Методы аналитического контроля в производстве из изобутилена на примере производства полиизобутилена

  • Вид работы:
    Реферат
  • Предмет:
    Химия
  • Язык:
    Русский
    ,
    Формат файла:
    MS Word
    113,48 Кб
  • Опубликовано:
    2015-01-12
Вы можете узнать стоимость помощи в написании студенческой работы.
Помощь в написании работы, которую точно примут!

Методы аналитического контроля в производстве из изобутилена на примере производства полиизобутилена

Содержание

Введение

1. Строение и свойства полиизобутилена, получаемого из изобутилена

2. Особенности производства полиизобутилена из изобутилена

2.1 Полимеризация изобутилена как сырья для производства синтетических каучуков

2.2. Производство высокомолекулярного полиизобутилена

2.3. Производство низкомолекулярного полиизобутилена

3. Химические свойства материалов, производимых из изобутилена

4. Методы аналитического контроля в производстве материалов из изобутилена

Заключение

Литература

Введение


Для развития синтеза новых органических высокомолекулярных веществ громадное значение имеют работы творца теории строения органических веществ великого русского химика Александра Михайловича Бутлерова (1828-1886) и многих других выдающихся русских ученых. Особое значение для синтеза полимеров имеет осуществленный А. М. Бутлеровым синтез изобутилена и последующего исследования его полимеризации. В настоящее время изобутилен очень широко применяют как исходное сырье для производства полиизобутилена - полимера, используемого в технологии некоторых кровельных и герметизирующих строительных материалов. А. М. Бутлерову принадлежит также открытие основных полимеров формальдегида, являющегося основой и компонентом многих полимеров.

При осуществлении контроля химического состава особенно важно получение правильных и достоверных результатов, для достижения которых используют теорию ошибок и математическую обработку результатов анализа. При этом можно исходить из двух общих задач:

) согласование норм на содержание тех или иных ком'нонентов или стабильности значений содержаний во множестве партий оцениваемых объектов и выявление доли неверно аттестованных партий и

) индивидуальный контроль отдельной партии. Для решения первой задачи необходим сплошной контроль, а для решения второй - выборочный. Сплошной контроль, т.е. анализ каждой партии, необходим в следующих случаях:

а) ответственное назначение продукта;

б) высокая стоимость партии;

в) недостаточная стабильность контролируемых объектов, например полупродуктов технологического процесса, и др.

Точность анализа во всех указанных случаях также лимитирована нормативами. Желательно, чтобы доверительная вероятность составляла 0,99 или 0,95.

При проведении химического анализа используют химические, физико-химические и физические методы в сочетании с химическими, физико-химическими методами разделения и концентрирования элементов. Выбор метода обнаружения или количественного определения компонентов зависит от фазового состояния объекта анализа, его химико-аналитических свойств и способа проведения анализа (мокрым или сухим путем, с разрушением или без разрушения пробы и т.п.). При выборе метода учитывают также требуемую точность определения, чувствительность метода, необходимую скорость проведения анализа, оснащение лаборатории и другие факторы.

Целью работы является изучение методов аналитического контроля в производстве из изобутилена на примере производства полиизобутилена.

Для достижения поставленной цели решались следующие задачи:

изучить строение и свойства полиизобутилена, получаемого из изобутилена;

рассмотреть особенности производства полиизобутилена из изобутилена;

изучить химические свойства материалов, производимых из изобутилена;

выделить основные методы аналитического контроля в производстве материалов из изобутилена.

Предметом работы являются методы аналитического контроля химического производства.

Объектом работы выступает производство материалов из изобутилена.

Структура работы представлена введением, основной частью, включающей 4 раздела, заключением и списком использованных источников.

1. Строение и свойства полиизобутилена, получаемого из изобутилена


Полиизобутилен - это синтетический каучук или эластомер.

Формула: [- C(CH3)2CH2-]n.

Плотность: 0,920 г/см3;

Температура стеклования: около -700C;

Теплостойкость по Мартенсу: 65-80 0C;

Объемная теплоемкость, Cv: 1,88 КДж/(кг • К),

Коэффициент теплопроводности 0,116-0,139 Вт/(м •K);

Коэффициент электропроводности 1015 Ом • см;

Электрическая прочность 16-20 МВ/м.

Полиизобутилен является продуктом полимеризации изобутилена, молекулы которого, обладая двойной связью и асимметрией, легко полимеризуются. Длина цепей (молекулярная масса) полимера зависит в основном от условий полимеризации, чистоты и концентрации мономера и природы катализатора.

