Естественные монополии: регулирование производства общественных благ
Министерство образования и науки
Российской Федерации
Федеральное государственное бюджетное
образовательное учреждение
Высшего профессионального образования
"ГОСУДАРСТВЕННЫЙ УНИВЕРСИТЕТ
УПРАВЛЕНИЯ"
Институт Государственного управления
и права
Кафедра Государственного и
муниципального управления
КУРСОВОЙ ПРОЕКТ
по дисциплине "Экономика
государственного и муниципального сектора"
на тему: "Естественные
монополии: регулирование производства общественных благ"
ВЫПОЛНИЛ Очной формы обучения
СТУДЕНТ 3 курса, 3 группы
Саакова А.О.
РУКОВОДИТЕЛЬ к. э. н., доцент, Петрина О.А.
Москва 2014 г.
Оглавление
Введение
1. Понятие естественных монополий, сфера деятельности, признаки,
функции и законодательное регулирование в РФ
2. Способы регулирования естественных монополий
3. Механизм регулирования естественных монополий в условиях
российской экономики
Заключение
Список использованной литературы
Введение
Тема регулирования естественных монополий
особенно актуальна в России, т.к. законодательная база в ней еще очень слабо
развита, и для создания нормального и функционирования товарного рынка
необходимо учесть фактор естественных монополий. Регулированию этих субъектов
уделяется большое внимание в разных странах и в России в частности. Первый
закон о регулировании естественных монополий был принят в 1995 году. Он
направлен на достижение баланса интересов потребителей и субъектов этих
монополий в Российской Федерации.
Сферы естественных монополий подвижны.
Они, то расширяются, то сужаются, то ликвидируются вовсе в зависимости от
природных факторов (например, наличия или отсутствия, увеличение или уменьшения
разведанных полезных ископаемых и иных природных богатств), от спроса на товары
и иных причин. Поэтому постоянное исследование и реформирование естественных монополий
является необходимым. Бесконтрольное функционирование и развитие естественных
монополий может привести к ряду неблагоприятных последствий, таких как:
завышение тарифов, нарушение прав потребителей, ухудшение экономического
состояния страны, потому как с точки зрения государственных интересов
естественные монополии рассматриваются как важнейший бюджет образующий и
структурообразующий фактор развития экономики. От того насколько прогрессивно
будет развиваться законодательная база страны в сфере естественной монополии,
зависит дальнейшее развитие экономики России и уровень ее благосостояния.
Цель работы: выявить закономерности
функционирования естественных монополий, проанализировать диагностику развития
естественных монополий в РФ и меры по их регулированию.
Задачи работы:
естественная монополия регулирование российский
1) Дать понятие и изучить механизмы
функционирования естественной монополии;
) Систематизировать методы
государственного регулирования естественных монополий;
) Проанализировать проблемы регулирования
естественных монополий в РФ;
) Указать пути решения регулирования
тарифов и цен, увеличения прибыли и производства в РФ.
Объектом исследования выступают механизмы функционирования и
регулирования естественных монополий.
Предмет исследования - дифференциация механизмов
функционирования и регулирования естественных монополий в РФ.
Теоретической и методологической основой курсовой работы
явились труды отечественных и зарубежных ученых и экономистов-практиков,
посвященные проблемам регулирования деятельности естественных монополий таких
как Авдашева, Шастико, Белоусова, Вильсон, Цапелик, Городницкий, Повленко,
Дерябина, Житков, Парашинцева, Ивашковский, Иохин, Крупорницкая, Матрусевич,
Нуреев, Ореховский, Паращук, Розанова, Солодкин, Тарасевич, Чипурина, Киселева.
Информационной базой работы являются статьи, периодические
издания, учебная литература, ресурсы сети Internet, законодательные акты и
нормативные документы Российской Федерации.
В процессе исследования применялись: системный подход как общий
метод познания, методы систематического анализа, логического моделирования,
структуризации целей.
Структура курсовой работы: курсовая работа объемом страницы
основного текста состоит из введения, трёх глав, заключения, списка
использованных источников из наименований.
1. Понятие
естественных монополий, сфера деятельности, признаки, функции и законодательное
регулирование в РФ
Естественная монополия - разновидность
монополии, которая оправдана с точки зрения эффективности; объем выпуска,
соответствующий минимально эффективному размеру фирмы, достаточен для
удовлетворения всего рыночного спроса, так что минимизация средних издержек
достигается при функционировании на рынке только одной фирмы.
В качестве примера естественных монополий обычно приводят
водо-, газо- и энергоснабжение, проводную телефонную связь, почтовую службу,
канализацию, железные дороги, трубопроводный транспорт, метро и некоторые
другие отрасли.
Сферы деятельности
естественных монополий:
транспортировка нефти и нефтепродуктов по
магистральным трубопроводам.
транспортировка газа по трубопроводам.
услуги по передаче электрической и
тепловой энергии
железнодорожные перевозки
услуги транспортных терминалов, портов,
аэропортов.
услуги общедоступной электрической и почтовой связи.
Приведем основные признаки
естественной монополии:
) юридическое основание установления
(закрепления), реализации и прекращение режима.
) соотношение законодательства о
монополиях с Законом "О конкуренции" их разграничение по предмету и
средствам правового регулирования.
) сферы (границы) действия рассматриваемых
монопольных режимов по отраслям и видам хозяйствования, а также отношения на
которые распространяется законодательство о регулируемых монополиях.
) общий правовой статус субъектов
монополий, специфический характер их прав и обязанностей как в сфере отношения
с третьими лицами, так и во внутрифирменных процессах.
) система регулирования деятельности
субъектов монополий.
) санкции и ответственность за нарушение
положений законодательства в указанной области.
Фирма, средние затраты длительного периода которой снижаются
на всем диапазоне спроса вследствие возрастающей отдачи от масштаба, является
естественной монополией. Таким образом, одна фирма может удовлетворить весь
рыночный спрос на товар с меньшими средними затратами, чем те, которые были бы
возможны, если бы две или несколько конкурирующих фирм поставляли точно такое
же количество товара.
Монопольная власть оказывает противоречивое воздействие на
затраты. С одной стороны, проистекающее из нее ослабление конкуренции ведет к
рассмотренной выше Х-неэффективности, а с другой, − позволяет снизить
затраты в результате реализации экономии от масштаба.
В соответствии с рисунком 1 представлена ситуация, когда
фирма вследствие получения монопольной власти обеспечила экономию затрат,
равную прямоугольнику FPCHC. Очевидно, что эта экономия
перекрывает потери общества от неоптимального размещения ресурсов (треугольник HAE).
В результате чистое благосостояние общества возрастает на разность этих
площадей, которая и составляет выгоды от монопольной власти.
