Особенности и недостатки наружной рекламы

  • Вид работы:
    Курсовая работа (т)
  • Предмет:
    Маркетинг
  • Язык:
    Русский
    ,
    Формат файла:
    MS Word
    5,75 Мб
  • Опубликовано:
    2014-10-27
Вы можете узнать стоимость помощи в написании студенческой работы.
Помощь в написании работы, которую точно примут!

Особенности и недостатки наружной рекламы

ВВЕДЕНИЕ

Реклама это самый действенный способ рассказать о товаре или услуге и продемонстрировать их. Не одна современная фирма не сможет обойтись без хорошей рекламы. Ведь неспроста сказано, что реклама это двигатель торговли, она воздействует на сбыт товара и его востребованность на рынке. Эффективность рекламы выражается, главным образом, в осведомлённости потребителей о товаре (услуге) и о фирме, которая его производит, сформированном положительным имидже товара у потребителей и, конечно же, увеличение количества покупателей.

Создать представление о товарах (услугах) и фирме, а тем более сформировать хорошее отношение к ним, не всегда легко. Это требует и времени, и определенной стратегии. Реклама имеет величайшую силу, она позволяет формировать нужные представления о фирме у широкой аудитории, на основе которых легче строить коммерческие отношения. При правильной организации реклама очень эффективна и способствует быстрой реализации продукции.

Реклама товаров - это естественный инструмент экономики. Можно с уверенностью сказать, что рекламная деятельность - это особая наука, где есть свои правила и законы. Эта наука использует познания психологии, социологии и исследования рынка для решения экономических проблем предприятия, главным образом, извлечения прибыли.

В условиях достаточно жесткой конкуренции перед каждой организацией стоит задача создания своего собственного имиджа, выработки основной концепции и политики, проводимой на рынке, благодаря которым потребители выберут именно их продукт. Чтобы привлечь внимание потребителей и партнеров, реклама должна быть яркой и остроумной.

Телевизионная реклама является главным компонентом рекламных кампаний по развитию брендов и продвижение новых товаров и услуг, но стоит отметить, что для многих предпринимателей (фирм) это слишком дорогое удовольствие, а ведь она не всегда может оказаться эффективной. Иным способом продемонстрировать свою продукцию или услугу наглядно является наружная реклама.

Актуальность темы обусловливается тем, что в данный момент индустрия рекламы стремительно развивается, а наружная реклама - достаточно популярное средство рекламирования. Данный вид рекламы, выполненный с умом и установленный в правильном месте, сыграет огромную роль в успешности рекламной кампании. Так как наружная реклама ориентирована на массовость, то с её помощью большое количество людей могут узнать о рекламируемом товаре или услуге той или иной фирмы.

Целью работы является изучение теоретических основ создания, оформления, размещения наружной рекламы, её приёмов и правил работы с ней, а также анализ тенденций развития наружной рекламы.

Задачи работы:

.        Сделать общий анализ истории наружной рекламы;

.        Рассмотреть характеристики наружной рекламы, её приёмы и воздействие;

.        Изучить видовое разнообразие наружной рекламы;

.        Проследить за тенденциями развития наружной рекламы;

.        Делать выводы из проделанной работы об особенностях и недостатках данного вида рекламы.

Объектом данной курсовой работы является непосредственно сама наружная реклама, в частности, её дизайн, виды.

Предметом работы является анализ теоретических характеристик наружной рекламы, а также анализ использования наружной рекламы компанией Pepsi.

Данная курсовая работа состоит из введения, трёх глав, заключения и списка использованных источников.

Глава 1. ТЕОРЕТИЧЕСКИЕ АСПЕКТЫ РЕКЛАМНОЙ ДЕЯТЕЛЬНОСТИ

Корни рекламы уходят в глубокую старину и связаны с тем, что производители любого уровня и фазы развития желали заявить о себе и своих товарах для обеспечения эффективных продаж или товарообменных операций. Вожди, полководцы, религиозные деятели испытывали потребность в создании хвалебных надписей, своих изображений и деяний своего периода. [4, 14 с.]

Рекламная деятельность возникла не как самостоятельный вид общественной деятельности, а как потребность производителей в презентации товара через неличные средства коммуникаций. Причём данная потребность возникла до книгопечатания, до определения самого понятия «реклама».

Само слово «реклама» произошло от латинского reclamare, что означает «кричать». Как термин, определяющий конкретный вид деятельности, а именно рекламную деятельность, он появился во второй половине XVIII в. [4, 14 с.]

Основные причины возникновения рекламы - общественное разделение труда и появление свободного рынка.

Торговцы всегда стремились к совершенствованию форм связей с покупателями в виде рекламы для увеличения сбыта своей продукции, таким образом, исторически рекламу можно определить как целенаправленное средство производителя (торговца) в стремлении оказать воздействие на потребителя для улучшения покупки товаров. [2, 6 c.]

Однозначно определить природу рекламы невозможно. Это происходит потому, что реклама объединяет в себе искусство и науку, возникшую на стыке психологии, математики, статистики, логики, социологии и ряда других наук, и, конечно, является на данный момент одним из основных инструментов современного маркетинга.

Итак, рассмотрим кратко сведения о появлении и развитии наружной рекламы.

1.1 История создания и развития наружной рекламы

Что же такое «реклама»? Определений рекламы достаточно много, мы рассмотрим несколько.

Данное определение принадлежит Американской маркетинговой ассоциации: «Реклама - любая платная форма неличного представления и продвижения идей или услуг от имени известного спонсора». В данном определении отражена важнейшая функция рекламы - возможность передать информацию от рекламодателя определённой целевой аудитории, не устанавливая при этом прямого контакта с потенциальным покупателем, т.е. реклама носит неличный характер [4, с. 14-15].

Рекламу можно также определить как информацию о специфических свойствах товара и услуг с целью их реализации и создания спроса [9].

Но более широкое и исчерпывающее определение рекламы, которое будем считать основным, сформулировано в Федеральном законе от 13 марта 2006 г. №38- ФЗ «О рекламе»: «Реклама - информация, распространённая любым способом, в любой форме и с использованием любых средств, адресованная неопределённому кругу лиц и направленная на привлечение внимания к объекту рекламирования, формирование и поддержание интереса к нему, и его продвижение на рынке» [1].

« Зачатки современной рекламы, сопровождающие человечество уже много веков, долгое время не осознавались как выражение одного явления, а воспринимались разрознённо. Некоторые из этих форм можно считать прообразом современных видов рекламы» [8], например, наскальные рисунки, содержащие информацию о месте охоты и её результатах, можно считать точкой отсчёта современной наружной рекламы.

Именно технические и научные достижения человечества, такие как книгопечатание, открытие электричества, радио, компьютерная революция и др., стали основой средств распространения современной рекламы.

« Можно сказать, что наружная реклама взяла начало своей истории еще с зарождения и развития городов. Древнейшим прообразом современных средств наружной рекламы, в частности, уличных рекламных стендов, можно считать древнеримские «альбумсы» - выбеленные и разграфленные в клеточку части стен, обращенные в сторону оживленных улиц и площадей. На этих стенах углем писали разного рода объявления » [8]. Современные исследователи считают одним из древнейших рекламных текстов высеченную на камне надпись, найденную в развалинах одного из самых древних городов, города Мемфиса: «Я, Рино с острова Крит, по воле богов толкую сновидения» [2, с. 8] (рисунок 1).

Рисунок 1- Надпись на камне «Я, Рино с острова Крит, по воле богов толкую сновидения»

Первые предметные средства наружной рекламы были обнаружены археологами при раскопках древнеримских городов Помпеи, Геркуланума и Стабии. Внимание привлекали хорошо знакомые предметы. Так, лекари выставляли над дверьми на полке кровопускательные банки; булочник над входом в лавку вывешивал мельничный жернов или сноп пшеницы; продавец птиц-клетки с пернатыми. Начало рекламного дела в России относят к X- XI вв., когда русские купцы прибегали к разнообразным приёмам предложения своих товаров.

Тогда подчастую рекламу товару делали зазывалы путём громкого оповещения о его свойствах. Оригинальным средством рекламы стали народные картинки - лубки. Первое упоминание о них относится к XVII в.

Центром «лубочной культуры» был Великий Новгород. Значительное место в лубочной продукции занимала рекламная информация. Наборы ярких лубочных картинок с броскими рекламными слоганами- надписями вывешивались на обозрение и продажу. А некоторые из них даже рекламировали модную иноземную продукцию [2, с. 12]. Ниже (рисунок 2 и рисунок 3) представлены примеры, как выглядели лубки.

Рисунок 2- Ручная роспись лубка в России Рисунок

Рисунок 3 - Лубочная картина

В 1450 г. произошёл революционный переворот в развитии рекламы, и связан он с изобретением печатного станка Гутенбургом, что ознаменовало появление печатного средства массовой коммуникации. Вообще XV в. (эпоха Возрождения) характеризуется бурным развитием экономических, социальных и политических отношений в обществе, а также развитием государственности.

В 1472 появилось первое напечатанное рекламное объявление, текст которого был вывешен на двери одной из церквей в Лондоне и информировал прихожан о продаже молитвенника.

