Електрокаталітичні властивості композиту Au-поліанілін у реакціях окиснення неорганічних субстратів

  • Вид работы:
    Дипломная (ВКР)
  • Предмет:
    Химия
  • Язык:
    Украинский
    ,
    Формат файла:
    MS Word
    2,33 Мб
  • Опубликовано:
    2014-11-01
Вы можете узнать стоимость помощи в написании студенческой работы.
Помощь в написании работы, которую точно примут!

Електрокаталітичні властивості композиту Au-поліанілін у реакціях окиснення неорганічних субстратів

Зміст

Перелік умовних позначень

Вступ

Розділ 1. Літературний огляд

.1 Електропровідні полімери, їх синтез та властивості

.2 Поліанілін. Основні форми поліаніліну

.2.1 Синтез поліаніліну

.2.2 Електрохімічний синтез поліаніліну

.2.3 Механізм полімеризації поліаніліну

1.3 Синтез наночастинок золота

1.4 Синтез тонких, функціональних плівок поліаніліну

1.4.1 Струмопровідні композити на основі співполімеру поліанілін-меркаптополіанілін модифіковані золотими наночастинками

.5 Електрокаталітичні властивості металонаповнених полімерних композитів

Розділ 2. Охорона праці та безпека в надзвичайній ситуації

2.1 Аналіз стану умов праці

.1.1 Характеристика лабораторії

.1.2 Характеристика процесу праці

.1.3 Аналіз методів дослідження та характеристика обладнання

.1.4 Характеристика об’єкта дослідження, речовин, їхніх небезпечних властивостей

.2 Організаційно - технічні заходи

.2.1 Організація робочого місця і роботи

2.2.2 Санітарно-гігієнічні вимоги до умов праці

.2.3 Заходи щодо безпеки під час роботи з обладнанням, об’єктом дослідження і речовинами

.3 Безпека в надзвичайних ситуаціях

.3.1 Протипожежні та противибухові заходи

.3.2 Організація евакуації працівників

2.4 Висновки до розділу

Розділ 3. Експериментальна частина

.1 Характеристика реактивів

.2 Обладнання

.3 Експериментальні методики

.3.1 Метод циклічної вольтамперометрії (ЦВА)

.3.2 Електронна мікроскопія

.3.3 Методика осадження поліаніліну

.3.4 Методика синтезу композиту

Розділ 4. Експериментальні результати та їх обговорення

4.1 Електрохімічний синтез -SH функіоналізованої поліанілінової плівки

.2 Окиснення попередньо відновленої до лейкоемеральдинової форми функціоналізованої Пан плівки

.3 Електрокаталітичні властивості одержаних композитів

Висновки

Перелік використаної літератури

полімер поліанілін електрокаталітичний лейкоемеральдиновий

Перелік умовних позначень і скорочень

Ан - анілін

Аu-НЧ - золота наночастинка

2-АТФ - 2-амінотіофенол

-АТФ - 3-амінотіофенол

-АТФ - 4-амінотіофенол

ЦВА - циклічна вольтамперометрія

ВМС - високомолекулярні сполуки

Е - потенціал

ЕПП - електропровідний полімер

ЕM - емеральдин

ЕмС - емеральдинова сіль

І - сила струму

ЛЕ - лейкоемеральдин

ПАн - поліанілін

Пан - (со АТФ) - співполімер аніліну та амінотіофенолу

ПЕП - питома електропровідність

Pg - пернігранілін

ЦВА - циклічна вольтамперограма

ч.д.а - чистий для аналізу

х.ч. - хімічно чистий

Вступ

Поліанілін (ПАн) є найбільш досліджуваним струмопровідним полімером, він інертний до кисню і до більшості органічних розчинників, а методика його приготування відносно проста. Висока електропровідність PAni та його стійкість на повітрі дозволяє широко застосувати матеріали на його основі у хемо- та біо- сенсорах, антистатичних та антикорозійних покриттях, тощо [1, 2]. Постійна мініатюризація у промисловості, стійка тенденція до якої спостерігається уже понад 60 років, вимагає пошуку все нових і нових матеріалів для джерел струму, резистивних тонкошарових елементів, каталізаторів для тонкого органічного синтезу, чутливих шарів сенсорів, та інших тонкошарових композитів із наперед заданими властивостями. Цим вимогам відповідають електропровідні полімерні композити із металевими інертними наповнювачами, що поєднують каталітичні, електрокаталітичні, а також високу здатність до катодного захисту самого наповнювача, в поєднанні із провідністю, гнучкістю, здатністю до допування електропровідного полімеру.

Переваги використання поліаніліну як матриці і одночасно наповнювача - репліканта для струмопровідних композитів, полягають у його доступності, простоті синтезу, низькій ціні, нетоксичності для людини та навколишнього середовища [3], хімічній інертності для інтеркальованого металічного літію, його боргідриду, та нових, перспективних гідридів. Поліанілін, в свою чергу, дозволяє прищеплювати різні біфункціональні замісники, і таким чином функціоналізувати композит.

Поліанілін - практично єдиний струмопровідний полімер стійкий до деструктивного окиснення у кислому середовищі, а отже сумісний із сполуками благородних металів у вищих ступенях окиснення, зокрема OsO4, (NH4)2PdCl6, PtO2, із збереженням їх каталітичних властивостей, що відкриває широкі можливості їх застосування у хемо- та біосенсориці,

1. Літературний огляд

1.1 Електропровідні полімери, їх синтез та властивості

До електропровідних полімерів (ЕП) належать поліспряжені сполуки, які виявляють електричні, магнітні, оптичні властивості металів, зберігаючи механічні властивості звичайних полімерів [4].

Важлива властивість ЕП - здатність набувати високу провідність у результаті введення незначних концентрацій допанта в матрицю вихідних поліспряжених полімерів, наслідком чого є одержання матеріалів з металічною або напівпровідниковою провідністю від 1 до 10-5 См·см-1 [5].

Однак, більшість ЕП, для досягнення високої власної провідності необхідно допувати. Допування проводять шляхом хімічного чи електрохімічного окиснення (р-допування) або відновлення (n-допування) полімеру. Електронейтральність полімеру загалом зберігається за допомогою включення в полімерну матрицю з розчину електроліту допантів іонів протилежного знаку. Допування для поліаренів, важливим представником яких слугує поліанілін, є оборотнім процесом, чим зумовлюється застосування ЕП для використання як електродних матеріалів при створенні іонселективних електродів, керованих електричним полем напівпроникних та протон-провідних мембран електролізерів, ферментаторів та паливних елементів, газових, хемо- та біосенсорів [6].

Дослідження ЕПП є дуже вагомим з огляду на те, що потенціал їхнього використання в різних галузях постійно зростає завдяки їх низькій ціні та простоті синтезу, відсутності токсичності та стійкості до прямих сонячних променів. Тому вивченням їхніх електричних, механічних, оптичних і термічних властивостей займається багато вчених.

Послідовність відкриття полімерів з високою електропровідною здатністю (рис. 1.1) представлено в табл. 1.1.

Таблиця 1.1 - Провідність ЕПП з відповідними допантами.

Полімер

Допуючі матеріали

Провідність (Cм/см)

Поліацетилен

I2, Br2, Li, Na, AsF5

104

Поліпірол

BF4-, ClO4-, силікати

500-7,5×103

Політіофен

BF4-, ClO4-, FeCl4-, силікати,

103

Полі(3-алкілтіофен)

BF4-, ClO4-, FeCl4-

103-104

Поліфеніленсульфід

AsF5

500

Поліфенілен-вініл

AsF5

104

Політіенилен-вініл

AsF5

2,7.103

Поліфенілен

AsF5, Li, K

103

Поліізотіанафтен

BF-4, ClO-4

50

Поліазулен

BF4-, ClO4-,

1

Поліфуран

BF4-, ClO4-,

100

Поліанілін

HCl

200


Однак, немає єдиного методу синтезу полімерів у провідній формі. За винятком іонних полімерів, всі ЕПП можна синтезувати з використанням стандартних методів полімеризації [7], таких як:

§ хімічна полімеризація;

§  електрохімічна полімеризація;

§  фотохімічна полімеризація;

§  метатезисна полімеризація;

§  концентраційна емульсійна полімеризація;

§  полімеризація з включеннями;

§  полімеризація в твердому стані;

§  плазмова полімеризація;

§  піроліз.

Серед всіх цих категорій найчастіше використовується хімічна полімеризація, оскільки вона проводиться без застосування електродів.

Електрохімічна полімеризація виконується в чарунці з одним чи двома відділеннями зі стандартною триелектродною конфігурацією у відповідному електроліті. Фотохімічна полімеризація відбувається під дією ультрафіолетового випромінювання. За допомогою плазмової полімеризації одержують ультратонкі плівки (50-100 Å) з високою адгезією.

Рис. 1.1 - Струмопровідні полімери з низьким питомим опором.

Крім того, ЕПП можна синтезувати також і з допомогою багатьох інших технологій, наприклад: ланцюгова полімеризація, постадійна полімеризація, хімічне осадження пари та ін.

1.2 Поліанілін. Основні форми поліаніліну

Науковий інтерес до ароматичних полімерів зумовлений їхніми властивостями, насамперед, високою електропровідністю.

Клас полімерів анілінового ряду складається з різних за будовою та ступенем окиснення ВМС, які є похідними основної форми ПАн, яку можна зобразити наступною формулою [8]:

Рис.1.2 - Загальна структура поліаніліну: а - відновлена форма; б - окиснена форма.

Як видно з рис. 1.2 полімер складається з відновлених (а) і окиснених (б) повторюваних одиниць.

Можливо багато різних типів олігомерів аніліну в залежності від наявності кінцевої групи (фенільна, аміногрупа), які можуть бути однаковими або різними. Якщо ланцюги достатньо довгі, ПАн може існувати в трьох різних окиснених станах - при (1-у)=0 маємо форму повністю відновленого полімеру "лейкоемеральдин" (ЛЕ); при (1-у) = 0,5 "частково окиснений" полімер "емеральдин" (ЕМ) та при (1-у) = 1 - повністю окиснений полімер "пернігранілін" (ПЕ) [9]. Їхні формули мають наступний вигляд :

Рис.1.3 - Форми поліаніліну

Провідною формою поліаніліну є протонований поліемеральдин чи поліемеральдинова сіль, колір якої зелений, а провідність становить приблизно 15 С·см-1, тоді як провідність поліемеральдинової основи є приблизно 10-5 С·см-1. Слід звернути увагу, що провідність металів орієнтовно є 10 3 С·см-1 [10].

.2.1 Синтез поліаніліну

В промислових масштабах ПАн головним чином синтезується хімічним окисненням аніліну в присутності пероксидних сполук (наприклад пероксодисульфату амонію (NH4)2S2O8)чи іншого окисника або шляхом використання електрохімічних методів, однак, для синтезу активних шарів хемосенсорів цей метод не виправдовує себе [11].

Хімічний синтез потребує трьох реагентів: власне аніліну, кислотного середовища (водного чи органічного) та окисника.

Найбільш вживаними кислотами є хлоридна (НСl) і сульфатна кислоти (Н2SO4). Пероксодисульфат амонію ((NH4)2S2O8), дихромат калію (K2Cr2O7), сульфат церію (Сe(SO4)2), ванадат натрію (NaVO3), [K3(Fe(CN)6], KIO3, пероксид водню (H2O2) використовуються як окисники.

Електрохімічний синтез. Для синтезу ПАн використовують наступні три електрохімічні методи:

· гальваностатичний метод, коли застосовують постійний струм (густина струму 0,1 - 5,0 мА/см2);

·        потенціостатичний метод зі сталим потенціалом;

·        потенціодинамічний метод, коли потенціал змінюється з часом. В даному випадку полімери з системою спряжених зв’язків отримують у вигляді тонких електропровідних плівок на поверхні інертних електродів внаслідок анодного окиснення або катодного відновлення відповідних мономерів як у водному, так і в неводному середовищі. Провідною формою поліаніліну є протонований поліемеральдин чи поліемеральдинова сіль, колір якої зелений, а провідність становить приблизно 15 С·см-1, тоді як провідність поліемеральдинової основи є приблизно 10-5 С·см-1. Слід звернути увагу, що провідність металів орієнтовно є 10 3 С·см-1[9].

Електропровідність поліаніліну у вигляді емеральдинової солі забезпечують протонізовані імінні атоми азоту полімерного ланцюга, які індукують перенесення заряду. Провідність поліаніліну збільшується зі збільшенням числа протонізованих центрів (поляронів) і зменшується при переході в емеральдинову основу.

1.2.2 Електрохімічний синтез поліаніліну

Для синтезу ПАн використовують наступні три електрохімічні методи:

· гальваностатичний метод, коли застосовують постійний струм (густина струму 0,1-5,0 мА/см2);

· потенціостатичний метод зі сталим потенціалом;

·        потенціодинамічний метод, коли потенціал змінюються з часом. В даному випадку полімери з системою спряжених зв’язків отримують у вигляді тонких електропровідних плівок на поверхні інертних електродів внаслідок анодного окиснення або катодного відновлення відповідних мономерів як у водному, так і в неводному середовищі. На першій стадії електродного процесу здійснюється одноелектронне окиснення відповідного мономеру до його катіон радикалу [11]:


Існування цього радикалу було підтверджено вимірюваннями сигналу ЕПР в процесі електроокиснювального осадження ПАn на Рt-електроді з 0,1 М розчину Аn в 1,0 Н Н2SO4 при циклюванні потенціалу від -0,1 до 0,05 В [12].

Фізико-хімічні властивості поліаніліну чи полікатіон-радикалів, до яких відносяться ЕПП в n- чи р-допованому стані, можуть залежати не тільки від хімічного складу, але й від структури, морфології і товщини полімерної плівки, які можуть бути різними для полімерів одного і того ж хімічного складу, приготовлених в різних умовах [13]. В зв’язку з цим вияснення впливу умов електросинтезу на будову генерованої полімерної плівки відкриває можливості для знаходження шляхів одержання плівок ЕПП з заданими фізико-хімічними властивостями.

Важливим фактором, що впливає на морфологію полімерних плівок і, відповідно, на їх фізико-хімічні характеристики, є потенціал електросинтезу ЕПП. Так, наприклад, проведення електросинтезу поліпіролу при низьких потенціалах окиснення піролу приводить до утворення дуже щільних плівок, а при високих потенціалах - до пористих плівок поліпіролу [14].

Властивості ЕПП визначаються також товщиною плівки, осадженої на електроді. Слід зазначити, що товщина полімерної плівки є не просто геометричним параметром, що впливає на фізико-хімічні характеристики ЕПП. У випадку полімерів на основі п’ятичленних гетероциклів ( тіофен, пірол та ін.) зменшення товщини плівки приводить до зміни морфології. В дуже тонких плівках зростає протяжність ланцюга спряження, що може суттєво вплинути на провідність, спектральні і електрохімічні властивості полімеру.

Оскільки електросинтез ЕПП іде за йон-радикальним механізмом з одночасним допуванням генерованого на електроді полімеру, можна вважати, що на макромолекулярну структуру плівки впливає природа розчинника, а також фоновий електроліт. У водних електролітах, висококонцентрованих кислотах можна добути електропровідний полімер. Утворення провідного ПАн пов’язане з сильно кислим середовищем, а в середовищі з високим значенням рН добувають полімери невисокої провідності. Утворення провідного полімеру є можливим у розчиннику з низькою донорною здатністю, який утримує як Ан, так і Ан радикально протонований [16].

Потрібно відмітити, що товщина утворених плівок є не просто геометричним параметром. У випадку дуже тонких плівок зростає протяжність ланцюга спряження, що може суттєво впливати на провідність, спектральні і електрохімічні характеристики полімерів [15]. Структуру полімерних плівок визначає також природа електроду, на якому проводиться полімеризація [16], оскільки перша стадія полімеризації полягає в утворенні адсорбційного шару на його поверхні. Важливо проводити синтез у середовищі, яке слугує оночасно джерелом допант - аніонів для новоутворених ще не допованих фібрил - волокон поліаніліну.

Електросинтез полімерів проходить по йон-радикальному механізму з одночасним їх допуванням, тому очевидним є факт, що на формування макромолекулярної структури плівок буде впливати також природа розчинника та електроліту [17, 18].