Молекула полиизобутилена представляет собой углеродную цепь, к каждому второму атому которой присоединены по две метальные группы.

Поскольку молекулы полиизобутилена имеют насыщенный характер, полимер не вулканизируют.

Обычно предполагают, что молекулы полиизобутилена и бутилкаучука не имеют поперечных связей или разветвлений, однако это предположение полного экспериментального подтверждения не имеет. Молекулы полиизобутилена обладают собственной анизотропией.

Как и у полиэтилена, молекулы полиизобутилена имеют нитевидную симметричную структуру, но с несколько большей разветвленностью в боковых группах. Структура молекулы полиизобутилена более разветвлена, хотя группы СН3 и неполярны. В молекуле полиизобутилена осколки молекул изобутилена образуют длинную цепь.

Полиизобутилен не может вулканизоваться, так как сера при вулканизации присоединяется к молекуле каучуков по месту двойных связей, которых нет в молекуле полиизобутилена.

Полиизобутилен, в зависимости от степени полимеризации, может видоизменяться от жидкости различной вязкости до эластичного вещества, подобного каучуку [3,4].

В нерастянутом состоянии, вследствие сложного колебательно-вращательного теплового движения сегментов молекул полиизобутилена, кристаллики расположены беспорядочно или вовсе отсутствуют. Образование их происходит только при растяжении в результате параллельной ориентации молекул полиизобутилена под действием внешней растягивающей силы. При растяжении не все молекулы могут оказаться ориентированными. Чем больше растяжение, тем меньше остается молекул в неориентированном состоянии. В полиизобутиленах среднего молекулярного веса из-за повышенной текучести полимера явление кристаллизации наступает только при сильном растяжении, в то время как в высокомолекулярных - при относительно небольшом растяжении.

При степени полимеризации, равной приблизительно 20 мол. такой полимер переходит из стеклообразного в вязкотекучее состояние, минуя высокоэластическое т.о, молекулы полиизобутилена, состоящие примерно из 20 звеньев, не обладают необходимой для высокоэластичности гибкостью.

Отечественная промышленность выпускает пять марок полиизобутилена, различающихся во величине молекулярного веса [1]:

Марка

Молекулярный вес

П-200

…………………………………………………...

225 000 - 175 000

П-155

…………………………………………………...

175 000 - 135 000

П-118

…………………………………………………...

135 000 - 100 000

П-85

…………………………………………………...

100 000 - 70 000

П-20

…………………………………………………...

25 000 - 15 000


2. Особенности производства полиизобутилена из изобутилена

 

.1 Полимеризация изобутилена как сырья для производства синтетических каучуков


Основным исходным сырьем для получений полиизобутилена служит изобутилен, извлекаемый из газовых смесей - побочных продуктов при переработке нефти (крекинга и пиролиза нефтяных фракций).

Газовую, смесь подвергают фракционированию в целях выделения фракции, содержащей, кроме изобутилена (10-20%), н-бутилены, н-бутан, изобутан и другие предельные и непредельные газообразные углеводороды. После выделения изобутилена производят изомеризацию оставшейся смеси, в результате чего наряду с изобутиленом образуется изобутан (СН3)3СН, который путем дегидрогенизации дает смесь газов, содержащих изобутилен. Для извлечения последнего из газовых смесей существует ряд химических и физических методов, как, например, выделение с по мощью серной кислоты, медных солей, фенолов и других реагентов, а также извлечение путем абсорбции, экстракции, дистилляции, ректификации. Изобутилен должен быть тщательно очищен, так как примеси влияют на ход процесса полимеризации. полиизобутилен изобутилен полимеризация каучук

Изобутилен при нормальных условиях представляет собой бесцветный газ. Молекулярный вес изобутилена - 56,1, плотность - 0,59 г/см3, температура воспламенения плюс 465°С, температура плавления - 140,4° С, температура кипения - 6,9° С. При содержании изобутилена от 1,7 до 9,0 объемных процентов в воздухе образуется взрывчатая смесь. Изобутилен при вдыхании обладает наркотическим действием, но не вызывает отравления организма [2].

Хранят и транспортируют изобутилен в жидком виде под давлением в стальных резервуарах.

Катализаторами при получении высокомолекулярного полиизобутилена являются многочисленные неорганические и органические соединения, из которых промышленное применение имеют главным образом галогениды металлов. В таблице приведены результаты полимеризации изобутилена в присутствии различных катализаторов.

