Методы анализа аскорбиновой кислоты в растворе для инъекций и методы их валидации
Пятигорский
медико-фармацевтический институт
Филиал
государственного бюджетного образовательного учреждения высшего
профессионального образования
Волгоградский
государственный медицинский университет Минздрава Российской Федерации
Кафедра
фармацевтической и токсикологической химии
Специальность
060108 «Фармация»
Выпускная
квалификационная работа
Методы
анализа кислоты аскорбиновой в растворе для инъекций и их валидация
Коновалов
Александр Андреевич
Студента V
курса 20 группы
Руководитель,
доцент кафедры к.фарм.н.
Саморядова
Анна Борисовна
Пятигорск
2014
ПЛАН РАБОТЫ
ВВЕДЕНИЕ
ГЛАВА
1. КИСЛОТА АСКОРБИНОВАЯ, СВОЙСТВА, АНАЛИЗ, ПРИМЕНЕНИЕ (ОБЗОР ЛИТЕРАТУРЫ)
.1
Общая характеристика кислоты аскорбиновой
.2
Получение кислоты аскорбиновой
.3
Свойства кислоты аскорбиновой
.4
Способы идентификации кислоты аскорбиновой
1.4.1 Химическими
методами
1.4.2
Физико-химическими методам
.5
Количественное определение
1.5.1
Титриметрические методы
1.5.2 Физико-химические
методы
1.6
Фармакологическое действие, применение в медицине и хранение лекарственных
препаратов глюкозы
1.6.1 Биологическая роль
1.6.2 Авитаминоз и гипервитаминоз
1.6.3 Суточная норма потребления
1.6.4 Фармакодинамика
1.6.5 Фармакокинетика
1.6.6 Лекарственные формы
Выводы
по главе 1
ГЛАВА
2. МЕТОДЫ АНАЛИЗА КИСЛОТЫ АСКОРБИНОВОЙ В РАСТВОРЕ ДЛЯ ИНЪЕКЦИЙ И ИХ ВАЛИДАЦИЯ
(ЭКСПЕРИМЕНТАЛЬНАЯ ЧАСТЬ)
2.1 Валидационная
оценка методик качественного и количественного анализа кислоты аскорбиновой в
растворе для инъекций по показателю «Специфичность»
2.1.1 Установление
специфичности в тестах «Испытание на подлинность»
.1.2 Установление
специфичности в тестах «Количественное определение»
2.2
Валидационная оценка методики анализа кислоты аскорбиновой йодатометрическим
методом
2.2.1
Валидационная оценка методики анализа кислоты аскорбиновой в растворе
иодатометрическим методом по показателю «Линейность».
.2.2
Валидационная оценка методики анализа кислоты аскорбиновой в растворе
иодатометрическим методом по показателю «Правильность»
.2.3
Валидационная оценка методики анализа кислоты аскорбиновой в растворе
иодатометрическим методом по показателю «Прецизионность»
.3
Валидационная оценка методики анализа кислоты аскорбиновой иодиметрическим
методом
.3.1
Валидационная оценка методики анализа кислоты аскорбиновой в растворе иодиметрическим
методом по показателю «Линейность»
.3.2
Валидационная оценка методики анализа кислоты аскорбиновой в растворе
иодиметрическим методом по показателю «Правильность»
.3.3
Валидационная оценка методики анализа кислоты аскорбиновой в растворе иодиметрическим
методом по показателю «Прецизионность»
ОБЩИЕ
ВЫВОДЫ
ЛИТЕРАТУРА
ВВЕДЕНИЕ
Возрастающие требования к безопасности,
эффективности и качеству лекарственных средств обусловливают необходимость
разрабатывать новые и совершенствовать существующие методы их анализа.
Витамины являются незаменимыми веществами,
необходимыми для роста, развития и жизнедеятельности человека. Большинство
витаминов в организме не синтезируется, источником их обычно является внешняя
среда. Традиционно различают водорастворимые и жирорастворимые витамины.
Витаминные препараты широко используются для
стимуляции и регуляции физиологических процессов, профилактики и лечения ряда
заболеваний при гипо- и авитаминозах, повышения общей устойчивости организма к
экзогенным и эндогенным неблагоприятным факторам.
На сегодняшний день рынок переполнен витаминными
препаратами, они имеют различные составные элементы и выпускаются в разных
лекарственных формах. На фармацевтическом рынке существует большое количество
дженериков или много источниковых препаратов, содержащих витамины.
Качество препаратов-дженериков обеспечивается
комплексом аналитических методов, позволяющих подтвердить их подлинность,
определить чистоту и количественное содержание действующего вещества.
Используемые для этого методы и методики нуждаются в постоянном
совершенствовании. Необходимо также учитывать сохранявшуюся проблему
фальсификации лекарственных средств. Учитывая вышеизложенное, актуальной
является проблеме сравнительного изучения методов анализа, используемых для
анализа лекарственных средств водорастворимых витаминов, в первую очередь
кислоты аскорбиновой.
Цель и задачи исследования. Целью исследования
являлось сравнительное изучение и валидация современных методов анализа
раствора кислоты аскорбиновой.
Для достижения поставленной цели решали
следующие задачи:
- провести анализ состояния методов
стандартизации и контроля качества лекарственных средств кислоты аскорбиновой,
включая международные программы и зарубежные фармакопеи;
выбрать методики установления подлинности и
количественного определения кислоты аскорбиновой в растворе методов;
провести валидационную оценку методик
качественного и количественного анализа кислоты аскорбиновой в растворе для
инъекций по показателю «Специфичность».
