Меланоидины как результат реакции Майяра

  • Вид работы:
    Реферат
  • Предмет:
    Химия
  • Язык:
    Русский
    ,
    Формат файла:
    MS Word
    115,55 Кб
  • Опубликовано:
    2015-03-26
Вы можете узнать стоимость помощи в написании студенческой работы.
Помощь в написании работы, которую точно примут!

Меланоидины как результат реакции Майяра

Министерство образования и науки Российской Федерации

Федеральное агентство по образованию

Государственное образовательное учреждение высшего профессионального образования

«Ивановский государственный химико-технологический университет»

Кафедра технологии пищевых продуктов и биотехнологии







Реферат

на тему: Меланоидины как результат реакции Майяра


Выполнила:

студентка группы 1/128

Сальникова Н.А.






Иваново, 2012

Оглавление

1. История открытия

. Механизм реакции Майяра

. Факторы, влияющие на реакцию меланоидинообразования

. Ингибирование реакции меланоидинообразования

. Меланоидины: добро и зло

Список использованной литературы

1.     
История открытия

Химия богата именными реакциями, их более тысячи. Но большинство из них мало о чем скажут человеку, далекому от химии, они для тех, кто понимает. Однако в этом богатом перечне есть одна реакция, с который все мы сталкиваемся каждый день - всякий раз, когда подходим к плите, чтобы приготовить что-нибудь вкусненькое, или пьем утренний кофе с бутербродом. Речь идет о реакции Майара, которой в прошлом году исполнилось 100 лет.

Луи Камилл Майяр (фр. Louis Camille Maillard; 1878 г.- 1936 г.) - известный французский учёный, врач и химик. Луи Камилл Майяр окончил лицей Пуанкаре (Нанси) в 1894 году бакалавром по литературе и философии.

Благодаря своим выдающимся способностям уже в 16 лет он был зачислен на факультет наук Университета Нанси. Майяр окончил факультет наук с серебряной медалью в 1897 году. Здесь он достиг больших успехов в естественных науках, особенно в химии.

В 1897 году он начал свою работу на факультете медицины Университета Нанси. Здесь он получил диплом по специальности зоология (1899).

С 1902 года в качестве протеже профессора Армана Готье Майяр начал свою научную карьеру на факультете медицины Университета Парижа. Долгое время работал в области физиологии (ввел понятие «коэффициента Майяра»).

С 1910 года Майяр начал исследования реакций между аминокислотами и сахарами. В 1913 году он защитил на эту тему докторскую диссертацию. Его исследования были также связаны с пищевой промышленностью и происхождением вкуса пищи. [1]

В то время важность исследованной Майяром данной реакции не была оценена.

В 1953 г. на 123 конгрессе Американского химического общества Дж. Ходжем была предложена новая схема реакции.

Изучением этой реакции также занимались Г. Эйлер, Д. Данеем и В. Пигман, Г Эллис, А. Пономарева, В. Кретович и Р. Токарева и мн. др.

2.      Механизм реакции Майяра

Образование меланоидинов часто объединяют общим названием «реакция Майяра». Однако толкования и формулировки М. Майяра считаются устаревшими. Новый механизм, который актуален и по сей день, был предложен Дж. Ходжем в 1953 г.

Реакция образования меланоидинов - это сложный окислительно-восстановительный процесс взаимодействия аминосоединений (имеющих свободные аминные группы) с веществами, содержащими свободные карбонильные группы (или гликозидный гидроксил), сопровождающийся появлением промежуточных соединений, а затем - высоко конденсированных азотсодержащих красящих веществ и небольших количеств CO2, NH3 и воды. [2] Летучие промежуточные соединения этой реакции, в основном альдегиды, обуславливают аромат пищевых продуктов.

При образовании меланоидинов нет единой цепи химических реакций, а имеется большое разнообразие сопутствующих реакций, дающих почти бесконечное число продуктов распада. [3] Например, только в реакции глюкозы с глицином обнаружено 24 соединения.

Все процессы, происходящие при потемнении пищевых продуктов, ещё не достаточно точно изучены.