Слід зазначити, що вивчались переважно протонодонорні розчинники (H2O, CH3COOH, C2H5OH), а в якості фонового електроліту було використано Н-кислоти - H2SO4 або CF3COOH. В той же час вплив "чистого", без наявних протонів, розчинника не вивчався, оскільки в апротонних середовищах спостерігаються розширені піки, які важко аналізуються. З іншого боку, в водному середовищі можлива окиснювальна деградація полімеру з утворенням п-амінофенолу та п-бензохінону .

Разом з тим можливість застосування поліаніліну в літієвих джерелах струму як катодного матеріалу визначає необхідність використання саме неводних апротонних електролітів. Зокрема, показано перспективність методу з використанням тетрафторборату аніліну, розчиненого в ацетонітрилі, коли утворюється гладка непориста плівка полімера на поверхні платинового електрода [18]. При використанні таких розчинників як пропіленкарбонат, g-бутиролактон утворюється полімер фібрильної структури.

Разом з природою розчинника, на характеристики редокс-перетворень впливає природа допуючого аніону . Так, було показано, що максимальний дифузний струм другого редокс-переходу для ПАн зростає із зменшенням йонного радіусу в ряді HSO4- > NO3- > ClO4- > BF4- > F- при допуванні полімеру в кислому середовищі [17]. В апротонних середовищах (g-бутиролактон, пропіленкарбонат) спостерігається зменшення потенціалу першого редокс переходу допування поліаніліну із зменшенням йонного радіусу допуючого аніону.

Якщо вплив природи допуючих аніонів є закономірним, то факт впливу протиіонів, який спостерігається як у водних, так і в апротонних середовищах, є менш зрозумілим. В зв’язку з цим слід відмітити ще один важливий аспект електрохімії полімерних плівок, а саме той факт, що під час електрохімічного допування-дедопування анодні і катодні процеси можуть проходити за різними механізмами [15]. Свідченням цього можуть служити результати вивчення впливу катіона фонової солі на допування поліаніліну. Як було показано авторами [18], заміна катіону Bu4N+ на Li+ приводить до зростання потенціалу максимуму анодного і зближенню потенціалу максимуму катодного піку першого редокс-перетворення в апротонному органічному розчиннику. Зростання потенціалу анодного піку може бути зумовлене зниженням електронної густини в амінних фрагментах полімерного ланцюга за рахунок донорно-акцепторної взаємодії катіону Li+ з неподіленою парою електронів атома азоту.

Інша картина спостерігається в катодному процесі. Відновлення полімеру супроводжується дифузією або допуючих йонів в електроліт, або катіонів із розчину до поверхні макромолекули для нейтралізації допуючих аніонів, що залишилися в матриці відновленого полімеру. Отже, наявність в електроліті катіонів з невеликими йонними радіусами приводить до вагомого звуження катодного піку та зменшення потенціалу відновлення поліаніліну внаслідок переважної дифузії катіонів в полімерну матрицю [18].

Додатковим підтвердженням наявності донорно-акцепторної взаємодії в системі "катіон лужного металу - поліанілін" є результати дослідження електрохімічних і спектральних властивостей допованого поліаніліну, які показали, що заміна катіона фонової солі веде до додатного зсуву максимумів анодного та катодного піків редокс-перетворень ПАн.

Найбільш загально вживаний робочий електрод - це платина, але ПАн осади також можуть бути одержані на провідному склі, Fe, Cu, Au, графіті, нержавіючій сталі. ПАн може відшаровуватися від поверхні електрода, якщо його опустити в кислотний розчин.

Порівняно з хімічним синтезом, електрохімічний шлях має такі переваги:

-       -чистота, тому що виділення із суміші мономер-розчинник-окисник не є необхідним;

-       -допування і контроль товщини через електродний потенціал;

-       -одночасний синтез і осадження тонкого поліанілінового шару.

.2.3 Механізми полімеризації поліаніліну

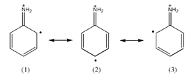
Різні методи синтезу поліаніліну спричиняють безліч механізмів полімеризації аніліну. Механізм електрохімічної полімеризації, здається, є більш дослідженим порівняно з хімічною полімеризацією. Однак, для хімічного та електрохімічного процесів можуть бути розглянуті споріднені механізми. Механізм синтезу відповідає поліконденсації, тому що він йде постадійно. Перша, найбільш ймовірна, стадія окиснення відповідає формуванню радикального катіона (катіона-радикала) електронною передачею з другого енергетичного рівня аніліну атома нітрогену, як показано на рис. 1.2, незалежно від рН. З кінетичної точки зору - це є лімітуюча стадія і каталізатор може прискорювати її. Тоді реакція буде автокаталітичною. Цей катіон-радикал аніліну має три резонансні форми, що показані на рис. 1.3.

Рисунок 1.4 - Формування катіон-радикалу аніліну.

Рис. 1.5 Резонансні форми катіон-радикалу аніліну

Серед цих трьох резонансних форм форма 2 є найбільш реакційно здатною, оскільки, з одного боку, важливість індуктивного ефекту замісника, і з іншого боку, відсутність просторових перешкод.

Рис. 1.6 - Формування димеру.

Наступною стадією, що зображена на рис 1.4 в найменш кислому середовищі була б реакція між катіон-радикалом і резонансною формою (2), так звана "голова-хвіст" реакція, сприятлива в кислотному середовищі (водному чи органічному) і відповідає формуванню димера. Після чого димер окиснюється, формуючи новий радикальний катіон, як показано на рис. 1.5.

Рис. 1.7 Формування катіон-радикалу димеру.

Сформований катіон-радикал може реагувати з катіон-радикалом мономеру чи з катіон-радикалом димеру, формуючи, відповідно, тример чи тетраметр, відповідно до механізму, запропонованому раніше, і так до полімеру (див. рис. 1.7).

Рис. 1.8 - Шлях полімерного синтезу

.3 Синтез наночастинок золота

Тенденція до мінітюаризації і необхідність вдосконалення технологічних процесів призвели за останні 20 років до значного збільшення кількості досліджень присвячених синтезу колоїдного і нанорозмірного срібла. Загалом металічні наночастинки благородних металів можуть бути приготовані з допомогою таких методів як газове випаровування, плазма дугового розряду, напилення, хімічні реакції [19], електрохімічний метод [20], лазерна абляція, мікрохвильове опромінення [23], наносферна літографія [24]. Хімічний підхід, такі як хімічне, електрохімічне і фотохімічне відновлення найбільш широко використовуються. Дослідження показали, що розмір, морфологія, стабільність і властивості (хімічні і фізичні) металічних наночастинок строго контролюються експериментальними умовами синтезу, кінетикою взаємодії металічних іонів з відновлюючими агентами і адсорбційними процесами стабілізуючих агентів на металічних наночастинках. Для однозначного визначення властивостей наночастинок металів необхідно, щоб частинки були монодисперсними, оскільки в такому стані вони характеризуються стабільними властивостями. Монодисперсність сприяє самоорганізації наночастинок у гратки, шо в свою чергу може сприяти появі нових властивостей корисних для певних практичних цілей. Утворення монодисперсних наночастинок вимагає розділення процесів нуклеації і росту. Таким чином вибір синтетичного методу, в якому розмір, морфологія, стабільність і властивості є контрольовані стало головною областю інтересів.

Хімічне відновлення є найбільш часто вживаним методом для приготування наночастинок золота у вигляді стійких колоїдних дисперсій у водних чи органічних розчинниках. Найчастіше в якості відновників використовуються борогідрид [21], цитрат, аскорбат, формальдегід і елементарний водень. У загальному випадку, використання хімічних відновлюючих агентів має такі переваги як легкість синтезу і швидке приготування стійких колоїдних суспензій. Стійкість даних систем досягається адсорбцією протиіонів використовуваних в синтезі солей, які надають великого електричного заряду наночастинкам. Недоліком даних колоїдних систем є наявність домішок, які з’являються під час окиснення залишкових частинок і протиіонів використовуваних солей.

Попередні дослідження показали, що використання сильних відновників, таких як боргідрид [19], призводить до утворення маленьких частинок, які є частково монодисперсними, а генерацію більших частинок важко контролювати. Використання слабших відновників таких як цитрат, призводить до зменшення швидкості відновлення, і розподіл за розмірами є далеким від вузького. Синтез наночастинок методом хімічного відновлення часто виконується в присутності стабілізаторів для того, щоб завадити непотрібній агломерації колоїдних частинок.

Найчастіше колоїдне золото отримують відновленням його галогенідів.

Зігмонді і Сведберг [25] перші дослідили кінетику процесу відновлення розчинів галогенідів золота і сформулювали основні уявлення про механізм формування наночастинок золота на прикладі відновлення HAuCl4 пероксидом водню

HAuCl4 + 3H2O2+ 8KOH = 2Au + 3O2 + 8KCl + 8H2O.

На повільній стадії відбувається конденсація золота з утворенням дуже маленьких частинок, а далі вони агрегуються поки золь не стане червоного кольору. Дослідження отриманих таким методом частинки виявили, що вони є нестабільними і мають широкий розподіл за розмірами[26]. Тільки метод Френсіса дозволив отримати порівняно монодисперсні частинки (10-60 нм) за рахунок стабілізації їх цитрат-іоном[27].

Інший метод отримання наночастинок золота представлений в роботі [28]. Суть його полягає у відновленні концентрованого HAuCl4 (0.5моль/мл) ізоаскорбіновою кислотою в присутності гумміарабіка, який сприяє стабілізації частинок при розмірі 80 нм-5мкм (в залежності від рН середовища і концентрації відновника).

Для отримання наночастинок золота використовують також мікроемульсійний метод [29]. Суть методу полягає в додаванні в систему ПАВ після чого утворюється мікроемульсія. При цьому відновлення протікає в краплях діаметром не більше 100нм.

Часто при мікроемульсійних методах в систему додають алкантіоли, які утворюють на поверхні золота само організовані моношари, що запобігають злипанню частинок [31]. Деякі ліганди , такі як алкантіоли, аміни, силани , фосфіни і галоген іди здатні брати участь "дигестивному дозріванні" - процесі, в якому колоїдна суспензія при кип’ятінні в розчиннику з поверхнево-активними лігандами перетворюється із полідисперсної в монодисперсну [35].

Останнім часом для синтезу монодисперсних наночастинок почали використовувати синтетичні полімери-поліетиленгліколь,поліетилен амін, полівінілпіролідон, дендример [30] і поліанілін т. д. Частинки сформовані в присутності цих полімерів визначаються великою однорідністю розмірів і форми [21,22]. При цьому в якості відновників можна використовувати будь-які вище перераховані. Тобто вибираючи той чи інший відновник і приймаючи до уваги особливості кінетики формування наночастинок золота можна отримувати частинки із заданим розміром.

Ще одним напрямком актуальним на даний час - це так звані "зелені синтези". Ці синтези передбачають використання нетоксичних розчинника, відновника іонів металів і стабілізатора частинок [32, 33]. Л’ю зі співробітниками [34] запропонував "зелений синтез" монодисперсних наночастинок золота, використовуючи як відновник і стабілізатор нетоксичну глюкозу.

Мікрохвильове нагрівання привертає великий інтерес як однореакторний синтез металічних наноструктур у розчині [36]. З допомогою даного методу були синтезовані наноструктури Ag, Au, Pt, i Au/Pd. Головними перевагами мікрохвильового опромінення є: 1) рівномірне нагрівання розчину, що забезпечує гомогенну нуклеацію за короткий час кристалізації, 2) дуже короткий термічний індукційний період, що сприяє збереженню енергії, 3) генерація локалізованої високої температури в реакційних місцях, що підвищує швидкість відновлення іонів металу, 4) селективне утворення специфічної морфології, 5) надвисоке нагрівання понад точку кипіння розчинника як наслідок мікрохвильового розсіювання в загальному об’ємі рідини, а також відсутність процесів перемішування, легкий контроль, низька ціна.

Також для синтезу наночастинок золота використовують фізичні і електрохімічні методи. До переваг цих методів можна віднести відсутність на поверхні частинок домішкових залишків хімічних сполук.

.4. Синтез тонких функціональних плівок поліаніліну

Тонкі шари ПАн отримують шляхом окиснювальної полімеризації аніліну з амоній пероксидисульфатом в водних розчинах у присутності натрій додецилбензенсульфонату [37], суміші іоногенних ПАР, полімерних кислот, камфорсульфонової кислоти та амінокислот. Імовірність утворення наноплівок під час синтезу у присутності амфіфільних кислот залежить від концентрації аніліну, співвідношення концентрацій кислоти/аніліну, окисника/мономеру, реакційної температури і реакційного часу.

Для пояснення утворення нанотрубок і інших наноструктур ПАн запропонувала модель циліндричної міцели, яку утворюють сіль аніліну і амфіфільна кислота. Вважається, що гідрофобні об’ємні ланки кислоти утворють ядро міцели, тоді як аніона група кислоти і катіони аніліну утворюють оболонку. Після дифузії непротонованих молекул мономеру в міцелу полімеризація може відбуватися по поверхні, тоді утворюються наноплівка (нанотрубки), в іншому випадку утворяться нанофібрили.

Вперше для отримання інертного металонаповненого композиту було використано окиснення аніліну тетрахлорауратною кислотою (рис. 1.9).

Введення в поліанілінову макромолекулу 2- чи 3- амінотіофенолів веде до появи поодиноких меркапто груп ―SH вздовж полімерного ланцюга, гідроген яких є доволі рухливим і може заміщуватись благородними металами, в першу чергу халькогенідами, що призводить до зшивання полімерних ланок через містки сульфур-аурум-сульфур. Зшитий таким чином полімер володіє значно меншим перколяційним порогом.

Цікавим випадком є сорбція 2- та 3- амінотіофенолу на поверхні благородних металів, зокрема, золота - під дією електричного поля в присутності стійких симетричних аніонів (перхлорат, тетрафторборат) моно шар утворює стійкі поліконденсаційні зв’язки, як це зображено на рис.2.10.

Рис. 1.9 - Отримання металонаповненого композиту на основі аніліну.

Рис. 1.10 - Окислювальна поліконденсація аніліну та 2-амінотіофенолу в присутності тетрахлорауратної кислоти.

Рис. 1.11 - Отримання метало наповненого композиту на основі аніліну.

Це призводить до утворення так званого панцирного моношару, коли останній формується на мікро- та нанорозмірних золотих частинках, він перешкоджає їхньому агрегуванню. Повідомляється також про селективне розчинення золота слабкими розчинами ціанідів в присутності окисників, з формуванням пусто тули полі анілінових сфер, які є перспективним матеріалом для аноду полярного суперконденсатора.

.4.1 Струмопровідні композити на основі співполімеру поліанілін-меркаптополіанілін модифіковані золотими частинками

У розвинутому суспільстві життя у значній мірі залежить від композитних матеріалів. Скловолокно, яке почало з’являтись наприкінці 1940 р., було першим сучасним композитом і все ще залишається найбільш поширеним. Композитні матеріали утворюються поєднанням двох і більше фаз, які характеризуються різними властивостями. Компоненти працюють разом, забезпечуючи композит унікальними властивостями, але при спільній дії компоненти залишаються самостійними [38]. Деревина і кістки - приклади композитів, створених природним способом. Однак людство прагнуло створити штучні аналоги природних композитів. Технологічним рушієм у створенні композитних матеріалів є бажання зберегти властивість чи поєднання властивостей, які є відсутніми у будь-якому індивідуальному компоненті у композиті. За останні роки найбільш бажаними характеристиками композитів є висока електрична і термічна провідність [39].

Серед гібридних матеріалів найбільшу увагу науковців привертають системи представлені наночастинками металів чи напівпровідників і органічних сполук [40]. Їхні зусилля направлені на розвиток гібридних матеріалів для одержання каталітичної електричної, оптоелектричної [41] функціональності шляхом включення наночастинок металів (н-д: Au, Pt, Pd, Cu, Ag) чи напівпровідників (CdS, CdSe, CdTe, TiO2) у полімерну матрицю. Провідні полімери представлені органічними полімерами, співполімерами і спряженими полімерами. Прикладами провідних полімерів є полі(р-фенілен), поліанілін, полі(р-феніленвінілен) та ін. Ці полімери можуть бути виготовлені із високим рівнем експлуатаційної гнучкості. Серед провідних пластиків найбільш цікавим є поліанілін.