провести валидационную оценку методик
качественного и количественного анализа кислоты аскорбиновой в растворе для
инъекций по показателю «Линейность».
провести валидационную оценку методик
качественного и количественного анализа кислоты аскорбиновой в растворе для
инъекций по показателю «Правильность».
провести валидационную оценку методик
качественного и количественного анализа кислоты аскорбиновой в растворе для
инъекций по показателю «Прецизионность».
провести валидационную оценку по показателям:
специфичность, линейность, прецизионность и правильность.
ГЛАВА 1. КИСЛОТА АСКОРБИНОВАЯ, СВОЙСТВА, АНАЛИЗ,
ПРИМЕНЕНИЕ
.1 Общая характеристика кислоты аскорбиновой
Аскорбиновая
кислота -органическое соединение
<#"821810.files/image003.jpg">
.3 Свойства кислоты аскорбиновой
По физическим
свойствам аскорбиновая кислота представляет собой белый кристаллический порошок
без запаха, кислого вкуса. Легко растворим в воде, растворим в спирте.tпл. 190-193°С (с
разложением).
Из-за наличия двух
асимметрических атомов
<#"821810.files/image004.jpg">
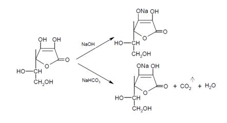
. Кислотные свойства. Аскорбиновая кислота
является у-лактоном, содержащим два спиртовых гидроксила в 5 и 6 положениях и
два енольных гидроксила во 2 и 3 положениях. Енольные гидроксилы обладают
кислотными свойствами, дают кислую реакцию на лакмус, взаимодействуют и с NaОН
и с NaHCO3.
Кислотные свойства более выражены у гидроксила в 3-ем положении:
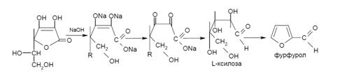
Следует иметь в виду, что аскорбиновая кислота
является лактоном и при действии сильных щелочей лактонное кольцо
гидролизуется, а затем образуется фурфурол [28]:
3. Кислота аскорбиновая имеет характерный спектр
поглощения в УФ-области и ИК области [3].
· Инфракрасный спектр субстанции, снятый в диске с
калия бромидом, в области от 4000 до 400 см-1 по положению полос
поглощения должен соответствовать рисунку спектра аскорбиновой кислоты (рис.
1).
Рис. 1 - ИК-спектр поглощения кислоты
аскорбиновой
· Ультрафиолетовый спектр поглощения 0,001 %
раствора субстанции в 0,1 М растворе хлористоводородной кислоты в области от
230 до 300 нм должен иметь максимум при 243 нм (рис. 2).
Рис. 2 - УФ-спектр поглощения кислоты
аскорбиновой.
1.4 Способы идентификации аскорбиновой кислоты
.4.1 Химическими методами
Кислотные свойства [1,18,19, 28,29]:
Кислотные свойства аскорбиновой кислоты
используют для испытания подлинности. После добавления карбоната натрия в
водном растворе происходит образование ионизированной формы кислоты
аскорбиновой. К полученной натриевой соли прибавляют железа (II)
сульфат. Появляется темно-фиолетовое окрашивание, обусловленное образованием
железа аскорбината, исчезающего после добавления разведенной серной кислоты:
Восстановительные свойства
[1,18,19, 28,29]:
1. При взаимодействии кислоты аскорбиновой с
раствором нитрата серебра его катион восстанавливается до металлического
серебра (реакция образования «серебряного зеркала»):
. Восстановительными свойствами кислоты
аскорбиновой обусловлено превращение окрашенного в синий цвет
2,6-дихлорфенолидиндофенола в бесцветное лейкосостояние:
. Аскорбиновая кислота легко окисляется
раствором йода согласно уравнению:
. При взаимодействии кислоты аскорбиновой с
раствором калия перманганата наблюдают обесцвечивание раствора калия
перманганата вследствие восстановления марганца до Mn 2+
1.4.2 Физико-химическими
методами
Анализ ИК-спектров
водорастворимых витаминов
На рис. 3 в качестве примера представлен
ИК-спектр кислоты аскорбиновой. В изучаемых спектрах полосы около 2955, 2924,
2855 см−1 соответствуют валентным колебаниям νС-Н,
1462, 1378 и 722 см−1 - деформационным колебаниям δС-Нвазели-нового
масла. Полосы с частотами около 2361, 2346, 2334 и 666 см−1 соответствует
колебаниям присутствующего в атмосфере углекислого газа.
На основании анализа спектров субстанции кислоты
аскорбиновой были выделены следующие характеристических полосы поглощения:νС=О
в γ-бутиролактоне
(1755 см−1), νС=С
(1675 см−1),νas(С-О-С)
(1322 см−1) и νs(С-О-С)
(1026 см−1).
Рис. 3. ИК-спектр субстанции кислоты
аскорбиновой в вазелиновом масле.
Рис. 4. ИК-спектр таблеток Аскорбиновая кислота
с глюкозой (Фармстандарт-Уфа-ВИТА, Россия) после проведения экстракции спиртом
96%.
В работе был составлен атлас ИК-спектров
субстанций и препаратов водорастворимых витаминов с целью их последующего
использования в качестве стандартных. Таким образом, разработаны методики
подтверждения подлинности кислоты аскорбиновой в таблетках методом
ИК-спектроскопии, которые могут быть использованы для выявления
фальсифицированных препаратов, содержащих указанное вещество.