В части В рисунка 1 показана та же ситуация на уровне отрасли
в целом. Допустим, что ситуация совершенной конкуренции сменилась в ней
конкуренцией фирм с монопольной властью. В силу экономии от масштаба и снижения
затрат произошел сдвиг вправо кривой отраслевого предложения. И здесь экономия
на затратах (FВHC) перевешивает потери от перехода от совершенной к
несовершенной конкуренции, представленные сегментом HAE.
Рисунок 1 - Экономия на затратах как компенсация потерь от
неэффективного размещения ресурсов (А - отдельная фирма, В - отрасль)
В этой связи следует подчеркнуть, что отклонение от
совершенной конкуренции и усиление монопольной власти не тождественно
возникновению и росту чистых потерь благосостояния. Здесь могут наблюдаться две
противоположные тенденции. Если выигрыш на экономии от масштаба превышает
потери от неоптимального размещения ресурсов, то тогда монопольная власть
представляет чистую выгоду для общества.
Такое часто имеет место при слиянии фирм. Этот факт требуется
учитывать в антимонопольной политике, несмотря на то, что взвешивание и
сопоставление двух эффектов на практике представляет значительную трудность. Впервые
на этот эффект слияния указал О. Вильямсон. Д. Нидхэм показал, что достаточно
небольшого снижения затрат, чтобы обеспечить баланс положительного эффекта
снижения затрат и отрицательного эффекта неоптимального размещения ресурсов.
Например, если взять товар, ценовая эластичностью спроса на который равна (-2),
то снижение затрат посредством монополизации всего лишь на 4% потребуется для
того, чтобы сбалансировать потери и выгоды (несмотря на повышение цены на 20%)
.
Теперь рассмотрим свойство субаддитивноси.
Функция обладает свойством субаддитивности, если значение функции
от суммы переменных меньше или равно сумме значений функций от каждого из
переменных, т.е. выполняется

(1)
Функция обладает свойством аддитивности, если выполняется

(2)
Функция обладает свойством супераддитивности, если имеет место следующее неравенство:

(3)
Перейдем теперь к случаю многопродуктовой естественной монополии.
Этот тип предприятия гораздо более распространен, чем рассмотренная выше
естественная монополия с единственным продуктом. Если наличие возрастающей
отдачи от масштаба является достаточным (но не необходимым) условием
существования однопродуктовой естественной монополии, то для многопродуктовой
фирмы возрастающая отдача не является ни необходимым, ни достаточным аргументом
в пользу отнесения фирмы к числу естественных монополистов.
Причина заключается в действии экономии от разнообразия. Напомним,
что экономия от разнообразия имеет место, когда производство комбинации
продуктов на единственном предприятии обходится дешевле, чем производство
каждого из товаров специализированным предприятием. Если мы, в частности,
считаем электроэнергию, поставляемую в пиковые и во внепиковые часы, разными
товарами, то энергосистемы имеют возможность экономии на разнообразии.
Аналогично, для пассажирских и товарных перевозок железной дорогой используются
одни и те же рельсы, сигнальное оборудование, услуги диспетчеров и
управленческого персонала дороги, что позволяет предоставлять их с меньшими
затратами, чем в гипотетической ситуации существования разных железных дорог
для разных видов перевозок. При производстве нескольких продуктов
(предоставлении нескольких услуг) экономия от разнообразия может перевесить
действие отрицательной отдачи от масштаба, а это сделает экономически более
выгодным деятельность только одной фирмы в отрасли. Таким образом,
существование многопродуктовой естественной монополии определяется
субаддитивностью ее функции затрат, а наличие возрастающей отдачи от масштаба
может быть необязательным.
Субаддитивность затрат многопродуктовой фирмы означает выполнение
неравенства

(4)
где TC (q1,., qm) - функция затрат на производство комбинации
продуктов; TCi (qi) - функции затрат на производство каждого продукта в
отдельности.
Естественные монополии для выбора оптимальной государственной
политики подразделяются на временные и постоянные, что имеет существенное
значение. Случай постоянной естественной монополии характеризуется наличием
возрастающей отдачи от масштаба при любом объеме производства. Любой объем
спроса может быть удовлетворен единственной фирмой с минимальными затратами.
Чаще всего механизм и границы регулирования определяются
национальными законодательными актами. В частности, в Российской
Федерации действует уже упоминавшийся Федеральный Закон "О естественных
монополиях”, который определяет и отрасли, относящиеся к естественной
монополии, и способы прямого ее государственного регулирования.
Считается, что прямое государственное регулирование
посредством определения тарифов или решающего влияния на них естественных
монополистов достаточно простой и понятный способ, позволяющий снизить роль
негативных факторов, существующих в их деятельности. В частности, в российском
законодательстве данному способу уделяется первостепенное внимание.
В РФ понятие "естественная монополия" является не
просто экономической категорией, оно определено Законом "О естественных
монополиях" как состояние товарного рынка, при котором удовлетворение
спроса на этом рынке эффективнее при отсутствии конкуренции, что происходит в
связи с технологическими особенностями производства (существенное снижение
издержек производства на единицу товара по мере увеличения объема
производства). Товары, производимые субъектами естественной монополии, не могут
быть заменены в потреблении другими товарами, поэтому спрос на данном рынке на
товары, производимые субъектами естественных монополий, в меньшей степени
зависит от изменения цены, чем спрос на другие виды товаров, т.е. он имеет
очень низкую эластичность, по крайней мере, в краткосрочном периоде.
Производство продукции эффективнее в условиях отсутствия конкуренции, что
связано с существенной экономией на масштабах производства и высокими
условно-постоянными издержками. К таким сферам относятся, например,
трубопроводный транспорт, железные дороги, и т.п. Издержки для общества по
доставке одной тонны груза или перевозке одного пассажира будут тем ниже, чем
больше грузов или пассажиров будет перевозиться по данному направлению.
Фиксированные издержки, связанные со строительством таких сооружений настолько
высоки, что строительство параллельной системы, выполняющей те де самые
функции, вряд ли когда-либо окупится.
Субъекты естественных монополий занимают доминирующее положение
на соответствующих товарных рынках. Если действия данных хозяйствующих
субъектов ведут к ограничению конкуренции или ущемлению интересов контрагентов,
то к ним Федеральной Антимонопольной службой РФ (создана в марте 2004 г. на
базе Министерства по антимонопольной политики РФ) применяются меры воздействия
в соответствии с Законом "О конкуренции и ограничении монополистической
деятельности на товарных рынках".
Основными задачами Федеральной Антимонопольной службы РФ
являются:
содействие формированию рыночных отношений на основе развития
конкуренции и предпринимательства;
предупреждение, ограничение и пресечение монополистической
деятельности и недобросовестной конкуренции;
государственный контроль за соблюдением антимонопольного
законодательства.
