понижающей температуре. В частности, переход при 100°С
связывают с изменением конформации отдельных пиранозных колец. Для изучения
температурных переходов древесных волокон, древесины и её компонентов применяют
как статический, так и динамические методы.
Применительно к задачам образования
пеллет основной интерес представляют температурные переходы препаратов
нативного лигнина и гемицеллюлоз как ответственных за развитие межволоконного
взаимодействия. Эти знания нужны для понимания с физико-химических позиций
участия компонентов в процессе образования топливных пеллет. Для решения
практических задач управления процессом образования пеллет нужно знать
поведение древесного волокна в целом.
Низкотемпературные переходы лигнинов
связывают с колебаниями групп - СН3 в метоксильных группах боковых
цепей лигнина, гидроксильных групп, а также с колебаниями групп - ОН, способных
к образованию стабильных внутримолекулярных водородных связей.
Основной температурный переход
полимеров связан с появлением сегментальной подвижности, в результате чего
полимер переходит из стеклообразного состояния в высокоэластичное. В том
случае, когда признаки высокоэластического состояния не установлены, а
температурный переход регистрируется явно, некоторые авторы употребляют термин
размягчение.
Низкотемпературные переходы
гемицеллюлоз, установленные динамическими методами, относят к молекулярному
движению гидроксильных групп и к изменению конформации пиранозных колец.
Температура размягчения гемицеллюлоз в высокотемпературной области лежит около
100 - 160°С и изменяется в результате различных обработок (либо в сторону
повышения, либо в сторону понижения)
Для древесины в зависимости от
условий определения наблюдают либо один переход (область температур сухой
целлюлозы), либо несколько, причём при более низких температурах (область
температур других сухих компонентов). Доминирующий переход относится к
целлюлозе, остальные выражены слабо [5].
.3 Межволоконное
взаимодействие
Прочность и вязкоупругие свойства
древесины и вырабатываемых из неё древесных волокон и химические превращения
основных компонентов при горячем прессовании раскрывают механизм образования
пеллет. Сущность его заключается в развитии межволоконного взаимодействия.
Однако процесс распространяется на всю клеточную стенку древесины и является
неотъемлемой составляющей изготовления материала.
Химические превращения при горячем
прессовании пеллет являются гетерогенным процессом и протекают с низкой
степенью завершённости. Превращения распространяются за пределы межволоконного
контакта и снижают собственную прочность древесных волокон. Разделить участки
химических реакций на необходимые для развития межволоконного взаимодействия и
на сопутствующие, в которых в том числе происходят реакции, отрицательно
действующие на прочность компонентов, не представляется возможным [6].
Физико-химические явления, связанные
с температурными переходами и установлением адгезионного взаимодействия,
согласно диффузионной теории адгезии также захватывают весь объём клеточной
стенки, а не ограничиваются только поверхностью раздела фаз.
Электрорелаксационная и адгезионная теории также не предполагают свести
установление взаимодействия только к границе раздела фаз, под которыми
понимаются древесные волокна. В качестве межфазной границы, если обратиться к
рисунку 3, здесь выступают отдельные компоненты клеточной стенки. Лигнин и
нецеллюлозные полисахариды в древесной ткани являются не полностью совместимыми
полимерами. Следовательно, в условиях прессования в них происходят
физико-химические изменения, такие, как температурные переходы, взаимодиффузия
структур различного уровня, а также химические - деструкция, появление новых
функциональных групп. Изменения сопровождаются перемещениями макромолекул или
их сегментов в силовом поле. В результате устанавливаются новые межмолекулярные
и химические взаимодействия.
Если попытаться механизм образования
пеллет свести к нескольким основным элементам, то можно воспользоваться
схематической зависимостью прочности пеллет от продолжительности и
интенсивности теплового воздействия (рисунок 2).