Рассмотрим наиболее подробно механизм меланоидиновой реакции, принимая за основу схему Дж. Ходжа, включающую семь основных типов реакций, которые по развитию цвета можно разделить на три последовательно идущие стадии (схема 1). [2]

Схема 1. Схема образования меланоидинов, предложенная Дж. Ходжем.

.        Начальная стадия (образуются соединения бесцветные и не поглощающие свет):- сахар-аминная реакция;- перегрупприровка Амадори и образование 1-амино-1-дезокси-2-кетозы в 1,2-енольной форме..         Промежуточная стадия (образуются бесцветные или слабо-желтые продукты, сильно поглощающие свет в УФ- спектре):

С - дегидратация сахаров, с образованием C-цепи;- разложение сахаров (разрушение С-цепи);

Е - разложение аминокислот (разложение по Штрекеру (Стреккеру))..       Конечная стадия (интенсивное нарастание цветности):- альдольная конденсация (реакция конденсации альдегидов);- альдегид - аминная полимеризация, образование гетероциклических азотистых соединений.

Обычно в реакционной среде одновременно можно наблюдать продукты всех стадий реакции. С увеличением продолжительности реакции количество продуктов последней стадии нарастает, а начальной и промежуточной - убывает..     Начальная стадия

Сахар-аминная реакция

Первым этапом реакции меланоидинообразования является сахар-аминная конденсация, т.е. взаимодействие сахаров и аминокислот с образованием N-гликозидов (схема 2). Эта реакция обратима и протекает при отношении сахара 1:1. С повышением основности аминокислоты скорость реакции увеличивается. Если вместо аминокислоты в реакции участвуют амины или аммиак, то в результате образуются дигликозиламины.

Перегруппировка Амадори

В процессе нагревания или длительного хранения N-гликозид самопроизвольно претерпевает внутримолекулярную перегруппировку Амадори (изомеризация N-замещенных альдозиламинов в 1-амино-1-дезокси-2-кетозы), в результате которой образуется двойная связь между первым и вторым атомами углерода и возникает енольная форма 1-амино-1-дезокси-2-кетозы (вещество II).

Схема 2..  
Промежуточная стадия

Эта стадия реакции образования меланоидинов в зависимости от условий среды может протекать в различных направлениях. Она сводится к выделению воды из 1-амино-1-дезокси-2-кетоз с образованием продуктов распада и дегидратации, обладающих флуоресценцией и сильной восстанавливающей способностью. На промежуточной стадии еще до появления видимой цветности, появляется сильное поглощение света при 277-285 нм (характерное для фурфурола). [2]

Один из вероятных путей дегидратации 1-амино-1-дезокси-2-кетоз - образование фурфурола или оксиметилфурфурола (реакция С).

Второй путь - это дегидратация 1-амино-1-дезокси-2-кетоз с разрывом циклической структуры и образованием редуктонов с незамкнутой цепью.

Третий путь дегидратации 1-амино-1-дезокси-2-кетоз наблюдается в мягких условиях проведения реакции и сопровождается распадом их сахарного компонента с образованием различных продуктов (пировиноградного альдегида, ацетона, диацетила и др.). Дегидратация 1-амино-1-дезокси-2-кетоз может происходить и в результате образования озонов.

Дегидратация сахаров с образованием C - цепи

Соединение 1-амино-1-дезокси-2-кетоза, образовавшееся на первой стадии реакции (схема 1), при дальнейшем нагревании переходит в фуранозную форму (соединение III), которая, теряя воду, образует Шиффово основание фурфурола, если исходным сахаром была пентоза, или Шиффово основание оксиметилфурфурола (соединение IV), если исходным сахаром была гексоза.

Присоединяя воду, эти соединения могут распадаться с образованием соответственно фурфурола или оксиметилфурфурола (соединение V) и свободной аминокислоты или конденсируются до меланоидинов.

Таким образом, в схеме 2 показано наличие и роль фурфурола и оксиметилфурфурола в продуктах неферментативных реакций образования меланоидинов. Однако некоторые авторы считают, что фурфурол и его производные не являются основными промежуточными веществами в цепи реакций меланоидинообразования.

