Изобарно-изотермический потенциал в стандартных и нестандартных условиях

  • Вид работы:
    Реферат
  • Предмет:
    Химия
  • Язык:
    Русский
    ,
    Формат файла:
    MS Word
    48,73 Кб
  • Опубликовано:
    2014-09-22
Вы можете узнать стоимость помощи в написании студенческой работы.
Помощь в написании работы, которую точно примут!

Изобарно-изотермический потенциал в стандартных и нестандартных условиях

Федеральное государственное бюджетное образовательное учреждение высшего профессионального образования

«Ульяновский государственный технический университет»

Кафедра «Химии»









Реферат

по дисциплине «Физическая химия»

ИЗОБАРНО-ИЗОТЕРМИЧЕСКИЙ ПОТЕНЦИАЛ В СТАНДАРТНЫХ И НЕСТАНДАРТНЫХ УСЛОВИЯХ


Выполнила:

Янова С.М.




Ульяновск 2015г.

Содержание

Введение

. Изобарно-изотермический потенциал

. Стандартный изобарно-изотермический потенциал и его изменение

. Изменение изобарно-изотермического потенциала при нестандартных условиях

Заключение

Список литературы

Введение

Гиббса энергия (изобарно-изотермический потенциал, свободная энтальпия), один из потенциалов термодинамических системы. Обозначается G, определяется разностью между энтальпией H и произведением энтропии S на термодинамическую температуру Т: G = H - T·S. Изотермический равновесный процесс без затраты внешних сил может протекать самопроизвольно только в направлении убывания энергии Гиббса до достижения ее минимума, которому отвечает термодинамическое равновесное состояние системы. Названа по имени Дж.У. Гиббса.

Целью данного реферата является изучение изобарно-изотермического потенциала.

Задачи:

рассмотреть изменение изобарно-изотермического потенциала при нестандартных условиях

1. Изобарно-изотермический потенциал

Энергия Гиббса - это величина, показывающая изменение энергии в ходе химической реакции и дающая таким образом ответ на вопрос о принципиальной возможности протекания химической реакции; это термодинамический потенциал следующего вида:

G = U+PV-TS

Энергию Гиббса можно понимать как полную химическую энергию системы (кристалла, жидкости и т.д.)

Понятие энергии Гиббса широко используется в термодинамике и химии [1].

Самопроизвольное протекание изобарно-изотермического процесса определяется двумя факторами: энтальпийным, связанным с уменьшением энтальпиисистемы (ΔH), и энтропийным T ΔS, обусловленным увеличением беспорядка в системе вследствие роста её энтропии. Разность этих термодинамических факторов является функцией состояния системы, называемой изобарно-изотермическим потенциалом или свободной энергией Гиббса (G, кДж)

Классическим определением энергии Гиббса является выражение

G = U+PV-TS,

Где U - внутренняя энергия,

P - давление,- объём,

T - абсолютная температура,

S - энтропия.

Дифференциал энергии Гиббса для системы с постоянным числом частиц, выраженный в собственных переменных - через давление p и температуру T:

dG= -SdT+VdP.

Для системы с переменным числом частиц этот дифференциал записывается так:

dG= -SdT+VdP + µdN.

Здесь µ - химический потенциал, который можно определить как энергию, которую необходимо затратить, чтобы добавить в систему ещё одну частицу [2].

. Стандартный изобарно-изотермический потенциал и его изменение

Изобарно-изотермический потенциал G является функцией состояния, зависит только от начального и конечного состояния системы, вещества. Поэтому эта функция также проявляет аддитивные свойства, т.е. общий изобарно-изотермический потенциал системы равен сумме потенциалов отдельных ее частей (отдельных веществ):


и, как следствие, его изменение ∆G определяется также законом Гесса:

∆Gреакции = Σ ∆Gпродуктов - Σ ∆Gисход. в-ва.

Чтобы можно было сравнивать изобарно-изотермические потенциалы, производить с ними алгебраические действия, необходимо их относить к одним и тем же условиям. По аналогии со стандартными значениями изменения энтальпии (∆Н0 298 и ∆Н0 Т) и энтропии (S0 298 и S0 T) пользуются системой стандартных энергий Гиббса ∆G0 298 и ∆G0 Т образования данного вещества. Для простых веществ (О2 газ, F2 газ, N2 газ, Feкр., Cuкр. и т.п.), устойчивых в стандартном состоянии, принимается значение изобарно-изотермического потенциала ∆G0 298 = 0. Обычно в термодинамических справочниках значения функций состояний приведены для Т = 298 К. Значение ∆G зависят от концентрации.

Принято для характеристики химических процессов пользоваться значениями ∆G0 298, отвечающими условиям, когда парциальное давление (концентрации) всех реагентов в течение всего процесса остаются неизменными и равными единице. Это условие предполагает состав реакционной смеси неизменным, и молчаливо допускается, что количество всех веществ в реакционной зоне несоизмеримо больше, чем количество прореагировавших и образовавшихся веществ по уравнению реакции. Так, например, для реакции: Н2газ + 0,5 О2 газ = Н2О газ, для которой изменение изобарного потенциала ∆G0 298 = -228,8 кДж/моль, предполагается следующее. В достаточно большом количестве смеси (водорода, кислорода, водяных паров), взятой при 25 °C, в которой парциальные давления всех компонентов равны РН2 = РО2 = РН2О = 101 325 Па (общее давление составляет 3·101325 Па, все газы идеальны), если бы прореагировало по одному молю Н2 и 0,5 моль О2, то в результате энергия Гиббса уменьшилась бы на 228,8 кДж/ моль. Применим закон Гесса к указанной реакции и рассчитаем изменение свободной энергии ∆G0, без отдельных расчетов изменения энтальпии и энтропии процесса, используя табличные данные энергии Гиббса образования исходных веществ и продуктов реакции: ∆G0 реак. = Σ∆G0 продук. - Σ∆G 0 исход. в-ва. Или, используя стандартные табличные значения, получим: ∆G0 реак. = (∆G0 Н2О газ) - (∆G0 Н2 газ + 0,5 ∆G0 О2 газ) = -226,8 кДж/ моль. Рассчитанные ∆G0 298 для стандартных условий и соответствующие выводы о характере процессов, нужно осторожно переносить на другие условия протекания процессов. Значения ∆S и ∆G сильно зависят и от концентрации реагирующих веществ и температуры.