Идентификация и дискриминация кислоты
аскорбиновой методом БИК-спектроскопии
На рис. 5 представлены БИК-спектры субстанций
кислоты аскорбиновой разных производителей с фальсификатом. Видно, что гранулят
97% отличается от порошкообразных субстанций только по интенсивности спектров.
Методика сравнения БИК-спектров может использоваться для установления
подлинности препаратов только с концентрацией кислоты аскорбиновой в препарате
свыше 25-30%. В этом случае в БИК-спектре можно увидеть полосы действующего
вещества (рис. 6).
Рис. 5. БИК-спектры субстанций кислоты
аскорбиновой 13 серий 8 производителей в сравнении с фальсифицированным образцом
Рис. 6. БИК-спектры субстанции и таблеток с
концентрацией кислоты аскорбиновой от 25,16% до 66,67%.
Анализ УФ-спектров кислоты аскорбиновой
Наличие сложных сопряженных систем в структурах
водорастворимых вита-минов дает возможность широкого применения
УФ-спектрофотометрии для их фармакопейного анализа. IP и USP регламентируют при
установлении подлинности сравнение УФ-спектров испытуемой субстанции со
спектрами стандартных образцов. ГФ, CP, EP (BP) и JP при установлении
подлинности регламентируют сравнение УФ-спектров испытуемой субстанции со
стандартными спектрами (рис. 7).
Рис. 7. УФ-спектр кислоты аскорбиновой (15
мкг/мл) в растворе кислоты серной 0,005 М
1.5 Количественное определение
кислоты аскорбиновой
.5.1 Титриметрические методы
Титриметрические количественного определения
кислоты аскорбиновой также базируются на ее химических свойствах:
восстановительных и кислотных.
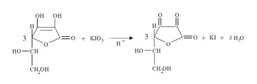
) ГФ XII
рекомендует метод йодатометрии. В этом случае титрантом служит раствор калия
йодата. Титрование ведут в присутствии иодида калия и хлороводородной кислоты
(индикатор - крахмал) до стойкого синего окрашивании.
Избыточная капля титрованного раствора калия
йодата реагирует скалия йодидом, выделяя йод, который указывает на конец
титрования:
) Метод йодометрии. Кислота аскорбиновая
окисляется титрованным раствором йода в нейтральной, слабокислой или
слабощелочной средах до кислоты дегидроаскорбиновой.
) Метод йодохлорометрии. Титруют раствором
йодмонохлорида до появления стойкого слабо-синего окрашивания (индикатор
крахмал). Происходит окисление аскорбиновой кислоты пореакции:
) Цериметрическое определение. Избыточная
капля сульфата церия окисляет индикатор до бледно-голубого окрашивания
Раствор фенантролина представляет собой
комплексное соединение закисного железа с о-фенантролином интенсивно-красного
цвета. Сульфат церия окисляет железо до трехвалентного. В результате чего
образуется комплексное соединение голубого цвета:
) Титрование раствором
2,6-дихлорфенолиндофенолята натрия. В плодах шиповника содержание аскорбиновой
кислоты определяют титрованием 0,001 н. раствором 2,6-дихлорфенолиндофенолята
натрия в кислой среде до появления не исчезающей в течение 0,5-1 мин розовой
окраски.
6) Кислотные свойства кислоты аскорбиновой
выражены в достаточной степени, что позволяет количественно определять
лекарственное вещество алкалиметрически. Кислота аскорбиновая титруется
стандартным 0,1 Мраствором натрия гидроксила, как одноосновная кислота по
енольному гидроксилу в 3-ем положении:
.5.2 Физико-химические методы
Для количественной оценки кислоты аскорбиновой в
многокомпонентных образцах со сложной матрицей, следует применять только
высокоспецифичные или сепарационные методы анализа. Метод КЭ является
дополнением и в то же время, альтернативой ВЭЖХ, характеризуется высокой
эффективностью, малым расходом недорогих реагентов и простотой эксплуатации,
капилляры долговечны и легко регенерируются. Несомненно, как и любой
инструментальный метод, метод КЭ предполагает материальные затраты на
приобретение оборудования, однако такое оборудование является универсальным.
Предложенная методика КЭ может быть использована для контроля качества
лекарственного растительного сырья и лекарственных препаратов, содержащих
кислоту аскорбиновую (плоды и сироп шиповника, витаминный сбор №2, листья
бархатцев, растворов кислоты аскорбиновой для инъекций и препарата
«Аскорутин»). Для количественного определения кислоты аскорбиновой в
инъекционных растворах можно используют более дешевый и доступный
спектрофотометрический метод с ФМК.
В большинстве современных лабораторий используют
следующие методы количественного определения кислоты аскорбиновой:
· Оптические методы
. Спектрофотометрический метод на основании
свободной кислоты фосфорномолибденовой.
2. Высокоспецифичный спектрофотометрический
ферментативный метод на основе аскорбатоксидазы
· Хроматографические методы
. Метод ВЭЖХ
2. Капиллярный зональный электрофорез
. Мицеллярная электрофонетическая
хроматография.