Гидролиз продукта перегруппировки Амадори 1-амино-1-дезокси-2-кетозы с потерей двух молекул воды приводит к разрыву кольца и образованию шестиуглеродных редуктонов. Участие редуктонов в меланоидиновой реакции установлено Дж. Ходжем. Он предполагает, что редуктоны обладают структурой фурфурола без замкнутого фуранового кольца:


Наиболее распространенным редуктоном является дегидроформа аскорбиновой кислоты. К редуктонам относятся также пирокатехин, гидрохинон и другие соединения, отличительным свойством которых является наличие ненасыщенных связей. В меланоидиновой реакции участвуют не сами редуктоны, а их дегидроформа.

Разложение сахаров.

Второй путь промежуточной стадии реакции образования меланоидинов - это разложение сахарного компонента продукта перегруппировки Амадори (1 - амино-1-дезокси-2-кетозы) с образованием различных продуктов распада сахаров, например альдегидов (глицинальдегида, глицеринальдегида, пировиноградного альдегида, ацетона, дегидроксиацетона, диацетила), органических кислот. Из кислот такие, как уксусная и муравьиная, не реагируют с аминосоединениями, пировиноградная и левулиновая слабо участвуют в реакции образования меланоидинов, а соль молочной кислоты является катализатором.

Предполагается также, что при распаде сахарного компонента 1-амино-1-дезокси-2-кетозы может возникать триозоредуктон, обладающий структурой CHO-CO-CHO, реагирующий с аминокислотами и аминами.

Разложение аминокислот (по Штрекеру (Стреккеру)).

В промежуточную стадию входит и реакция расщепления аминокислот. Например, при окислительном взаимодействии с фурфуролом (с потреблением O2) из аминокислоты образуется альдегид, содержащий углерода на один атом меньше, а также СО2 и NH3 (схема 3).

Схема 3.

Реакцией, приводящей к образованию альдегидов, является и переаминирование аминокислот с редуктонами, происходящее одновременно с декарбоксилированием (схема 4).

Схема 4.

Только редуктоподобные дикарбонильные вещества способны вызывать распад аминокислот до альдегидов. По-видимому, переаминирование - это главная оеакция включения азота в коричневый полимер.

Образование альдегидов из аминокислот является одной из основных причин возникновения аромата при термической обработке пищевых продуктов.

На конечной стадии меланоидинообразования наблюдается сложное сочетание различных реакций полимеризации, приводящих к образованию сначала растворимых, а затем нерастворимых красящих веществ, являющихся ненасыщенными флюоресцирующими полимерами. Здесь различают два основных типа реакций: альдольная конденсация различных безазотистых коричневых полимеров, альдегид-аминная полимеризация и образование гетероциклических азотистых соединений.

Альдольная конденсация в чистом виде встречается только при карамелизации очень чистых сахаров. В присутствии хотя бы следов азотистых соединений одновременно протекают оба типа реакций, так как разделить меланоиды на продукты, альдольной и альдегид-аминной полимеризации не удается.

Алифатические альдегиды конденсируются с альдиминами и образуют два типа продуктов реакции: димерный ненасыщенный альдимин и замещенный дигидропиридин.

Полученные таким образом меланоидины обладают интенсивным цветом, в зависимости от исходных реагентов и условий образования содержат разное количество азота, имеется различие ив химическом строении и свойствах. Так меланоидины, полученные в реакции фурфурола с глицином, отличаются высоким содержанием эфирного кислорода; меланоидины - из глюкозы с глицином - большим количеством спиртовых гидроксильных групп, меланоидины - из метилглиоксаля с глицином - высоким содержанием енольных гидроксильных групп и незначительным содержанием эфирных соединений.

Меланоидины содержат много непредельных связей,обладают восстанавливающими свойствами.

В меланоидинах имеются спиртовые и фенольные гидроксильные, карбонильные и карбоксильные группы.

В. Прей, Х. Андерс и В. Браунштейнер приводят для меланоидинов и продуктов щелочного распада редуцирующих сахаров предполагаемую структуру хромофоров, обусловливающих цветность:


Меланоиды снижают активность катализаторов, замедляют кристаллизацию сахарозы. Обладая кислотными свойствами, они образуют соли.