Интенсивное развитие мировой рекламы началось в XVIII в. Это время новых научных и географических, экономического роста и колонизации заморских территории, создания трансконтинентальных компаний, развития товарного рынка и появления конкуренции. Рост сферы услуг и производства стимулировал развитие рекламы. Так, в 1890 г. появилось первое рекламное агентство «Айер и сыновья», взявшее на себя функцию разработчика рекламы [2, с. 10].

В XIX в. в России широко начинают использоваться рекламные листы, плакаты. Они появились на трамваях, конках, поездах, воздушных шарах, круглых тумбах. В это же время в России выявилось наиболее авторитетное рекламное агентство - Центральная контора объявлений «Торгового дома Метцель и Ко» [2, с. 13] .

После Октябрьской революции в 1917 г. реклама была монополизирована государством, т.е. стала исключительным правом советского правительства и местных Советов рабочих, солдатских и крестьянских депутатов, а также политизирована призывами к разгрому буржуазии и обещаниями справедливой жизни [2, с. 13].

После гражданской войны реклама в России получает определённое развитие. Появились рекламные агентства «Рекламтранс», «Связь», «Промреклама», «Мосторгреклама» и др. «Мосторгреклама» размещала свои объявления в московских трамваях, фойе гостиниц и театров [2, с. 13]. На рисунке 4 изображён плакат белогвардейцев в период гражданской войны.

Рисунок 4- Белогвардейский плакат времён

Рисунок 5- Агитационная реклама в период Гражданской войны НЭПа

Бурное развитие рекламы начиналось во время НЭПа. Периоды первых пятилеток сопровождались призывной рекламой к построению социалистического общества, а также рекламой, прославляющей коммунистическую партию и её вождей: реклама слилась с пропагандой [2, с. 13]. Пример данной рекламы представлен выше по тексту (рисунок 5).

Осознавая необходимость существования рекламы, В. Маяковский работал над рекламными текстами в период 1923- 1930 гг. Поэт выступал в пользу рекламы, за те результаты, к которым она может привести при правильном её использовании. «В каждой хозяйственной удаче на 9/10 сказывается умение и сила нашей агитации» - такова эффективность рекламы по- маяковски [4, с. 23].

С этого времени в нашей стране к рекламе стали относить, прежде всего, витрины и интерьеры магазинов.

Однако в больших, можно сказать, огромных масштабах была представлена политическая реклама одной партии - КПСС.

С большой натяжкой можно говорить, что из всего многообразия видов рекламы в СССР всё же существовали: наружная реклама (крышные установки и политические плакаты), витринная и интерьерная реклама, реклама в специализированной прессе, рекламные мероприятия на выставках и ярмарках, проведение семинаров и презентаций [4, с. 24].

Во время Великой Отечественной войны реклама сводилась к агитационным плакатам и призывам типа «Всё для фронта! », «Всё для победы!». Рекламный плакат этого времени представлен ниже (рисунок 6).

В советский период роль рекламы недооценивалась, так как существовал товарный дефицит в стране, и была высокая идеологизированность. Реклама была безальтернативной и без самого товара, навязывала товары без учёта вкусов граждан, то есть по факту она была не нужна и бесполезна потребителю (рисунок 7).

Рисунок 6- Жуков Н. Бей насмерть! 1942 г. Рисунок 7- Реклама времён СССР

Советский период был временем практического отсутствия рекламной индустрии в понимании, принятом в странах с рыночной экономикой, где она признается «двигателем торговли». Планово-распределительное хозяйство не требовало такого рычага, как реклама- все было распределено планирующими организациями: министерством и Госснабом [4,с. 21].

Во второй половине 1980-х гг. появилась необходимость в привлечении внимания населения к тем или иным товарам (рисунок 8 и рисунок 9). Этот период можно назвать переломным для рекламы в России.

Рисунок 7- Реклама сосок в СССР

Рисунок 8- Реклама обуви в СССР во второй половине 1980-х гг. во второй половине 1980-х гг.

В 1990 г. появилась первая крышная неоновая реклама капиталистической фирмы «Coca- Cola», которую в Москве установило рекламное агентство «Соверо» [4, с. 25] .

С середины 1990-х гг. рекламный бизнес в России строился по западным моделям, которые признаны и одобрены во всём цивилизованном мире, поэтому и рынок рекламы получался довольно гармоничным, с органами саморегулирования, ассоциациями, грамотной ценовой политикой. Всё это стало возможным благодаря большому опыту, накопленному российскими рекламщиками, появлению в вузах новых учебных специальностей по рекламе и маркетингу, новых дизайн-студий, осознанию необходимости создания рекламных служб фирмами- производителями и торговыми предприятиями [2,с. 14] .

Продуманная реклама стала влиять на всевозможные стороны предпринимательской деятельности, поощряя инициативу производства новых товаров, использование достижений научно- технического прогресса, фактора моды, разделение труда, объединение и специализацию производства. Сочетание хозяйственного предпринимательства с рекламой позволяет предприятиям и иным участникам рынка получать высокие доходы, а, следовательно, развивать производство [2, с. 16].

Изучение рынка рекламы привело к выработке чисто российских подходов для создания рекламных сообщений. Так в России эффективно использование юмора, патриотизма, уважения к лидерам, истории, красоте, детям, животным в рекламных обращениях. Примерами такого подхода могут служить рекламные ролики, созданные для соков «Моя семья», «Любимый сад», для питательных батончиков «Snickers» («Сникерсни!») и т.д. [4, с.27]

Серьёзным вкладом в становление цивилизованного рекламного рынка стало принятие в 1995 г. Федерального закона «О рекламе» и установление связей с международными рекламными организациями.

1.2 Задачи и особенности наружной рекламы

Наружная реклама (англ.- outdoor advertising)- медиаканал, который доносит рекламные обращения до получателя при помощи отпечатанных типографическим способом плакатов, рисованных щитов или световых табло и других средств, устанавливаемых в местах наиболее оживлённого уличного движения, а также вдоль шоссейных и железных дорог [2, с. 230].

Наружная реклама - это средство воздействия, позволяющее настичь человека не дома и не в конторе, а на улице или во время поездок. В современном мобильном обществе с наружной рекламой встречается большая часть населения.

Для наружной рекламы существует пять наиболее важных правил:

часто попадаться на глаза;

привлекать к себе внимание;

быть краткой;

быть без труда читаемой на ходу;

быть понятной [2, с. 231- 233].

В среднем внимание всего населения к наружной рекламе равна 32%. Отдельно стоящая реклама привлекает в 2,5 раза больше внимания, чем реклама, соседствующая рядом с другой.

Из-за указанных требований наружную рекламу можно эффективно использовать только для тех товаров (услуг), которые можно представить с помощью лаконичного изображения и краткого текста. Ею можно воспользоваться для напоминания людям о достоинствах известных товаров и о том, где их можно приобрести, также её использование эффективно в качестве привлечения внимания аудитории. В отдельных случаях носитель располагается в непосредственной близости от рекламируемого объекта (около торгового предприятия, офиса или сервиса) [4, с. 59]. Следовательно, наружная реклама в основном или напоминает, или информирует.

Местами для «напоминающей» и «информирующей» рекламы могут служить, например, рекламные панели в вагонах метро. Указанными рекламными панелями можно пользоваться для охвата и оказания влияния на большое количество пассажиров, так как у едущих в метро людей, вполне достаточно времени, чтобы прочитать рекламную информацию [6, с.84].

Можно также отобрать места, гарантирующие, в целом, охват людей определенного сегмента: задние стенки автобусов будут в поле зрения автомобилистов; дети и взрослые, не совершающие поездки на автомобиле, будут читать рекламу на панелях в салонах автобусов и трамваев; плакаты на пригородных станциях железных дорог или на станциях в метро попадут в поле зрения пассажиров; щиты и плакаты в торговых районах попадутся на глаза домохозяйкам, рекламу на автостоянках увидят автомобилисты.

Сюда также можно отнести места, где скорость движения автомобиля ниже обычной. Это места с ограничением скорости: перед переходами, светофорами, перекрёстками. Рекомендуется размещать наружную рекламу в местах сосредоточения народа: возле стоянок автомобилей и остановок городского транспорта, у гостиниц, бензоколонок, на стенах тоннелей, на торцевых стенах, выходящих на перекрёсток домов или в центре бульварного кольца с круговым движением.

Наружная реклама решает ряд задач, которые не в состоянии решить другие виды рекламы, а именно:

стабильная раскрутка фирмы;

стабильная раскрутка торговой марки;

наиболее быстрое привлечение клиентов;

получение максимального охвата широкой аудитории рекламными обращениями в нужное время и в нужном месте при оптимальном соотношении «цена - эффективность»;

поддержка рекламных акций, проводимых другими средствами рекламы (пресса, телевидение, радио ) [4, с. 59- 60].

По значимости и эффективности наружная реклама может соперничать со СМИ.

Срок эксплуатации наружной рекламы составляет от двух недель до трёх лет (некоторые надписи до десяти), в зависимости от того, выполняет она сиюминутную функцию или долговременную, пропагандирует быстро сходящий товар или устойчиво функционирующую фирму и её ассортимент товаров [2, с. 232] .