1.6 Фармакологическое действие, применение в
медицине и хранение лекарственных препаратов глюкозы
1.6.1 Биологическая роль
Образование
коллагена, серотонина
<#"821810.files/image027.gif"> (1);
Где V
- теоретический объем титранта
а - навеска
K - поправочный
коэффициент титранта
в - содержание кислоты аскорбиновой в
лекарственной форме
P - 1 мл раствора
Расчет содержания кислоты аскорбиновой в 1 мл
раствора проводили по формуле:
(2);
Где V
- практический объем титранта
а - навеска
K - поправочный
коэффициент титранта
b - содержание
кислоты аскорбиновой в лекарственной форме
P - 1 мл
лекарственной формы
.2.1 Валидационная оценка методики анализа
кислоты аскорбиновой в растворе йодатометрическим методом по показателю
«Линейность»
Линейность методики - это наличие прямой
пропорциональной зависимости аналитического сигнала от концентрации или количества
определяемого вещества в анализируемой пробе.
Линейность выражается уравнением у = ax
+ b. Это уравнение
называют линейной регрессией. Параметр b
градуировочной функции характеризует отрезок, отсекаемый на оси ординат и
соответствующий значению холостого опыта, а коэффициент a
характеризует наклон градуировочной кривой и является отражением
чувствительности методики.
Расчет коэффициентов градуировочного графика
проводили по формулам и данным таблицы 1:
(3)
(4)
Построение градуировочного графика
Точную навеску кислоты аскорбиновой (5 г)
помещали в мерную колбу вместимостью 100 мл, растворяли в воде, доводил водой
до метки и перемешивали (раствор А).
На титрование отмерили последовательно 0,50 мл;
1,0 мл; 1,5 мл; 2,0 мл; 2,5 мл раствора А (0,075 г; 0,010 г; 0,125 г; 0,150 г;
0,175 г.) и проводили определение по методике описанной для количественного
определения кислоты аскорбиновой. Данные занесли в таблицу 2.
Таблица
2
Результаты титриметрического определения кислоты
аскорбиновой йодатометрическим методом
|
Объем
5% раствора А (мл)
|
0,5
|
1,0
|
1,5
|
2,0
|
2,5
|
|
Содержание
кислоты аскорбиновой г/ в навеске
|
0,025
|
0,05
|
0,075
|
0,1
|
0,125
|
|
Объем
0,167 М йодата калия (мл)
|
2,5
|
5,1
|
8,9
|
11,0
|
13,1
|
Построили градуировочный график зависимости
концентраций от объема титранта, рассчитали уравнение градуировочного графика и
коэффициент корреляции.
Рисунок 1 - Градуировочный график зависимости
объема титранта от концентрации кислоты аскорбиновой
Основной характеристикой линейности является
коэффициент корреляции - мера взаимосвязи измеренных явлений. Коэффициент
корреляции (обозначается «r») рассчитывается по специальной формуле:
(5)
При математической обработке
рассчитали величину коэффициента корреляции r.
Коэффициент корреляции составил: r= 0,992039.
Полученные результаты показали, что существует
линейная зависимость между навеской кислоты аскорбиновой и объемом титранта -
0,05 М раствором йода.
Как известно, для аналитических целей можно
использовать только ту методику, для которой зависимость функции от аргумента
коррелируется с коэффициентом r,
который должен быть ≥0,99.
.2.2 Валидационная оценка методики анализа
кислоты аскорбиновой в растворе йодатометрическим методом по показателю
«Правильность»
Правильностью аналитической методики называется
степень близости экспериментальных результатов к истинному значению во всей
области измерений. Главным фактором, определяющим правильность, является
значение систематической погрешности.
Согласно рекомендациям ICH
необходимо проанализировать не менее 9 образцов на 3 уровнях концентраций.
Правильность методики устанавливается в указанном диапазоне ее применения. Для
оценки полученных результатов наиболее простым и наглядным критерием служит
открываемость (R), которая
вычисляется по формуле:
При проведении анализа будут
получены 9 значений открываемости.
Для более детальной оценки следует
статистически обработать полученные значения R, рассчитав
стандартное (SD),
относительное стандартное отклонение (RSD) и
коэффициент Стьюдента по формуле:
где
- истинное значение определяемой
величины;
- среднее значение определяемой
величины;- объем выборки;D - стандартное отклонение
Для тестирования методики на
правильность готовили три модельные смеси из разных навесок с точным
содержанием каждого из компонентов, включая и вспомогательные вещества (таблица
3).
Таблица
3
Приготовление модельных растворов кислоты
аскорбиновой
|
Модельная
смесь
|
1
|
2
|
3
|
|
Навеска
кислоты аскорбиновой (г)
|
4,0
|
5,0
|
6,0
|
|
Трилона
Б (г)
|
0,02
|
0,025
|
0,03
|
|
Натрия
гидрокарбоната (г)
|
1,908
|
2,385
|
2,862
|
|
Натрия
сульфита безводного (г)
|
0,16
|
0,200
|
0,24
|
|
Воды
для инъекций
|
До
100 мл
|
До
100 мл
|
До
100 мл
|
Раствор А1 (модельная смесь 1) Точные
навески кислоты аскорбиновой (4,0
г), трилона Б (0,02г), натрия гидрокарбоната
(1,908г) и натрия сульфита (0,16 г) помещают в мерную колбу вместимостью 100
мл, растворяют в воде при нагревании на водяной бане и доводят водой до метки.
Раствор А2 (модельная смесь 2) Точные
навески кислоты аскорбиновой (5,0 г), трилона Б (0,025 г), натрия
гидрокарбоната (2,385 г) и натрия сульфита (0,200 г) помещают в мерную колбу
вместимостью 100 мл, растворяют в воде при нагревании на водяной бане и доводят
водой до метки.