2. Способы
регулирования естественных монополий
Лауреат Нобелевской премии по экономике 1976 г.М. Фридмен
отмечал, что не существует приемлемого решения проблемы технологической
монополии. Возможен лишь выбор из трех зол - частной нерегулируемой монополии,
регулируемой государством, и непосредственной хозяйственной деятельности
государства.
Современная экономическая наука предлагает иные подходы. Если
существует объективная естественная монополия и соответственно единственный
производитель на рынке, то конкуренция может быть инициирована на начальном
этапе при организации торгов за право быть этим поставщиком, то есть за
получение франшизы на естественную монополию. Основной критерий отбора
победителя торгов - удельная цена поставки услуг. Победитель, предложивший
наименьшую цену, не заинтересован раздувать свои издержки и оптимизирует
размещение ресурсов в условиях естественной монополии.
Другой подход к организации инфраструктурной сферы
предполагает изменение институтов, структурирующих взаимоотношения экономических
агентов в области поставки товаров и услуг по инфраструктурным сетям, в
частности, организационное разделение инфраструктурных сетей и операций по
эксплуатации. В итоге образуется несколько функционально различных компаний,
одна из которых выступает собственником единой инфраструктурной сети и
осуществляет ее техническое обслуживание, модернизацию и расширение мощностей.
За право эксплуатации того или иного участка сети и предоставлении услуг
конечным потребителям борются компании, претендующие на статус операторов. По
результатам торгов компания собственник сети заключает с потребителем договор
лизинга на данный участок инфраструктурной сети на строго ограниченное время,
по прошествии которого торги проводятся вновь.
Стратегия реформирования естественных монополий может
реализовываться по двум направлениям. Прежде всего, идентифицируется сфера
естественной монополии в рассматриваемой отрасли, выделяется структура-носитель
наиболее существенных, специфических для естественной монополии свойств. Для выделенного
естественно-монопольного ядра разрабатываются меры по регулированию и
дерегулированию, обеспечивающие эффективность работы и максимизацию
общественной полезности. Первое направление - меры прямого государственного
вмешательства и создание барьеров входа в отрасль с целью сохранения
естественно-монопольной структуры: установление цен (тарифов на услуги) на
уровне, выгодном обществу; целенаправленное выделение средств на новые
технологии и т.п. Второе - меры опосредованного государственного вмешательства
(через систему ряда законодательных и других институциональных актов) для
создания и поддержки конкурентных сред, совместимых естественной монополией и
вынуждающих ее работать в режимах, эффективных с позиции общественной
полезности.
Положение о том, что конкурентные рынки обеспечивают
эффективное распределение ресурсов, предполагает, что работники органов
регулирования должны попытаться сымитировать работу конкурентных рынков в тех
секторах, где существуют естественные монополии. Как и в случае конкурентных
рынков, издержки должны минимизироваться, а цены определяться на основе
предельных издержек. Кроме того, органы регулирования должны соблюдать баланс
между интересами потребителей, которые желают низких цен, и экономической
жизнеспособностью производителя. Программа, благоприятствующая потребителям
посредством установления цен гораздо ниже себестоимости, приведет к скорому
банкротству регулируемых фирм или потребует значительного увеличения налогов
для возмещения убытков государственного производства. С учетом этих замечаний
необходимо выполнение следующих основных правил регулирования деятельности
естественных монополий.
) Цены должны быть максимально приближены к предельным
издержкам.
) Прибыли должны обеспечивать только нормальную норму
прибыли.
) Производство должно быть эффективным.
Рассмотрим влияние фактора цен. Монополия
обладает возможностью контролировать цену на производимый ею товар. Графически
это обстоятельство отражается с помощью отрицательного наклона графика
индивидуального спроса на продукцию монополии в соответствии с рисунком 2.
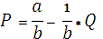
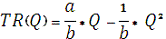
Допустим, что спрос на продукцию
монополиста задан линейной функцией Q=a-b*P,
где а, b
- положительные константы. На рисунке 2 (а) функция спроса, D, отображена прямой AB:

(5)
а отрезки ОА и ОВ на координатных осях соответствуют константам а
и а/b. Поскольку ТR (Q) =QP (Q), функция предельной выручки монополиста
при линейном спросе будет

(6) и, следовательно, функция предельной выручки
Рисунок 2 - Спрос (а) и выручка (б) монополиста

(7)
Установление цен на основе предельных издержек гарантирует,
что ценность дополнительно производимой продукции для потребителей равна
издержкам ее производства. Большие отклонения от этой системы ценообразования
обуславливают излишние потери. Если величина предельных издержек ниже цены, то
продукция производится в недостаточном объеме; если их величина превышает цену,
то объем производимой продукции слишком высок. Но в естественных монополиях
средние издержки падают с ростом выпуска в силу экономии от масштаба. А это,
как иллюстрирует рисунок 2 означает, что предельные издержки ниже средних.
Установление цены точно на уровне предельных издержек
означало бы производства продукции в объеме Ql и требовало бы
соответствующего изменения цены Pl, которая в этом случае оказывается ниже величины
средних издержек. Данная отрасль коммунального обслуживания несла бы потери; ее
балансовая прибыль, если таковая и имелась бы, не обеспечивала бы нормального
дохода на вложенный капитал.
Рисунок 3 - Регулируемая естественная монополия
Установление цены точно на уровне предельных издержек
означало бы производства продукции в объеме Ql и требовало бы
соответствующего изменения цены Pl, которая в этом случае оказывается ниже величины
средних издержек. Данная отрасль коммунального обслуживания несла бы потери; ее
балансовая прибыль, если таковая и имелась бы, не обеспечивала бы нормального
дохода на вложенный капитал. Таким образом, работники регулирующих агентств
должны пытаться устанавливать цены, максимально приближенные к предельным
издержкам, но вместе с тем обеспечивать получение дохода, достаточного для
возмещения издержек. Один из способов, с помощью которого можно было бы этого
добиться, заключается в использовании двухкомпонентного тарифа. Как уже
говорилось наиболее правильный и выгодный способ ценообразования в условиях
естественных монополий это установка цены на уровне предельных издержек, но при
этом издержки на производство не будут восполняться, чтобы избежать это используют,
так называемый двухкомпонентный тариф. Этот способ представляет собой систему
ценообразования, при которой пользователи платят фиксированную сумму за право
встать на обслуживание, а затем плата взимается за потребление каждой единицы
данного вида услуг (переменная плата) .
Более распространенный, но менее удовлетворительный подход
заключается в установлении цены на уровне средних издержек. Этот подход
проиллюстрирован на рисунке 4. Если ценообразование на основе двухкомпонентного
тарифа исключено, работники органов регулирования могут решить установить цену
равную P.