1.3 Виды наружной рекламы

К наружной рекламе относят различные рекламные транспаранты, световые вывески, электронные табло и экраны, крышные установки, панно, кронштейны, маркизы, штендеры, перетяжки и др. Наружная реклама может размещаться на основных транспортных и пешеходных магистралях, на площадках, спортивных стадионах, выставках, остановках общественного транспорта и на самих транспортных средствах, а также в других местах массового скопления людей [5, с. 60].

В наружной рекламе можно выделить два направления:

)        информационное оформление входов, витрин фасадов - sign-бизнес;

)        использование различных конструкций как носителей рекламы - out-door или ooh (out of home) [5, с. 60].

Средства наружной рекламы и информации подразделяются на следующие виды:

стационарные средства наружной рекламы и информации (характеризуются неизменным местом размещения и конструкцией);

временные средства наружной рекламы и информации (характеризуются периодом размещения и определённым местом, на котором они размещаются) [5, с. 60].

Стационарные средства наружной рекламы и информации не должны размещаться в местах, где их установка и эксплуатация может наносить ущерб природному комплексу города, а также должны соответствовать требованиям ФЗ «О рекламе» согласно статье 19 данного закона. Также они не должны создавать помех для пешеходов и транспорта, не должны быть источниками шума, вибрации и т.п. Средства наружной рекламы подразделяются на отдельно стоящие и размещаемые на зданиях и сооружениях.

Перечислить все виды наружной рекламы довольно трудно, так как она может быть представлена в многообразном и даже нестандартном виде, например, реклама на воздушных шарах. Но мы всё- таки попытаемся это сделать.

К разновидностям наружной рекламы относят следующие типы рекламных конструкций.

Щитовые установки - это отдельно стоящие конструкции, имеющие внешние поверхности для размещения информации и состоящие из фундамента, каркаса и информационного поля. Щитовые установки выполняются, как правило, в двустороннем варианте. Они должны иметь маркировку с указанием идентификации владельца. При изготовлении щитов следует учитывать, что зрительные образы и изображения товаров воспринимаются глазом значительно быстрее надписей и к тому же лучше запоминаются. Для восприятия информации, размещённой на щитах, наиболее благоприятными местами являются светофоры, перекрёстки, перед переходами, т.е. там, где скорость движения автомобиля ниже обычной. Кроме трасс щиты также устанавливаются в местах большого скопления людей, например, рядом с местными достопримечательностями, крупными магазинами и т.п. [5, с. 60]. «В этом случае рекламное сообщение может нести более основательный, широкий характер и содержать характеристики товара или услуги, адрес и (или) телефон фирмы » [3, с. 112], однако, при всём при этом сообщение должно быть лаконичным и понятным.

Самым популярным форматом щита является формат с размерами сторон 3 x 6 м, который рассчитан на автомобилистов. Наиболее дорогие места для размещения- вблизи от светофоров и в местах постоянных автомобильных пробок [5, с. 61].

Основное назначение щитовой рекламы - донести и закрепить в сознании потенциальных покупателей название и (или) фирменный знак предприятия, а также направление его деятельности; рекламный щит должен бросаться в глаза, но не настолько, чтобы вызвать дорожно - транспортное происшествие.

Билборд - элемент наружной щитовой рекламы, представляющий собой специальную конструкцию, которая может крепиться на заборах, стенах зданий (рисунок 10).

Рисунок 9- Реклама краски для волос KOLESTON naturals на билборде

Вывески - информация о профиле предприятия - изготовителя (исполнителя - продавца), его фирменном наименовании и зарегистрированном товарном знаке, которая является обязательной и предназначена для доведения до сведения потребителя информации согласно статье 9 ФЗ «О защите прав потребителей». Место вывески должно информировать потребителя о местонахождении предприятия и указывать место входа в него. Вывеска может быть выполнена в виде настенного панно, кронштейна, маркизы либо размещаться на крыше (козырьке) одноэтажного здания, сооружения, а также на витрине. Административные и офисные вывески обязательны для всех организаций. Кроме информирования посетителей они несут рекламную нагрузку [5, с. 62].

Объёмные буквы на вывесках могут быть изготовлены из различных материалов, их размер может быть от нескольких сантиметров до нескольких метров. Популярно применение объёмных букв и знаков из нержавеющей стали с неоновой подсветкой. Самым распространённым видом фасадных вывесок являются световые короба (лайтбоксы), которые работают 24 часа в сутки.

Рисунок 10- Рекламная вывеска Рисунок 12- Рекламный лайтбокс

Наземные панно - средства наружной рекламы и информации, размещаемые на поверхности земли. Состоят из нанесённых либо встроенных в дорожное или земляное покрытие строительных материалов и подразделяются на следующие виды:

каркасное панно на склонах (откосах) трасс и дорог;

покрытия тротуаров улиц различными красящими веществами или пленочными материалами;

панно на тротуарах улиц, изготавливаемые из дорожно-строительных материалов [5, с. 62].

Объёмно - пространственные конструкции - средства наружной рекламы и информации, в которых для размещения информации используется как объём конструкции, так и её поверхность. Такие конструкции выполняются по индивидуальным проектам. Пример подобной рекламы представлен ниже на рисунке 11.

Рисунок 11- Объёмно - пространственная рекламная конструкция. Реклама Nestle

Крышные установки - объёмные или плоскостные конструкции, размещаемые полностью или частично выше уровня карниза здания или на крыше. Проекты крышных установок в обязательном порядке должны пройти экспертизу на безопасность, включая экспертизу на ветровую устойчивость с учётом конкретного места размещения [5,с. 63]. Пример крышной рекламной установки представлен ниже на рисунке 12.

Рисунок 12- Рекламная конструкция, частично расположенная на крыше здания

Реклама Coca- Cola

Настенные панно - средства наружной рекламы и информации, размещаемые на плоскости стен зданий и сооружений в виде изображения (информационного поля), непосредственно нанесённого на стену, или конструкции, состоящей из элементов крепления, каркаса и информационного поля [5, с. 63]. Настенное панно представлено ниже ( рисунок 13).

Рисунок 13- Реклама в виде настенного панно

Брандмауэр - реклама, размещённая на глухих стенах зданий.

Кронштейн - двусторонние консольные плоскостные конструкции, устанавливаемые на собственных опорах или мачтах (опорах городского освещения, опорах контактной сети) или на зданиях, обычно выполняются в двустороннем варианте с внутренней подсветкой (рисунок 14). Главное назначение кронштейнов - быть хорошо обозримыми по ходу движения людей и транспорта [5, с. 63 ].

Рисунок 14- Рекламная панель - кронштейн

Маркизы - средства наружной рекламы и информации, выполненные в виде козырьков и навесов с нанесённой на них рекламной информацией и расположенные над витринами, входами или проёмами зданий и сооружений (рисунок 15). Маркизы состоят из элементов крепления к зданию, каркаса и информационного поля, выполненного на мягкой или жесткой основе. Маркизы не только прекрасные рекламные носители, но они также защищают от солнечного света и атмосферных осадков, украшают здание и могут служить для дополнительного освещения [5, с. 63].

Рисунок 15- Рекламная маркиза Subway

Флаговые композиции и навесы - средства наружной рекламы и информации, состоящие из основания, одного или нескольких флагштоков (стоек) и мягких полотнищ.

Реклама на остановочных павильонах - средства наружной рекламы и информации, устанавливаемые на остановочных павильонах общественного транспорта, на павильонах подземных переходов, на киосках, должны размещаться в плоскости, подлежащей остеклению, или на крышах павильонов и киосков [5, с. 64].

Басорама - рекламная панель с подсветкой, устанавливаемая на крыше или по периметру автобусов, троллейбусов, трамваев.

Транспаранты - перетяжки - рекламные средства наружной рекламы и информации, состоящие из устройства крепления, устройства натяжения и информационного изображения. Могут быть световые и неосвещённые, изготовленные из жестких материалов и из материалов на мягкой основе. Перетяжки крепятся над проезжей частью дороги и рассчитаны на автомобилистов. Реклама над проезжей частью очень эффективна, так как она не только видна с дальнего расстояния, но и удобно расположена для обозрения из автомобиля. Стандартный срок размещения перетяжки - 10 дней, но может быть и больше [5, с. 64].

Электронные экраны (табло)- средства наружной рекламы и информации, предназначенные для воспроизведения изображения на плоскости экрана за счёт излучения светодиодов, ламп, иных источников света или светоотражающих элементов.

Витрины - остеклённая часть фасадов зданий, предназначенная для информации о товарах и услугах, реализуемых в данном предприятии. Витрины могут быть ленточного типа по периметру фасада предприятия, изолированные друг от друга простенками зданий, полностью сливающиеся с интерьером помещения [5, с. 64].

В основу оформления витрин положен принцип показа натурального товара.

Витрины как функциональный элемент магазина знакомят посетителей с ассортиментом товаров, имеющихся в продаже; рекламируют товары - новинки, отражают новые направления моды; сообщают о существующих в магазине методах торговли, специальных и дополнительных услугах, предлагаемых покупателю.

Со вкусом оформленные витрины ориентируют покупателя в новых направлениях моды, учат их правильно подбирать отдельные предметы туалета, сервировать стол, обставлять квартиру и др. [6, с. 168].

Витрины можно разделить на три вида:

полностью сливающиеся с интерьером;

ленточного типа, открывающие интерьер для свободного обзора улицы, они отделены от торгового зала стеклянной стенкой;

изолированные друг от друга простенками окон.