.        Факторы, влияющие на реакцию меланоидинообразования

Очень часто образование постороннего запаха в пищевых продуктах нежелательно или недопустимо. Поэтому не обходимо знать факторы, влияющие на реакцию меланоидинообразования, чтобы управлять процессом в нужном направлении. Контроль условий важен и с точки зрения возможности получения токсичных продуктов деградации. Это может касаться так называемых «перемеланоидиновых» продуктов, которые могут давать нитрозоамины.

.        Влияние рН. Величина рН среды имеет значение для реакции Майяра. Из предполагаемого механизма можно заключить, что потемнение может быть менее значительным в сильнокислой среде, поскольку в этих условиях аминогруппа изотонируется, и образования глюкозоамина происходить не будет. Показано, что при рН 6 имеет место небольшое потемнение, а наиболее благоприятная область рН для реакции 7,8-9,2.

.        Влажность. Изучение влияния влажности на систему О-ксилоза + глицин показало, что при очень низком и при очень высоком содержании влаги (аw= 0 или аw= 1) не наблюдается потемнения, максимальное же потемнение имеет место при промежуточных влагосодержаниях.

.        Температура. Наблюдается увеличение скорости реакции при
повышенных температурах. Повышение температуры на 10°С дает увеличение скорости в 2-3 раза.

.        Ионы металлов. Установлено повышение интенсивности потемнения в присутствии ионов меди и железа (Fе3+>Fе2+), ионы Na+ эффекта не давали. Отсюда можно предположить, что роль ионов ряда металлов в реакции потемнения связана с окислительно-восстановительными процессами.

.        Структура сахара. Наблюдается уменьшение способности образовывать коричневые пигменты в рядах: D-ксилоза - L-арабиноза
(пентозы); D-галактоза - D-манноза - D-глюкоза - D-фруктоза (гексозы); мальтоза - лактоза - сахароза (дисахара). Степень образования пигментов прямо пропорциональна количеству открытых цепей (свободный карбонил) сахара в растворе. Это подтверждает, что аминный азот реагирует с открытой цепью, как обсуждалось выше. [4]

.        Характер аминокислот. Чем дальше расположена аминогруппа от карбоксильной, тем активнее данная аминокислота в реакции Майяра. Таким образом, г-аминомасляная кислота вступает в реакцию лучше, чем б-аминомасляная, а лизин (за счет дополнительной е-аминогруппы) - лучше, чем изолейцин. [5]

.        Ингибирование реакции меланоидинообразования

Если образование коричневых пигментов для пищевых продуктов нежелательно, можно ингибировать протекаемые реакции, например, значительным снижением влажности (для сухих продуктов), снижением концентрации сахара (разведением), рН и температуры (для жидких продуктов). Можно удалить один из компонентов субстрата (обычно, сахар).

Вещества, реагирующие с карбонильными соединениями, - цианиды, дидемон, гидроксиламин, гидразин, меркаптаны, сульфиты - являются ингибиторами реакций образования красящих веществ. Они оказывают эффективное действие, если вводятся в реакционную среду на первой стадии образования цветности. Например, несколько капель в-меркапто-этанола полностью прекращают образование красящих веществ в глюкозоаминокислотном растворе при 95°С. Но ингибиторы не действуют, если в реакции участвуют циклические соединения (раствор фурфурола и глицина). [2]

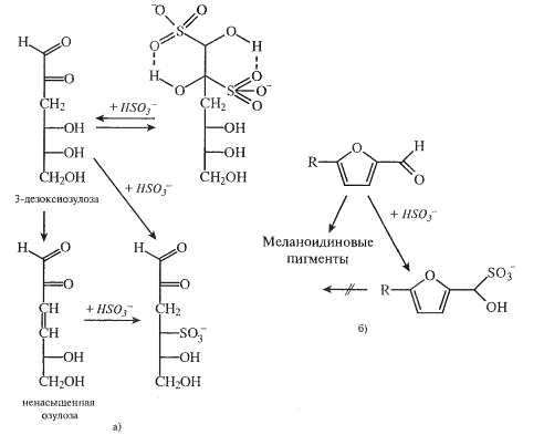
Химический способ ингибирования реакции Майяра - использование сульфитов - представлен на схеме (схема 5.). [3]

Содержание сульфитов в ходе неферментативного потемнения постепенно снижается. В одних случаях (например, для глюкозы и аминокислот) потемнение прекращается полностью еще до того, как содержание сульфитов снизится почти до нуля. В других (например, для аскорбиновой кислоты и аминокислот) оно замедляется.