В этой точке доходы лишь возмещают издержки по удовлетворению спроса
потребителей на продукцию в объеме Q.
Существуют две проблемы, связанные с ценообразованием на
основе средних издержек. Первая: естественно объем производства будет меньше в
точке E,
и здесь будут иметь место социальные потери, но все же эта точка
предпочтительнее, чем точка Ell. Вторая: предельные издержки предприятий сфер
коммунального обслуживания имеют тенденцию к изменению во времени. К примеру
наращивание производства электроэнергии требует гораздо меньше затрат в ночное
время, когда работают только наиболее эффективные предприятия, чем в дневное
время, когда для удовлетворения спроса отрасль коммунального обслуживания часто
вынуждена работать на полную мощность. Цены должны отражать изменения величины
предельных издержек во времени; цены, базирующиеся на средних издержках, обычно
не могут это сделать должным образом.
Рассмотрим влияние фактора прибыли.
Попытаемся определить правило максимума прибыли для монополиста. Монополист
пытается максимизировать прибыль, увеличивая разницу между общим доходом и
общими издержками. Следовательно, для монополиста, верно, что в точке максимума
прибыли МR=МС
(т.е. предельный доход равен предельным издержкам).
Равенство предельного дохода предельным
издержкам для монополиста также является критерием для определения оптимального
объёма продаж (Qm). А поскольку монополист не может повлиять на спрос
потребителей, то для определения монопольной цены при данном объёме Qm необходимо подняться до
кривой спроса D.
Итак, монопольная цена будет равна Рm.
Если монополист захочет сократить объем
продаж, то он явно недополучит определенную часть возможной прибыли, так как
предельный доход МR. будет превышать предельные издержки МС. Если же монополист
захочет выиграть за счет реализации больших объемов продукции, чем Qm, то его прибыль
уменьшится по сравнению с максимально возможной из-за того, что его предельные
издержки МС будут во все большей мере превышать предельный доход МR. Таким образом,
условиями максимизации прибыли для фирмы-монополиста являются выпуск продукции
в объеме, при котором МR=МС, и реализация данного объема выпуска по цене Рm, соответствующей цене
спроса (для этого объема) .
Рисунок 4 - Выпуск и цена в условиях
чистой монополии
Рассмотрим фактор производства. Если цены всегда только
возмещают издержки, так что естественная монополия всегда получает нормальную
норму прибыли, есть ли у нее хоть какой-то стимул минимизировать издержки.
Естественно нет. В этих условиях ожидаемые издержки, а следовательно, и цены
были бы более высокими, чем необходимо. Это требует напряженной, подчас
неприятной работы по снижению издержек. А увеличение некоторых статей расходов,
таких, как большие оклады и "плюшевые" офисы для руководящих
работников, бассейны для сотрудников, кафетерии с дотируемыми ценами на обеды,
всегда только приятно. Бремя таких издержек целиком и полностью несут
потребители услуг данного субъекта.
Таким образом, применение экономического регулирования
необходимо для:
) Обеспечения баланса интересов потребителей (доступные цены)
и регулируемых предприятий (финансовые результаты, привлекательные для
кредиторов и новых инвесторов);
) Стимулирования предприятий к сокращению издержек и излишней
занятости, улучшению качества обслуживания, повышению эффективности инвестиций
и т.д.
) Определения структуры тарифов на основе принципов
справедливого и эффективного отнесения издержек на тарифы для различных типов
потребителей;
) Создания условий для развития конкуренции (например,
обеспечение открытого равного доступа конкурентов к информационным сетям) .
Выводы по главе 1:
В первой главе дали понятие естественной монополии и вывели
основные способы регулирования естественной монополии.
Способы регулирования - изменение институтов, структурирующих
взаимоотношения экономических агентов в области поставки товаров и услуг по
инфраструктурным сетям, в частности, организационное разделение
инфраструктурных сетей и операций по эксплуатации.
) Стимулирования предприятий к сокращению издержек и излишней
занятости, улучшению качества обслуживания, повышению эффективности инвестиций
и т.д.
3. Механизм
регулирования естественных монополий в условиях российской экономики
Характеристики производимой предприятиями
естественных монополий в инфраструктурных отраслях продукции позволяет
некоторым исследователям рассматривать их как общественное благо. Как известно,
общественное благо должно обладать признаками неисключаемости и несоперничества
потребителей. Если проанализировать характеристики продукции предприятий
естественных монополий, то можно увидеть, что эта продукция имеет отдельные
признаки общественного блага (с точки зрения поставщика электроэнергии на
оптовом рынке, практически невозможно прекратить поставку энергии покупателю на
оптовом рынке, фактически неисключаемой является услуга теплоснабжения в
моногоквартирном доме, и т.д.). Однако, с учетом того, что существует
возможность учета фактического потребления блага конкретным лицом, существует
допускаемая законодательно возможность исключения отдельных потребителей этого
блага, а также можно допустить соперничество потребителей, например, за
возможность подключения к ограниченной трансформаторной мощности, поэтому эти
товары (услуги) можно рассматривать только как квазиобщественное (смешанное)
благо. .
Само понятие естественной монополии
считается известным и легализованным в нашей стране с момента выхода
17.08.1997г. федерального закона "О естественных монополиях" . К
настоящему времени разработаны, официально утверждены и приняты к исполнению
концептуальные и программные документы о структурных социально-экономических
преобразованиях в сферах естественной монополии.
Государственному регулированию подлежит деятельность
субъектов естественных монополий в следующих отраслях: транспортировка нефти и
нефтепродуктов по магистральным трубопроводам; транспортировка газа по
трубопроводам; железнодорожные перевозки, услуги по передачи электрической и
тепловой энергии, общедоступной электрической и почтовой связи; услуги
транспортных терминалов, портов, аэропортов. В указанных сферах осуществляют
свою деятельность такие экономические субъекты, как РАО "ЕЭС России",
ОАО "Газпром", в действительности каждая из этих производственных
структур является иерархически организованной корпораций - монополистом и
представляет собой сложный конгломерат, что объясняет непрозрачность
информации, связанной с функционированием субъектов естественной монополии, и
сложность их индификации.
Естественные монополии в России не однородны с точки зрения
финансового положения их отраслевых подсистем, которые обладают в силу
специфики экономики отдельных инфраструктурных отраслей и дифференцированной
политики государственного регулирования различными возможностями формирования
инвестиционных ресурсов и фондов. Следовательно, при реформировании необходимо
предусмотреть и выявление и дополнительных, альтернативных государственным
(бюджетам различных уровней), источников финансирования инвестиционной и инновационной
деятельности в отрасли.