Хорошо оформленная витрина заставляет прохожего остановиться и рассмотреть детали оформления [6, с. 170].

Штендеры - выносимые щитовые конструкции, размещаемые предприятиями в часы их работы. Штендеры выполняют двусторонними, без собственного подсвета, площадь одной стороны более 1,5 м 2 (рисунок 16) . Они размещаются в пешеходных зонах и на тротуарах так, чтобы они не мешали проходу пешеходов.

Рисунок 16- Рекламный штендер

Реклама на транспорте (транзитная)- размещение информации внутри и снаружи транспортных средств, выступает как информационный канал внешней городской рекламы, которая использует транспортные средства, чтобы донести до людей обращение. Данный вид рекламы наиболее подходит для напоминающей рекламы, она ежедневно предстаёт перед аудиторией в часы пик, когда люди находятся за рулём или в часы прогулки в любом месте [2, с.236].

Классифицировать рекламу на транспорте можно по видам следующим образом:

внутрисалонные рекламные планшеты (они размещаются внутри салона, над окнами в специальных рамках спереди и сзади транспортного средства);

наружные рекламные плакаты (размещаются на наружных сторонах автотранспортных средств. Внешние рекламные панели транспортных средств очень похожи на уличные рекламные щиты, и для их разработки используются те же принципы) [2, с. 236- 238] ;

Носителями такой рекламы может выступать любой вид наземного, водного, воздушного и подземного транспорта.

Реклама на транспорте специфична тем, что не быть обращена к конкретной аудитории, поскольку ездят на городском транспорте люди всех возрастов, разных интересов и даже те же путешественники.

Важные особенности транзитной рекламы:

.        Массовый охват;

.        Разнообразие мест размещения и размеров рекламных сообщений;

.        Подходит для кратковременных кампаний;

.        Подвижность [2, с. 239].

Реклама на подъёмных воздушных шарах, аэростатах, дирижаблях - временное рекламное оформление на период проведения праздничных, тематических мероприятий.

К «надувной рекламе» можно также отнести:

надувные фигуры - статичные объекты для внешнего оформления размером от 2 до 20 м, повторяющие формой основной продукт или фирменный знак (рисунок 17).

динамичные надувные фигуры (аэромены)- танцующие яркие огромные человечки или динамические трубы (рисунок 20);

гелиевые аэростаты - стандартные шарообразные формы и спецформы;

надувные костюмы- копии зверей, клоунов, людей определённых профессий и т.д.;

оформительские надувные элементы (арки, ворота, радуга с рекламным сообщением, логотипы и др.);

Преимущество наружной рекламы - легкость транспортировки в сдутом состоянии, притягательность для глаза трёхмерного изображения, эффект движения [2, с. 232].

Рисунок 17- Надувная реклама

Рисунок 18- Рекламный аэромен мороженого

Стоит также отметить, что спецодежда персонала также является наружной рекламной.

Реклама в метро тоже относится к наружной рекламе. Но стоит помнить, что это специфический рынок рекламы, хотя он довольно эффективен, т.к. пассажиры метро охотно читают рекламу. В отличие от рекламы на улицах городов, метрополитен позволяет охватить большое количество потенциальных клиентов, так как концентрация людей на станциях метро, особенно в часы пик, очень высока [5, с. 64]. Метро - один из массовых видов транспорта, и, как информационно- рекламное пространство, метро является мощным средством массовой коммуникации. Многочисленные вестибюли, переходы, двери, эскалаторные спуски, салоны вагонов и т.д. служат удобными носителями информацию.

Однако при размещении рекламы в метро особенно тщательно надо сопоставить целевую аудиторию рекламируемых товаров и услуг и рекламную аудиторию. Другими словами, в метро целесообразно рекламировать товары и услуги более доступные для потребителя среднего уровня достатка [5, с. 64- 67].

Реклама в метро обеспечивает более длительный контакт зрителя с картинкой, ведь в ожидании поезда пассажир находится на перроне в течение двух - трёх минут и, следовательно, воспринимает рекламу более осознанно.

Реклама, размещённая в вагонах метро, находится, находится перед глазами пассажиров ещё более длительное время. Это даёт возможность не только изучить детально рекламу, но и запомнить или записать адрес и телефоны рекламируемой фирмы [5, с. 64- 67].

Наружная реклама охватывает огромную аудиторию, вследствие своего расположения на улицах, в метро, на наружных стенах домов, транспортных средствах и доступности для каждого. Но, тем не менее, важно подобрать места для размещения наружной рекламы, обеспечивающие в целом охват определённой заданной целевой аудитории.

цвет шрифт наружный реклама

Глава 2. ПРАВИЛА РАБОТЫ С НАРУЖНОЙ РЕКЛАМОЙ

.1 Общие принципы и правила размещения наружной рекламы

Применение наружной рекламы основывается на четырёх основных принципах:

мгновенная понятливость;

образность;

целостность;

главное внимание - продукту.

Местом особого притяжения в наружной щитовой рекламе является правый верхний угол. Разумеется, играют роль и общая направленность сюжета на изображение, его целостность, особенности ландшафта, направление потока потребителей, освещаемость и т.д.[2, с. 234].

На рисунке 19, представленного ниже, показано (по результатам исследований специалистов) в каком месте на рекламном плакате, размещённом на уличном щите, элементы рекламного сюжета лучше замечаются и запоминаются.

23 %

35%

11%

31%

Рисунок 19- Запоминаемость сюжетов на щитовой наружной рекламе

Основные рекомендации по наружной рекламе сводят к следующему. Визуализация должна быть простой и плакатно броской, лучше, если это одна иллюстрация и не более семи слов.

На рекламном щите надо указать реквизиты ближайших торговых и сервисных точек, где можно приобрести рекламируемый товар или услугу.

При размещении наружной рекламы важное значение имеют размеры плакатов и рекламных щитов.

1.      Double crown (762 x 508 мм) - единичная величина, являющаяся базовой для всех следующих размеров. Плакаты такого размера используются как афиши, на досках объявлений на улицах, около магазинов.

2.      Quad crow (762 x 1016 мм) - это обычный размер для рекламы развлечений.

.        4 листа (1016 x 1524 мм) - часто печатается на виниловой основе, придающей рекламе прочность.

.        16 листов (3048 x 2032 мм) - стандартный вертикальный плакат, который можно увидеть на оградах.

.        32 листа (3048 x 4064 мм).

.        48 листов (3048 x 6069 мм).

.        64 листа (3048 x 8128 мм).

.        Размеры досок объявлений (bulletin boards или super sites), которые в больших городах специально устанавливаются в парках и иногда подсвечиваются по ночам, могут немного отличаться от формата 64 листа и составлять 2897 x 8230 мм или даже больше- 10973 x 13716 мм.[2, с. 235].

Стоит отметить, что хотя площадь рекламных плакатов и измеряется в печатных листах, заблуждение считать, что они действительно состоят из 4, 16, 32 или 64 отдельных кусков.

Для повышения эффективности на щитах помещают рядом два и более одинаковых плаката, потому что повторение одних и тех же элементов действует на зрителя сильнее, чем один большой плакат.


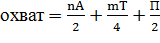
                                                                       (1)

где, А -число автомобилей, проезжающих мимо рекламной конструкции;

n- число пассажиров в автомобиле;

T - число наземного транспорта, проходящего мимо рекламной конструкции;

m- среднее число пассажиров в наземном городском транспорте;

П - среднее число пешеходов, проходящих мимо рекламной конструкции [2, с. 236].

Стоит помнить, что охват аудитории можно рассчитать только за определённую интересующую единицу времени [2, с. 236].

2.2 Правило «Трёх секунд»

Удивительно, но, несмотря на многочисленные публикации и бесконечные напоминания разных «гуру», читающих лекции по дизайну, и даже здравый смысл, одной из самых распространенных ошибок при работе дизайнеров над плакатом заключается в пренебрежении классическим правилом «Трех секунд».

Суть правила «трёх секунд» заключается в том, что на улице у рекламщиков и у самой наружной рекламы есть примерно три секунды, чтобы сообщить аудитории о своём продукте/услуге, и это важный параметр, влияющий на то, как нужно подходить к дизайну наружной рекламы и её сообщения. Объясним на примере. Рекламу в прессе человек видит, перелистывая журнал, на просмотр он может потратить столько времени, сколько сочтет нужным, а, следовательно, у него есть возможность внимательно рассмотреть ее, прочитать весь текст, записать адрес и телефон, мало того, он может в любой момент вернуться к рекламному сообщению [7]. Наружная реклама, как правило, всего этого лишена. Рекламные поверхности расположены на улице, где люди почти всегда находятся в движении, стремясь добраться каждый до своей цели, они сосредоточены по ходу своего движения и большую часть внимания уделяют возможности сэкономить драгоценное время. При всём при этом, рекламные конструкции редко находятся в зоне прямой видимости и, как правило, выхватываются из окружающего пространства только боковым зрением. В итоге время контакта с рекламной информацией оказывается крайне коротким. Что позволяет нам судить о том, что у человека нет времени на чтение длинного и тем более глубокомысленного текста. Ему просто некогда внимательно рассматривать сложные картинки и надписи, пытаясь понять, что же там изображено и написано.