Схема 5. Возможные механизмы защитного действия гидросульфит - иона при потемнении пищевых продуктов

Неодинаковая роль сульфитов объясняется различиями в промежуточных продуктах реакции, участвующих в формировании окраски. Более всего подвержены влиянию сульфитов такие промежуточные продукты, как 3-дезоксизулозы и ненасыщенные озулозы. Первые образуют с сульфитом обратимые соединения и замедляют реакцию, вторые образуют необратимое добавочное соединение, в результате чего этот промежуточный продукт стабилизируется, а процесс потемнения задерживается до тех пор, пока сульфит не будет полностью использован. Эти дополнительные продукты были фактически выделены из модельных сред и идентифицированы в пищевых продуктах.

Оксид серы (SO2) и его производные подавляют реакцию потемнения в пищевых продуктах, однако их применение ограничивается возможностью образования в сульфитированных пищевых продуктах слаботоксичных компонентов. Поиски других ингибиторов продолжаются, однако найденные до настоящего времени заменители (цианиды, димедон, гидроксиламин, гидразин, меркаптаны, бромин) неприемлемы из-за токсичности. Однако этот путь защиты от потемнения не предохраняет продукты от потери аминокислот (например, лизина), поскольку реакция с сульфит-ионами протекает на последних стадиях меланоидинообразования. Кроме того, гидросульфит-ион практически не имеет влияния на реакцию Стреккера.

5.      Меланоидины: добро и зло

Кофе, какао, пиво, квас, десертное вино, хлеб, жареные мясо и рыба... Пока мы пьем и едим все это, реакция Майара и ее продукты, меланоидины, с нами. Мы потребляем около 10 г меланоидинов каждый день, поэтому так важно знать об их пользе и вреде. [6]

Образование меланоидинов сопровождается появлением множества ароматических веществ: фурфурола, оксиметилфурфурола, ацетальдегида, формальдегида, изовалерианового альдегида, метилглиоксаля, диацетила и других. Именно они придают незабываемый, аппетитный аромат свежеиспеченному хлебу, плову, шашлыку... Еще в 1948 году создатель лаборатории в Институте биохимии им. А.Н. Баха В.Л. Кретович и Р.Р. Токарева обнаружили, что в растворах глюкозы в присутствии аминокислот лейцина и валина образуются специфические тона корки ржаного хлеба, а в присутствии глицина - карамельный аромат. Чем не способ получения вкусовых и ароматизирующих добавок?

Традиционные рецепты приготовления блюд и напитков включают стадии обработки пищи, на которых образуются меланоидины. Например, темные сорта пива своим насыщенным цветом обязаны меланоидинизированному солоду. А вкусовые добавки и ароматизаторы - это готовые продукты реакции Майара, которые получают отдельно и добавляют в продукты и напитки в качестве естественных красителей и усилителей вкуса. Ароматизаторы и приправы для фастфуда - того же происхождения. Например, пищевую добавку с ароматом тушеной грудинки получают микроволновой сушкой ферментативного гидролизата мяса говядины.

Сегодня в научной литературе накоплено огромное количество данных о полезных свойствах меланоидинов - антиоксидантных, антимикробных, иммуномодулирующих, а также об их способности связывать ионы тяжелых металлов. Впервые антиоксидантная активность продуктов реакции Майара была обнаружена в 1961 году в экспериментах с вареным мясом. Затем было показано, что вареное мясо ингибирует перекисное окисление липидов, а в роли собственно ингибиторов выступают меланоидины и мальтол, образующиеся в говядине при варке.

Сегодня ученые, исследующие природу антиоксидантной активности меланоидинов, предполагают, что она связана со структурой этих веществ, которые содержат систему сопряженных двойных связей в гетероциклических и хиноидных звеньях.