Катализатор

Дозировка катализатора, %

Содержание изобутилена, %

Время полимеризации

Выход полимера, %

Молекулярный вес

BF3

0,05

10

Доли секунд

10

120 000-150 000

AlBr3

0,05

20

1-5 мин

70-90

120 000-150 000

TiCl4

0,12-0,25

30

20-70 мин

35-50

100 000-130 000

TiBr4

1,0-1,5

30-50

12-18 ч

30-50

70 000-90 000

BCl3

0,9-1,5

40-50

12-18 ч

0,5-1,5

30 000-50 000

BBr3

0,6-1,0

50

12-18 ч

0,5-1,5

20 000-30 000

SnCl4

1,5-4,5

50

17-50 ч

10-18

12 000-25 000


Наиболее активным катализатором является трехфтористый бор, в присутствии которого скорость реакции полимеризации граничит со взрывной. Регулировка скорости полимеризации про изводится путем понижения температуры реакционной смеси и концентрации катализатора.

Трехфтористый бор представляет собой бесцветный газ, сжижаемый в температурных интервалах от минус 100 до минус 127° с; ниже указанной температуры он переходит в твердое состояние.

Фтористый бор имеет ряд преимуществ перед другими катали заторами: как газообразное вещество он легко дозируется и смешивается с компонентами, участвующими в полимеризации, путем нагревания быстро удаляется из полимера [6,8].

Для получения высокомолекулярного полиизобутилена реакция должна проходить при пониженной температура, что осложняется высокой экзотермичностью процесса (количество выделяемого тепла составляет около 10 000 кал/моль).

Для уменьшения количества выделяющегося тепла к реакционной смеси добавляют растворители или разбавители.

Необходимая для полимеризации низкая температура (около минус 100° С) поддерживается отводом теплоты с помощью хладоагентов растворителей и разбавителей).

Применяют внутреннее и наружное охлаждение. Внутреннее, - когда растворитель или разбавитель одновременно служит и хладоагентом, т. е. поступает в реакционную смесь охлажденным и, кроме того, отводит теплоту реакции путем испарения; наружное, - когда хладоагент действует на реакционную смесь через поверхность охлаждения.

В качестве растворителей, разбавителей и хладоагентов при меняют охлажденные до жидкого состояния этилен, бутилен, этан, бутан и другие предельные углеводороды, а также твердую угле кислоту.

Для промышленного получения полиизобутилена в качестве растворителя используют этилен (СН2=СН2)

Количество растворителя влияет на молекулярный вес полимера. Оптимальное содержание изобутилена в растворителе 15-30%.

Ускорители (сокатализаторы) добавляют в реакционную смесь в небольших количествах (0,001-1%). Они не только ускоряют реакцию, но также снижают потребное количество катализатора и способствуют получению высокомолекулярного полимера.

В качестве ускорителей рекомендуются кислоты (серная, азотная, трихлоруксусная, плавиковая и др.), спирты (метиловый, этиловый, бензоловый и так далее), фенолы, хлористый водород.

Активаторами поляризации в присутствии галогенидов металлов являются воды, уксусная кислота, третбутиловый спирт и другие.

Ускорители являются источниками ионов, которые, собственно, и оказывают каталитическое действие при получении полиизобутилена.

Высокомолекулярный полиизобутилен легко поддается деструкции под влиянием солнечного света и повышения температуры, приобретая при этом липкость [8].

В качестве стабилизатора применяют 0,1-5% производных фенола, например третбутилсульфид, которые вводятся сразу же после полимеризации. Стабилизирующее действие на первичный полимеризат оказывают также многочисленные соединения, содержащие амино-, сульфидо-, ароматические и гидроксильньте группы; в некоторых случаях рекомендуется элементарная сера, которая добавляется к полиизобутилену на вальцах или в растворе [7].

2.2 Производство высокомолекулярного полиизобутилена


В промышленности высокомолекулярный полиизобутилен получают двумя основными методами. Полимеры типа «Оппанол» получают полимеризацией изобутилена в присутствии ВF3 в среде кипящего этилена. При производстве полимера типа «Вистанекс» процесс проводится в присутствии АlСl3 в растворе этилхлорида или метилхлорида.

При получении полиизобутилена в среде жидкого этилена тепло, выделяющееся в результате реакции полимеризации, отводится за счет испарения растворителя, что позволяет поддерживать в реакционной зоне низкую температуру, необходимую для получения достаточно высокомолекулярного полимера. Полиизобутилен с молекулярной массой свыше 100 000 может быть получен только при температуре ниже - 188 К.