Помимо ограничения по времени полноценному контакту с рекламой мешает однократность этого контакта, особенно в тех случаях, когда человек, например, едет в машине и вернуться к постеру у него нет никакой возможности, чтобы записать телефон, ему придется надеяться только на свою память.

Можно сделать простой вывод- макеты наружной рекламы должны быть достаточно простыми как по форме, так и по содержанию. Избыточная информация рассеивает внимание и мешает эффективно воздействовать на аудиторию [7].

2.3 Особенности восприятия цветов, шрифтов и использования дистанции

Благодаря своей способности влиять на настроение потребителей цвет в рекламе приобретает особое значение. Он оживляет, раздражает, побуждает к единению и сопереживанию, вызывает непосредственные ассоциации с образом, использованном в рекламе, воспринимается проще, воздействует напрямую, в отличие от формы, потому что образ не нужно переводить, вдумываться в него, как в слова. Наконец, впечатление, произведённое цветом, очень стойкое, а привлекательность цветового рекламного обращения выше, чем чёрно- белого (рисунок 20) [3, с. 69].

Рисунок 20- Привлекательность рекламных сообщений в зависимости от цвета, % [3, с. 69]

Цель рекламного дизайна, прежде всего, состоит в том, чтобы создать визуальное решение проблемы коммуникации с аудиторией, создать правильный, понятный образ. Все самые причудливые решения дизайна наружной рекламы в мире не смогут спасти неудачно задуманную идею. И если умениям и навыкам дизайна и композиции можно научить, то стоит отметить, что этого мало для разработки грамотной рекламы.

Фотографии в рекламе привлекают больше внимания, чем рисунки, так как они создают большую уверенность в четности и правдивости рекламы, нежели выдуманные персонажи, фантазийные изображения.

Иллюстрации, изображающие людей, привлекают внимание на 23% больше, нежели иллюстрации, изображающие неодушевленные предметы. Рисунки же привлекают внимание детей, и их целесообразно использовать в соответствующей рекламе.

Именно зрительные элементы, хорошие иллюстрации обеспечивают высокую эффективность рекламного сообщения, так как они вызывают сильную эмоциональную реакцию.

Иллюстрация, независимо от того, фотография это, рисунок или изображение, полученное на компьютере, решает две основные задачи:

)        привлекает внимание, побуждая прочитать текст, сопровождающий рекламу;

)        служит наглядным сопровождением текстовых сообщений.

Рекламные иллюстрации имеют специфические особенности - лаконичность и выразительность. Запоминаемость рекламным иллюстрациям обеспечивают: неожиданный ракурс, найденный и выгодно представленный отдельный фрагмент, неординарное художественное решение.

По свидетельствам физиологов и нейрофизиологов, человек, в первую очередь, обращает внимание на динамичные изображения с людьми, животными, растениями, природой. В то же время необходимо учитывать тот факт, что восприятию рекламируемого продукта/услуги может помешать слишком колоритный персонаж, например, образ вампира. Реклама такого типа может быть блестящей как произведение искусства, но совершенно жалкой как орудие сбыта, так как подобный образ будет отвлекать от самого рекламируемого продукта.

Необходимо, чтобы иллюстрации влияли на мотивацию потенциальных клиентов, создавая у них положительные эмоции, и вместе с тем иметь элементы живости и привлекательности.

« О цвете в рекламе следует поговорить отдельно. Каждый цвет имеет свое действие» [10] , он способен отталкивать и вселять чувство спокойствия и комфорта, возбуждать и тревожить. Необходимо также учитывать тот факт, что цвета оказывают символическое и ассоциативное воздействие на человека [3, с.69] . Исходя из этого, можно с уверенностью сказать, что с помощью цвета можно управлять отношением потребителя к рекламе.

Влияние цветов, ассоциативные образы, воздействие на человека и какие именно люди предпочитают тот или иной цвет, представлены ниже в таблице 1.

Таблица 1- Цвет, ассоциации с ним и его воздействие

Цвет

Воздействие

Образы, вызываемые цветом

Кто предпочитает цвет

Зеленый

успокаивает нервную систему, снижает боль, усталость, нормализует кровяное давление

природа, покой, молодость, безопасность, надежда, скромный, спокойный, влажный, мягкий, посредственный

способные и уравновешенные, добрые и неравнодушные люди

Голубой

снимает боли при невралгии, воспалениях, расслабляет

чистота, разум, постоянство и нежность, цвет креативности, впечатлительность, свобода

Успешные, жизнерадостные, не выносящие одиночества люди

Оранжевый

стимулирует чувства и ускорение сердцебиения, повышает кровяное давление, создает атмосферу благополучия и веселого настроения

зной, энергия, радость, теплота, спелость, излучающий, выступающий вперед, сухой, теплый, взволнованный

жизнерадостные, импровизирующие

Желтый

помогает сосредоточиться, заостряет восприятие и способствует разрешению сложных ситуаций, задач и проблем

солнце, свет, радость, ревность, зависть, светлый, легкий, свежий, веселящий, юный, сияющий

Оригинальные, жизнерадостные, импровизирующие, с богатым воображением люди

Красный

стимулирует мозг, улучшает настроение

огонь, любовь, страсть, борьба, динамизм, гнев, сила, революция, близкий, жгучий, возбуждающий, громкий

предпочитают влюбчивые, нетерпеливые, самоуверенные и упрямые люди

Фиолетовый

действует на сердце и кровеносные сосуды

старость, вера, совесть, смирение, окутывающий, душный, угрюмый, тяжелый, сумрачный

люди с неустойчивым характером

Синий

успокаивающий, способствует физическому и духовному расслаблению, создает атмосферу безопасности и доверия

бесконечность, космос, тоска, холодность, верность, серьезный, укрепляющий, свежий, прохладный, удаляющийся

Скромные, быстро устающие, доверчивые и даже разочарованные люди

Коричневый

помогает «ощутить» почву под ногами, на чем-то мгновенно сосредоточиться.

Земля, дерево, камень, натуральный, скучный [20], плодородие, надёжность, здравый смысл

консервативно настроенные люди, не желающие ничего менять

Чёрный

одаривает чувством собственного достоинства и власти

Ночь, покой, тьма, тайна, вызов, печаль, подавление, смерть

Властные и сдержанные

Белый

чистота, невинность, свет, легкий, свежий, прохладный, ослепительный, чудесный, блестящий, цвет мечты

Люди, отличающиеся аккуратностью во всем, осторожные и проницательные, критичные и несколько суетливые.

Серый

расслабляет, помогает чувствовать себя спокойно, а также способствует сну.

достоинство, звание, нейтральный, безопасность, надежность, интеллект, скромность, достоинство, завершенность, твердый, практичный, старость, печаль

цвет рассудительных и недоверчивых людей, долго раздумывающих, нерешительных


Следует также учитывать, что представители различных культур могут понимать один и тот же цвет по-разному. Так, например, белый цвет в европейских культурах означает жизнь, божественность, радость, а в китайской цветовой символике он означает смерть, у афроамериканцев этот цвет соответствует похоронным кортежам. Поэтому неумело использованные цветовые ассоциации могут нанести непоправимый урон всей рекламной кампании, и это следует учитывать, выходя на международный рынок рекламы.

Важное значение имеет сочетание цветов. Были экспериментально проверены различные цветовые сочетания, и по степени ухудшения восприятия цветов они располагаются в следующем порядке [3, с. 71]:

) синий на белом (логотип Nokia, Sony);

) черный на желтом (Beeline);

) зеленый на белом (BP);

) черный на белом (Sony Walkman) [23];

) зеленый на красном,

) красный на желтом;

) красный на белом (МТС);

) оранжевым на черном;

) черным на пурпурном;

) оранжевый на белом (Palm);

) красным на зеленом.

Следует отметить, что синий цвет на белом употребляется чаще всего в высокотехнологичной сфере товаров и услуг.

Что касается использованного шрифта, то, независимо от техники его исполнения, он представляет собой упорядоченную графическую форму определенной системы письма. Шрифт является выразителем культурного наследия народа и рассматривается как средство эстетического и художественного оформления носителя информации, а в полиграфии является одним из важнейших средств оформления любой печатной продукции.

Самыми удобно читаемыми и разборчивыми оказались шрифты Times Roman и Verdana. Именно эти шрифты употребляется в большинстве рекламных плакатов. Ими выполняется наиболее важная информация, которую желает донести продавец до потребителя товара.

Удобочитаемость шрифта является одним из важнейших достоинств хорошего шрифта. Это не только общая оценка пригодности его формы, но и показатель красоты [21]. На удобочитаемость влияют следующие факторы:

форма шрифтовых знаков (пропорциональность отношения ширины знака к его высоте, насыщенность, цвет);

шрифтовая композиция (длина строки (надписи) или ширина шрифтового поля (колонки), пробел вокруг строки или шрифтового поля, интервал между строками, цветовое решение);

четкость шрифта (отношение цвета (тона) шрифта к цвету (тону) фона - носителя знаков, фактура, качество выполнения) ;

ясность шрифта (узнаваемость знаков, оправданная простота форм, представление содержания).

Необходимость соблюдения требования удобочитаемости вызвана психофизиологическими особенностями человека, проявляемыми в процессе чтения и осмысления текста.