Именно такая структура позволяет им обезвреживать свободные радикалы и захватывать металлы. И для организма это чрезвычайно полезно.

Скажем, связывая железо (Fe2+), меланоидины не дают ему взаимодействовать с перекисью водорода в организме с образованием сильного окислителя и разрушителя - гидроксильного радикала (НО). Также они могут восстанавливать пероксильные липидные радикалы (ROO).

Еще одно достоинство - антимикробная активность. В недавно опубликованной статье в журнале «Food & Function» антимикробное действие меланоидинов кофе связывают с образованием в ходе реакции Майара перекиси водорода, подавляющей рост бактерий Escherichia coli и Listeria innocua.

Исследование меланоидинов кофе, развернувшееся в последние годы, подталкивает ученых к мысли, что они могут уменьшать риск заболевания раком. Кроме того, они усиливают синтез ферментов семейства глютатион-S-трансферазы, которые обезвреживают различные. А группа ученых из Кореи, Японии и Германии в экспериментах на крысах показала, что аромат жареных кофейных зерен (результат реакции Майара) изменяет работу некоторых генов и при этом в мозгу синтезируются белки, снижающие последствия стресса из-за лишения сна. Таким образом, научно доказано, что просыпаться на запах кофе полезно для мозга, а потому и приятно. Впрочем, это вовсе не означает, что кофе надо пить с утра и до вечера. Руководитель исследований невролог Йосинори Масуо из Научно-исследовательского центра технологий здравоохранения (Япония) считает, что можно просто понюхать кофе, вместо того чтобы пить.

Благодаря полезным свойствам меланоидины нашли применение не только в кулинарии и пищевой химии. В народной медицине с незапамятных времен используют целебные свойства этих веществ. Отвар ржаных колосьев применяют для лечения заболеваний органов дыхания как отхаркивающее мягчительное средство; припарки из ячменного солода рекомендуют при воспалениях кожи и геморрое; отварами ячменного зерна лечат заболевания желудочно-кишечного тракта, почек, мочевых путей и нарушения обмена веществ. В России XIX века был популярен так называемый госпитальный квас, который входил в рацион каждого солдата, выздоравливающего после ранения, для поднятия сил.

Наружное антисептическое средство для лечения кожных заболеваний - «жидкость Митрошина» - представляет собой концентрат меланоидинов, получаемый термической обработкой овса, пшеницы и ржи. Препарат под названием «Холеф» (фехолин), густой экстракт из пшеничных зародышей, разрешен к применению для лечения больных с различными формами прогрессивной мышечной дистрофии. В Научно-практическом центре по животноводству Национальной академии наук Республики Беларусь получили опытную партию кормовой антиоксидантной добавки «Эколин-1», которая представляет собой композицию из гидролизатов ростков солода и торфа. В Ставропольском политехническом институте из отходов молочного производства сделали препарат «ПВ», рекомендованный для широкого применения в растениеводстве и животноводстве в качестве биостимулятора. К сожалению, все эти препараты выпускают локально и малыми партиями

Но вернемся к меланоидинам, которые мы едим. Они, надо признать, плохо расщепляются пищеварительными ферментами и не всасываются в желудочно-кишечном тракте. Казалось бы, минус? Не будем торопиться. Меланоидины выполняют ту же функцию, что и пищевые волокна, улучшают пищеварение и стимулируют рост бифидобактерий, то есть обнаруживают свойства пребиотиков. А это уже скорее плюс.

Но при слишком высоких температурах в ходе реакции Майара могут образовываться действительно токсичные или канцерогенные вещества. Например, акриламид появляется при запекании или жарке выше 180°C, когда происходит термическое разложение меланоидинов. [7] Вот почему пережаривать не стоит. Но что интересно: исследователи выяснили, что некоторые продукты реакции Майара стимулируют образование ферментов, участвующих в связывания токсинов, в том числе и акриламида. А в модельных экспериментах было показано, что высокомолекулярные меланоидины подавляют образование канцерогенных N-нитрозаминов.