По данным Федеральной службы госстатистики, в 2012 году в
России было добыто 490,7 млн тонн нефти, что на 2,1% больше, чем в 2011 году.
При этом объем экспорта нефти составил 258,4 млн тонн (+4%). Объем реализации
нефти на внутреннем рынке составил 228,6 млн тонн (+3,8%) .
В обобщенном виде можно назвать следующие
важнейшие факторы, определяющие ход российских реформ в естественно-монопольных
отраслевых структурах:
) Проявление ряда ретроспективных
тенденций, сложившихся за рамками рассматриваемого периода, в том числе и
негативных, определяющих долгосрочные и устойчивые диспропорции в развитии
производственной инфраструктуры;
) Наличие макроэкономического фона
российских реформ, осуществление которых определяло мероприятия по
реформированию инфраструктурных отраслей;
) Генезис российского монополизма (любого,
естественного и "неестественного") - как административного,
инициированного "сверху", а не как сложившегося в процессе развития
рыночных отношений, - что привносит в процессы реформирования дополнительные
трудности (прежде всего при проведении институциональных преобразований);
)"Запаздывающий" характер реформ
в инфраструктурных отраслях в общем пакете мер по реформированию отраслей
народного хозяйства, - что в ряде случаев тормозит поступательный ход
социально-экономический преобразований в стране, и в то же время в силу
исключительной роли сетевых инфраструктурных объектов в отечественной экономике
зачастую демпфирует последствия не всегда обоснованных шагов по реформированию
на макроуровне;
) Магистральный характер транспортных и
энергетических сетей страны, особенности формирования их структуры и типологии,
влияющее на возможности развития конкурентных сред (как в рамках
внутриотраслевой, так межотраслевой конкуренции);
) Многообразие форм и способов (не всегда
полностью легитимных) проведения через отраслевые министерства комплекса
мероприятий
отраслевого характера, направленных на
выживание отрасли в новых хозяйственных условиях;
7) Особенности меропририятий по государственному
регулированию инфраструктурных отраслей в сфере их естественной монополии,
направленных на преодоление сращивания функций государственного управления и
хозяйствования в рамках единого субъекта и ориентированных на обеспечение
эффективности деятельности естественно-монопольных отраслевых структур в
интересах общества.
Ценовая политика естественных монополий
является одним из главных рычагов регулирования деятельности, направленных на
обеспечение стабильности и единства экономического пространства страны.
Во всех отраслях с высоким удельным весом
постоянных издержек в России в той или иной мере присутствует государственное
регулирование. Последнее характерно для черной и цветной металлургии, авиа - и
судостроения, производства ядерных материалов и добывающей промышленности, а не
только коммунального хозяйства, энергетики и железнодорожного транспорта.
Государственное регулирование осуществляется в разных формах: прямого
регулирования тарифов и цен, установления специальных таможенных правил, разрешения
или запрещения на слияния и разукрупнение. Как представляется, проблема
заключается здесь не только в специфике производства и реализации, сколько в
том, что действующая структура номинальных показателей во многом остается не
рыночной, не позволяющей осуществлять процесс расширенного воспроизводства в
капитальных отраслях. Это, в свою очередь, связано с характеристиками
российского финансового рынка (что является дополнительной асимметрией
отечественной модели национальной экономики), но не только. Наличие
перекрестного субсидирования связано с институциональными факторами и требует
политических решений.
Основными рычагами государственного влияния на производителей
являются тарифные (экспортные пошлины, ценовое регулирование) и нетарифные
(квотирование). О нецелесообразности введения квот свидетельствует тот факт,
что в соответствии с уставом Всемирной налоговой организации они запрещены для
ее стран-участниц. От них удалось отказаться в 1993-1995 гг. и в России. Однако
в правительстве эта идея возникает вновь, и в случае ее реализации может вновь
возродиться система спецэкспорта, а, следовательно, усилиться коррупция.
Длительное время у нас использовался в
основном затратный метод определения цены на товары и услуги естественных
монополий. Его недостатками являются: определение цены на уровне "средних
издержек", что ведет к дискриминации результатов деятельности достигнутых,
в ходе честной конкуренции; отсутствие механизмов стимулирования повышения
эффективности и сдерживания роста издержек; исключение действия случайных
факторов, таких, как погодные условия или общеэкономические условия;
необходимость сложной детализации затрат и группировки их на основе какого -
либо принципа (например объема производства, величина продаж, получаемые
прибыли и др.). Более перспективным является стимулирующее регулирование, т.е.
регулирование верхнего предела тарифа без жестких ограничений на норму прибыли.
Суть данной модели заключается в установлении на согласованный срок формулы
расчета ежегодного тарифа, который включает дефлятор и фактор повышения
производительности труда.
Региональные власти не должны использовать
"живые" бюджетные деньги для решения проблем неплатежей, возникающих
вокруг и при участии предприятий естественных монополий. Речь может идти только
о взаимозачетах по реальной рыночной стоимости товаров. Тем самым и
региональными властями, и корпорациями естественных монополий будет оказываться
реальная поддержка отечественным производителям - немонополиста.
В качестве главных задач реформирования естественных
монополий выделены:
) Cовершенствование системы регулирования естественных монополий, а
также дерегулированию видов деятельности, не относящихся к сфере естественных
монополий, и формирование рынков этих видов деятельности на основе конкуренции;
) Повышение транспарентности естественных монополий,
прозрачности финансовых потоков субъектов естественных монополий;
) Поэтапное прекращение практики перекрёстного субсидирования
различных групп потребителей при одновременной адресной поддержки социально
незащищенных групп населения;
) Углубление правовой регламентации взаимоотношение между
участниками естественно-монопольных рынков, публичности цен (тарифов), введения
единых правил доступа к сети на недискриминационной основе.
ОГК и ТГК. При этом акции РАО ЕЭС должны быть разделены
пропорционально между своими акционерами.
Во-вторых, внесена ясность в вопрос о том, станет ли
электрогенерация частной. Согласно предложениям РАО ЕЭС, государство должно
получить контрольные пакеты только в монопольном секторе - в Федеральной
сетевой компании (ФСК) и в системном операторе (СО). Что касается генерирующего
сектора, то у государства сохранится контроль лишь в гидроэнергетике в рамках
соответствующей ОГК. В тепловых ОГК доля государства не превысит 48-49%, а в
ТГК будет колебаться в пределах 15-25%.
Реформирование газовой отрасли
Реформирование газовой отрасли также предполагало выделение
естественно монопольной (Транспортировка и распределение газа) и потенциально
конкурентной (газодобыча и газоснабжение) сфер с их последующим организационным
обособлением. Однако специфика газовой отрасли обуславливает особенности ее
реформирования по сравнению с другими естественными монополиями и прежде всего
электроэнергетикой.