Разработка рекламного обращения является своего рода искусством, поэтому в связи с этим несомненный интерес представляют рекомендации публициста Д. Огилви, на которые следует ориентироваться, чтобы «продать» товар/ услугу:

         сделайте так, чтобы люди почувствовали самобытность, необычность вашего товара/ услуги;

         старайтесь использовать точные факты, избегайте обобщений;

         рекламируйте товар/ услугу так, чтобы цена, установленная на него, казалась полностью соответствующей;

         используйте лучшие аргументы и располагайте их по возможности уже во вступительной части рекламного обращения;

         используйте аспекты новизны [3, с. 62-63].

Еще одно существенное отличие наружной рекламы от других рекламоносителей - расстояние, с которого происходит восприятие информации. Человек, листающий журнал, держит его перед собой достаточно близко. А типовой носитель в outdoor (наружной рекламе) воспринимается с расстояния десятков и даже сотен метров. Очевидно, что человек в этом случае сможет понять только крупные надписи, контрастные изображения и яркие цвета. Однозначная читаемость информации на постере необходимое условие работоспособности рекламного сообщения.

Чтобы быть уверенным, что человек на улице сможет понять детали и смысл изображения и полностью прочитать предлагаемый ему текст, достаточно сделать распечатку макета в половину листа А4 и посмотреть на нее с расстояния вытянутой руки. Если вы не испытываете визуального дискомфорта при рассматривании макета, то будьте спокойны - вашу рекламу увидят на улице.

Не стоит забывать о таком отличие наружной рекламы от остальных видов рекламы как зависимость от окружающей среды, которая является мощным отвлекающим фактором. Деревья, дома, другие рекламные конструкции - всё это находится вокруг рекламной поверхности, и всё это имеет разный размер, форму, цвет, и возникающий пестрый фон может сильно мешать полноценному восприятию постера. Добавим сюда же и регулярную смену освещения и времени года. В таких условиях далеко не всякий плакат сможет выглядеть выигрышно и эффективно работать [7].

Чтобы избежать неприятностей подобного рода, необходимо внимательно отнестись к выбору цветовой гаммы и степени детальности изображений, использующихся в рекламе. Так, например, очевидно, что голубой постер на фоне чистого весеннего неба будет едва заметен, а насыщенная мелкими деталями картинка сольется с переплетенными голыми ветвями деревьев зимой. Отправной точкой в работе с макетом может служить информация о месяце проведения рекламной кампании, о месте расположения поверхности, а также знания о характерных особенностях городского ландшафта в разное время года.

Задача любого дизайнера - сделать постер выделяющимся из окружающего пространства. Чтобы избежать несовместимости плаката с окружающей средой, следует делать привязку к местности - фотомонтаж макета и фотографии места. Используя разные фотографии, появляется возможность охватить все варианты планируемого размещения и избежать, по крайней мере, грубых ошибок [7].

Безусловно, дизайн играет огромнейшую роль в повышении эффективности восприятия наружной рекламы. Однако всё- таки основную роль в эффективности наружной рекламы будет играть сама идея рекламы. Ни для кого не секрет, что хорошая идея делает рекламу эффективней. Отличная идея и грамотный дизайн совершают чудо [7].

Мы рассмотрели основные, общие правила работы с наружной рекламой, касающиеся шрифтов, цветов и дистанции её восприятия.

2.4 Преимущества и недостатки наружной рекламы

Наружная реклама не является универсальным каналом распространения рекламы. Она, как уже говорилось выше, предназначена больше для рекламы потребительских товаров. Чтобы знать, нужно ли вам прибегать к помощи наружной рекламы или нет, для того или иного товара/ услуги, вам необходимо знать преимущества и недостатки наружной рекламы. Итак, рассмотрим их в приведённой ниже таблице 2.

Таблица 2 - Преимущества и недостатки наружной рекламы

Преимущества

Недостатки

Обращают на себя внимание её размеры и цвет

Невозможность проведения краткосрочных рекламных кампаний

Используется как напоминающее и информационное средство, импульс к побуждению

Снижение качества изображения под влиянием атмосферных явлений

Зрелищность данной рекламы

Необходимость постоянного контроля за состоянием рекламных конструкций

Подходит для обращений, которые необходимо повторять

Длительность и сложность процедуры оформления разрешений на установку конструкции наружной рекламы

Широкий охват аудитории

Возможность передачи лишь небольшого объёма информации из-за короткого времени контакта потребителя с рекламой

Частота и гибкость в размещении плакатов

Относительно высокая стоимость изготовления и аренды

Долговременность воздействия на аудиторию

Низкая запоминаемость

Большое количество рекламных контактов

Низкая избирательность аудитории

Чёткое обозначение географических границ воздействия рекламы

-//-


Наружная реклама является достаточно эффективным методом рекламирования товаров или услуг, так как она способна охватить достаточно большую аудиторию потенциальных потребителей, чем также обеспечивает большое количество контактов с ней. Так как у многих людей лучше развито визуальное восприятие, способность данного типа рекламы быть образной и подчас зрелищной также увеличивает эффективность рекламной кампании. Наружная реклама также имеет множество возможностей, чтобы привлечь внимание к себе, путём использования различных средств размещения, форм, конструкций и цветовых решений.

Что касается недостатков данной рекламы, то тут можно сказать следующее: в последнее время к услугам наружной рекламой стало прибегать достаточно большое число рекламодателей, что приводит к тому, что на большинство рекламных мест, которые обеспечивают эффективность рекламы (места скопления людей, снижения скорости автомобилистов, места ожидания пешеходов и прохожих и т.п.), существуют огромные очереди, а места, которые свободны, чаще всего не отвечают этим элементарным требованиям эффективного размещения рекламы.

В настоящее время для успешного привлечения внимания потенциальных потребителей необходимо вызвать у них интерес, прибегая к нестандартным решениям в размещении и оформлении наружной рекламы.

Глава 3. ОСНОВНЫЕ ТЕНДЕНЦИИ РАЗВИТИЯ НАРУЖНОЙ РЕКЛАМЫ

Рекламный рынок - это система экономических форм и механизмов, связанных с образованием и функционированием рекламодателей, рекламных агентств, медиахолдингов, посредников в рекламодвижении, производящих рекламный товар и реализующих его в качестве услуги через средства рекламы для потребительской аудитории в соответствии с целями и задачами маркетинга [2, с. 462].

Рекламный рынок представляет собой сферу рекламной деятельности, систему экономических связей между рекламодателем и потребителями услуги и между рекламными посредниками (каналами рекламы) и рекламодателями. При этом основной формой связей с первом случае является купля- продажа, а во втором случае - конкуренция.

В оформлении наружной рекламы сконцентрировался комплекс явлений, связанных с хозяйственно-экономической жизнью общества, культурой в целом, а также искусства. Ее дизайн и информационная составляющая развиваются одновременно с совершенствованием технологий, появлением новейших, ранее не использовавшихся видов носителей и материалов. При разработке оформления наружной рекламы дизайнерские решения в большей степени ориентируются на более понятное, доходчивое и привлекательное информирование потребителя о рекламируемом товаре/ услуге.

3.1 Инновации в наружной рекламе XXI века

Главной функцией наружной рекламы считается представление новых товаров/ услуг при выведении их на потребительский рынок, информирование о качествах этих товаров/ услуг, а также об адресах, где можно их приобрести.

Так, одним из часто применяемых и наиболее доступных видов наружной рекламы является плакат- станковая форма графического искусства, представляющая собой крупный лист с броским изображением и кратким текстом, имеющая информационные, рекламные, агитационные или просветительские цели, основным условием существования которого является демонстративная плоскость (стенд, витрина, стена) [17].

Плакат, имеющий движущую силу рекламной кампании, одновременно обретает новую значимость - он становится гибким и восприимчивым ко всем новым технологиям. Самые последние технологии современности дают возможность плакату выйти из статичного состояния. Этому способствуют изменения, связанные с использованием новых цифровых технологий и материалов [17].

Данная тенденция набирает обороты, суть которой заключается в поиске новых художественных форм, имеющих гибкую структуру и выражающих глобальный смысл социальных преобразований.

Так, появление светодиодов, неона, пластиков, разнообразных пленок, различных видов высокого качества полиграфической продукции стали прорывом в технологическом плане и придало наружной рекламе новые художественно-технические и информационно-технологические возможности, значительно расширяющие их применение в дизайнерских разработках.

Использование светодиодов основных цветов (зеленого, красного, синего) позволило получать цвета вывесок фактически любых оттенков, а также конструировать из них дисплеи с выводом полноцветной графики и анимации. Большая светоотдача, надежность, простота монтажа, отсутствие затрат на эксплуатацию, малое энергопотребление, динамика изменения информации и цвета вывели эти технологии на первое место. Большое разнообразие возможностей позволяет производить наружную рекламу не только обладающую большой художественной ценностью, но и также несущую значительную информационную нагрузку. Делают этот вид наружной рекламы одним из наиболее действенных, информативных и востребованных броскость, возможность многообразного графического исполнения, зрительная доступность [17].