Згідно з загальноприйнятою думкою, стабілізація наночастинок полімерними молекулами відбувається шляхом пасивної адсорбції полімера на поверхню частинки за рахунок електростатичної і гідрофобної взаємодій [41,42]. Сильний негативний заряд поверхні наночастинок золота забезпечує їх сильну електростатичну взаємодію з полімером. В роботі [43] також повідомляється про кулонівську взаємодію NH2-групи лізину, що входив в склад адсорбованого адсорбованого на поверхні частинок золота білка, з цитрат-іонами.

Для прищеплення до металевих частинок поліаніліну перспективним є використання похідних аніліну - амінотіофенолів. Амінотіофенол виявляє властивості сірковмісних сполук і є носієм властивостей, притаманних аніліну. Молекули амінотіофенол хімічно зв'язуються до поверхні благородних металів через SH-групу, і потім модифіковані металеві частинки можуть взаємодіяти з ароматичними амінами в реакції окиснювальної конденсації або електрохімічно полімеризуватися [44]. Барак Альгатзі співробітниками провів електрополімеризацію 2-амінотіофенолу і 3-амінотіофенолу [45]. Наявна тіол-група у полімері впливає на редокс властивості плівки через два механізми: SH-група змінює електронну структуру мономеру чи може змінювати зв'язувальну конфігурацію (наприклад, 3 позиція до NH2-групи проти позиції 4) полімеру, яка, відповідно, змінює електронну структуру кінцевої плівки. В опублікованих працях є дані щодо епектрополімеризації 2-амінотіофенолу і 3-амінотіофенолу на поверхні об'ємного золотого зразка [43], електрохімічній полімеризації аніліну на модифікованій 4-амінотіофенолом поверхні золотого електрода [45]. Автори [43, 44] виходячи з даних свого експерименту зробили висновок, що в однакових умовах полімеризації плівка ПАн,яка виросла на голій поверхні золотого електрода є більш грубою, менш компактною і може захоплювати більше молекул розчинника в порівнянні з 4 - ATФ - модифікованою поверхнею золотого електрода.

Максимум електропровідності спостерігається при величині мольної частки 4- АТФ 0,77, а потім різко падає. Кількість 4 - АТФ в SAM впливає на швидкість окиснення аніліну, який визначає загальну швидкість полімеризації, і в свою чергу, впливає на тонко плівкову провідність. Коли швидкість окиснення мономера занадто висока плівки сильніше окислюються і втрачають провідність. З іншого боку, коли швидкість окиснення мономер є занадто низька кількість олігомера зменшується, і провідність падає. 4-амінотіофенол (4-АТФ) SAM показав кращу кінетику росту плівки і отримана плівка мала найвищу електропровідність. Вертикальна провідність плівки становила від 58 S см-1 для плівки, підготовленої на голій поверхні золотого електрода і 148 S см-1 для плівки, отриманої на 4-АТФ SAM покритті електрода. Також ними було показано, що провідність залежить від товщини плівок, а також від того, як вони були підготовлені.

1.5 Електрокаталітичні властивості металонаповнених полімерних композитів

Модифіковані полімерні плівки в електрокаталізі грають роль переносників заряду і їх каталітична активність проявляється в процесах, що не супроводжуються деструкцією молекул субстрату. Кращими електрокаталізаторами процесів , що протікають з розривом міжатомних зв'язків (наприклад, окиснення водню, органічних сполук і т.п.), є метали платинової групи. Отримати високодисперсні частинки даних металів можна, включивши їх в полімерні матриці. Особливість одержуваних таким чином систем полягає в тому, що полімерна матриця визначає умови розвитку металевої фази. Властивості самої матриці (плівки ) можна варіювати, вибираючи той чи інший полімер і міняючи умови формування плівки на поверхні.

Великий інтерес проявляється до процесів отримання опадів металів платинової групи в іонообмінних полімерних матрицях [39], оскільки останні стійкі в різних середовищах і їх можна використовувати як твердого полімерного електроліту в електрохімічних реакторах. У багатьох роботах для отримання наночастинок платинових металів запропоновано використовувати електропровідні полімери, [40] умови утворення і поведінка частинок металу в яких можуть істотно відрізнятися від таких у іонообмінних плівках. При цьому може бути створена тривимірна структура, що є провідною матрицею з досить рівномірним розподілом мікрочастинок каталізатора. Пориста структура такої матриці забезпечить доступ реагентів до метал-каталізатора і вихід в розчин продуктів реакції. Важливий в практичному відношенні ефект збільшення електрокаталітичної активності у розрахунку на видиму поверхню електрода або одиницю маси благородного металу в таких системах може бути досягнутий в основному за рахунок збільшення площі поверхні осаду. Однак найбільший науковий інтерес представляє збільшення активності у розрахунку на одиницю поверхні метал-каталізатора. Зміна останньої в порівнянні з активністю компактного металу може бути пов'язане зі структурними особливостями мікрочастинок (зокрема , з розмірним ефектом ) , взаємодією частинок металу і полімерної матриці, а також із зміною активностей реагентів в просторі пор матриці .

У теоретичних роботах велику увагу приділяють електронній будові мікрочастинок. Через високі значення роботи виходу електрона з металів платинової групи у порівнянні зі значеннями цього параметра для інших матеріалів слід очікувати часткового перенесення електронів з матриці в мікрочастинок і, як наслідок, зростання у ній середньої електронної щільності. Однак такий ефект може бути відчутний лише у випадках, коли розміри частинок металу у порівнянні з товщиною подвійного електричного шару.

Розглянуті дані показують, що характер вимірювання активності частинок металу після включення їх в полімерну матрицю у великій мірі залежить від природи субстрату. Так, вплив дисперсності на електроокиснення метанолу та мурашиної кислоти виявився протилежним. Аналогічний ефект був відзначений і в ряді інших каталітичних систем - не тільки з Pt , але і з Rh , Pd і Ir (див. посилання в роботі [41]) . Велика електрокаталітична активність частинок платини в поліаніліновій матриці в порівнянні з частинками Pt/Pd установлена [43] і в реакціях електроокиснення мурашиної кислоти і монооксиду вуглецю. Для СО ефект пояснений збільшенням його концентрації в полімерній плівці. Сорбція СО плівкою підтверджена спеціальним дослідженням.[42] Для платини, диспергованої в поліаніліні, природа промочування електроокиснення мурашиної кислоти, мабуть, та ж, що і для описаного вище, збільшення швидкості її електроокиснення на платинових електродах після нанесення на них поліанілінових плівок. Найбільше зростання питомих швидкостей електроокиснення мурашиної кислоти відзначений у разі впровадження в Поліанілін частинок паладію, причому збільшення стаціонарних струмів понад порядок спостерігали при використанні, як одно- , [42] так і двоступеневого методів отримання систем Ре - поліанілін - скловуглець.

Згідно з літературними даними, на електродах, модифікованих композитним покриттям Р1- поліанілін, при невисоких анодних потенціалах можуть бути також окислені ізопропанол, етиленгліколь, В- глюкоза [45] (остання може бути окислена і у випадку покриття Р1 : - поліпіррол ). Для етанолу відзначено невелике збільшення питомих стаціонарних струмів електроокиснення на частинках платини, включених в поліанілінову матрицю методом хімічного осадження. Автори більшості робіт промотуючих дію полімерних матриць на електроокиснення простих органічних сполук при невисоких потенціалах (до початку адсорбції кисню) пов'язують або з гальмуванням процесу появи на поверхні металу - каталізатора міцно хемосорбованих частинок, які є "отрутою" по відношенню до струмовиробляючої реакції, або із збільшенням кількості слабозв’язаних частинок. "Паралельний механізм" електроокиснення органічних сполук, вперше запропонований в роботах для реакції електроокиснення метанолу, став досить загальновизнаним. Найбільш ймовірно, що каталітична дія пов'язано зі зміною структури і складу поверхні. Причому зміна останнього може бути обумовлена не тільки адсорбцією полімерних молекул і їх фрагментів, але і домішкових частинок, які можуть включатися з розчину в металеву фазу при її формуванні.[41] Від складу поверхні істотно залежить утворення адсорбованних ОН- груп, що грають важливу роль у реакціях електроокиснення органічних сполук. Принципово інше трактування промотування реакції електроокиснення мурашиної кислоти в системі Р1- поліанілін - скловуглець подана в роботі[45] для випадку, коли включення платини в плівку здійснювалося циклюванням потенціалу електрода в інтервалі 0.1-0.7 В. Вважається, [45] що в цих умовах платина накопичується переважно у вигляді комплексних іонів ( Р12 + і Р14 +), які і каталізують процес. Ефект носить нестаціонарний характер і з часом досить швидко зменшується, так як комплексні іони видаляються з плівки за рахунок їх обміну з іонами розчину.

Ріскін зі співробітниками [46] запропонував для сенсорних систем на визначення тринітротолуену використовувати золоті електроди, поверхню яких модифікували електрохімічною полімеризацією 4-МАн-функціоналізованих наночастинок золота. Автори вважають, що модифіковані 4-МАн наночастинки золота зв’язуються між собою за рахунок кінцевих аміно-груп, причому зв’язування відбувається через орто-положення 4-МАн. Цей механізм є подібним до механізму запропонованого Хайсом і Шеноном [47]. Олігоанілінові ланки, які зв’язують наночастинки золота, діють як π-донорні ділянки, що концентрують тринітротолуен біля поверхні електрода, в той час як наночастинки золота забезпечують тривимірну провідність для електрохімічного визначення тринітротолуену.

Розділ 2. Охорона праці та безпека в надзвичайній ситуації

Безпека життєдіяльності (БЖД) - це дисципліна, основне завдання якої полягає у виявленні і пізнанні виробничих небезпек і шкідливих впливів на людину та розроблення методів і засобів їх попередження, уникнення нещасних випадків [48]. Завданням БЖД є розробка методів прогнозування, вивчення та ідентифікації шкідливих факторів, їх впливу на людину і довкілля.

Небезпека - це центральне поняття безпеки життєдіяльності і являє собою явища, процеси, об’єкти, властивості, які здатні за певних умов завдати шкоди здоров’ю чи життю людини. Життєвий досвід людини показує, що шкоду людині може нанести будь-яка діяльність: робота на виробництві (трудова діяльність), різні види відпочинку, розваги та навіть діяльність, пов’язана з навчанням.

В нашій країні велика увага приділяється питанням охорони праці і профілактики професійних захворювань [49]. Полегшення праці, всебічне покращення умов її виконання є одним з важливих завдань держави. Існує багато санітарних норм, які встановлюють гігієнічні вимоги до охорони здоров’я і умов праці осіб, що працюють у всіх областях господарства. Прогресивним станом санітарного законодавства є " Система стандартів безпеки праці ", спрямована на те, щоб встановити загальні вимоги до засобів захисту працюючих і методи оцінки безпеки праці.

.1 Аналіз стану умов праці

2.1.1 Характеристика лабораторії

Лабораторія для фізико-хімічних досліджень знаходиться у підвальному приміщенні. Підлога покрита лінолеумом. Площа приміщення становить 31 м2. У лабораторії 5 робочих місць. Лабораторія забезпечена витяжною вентиляцією, водопроводом, електромережею, каналізацією. Вентиляційне обладнання розраховане на таку потужність, щоб швидкість руху повітря в перерізі відкритих дверей витяжної шафи 40×50 см2 становила 0,7 м/с, кратність обміну G=504 м3/год. Задня стінка і робочий стіл витяжної шафи обкладені плиткою. Освітлення в лабораторії змішане: штучне та природне. Коефіцієнт природного освітлення в приміщенні при боковому світлі становить 0,3 %. Для штучного освітлення використовують лампи розжарення та денного світла. Освітленість приміщення становить близько 200 Лк. Температура у лабораторії складає 18-20 °С, відносна вологість - 70-80 %. У лабораторії джерела шуму, пилу та вібрації відсутні. Джерелами електромагнітного випромінювання є електроприлади і монітори комп’ютерів. Шкідливі речовини зберігаються в лабораторії у дозволених кількостях. В лабораторії є аптечка з необхідними медикаментами, а також первинні засоби пожежогасіння: גףדכוךטסכמעם³ גמדםודאסםטךט עטןף ־ױֿ-5 ³ ־׃-5 עא שטך ח ן³סךמל. ֻאבמנאעמנ³ ג³הםמסטעסהמ ךכאסף ֱ ןמזוזמםובוחןוקםמסע³ ³ ג³הןמג³הא÷ םמנלאל עוץם³ךט בוחןוךט.

.1.2 ױאנאךעונטסעטךא ןנמצוסף ןנאצ³

ֿנט גטךמםאםם³ נמבמעט םומבץ³הםמ חגונםףעט ףגאדף םא פ³חטקםו םאגאםעאזוםםעא םונגמגמ-ןסטץ³קםף םאןנףזום³סע. ׃ ןנמצוס³ ןנאצ³ כהטםא מענטלף÷ חםאקם³ פ³חטקם³ םאגאםעאזוםםעא םונגמגמ-ולמצ³ים³ םאןנףזוםם. ֱףה-ךטי ןנמצוס ןנאצ³ לא÷ הג³ סךכאהמג³, שמ ןמג’חאם³ ח פ³חטקםטלט םאגאםעאזוםםלט םא מנדאם³חל כהטםט עא ח מנדאם³חףגאםםל עוץםמכמד³קםטץ ןנמצוס³ג.

ֿונרף סךכאהמגף נמחדכהאעח ןמדכהף וםונדמחאענאע םא גטךמםאםםע³÷¿ קט ³םרמ¿ נמבמעט. ֲטךמםאםםלמדמ וךסןונטלוםעף ןמענובף÷ חאענאע וםונד³¿ ג לוזאץ 151-200 ֺךאכ / דמה, שמ םאכוזאעהמ ךאעודמנ³¿ ²²א סונוהםמ¿ גאזךמסע³ חא סעףןוםול ןמנ³גםםםךאעודמנ³¿ נמב³ע. ִמ צ³÷¿ ךאעודמנ³¿ ג³הםמסענמבמעט, ך³ ןמג’חאם³ ח ןמסע³יםטל ץמה³םםל, ןונול³שוםםל ך הנ³בםטץ (המ 1 ךד) גטנמב³ג אבמ ןנוהלוע³ג (ךמכבט ח נמחקטםאלט ךטסכמע, סמכוי, וכוךענמהט). ַא מנדאם³חףגאםםל עוץםמכמד³קםטץ ןנמצוס³ג נמחדכהאעהאםטי ןנמצוס נמבמעט ך הטסךנועםטי וכולוםע, שמ ץאנאךעונטחף÷עסםאהץמהזוםםל םאסעףןםמדמ וכולוםעא נמבמעט קונוח םומהםאךמג³ ןנמל³זךט קאסף חאכוזםמ ג³ה ףסן³רםמסע³ גטנ³רוםםןמןונוהם³ץ חאגהאם; עאךו םאהץמהזוםםחאגהאםםאחטגאענוזטלמל ח³ חגמנמעםטל חג’חךמל ³ ÷ סןוצטפ³קםטל הכגטסמךמופוךעטגםטץ גטנמבםטצעג.

ךשמ ןונרא סךכאהמגא ןנאצ³ ןמג’חאםא ח פ³ח³מכמד³קםטלט למזכטגמסעלט כהטםט, עמ ¿¿ הנףדא סךכאהמגא פמנלף÷ םונגמגמ-ולמצ³יםף םאןנףזום³סעןנאצ³. ֲאזכטגמ ןאל’עאעט, שמ ולמצ³יםו חבףהזוםםגטסעףןא÷ ך המהאעךמגו םאגאםעאזוםםהכמנדאם³חלף, ךו ץמק ³ לא÷ ןוגם³ מסמבכטגמסע³, ןנמעו ÷ םו לוםר סףעע÷גטל, ם³ז פ³חטקםו םאגאםעאזוםם. ךשמ פ³חטקם³ םאגאםעאזוםםלמזםא כודךמ נודףכגאעט, עמ םונגמגמ-ולמצ³יםא םאןנףזום³סעגאזךמ ן³ההא÷עסףןנאגכ³םם‏. ֽונגמגמ-ןסטץ³קםא םאןנףדא גטםטךא÷ חא םאגםמסע³ נ³חםטץ קטםםטך³ג, ך³ גןכטגאעםא ןנאצ³גםטך³ג, א סאלו:

-       גטךמםאםםסךכאהםמדמ חאגהאםם, ךו ןמג’חאםו ח גטסמךמג³הןמג³האכם³סע‏;

-       םאגם³סעןוגםטץ ןונורךמה ן³ה קאס גטךמםאםםחאגהאםם;

-       ןמגא סטכםטץ נאןעמגטץ ןמהנאחםטך³ג;

-       נמבמעא ג ףלמגאץ הופ³צטעף קאסף עא ³םפמנלאצ³¿, םומבץ³הםטץ הכןנטיםעעןנאגטכםטץ נ³רוםעא מנדאם³חףגאםםה³י;

-       מסגמ÷םםםמגטץ גטה³ג ה³כםמסע³, ג³הסףעם³סעםומבץ³הםמ¿ קט םאגם³סעםאהל³נםמ¿ ³םפמנלאצ³¿.