Конечно, если для стандартных условий ∆G0 298 значительно меньше нуля, то можно считать, что и при любых реальных условиях прямой процесс возможен (и наоборот, если ∆G0 298 > 0, то осуществима обратная реакция). Другими словами, нельзя подменять величину ∆G0 Т при любой другой температуре величиной ∆G0 298. Для получения сугубо ориентировочных данных можно считать, что: ∆G0 T ≈ ∆Н0 298 - Т ∆S0 298, но здесь не учтена зависимость ∆Н и ∆S от температуры. Воспользоваться приведенным выражением можно, но с одним условием, что при переходе системы от стандартных условий (температуры) к изучаемым при температуре Т, не происходят фазовые превращения, т. к. это связано с резкими изменениями энтропии системы [3].

. Изменение изобарно-изотермического потенциала при нестандартных условиях

В практической деятельности стандартные условия почти никогда не осуществляются. Процессы протекают с произвольными количествами реагирующих веществ и продуктов реакции. И решение вопроса о возможности протекания реакции в данных условиях (концентрациях, парциальных давлениях, температуре), выходе реакции (константе равновесия) остается открытым. Чтобы ответить на этот вопрос, вернемся к выражениям: G = G0 + nRT ln р, или другой формулой, если учитывать активные концентрации: G = G0 + nRT ln а.

Предположим, что протекает процесс при нестандартных условиях (с неравновесными парциальными давлениями участников или неравновесными активными концентрациями) в соответствии с уравнением aА + bB ↔ dD + fF, для которого изменение изобарного потенциала составит ∆Gреак. = ΣGпродук. - ΣGисход.в-ва. или ∆Gреак. = (GD + GF) - (GA + GB). Тогда, принимая во внимание изобарные потенциалы каждого участника реакции, число молей участвующих компонентов, и подставляя их в последнее выражение, получим изменение изобарно-изотермического потенциала для этой реакции:


или для растворов через активные концентрации:


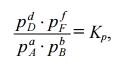
Преобразуем несколько последние выражения. Константа равновесия (Кр или Кс) реакции при стандартных условиях связана с изменением изобарно-изотермического потенциала ∆G0 при стандартных условиях соотношением ∆G0 = - RT ln Kp, или ∆G0 = - RT ln Kс.

Заменим в уравнениях изменение стандартного потенциала через логарифмическую форму константы равновесия. При этом уравнения преобразуются в выражения:

Если эти выражения разности логарифмов представить в виде логарифма дроби, то получим:


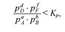
Полученные уравнения носят название уравнений изотермы химических реакций или уравнений изотермы Вант-Гоффа. С их помощью, зная константу равновесия при каких-либо условиях (например, стандартных) и неравновесные парциальные давления (активные концентрации), можно определить знак изобарного потенциала и, следовательно, возможность прохождения реакции. Если соотношение неравновесных парциальных давлений, например, и константы равновесия меньше единицы, т.е.

изотерма энтальпия энергия химия



Их соотношение равно единице, а изменение изобарно-изотермического потенциала ∆G =0, т.е. система находится в равновесии. И преимущественного протекания прямой или обратной реакции не происходит. При обратном соотношении, т.е. когда изменение изобарно-изотермического потенциала ∆G >0. А это означает, что в системе имеется избыток продуктов по отношению к равновесному состоянию, и самопроизвольное протекание прямой реакции невозможно. Идет обратная реакция до тех пор, пока не будет достигнуто равновесное состояние [3].


Заключение

Таким образом, можно сделать вывод, что Энергию Гиббса можно понимать как полную химическую энергию системы (кристалла, жидкости и т.д.)

Понятие энергии Гиббса широко используется в термодинамике и химии.

Самопроизвольное протекание изобарно-изотермического процесса определяется двумя факторами: энтальпийным, связанным с уменьшением энтальпии системы (ΔH), и энтропийным T ΔS, обусловленным увеличением беспорядка в системе вследствие роста её энтропии. Разность этих термодинамических факторов является функцией состояния системы, называемой изобарно-изотермическим потенциалом или свободной энергией Гиббса (G, кДж).

Список литературы

1. Я Класс [Электронный ресурс] / Химическая термодинамика. Энергия Гиббса.

. Физическая химия Практикум для студентов, обучающихся по специальности 330200 «Инженерная защита окружающей среды»: учебное пособие / В.Т. Письменко, Е.Н. Калюкова. - Ульяновск: УлГТУ, 2009. - 230с.

Похожие работы на - Изобарно-изотермический потенциал в стандартных и нестандартных условиях

 

Не нашли материал для своей работы?
Поможем написать уникальную работу
Без плагиата!
Без нейросетей!