- прочность пеллет; 2 - прочность
пеллет, полученных из предварительнообработанного паром древесного сырья; 3 -
набухание
Рисунок 1.2 - Схема изменения
прочности пеллет от интенсивности теплового воздействия при горячем прессовании
Восходящая ветвь кривой 1 отражает
нарастание прочности пеллет вследствие развития межволоконного взаимодействия
(участок I). Оно сопровождается превращениями компонентов, снижающими
собственную прочность древесных волокон. Нисходящая ветвь (участок II) отражает состояние,
когда снижение прочности древесных волокон начинает ограничивать рост прочности
прессуемых пеллет в целом [7].
Несмотря на дальнейшее развитие
межволоконного взаимодействия с увеличением интенсивности теплового воздействия
(или продолжительности его), прочность материала на участке II закономерно снижается.
Следовательно, путь к повышению прочности пеллет лежит к созданию условий
развития межволоконного взаимодействия при сохранении прочности древесных
волокон (кривая 2), чтобы добиться выхода на точку экстремума до значительного
развития деструкционных процессов. Следует, однако, иметь в виду, что исключить
снижение собственной прочности при горячем прессовании в принципе нельзя. Речь
идёт лишь о разумном её ограничении и регулировании.
Направления, по которым достигают
роста межволоконного взаимодействия, сводятся к следующему:
регулирование вязкоупругих свойств,
чтобы обеспечить достаточную поверхность контакта;
активация поверхности контакта
волокон, необходимой для химических взаимодействий и образования Н-связей;
использование дополнительных
активных экологически чистых добавок для развития адгезии или химического
сшивания макромолекул и структур;
минимизация внутренних напряжений,
что повысит формостабильность пеллет.
В заключение отметим, что
межволоконное взаимодействие обусловлено широким спектром явлений, получающих
развитие в процессе температурно-силового воздействия на исходное древесное
сырьё при трансформации его в готовые пеллеты. Обусловливающие взаимодействие
силы складываются из сил трения между поверхностями переплетённых волокон и
межмолекулярных сил. Стабильное взаимодействие достигается в результате
химических реакций между компонентами древесины: фракциями лигнина, частично
деструктированными и окисленными гемицеллюлозами, а также экстрактивных
веществ. С меньшей активностью в процесс вовлечены все остальные компоненты.
Межволоконное взаимодействие развивается с непременными изменениями всего
объёма [8].
2. Химические
превращения компонентов древесины при получении топливных пеллет
Строение вторичной клетчатой стенки,
согласно модели П.П. Эриньша [9], приведено на рисунке 3. Экстрактивные
вещества, как не входящие в состав клеточной стенки, на схеме не показаны, но
их роль существенна, особенно растворимых в органических растворителях, условно
называемых «смолами».
Элементарные фибриллы целлюлозы
выступают армирующим компонентом, лигнин и нецеллюлозные полисахариды образуют
аморфную матрицу. Лигнин-гемицеллюлозная матрица образуется наложением трёх
сетчатых структур: сетчатые структуры самого лигнина; сетка, образованная
ковалентными связями лигнина с гемицеллюлозами; сетки, образованные водородными
связями и силами между ними. В срединной пластинке лигнин связан с
полиуронидами, а во вторичной стенке он образует лигнин-ксилановые (в древесине
лиственных пород) и лигнин-маннановые или лигнин-ксилановые (в хвойных)
комплексы. Основные типы связей: сложноэфирная связь в б-положении, простая эфирная
связь (бензилэфирная связь) и фенилгликозидная связь.
При повышенной температуре
сложноэфирные и простые эфирные связи в лигноуглеводном комплексе
гидролизуются. Высвобождаются спиртовая группа в б-положении, фенольный
гидроксил и карбоксильная группа, как наиболее важные для межволоконного
взаимодействия.