Неоновая наружная реклама, существовавшая массово с середины прошлого века, в настоящее время переживает значительные технологические изменения. Новые материалы и технологии расширили производство этого вида рекламы, увеличили информационные, художественно-технические и эстетические возможности производимого на их основе рекламного продукта, дали дизайнерам новые и эффективные способы и средства оформления наружной рекламы, сделали ее надежной и долговечной в эксплуатации [17].

Например, применение новых видов пластика способно максимально удовлетворить требования, предъявляемые к материалу для производства рекламы. Определяющими факторами являются широкие критерии выбора цвета, степени светопропускания материала, качества поверхности, а также возможность придания выбранному материалу требуемой формы.

С помощью инновационных технологий производитель стремится оказать качественно новое, отличное от ранее применяемых средств воздействия на потенциального потребителя (объекта рекламирования), побудив его, тем самым, к совершению определенного действия, а именно покупки рекламируемого товара. Инновационные процессы, происходящие в обществе, различные нововведения и практика их применения, а также распространения - это одна из основных и важнейших проблем настоящего времени.

Современные способы передачи сообщений (каналы, средства, носители) чрезвычайно разнообразны (от классического плаката, рекламных щитов, световых вывесок до современных электронных табло, экранов и лазерных установок). Усложнение экономических взаимоотношений в обществе, масштабы производства, урбанизация влекут за собой развитие новых технологий, которые не могут обходиться без рекламного обеспечения, что и является мощным стимулом развития информационных структур [17] .

В настоящее время самих рекламоносителей становится уже недостаточно, не смотря на их огромное многообразие. Новые тенденции, о которых идет речь, связаны с тем, что общество массового потребления, созданное промышленной революцией, всё интенсивнее дифференцируется, превращаясь в «демассифицированное общество»- тенденция, при которой массовый рынок распадается на постоянно множащиеся, изменчивые минирынки, требующие непрерывно расширяющегося диапазона моделей, типов, размеров, цветов и соответствия разнообразным требованиям потребителя. Она является одной из движущих сил, направленных на инновационные изменения в самой рекламе и в ее дизайне.

Дизайн- это тот инструмент, который позволяет наружной рекламе приобрести новые качества, адаптироваться к среде размещения. И только новые инновационные дизайнерские технологии позволят наружной рекламе, органично вплетаясь в пространственную, социально-психологическую среду размещения, не потерять своих позиций иным бурно развивающимся видам рекламы.

Задача наружной рекламы при использовании инновационных технологий- максимально сгладить различия нового образа с устоявшимися локальными пространственными канонами и попытаться вписаться в эту среду, а возможно и дополнить, качественно улучшить ее содержание [17].

В этой связи следует указать на тот обстоятельство, что фактору сохранения традиционной матрицы ранее созданного способствует выверенное годами соответствие воссоздаваемой наружной рекламы стилю, эстетике, образу и характеру среды размещения, эстетике оформления, культурологической и визуально-графической составляющей.

Для каждого временного периода, особенно в градостроительстве, характерно наличие своеобразного, сложившегося художественного направления, иногда называемым стилем эпохи, часто он представляет собой вполне законченную и установившуюся архитектурно-художественную норму, выражающую совокупность эстетических представлений, правил, установившихся в этом временном периоде [17].

Нахождение баланса между инновационной составляющей наружной рекламы и необходимостью сохранять эстетику и стиль среды размещения - ещё одна наиважнейшая задача в сфере рекламной деятельности.

3.2 Наружная реклама на примере компании PEPSI

Ни для кого не секрет, что чтобы сделать эффективную рекламу, необходимо не только знать основные правила, принципы, приёмы в рекламе, но и обращать внимание на деятельность своих конкурентов, а лучше всего обратиться к опыту лидера рынка, т.е. прибегать к бенчмаркенгу.

В данной работе предлагается рассмотреть рекламную деятельность компании Pepsi, так как эта компания, во -первых, существует на рынке уже более века, во- вторых, эта компания является одной из немногих, которая может «похвастаться» успешной рекламной деятельностью и , в- третьих, развитие рекламных методов и применение всё новых приёмов в рекламе, т.е. развитие рекламной кампании Pepsi, интересно рассматривать в развитии.

«Пепси-кола» (англ. Pepsi-Cola) или просто «Пепси» - популярный безалкогольный прохладительный напиток, продающийся по всему миру, основной конкурент «Кока-колы», в течение многих лет разделяющий с ней 1-2 место по популярности и объёму продаж.

Права на торговую марку «Пепси-кола» принадлежат американской компании «PepsiCo». Впервые Pepsi- Cola была изготовлена в 1890-х годах в Нью-Берне фармацевтом Калебом Брэдхэмом (Caleb Bradham). Как торговая марка Pepsi-Cola была зарегистрирована только 16 июня 1903 г. [11]. Первая реклама Pepsi - Cola при выходе на потребительский рынок являлась рисованным плакатом с названием напитка, изображение товара, с указанием своего «места рождения» и выглядела следующим образом (рисунок 21).

Рисунок 21- Первая реклама Pepsi- Cola

« В 1950 - 60-х гг. в рекламе по-прежнему используются плакаты», но уже более красочные с изображением бытовых сцен, встречающихся в обыденной жизни каждого человека, дабы приблизить образ рекламируемого продукта к потребителям, с использованием небольшой предысторией, с указанием названия бренда Pepsi- Cola и с «лёгким» упоминанием о самом товаре как бы между делом (рисунок 25 и рисунок 26).

Рисунок 22- Реклама Pepsi в 1950- 60-х гг

Рисунок 23- Реклама Pepsi в 1950- 60-х гг. [18]

Уже в 1959 г., сам того не зная, лидер СССР Никита Хрущёв прорекламировал Пепси в России. Это случилось на Американской Национальной выставке в Сокольниках, куда Pepsi привёз президент компании Дональд Кендалл. Именно там президент США Ричард Никсон предложил Хрущёву попробовать этот знаменитый американский напиток [11]. Фотографы тут же запечатлели этот момент, и вскоре эти фотографии появились во всех журналах и газетах (рисунок 24). Можно сказать, что это была одна из первых реклам Pepsi с использованием культовых, значимых лиц для потребителей, по крайней мере, в России точно.

Рисунок 24- 1959 г. Хрущёв на выставке в Сокольниках впервые пробует Pepsi

В середине 70-х годов «PepsiCo» провела интересную рекламную акцию под названием «Pepsi бросает вызов». Были проведены тесты «вслепую» по оценке двух напитков, двух давних конкурентов, Pepsi- Cola и Coca- Cola. Участники акции предпочли Pepsi- Cola с перевесом 3:2, и этот факт был озвучен в телевизионной рекламе [11].

В 1970-х гг. наружная реклама Pepsi остаётся представленной только плакатами, которые оставались также красочными, только теперь стали использоваться в рекламе фотографии реальных людей (рисунок 25). А как говорилось выше, фотографиям люди испытывают большее доверие, чем выдуманным или нарисованным персонажам.

Рисунок 25- Рекламный плакат Pepsi в 1970-х гг.

Выше мы говорили о развитии подходов в оформлении наружной рекламы знаменитого бренда на весь мир Pepsi на протяжении практически 70 лет. Стоит отметить, что по мере развития рекламы, происходили и изменения с логотипом данного бренда, «эволюцию» которого можно проследить на рисунке 26.

Рисунок 26- «Эволюция» логотипа Pepsi- Cola

Производство Pepsi- Cola в СССР началось во время разрядки, начало которому было положено встречей в 1971 г. президента PepsiCo Дональда Кендалла с Председателем Совета Министров СССР Алексеем Косыгиным, на встрече были проведены переговоры о возможном экономическом сотрудничестве. Уже в 1972 г. в рамках соглашения о двусторонней торговли между СССР и США были достигнуты договорённости о сотрудничестве, в результате чего Pepsi- Cola стала продаваться в СССР (первая партия - в апреле 1973 г.). Затем было начато строительство заводов по производству Pepsi- Cola в СССР (первый - в 1974 г. в Новороссийске) [11].

Продавали этот столь любимый в Америке напиток в СССР в фирменных ларьках, в автоматах с газировкой с логотипом Pepsi, а также хочется отметить, что для СССР выпускалась данная продукция с «русифицированной» эмблемой (вместо американского «Pepsi» было написано русским «ПЕПСИ»).

В 1984 г. компания Pepsi решает прибегнуть к, тогда ещё новому, приёму в рекламе- использование авторитетного, влиятельного лица для целевого сегмента рынка, на который ориентирована деятельность. Ни для кого не секрет, что основные потребители данного напитка- дети, подростки и молодёжь. Так рекламным лицом Pepsi стал Майкла Джексона являвшийся кумиром для целевой аудитории (рисунок 27).

Рисунок 27- Майкл Джексон- лицо Pepsi, 1984

Рекламные приёмы Pepsi не перестают развиваться и уже в 1990-х гг. на рекламных постерах появляются нотки юмора, иронии, шутки и т.п. (рисунок 28).

Рисунок 28- Реклама Pepsi в 1990-х гг.

Когда личность короля pop-музыки Майкла Джексона, стала «обрастать» всевозможными слухами, разбирательствами, скандалами, руководству Pepsi- Cola было просто необходимо найти новые рекламное лицо, так как скандальная фигура Джексона рушила положительный образ продукта у потребителей. Так стали появляться в рекламе Pepsi- Cola многие звёзды эстрады и кино (Тина Тёрнер, Бейонсе, Бритни Спирт и многие другие), а также культовые фигуры спорта.