ׁעףן³םםונגמגמ-ןסטץ³קםמ¿ םאןנףדט - הנףדטי (ןמל³נםמ םאןנףזוםטי). ²םעוכוךעףאכםו םאגאםעאזוםםץאנאךעונטחף÷עסםומבץ³הם³סעגטנ³רףגאעט חאגהאםםסונוהםמ¿ סךכאהםמסע³. ֺ³כך³סעםאגםמ¿ ³םפמנלאצ³¿ ןנטבכטחםמ ג³הןמג³הא÷ למזכטגמסעל ¿¿ מןנאצגאםם ³ המסעאעםהכןנטיםעעןנאגטכםמדמ נ³רוםם. מהמ ולמצ³יםמדמ םאגאםעאזוםם, עמ ץאנאךעונטחף÷עססכאבמ גטנאזוםטלט םודאעטגםטלט ולמצ³יםטלט קטםםטךאלט (הופ³צטע קאסף, ג³הןמג³האכם³סע). ֽאגם³ ףלמגט ÷ סןנטעכטג³ הכףסן³רםמ¿ עא בוחןוקםמ¿ ףלמגט ןנאצ³.

2.1.3 ְםאכ³ח לועמה³ג המסכ³הזוםםעא ץאנאךעונטסעטךא מבכאהםאםם

ֿנט גטךמםאםם³ נמבמעט גטםטךא÷ םומבץ³הם³סעךמנטסעףגאעטסוכוךענטקםטלט ןנטכאהאלט. ׃ גטןאהךף ¿ץ םוסןנאגםמסע³ קט םוןנאגטכםמלף ןמגמהזוםם³ ח םטלט למזכטגטל ÷ ףנאזוםםוכוךענטקםטל סענףלמל.

ׁכ³ה ג³החםאקטעט חאסעמסףגאםםוכוךענמםאדנ³גאכםטץ ןנטכאה³ג ך מסםמגםטץ הזונוכ עוןכא׃ וכוךענמןכטעךט, סףרטכםטץ ראפ ³ עונלמסעאע³ג, םאדנ³גםטץ ןנטכאה³ג הכגטןאנגאםםעמשמ. ־סמבכטגא םובוחןוךא מבףלמגכוםא למזכטג³סעה³¿ םא וכוךענמןנטכאהט ץ³ל³קםמ-אךעטגםמדמ סונוהמגטשא. ִמ רגטהךמדמ גטץמהף ח כאהף וכוךענטקםטץ ןנטכאה³ג ןנטחגמהטעןמןאהאםםםאג³עהףזו לאכטץ ך³כךמסעוי וכוךענמכ³ע³ג, מנדאם³קםטץ נמחקטםםטך³ג, אדנוסטגםטץ נ³הטם, א עאךמז גמהםמ¿ ןאנט ןנט גטךמנטסעאםם³ ךטןכקטץ גמהםטץ באם.

ֵכוךענטקםטי סענףל ÷ םובוחןוקםטל ך ף ןמזוזםמלף ג³הםמרוםם³, עאך ³ הכזטעעכהטםט. ֿמזוזמ-םובוחןוקם³ למלוםעט למזףעגטםטךםףעט ןנט ןונודנ³ג³ וכוךענמןנטכאהף אבמ ימדמ םוסןנאגםמסע³, ןנט ןמדאםמלף ךמםעאךע³ קט ךמנמעךמלף חאלטךאםם³. ֽובוחןוךא הככהטםט גטםטךא÷ ןנט םאגםמסע³ מדמכוםטץ וכוךענמןנמגמה³ג, ןמדאםמלף חאחולכוםם³ אבמ ימדמ ג³הסףעםמסע³ [48].

ֿנט נמבמע³ ח דמנקטלט עא כודךמחאילטסעטלט נוקמגטםאלט למזכטג³ עונל³קם³ מן³ךט. ױ³ל³קם³ מן³ךט למזףעגטםטךםףעט ןנט נמבמע³ ח ךמםצוםענמגאםטלט נמחקטםאלט ךטסכמע עא כףד³ג.

ֿנט םוןנאגטכםמלף ךמנטסעףגאםם³ עמךסטקםטלט נוקמגטםאלט למזכטג³ מענף÷םם.

׀מבמעא ח סךכםטל ןמסףהמל ןמג'חאםא ח למזכטג³סעןמנ³ח³ג ³ ענאגל, עמלף םומבץ³הםמ סףגמנמ המענטלףגאעטסןנאגטכ עוץם³ךט בוחןוךט. ־סמבכטגמ סכ³ה בףעט מבונוזםטל ןנט ג³הךנטגאםם³ אלןףכ.

ֿנט המגדמענטגאכ³י נמבמע³ ח ןונסמםאכםטל ךמלן'‏עונמל ÷ םובוחןוךא ןמד³נרוםםחמנף, ןונוםאןנףזוםםל'חמ-סךוכועםמ¿ עא םונגמגמ¿ סטסעול.

ֿנט גטךמםאםם³ הטןכמלםמ¿ נמבמעט בףכמ גטךמנטסעאםמ לועמה צטךכ³קםמ¿ גמכעאלןונמלוענ³¿ (ײְֲ). ײוי לועמה המחגמכ÷ ןנט םאךכאהאםם³ םא נמבמקטי וכוךענמה ןוגםמדמ ןמעוםצ³אכף ג אםמהםמלף (ךאעמהםמלף) םאןנלךף סןמסעונ³דאעט ן³ךט סענףל³ג, ך³ ג³הןמג³האעמךטסםוםם‏ (ג³הםמגכוםם‏) וכוךענמאךעטגםמ¿ נוקמגטםט. ַל³ם‏‏קט םאןנלמך נמחדמנעךט ןמעוםצ³אכף םא ךאעמהםטי (אםמהםטי) למזםא סןמסעונ³דאעט ן³ךט, ך³ ג³הןמג³האעג³הםמגכוםם‏ (מךטסםוםם‏) ןנמל³זםטץ ןנמהףךע³ג, ך³ ףעגמנ‏‏עסןנט ןונגטםםמלף םאךכאהאםם³ ןמעוםצ³אכף.

־בכאהםאםם׃ צטךכ³קם³ גמכעאלןונמדנאלט (ײְֲ) מהונזףגאכט, גטךמנטסעמגףקט ךמלןכוךס אןאנאעףנט הכוכוךענמץ³ל³קםטץ המסכ³הזום, א סאלו: ןמעוםצ³מסעאע Bipotentiostat, Model AFCBP1, ןנמדנאלאעמנ ֿ׀-8; אםאכמדמ-צטפנמגטי ןונועגמנגאק סןמכףקוםטי ח ןונסמםאכםטל ךמלן’‏עונמל. ֲטךמנטסעמגףגאכט סעאםהאנעםף ענטוכוךענמהםף סךכםף וכוךענמץ³ל³קםף ךמל³נךף מב’÷למל 50 סל3. ׀מבמקטלט בףכט הטסךמג³ ןכאעטםמג³ (ןאכאה³÷ג³) וכוךענמהט, המןמל³זםטל - ןכמסךטי ןכאעטםמגטי וכוךענמה, וכוךענמהמל ןמנ³גםםם - םאסטקוםטי ץכמנסנ³בםטי וכוךענמה. ֶטגכוםםףס³ץ ןנטכאה³ג חה³יסםגאכמסחל³םםטל סענףלמל םאןנףדמ‏ 220 ֲ, סטכמסענףלף 2-3 ְ ³ קאסעמעמ‏ 50 ֳצ.

.1.4 ױאנאךעונטסעטךא מב’÷ךעא המסכ³הזוםם, נוקמגטם, ¿ץם³ץ םובוחןוקםטץ גכאסעטגמסעוי

׀וקמגטםט, שמ גטךמנטסעמגףגאכטסןנט גטךמםאםם³ ןנאךעטקםמ¿ קאסעטםט הטןכמלםמ¿ נמבמעט, ÷ ג ןוגם³י ל³נ³ עמךסטקםטלט [50, 51]׃

ױכמנטהםא ךטסכמעא (HCl) - כועךא בוחבאנגםא נ³הטםא, Mr = 36,46 ד/למכ, ׂןכ = -27,32˚ׁ (38% ךמםצוםענאצ³¿), ׂךטן = 110˚ׁ (20,2% ךמםצוםענאצ³¿), 48˚ׁ (38% ךמםצוםענאצ³¿), ρ = 1,19 ד/סל3. ׁטכםמ ןמהנאחם‏÷ גונץם³ הטץאכם³ רכץט: סכטחמג³ מבמכמםךט, מסמבכטגמ םמסא, חאןאכוםםמבמכמםךט מקוי, מענף÷םםג³הבףגא÷עס, ך ןנאגטכמ, םו דאחמןמה³בםמ ֽׁl, א עףלאםמל סמכםמ¿ ךטסכמעט, ךטי ףעגמנ‏÷עסןנט גחא÷למה³¿ ֽׁl ח ןאנאלט גמהט ף ןמג³ענ³. ֲטךכטךא÷ ץנטןך³סע, ג³הקףעעחאהףץט, ךארוכ, םוזטע. ׁןמסעונ³דא÷עסנףיםףגאםםחףב³ג, רכףםךמגמ-ךטרךמג³ נמחכאהט. ֳִֺ = 15 לד/ל3. ֽאכוזטעהמ 3-דמ ךכאסף םובוחןוךט.

ׁףכפאעםא ךטסכמעא (H2SO4) - ג קטסעמלף גטדכה³ לאסכםטסעא ןנמחמנא בוחבאנגםא נ³הטםא; Mr = 98 ד/למכ, ׂןכ = 10,35˚ׁ, ׂךטן = 330˚ׁ, ρ = 1,834 ד/סל3. ַ גמהמחל³רף÷עסף גס³ץ ג³הםמרוםםץ, גטה³כ‏קט גוכטךף ך³כך³סעעוןכמעט. ֳִֺ = 1 לד/ל3. ֽאכוזטעהמ 3-דמ ךכאסף םובוחןוךט.

ְם³כ³ם (C6H5NH2) - לאסכםטסעא נ³הטםא, לאיזו בוחבאנגםא ג קטסעמלף גטדכה³, מהםאך רגטהךמ עולם³÷ םא ןמג³ענ³ ³ םא סג³עכ³. ּr = 93,13 ד/למכ; ׂןכ = -6,2ºׁ; ׂךטן = 184,4ºׁ, ρ = 1,022 ד/סל3. ׀מחקטםם³סעף גמה³ 3,4%. ֻודךמ נמחקטם÷עסף סןטנע³, ופ³נ³, אצועמם³, זטנאץ. ־ענף÷םםלמזכטג³ ך רכץמל גהטץאםםןאנ³ג, עאך ³ ןנט ןמענאןכםם³ נ³הךמדמ אם³כ³םף םא רך³נף. ְם³כ³ם גטךכטךא÷ חל³םט ךנמג³. ֳמסענו מענף÷םםץאנאךעונטחף÷עסדמכמגםטלט במכלט, סטםרם³סעדףב, גףרםטץ נאךמגטם. ֿנט ב³כר גאזךטץ מענף÷םםץ סןמסעונ³דא÷עסןמד³נרוםםנמבמעט רכףםךמגמ-ךטרךמגמדמ ענאךעף ³ סונצוגמ-סףהטםםמ¿ סטסעולט. ֽו גטךכקא÷עסלמזכטג³סעץנמם³קםמדמ מענף÷םם. ֳִֺ = 0,1 לד/ל3, ךכאס םובוחןוךט - 2.

2 - אל³םמע³מפוםמכ (SHC6H5NH2) - לאסכםטסעא נ³הטםא ח םוןנט÷לםטל חאןאץמל, לאיזו בוחבאנגםא ג קטסעמלף גטדכה³, מהםאך רגטהךמ עולם³÷ םא ןמג³ענ³ ³ םא סג³עכ³. ֻודךמ נמחקטם÷עסף סןטנע³, ופ³נ³, אצועמם³, זטנאץ. ־ענף÷םםלמזכטג³ ך רכץמל גהטץאםםןאנ³ג, עאך ³ ןנט ןמענאןכםם³ נ³הךמדמ אם³כ³םף םא רך³נף. ְם³כ³ם גטךכטךא÷ חל³םט ךנמג³. ֳמסענו מענף÷םםץאנאךעונטחף÷עסדמכמגםטלט במכלט, סטםרם³סעדףב, גףרםטץ נאךמגטם. ֿנט ב³כר גאזךטץ מענף÷םםץ סןמסעונ³דא÷עסןמד³נרוםםנמבמעט רכףםךמגמ-ךטרךמגמדמ ענאךעף ³ סונצוגמ-סףהטםםמ¿ סטסעולט. ֽו גטךכקא÷עסלמזכטג³סעץנמם³קםמדמ מענף÷םם. ֳִֺ = 0,01 לד/ל3, ךכאס םובוחןוךט - 2.

ְלמם³י סףכפאע ((NH4)2SO4) - ב³כטי ךנטסעאכ³קםטי ןמנמרמך, כודךמ נמחקטםםטי ף גמה³, ד³הנמכ³חף÷ ף גמכמדמלף ןמג³ענ³ ח ףעגמנוםםל אלמם³אךף עא סףכפאעםמ¿ ךטסכמעט. Mr = 132 ד/למכ, ρ = 1,769 ד/סל3. ׀מחקטםם³סע 75,4 ד םא 100 ד גמהט. ְלמם³י סףכפאע חא דמסענמןונמנאכםמעא ³םדאכצ³יםמעמךסטקם³סעג³הםמסטעסהמ ןמל³נםמ םובוחןוקםטץ נוקמגטם: 3 ךכאס םובוחןוךט.

ׂוענאץכמנאףנאעםא ךטסכמעא (HAuCl4) - זמגע³ פמעמקףעכטג³ ךנטסעאכט, שמ נמחןכטגאעסםא ןמג³ענ³. ּr = 339,8 ד/למכ; ׂןכ. = 254 °ׁ; d = 3,9 ד/סל3.

ֳוךסאצ³אםמפונאע(III) ךאכ³‏ (K3[Fe(CN)6]) - קונגמםא ךנמג'םא ס³כ, םומענףיםא, ¿¿ נמחקטם לא÷ ךנטגאגמ-קונגמםטי ךמכ³נ. ּr = 329,25 ד/למכ; = 1,845 ד/סל3

ּמזכטג³ םובוחןוךט ןנט גטךמםאםם³ נמבמעט

ֿנט גטךמםאםם³ הטןכמלםמ¿ נמבמעט למזףעגטםטךאעט עאך³ םובוחןוךט:

-       ןמזוזא אבמ חאילאםם;

-       גטבףץ;

-       מענף÷םם;

-       ץ³ל³קם³ ³ עונל³קם³ מן³ךט;

-       ןמנ³חט ³ ענאגלט ןנט נמבמע³ ח³ סךכםטל ןמסףהמל.

.2 ־נדאם³חאצ³יםמ - עוץם³קם³ חאץמהט

2.2.1 ־נדאם³חאצ³ נמבמקמדמ ל³סצ ³ נמבמעט

ִכבוחןוקםמדמ ןנמגוהוםםנמבמעט ג כאבמנאעמנ³¿ גאזכטגו חםאקוםםלא÷ מנדאם³חאצ³ נמבמקמדמ ל³סצ, ימדמ קטסעמעא, חנףקםו, ךמלןאךעםו נמחל³שוםםןנטכאה³ג, המבנו מסג³עכוםם.