а б
а - поперечное сечение; б -
продольное сечение
- лигнин;
-
целлюлозные углеводы;
-
эфирные связи;
-
свободные карбоксильные группы; ЭФЦ - элементарные фибриллы целлюлозы
Рисунок 3 - Схема строения вещества
древесины вторичной клеточной стенки
Относительно вклада химических
превращений основных компонентов древесины в образование пеллет в научной
литературе однозначного мнения нет. Это связано со сложностью протекающих
реакций и их зависимостью от условий исследования. Общее суждение основывается
на данных по химическому составу древесного волокна и его изменения на
технологических стадиях. Если выход того или иного компонента изменяется, то
это указывает на участие компонента в процессе образования пеллет, однако не
раскрывает его роль. В большинстве случаев это даже не может служить указанием
на то, скажется ли такое изменение на прочности пеллет положительно или
приведёт к её падению. Требуется установить взаимосвязь химических превращений
с механизмом межволоконного взаимодействия [10].
Изучение характера химических
превращений осложнено потерями веществ, растворимых в горячей воде, а также
усилением гидролитических реакций в процессе горячего прессования.
Целлюлоза должна выполнять функцию
армирующего компонента, поэтому её деструкция на всех стадиях изготовления
пеллет не должна быть более существенной и приближаться к критической степени
полимеризации (СП). Избежать деструкции целлюлозы нельзя. Снижение СП целлюлозы
при прессовании вызвано не только действием такого фактора, как тепло, но и
давлением прессования. Это давление в местах перекрещивания волокон из-за малой
площади контакта значительно выше номинального. Относительно избирательности
развития деструкции в надмолекулярной структуре целлюлозы за разъяснением
следует обратиться к модели второго уровня, приведенной на рисунке 4.
- до приложения нагрузки; 2 - после
приложения нагрузки
К - кристаллит; А - аморфный участок
Рисунок 4 - Поведение
аморфно-кристаллического элемента
Эта модель объясняет поведение
аморфной и кристаллической фаз в силовом поле, вызывающем в начале
механического нагружения разрушение макромолекул в участках аморфной фазы. В
аморфно-кристаллических полимерах (в частности, в целлюлозе) на растягивающее
напряжение откликаются аморфные участки, деформируясь примерно на 20%.
Кристаллические участки деформируются слабо (на порядок ниже), выступая как
однородный элемент, в котором обеспечен и сохраняется дальний порядок [11].
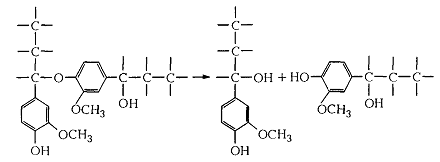
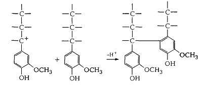
Что касается лигнина, то он
подвержен деструкции, которая происходит по схеме:

При конденсации увеличивается его
молекулярная масса, снижается его реакционная способность, уменьшается
растворимость. Процессы деструкции и сшивания лигнина конкурируют между собой.
Развитие реакций конденсации лигнина при горячем прессовании наиболее
интенсивно проходит на стадии сушки. Лигнин или, по крайне мере, его фракции
находятся в размягчённом состоянии. На границе контакта волокон происходит
проникновение структур лигнина друг в друга благодаря сегментальной подвижности.
Химические превращения лигнина не ограничиваются представленными схемами, но
именно реакции сшивания цепей с образованием углерод-углеродных связей в
значительной мере фиксируют межволоконное взаимодействие, вносят вклад в
образование прочных пеллет. Межмолекулярные взаимодействия и водородные связи
функциональных групп лигнина с полиозами дополняют межволоконное взаимодействие
[12].
Превращения лигнина при горячем
прессовании не ограничиваются реакциями на поверхности волокон. Процесс
захватывает клеточные стенки древесины. Размягчение лигнина во вторичной стенке
приводит к неаффинному перемещению макромолекул, изменению положения
элементарных целлюлозных фибрилл, а в более напряжённых участках и к изменению
ориентации кристаллитов. Во вторичной клеточной стенке, как и при межволоконном
контакте, протекают конкурентные реакции термодеструкции и конденсации.