Во-первых, газ можно накапливать, а потому необходимо
обеспечить доступ сторонним производителям к его хранилищам. Во-вторых,
структура издержек в газовой отрасли сложнее, а их уровень намного выше, чем,
например, в электроэнергетике. Потребность в крупных инвестициях в газодобычу
определяет нежелание рисковать в условиях либерализованных оптовых рынков и
вынуждает формировать стратегию сбыта на базе долгосрочных контрактов. В
результате оценки потенциальных выгод от либерализации в газовой отрасли не так
однозначны, как, скажем в электроэнергетике.
В России, видимо, нет необходимости специально форсировать
разделение добывающего сегмента самого газового монополиста. Активными игроками
на рынке газа могут стать нефтяные компании и другие независимые газодобытчики,
например, формально независимая от "Газпрома" компания
"Итера". При этом для нормального развития конкуренции важно
обеспечить для всех субъектов рынка равный доступ к трубопроводам и хранилищам.
Одновременно решать и проблему перекрестного субсидирования, которая для
газовой отрасли является еще более острой, чем для электроэнергетики.
По данным Федеральной службы госстатистики, в 1-м полугодии
2012 года в России добыто 241,7 млн тонн нефти, что на 0,6% меньше, чем в
январе-июне 2011 года. При этом объем экспорта нефти составил 122,5 млн тонн
(-5,2%). Объем реализации нефти на внутреннем рынке увеличился на 3,9% до 116,2
млн тонн.
Удельный вес экспорта нефти в общем объеме российского
экспорта в январе-июне 2008 г. составил 36,4%, в экспорте
топливно-энергетических товаров - 52,3% (в 1-м полугодии 2012 г.,
соответственно, 33,9% и 53,4%) .
Сам "Газпром" выступает за полную либерализацию
рынка с 2006 г., а независимые газопроизводители уже сейчас поставляют объемы
газа по свободным ценам ("Сургутнефтегаз", "Итера").26
"Газпром", здесь выделение
конкурентного сектора наталкивается на трудности, связанные с тем, что большая
часть газа (более 90%) добывается в трех-четырех месторождениях на севере
Западной Сибири. Другие месторождения или попутный нефтяной газ пока не могут
конкурировать с ними по издержкам или по размерам добычи, разве только на
местных рынках. Кроме того, как крупный экспортер "Газпром" предпочтителен
в качестве одной компании. Здесь принципиально важные направления
реформирования - не внутриотраслевая конкуренция, а прозрачность, улучшение
управления и равный доступ к газопроводам независимых производителей.
Радикального сокращения издержек конкуренция не сулит.
В России могут возникнуть условия для
конкурентного газового рынка и, стало быть, для реформирования
"Газпрома" по стандартной схеме (выделение конкурентного сектора)
только при исчерпании крупнейших месторождений и выравнивании издержек на них с
другими, более бедными и дорогими месторождениями (Оренбург, Ставрополь) или с
попутным газом. Но тогда мы уже не сможем быть крупным экспортером, а
внутренние цены придется повышать на порядок.
Реформирование "Газпрома" и МПС
вряд ли принесет эффект в виде снижения издержек и цен. Кроме того, учитывая
размеры нашей территории и редкость населения, пассажирские перевозки на
железнодорожном и авиационном транспорте по социальным соображениям, вероятно,
разумно будет субсидировать.
Из сказанного следует, что реформирование
естественных монополий не позволит решить задачу выравнивания относительных цен
и условий конкуренции, от сокращения масштабов нерыночного сектора. Реформы,
кроме энергетики, не являются столь актуальными, как казалось.
Они скорей должны рассматриваться в рамках
реформы управления государственным сектором, а не как фактор снижения цен и
тарифов. Причем едва ли не главная их проблема - обеспечение прозрачности,
прекращение злоупотреблений, публичный контроль.
Маневр с изменением относительных цен.
После сказанного можно вернуться к
проблеме сокращения нерыночного сектора и выравнивания относительных цен с
целью оценки масштабов и последствий того маневра, который представляется
необходимым для здорового развития экономики.
Суть проблемы мы теперь можем
сформулировать следующим образом.
Через механизм регулируемых цен на
продукты естественных монополий государство субсидирует экономику, а также
население.
Экспортные отрасли получают повышенную
прибыль, правда, за вычетом неэффективного использования топлива и энергии.
Таким образом отчасти поддерживается экспорт, искусственно создаются
конкурентные преимущества российских экспортеров, особенно сырьевых.
В неэкспортных отраслях субсидирование
через цены и тарифы естественных монополий позволяет сохраняться неэффективным
предприятиям, занижаются критерии эффективности. Приведенные выше данные о доле
нерыночного сектора в промышленности были бы существенно иными при повышении
этих цен в два-три раза (доля предприятий с отрицательной добавленной стоимостью
предположительно в полтора-два раза выше). В результате тормозится процесс
модернизации, ослабляются мотивации к ней.
Реформа правительства России, задуманная
президентом Путиным в 2008 году, оказалась также и сигналом к началу
реформирования "Газпрома" как крупнейшей российской естественной
монополии. Стало очевидно, что реформу надо проводить быстро и что начинать ее
следует "с головы" - с грамотной, современной постановки
стратегических задач, с сокращения избыточных функций центрального аппарата
Современная постановка задач требует
отказа от прежнего взгляда на "Газпром" как на сплетение труб,
соединяющих земные недра с газовой горелкой. Сегодня даже монополист может
развиваться лишь в том случае, если во главу угла ставится задача увеличения
стоимостных показателей. В том числе и рост наиболее важного для акционеров
показателя - добавленной стоимости компании. Только опираясь на названные
критерии, можно сегодня эффективно анализировать состояние дел в
"Газпроме" и строить современную успешную стратегию развития
компании.
Устаревшие подходы к управлению
"Газпромом" привели к тому, что этот гигант давно перестал быть
саморазвивающейся системой. Не предприняты реальные шаги к росту добычи газа, а
разработка таких месторождений, как "Заполярное", "Песцовое"
и другие, выглядит лишь попыткой создать видимость стабилизации. Постоянное и
непродуманное усиление централизации функций привело к фактическому коллапсу
управления, поскольку руководитель компании Алексей Миллер по своим лидерским
качествам в большей степени успешен в управлении децентрализованном.
Забюрокрачивание управления компанией сделало невозможным как полноценное
внедрение, так и разработку новых технологий в области газовой промышленности.