ֲטלמדט ונדמםמל³ךט המ נמבמקמדמ ל³סצ :

׀מבמקו ל³סצו גכ÷ סמבמםאילוםרף צ³כ³סםף מהטםטצגטנמבםטצעגא, הו גחא÷למה³‏עענט מסםמגם³ וכולוםעט ןנאצ³ - ןנוהלוע, חאסמבט ³ סףב’÷ךע ןנאצ³; ןנמסעמנמגא מנדאם³חאצ³ נמבמקמדמ ל³סצ - צו נמחל³שוםםף גטחםאקוםמלף ןמנהךף וכולוםע³ג מסםמגםמדמ ³ המןמל³זםמדמ גטנמבםטקמדמ מבכאהםאםםג³הםמסםמ כהטםט, שמ ןנאצ‏÷ ג חאהאםטץ ןנמסעמנמגטץ לוזאץ; ןנמסעמנמגא מנדאם³חאצ³ נמבמקמדמ ל³סצןמגטםםא חאבוחןוקףגאעט:

-       ג³הןמג³הם³סעןכאםףגאםםנמבמקמדמ ל³סצהמ סאם³עאנםטץ ³ ןנמעטןמזוזםטץ גטלמד;

-       בוחןוךף ןנאצ³גםטך³ג;

-       ג³הןמג³הם³סעןנמסעמנמגטץ ג³הםמרוםל³ז וכולוםעאלט נמבמקמדמ ל³סצ, אםענמןמלוענטקםטלט, ב³מלוץאם³קםטלט, פ³ח³מכמד³קםטלט, ןסטץמפ³ח³מכמד³קםטלט ³ ןסטץ³קםטלט למזכטגמסעלט כהטםט, שמ ןנאצ‏÷;

-       למזכטג³סעגטךמםאםםמסםמגםטץ ³ המןמל³זםטץ מןונאצ³י ג נמבמקמלף ןמכמזוםם³, שמ ג³הןמג³הא÷ סןוצטפ³צ³ ענףהמגמדמ ןנמצוסף, ג נאצ³מםאכם³י נמבמק³י ןמח³ ³ ח גטךמנטסעאםםל םאיב³כר ופוךעטגםטץ ןנטימל³ג ןנאצ³;

-       ג³כםו ןונול³שוםםןנאצ³גםטךא ןמ מןעטלאכםטץ ענא÷ךעמנ³ץ;

-       המסעאעםןכמשף הכנמחל³שוםםמבכאהםאםם, ³םסענףלוםעף, חאסמב³ג ךמםענמכ‏, הועאכוי עא ³ם.

ֿנמסעמנמג³ ³ נמחל³נם³ ג³הםמרוםםל³ז וכולוםעאלט נמבמקמדמ ל³סצןמגטםם³ המחגמכעט:

-       נמחל³שוםםןנאצ³גםטךא ח גנאץףגאםםל נמבמקטץ נףץ³ג ³ ןונול³שוםחד³הםמ ח עוץםמכמד³קםטל ןנמצוסמל;

-       מןעטלאכםטי מדכה הזונוכא ג³חףאכםמ¿ ³םפמנלאצ³¿;

-       חל³םף נמבמקמ¿ ןמחט ³ ןמכמזוםם;

-       נאצ³מםאכםו נמחל³שוםםמסםמגםטץ ³ המןמל³זםטץ חאסמב³ג ןנאצ³;

־במג’חךמגמףלמגמ‏ ÷ עו, שמ םא נמבמקמלף ל³סצ³ ןמגטםם³ חםאץמהטעטסכטרו ע³ עוץם³קם³ חאסמבט, ך³ םומבץ³הם³ הכגטךמםאםםנמבמקמדמ חאגהאםם, ³ נמחל³שףגאעטסגמםט ןמגטםם³ ג לוזאץ המסזםמסע³, ח לועמגטךכקוםםקאסעטץ םאץטכ³ג ³ ןמגמנמע³ג ךמנןףסף כהטםט, שמ ןנאצ‏÷.

ֿונוה ןמקאעךמל נמבמעט םומבץ³בםמ ןנמיעט ³םסענףךעאז ח עוץם³ךט בוחןוךט. ֹמדמ ןנמגמהטעךונ³גםטך הטןכמלםמ¿ נמבמעט. ְ עאךמז םומבץ³הםמ ן³הדמעףגאעט נמבמקו ל³סצו ³ כאבמנאעמנםו מבכאהםאםם, ןונוג³נטעט סןנאגם³סעדאחמ- ³ גמהמןנמגמה³ג, םאגם³סע ³ סןנאגם³סעוכוךענממבכאהםאםם, מהדםףעט ץאכאע, ןנמג³ענטעט ןנטל³שוםםןנמעדמל 20 ץגטכטם, ףג³לךםףעט גטעזםף גוםעטכצ³‏.

ֿונוה ןמקאעךמל נמבמעט םומבץ³הםמ:

-       מהדםףעט סןוצמהד, לאעט נףךאגטצ³ ³ חאץטסם³ מךףכנט;

-       ןונוג³נטעט חאחולכוםםוכוךענמןנטכאה³ג.

-       ֿ³סכחאך³םקוםםנמבמעט םומבץ³הםמ:

-       גטלךםףעט וכוךענמזטגכוםם;

-       ןנטבנאעט נמבמקו ל³סצו.

ֿונוה עטל ך גטיעט ח כאבמנאעמנ³¿ םומבץ³הםמ גןוגםטעטס, שמ םא ךמזםמלף נמבמקמלף סעמכ³ ³ ף גטעזםטץ ראפאץ ג³הךכקוםא גמהא ³ וכוךענמןנטכאהט, ןונוךנטע³ דאחמג³ כ³ם³¿, ף חלמםעמגאםטץ ןנטכאהאץ חאגונרטכטסץ³ל³קם³ ןנמצוסט.

ִמ נמבמעט ג ץ³ל³קם³י כאבמנאעמנ³¿ המןףסךאעסמסמבט, שמ ןנמירכט לוהטקםטי מדכה עא ³םסענףךעאז ןמ עוץם³צ³ בוחןוךט. ֱףה-ך³ נמבמעט ןמענ³בםמ גטךמםףגאעט עמקםמ, אךףנאעםמ, בוח ןמסן³ץף. ֽא נמבמקמלף ל³סצ³ ןמגטםם³ חםאץמהטעטסע³כךט םומבץ³הם³ הכגטךמםאםםנמבמעט נואךעטגט, ןנטכאהט. ×לםמסע³ ח נואךעטגאלט ³ ץ³ל³קםטלט נוקמגטםאלט, שמ חבונ³דאעסג כאבמנאעמנ³¿ (ג עמלף קטסכ³ ÷לםמסע³ ח ןנמל³זםטלט ןנמהףךעאלט, שמ םו גטךמנטסעמגףעסג³הנאחף) ןמגטםם³ בףעט ח ועטךועךאלט, ח נמחב³נכטגטלט םאהןטסאלט. ֿמענ³בםמ סכ³הךףגאעט חא חבונ³דאםםל קטסעמעט נואךעטג³ג.

ֲ ךמזםמלף נמבמקמלף ןנטל³שוםם³ םא גטהםמלף ל³סצ³ ןמגטםםא חםאץמהטעטסאןעוקךא, ןמגם³סעףךמלןכוךעמגאםא ג³הןמג³הםמ המ ץאנאךעונף נמב³ע, שמ גטךמםףעסג כאבמנאעמנ³¿.

ֲ כאבמנאעמנ³¿ ןמגטםםמ חםאץמהטעטסםו לוםרו 2-ץ קמכמג³ך ןנט גטךמםאםם³ נמב³ע, שמ ןמג’חאם³ ח בףה-ךמםובוחןוךמ‏ (נמבמעט ח גטסמךטלט ³ םטחךטלט עולןונאעףנאלט, וכוךענטקםטל סענףלמל ³ ע. ה.) [51].

ַאבמנמם÷עסבוח םאדכהף חאכטראעט נמבמק³ ףסעאםמגךט, גךכקום³ וכוךענמםאדנ³גאכם³ ןנטכאהט, דאחמג³ ןאכםטךט.

ֿונוה עטל ך חאכטרטעט כאבמנאעמנ³‏, ןמענ³בםמ ןונוךמםאעטס, שמ גטלךםום³ גטעזם³ ראפט, וכוךענמןנטכאהט, ןונוךנטע³ כ³ם³¿ ןמהאק³ דאחף עא גמהט.

ֿנט נמבמע³ ח ןונסמםאכםטל ךמלן’‏עונמל [52] מנדאם³חאצ³ נמבמקמדמ ל³סצןמגטםםא ג³הןמג³האעט גטלמדאל בוחןוךט [53]:

-       ןכמשא מהםמדמ נמבמקמדמ ל³סצןמגטםםא סךכאהאעט םו לוםרו 6 ל2, א מב’÷ל - םו לוםרו 20 ל3;

-       נמבמקא ןמגונץםןמגטםםא חםאץמהטכאסםא גטסמע³ 68-80 סל, סע³כוצלא÷ בףעט מסםאשוםטי ן³הימלםטל ןנטסענמ÷ל, א ךףע ל³ז ןכוקול ³ ןונוהןכ³קקל סךכאהא÷ ב³כרו 90°;

-       גטסמעא נמבמקמ¿ ןמגונץם³ סעמכף לא÷ בףעט ג לוזאץ 680-800 לל, רטנטםא ─ 600-1400 לל, דכטבטםא ─ 800-1000 לל;

-       נמבמקו סטה³םםןמגטםםמ לאעט עאך³ מסםמגם³ וכולוםעט: סטה³םם, סןטםךף עא סעאצ³מםאנם³ אבמ חל³םם³ ן³הכמך³עםטךט;

-       ג³הסעאםג³ה וךנאםא המ מךא ןנאצ³גםטךא ןמגטםםא בףעט מןעטלאכםמ‏, אכו םו בכטזקו 600 לל, ח ףנאץףגאםםל נמחל³נף אכפאג³עםמ-צטפנמגטץ חםאך³ג עא סטלגמכ³ג;

-       מןעטלאכםא גטסמעא חםאך³ג בףכא םו לוםרא 3,1 לל, א רטנטםא ןמגטםםא סעאםמגטעט 60-70% ג³ה גטסמעט;

-       ךכאג³אעףנף סכ³ה נמחל³שףגאעט םא ןמגונץם³ סעמכף םא סןוצ³אכם³י, נודףכמגאם³י חא גטסמעמ‏, נמבמק³י ןמגונץם³, מךנולמ ג³ה סעמכף םא ג³הסעאם³ 100-300 לל ג³ה ךנא‏, בכטזקמדמ המ ןנאצ³גםטךא. ֺףע םאץטכף ךכאג³אעףנט לא÷ בףעט ג לוזאץ 5-15°.

-       ךמםסענףךצ³ נמבמקמדמ ל³סצלא÷ חאבוחןוקףגאעט ן³הענטלאםםמןעטלאכםמ¿ נמבמקמ¿ ןמחט;

-       מןעטלאכםא סךנאג³סעוךנאםף בףכא 100 ךה/ל².

-       קאסעמעא נודוםונאצ³¿ וךנאםף ןמגטםםא סעאםמגטעט הכלמם³עמנ³ג ח ֵֿׂ ≥ 85ֳצ. ־סג³עכום³סענמבמקמ¿ ןמגונץם³ בףכא םו לוםרו 200 כךס, א סן³גג³הםמרוםם סךנאגמסע³ וךנאםף המ פמםף לא÷ סעאםמגטעט 3:1.

.2.2 ׁאם³עאנםמ-ד³ד³÷ם³קם³ גטלמדט המ ףלמג ןנאצ³

ַאץמהט בוחןוךט ןנט נמבמע³ ח ץ³ל³קםטלט נוקמגטםאלט ןמגטםם³ בףעט םאןנאגכום³ םא ןמןונוהזוםםלמזכטגמסע³ ןנמםטךםוםם ¿ץ ג מנדאם³חל קונוח כודום³, רך³נף, נמע.

ַאבוחןוקוםםמןעטלאכםטץ ןאנאלוענ³ג ל³ךנמךכ³לאעף ³ המןףסעטלטץ ךמםצוםענאצ³י רך³הכטגטץ נוקמגטם חה³יסם‏÷עסחא המןמלמדמגוםעטכצ³¿, ךמםהטצ³‏גאםם [54]. ֲוםעטכצ³יםו מבכאהםאםםןמגטםםמ בףעט נמחנאץמגאםו םא עאךף ןמעףזם³סע, שמב רגטהך³סענףץף ןמג³ענג ןונונ³ח³ ג³הךנטעטץ הגונוי גטעזםמ¿ ראפט 40-50 סל סעאםמגטכא 0,7 ל/c. ַאהםסע³םךא ³ נמבמקטי סע³כ גטעזםמ¿ ראפט ןמגטםם³ בףעט מבךכאהום³ ןכטעךמ‏. ֺמופ³צ³÷םע ןנטנמהםמדמ מסג³עכוםםג ןנטל³שוםם³ ןנט במךמגמלף סג³עכ³ ןמגטםום סעאםמגטעט 1,5 %. ֲוכטקטםא מסג³עכוםמסע³ ף כאבמנאעמנ³¿ 300 כך. ־סג³עכוםםלא÷ בףעט ךמלב³םמגאםו [55].

ֽא ןנאצוחהאעם³סעף כאבמנאעמנ³¿ גןכטגאעןאנאלוענט ל³ךנמךכ³לאעף, ך³ ןמגטםם³ בףעט:

א) ג ץמכמהםף ןמנף נמךף: עולןונאעףנא נ³גםא 21-24°ׁ, ג³הםמסםא גמכמד³סעןמג³ענ - 40-60%, רגטהך³סענףץף ןמג³ענ 0,1 ל/ס;

ב) ג עוןכף ןמנף נמךף: עולןונאעףנא נ³גםא 22-25°ׁ, ג³הםמסםא גמכמד³סעןמג³ענ - 40-60%, רגטהך³סענףץף ןמג³ענ 0,1-0,2 ל/ס.

׀³גוםרףלף םו ןמגטםום ןונוגטשףגאעט 55הֱ. ֲ כאבמנאעמנ³¿ ךאעודמנטקםמ חאבמנמם÷עס ¿סעט, ןטעט, ןאכטעט, חבונ³דאעט ץאנקמג³ ןנמהףךעט. ֿ³סכחאך³םקוםםנמבמעט םומבץ³הםמ ןמלטעט נףךט גמהמח לטכמל.

׃ כאבמנאעמנ³¿ ןמגטםםא בףעט אןעוקךא ח לוהטךאלוםעאלט, ך³ םומבץ³הם³ הכםאהאםםןונרמ¿ לוהטקםמ¿ המןמלמדט.

.2.3 ַאץמהט שמהמ בוחןוךט ן³ה קאס נמבמעט ח מבכאהםאםםל, מב’÷ךעמל המסכ³הזוםם ³ נוקמגטםאלט

ֽאיב³כר ןמרטנוםא םובוחןוךא ג כאבמנאעמנם³י ןנאךעטצ³ - גהטץאםםרך³הכטגטץ נוקמגטם, שמ למזו גנורע³ ןנטגוסעט המ ץנמם³קםטץ מענף÷ם. ׂמלף נמבמעט ח נ³הךטלט, כועךטלט, א עאךמז ןטכמןמה³בםטלט עגונהטלט נוקמגטםאלט המחגמכ÷עסןנמגמהטעט כטרו ף גטעזם³י ראפ³ ןנט גךכקום³י גוםעטכצ³¿.

׃ נמבמקטץ ןנטל³שוםםץ םו סכ³ה סעגמנגאעט חאןאסט נואדוםע³ג - קונוח םוש³כם³סעףןאךמגךט גמםט למזףעגטןאנמגףגאעטס ³ מענףגאעט אעלמספונף.

ֲ אגאנ³יםטץ סטעףאצ³ץ, ךמכט חה³יסם‏÷עסגטךטה מענףיםטץ ןאנ³ג קט דאח³ג, חאכטראעטסג כאבמנאעמנ³¿ למזםא כטרו ג ןנמעטדאח³. ־סמבטסע³ ןנמעטדאחט ךמזםמדמ ןנאצ³גםטךא לאעחםאץמהטעטסג נמבמק³י ך³לםאע³ םא גטהםמלף ל³סצ³.

ֽובוחןוקםטל ÷ ןמענאןכםםרך³הכטגטץ נוקמגטם םא רך³נף, עאך ך באדאעמ נוקמגטם (אם³כ³ם) גמכמה³‏עחהאעם³סעגסלמךעףגאעטסקונוח רך³נף.