Высокомолекулярный полиизобутилен типа Опоанол молекулярной массой 80-225 тысяч получают на бесконечной движущейся ленте шириной 35-45 см и длиной 800-1 000 см в среде кипящего этилена в присутствии ВF3 при температурах ниже 190 К. Катализатор ВF3кип=172 К) легко отделяется от примесей, в частности от сопутствующего SО2кр=200,6 К) и удаляется из полимера при перемешивании и нагревании.

Изобутилен-ректификат, освобожденный от примесей [ 99,99% (масс)] и охлажденный до 233 К, подается в трубное пространство холодильника, где охлаждается до 188 К жидким этиленом, поступающим из сепаратора. Пары этилена из сепаратора через межтрубное пространство рекуперативного теплообменника направляются на компремирование и возвращаются в процесс через трубное пространство холодильника, сепаратор и межтрубное пространство холодильника [5,7].

Жидкий этилен выходит из межтрубного пространства холодильника двумя потоками: первый поток смешивается в заданном соотношении в трубопроводе с охлажденным изобутиленом и поступает на движущуюся ленту полимеризатора; второй поток смешивается с катализатором ВF3, который готовится в мернике. Разбавленный катализатор (0,3% ВF3) поступает на ленту полимеризатора - металлический герметичный короб цилиндрической формы, внутри которого со скоростью от 0,25 до 1 м/с непрерывно движется бесконечная лента из специальной нержавеющей стали. Время полимеризации колеблется от долей до нескольких секунд. Время пребывания каучука на ленте может из меняться от 9 до 36 с. За счет выделяющегося при полимеризации тепла испаряется большая часть этилена, а на ленте остается слой полимера толщиной 2-З см. В конце горизонтального участка пути ленты в полимеризатор из мерника 6 подается раствор стабилизатора в изобутилене. С ленты полимер снимается специальным ножом и направляется на дегазацию в двухчервячный смеситель-пресс , обогреваемый паром, в котором одновременно происходит и гомогенизация полимера. После обработки (при необходимости) на горячих вальцах (415-425 К) в течение 5-10 минут готовый продукт подается на упаковку.

Газообразный этилен и изобутилен, отходящие из полимеризатора , объединяются с продуктами, выделяющимися при дегазации, и поступают в адсорбер на поглощение остаточного ВF3 (0,2-0,3%) и олигомеров изобутилена, после чего компремируются и направляются на ректификацию.

Раствор катализатора готовят пропусканием очищенного метилхлорида через аппарат, заполненный гранулированным безводным АlСl3 при 243 К. Вследствие ограниченной растворимости получается раствор катализатора в метилхлориде постоянной концентрации [1% (масс)]. Раствор АlСl3 непосредственно в трубопроводе разбавляется до заданной рабочей концентрации [около 0,1% (масс)], охлаждается в этиленовом холодильнике до 180 К и подается на полимеризацию. Все операции проводятся в атмосфере сухого инертного газа.

Шихту приготавливают смещением сухого и чистого [99,99% (масс)] изобутилена и возвратной изобутилен-метилхлоридвой фракции. Исходные компоненты дозируют по результатам непрерывного хроматографического анализа. Готовая шихта из емкости насосом подается на охлаждение в пропановый и этиленовый холодильники и с температурой 177-175 К поступает в полимеризатор. Реакторы полимеризации изобутилена однотипны и различаются лишь отдельными конструктивными деталями и объемом. Обычно это цилиндрические автоклавы, снабженные центральной всасывающей трубой, в нижней части которой находится циркуляционный насос. Вокруг всасывающей трубы расположено большое число периферических трубок меньшего диаметра или сплошные полые кольца. Центральная труба, периферические трубки, полые кольца, а также днище, крышка и стенки полимеризатора омываются хладоагентом (в данном случае испаряющимся этиленом). В верхней части реактора имеется перепончатая труба для выхода полимеризата.

Компоненты реакционной смеси непрерывно подаются в нижнюю часть реактора и поступают во всасывающие патрубки циркуляционного насоса. В результате интенсивной циркуляции происходит турбулизация потоков, способствующая, как предполагается, лучшему теплообмену. Реакционная масса циркулирует снизу вверх. Определенное количество раствора или дисперсии полимера непрерывно выходит из верхней части полимеризатора и направляется в вакуумный дегазатор, в котором из полимерного продукта удаляется изобутилен-метилхлоридная фракция. Возвратная изобутилен-метилхлоридная смесь подается после конденсации в соответствующие сборники. Товарный полиизобутилен расфасовывается и направляется потребителю.