Бюджетирование, управленческий учет, управление себестоимостью и другие
общепонятные современные инструменты, а также стоимостные критерии оценки
эффективности деятельности ведущих топ-менеджеров присутствуют в деятельности
компании лишь формально, что превращает "Газпром" в хорошо отлаженный
министерский механизм по перекладыванию бумаг. Любопытно, что это понимает
большинство топ-менеджеров "Газпрома", но справиться с этим они не
могут - им некогда, их заедает текучка, потому что система управления компанией
по сей день не разделена на равнозначные операционный блок и блок развития.
Результатом этих и иных недостатков в управлении компанией стал рост
операционных издержек и соответственно падение доходности. Сегодня стоимость
"Газпрома" не падает только благодаря коротким и удивляющим всех PR-акциям,
а также ожиданиям изменений со стороны инвесторов.
Существуют серьезные проблемы и в подходах
к управлению собственностью "Газпрома". Перспективы создания
совместных предприятий по разработке месторождений с российскими и зарубежными
компаниями, а также любых иных альянсов руководство "Газпрома" явно
переоценило как с точки зрения эффективности, так и с точки зрения стоимости.
Очевидно, что при слабом "Газпроме" любые слияния - это путь к
будущему поглощению "Газпрома". Стратегия же мелких недружественных
поглощений сторонних компаний, которую проводит сегодня "Газпром", не
имеет под собой единой идейной основы. Сегодня же "Газпром",
слабеющий по всем показателям и пытающийся любыми средствами удержаться на
очень заманчивом для него уровне добычи, становится все более похожим на
советское государство брежневских времен, которое изо всех сил и с непонятными
целями наращивало оборонную мощь, на чем и надорвалось.
Ощущение неизбежности перемен, несомненно,
присутствует как у акционеров "Газпрома", так и у его руководителей.
Однако зачастую предложения по реформированию оказываются до неприличия
примитивными. Например, предлагают механически поделить "Газпром" на
три части, потом на шесть частей, затем на десять. Обсуждают подконцепции с
разделением частей на подчасти. Можно, конечно, пойти по такому пути, налаживая
эффективное управление на отдельных участках. Однако какая от этого польза
акционерам? Ведь очевидно, что реализация адекватной бизнес-модели развития
"Газпрома" в целом даст компании большую стоимость, чем суммарная
стоимость отдельных ее частей. Кроме того, мировой опыт разделения крупных
компаний говорит о ряде весьма негативных последствий такого разделения, в
числе которых - значительный рост цены энергоносителей и неразбериха в
газоснабжении.
Перед "Газпромом" стоит задача
повышения стратегической управляемости компании. Значит, необходимо формировать
новую команду топ - менеджеров, новую оргструктуру и иные принципы развития и
управления. Менеджмент должен быть готов к существенным изменениям, и до его подготовки
бесполезно даже вести разговор об амбициозных планах. Как показывает опыт
изменения структуры управления крупнейшими мировыми компаниями, без длительной
и трудной кампании "внутреннего PR", разъясняющего персоналу
необходимость перемен, никак не обойтись. И начинать такую кампанию надо уже
сейчас.
В целом же стратегия развития
"Газпрома" должна представлять собой систему простых и понятных мер.
Необходимо избавить компанию от всех производственных и большинства иных,
мешающих ее развитию функций. Сформировать иную систему центров финансовой
ответственности, сделав основные дочерние предприятия "Газпрома" хотя
бы центрами прибыли, оставив их по-прежнему в 100-процентной собственности
материнской компании. Сформировать для топ - менеджмента ключевые показатели
эффективности, ориентированные на рост стоимости компании. Результат будет
практически мгновенным: резко упадет себестоимость добычи газа и его прокачки
по газопроводам, снимутся проблемы с разрешением на допуск к "трубе"
независимых производителей газа, так как "труба" станет ориентирована
на прибыль. Проблема ремонта изношенных на 50% трубопроводов не будет выглядеть
столь катастрофически - найдутся принципиально новые способы ремонта (которые,
кстати, уже разработаны), и стоимость ремонта упадет в несколько раз. Появятся
инвесторы, которые с высокими маржой и гарантиями будут договариваться
непосредственно с "трубой", минуя нынешние бесконечные и
дорогостоящие бюрократические механизмы. Существенно увеличится доход как от
добывающих дочерних предприятий "Газпрома", так и, в особенности, от
зарубежных продающих. Следовательно, снизится дебиторская задолженность, и у
"Газпрома" вдруг появятся (условно говоря, "ниоткуда")
необходимые для инвестиций средства.
На поверхности лежат, и решения по оптимизации
производственной части - такие, как низкозатратное развитие средних и мелких
месторождений в центральной части России, в Ростовской области. В среднесрочной
перспективе (после повышения капитализации) необходима диверсификация рынка за
счет развития газопотока в сторону Китая и в целом Востока. Актуальны также
отделение от "Газпрома" всего сервиса и выгодная реализация
непрофильных активов - однако понимание "непрофильности" активов
должно быть выработано не менеджерами монополии, а ее акционерами или, в
крайнем случае, советом директоров. Назрели также проблемы формирования по
проектному принципу единого НИОКРа, а также создания модели недр, позволяющей
управлять процессами разработки и добычи в режиме реального времени.
Путь суперкомпании, какой является
"Газпром", до заслуженного ею места в ряду иных сверхмощных компаний
должен быть не постепенным и вялым, а быстрым и решительным. У
"Газпрома" есть все условия для начала такого прорыва: громадные
запасы сырья, развитая структура газопроводов, монопольное положение на
большинстве рынков, программа распространения бизнеса на естественное
продолжение - электроэнергетику, химию и нефтехимию, а также и на смежные
отрасли - нефтедобычу и нефтепереработку.
Заключение
1) Функционирование всех естественных
монополий связано с созданием и поддержанием в работоспособном состоянии
больших инфраструктурных объектов. При этом эффект масштаба создает
существенные ограничения для входа рынков новых участников. Технологический
аспект функционирования естественных монополий. В технологическом плане
магистральные электрические сети, магистральные нефте- и газопроводы, железные
дороги и аэропорты представляют собой естественно-монопольные сетевые и
инфраструктурные системы.
2) Систематизируя методы государственного регулирования
естественных выводов, пришла к выводу, что издержки должны минимизироваться, а
цены определяться на основе предельных издержек. Органы регулирования должны
соблюдать баланс между интересами потребителей, которые желают низких цен, и
экономической жизнеспособностью производителя. С учетом этих замечаний
необходимо выполнение следующих основных правил регулирования деятельности
естественных монополий:
) Цены должны быть максимально приближены к предельным
издержкам.
) Прибыли должны обеспечивать только нормальную норму
прибыли.
) Производство должно быть эффективным
) Программа, благоприятствующая потребителям посредством
установления цен гораздо ниже себестоимости, приведет к скорому банкротству
регулируемых фирм или потребует значительного увеличения налогов для возмещения
убытков государственного производства.