Конденсация получает развитие на стадии сушки, а на заключительной стадии
прессования отмечают преобладание деструкции законденсированного лигнина с появлением
новых фенольных гидроксильных групп и алифатических гидроксильных групп при
снижении первичных гидроксилов. Исследователи отмечают снижение молекулярной
массы препаратов лигнина на заключительной стадии прессования.
Углеводная часть в начале горячего
прессования также подвергается термодеструкции, причём захватываются как
легкогидролизуемые, так и трудногидролизуемые полисахариды. Затем происходят
окислительные реакции и пиролитическая деструкция. Образующиеся из первичных
спиртовых групп сахаров карбоксильные группы взаимодействуют с гидроксильными
группами других молекул с установлением сложноэфирной связи, принимающей
участие в межволоконном взаимодействии. Протекают реакции низкотемпературного
пиролиза. Продукты деструкции гемицеллюлоз претерпевают изменения с
образованием гуммиподобных веществ.
Дополнительно к основным компонентам
клеточной стенки в механизме образования пеллет участвуют экстрактивные
вещества. Разнообразие их химической природы при направленном включении в
процесс межволоконного взаимодействия обеспечит возможность повысить качество
пеллет.
Таким образом, основные компоненты
древесины участвуют в образовании пеллет, выполняя при этом свои функции. Если
целлюлоза является армирующим компонентом и её деполимеризация и деструкция должны
быть ограничены назначением параметров получения пеллет, то лигнин и
гемицеллюлозы формируют полимерную матрицу. Исключение их из композиции
приводит к снижению качества пеллет. В лигнине наиболее активны
низкомолекулярные фракции. Подвергнутый конденсации лигнин характеризуется
низкой реакционной способностью. Нецеллюлозные полисахариды и продукты их
термопревращений вносят вклад в развитие межмолекулярного взаимодействия.
3. Теория прочности
топливных пеллет
Прочность характеризует способность
твёрдых тел противостоять разрушению и сохранять целостность под действием
внешних сил. Прочность является одним из самых главных свойств древесноплитных
материалов, в том числе и топливных пеллет. Такие физические свойства, как
плотность, твёрдость, модуль упругости, являются интегральными, усреднёнными по
всему образцу. В противоположность им прочность - свойство экстремальное:
разрушение происходит в наиболее слабом месте образца. Таким слабым местом
являются дефекты структуры и внутренние напряжения, варьирующие с переменными
значениями по площади конкретного образца [13].
Для примера, проанализируем значения
плотности и прочности, определённых по СТБ 2027 топливных пеллет представленных
в таблице 1.
Таблица 1 - Плотность и прочность
топливных пеллет
|
Статистические характеристики
|
с, кг/м3
|
уизг, МПа
|
|
Среднее арифметическое
|
978,4
|
44,4
|
|
Среднее квадратичное отклонение
|
14,4
|
2,38
|
|
Вариационный коэффициент х=100у/X
|
1,5
|
5,4
|
Из таблицы 1 видно, что образцы по
прочности сильно отличаются друг от друга, тогда как в отношении плотности
вариационный коэффициент оказывается в 3,6 раза меньше.
Всем материалам, в том числе и
древесным пеллетам, присуща изменчивость прочности. Она обусловлена тем, что
прочность представляет собой так называемое структурно-чувствительное свойство.
Это значит, что любое незначительное изменение структуры не оказывает
существенного влияния на плотность, но непропорционально и сильно влияет на
прочность.
При рассмотрении механизма
образования древесноплитных материалов необходимо знать, каковы теоретические
пределы, к которым можно стремиться в повышении прочности. Такая информация
полезна, чтобы иметь представление о перспективах того или иного технического
решения в области совершенствования технологии и модифицирования топливных
пеллет. В этой связи обратимся к когезии.
Когезия - сцепление частей одного и
того же физического тела (молекул, атомов, ионов) под действием сил притяжения.
Когезия обусловлена межатомными и межмолекулярными взаимодействиями. Силы
химической связи определяют прочность материалов. Водородные связи особенно
существенны для прочности древесных и целлюлозных материалов. Межмолекулярные
силы (или ванн-дер-ваальсово взаимодействие) проявляются во всех агрегатных
состояниях вещества [14].