Хотя реакция полимеризации изобутилена протекает практически мгновенно, среднее время пребывания сырья в реакторе равняется 30-120 минут, при этом степень превращения изобутилена составляет 75-90%. Температура в зоне реакции регулируется изменением температуры шихты и подачей катализа торного раствора. Этим приемом удобно регулировать молекулярную массу полиизобутилена. Можно использовать и регуляторы молекулярной массы (диеновые углеводороды, диизобутилен) [7].

2.3 Производство низкомолекулярного полиизобутилена


В качестве сырья используют фракции С34 изобутан-изобутиленовые смеси (90:10 - 50:50), бутан-бутеновые фракции. Катализатором служат растворы АlСl3 в хлоралканах или аренах. Молекулярная масса и выход продуктов существенно зависят от содержания в сырье н-бутиленов, диенов, соединений серы и аммиака. Однако при получении низкомолекулярного полиизобутилена использование регуляторов нецелесообразно. Молекулярная масса легко регулируется температурой реакционной массы. Поэтому в случае применения полиизобутилена для вязкостных присадок и серии октолов полимеризацию проводят при относительно высоких (в том числе положительных) температурах. Молекулярная масса полиизобутилена и конверсия изобутилена связаны с концентрацией вводимого в зону реакции катализатора. С возрастанием (до определенного предела) содержания катализатора снижается молекулярная масса полимера, но увеличивается конверсия мономера [6,7].

3. Химические свойства материалов, производимых из изобутилена


Строение макромолекул полиизобутилена (линейный полимер, содержащий, как правило, одну концевую С = С связь на макромолекулу) определяет его химические свойства. Полиизобутилен - один из наиболее химически инертных среди известных полимеров. Полиизобутилен стоек к разбавленным и концентрированным кислотам: Н2SO4 (98,8%), НNO3 (5 0%), НСООН, НСl (37%), СН3COOH; аммиаку, щелочам (NaОН 40%), растворам солей, перекиси водорода. При нагревании устойчив к действию НNO3 и других кислот; при взаимодействии с Н2SO4 обугливается. Уже при 290 К полиизобутилен не стоек к жидким и газообразным Сl2 и Вr2 их водным растворам, озону, а также к некоторым энергетическим воздействиям.

Термическое воздействие выше 620 К приводит к деградации и деполимеризации полимера. Выход мономера в летучих продуктах реакции достигает порядка 20-30% (масс), а выход углеводородов С5 и выше - более 65-70% (масс) при скорости деполимеризации 2,5-3% минen (623 К).В числе получающихся наиболее важных, помимо изобутилена, продуктов следует отметить ди-, три- и тетрамеры изобутилена образующиеся при внутримолекулярной передаче цепи по свободно-радикальному механизму.

Для полиизобутилена характерны реакции как по насыщенным С = С-связям, так и в цепи по С - С-связям, в том числе и специфические процессы деструкции по законам случая и концевых групп. не исключена и возможность сшивания полимерных цепей, правда, с небольшими степенями превращения. Наличие концевых С=С-связей в полиизобутилене обусловливают возможность протекания химических реакций, характерных для олефиновых углеводородов, однако реакционноспособность концевых групп уменьшается с возрастанием молекулярной массы полимера, что, в свою очередь, как правило, ограничивает возможности функционализации макромолекул. Известные реакции хлорирования, фосфорилирования, сульфирования, сульфохлорирования, окисления, озонирования, эпоксидирования С=С-связей сопровождаются изменением не только химического строения концевых групп но часто и химической природы основной цепи, а также изменением ее длины.


Путем присоединения к полиизобутилена дихлорида серы, 5-сульфенилхлорид-4-хлор-3-метилтетрагидрофталевого ангидрида или 1 0-сульфенилхлорид-9-хлорстеариновой кислоты удается получать разнообразные серосодержащие производные. Известны реакции с SН2, S2Cl2 и другими подобного рода соединениями [10].