Проблема регулирования тарифов. За время самостоятельной
хозяйственной деятельности на рынке сформировались определенные интересы,
требующие более сложных подходов, чем прямое установление гостарифов на
основную деятельность монополии. Нужно стремится к частичной либерализации
тарифной политики и получению права самостоятельно изменять ставки тарифов (в
сторону как повышения, так и понижения) в целях поддержания
конкурентоспособности.
4) Главный вывод - для решения
накопившихся проблем в регулировании естественных монополий требуется реформа
сферы регулирования, включающая обеспечения подлинной независимости
регулирующих органов, приверженных поддержанию стабильности данной сферы, и
резкое сокращение огромных скрытых субсидий в этом секторе. Реализация
названных мер приведет к созданию более рациональных экономических стимулов в
сфере энергопроизводства и потребления и может способствовать привлечению
необходимых инвестиций и предотвращению энергетического кризиса. Мировой опыт
также свидетельствует о возможных значительных выгодах от осуществления
организационных реформ, разделяющих функции передачи и распределения как сферу
естественной монополии от функций производства и снабжения, содействуя, таким
образом, развитию конкурентных рынков, основанных на равном доступе к сетям.
Однако воплотить такие реформы в жизнь оказалось нелегко даже в странах с
развитыми регулирующими институтами. В России успешность подобных реформ будет
в очень большой степени зависеть от реализации мер в области регулирования.
Таким образом, государственное
регулирование естественных монополий является одним из главных факторов
обеспечивающих нормальное функционирование экономики. Если предприятие не
находится в государственной собственности, то его регулирование сводится к
следующему: либо цены устанавливаются на уровне средних издержек монополии,
либо применяются двух компонентные тарифы, предусматривающие отдельную и
фиксированную плату за доступ к получению услуг, а также оплату каждой единицы
оплаченных услуг.
Законодательство, регулирующее
деятельность естественных монополий должно быть разумным и продуманным, т.к.
чрезмерно жесткое применение методов регулирования может привести к дисбалансу
сформировавшихся рыночных отношений и вызвать недовольство со стороны
работников крупных организаций.
Законы, регулирующие деятельность
естественных монополий, имеют большое значение для современной России, но их
реальное применение сталкивается с определенными трудностями и проблемами.
Список
использованной литературы
1.
Авдашева С. Модернизация антимонопольной политики России. / С. Авдашева, А.
Шаститко / Вопросы экономики - 2005. - №5 - С.101 - 116
2. Белоусова Н. О государственном реформировании естественных
монополий в экономике России / Н. Белоусова // Общество и экономика. - 2004. -
№1. - С. 19 - 45
3.
Белоусова Н.И. Реформирование естественной монополии в России - теоретический
аспект/Н. И Белоусова, Е.М. Васильева, В.Н. Лившиц // ЭКО - 1999. - №4 - С.85 -
192
.
Белоусова Н. И Реформирование естественной монополии в России - законодательные
аспекты/ Н.И. Белоусова, Е.М. Васильева, В.Н. Лившиц // ЭКО - 2001. - №4 - 46 -
С.94
.
Вильсон Дж. Естественные монополии в России: история и перспективы развития
системы регулирования /Дж. Вильсон, В. Цапелик // Вопросы экономики - 1995. -
№11 - С.124 - 152
6. Газовая промышленность и электроэнергетика: меры
регулирования и реформы (из экономического обзора ОЭСР) // Вопросы экономики. -
2005. - №6. - С.32 - 48
7.
Городницкий А. Реформирование естественных монополий / А. Городницкий, Ю.
Повленко // Вопросы экономики - 2004. - №1 - С.96 - 123
.
Дерябина М. Реформирование естественной монополии: теория и практика / М.
Дерябина // Вопросы экономики - 2006. - №1 - С.102 - 121
.
Житков В.Б., Россия в цифрах 2008. Краткий статистический сборник / В.Б.
Житков, Н.И. Парашинцева / Москва, 2008. - 510 с.
10. Ивашковский С.Н. Экономика: микро - и макроанализ:
учеб-практ. пособие. - 2-е изд., испр. и доп. / С.Н. Ивашковский // Москва,
Дело, 2005. - 376 c.
. Иохин В.Я. Экономическая теория: учебник для вузов по экон.
спец. / Иохин В.Я. - Москва, 2001. - 862 c.
. Крупорницкая И. Повышение конкурентоспособности газовой
промышленности / Крупорницкая И. // ЭКО. - 2005. - №12 - С.109 - 118
13.
Мартусевич Р. Конкурсы за концессии в отраслях естественной монополии/ Р.
Мартусевич // Вопросы экономики - 2008. - №4 - С.141 - 156
.
Нуреев Р.М. Курс микроэкономики: учебник для вузов. - 2-е изд. / Нуреев Р.М. -
Москва, НОРМА, 2007. - 572 с.
15. Ореховский П. Асимметрия в национальных моделях
экономики: роль естественных монополий / П. Ореховский // Муниципальная
экономика - 2005. - №2 - С.6 - 13
. Розанова Н. Роль государственной промышленной политики /
Розанова // Вопросы экономики - 2002. - №5 - С. 19 - 39
17.
Розанова Н. Эволюция антимонопольной политики России: проблемы и перспективы. /
Розанова Н. // Вопросы Экономики - 2005. - №5 - С.117 - 131
.
Солодкин В.Л. Российский статистический ежегодник 2009г. / ред.В.Л. Солодкин /
Росстат - 2009. - 759 с.
.
Тарасевич Л. С Журнал-учебник 50 лекций по микроэкономике "Экономическая
школа". Выпуск 5. / Тарасевич Л.С., Гальперин В.М., Игнатьев С.М. / Москва
- 2004. - 1400 c.
20. Федеральный закон РФ "О естественных
монополиях" от 17.08.1995г. №147-ФЗ - Собрание законодательства РФ №34, 21
августа 1997г. Официальное издание
. Чепурина М.Н. Курс экономической теории: учебник / под ред.
М.Н. Чепурина, Е.А. Киселевой.4-е изд., доп. и перераб. - Киров, АСА - 2002. -
752 с.
22.
Вильямсон О. Меры экономики / Вильямсон О Amer. Econ. Rev., 1990. - 677 с.
23. Электронный
словарь "Economicus". [Электронный ресурс] - Режим
доступа: http://dictionary. economicus.ru
<http://dictionary.economicus.ru> 25.10.10 - Загл. с экрана.
. Госстат
[Электронный ресурс] - Режим доступа: <http://www.gosstat.ru/> 25.10.10 -
Загл. с экрана.
. Бюрократы URL: http://www.burocrats.ru/news (дата
обращения 25.10.10)