Раствор А3 (модельная смесь 3) Точные
навески кислоты аскорбиновой (6,0 г), трилона Б (0,03 г), натрия гидрокарбоната
(2,862г) и натрия сульфита (0,24г) помещают в мерную колбу вместимостью 100 мл,
растворяют в воде при нагревании на водяной бане и доводят водой до метки.
Проводят 3 параллельных титрования на трех
уровнях концентраций (9 определений) по следующей методике количественного
определения:
К 1 мл каждой из модельных смесей (А1, А2,
А3) прибавляют 5 мл воды, 0,15 мл 1% раствора формальдегида, 2
мл 2% раствора кислоты хлороводородной, 0,5 мл 1% раствора калия йодида, 2 мл
крахмала и тируют 0,0167 моль/л раствором йодата калия до появления
светло-синего окрашивания, не исчезающего в течение 30 сек.
мл 0,0167 М раствора калия йодата соответствует
0,008824 г кислоты аскорбиновой.
Расчет содержания кислоты аскорбиновой (г/мл)
проводят по формуле:
где: V-
объем титранта, мл;
К - поправочный коэффициент;
Т - титр калия йодата по определяемому веществу,
г/мл;
а - навеска модельной смеси, взятая на анализ,
мл.
Результаты занесли в таблицу №4 и рассчитали
открываемость, стандартное отклонение, относительное стандартное отклонение и
коэффициент Стьюдента.
Таблица
4
Результаты определения правильности методом
йодатометрии
|
№
п/п
|
Уровень
|
Взято
модельной смеси, г (мл)
|
Взято
лекарственного вещества, г
|
Объем
титранта, мл
|
Найдено
лекарственного вещества, г
|
Открывае-мость
|
Метрологические
характеристики
|
|
1
|
1
|
1,0
мл
|
0,04
|
4,9
|
0,0406
|
101,4
|
=100,4 SD=1,913 RSD=1,27 t=0.94
|
|
2
|
1
|
1,0
мл
|
0,04
|
5,8
|
0,0474
|
102,3
|
|
|
3
|
1
|
1,0
мл
|
0,04
|
5,0
|
0,0412
|
103,5
|
|
|
4
|
2
|
1,0
мл
|
0,05
|
5,7
|
0,0498
|
99,6
|
|
|
5
|
2
|
1,0
мл
|
0,05
|
5,9
|
0,0488
|
97,7
|
|
|
6
|
2
|
1,0
мл
|
0,05
|
6,1
|
0,0502
|
100,4
|
|
|
7
|
3
|
1,0
мл
|
0,06
|
7,4
|
0,0607
|
101,6
|
|
|
8
|
3
|
1,0
мл
|
0,06
|
7,2
|
0,0590
|
98,4
|
|
|
9
|
3
|
1,0
мл
|
0,06
|
7,2
|
0,0595
|
99,1
|
|
Т.о.
должно находиться в пределах от 98
до 102, следовательно, данная методика соответствует валидационной
характеристике «правильность».
Поскольку t =0,94 << (95%, f)
=2,31, что позволяет считать результаты выборки результатов свободными от
систематической ошибки.
.2.3 Валидационная оценка методики анализа
кислоты аскорбиновой в растворе йодатометрическим методом по показателю
«Прецизионность»
Приготовили модельный раствор кислоты
аскорбиновой №2.
Определение №1
Провели 3 параллельных титрования, отмеривая
каждый раз по 0,5 мл ЛП.
Определение №2
Провели 3 параллельных титрования, отмеривая
каждый раз по 1,0 мл ЛП.
Определение №3
Провели 3 параллельных титрования, отмеривая
каждый раз по 1,5 мл ЛП.
Расчет содержания кислоты аскорбиновой (г)
провели по формуле приведенной при определении правильности.
Результаты занесли в таблицу №5 и рассчитали
стандартное отклонение (SD)
и относительное стандартное отклонение (RSD).
Таблица
5
Результаты определения прецизионности кислоты аскорбиновой
методом йодатометрии
|
Навеска
для анализа, г
|
Объем
титранта, мл
|
Найдено,
г/мл
|
 Метрологические характеристики
|
|
|
|
0,025
|
3,1
|
0,0509
|
0,0001
|
0,0000001
|
=0.051
SD=0.01
RSD=1.68
|
|
0,025
|
3,2
|
0,051
|
0
|
0
|
|
|
0,025
|
3,0
|
0,049
|
0,002
|
|
|
0,05
|
6,0
|
0,0486
|
0,0024
|
0,000057
|
|
|
0,05
|
6,3
|
0,051
|
0
|
0
|
|
|
0,05
|
6,0
|
0,048
|
0,003
|
0,00009
|
|
|
0,075
|
9,1
|
0,049
|
0,002
|
0,00004
|
|
|
0,075
|
9.3
|
0,0504
|
0,0006
|
0,0000003
|
|
|
0,075
|
9.7
|
0,0511
|
0,0001
|
0,0000001
|
|
В результате проведенных исследований
установлено, что RSD
соответствует по показателю прецизионность.
.3 Валидационная оценка методики анализа кислоты
аскорбиновой йодиметрическим методом
Методика количественного определения
К 1,0 мл препарата прибавляют 5 мл воды и
титруют 0,05 М раствором йода до слабо-желтого окрашивания, не исчезающего в
течение 30 сек.