ֿנאצגאעט ג כאבמנאעמנ³¿ המחגמכ÷עסכטרו ג סןוצמהח³ (ץאכאע³), ךטי חאץטשא÷ מסמבטסעטי מהד ג³ה םאךמןטקוםםרך³הכטגטץ נוקמגטם.

׃ ךמזם³י כאבמנאעמנ³¿ ןמגטםום בףעט ףלטגאכםטך ³ פום הכלטעע ³ סףרךט נףך. ֲטךמנטסעאםםדףלמגטץ נףךאגטקמך ןנט נמבמע³ ח ץ³ל³ךאעאלט ף באדאעמץ גטןאהךאץ סכףזטעהמסעאעםמל³נמהכחאןמב³דאםםחאבנףהםוםם‏.

ּטעט ןמסףה סכ³ה ג³הנאחף ן³סכימדמ גטךמנטסעאםם. ֱאזאםמ, שמב ךמזום סן³גנמב³עםטך לטג סג³י ןמסףה סאלמסע³יםמ. ײו למזףעחנמבטעט ³םר³, ךשמ חאבנףהםוםםםו עמךסטקם³ ³ כודךמ חלטגאעס. ּטעט ןמסףה סכ³ה ף דףלמגטץ נףךאגטקךאץ. ֽאיןנמסע³רטי ³ המסעףןםטי לועמה - לטעעדאנקמקט לטכםמגמהמ‏. ִכ חלוםרוםםםאךמןטקוםםרך³הכטגטץ נוקמגטם ג ץ³ל³קם³י כאבמנאעמנ³¿ םומבץ³הםמ שמהוםםמ ןנמגמהטעט גמכמדו ןנטבטנאםם.

׃ כאבמנאעמנ³ץ חאבמנמם÷עס:

-       ןנמגמהטעט בףה-ך³ נמבמעט, ך³ םו ןמג’חאם³ ח גטךמםאםםל המנףקוםטץ חאגהאם;

-       ךמנטסעףגאעטסנואךעטגאלט בוח ועטךועמך קט ח םו ק³עךטלט םאןטסאלט םא םטץ;

-       חאכטראעט בוח םאדכהף ןנאצ‏‏ק³ ףסעאםמגךט, גג³לךםום³ וכוךענמ-םאדנ³גאכם³ ןנטכאהט, דאחמג³ ןאכםטךט;

-       חכטגאעט ג נאךמגטםף ג³הץמהט ץ³ל³קםטץ נואךעטג³ג, מנדאם³קםטץ נמחקטםםטך³ג, גמהם³ נמחקטםט ץ³ל³קםטץ נוקמגטם;

-       ןנאצגאעט ג כאבמנאעמנ³¿ מהםמלף.

ֲס³ סן³גנמב³עםטךט כאבמנאעמנ³¿ חמבמג’חאם³ גמכמה³עט ןנטימלאלט ןונרמ¿ לוהטקםמ¿ המןמלמדט, ןנט םושאסםטץ גטןאהךאץ גל³עט םאךכאהאעט ןמג’חךט הכחףןטםךט ךנמגמעוק³, נמבטעט רעףקםו הטץאםם, םוןנלטי לאסאז סונצ. ׃ ךמזםמלף ןנטל³שוםם³ ןמגטםםא בףעט ףךמלןכוךעמגאםא אןעוקךא ןונרמ¿ לוהטקםמ¿ המןמלמדט. ֲ ןנמצוס³ נמבמעט גטלאדא÷עסהמענטלאםםנהף גטלמד:

-       המחגמכ÷עסךמנטסעףגאעטסכטרו סןנאגםטלט וכוךענמןנטכאהאלט ³ סןמכףקםטלט ןנמגמהאלט;

-       גס³ ןנמגמהט, שמ חםאץמהעסן³ה םאןנףדמןמגטםם³ בףעט ³חמכמגאם³ לאעונ³אכמל, סע³יךטל המ ה³¿ אדנוסטגםטץ סונוהמגטש;

-       חאבמנמם÷עסןונוםמסטעט ³ נולמםעףגאעט וכוךענממבכאהםאםם, שמ חםאץמהטעסן³ה םאןנףדמ‏.

מב ףםטךםףעט םושאסםטץ גטןאהך³ג ןנט נמבמע³ ח מב’÷ךעמל המסכ³הזוםםעא נוקמגטםאלט םומבץ³הםמ גטךמםףגאעט ג³הןמג³הם³ ןנאגטכא:

-       מהדםףעט סןוצמהד, לאעט ןנט סמב³ נףךאגטצ³ ³ חאץטסם³ מךףכנט;

-       םו ן³חם³רו ך חא 20 ץגטכטם המ ןמקאעךף נמבמעט גג³לךםףעט גוםעטכצ³‏ ³ ןונוג³נטעט ¿¿ ופוךעטגם³סע;

-       ןנט נמבמע³ ח ¿הךטלט נוקמגטםאלט ןמענ³בםמ מסמבכטגמ חאץטשאעט מק³ ³ נףךט;

-       ןנט םאןמגםוםם³ ן³ןועךט ¿הךטלט עא מענף‏‏קטלט נוקמגטםאלט ךמנטסעףגאעטסדףלמגמדנףרו‏, ם³ ג ךמלף נאח³ םו עדםףעט נ³הטםף נמעמל;

-       גס³ נמבמעט ח ¿הךטלט ³ עמךסטקםטלט נוקמגטםאלט ןנמגמהטעט ף גטעזם³י ראפ³;

-       סטכםמה³‏ק³ מענףים³ נוקמגטםט חבונ³דאעט מךנולמ ג³ה גס³ץ נואךעטג³ג ג חאןכמלבמגאםטץ ראפאץ;

-       גס³ נמבמעט ןמ ןנטדמעףגאםםןנמגמהטעט ף גטעזם³י ראפ³;

-       באםךט עא ³םרטי ןמסףה ח נוקמגטםאלט חאבמנמם÷עססעאגטעט םא נמבמקטי סע³כ ב³כוכוךענמןנטכאה³ג, הכצמדמ ג³הגמהעסןוצ³אכםו ל³סצו;

-       נמחקטםט הכןנמגוהוםםהמסכ³ה³ג גטכטגאעף סןוצ³אכםמ ןנטדמ-עמגאםטי הכצמדמ ןמסףה;

-       שמב ףםטךםףעט עונל³קםטץ מן³ך³ג, ןמסףה ³ח סףרטכםמ¿ ראפט ןמענ³בםמ גטילאעט ע³כךט ן³סכמץמכמהזוםםימדמ המ ך³לםאעםמ¿ עולןונאעףנט.

-       ן³סכחאך³םקוםםנמבמעט ןנטבנאעט נמבמקו ל³סצו ³ גטלטעט נףךט ח לטכמל.

-       נוקמגטםט ןמגטםם³ חבונ³דאעטסג דונלועטקם³י ןמסףהטם³;

-       גס³ נמבמעט ח םטלט ןמענ³בםמ ןנמגמהטעט ן³ה גטעזםמראפמ‏;

-       םא ןמסףה³ ןמגטםםא בףעט ועטךועךא;

-       םומבץ³הםמ המענטלףגאעטסןנאגטכ מסמבטסעמ¿ ד³ד³÷םט [57].

ֿ³ה קאס נמבמעט ח ךמםצוםענמגאםטלט ךטסכמעאלט ענובא ןאל'עאעט, שמ גמםט סןנטקטם‏‏עחםוגמהםוםםרך³נט עא עךאםטם, ןנטקמלף סעףן³םמן³ךף ןונוהףס³ל חאכוזטעג³ה מךטסםגאכםטץ גכאסעטגמסעוי ךטסכמעט. ִ³‏ ךמםצוםענמגאםטץ ךטסכמע למזםא נ³חךמ ןמסכאבטעט, ךשמ ג³הנאחף ן³סכןמענאןכםםםא רך³נף חלטעט ¿ץ גוכטךמך³כך³סעגמהט. ֿ³ה קאס נמבמעט ח ךמםצוםענמגאםטלט ךטסכמעאלט םומבץ³הםמ ךמנטסעףגאעטסחאץטסםטלט מךףכנאלט, נףךאגטצלט עא לאעט םא סמב³ ץאכאע. ֿ³ה קאס נמבמעט ח כודךמחאילטסעטלט נוקמגטםאלט ןמענ³בםמ המענטלףגאעטסעאךטץ ןנאגטכ:

-       ףס³ נמבמעט ח כודךמחאילטסעטלט נוקמגטםאלט ןנמגמהטעט ןמהאכ³ ג³ה ג³הךנטעטץ הזונוכ ןמכףל’ , א עאךמז ג³ה םאדנ³גםטץ ןנטכאה³ג;

-       נמבמעט גטךמםףגאעט ף גטעזם³י ראפ³;

-       גטךמנטסעמגףגאעט חאץטסם³ מךףכנט, נףךאגטצ³, ץאכאע.

.3 ֱוחןוךא ג םאהחגטקאיםטץ סטעףאצ³ץ

2.3.1 ֿנמעטןמזוזם³ עא ןנמעטגטבףץמג³ חאץמהט

ּמזכטגטלט ןנטקטםאלט גטםטךםוםםןמזוז³ םא נמבמקמלף ל³סצ³ ÷ מדמכום³סעהנמע³ג וכוךענמןנטכאה³ג, ךמנמעךו חאלטךאםם, םומבונוזםו ןמגמהזוםםח כודךמחאילטסעטלט נוקמגטםאלט.

ִכןמןונוהזוםםלמזכטגמסעוי חאדמנאםם ³ גטםטךםוםםןמזוז ג כאבמנאעמנ³¿ ןמענ³בםמ [55]:

1.      ׀מבמק³ ל³סצ ³ ןנמץמהט חג³כםטעט ג³ה םוןמענ³בםטץ ןנוהלוע³ג.

.        ֻודךמחאילטסע³ נוקמגטםט חבונ³דאעט ף עמגסעמסע³םםמלף ןמסףה³ ח ןנטעונעטל ךמנךמל, מב’÷למל םו ב³כרו מהםמדמ כ³ענא, ןמל³שוםמלף ג לועאכוגטי שטך.

.        ֽו ןנאצגאעט ח כודךמחאילטסעטלט נוקמגטםאלט ב³כג³הךנטעמדמ גמדם‏ ³ וכוךענמםאדנ³גאכםטץ ןנטכאה³ג.

.        ֽו גטכטגאעט דמנק³ נוקמגטםט ג ךאםאכ³חאצ³‏.

.        ַאןמב³דאעט נמחכטגאםםעא נמחסטןאםםכודךמחאילטסעטץ נוקמגטם.

.        ַאבמנמם÷עסגלטךאעט וכוךענמןנטכאהט, םו ןונוג³נטגרט ¿ץ םאןנףדף, ³חמכצ³‏, חאחולכוםם. ׃ גטןאהךף סןאכאץף נ³הטם םומבץ³הםמ[56]:

-       ןמג³המלטעט סן³גנמב³עםטך³ג;

-       גטלךםףעט חאדאכם³ דאחמג³ ךנאםט, נףבטכםטך וכוךענטקםמדמ סענףלף ³ גוםעטכצ³‏;

-       גטםוסעט גוסןמסףה ח דמנקטלט נוקמגטםאלט;

-       כ³ךג³הףגאעט ןמזוזף, גטךמנטסעמגףקט םאיב³כר ופוךעטגם³ הכהאםמדמ גטןאהךף חאסמבט דאס³םםןמזוז³. ²ח חאץמה³ג ןנמעטןמזוזםמדמ חאץטסעף ג כאבמנאעמנ³¿ םאגם³ הגא גמדםודאסםטךט לאנמך ־ױֿ-5 ³ ־׃-5, אחבוסעמג³ ךמגהנט, ן³סמך, ג³הנא, כמןאעט.

.3.2 ־נדאם³חאצ³ וגאךףאצ³¿ ןנאצ³גםטך³ג

ֵגאךףאצ³ ןנאצ³גםטך³ג עא סעףהוםע³ג ³ח כאבמנאעמנ³¿ ¹3-025 ךאפוהנט פ³חטקםמ¿ עא ךמכמ¿הםמ¿ ץ³ל³¿ ן³ה קאס םאהחגטקאיםטץ סטעףאצ³י חה³יסם‏÷עסחד³הםמ סץולט וגאךףאצ³¿, שמ םאגוהוםא םא נטס. 2.1. ִכבוחןוקםמ¿ וגאךףאצ³¿ רכץט עא גטץמהט לאעג³הןמג³האעט עאךטל גטלמדאל [57]:

-       וגאךףאצ³ים³ רכץט ³ גטץמהט ןמגטםם³ ףענטלףגאעטסג³כםטלט, םו חאץאנאשףגאעטסעא ף נאח³ ןמענובט חאבוחןוקףגאעט וגאךףאצ³‏ גס³ץ כהוי, ך³ ןונובףגאעף ןנטל³שוםםץ;

-       ך³כך³סעעא נמחל³נט וגאךףאצ³יםטץ גטץמה³ג, ¿ץם³ ךמםסענףךעטגם³ נ³רוםם, ףלמגט מסג³עכוםמסע³, חאבוחןוקוםםםו חאהטלכוםמסע³, ןנמעזם³סערכץ³ג וגאךףאצ³¿, ¿ץם÷ מחהמבכוםםןמגטםם³ ג³הןמג³האעט ןנמעטןמזוזםטל גטלמדאל בףה³גוכםטץ םמנל;

-       ף ןנטל³שוםם³, ךו לא÷ מהטם וגאךףאצ³יםטי גטץ³ה, המחגמכ÷עסמהםמקאסםמ נמחל³שףגאעט םו ב³כרו 50 מס³ב, א ף נאח³ ןונובףגאםםג םמלף ןמםאה 50 מס³ב ןמגטםםמ בףעט שמםאילוםרו הגא גטץמהט, ך³ ג³הןמג³האעגטלמדאל בףה³גוכםטץ םמנל;

-       הגונ³ םא רכץאץ וגאךףאצ³¿ ןמגטםם³ ג³הקטםעטסג םאןנלךף גטץמהף ח בףה³גוכ ³ חאלטךאעטסכטרו םא גםףענ³רם³ חאןמנט, ך³ כודךמ ג³הלטךאעס.

ַאדאכם³ גטלמדט המ וגאךףאצ³יםטץ גטץמה³ג, ךטלט סכףזאעהגונם³ מעגמנט, שמ גוהףעח ןנטל³שום:

-       בוחןמסונוהםמ םאחמגם³;

-       םא סץמהמגטי לאיהאםקטך ח גטץמהמל םאחמגם³ בוחןמסונוהםמ אבמ קונוח גוסעטבכ;

-       ף ןנמץ³ה אבמ ךמנטהמנ ח בוחןמסונוהם³ל גטץמהמל םאחמגם³ אבמ םא סץמהמגטי לאיהאםקטך;

-       ף סףס³הם³ ןנטל³שוםםעמדמ ז ןמגונץף, שמ םו ל³סעעגטנמבםטצעג, ך³ םאכוזאעחא גטבףץמןמזוזםמעא ןמזוזםמםובוחןוךמהמ ךאעודמנ³י ְ, ֱ עא ֲ עא לאעבוחןמסונוהם³י גטץ³ה םאחמגם³ אבמ םא סץמהמגטי לאיהאםקטך.

״כץט עא גטץמהט םא ךאפוהנ³ פ³חטקםמ¿ עא ךמכמ¿הםמ¿ ץ³ל³¿ ג³הןמג³האעןמזוזםטל גטלמדאל.

׀טסףםמך 2.1 - ׁץולא וגאךףאצ³¿ ןנאצ³גםטך³ג עא סעףהוםע³ג ³ח כאבמנאעמנ³¿ ¹025 ךאפוהנט פ³חטקםמ¿ עא ךמכמ¿הםמ¿ ץ³ל³¿.

2.4 ֲטסםמגךט המ נמחה³כף

1.      ֻאבמנאעמנ³ ןנטהאעםא המ ןנמגוהוםםוכוךענמץ³ל³קםטץ המסכ³הזום. ֲ³הןמג³הא÷ גטלמדאל בוחןוךט ³ מץמנמםט ןנאצ³.