Начиная уже где-то с 2005г. в связи с «пресыщённостью» потребителя обычной, обыденной рекламой, в которой демонстрируется продукт, слоган и рекламное лицо бренда, появилась необходимость создать такую рекламу, которая стала бы незабываемой, запоминающейся, привлекала бы к себе внимание. Появилась потребность находить новые необычные места размещения и оформления наружной рекламы.

Рисунок 29- Необычная реклама Pepsi в транспорте

Рисунок 30- Наружная реклама Pepsi на лифте

Рисунок 31- Необычная с 3D эффектом

Также стоит особое внимание уделить рекламе Pepsi на транспорте, которая выделяется своей оригинальностью, креативностью идей. И, если подобного рода рекламу, представленную на рисунке, используют многие бренды для своей рекламы, то на пляже реклама прохладительного напитка марки Pepsi не имеет альтернатив (рисунок 32).

Рисунок 32- Реклама Pepsi на транспорте Рисунок 37- Пляжная реклама Pepsi

В 2008 г. руководство Pepsi решило произвести глобальный ребрендинг стоимостью более 1 миллиарда долларов. «Смайлик» на бутылках стал расширяться в зависимости от его «крепости» [19] (рисунок 33, рисунок 34).

Рисунок 33- Ребрендинг значка Pepsi

Рисунок 34- Новый вид продукции Pepsi

Шрифт в логотипе заменен с заглавного жирного шрифта на строчный обычный, содержащей волну, заимствованную из классического логотипа.

Ребрендинг продуктовой линейки был обусловлен финансовым кризисом, который охладил спрос на безалкогольные газированные напитки.

Запуском продукции в обновленной упаковке компания надеялась вернуть расположение потребителей, что ей и удалось сделать.

На российском рынке Pepsi для своей рекламы, естественно, выбирает «местных героев» времени. Как, например, в своё время рекламировал этот напиток многими подростками любый репер Децл, сейчас это делают группа Бандэрос и знаменитый на весь мир футболист из России Андрей Аршавин (рисунок 35).

Рисунок 35- Аршавин в рекламе Pepsi 2012 г. (перевод слогана «Освежи свой мир»)



Рисунок 36- Новый выпуск Pepsi 2012 г. с изображением образа Майкла Джексона

Хочется упомянуть ещё об одной масштабной рекламной Blutooth-кампании, проведённой в 2007 году Pepsi- Cola. Она отличалась своей оригинальностью, эффективностью и малыми денежными вложениями, что позволяет данную рекламу отнести к разряду «партизанского маркетинга»- максимум эффекта при минимуме затрат.

Суть данной рекламы была в следующем: Bluetooth-передатчики были установлены в рекламных щитах на автобусных остановках в крупных городах США: Вашингтоне, Лос-Анджелесе, Денвере, в городах округа Ориндж, а также в таксофонах Питсбурга и Филадельфии. Прохожим, у которых есть мобильный телефон или портативный компьютер с включенным Bluetooth, приходило предложение принять файл, и если человек соглашается, то ему приходил видеоклип из рекламной кампании «Pepsi Smash» с адресом www.pepsismash.com [11].

Компания Qwikker сообщает, что за первую неделю проведения «вирусной» кампании 27% прохожих согласились принять видеоклипы, а это в свою очередь является отличным показателем эффективности этого направления в рекламе [11].

3.3 Рекомендации по эксплуатации наружной рекламы

Изучив опыт успешной рекламной деятельности одного из лидеров потребительского рынка, а именно Pepsi- Cola, можно выделить следующие рекомендации:

)        Чётко определяйте свой целевой сегмент потребителя, иначе, если он будет неправильно выбран, рекламная кампания, направленная не на того потребителя, может оказаться практически безрезультатной;

)        Используйте в своей рекламе корректно выбранное рекламное лицо (звёзды кино, эстрады, спорта и так далее), которое имело бы авторитет для потребителей целевой аудитории, лицо, создающее благоприятный образ продукта или услуги. Так, к примеру, русской приме балета Анастасии Волочкой нет смысла рекламировать товары для бодибилдинга, в то время как на эту роль лучше бы подошёл, например, Арнольд Шварцнегер;

)        Следите за новыми инновациями и возможностями, открывающимися для наружной рекламы, идите «в ногу со временем». Это необходимо, потому что, если этого не делать, ваша реклама, построенная по традиционным канонам, станет непривлекательной для потребителя;

)        Найдите творческий подход в оформлении и выборе носителя вашей рекламы, дайте полёт фантазии и смело воплощайте свои идеи, но делайте это с умом. Используйте динамические изображения, окружающую среду и тому подобное - всё это поможет выделить вашу рекламу из «толпы», привлечь внимание потребителей, а самое важное - запомниться;

)        Постоянно ищите новые «кнопочки» нажатия на вашу целевую аудиторию. Выполнять вышеперечисленное, конечно, хорошо, но это лишь полдела. Нужно помнить, что ваш потребитель, в первую очередь, человек. Необходимо понять, что важно вашей аудитории, какие у неё ценности, идеалы, кумиры. Так, Pepsi, зная, что весь мир очень любил великого pop-певца Майкла Джексона, который не так давно ушёл из жизни, учитывая, что потребители этого напитка подростки и молодёжь в основном, являлись и остаются его поклонниками, в мае 2012 г. решили использовать его образ на упаковках своей продукции, проводить акции с призами, имеющие автограф певца;

)        Безусловно, необходимо обращать внимание и изучать деятельность своих конкурентов: что или кого они используют в своей рекламе, как это влияет на объёмы продаж, что является «фишкой» конкурирующих продуктов и так далее - всё это поможет вам сделать действительно действующую рекламу, приносящую всё новых и новых потребителей;

)        Используйте бенчмаркинг - метод использования чужого опыта, передовых достижений лучших компаний, подразделений собственной компании, отдельных специалистов для повышения эффективности работы, производства, совершенствования бизнес-процессов; основан на анализе конкретных результатов и их использовании в собственной деятельности.

ЗАКЛЮЧЕНИЕ

Создать положительный образ товара или услуги очень сложно, на это нужно потратить очень много времени и сил. И, тем не менее, если знать правила работы с рекламой, в данном случае, наружной, требования к ней, знать её основные принципы и приёмы, можно создать высокоэффективную рекламу.

В ходе данной работы были рассмотрены все теоретические основы создания, оформления, размещения наружной рекламы, её приёмы и правила работы с ней. Знание всех этих теоретических основ, несомненно, полезно, ведь зная правило «трёх секунд», учитывая дистанцию, условия окружающей среды (деревья, построения или открытая плоскость), психологию цвета, можно создать очень хорошую наружную рекламу.

Наружная реклама многообразна, и цель у рекламы может быть разной, поэтому необходимо это учитывать при выборе того или иного вида наружной рекламы. Нужно знать о достоинствах и недостатках данного вида рекламы, потому что не для каждого товара/ услуги она подойдёт.

Не стоит забывать, что время не стоит на месте, технологии и возможности в оформлении, в размещении рекламы расширяются. Чтобы привлечь должное внимание к своей рекламе, заставить задержать на ней взгляд, сделать её максимально запоминающейся и привлекательной, необходимо использовать эти инновации и делать это с умом путём использования различных средств размещения, форм, конструкций и цветовых решений.

Современное общество пресытилось стандартной рекламой, да и количество её стремительно растёт, а эффективность падает. В настоящее время для успешного привлечения внимания потенциальных потребителей необходимо вызывать у них интерес, прибегая к нестандартным решениям размещения и оформления наружной рекламы.

СПИСОК ИСПОЛЬЗОВАННЫХ ИСТОЧНИКОВ

1)      Федеральный закон РФ №38- ФЗ «О рекламе» от 13 марта 2006 г.

)        Васильев Г.А. Основы рекламы [Текст]: учебник/ Г.А. Васильев, В.А. Поляков.- М.: ЮНИТИ-ДАНА, 2006.- 6, 8, 10, 12-14, 16, 230-239, 462 с.

)        Дурович А.П. Реклама в туризме [Текст]: учеб.пособ.- Мн.: БГЭУ, 2001.- 62-63,69, 71, 112 с.

)        Основы рекламы [Текст]: учебник/ перераб. и доп. А.Н.Мудров.- 2-е изд.,- М.: Магистр, 2008.- 14- 15, 21, 23, 25, 27, 59, 60 с.

)        Реклама в СКСиТ [Текст]: учебник/ исп. и доп. Н.С. Морозова, М.А. Морозов, 3-е изд.- М.: ИЦ «Академия», 2007.- 60- 67 с.

)        Третьякова Т.Н. Реклама в СКСиТ [Текст]: учеб. пособие/ Т.Н. Третьякова.- М.: ИЦ «Академия».-2008.- 84, 168, 170 с.

)        Назаренко Д. 10 правил дизайна в наружной рекламе [Текст]- 2006.

)        Устин Виталий. Журнал «Реклама». Из истории наружной рекламы [Текст] - 2001.

Похожие работы на - Особенности и недостатки наружной рекламы

 

Не нашли материал для своей работы?
Поможем написать уникальную работу
Без плагиата!
Без нейросетей!