Под химической связью понимается
такой вид взаимодействия между атомно-молекулярными частицами, который
обусловлен совместным использованием их электронов. Обобществление электронов
может изменяться в широких пределах. При равном их обобществлении реагирующими
частицами возникает ковалентная связь. Преимущественное смещение электронов к
одному из двух связанных атомов (поляризация) даёт полярно-ковалентную связь, а
в пределе - ионную связь.
Водородная связь обусловлена
дополнительным взаимодействием между ковалентно связанным атомом водорода одной
молекулы и электроотрицательным атомом (О, N и др.) другой молекулы (или той же
самой). Фрагмент молекулы, состоящей из водорода и электроотрицательного атома
(H - А),
выступает своеобразным донором атома водорода, передавая его в совместное пользование
другому электроотрицательному атому (В), который выступает акцептором атома
водорода. Водородную связь (Н - связь) обозначают тремя точками: А - Н ···В.
Ван-дер-ваальсово взаимодействие
представляют в виде суммы трёх составляющих. Для полярных молекул определяющим
является ориентационная составляющая в виде диполь-дипольного взаимодействия.
Индукционная энергия обусловлена взаимодействием дипольного момента одной
молекулы с индуцированным им дипольным моментом другой. Дисперсионная энергия
определяется квантово-механическими флуктуациями электронной плотности. Энергия
и расстояния рассмотренных видов взаимодействия приведены на рисунке 5.
Когезионные свойства топливных
пеллет определяются совокупностью взаимодействия атомов, звеньев, сегментов
макромолекул и надмолекулярных структур. Необходимую для разделения тела на
части работу с удалением их на расстояние, когда нарушается целостность этого
тела, называют удельной работой когезии.
Для характеристики когезии
используют понятие плотность энергии когезии (ПЭК), относя это к энергии
единицы объёма вещества, которую нужно затратить для его испарения или
сублимации. ПЭК полимерных материалов непосредственно замерено быть не может.
Она зависит от типа и числа атомных групп, входящих в повторяющееся звено, от
конфигурации и степени полимеризации макромолекул, а также надмолекулярной
структуры. Значение ПЭК находят расчётным путём [15].
а - ковалентная связь; б -
водородная связь; в - ванн-дер-ваальсово взаимодействие
Рисунок 5 - Кривые потенциальной
энергии межатомных и межмолекулярных взаимодействий
Таблица 2 - Энергия когезии
функциональных групп полимеров
|
Группа
|
Энергия когезии, кДж/моль
|
Класс соединения
|
Группа
|
Энергия когезии, кДж/моль
|
Класс соединения
|
|
- СН2 - - О - - СО - - СООН - СО - О - ОН
|
2,8 5,4 11,7 23,4 12,1 24,3
|
Алифатические Простые эфирные Кетоны Кислоты Сложные эфиры
Спирты
|
- СН(ОН) - - NH - - NH2 - C6H5
- CONH -
|
21,4 6,3 14,0 22,6 35,6
|
Углеводы Амины Амины Ароматические Амиды
|
Введение функциональных групп в
макромолекулы увеличивает их когезию. Связь строения полимерных материалов и их
когезионных характеристик прослеживается на примере топливных пеллет. Эти
знания полезны для разработки модифицирования пеллет. Модифицирование топливных
пеллет направлено на повышение уровня качества, а также обеспечение свойств
готового материала более эффективными и менее затратными способами
изготовления.
Заключение
Прочность и вязкоупругие свойства
древесины и вырабатываемых из неё древесных волокон и химические превращения
основных компонентов при горячем прессовании раскрывают механизм образования
пеллет. Сущность его заключается в развитии межволоконного взаимодействия.
Однако процесс распространяется на всю клеточную стенку древесины и является
неотъемлемой составляющей изготовления топливных пеллет.