Интересны реакции гидросилилирования , в частности, трихлорсиланом или алкилхлорсиланами в присутствии H2PtCl2 в качестве катализатора:


Процессы бездеструктивного алкилирования и деполиалкилирования полиизобутилена протекают по схеме [11]:


То есть по типу реакции


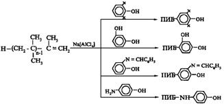
Практическое значение имеют реакции полиизобутилена с малеиновым ангидридом, гидрирования (катализатор - смешанный сульфид Ni-W, 645 K, 2,4 Пма) и алкилирования фенола в присутствии электрофильных катализаторов (300-360 К).При модификации полиизобутилена фенолом в присутствии бензолсульфокислотьт (375 - 395 К) достигнут максимальный выход полиизобутиленилфенола 31% масс. Существенно лучшие результаты получаются при алкилировании фенолов полиизобутиленом в присутствии Ме [AlCl4] (Ме - Li, Nа, К). С увеличением молекулярной массы полиизобутилена выход полиизобутиленфенолов уменьшается [4].

Функционализация полиизобутилена фенолами и аминофенолами про текает легко с высоким выходом (2-4 ч; 373 - 393 К) в присутствии комплексных солей типа Ме [AlCl4] (Ме - Li, Nа, К), причем выход продукта практически не зависит от природы щелочного металла в катализаторе.

Реакции основной цепи полиизобутилена

Для полиизобутилена характерны реакции замещения, протекающие по свободно-радикальному механизму, которые весьма часто сопровождаются одновременной деградацией макромолекул.

При хлорировании в растворе дихлорэтана, хлороформа или тетерахлоруглерода при катализе ультрафиолетовым светом, I2 или FeCl3 образуются хлорпроизводные полиизобутилена. Присутствие HNO3 и O3 благоприятствует реакции хлорирования. Процесс протекает быстрее при использовании жидкого хлора. При одновременном воздействии Cl2 и SO2 на полиизобутилен в СCl4 при ультрафиолетовом облучении образуются соответствующие сульфохлориды [6].

При действии на полиизобутилен оксалилхлорида или фосгена в состав макромолекул можно ввести хлороформильные группы


Реакция фосфорилирования полиизобутилена в присутствии О2 протекает с трудом и приводит в основном к деструкции полимера.

При действии озона на растворы полиизобутилена наблюдается уменьшение молекулярной массы полимера и накопление кислородосодержащих функциональных групп (кислот, кетонов, пероксидов и других).

Важным с научной и практической точек зрения являются внутримолекулярные превращения полиизобутилена, протекающие по законам случая и концевых групп.

Термодинамические параметры полиизобутилена предопределяют легкость протекания электрофильного процесса его деполимеризации (Qполим=53 кДж/моль; Тпр=323 К; Еакт деполим=217 кДж/моль) [11].

4. Методы аналитического контроля в производстве материалов из изобутилена


Основные методы аналитического контроля в производстве из изобутилена:

.        Ректификация возвратных углеводородов фракции от тяжелых углеводородов в колонну

.        Автоматический контроль технологического процесса.

В зависимости от цели различают качественный и количественный анализ. Задачей качественного анализа является обнаружение (идентификация) компонентов анализируемого образца - атомов, ионов, молекул. Задачей количественного анализа является определение масс, концентраций (содержаний) или количественных соотношений компонентов анализируемого объекта.

В зависимости от того, какие компоненты нужно обнаружить или определить, различают анализ элементный, изотопный, молекулярный, фазовый. Элементный анализ представляет собой совокупность методов качественного обнаружения и количественного определения элементов Периодической системы элементов Д.И. Менделеева, входящих в состав пробы анализируемого вещества, без учёта видов связи в нём или структуры. Содержание составных частей в веществе различно.

Кратко охарактеризуем процесс производственного контроля качества изобутилена в цехе. Технологические параметры на заданном уровне поддерживаются автоматической системой регулирования (АСР), представляющей собой совокупность объекта регулирования и технических средств. Объект регулирования - аппарат, часть аппарата, участок трубопровода, где необходимо поддерживать параметр на заданном уровне с заданной точностью. Технические средства - измерительные преобразователи, автоматический регулятор, исполнительное устройство. В автоматическом регуляторе текущее значение параметра (значение в данный момент времени), поступающее от измерительных устройств, сравнивается с заданным значением, вводимым оператором с помощью датчика, и вырабатывается регулирующее воздействие на объект регулирования. Характер регулирующего воздействия определяется законом регулирования регулятора - видом зависимости между регулирующим и отклонением регулируемого параметра от заданного значения. Автоматические регуляторы разнообразны по конструкции, по виду используемой энергии для выработки регулирующих воздействий и по характеристике действия.

АСР предназначена для поддержания какого-либо технологического параметра на заданном значении с заданной точностью.