мл 0,05 М раствора йода соответствует
0,008824 г кислоты аскорбиновой.
2.3.1 Валидационная оценка методики анализа
кислоты аскорбиновой в растворе иодиметрическим методом по показателю
«Линейность»
Построение градуировочного графика
Точную навеску кислоты аскорбиновой (5 г)
помещают в мерную колбу вместимостью 100 мл, растворяют в воде, доводят водой
до метки и перемешивают (раствор А).
На титрование отмеривают последовательно 0,50
мл; 1,0 мл; 1,5 мл; 2,0 мл; 2,5 мл раствора А (0,075 г; 0,010 г; 0,125 г; 0,150
г; 0,175 г.) и проводят определение по методике описанной для количественного
определения кислоты аскорбиновой.
Данные занесли в таблицу 6.
Таблица
6
Результаты титриметрического определения кислоты
аскорбиновой йодиметрическим методом
|
Объем
5% раствора А (мл)
|
0,5
|
1,0
|
1,5
|
2,0
|
2,5
|
|
Содержание
кислоты аскорбиновой г/ в навеске
|
0,025
|
0,05
|
0,075
|
0,1
|
0,125
|
|
Объем
0,05 М йода (мл)
|
2,5
|
5,1
|
8,9
|
11,0
|
13,1
|
Построили градуировочный график зависимости
концентраций от объема титранта, рассчитали уравнение градуировочного графика и
коэффициент корреляции.
Рисунок 2 - Градуировочный график зависимости
объема титранта от концентрации кислоты аскорбиновой
При математической обработке рассчитали величину
коэффициента корреляции r.
Коэффициент корреляции составил: r=
0,9966
Полученные результаты показали, что существует
линейная зависимость между навеской кислоты аскорбиновой и объемом титранта -
0,05 М раствором йода.
.3.2 Валидационная оценка методики анализа
кислоты аскорбиновой в растворе йодиметрическим методом по показателю
«Правильность»
Приготовили три модельных раствора кислоты
аскорбиновой (табл. 7).
Таблица
7
Приготовление модельных растворов кислоты
аскорбиновой
|
Модельная
смесь
|
1
|
2
|
3
|
|
Навеска
кислоты аскорбиновой (г)
|
4,0
|
5,0
|
6,0
|
|
Трилона
Б (г)
|
0,02
|
0,025
|
0,03
|
|
Натрия
гидрокарбоната (г)
|
1,908
|
2,385
|
2,862
|
|
Натрия
сульфита безводного (г)
|
0,16
|
0,200
|
0,24
|
|
Воды
для инъекций
|
До
100 мл
|
До
100 мл
|
До
100 мл
|
Раствор А1 (модельная смесь 1) Точные
навески кислоты аскорбиновой (4,0 г), трилона Б (0,02г), натрия гидрокарбоната
(1,908 г) и натрия сульфита (0,16 г) помещают в мерную колбу вместимостью 100
мл, растворяют в воде при нагревании на водяной бане и доводят водой до метки.
Раствор А2 (модельная смесь 2) Точные
навески кислоты аскорбиновой (5,0 г), трилона Б (0,025 г), натрия
гидрокарбоната (2,385 г) и натрия сульфита (0,200 г) помещают в мерную колбу
вместимостью 100 мл, растворяют в воде при нагревании на водяной бане и доводят
водой до метки.
Раствор А3 (модельная смесь 3) Точные
навески кислоты аскорбиновой (6,0 г), трилона Б (0,03 г), натрия гидрокарбоната
(2,862г) и натрия сульфита (0,24 г) помещают в мерную колбу вместимостью 100
мл, растворяют в воде при нагревании на водяной бане и доводят водой до метки.
Проводили 3 параллельных титрования на трех
уровнях концентраций (9 определений).
К 1,0 мл каждой из модельных смесей (А1, А2,
А3) прибавляют 5 мл воды и титруют 0,05 М раствором йода до
слабо-желтого окрашивания, не исчезающего в течение 30 сек.
мл 0,05 М раствора йода соответствует 0,008824 г
кислоты аскорбиновой.
мл 0,0167 М раствора калия йодата соответствует
0,008824 г кислоты аскорбиновой.
Расчет содержания кислоты аскорбиновой (г/мл)
проводят по формуле:
где: V
- объем титранта, мл;
К - поправочный коэффициент;
Т - титр йода по определяемому веществу, г/мл;
а - навеска модельной смеси, взятая на анализ,
мл. Р - 1 мл
Результаты занесли в таблицу №8 и рассчитали
открываемость, стандартное отклонение, относительное стандартное отклонение и
коэффициент Стьюдента.
Таблица
8
Результаты определения правильности методом
йодиметрии
|
№
п/п
|
Уровень
|
Взято
модельной смеси, г (мл)
|
Взято
лекарственного вещества, г
|
Объем
титранта, мл
|
Найдено
лекарственного вещества, г
|
Открывае-мость
|
Метрологические
характеристики
|
|
1
|
1
|
1,0
мл
|
0,04
|
4,86
|
0,0395
|
98,75
|
=100,24 SD=1,94 RSD=1,20 t=0.6
|
|
2
|
1
|
1,0
мл
|
0,04
|
4,50
|
0,0398
|
99,7
|
|
|
3
|
1
|
1,0
мл
|
0,04
|
4,53
|
0,0408
|
100,25
|
|
|
4
|
2
|
1,0
мл
|
0,05
|
5,70
|
0,0503
|
100,6
|
|
|
5
|
2
|
1,0
мл
|
0,05
|
5,65
|
0,0500
|
102,1
|
|
|
6
|
2
|
1,0
мл
|
0,05
|
5,65
|
0,0500
|
103,9
|
|
|
7
|
3
|
1,0
мл
|
0,06
|
6,80
|
0,0602
|
100,33
|
|
|
8
|
3
|
1,0
мл
|
0,06
|
6,70
|
0,0592
|
97,07
|
|
|
9
|
3
|
1,0
мл
|
0,06
|
6,75
|
0,0597
|
99,5
|
|
Т.о.