Следует отметить, что основные
компоненты древесины участвуют в образовании пеллет, выполняя при этом свои
функции. Целлюлоза является армирующим компонентом и её деполимеризация и
деструкция должны быть ограничены назначением параметров получения пеллет,
лигнин и гемицеллюлозы формируют полимерную матрицу. Исключение их из
композиции приводит к снижению качества пеллет. Нецеллюлозные полисахариды и
продукты их термопревращений вносят вклад в развитие межмолекулярного
взаимодействия.
Прочность является одним из самых
главных свойств топливных пеллет. При рассмотрении механизма образования
топливных пеллет необходимо знать, каковы теоретические пределы, к которым
можно стремиться в повышении прочности. Такую информацию дают релаксационные
явления и процесс когезии, на основе которых можно составить представление о
перспективах того или иного технического решения в области совершенствования
технологии и модифицирования топливных пеллет.
Список использованных
источников
пеллета
топливный древесина
1. Азаров, В.И. Химия
древесины и синтетических полимеров / В.И. Азаров, А.В. Буров, А.В. Оболенская
- Спб., 1999 - 628 с.
. Бывшев, А.В.
Механическое диспергирование волокнистых материалов / А.В. Бывшев, Е.Е.
Савицкий - Красноярск: Изд-во Краснояр. Ун-та, 1991. - 216 с.
. Каргин, В.А. Краткие
очерки по физико-химии полимеров / В.А. Каргин, Г.Л. Слонимский - М.: Химия,
1967. - 232 с.
. Иличкин, В.С.
Термические превращения и токсичность продуктов горения древесины / В.С. Иличкин,
А.А. Леонович, М.В Яненко - М.: Гл. информ. Центр МВД СССР, 1990. - 67 с.
. Леонович, А.А.
Высокоэластическое состояние полимеров / А.А. Леонович: - Л.: ЛТА, 1986. - 48
с.
. Леонович, А.А.
Основные направления исследований и разработок по совершенствованию технологии
древесностружечных плит / А.А. Леонович // Деревообр.пром-сть. - 1999. - №5. -
С. 16-19
. Лиепиньш, М.Г Влияние
изменений сетчатой структуры лигноуглеводной матрицы на свойства древесины /
М.Г. Лиепиньш, П.П. Эриньш, А.Г. Веверис // Химия древесины. - 1978. - №6. - с.
19-27
. Липатов, Ю.С.
Межфазные явления в полимерах / Ю.С. Липатов - Киев: Наук. Думка, 1980. - 259
с.
. Эриньш, П.П.
Исследование строения и деструкции лигноуглеводной матрицы / Эриньш П.П. //
Автореф. дис. д.т.н. - Рига: Ин-т химии древесины АН Латв. ССР, 1978 - 48 с.
. Межслойные эффекты в
композитных материалах: Пер. с англ. Н.П. Жмудя и В.Л. Кулакова. - М.: Мир,
1993. - 232 с.
. Москвитин, Н.И.
Физико-химические основы процессов склеивания и прилипания / Н.И. Москвитин -
М.: Лесн. пром-сть, 1974. - 192 с.
. Поздняков, А.А.
Прочность и упругость композиционных древесных материалов / А.А. Поздняков -
М.: Лесн. пром-сть, 1988. - 136 с.
. Якобсон, М.К.
Температурные переходы компонентов лигноуглеводной матрицы и древесины / М.К. Якобсон,
П.П. Эриньш // Химия древесины. - 1981. - №3. - с. 3-20
. Фудзии, Т. Механика
разрушения композиционных материалов / Т. Фудзии, М. Дзако: Пер. с яп. С.Л
Масленникова. - М.: Мир, 1982. - 232 с.
. Фенгел, Д. Древесина
(химия, ультраструктура, реакции) / Д. Фенгел,
Г. Вегенер: Пер. с англ.
А.В. Оболенской и З.П. Ельницкой. - М.: Лесн. пром-сть, 1988. - 512 с.