Конечно, к минусам можно приписать и то, что реакция Майара снижает биологическую ценность белков, поскольку аминокислоты, особенно лизин, треонин, аргинин и метионин, которых чаще всего недостает в организме, после соединения с сахарами становятся недоступными для пищеварительных ферментов и, следовательно, не усваиваются.

Чтобы оценить вред или пользу меланоидинов, необходим комплексный подход к проблеме, учитывающий все факторы и детали, часто взаимоисключающие. Сделать это трудно. Но есть другой путь. Сегодня для реакции Майара найдены катализаторы и ингибиторы. Иными словами, реакция Майара становится управляемой, поэтому вполне возможно получать в процессе кулинарной обработки стандартные продукты, только с полезными для организма свойствами.

Выводы:

.        Образование меланоидиновых пигментов может быть желательно или нежелательно, также как и развитие запаха - в зависимости от вида продукта.

.        Может иметь место потеря незаменимых аминокислот (особенно лимитирующих), т. е. потеря питательной ценности продукта.

.        Есть единичные публикации, в которых указывается, что некоторые продукты реакции Майяра могут быть мутагенными. В частности, приводятся данные о мутагенности некоторых продуктов реакции D-глюкозы и D-фруктозы с L-лизином или L-глутаминовой кислотой. Эффект был продемонстрирован на примере сальмонеллы ТА-100, однако в большинстве работ мутагенность продуктов оспаривается.

.        Продукты реакций карамелизации и меланоидинообразования и образование ароматических компонентов, сопутствующее этим реакциям, имеют большое значение во многих пищевых производствах для получения продуктов с красивым цветом и характерным ароматом (хлебопечение, производство безалкогольных напитков и пива, кондитерских изделий и др.). В иных случаях (например, при кислотном способе получения глюкозы) образование таких продуктов характеризуется как недостаток, поскольку ухудшает качество получаемых сиропов и ведет к определенной потере важных компонентов перерабатываемого сырья.

.        Промежуточные продукты реакции Майяра обладают антиокислительной активностью. Есть данные на модельных средах, что продукты реакции потемнения глюкозы и глицина понижают степень поглощения кислорода и образования пероксидов из производных линоленовой кислоты. Это объясняется тем, что промежуточные продукты распада фруктозоамина, соединяясь с пероксидами или свободными радикалами, замедляют окислительный процесс. Соответствующее регулирование реакции Майяра в ходе производства пищевого продукта положительно скажется на его качестве в процессе хранения.

.        Помимо того, что реакция Майяра сокращает содержание аминокислот, есть доказательства, что образовавшиеся продукты затрудняют усвоение белков. Влияние продуктов реакции Майяра на эффективность использования белка можно показать на следующем примере. У крыс, содержавшихся на казеиновом рационе, включавшем 0,2% смеси прореагировавших глюкозы и глицина, наблюдалось замедление роста на 40%. Норма удерживаемого с пищей азота падала с 49 до 31 %. Промежуточные продукты реакции Майяра, приведшие к таким последствиям, идентифицированы не были.

аминокислота меланоидин ингибирование пищевой

Список использованной литературы

1.  Майяр, Луи Камилл

2.      Сапронов А.Р., Колчева Р.А. Красящие вещества и их влияние на качество сахара. М.: Пищевая промышленность, 1975. 349 с.

.        Пищевая химия/ Нечаев А.П. [и др.]. СПб.: ГИОРД, 2007. 640 с.

.        Ратушный А.С. Технология продукции общественного питания (Т.1): учеб. и учеб. пособия для студ. высш. уч. зав. М.: Мир, 2003. 351 с.

.        Скурихин И.М., Нечаев А.П. Все о пище с точки зрения химика: справ. изд. М.: Высш. шк. 1991. 288 с.

.        Космачевская О.В. Вездесущая реакция Майяра // Химия и жизнь, 2012, №2. С. 9-21.

.        Давидянц С.Б. Темное царство меланоидинов // Химия и жизнь, 1980, №3. С. 44-48

Похожие работы на - Меланоидины как результат реакции Майяра

 

Не нашли материал для своей работы?
Поможем написать уникальную работу
Без плагиата!
Без нейросетей!