должно находиться в пределах от 98
до 102, следовательно, данная методика соответствует валидационной
характеристике «правильность».
Поскольку t =0,6 << (95%, f)
=2,31, что позволяет считать результаты выборки результатов свободными от
систематической ошибки.
.3.3 Валидационная оценка методики анализа
кислоты аскорбиновой в растворе йодиметрическим методом по показателю
«Прецизионность»
Приготовили модельный раствор кислоты
аскорбиновой №2
Определение №1
Проводят 3 параллельных титрования, отмеривая
каждый раз по 0,5 мл ЛП.
Определение №2
Проводят 3 параллельных титрования, отмеривая
каждый раз по 1,0 мл ЛП.
Определение №3
Провели 3 параллельных титрования, отмеривая
каждый раз по 1,5 мл ЛП.
Рассчитали содержание кислоты аскорбиновой
(г/мл), стандартное отклонение (SD)
и относительное стандартное отклонение (RSD).
Таблица
5
Результаты определения прецизионности кислоты
аскорбиновой методом йодиметрии
|
Навеска
для анализа, г
|
Объем
титранта, мл
|
Найдено,
г/мл
|
 Метрологические характеристики
|
|
|
|
0,025
|
3,1
|
0,0499
|
0,0001
|
0,0000001
|
=0.0496 SD=0.0007 RSD=1,41
|
|
0,025
|
3,2
|
0,0501
|
0
|
0
|
|
|
0,025
|
3,0
|
0,0493
|
0,002
|
0,00004
|
|
|
0,05
|
6,0
|
0,0486
|
0,0024
|
0,000057
|
|
|
0,05
|
6,3
|
0,0491
|
0
|
0
|
|
|
0,05
|
6,0
|
0,0508
|
0,003
|
0,00009
|
|
|
0,075
|
9,1
|
0,0496
|
0,002
|
0,00004
|
|
|
0,075
|
9.3
|
0,0501
|
0,0006
|
0,0000003
|
|
|
0,075
|
9.7
|
0,0491
|
0,0001
|
0,0000001
|
|
В результате проведенных исследований
установлено, что RSD
соответствует
по показателю прецизионность.
ОБЩИЕ ВЫВОДЫ
. Проведена валидационная оценка методик
качественного и количественного анализа кислоты аскорбиновой 5% в растворе для
инъекций.
2. Реакции идентификации соответствуют по
показателю специфичность.
. Полученные результаты показали что
методика йодатометрического метода: соответствует по показателям специфичность,
линейность, прецизионность, правильность.
. Полученные результаты показали что
методика йодиметрического метода: соответствует по показателям специфичность,
линейность, прецизионность, правильность.
ЛИТЕРАТУРА
1. Беликов,
В.Г. Фармацевтическая химия. / В.Г Беликов. В 2 ч.: Ч. 1. Общая
фармацевтическая химия; Ч. 2. Специальная фармацевтическая химия. Учеб для
вузов. - Пятигорск. 2003. - 720 с.
. Влияние
химических веществ, содержащихся в биологических пробах и лекарственных
препаратах, на результаты количественного определения аскорбиновой кислоты /
Е.В. Зыкова, Г.П. Дудченко, В.Г. Зайцев, О.В. Островский // Вестник ВолГМУ. -
2009. - №4. - С.103-106.
3. Государственная фармакопея Российской
Федерации / изд-во Научный центр экспертизы средств медицинского применения,
2008. - 704 с.
4. Государственная фармакопея СССР - 10
изд. - М.: Медицина, 1968. - 1078 с.
5. Государственная
фармакопея СССР. Вып 1. Общие методы анализа / МЗ СССР. - 11-е изд. доп. - М.:
Медицина, 1987. -336 с.
6. Государственная
фармакопея СССР. Вып 2. Общие методы анализа. Лекарственное растительное сырье
/ МЗ СССР. - 11-е изд. доп. М.: Медицина, 1989. - 400 с.
7. Зыкова,
Е.В. Анализ аскорбиновой кислоты в лекарственных препаратах растительного
происхождения с использованием мицеллярной электрокинетической хроматографии /
Е.В. Зыкова, Г.П. Дудченко, О.В. Островский О.В. // Актуальные проблемы
современной науки. Материалы 8 международной научно-практической конференции.
Вып. 44. - Польша, 2012. - С.63-66.
8. Зыкова,
Е.В. Влияние органических веществ на результаты количественного определения
аскорбиновой кислоты в пробе / Е.В. Зыкова, А.В. Мекеня, Л.В. Самсонова //
Актуальные проблемы экспериментальной и клинической медицины. Материалы 64-й
открытой научной конференции. - Волгоград, 2006. - С. 68-69.