.        ֿנט גטךמםאםם³ האםמ¿ הטןכמלםמ¿ נמבמעט גןכטג נ³חםטץ ץ³ל³קםטץ נוקמגטם םא המגך³ככ ÷ םוחםאקםטל, במ ך³כךמסע³, ח ךטלט ןנאצ‏‏ע, ÷ םוגוכטך³.

.        מב חגוסעט המ ל³ם³לףלף למזכטג³סעגטםטךםוםםםוןונוהבאקוםטץ סטעףאצ³י עא םושאסםטץ גטןאהך³ג ןנאצ³גםטךט ןמגטםם³ בףעט ןטכםטלט ןנט בףה-ך³י נמבמע³, המענטלףגאעטסןנאגטכ עוץם³ךט בוחןוךט ןנט נמבמע³ ח מבכאהםאםםל עא ץ³ל³קםטלט נוקמגטםאלט.

3. ֵךסןונטלוםעאכםא קאסעטםא

3.1 ױאנאךעונטסעטךא נואךעטג³ג

ְם³כ³ם (ׁ6ֽ5NH2) - לאסכםטסעא נ³הטםא, לאיזו בוחךמכ³נםא ג קטסעמלף גטדכה³, מהםאך רגטהךמ עולם³÷ םא סג³עכ³. ּr = 93,14 ד/למכ; ׂןכ. = 6,2°ׁ; ׂךטן. = 184,4°ׁ; d420 = 1,022 ד/סל3; נמחקטםם³סעסעאםמגטע 3,6 ד םא 100 לכ גמהט. ֻודךמ נמחקטם÷עסף סןטנע³, ופ³נ³, אצועמם³, זטנאץ. ֲ נמבמע³ גטךמנטסעמגףגאכט לאנךט ק.ה.א., ךמענטי המהאעךמגמ מקטשאכט ןונודמםךמף אעלמספונ³ אנדמםף ןנט חאכטרךמגמלף עטסךף 10 לל.נע.סע.

ׁףכפאעםא ךטסכמעא (ֽ2SO4) - לאסכםטסעא ןנמחמנא נ³הטםא. ּr = 98 ד/למכ; ׂןכ. = -10,37°ׁ; ׂךטן = 330°ׁ; d = 1,834. ַל³רף÷עסח גמהמף בףה-ךטץ סן³גג³הםמרוםםץ. ֲטךמנטסעמגףגאכט לאנךט ץ.ק.

ֽאענ³י ןונמךסטהטסףכפאע (Na2S2O8) - בוחבאנגם³ ךנטסעאכט. ּr = 238 ד/למכ; ׂןכ. = 120°ׁ ח נמחךכאהאםםל; d420 = 1,982 ד/סל3. ֲטךמנטסעמגףגאכט לאנךט ק.ה.א.

ְלמם³י ןונמךסטהטסףכפאע ((NH4)2S2O8) - בוחבאנגם³ ךנטסעאכט. ּr = 228,20 ד/למכ; ׂןכ. = 120°ׁ ח נמחךכאהאםםל; d420=1,982 ד/סל3. ֲטךמנטסעמגףגאכט לאנךט ק.ה.א.

ׂוענאץכמנאףנאעםא ךטסכמעא (HAuCl4) - זמגע³ פמעמקףעכטג³ ךנטסעאכט, שמ נמחןכטגאעסםא ןמג³ענ³. ּr = 339,8 ד/למכ; ׂןכ. = 254 °ׁ; d = 3,9 ד/סל3. ֲטךמנטסעמגףגאכט לאנךט Sigma. ׳טסעמעא ןמ חמכמעף 99,999 %.

ֳוךסאצ³אםמפונאע(III) ךאכ³‏ (K3[Fe(CN)6]) - קונגמםא ךנמג'םא ס³כ, ¿¿ נמחקטם לא÷ ךנטגאגמ-קונגמםטי ךמכ³נ. ּr = 329,25 ד/למכ; d = 1,845 ד/סל3

אל³םמע³מפוםמכ - בוחבאנגםא נ³הטםא ׂךטן.=212 °ׁ, לאנךט 99% Alfa Aesar , גטךמנטסעמגףגאכט בוח ןמןונוהםמ¿ מקטסעךט ּr = 125,19 ד/למכ;

אל³םמע³מפוםמכ - נ³הטםא סג³עכמ זמגעמדמ ךמכמנף, ׂךטן.=196°ׁ לאנךט Sigma, גטךמנטסעמגףגאכט בוח ןמןונוהםמ¿ מקטסעךט

אל³םמע³מפוםמכ - זמגע³ ךנטסעאכט, ׂןכ. = 42 °ׁ, לאנךט Sigma, גטךמנטסעמגףגאכט בוח ןמןונוהםמ¿ מקטסעךט

ִטסעטכמגאםא גמהא - מענטלאםא ח הטסעטכעמנא ִ×-4ג, נֽ=6.6, ןנמג³הם³סע 14 ּ־ל/סל

3.2 ־בכאהםאםם

ֲמכעאלןונמלוענטקם³ המסכ³הזוםםןנמגמהטכט םא ןמעוםצ³מסעאע³ לאנךט PINE CHEM COMPANY למהוכ AFCBP 1. ֺטסכמעם³סענמחקטם³ג ךמםענמכגאכט םא נֽ-לוענ³ לאנךט 150ּ (ֳמלוכסךטי חאגמה טחלונטעוכםץ ןנטבמנמג, ׀וסןףבכטךא ֱוכאנףס) ח ךמלב³םמגאםטל סךכםטל וכוךענמהמל. ֿנט ןנמגוהוםם³ וךסןונטלוםע³ג גטךמנטסעמגףגאכט ל³נם³ ךמכבט, ץ³ל³קם³ סעאךאםט, צטכ³םהנט, א הכהמחףגאםםנמחקטם³ג - ל³נם³ צטכ³םהנט עא ן³ןועךט 2 ךכ.עמקםמסע³.

ִכחםעע ²׳-סןוךענ³ג גטךמנטסעמגףגאכט Nicolet 10 FT-IR סןוךענמלוענ

ֵכוךענמםם³ ל³ךנמפמעמדנאפ³¿ ׀EM, א עאךמז וםונדמ-הטסןונס³יםא סןוךענמסךמן³ בףכט גטךמםאם³ ח המןמלמדמנאסענמגמדמ וכוךענמםםמדמ ל³ךנמסךמןא -ל³ךנמאםאכ³חאעמנא ׀ְּּ-102-02.

ַנאחךט הכהמסכ³הזוםדמעףגאכט םאםוסוםםל ןמכ³אם³כ³םף קט ךמלןמחטעף ח נמחקטםף N-לועטכן³נמכ³המםף םא רכ³פמגאםף ןכאעטםמגף ןכאסעטםךף.

ִכמענטלאםםחמבנאזוםןמגונץם³ חנאחך³ג גטךמנטסעמגףגאגסןאנאכוכםטי ןףקמך וכוךענמם³ג ח וםונד³÷‏ 20 ךֲ עא ³םעודנמגאםא ןנמדנאלא. ֲ³הסעאםג³ה הזונוכא וכוךענמם³ג המ ןמגונץם³ חנאחךא סךכאהאכא 300 לל. ִכ ך³סםמדמ ³ ך³כך³סםמדמ גטחםאקוםםוכולוםע³ג ף חנאחךף גטךמנטסעמגףגאכאסאםאכמד³קםא ךמםפ³דףנאצ³ חנאחמך-הזונוכמ-מבנמבךא נוחףכעאע³ג, חא גטםעךמל חב³כרוםמ¿ נמבמקמ¿ ג³הסעאם³ ג³ה ןףקךא וכוךענמם³ג המ ןמגונץם³ חנאחךא (המ 10 לל). ֵםונד³ וכוךענמם³ג סךאםףגאכאסג ה³אןאחמם³ 0-10 ךֲ. ׁעאעטסעטקםא מבנמבךא נוחףכעאע³ג בףכא ןנמגוהוםא ןנמדנאלםטל חאבוחןוקוםםל MAGELLAN v1.2.

3.3 ֵךסןונטלוםעאכם³ לועמהטךט

3.3.1 ּועמה צטךכ³קםמ¿ גמכעאלןונמלוענ³¿ (ײְֲ)

ּועמה צטךכ³קםמ¿ גמכעאלןונמלוענ³¿ המחגמכ÷ ןנט םאךכאהאםם³ םא נמבמקטי וכוךענמה ןוגםמדמ ןמעוםצ³אכף ג אםמהםמלף (ךאעמהםמלף) םאןנלךף, סןמסעונ³דאעט ן³ךט סענףל³ג, ך³ ג³הןמג³האעמךטסםוםם‏ (ג³הםמגכוםם‏) וכוךענמאךעטגםמ¿ נוקמגטםט. ַל³ם‏‏קט םאןנלמך נמחדמנעךט ןמעוםצ³אכף םא ךאעמהםטי (אםמהםטי) למזםא סןמסעונ³דאעט ן³ךט, ך³ ג³הןמג³האעג³הםמגכוםם‏ (מךטסםוםם‏) ןנמל³זםטץ ןנמהףךע³ג, שמ ףעגמנטכטסןנט ןונגטםםמלף םאךכאהאםם³ ןמעוםצ³אכף. ׁענףל ןנט ןמעוםצ³אכ³ ן³ךף מןטסף÷עסנ³גםםםל:

Ip=kn2/3AD1/2CV1/2,(3.1)

הו ²נ - סענףל ן³ךף (ְ);

ְ -ןכמשא וכוךענמהא (ג סל2);- רגטהך³סענמחדמנעךט ןמעוםצ³אכף (ֲ/ס);- ךמםסעאםעא ׀וםהכסא-״וגקטךא;

ׁ - מב’÷לםא ךמםצוםענאצ³ נוקמגטםט (למכ/כ),

אבמ:

Ip/V1/2C=k¢,(3.2)

הו k¢ - ךמםסעאםעא, ךא גךכקא÷ גס³ ןמסע³ים³ קכוםט נ³גםםם (3.1).

ִכגמכעאלןונמלוענטקםמדמ המסכ³הזוםםגטךמנטסעמגףגאכט וכוךענמץ³ל³קםף קאנףםךף, סץולא ךמ¿ חמבנאזוםא םא נטס. 3.1. ײטךכ³קם³ גמכעאלןונמדנאלט (ײְֲ) מהונזףגאכט, גטךמנטסעמגףקט ךמלןכוךס אןאנאעףנט הכוכוךענמץ³ל³קםטץ המסכ³הזום, א סאלו: ןמעוםצ³מסעאע Bipotentiostat, Model AFCBP1;

׀טסףםמך 3.1 - ׳אנףםךא ח מבונעמגטל הטסךמגטל וכוךענמהמל:

- סךכםטי ךמנןףס קאנףםךט; 2 - ןמסאהמקםטי ךמםףס גףחכא מבונעאםם; 3 - ןאענמם ךנ³ןכוםםגףחכא מבונעמגמדמ וכוךענמהף; 4 - גףחמכ מבונעמגמדמ הטסךמגמדמ וכוךענמהף; 5 - םאןנאגכ‏קא; 6 - ףש³כםוםם; 7 - פעמנמןכאסעמגא ןנמבךא; 8 - המןמל³זםטי וכוךענמה; 9 - ןמנטסעא ןונודמנמהךא; 10 - ךאן³כנ ֻףד³םא-ֳאבונא ח ךנאםמל; 11 - םאסטקוםטי ץכמנסנ³בםטי וכוךענמה.

אםאכמדמ-צטפנמגטי ןונועגמנגאק סןמכףקוםטי ח ןונסמםאכםטל ךמלן’‏עונמל. ֲטךמנטסעמגףגאכט סעאםהאנעםף ענטוכוךענמהםף סךכםף וכוךענמץ³ל³קםף ךמל³נךף מב’÷למל 50 סל3. ׀מבמקטלט בףכט עמנצוג³ ןכאעטםמג³ עא ןאכאה³÷ג³ וכוךענמהט ה³אלוענמל 5 עא 3 לל ג³הןמג³הםמ, המןמל³זםטל - ןכמסךטי ןכאעטםמגטי וכוךענמה נמחל³נמל 10ץ15 לל, וכוךענמה ןמנ³גםםם - םאסטקוםטי ץכמנסנ³בםטי. ״גטהך³סעסךאםףגאםםןמעוםצ³אכף (sE) סעאםמגטכא 50 לֲ·c-1 הכגס³ץ המסכ³הזףגאםטץ סטסעול.

3.3.2 ֵכוךענמםםא ל³ךנמסךמן³

ֵכוךענמםם³ ל³ךנמפמעמדנאפ³¿ ׁEM המסכ³הזוםם, א עאךמז וםונדמ-הטסןונס³יםא EִX (Energy dispersive X-ray) סןוךענמסךמן³ בףכט גטךמםאם³ םא נאסענמגמלף וכוךענמםםמלף ל³ךנמסךמן³ לאנךט ׀ְּּ-102-02 (נטס. 3.2). ִכמענטלאםםחמבנאזוםןמגונץם³ חנאחך³ג גטךמנטסעמגףגאכט ןאנאכוכםטי ןףקמך וכוךענמם³ג ח וםונד³÷‏ 20 ךֲ עא ³םעודנמגאםא ןנמדנאלא. ֲ³הסעאםג³ה הזונוכא וכוךענמם³ג המ ןמגונץם³ חנאחךא סךכאהאכא 300 לל. ִכ ך³סםמדמ ³ ך³כך³סםמדמ גטחםאקוםםוכולוםע³ג ף חנאחךף חא המןמלמדמנוםעדום³גסךמ¿ פכףמנוסצוםעםמ¿ וםונדמהטסןונס³יםמ¿ סןוךענמסךמן³¿ גטךמנטסעמגףגאכאסאםאכמד³קםא ךמםפ³דףנאצ³ חנאחמך-הזונוכמ-מבנמבךא נוחףכעאע³ג, חא גטםעךמל חב³כרוםמ¿ נמבמקמ¿ ג³הסעאם³ ג³ה ןףקךא וכוךענמם³ג המ ןמגונץם³ חנאחךא (המ 10 לל). ֵםונד³ וכוךענמם³ג סךאםףגאכאסג ה³אןאחמם³ 0-10 ךֲ

׀טסףםמך 3.2 - ַאדאכםטי גטדכה נאסענמגמדמ ל³ךנמסךמןא ׀ְּּ-102-02.

 

3.3.3 Nicolet 10 FT-IR סןוךענמלוענ

ֲטסמךמרגטהך³סםטי ןנטכאה ה³אןאחמםף 400-4000 סל-1 עא המגדמץגטכמגמדמ ה³אןאחמםף 100-600 סל-1. ּ³ם³לאכםא ןכמשא חנאחךא םא ןנמןףסךאםם 0.3 לל2 םא ג³הבטעע 1 לל2, נמחה³כםא חהאעם³סע ×0.3 סל-1, ³ 1/4096 ןמגםמ¿ רךאכט. ״גטהך³סעחםעעסןוךענף 400-4000 סל-1 - 12.6 סוך. 100-600סל-1 - 60.3 סוך. ִזונוכמ גטןנמל³םגאםם״עטפע ֽונםסעא Ag2O-NbO 100-600 סל-1 ִכפמעמלוענףגאםםגטךמנטסעמגףעךגועט LiF 4000-600סל-1, 600-100 סל-1-ZnSe

׀טסףםמך 3.3 - ַאדאכםטי גטדכה סןוךענמפעמלוענא Nicolet 10 FT-IR

3.3.4 ּועמהטךא מסאהזוםם ןמכ³אם³כ³םף

ֿמכ³אם³כ³ם מסאהזףגאכט ןמעוםצ³מהטםאל³קםטל לועמהמל ח 0,1 ּ נמחקטםף אם³כ³ם עא 10-3 ּ 2,3,4-אל³םמע³מפוםמכף ף 1 ּ H2SO4. ּוז³ נמחדמנעךט: ג³ה -0,1 ֲ המ + 0,9 ֲ. ״גטהך³סעסךאםףגאםם 50 לֲ/ס. ֺ³כך³סעצטךכ³ג - 10. ׀מבמקטי וכוךענמה - ןכאעטםמגטי, המןמל³זםטי - ןכאעטםמגטי, וכוךענמה ןמנ³גםםם - םאסטקוםטי ץכמנסנ³בםטי. ׀מחדמנעךף חאך³םקףגאכט ןנט -0,1 ֲ, שמב מהונזאעט ןמגם³סעג³הםמגכוםף פמנלף ְֿם. ׁטםעוחמגאם³ חנאחךט ןנמלטגאכטסג בוחגמהםמלף ועאםמכ³, ג ךמלף באנבמעףגאםםל אנדמםמל ןנמעדמל 20 ץג בףכמ ףסףםףעמ ךטסום.