Расход сырья автоматически поддерживается регулятором поз.807/II, клапан которого установлен на линии нагнетания насоса Н-2. Уровень разде-ла фаз в верхней части гидрататора Р-5/II поддерживается автоматически регулятором поз.81273, клапан которого установлен на линии нагнетания насоса Н-5а/I-II. Уровень раздела фаз в верхней части гидрататора P-5/I поддерживается автоматически регулятором поз. 8127/I клапан которого расположен на линии вывода отработанных углеводородов С4 с верха гидрататора в отстойник Е-13. Количество фузельной воды, поступающей на гидратацию, поддерживается автоматически регулятором поз. 808/I клапан которого установлен на подаче фузельной воды от насоса Н-70 в верхнюю часть гидрататора. Температура в кубе гидрататора P-5/II поддерживается в пределах 80-95°С регулятором поз. 809, клапан которого установлен на байпасной линии теплообменника Т-63 от насоса Н-17 в холодильник Т-64. Давление в кубе гидрататора P-5/II поддерживается автоматически регулятором поз. 810/II клапан которого установлен на линии вывода из куба Р-5/II слабого раствора ТМК на питание колонны Кт-15. Ре-гулирование температуры в кубе колонны производится клапаном, установленным на линии подачи пара в Т-16 поз.822. Уровень в кубе колонны Кт-15 регулируется выводом фузельной воды на фильтры-отделители (поз.824).

Оценка качества работы производственной бригады цеха является комплексной и складывается из следующих показателей:

оценки качества изготовленной продукции;

оценки качества работы производственной бригады;

оценки санитарного состояния предприятия (цеха), соблюдения сани-тарно-гигиенического режима, соблюдения санитарных правил и норм;

оценки соблюдения требований нормативных и технологических документов.

Оценка качества работы производственных бригад проводится:

ежедневно руководителями производственных предприятий;

в течение месяца в плановом порядке, по соответствующим графикам, специалистами подразделений предприятия: технологической лаборатории, санитарно-гигиенического отдела, производственного отдела (далее ПО), а также уполномоченными органами Государственного надзора и комиссиями рабочего контроля.

Оценка качества работы каждой производственной бригады проводится по данным проведенного за месяц на предприятиях контроля:

технологические конференции, проводимые технологами ПО;

контроль физико-химических показателей, осуществляемый технологами ТПЛ;

контроль физико-химических показателей, осуществляемый специалистами ФФГУЗ «Центра гигиены и эпидемиологии»;

санитарно-бактериологический контроль продукции по данным ТПЛ;

санитарно-бактериологический контроль продукции по данным ФФГУЗ «Центра гигиены и эпидемиологии»;

контроль соблюдения санитарно-гигиенического режима предприятия по результатам санитарно-гигиенических смывов по данным ТПЛ;

контроль санитарного состояния предприятия по данным органов Роспотребнадзора;

контроль санитарно-гигиенического отдела, органов ФГУ «ЦСМ» за соблюдением стандартов, комиссий рабочего контроля и другими проверяющими организациями.

Результаты проведенного контроля фиксируется в соответствующей документации по качеству (контрольные журналы, результаты лабораторных исследований).

Итоговая оценка качества работы бригады за месяц определяется на плановом заседании Постоянно-действующей комиссии по качеству.

Комплексная оценка качества работы производственной бригады, на-ряду с выполнением производственной программы, является показателем премирования рабочих производственной бригады.

Комплексная оценка качества работы производственных бригад производится по пятибалльной системе.

Базовой оценкой качества работы является «5,0», что соответствует работе производственной бригады за отчетный период без зафиксированных контролем дефектов, нарушений, претензий.

Зафиксированные при проведении контроля фактические показатели могут снижать комплексную оценку качества работы бригады.

Итоговая оценка качества работы бригады определяется путем вычита-ния баллов из базовой оценки с использованием «Шкалы снижения оценки качества работы производственного цеха».

Итоговая оценка качества работы производственной бригады цеха БК-4 определяется с учетом качества продукции и ее оценки потребителями. Оценка производится с использованием «Шкалы снижения оценки качества работы производственных бригад» «Порядка проведения оценки качества работы производственных бригад предприятии » и «Шкалы снижения оценки качества работы производственной бригады настоящего Порядка».

Показатель премирования рабочих производственной бригады рассчитывается по шкале премирования рабочих производственной бригады результатам оценки качества работы.