. Зыкова,
Е.В. Влияние органических кислот и фенольных соединений на результаты
количественного определения аскорбиновой кислоты / Е.В. Зыкова, Л.В. Самсонова
// Материалы 10 региональной конференции молодых исследователей Волгоградской
области. - Волгоград, 2005. - С.26-27.
. Зыкова,
Е.В. Влияние стабилизирующих веществ на результаты количественного определения
аскорбиновой кислоты / Е.В. Зыкова // Материалы 13 региональной конференции
молодых исследователей Волгоградской области. - Волгоград, 2008. - С.36-38
. Зыкова,
Е.В. Использование метода капиллярного электрофореза для количественного
анализа аскорбиновой кислоты в витаминных сборах / Е.В. Зыкова, О.В. Островский
// Перспективные разработки науки и техники. Материалы 7 международной
научно-практической конференции. Вып. 48. - Польша, 2011. - С. 44-46.
. Зыкова,
Е.В. Оценка влияния сопутствующих веществ пробы на результаты количественного
определения аскорбиновой кислоты различными методами) Е.В.Зыкова //
Перспективные направления физико-химической биологии и биотехнологии. Материалы
19 зимней молодежной научной школы. - Москва, 2007. - С. 52-52.
. Зыкова,
Е.В. Оценка возможности применения спектрофотометрического метода на основе
свободной фосфорномолибденовой кислоты для количественного определения
аскорбиновой кислоты в инъекционных формах / Е.В. Зыкова, Г.П. Дудченко, В.Г.
Зайцев, О.В. Островский // Разработка, исследование и маркетинг новой
фармацевтической продукции. Вып. 64: сб. науч. тр. - Пятигорск, 2009. - С.
280-281.
14. Кулешова,
М.И. Анализ лекарственных форм, изготовленных в аптеках / М.И. Кулешова, Л.Н.
Гусева, О.К. Сивицкая. Пособие. Изд. 2-е, перераб. и доп. - М.: Медицина, 1989.
- 288 с.
15. Лабораторные
работы по фармацевтической химии: Учебное пособие / В.Г. Беликов [и др.]. - 2-е
изд. перераб. и доп. - Пятигорск, 2003. - 342 с.
16. Лекарственные
растения и лекарственное растительное сырье, содержащие витамины, полисахариды,
жирные масла / Учебно-методическое пособие для самостоятельной работы студентов
фармацевтического факультета // Издательско-полиграфический центр Воронежского
государственного университета. - 2008. - 88 с.
. Машковский,
М.Д. Лекарственные средства: в 2 т. / М.Д. Машковский. - 18-е изд., перераб. и
доп.- М.: Новая волна, 2010. - 1234 с.
. Мелентьева
Г.А., Антонова Л.А. Фармацевтическая химия. - М.: Медицина, 1985. - 480 с.
. Методы
анализа лекарств / Н.П. Максютина [и др.]. - Киев: Здоровья, 1984. - 224 с.
. Метрологическая
аттестация (валидация) методик анализа лекарственных средств - Пятигорск:
Пятигорский филиал ГБОУ ВПО ВолгГМУ МЗ РФ, 2013. - 108 с.
. Определение
аскорбиновой кислоты в лекарственных препаратах методами капиллярного зонного электрофореза
и мицелллярной электрокинетической хроматографии / Е.В. Зыкова, Н.Г. Сандецкая,
В.Е Веровский., О.В. Островский // Химико-фармацевтический журнал. - 2010.-
Т.44, №8. - С. 39-41.
. Оптимизация
спектрофотометрического метода для количественного определения аскорбиновой
кислоты в лекарственных формах / Е.В. Зыкова, В.Е Веровский., Г.П. Дудченко,
О.В. Островский // Химико-фармацевтический журнал. - 2009.- Т43, № 6. - С.
63-65.
. ОФС
42-0113-09. Валидация аналитических методик.
. Оценка
правильности количественного определения кислоты аскорбиновой в плодах
шиповника тремя колориметрическими методами / Е.В. Зыкова, Г.П. Дудченко, В.Г.
Зайцев, Е.В. Денежко, О.В. Островский // Разработка, исследование и маркетинг
новой фармацевтической продукции: сб. науч. тр.- Пятигорск, 2008. - Вып. 63. -
С. 254-255.
. Погодина,
Л.И. Анализ многокомпонентных лекарственных форм./Л.И. Погодина. - Минск, Выш.
шк., 1985. - 240 с.
. Растительные
лекарственные средства / Максютнна Н. П.. Коинссарснко Н.Ф., Прокопенко А.П. и др.;
Под ред. Н.П. Максютиной.- К.: Здоров'я. 1985.- 280 с.
. Руководство
для предприятий фармацевтической промышленности / методические рекомендации.
М.: - Издательство «Спорт и Культура - 2000», 2007. 192 с.
. Ся
Юй Физико-химические методы в
анализе водорастворимых витаминов (сравнительная оценка) / авт. дисс. канд.
фармац. наук. М. - 2010. - 24 с.
29. Фармацевтическая химия. Учеб. пособие / Под.
Ред. А.П. Арзамасцева. - М.: ГЭОТАР-МЕД, 2004. - 640 с.
30. Фармацевтическая
химия: Учебник для слуд. сред. проф. учеб. заведений / Н.Н. Глушенко, Т.В.
Плетенева, В.А. Попков; Под ред. Т.В. Плетеневой. - М.: Издательский центр
«Академия», 2004. - 384 с.