Документацией по оценке качества продукции и работы производственных бригад является ежемесячный и сводный отчеты по качеству, а также:

акты и другая документация уполномоченных органов контроля Роспотребнадзора, рабочего контроля предприятия и других уполномоченных проверяющих организаций;

утвержденные формы ежемесячной отчетности технологической пищевой лаборатории, производственного и санитарно-гигиенического отделов.

Отчеты по качеству выпускаемой продукции и работы производственной бригады должны быть представлены в «День оценки качества» руководителями производственных предприятий (цехов) или их уполномоченными представителями по каждому производственному цеху заготовочного пред-приятия (цеха).

При оценке качества работы бригады цеха БК-4 необходимо учитывать данные «Отчета по качеству» для предприятия.

Сводный отчет по качеству продукции, выпускаемой в цехах составляется в двух экземплярах начальником производственного отдела, либо уполномоченными на то сотрудником производственного отдела, на основании следующей документации по оценке качества: контрольных журналов, актов проверки уполномоченными органами, лабораторных исследований по всем производственным подразделениями .

Первый экземпляр «Сводного отчета по качеству» направляется в отдел организации труда и заработной платы для начисления премии за качество по результатам работы за месяц.

Второй экземпляр «Сводного отчета по качеству» подшивается в соответствующую папку за текущий год. Папка хранится в производственном отделе не менее 2-х лет.

Заключение


Изобутилен является сырьем для синтеза самых разнообразных продуктов основного органического и нефтехимического. Более 70 % всего изобутилена используется для получения бутилкаучука, значительная часть его в виде изобутан - изобутиленовой фракции 40 %-ной концентрации расходуется для производства изопрена из изобутилена и формальдегида через диметилдиоксан.

В зависимости от цели различают качественный и количественный анализ. Задачей качественного анализа является обнаружение (идентификация) компонентов анализируемого образца - атомов, ионов, молекул. Задачей количественного анализа является определение масс, концентраций (содержаний) или количественных соотношений компонентов анализируемого объекта.

В зависимости от того, какие компоненты нужно обнаружить или определить, различают анализ элементный, изотопный, молекулярный, фазовый. Элементный анализ представляет собой совокупность методов качественного обнаружения и количественного определения элементов Периодической системы элементов Д.И. Менделеева, входящих в состав пробы анализируемого вещества, без учёта видов связи в нём или структуры. Содержание составных частей в веществе различно.

Литература


1.   Башкатов Т.В., Жигалин Я.Л. Технология синтетических каучуков: Учебник для техникумов. - 2-е изд., перераб. - Л.: Химия, 1987. - 360с.

2.      Брацыхин Е.А., Шульгина, Э.С. Технология пластических масс: Учебное пособие для техникумов. - 3-е изд., перераб. и доп. - Л.: Химия, 1982. - 328с.

.        Воробьев В.А. Технология полимеров. Учеб. для студентов специальность «Производство строительных изделий и конструкций» высших учебных заведений. Изд. 1-е. - М.: Высшая школа, 1971. - 360с.

.        Воробьев В.А., Адрианов Р.А. Технология полимеров: Учебник для вузов. - М.: Высшая школа, 1980. - 303с.

.        Кандауров В.П., Александров В.И., Артемов А.В. Общая химическая технология: Учеб. пособие для студ. высш. учеб. заведений. - М.: Издательский центр «Акаденимия», 2005. - 336с.

.        Кирпичников П.А., Береснев В.В., Попова Л.М. Альбом технологических схем основных производств промышленности синтетического каучука: Учеб. пособие для вузов. - 2-е изд., перераб. - Л.: Химия, 1986. - 224с.

.        Крючков А.П. Общая технология синтетических каучуков. - М.: Химия, 1960. - 560с.

.        Литвин О.Б. Основные технологии синтеза каучуков. - М.: Химия, 1964. - 648с.

.        Николаев А.Ф. Синтетические полимеры и пластические массы. - Л.: Химия, 1970. - 528с.

.        Сангалов Ю.А., Минскер К.С. Полимеры и сополимеры изобутилена: Фундаментальные проблемы и прикладные аспекты. - Уфа: Гилем, 2001. - 384с.

.        Химическая энциклопедия: В 5т.: т.4: Полимерные - Трипсин/ Редкол.: Зефиров П.С. (гл.ред.) и др. - М.: Большая Российская энцикл., 1995. - 639с.

Похожие работы на - Методы аналитического контроля в производстве из изобутилена на примере производства полиизобутилена

 

Не нашли материал для своей работы?
Поможем написать уникальную работу
Без плагиата!
Без нейросетей!