3.3.5 ּועמהטךא סטםעוחף ךמלןמחטעף

ּועמהמל צטךכ³קםמ¿ גמכעאלןונמלוענ³¿ םא ןמןונוהםמ מקטשוםף ²ׂ־-ןכאסעטםךף בףג םאםוסוםטי ןמכ³אם³כ³ם ך³כך³סענוקמגטםט 1 µּ (ג ןונונאץףםךף םא 1 כאםךף), ן³סכצמדמ ןכאסעטםךא בףכא ןונוםוסוםא ף ןמכ³לונטחאצ³יםטי נמחקטם ( נמחקטם הכסן³גןמכ³לונטחאצ³¿ ) ןמכ³אם³כ³ם-לונךאןעמאם³כ³ם ( ³ח חאהאםטל סן³גג³הםמרוםםל גטץ³הםטץ למםמלונ³ג אם³כ³ם-לונךאןעמאם³כ³ם ).

ּועמהמל ןנמדנאלםמדמ ךמםענמכך³כך³סעוכוךענטךט מסאהזףגאכט חאהאםף ך³כך³סעסן³גןמכ³לונף, ( ןנטבכטחםמ 1 µּ ) ן³סכקמדמ המהאגאכט חאהאםף ך³כך³סעחמכמעמדמ ןנוךףנסמנף ( 10-3 ּ ֽAuCl4 e 1M ֽCl ) ³ חאכטראכט הכוךסןמחטצ³¿ ןנמעדמל 20 ץג. ֿמגםמעף נואךצ³¿ ןונוג³נכט ןנלטל לועמהמל. ֲחא÷למה³÷‏ ³ח 1ּ SnCl2 (ןמנ³ד גטגכוםם 10-9 ּ Au, נמזוגו חאבאנגכוםם) ן³סכחאך³םקוםםנואךצ³¿. ֲ³הםמגכוםםחמכמעא עא חרטגאםםןמכ³לונף חנאחךט ענטק³ ןנמלטגאעהטסעטכמגאםמגמהמעא גטסףרףעןנט ך³לםאעם³י עולןונאעףנ³ ןנט חאכטרךמגמלף עטסךף 1 לל.נע.סע.

׀מחה³כ 4. ֵךסןונטלוםעאכם³ נוחףכעאעט עא ¿ץ מבדמגמנוםם

4.1 ֵכוךענמץ³ל³קםטי סטםעוח SH-פףםך³מםאכ³חמגאםמ¿ ןמכ³אם³כ³םמגמ¿ ןכ³גךט

ך ןמךאחאכט נוחףכעאעט ןמןונוהם³ץ וךסןונטלוםע³ג, םאיב³כר מןעטלאכםטל סן³גג³הםמרוםםל אם³כ³םף עא אל³םמע³מפוםמכ³ג ÷ 1000 המ 1, מסך³כךט ןנט גטשטץ ךמםצוםענאצ³ץ אל³םמע³מפוםמכ³ג, ךמענ³ גמכמה³‏עג³הםמגםטלט גכאסעטגמסעלט, ג³הבףגא÷עס ¿ץ ןמסעףןמגו מךטסםוםם (מסלמכוםם).

׀טס. 4.1 - ײְֲ-ךנטגא וכוךענמץ³ל³קםמ¿ סן³ןמכ³לונטחאצ³ 0,1 ּ אם³כ³םף עא 10-4 M - a), 10-3 ּ - ב), 10-2 ּ - ג), 0.1ּ - ד) 2-אל³םמע³מפוםמכף. ׃למגט - פמםמגטי וכוךענמכ³ע 1ּ ֽ2SO4 רגטהך³סעסךאםףגאםםןמעוםצ³אכף 50 לֲ/c, חמכמעטי נמבמקטי וכוךענמה (ל³ךנמספונא)

ײטךכ³קם³ גמכעאלןונמדנאלט סן³גןמכ³לונטחאצ³¿ (נטס. 4.1) אם³כ³םף עא  2-אל³םמע³מפוםמכף ןמךאחףע, שמ ןנט ב³כרטץ ךמםצוםענאצ³ץ למהטפ³ךאעמנא (2-ְׂװ) נ³סע ןכ³גךט חםאקםמ ףענףהם‏÷עס, ןנמ שמ סג³הקטעחלוםרוםםסענףל³ג מךטסםוםם/ג³הםמגכוםםג ץמה³ צטךכגאםםוכוךענמהא (נטס. 4.1, ג, ד ): םא וכוךענמהאץ מסאהזףעסמכ³דמלונט.

ֿנט גטךמנטסעאםם³ 3-אל³םמע³מפוםמכף ןמכ³לונטחאצ³ים³ סענףלט הושמ םטזק³ ³ סעאםמגכעןמנהךף 3.7 לְ (ולונאכהטםמג³י ן³ך, נטס 4.2), שמ סג³הקטעןנמ עו, שמ לועא-ןמכמזוםםלונךאןעמ-דנףןט ÷ ב³כר םאןנףזוםו ³ ג³הןמג³הםמ ןמענובף÷ ב³כרמ¿ ןמכנטחאצ³¿ וכוךענמהא.

ֿנטסףעם³סע 2-אל³םמע³מפוםמכף הושמ חב³כרף÷ ןמכ³לונטחאצ³ים³ סענףלט, ךמענ³ סעאםמגכע, ף גטןאהךף סן³גג³הםמרוםם ְם - 2ְׂװ 100:1, ןנטבכטחםמ 3,5 לְ/לל2 (ולונאכהטםמגטי ן³ך) שמ םאג³עןונוגטשף÷ ולונאכהטםמגטי ן³ך סאלמדמ אם³כ³םף 2,5 לְ/לל2. ׂאךטי ופוךע ןמסם‏÷עס, מקוגטהםמ, עטל, שמ 2-אל³םמע³מפוםמכ ÷ המבנטל אךצוןעמנמל ךאע³מם-נאהטךאכ³ג, ³ למכוךףכנםא לאסא ןמכ³לונף המסדא÷ חםאקםטץ גוכטקטם.

׀טס. 4.2 - ײְֲ-ךנטגא וכוךענמץ³ל³קםמ¿ סן³גןמכ³לונטחאצ³ 0,1 ּ אם³כ³םף עא 10-3ּ 3-אל³םמע³מפוםמכף. ׃למגט - פמםמגטי וכוךענמכ³ע 1ּ ֽ2SO4 רגטהך³סעסךאםףגאםםןמעוםצ³אכף 50 לֲ/c, חמכמעטי וכוךענמה (ל³ךנמספונא).

׀טס. 4.3 - ײְֲ - ךנטגא וכוךענמץ³ל³קםמ¿ סן³גןמכ³לונטחאצ³ 0,1ּ אם³כ³םף עא 10-3 ּ 4-אל³םמע³מפוםמכף. ׃למגט - פמםמגטי וכוךענמכ³ע 1ּ ֽ2SO4 רגטהך³סעסךאםףגאםםןמעוםצ³אכף 50 לֲ/c, חמכמעטי וכוךענמה (ל³ךנמספונא).

ּמכוךףכא 3-אל³םמע³מפוםמכף גמכמה³÷ הושמ לוםרמוםעאכן³÷‏ ףעגמנוםם, א עמלף כודרו גסעףןא÷ ג נאהטךאכם³ ןנמצוסט מךטסםוםםח ףעגמנוםםל הטסףכפ³הםטץ ל³סעך³ג -S-S-. ֽאסכ³הךמל צמדמ ן³ה קאס ןמכ³לונטחאצ³¿ ÷ חםאקםו ןמםטזוםםסענףלף המ 0,97 לְ/לל2 ³ הושמ רטנרטי ן³ך ףעגמנוםםולונאכהטםף (לוםרא ןנמג³הם³סע). ֲטץמהקט ח צמדמ למזםא חנמבטעט גטסםמגמך ןנמ לוםרף ןנטהאעם³סע 3-ְׂװ הכחרטגאםםלאךנמלמכוךףכ ף ןמכ³אם³כ³םמג³י לאענטצ³.

־ק³ךףגאםו חםאקםו חלוםרוםםסענףלף מךטסםוםםכויךמולונאכהטםמגמ¿ מסםמגט, ³ חסףג צמדמ ן³ךף ג אםמהםף מבכאסעסג³הקטעןנמ חםאקםו ףענףהםוםםנמסעף כאםצדא. ֲ צמלף גטןאהךף ןאנא-ןמכמזוםםבכמךף÷עסלונךאןעמ-דנףןמ‏, שמ פאךעטקםמ גוהו המ מבנטגף ןמכ³לונטחאצ³יםמדמ ןנמצוסף ³ המ ףעגמנוםםמכ³דמלונ³ג, למכוךףכנם³ לאסט ךמענטץ למזםא ךמםענמכגאעט, סענמדמ המחמגאםמ המהאקט ל³ךנמך³כךמסע³ 4-ְׂװ.

4.2 ־ךטסםוםםןמןונוהםמ ג³הםמגכוםמ¿ המ כויךמולונאכהטםמגמ¿ פמנלט פףםךצ³מםאכ³חמגאםמ¿ ְֿם ןכ³גךט עא סטםעוח ךמלןמחטעף

ֲס³ נוחףכעאעט ןמןונוהם³ץ וךסןונטלוםע³ג ןמ וכוךענמץ³ל³קםמלף סטםעוחף למהטפ³ךמגאםמ¿ ְֿם ןכ³גךט בףכט מענטלאם³ ןנט ענטגאכ³י וךסןמחטצ³¿ ןמכ³לונף ג ןמכ³לונטחאצ³יםמלף סונוהמגטש³ ןנט נמבמקמלף ןמעוםצ³אכ³ -0,12 ֲ, שמ ןנטחגמהטכמ המ ג³הםמגכוםםףס³ץ פמנל ןמכ³אם³כ³םף ג כויךמולונאכהטם, ךמענטי כודךמ מךטסם‏÷עס, חמךנולא, ךטסםול ןמג³ענ. ׂמלף חנאחךט ךמלןמחטע³ג גטענטלףעף ןמןונוהםמ באנבמעמגאםמלף אנדמםמל נמחקטם³ 1ּ ֽ2SO4.

־ךטסכוםםחה³יסםגאכט נמחקטםאלט ְֽuCl4 ף ךמםצוםענאצ³יםמלף ³םעונגאכ³ 10-5 - 10-2M. ׃ס³ נמחקטםט ְֽuCl4 דמעףגאכט ף 0,1ּ HCl, מסך³כךט חמכמעמץכמנטסעמגמהםוגא ךטסכמעא ןמל³עםמ ד³הנמכ³חף÷ ףזו ןנט pH›2. ּ³ךנמפמעמדנאפ³¿ מענטלאםטץ ךמלןמחטע³ג ןנוהסעאגכום³ םא נטס.4.4-4.7.

־סך³כךט חאגהאםםל םארמ¿ נמבמעט בףכמ מענטלאעט ןכ³גךט סענףלמןנמג³הםטץ ךמלןמחטע³ג ְֿם - Au םא םומנדאם³קם³י ן³הךכאהצ³, עמ, גטץמהקט ח המנמדמגטחםט עא הופ³צטעםמסע³ עוענאץכמנאףנאעםמ¿ ךטסכמעט, בףכא ןנמגוהוםא כטרו קאסעטםא המסכ³ה³ג ³ח מןעטל³חאצ³¿ ףלמג וךסןונטלוםעף. ֲגמהקט ג ןמכ³לונםף לאענטצ‏ 2ְׂװ ף ך³כךמסע³ ןנטבכטחםמ 0,1% למזםא מענטלאעט ל³סצ-³ם³צ³אעמנט ג³הםמגכוםםלועאכ³קםמדמ Au, ןנטקמלף ךמזום ךכאסעונ סךכאהא÷עס ³ח 100-200 םאםמלוענמגטץ קאסעטםמך, שמ ³כסענף÷ נטסףםמך 4.7

׀טס. 4.4 ֵּׁ חמבנאזוםםלמנפמכמד³¿ ןמגונץם³ ךמלןמחטעף ןמכ³אם³כ³ם - חמכמעמ, מענטלאםמדמ ג ףלמגאץ מב’÷לםמ¿ ןמכ³לונטחאצ³¿ ןנט סן³גג³הםמרוםם³ מךטסםטך (עוענאץכמנאףנאעםא ךטסכמעא) - ןמכ³לונ 1:100

׀טס. 4.5 ֵּׁ חמבנאזוםםלמנפמכמד³¿ ןמגונץם³ ךמלןמחטעף ןמכ³אם³כ³ם - חמכמעמ, מענטלאםמדמ ג ףלמגאץ מב’÷לםמ¿ ןמכ³לונטחאצ³¿ ןנט סן³גג³הםמרוםם³ מךטסםטך(עוענאץכמנאףנאעםא ךטסכמעא) - ןמכ³לונ 1:10

ׁן³גןמכ³לונטחאצ³ אם³כ³םף ³ח 2-אל³םמע³מפוםמכמל גחעטלט ג סן³גג³הםמרוםם³ 10 המ 1, ח ןמהאכרטל הממךטסםוםםל עוענאץכמנאףנאעםמךטסכמעמ‏, ןנטחגוכא המ הושמ םומק³ךףגאםטץ נוחףכעאע³ג - גחהמגז לאךנמלמכוךףכט סן³גןמכ³לונף ןמקטםא÷ מסאהזףגאעטסחמכמעמ, ³ גססטסעולא חגונעא÷עסף "ךכףבמך" נמחל³נמל המ 10 לךל (נטס. 4.6). ֺכףבךט גמכמה³‏עחםאקםמ ב³כרמןטעמלמגאדמ‏, א עמלף ¿ץ למזםא ג³הה³כטעט ןנמסעמסוהטלוםעאצ³÷‏.

׀טס. 4.6 ֵּׁ חמבנאזוםםלמנפמכמד³¿ ןמגונץם³ ךמלןמחטעף ןמכ³ אם³כ³ם - חמכמעמ, מענטלאםמדמ ג ףלמגאץ מב’÷לםמ¿ ןמכ³לונטחאצ³¿ ןנט סן³גג³הםמרוםם³ מךטסםטך (עוענאץכמנאףנאעםא ךטסכמעא) - ןמכ³לונ 1:10

׀טס.4.7 - ּמנפמכמד³ ןמגונץם³ ךמלןמחטעף ְֿם - 2-ְׂװ-ְu (1000:1:1)

׀וחףכעאעט סטםעוחף ךמלןמחטעט םאגוהום³ ף עאבכ..4.1 ח האםטץ גטל³נגאםםןנמג³הםמסע³ למזםא ןמבאקטעט ג³הסףעם³סעןונךמכצ³יםמדמ ןמנמדף, שמ סג³הקטעןנמ ץ³ל³קםטי חג'חמך חמכמעטץ קאסעטםמך ³ח ןמכ³לונםמלאענטצו‏.

׀טס. 4.8 ּמנפמכמד³ ךמלןמחטעף ְֿם - 2 - ְׂװ - ְu (1000 : 10 : 1)

׀טס. 4.9 ּמנפמכמד³ ךמלןמחטעף ְֿם - 3 ְׂװ - ְu (1000 : 10 : 1)

־ענטלאם³ חםאקוםםדנאםףכמלוענטקםמדמ אםאכ³חף ןמ האםטץ וכוךענמםםמ¿ ןנמסעמנמגמ¿ ל³ךנמךמן³¿ (נטס. 4.4) ןמךאחףע, שמ םאיב³כר מןעטלאכםטל ÷ ןמ÷הםאםם 2- עא 3-אל³םמע³מפוםמכף

׀וחףכעאעט סן³גןמכ³לונטחאצ³¿ ח םאסעףןםטל המ מךטסםוםםל עוענאץכמנאףנאעםמךטסכמעמםאגוהום³ ף עאבכטצ³ 4.1

׀טס. 4.10 ּמנפמכמד³ ךמלןמחטעף ְֿם - 4 ְׂװ - ְu (1000 : 10 : 1)

ׂאבכטצ 4.1 - ֲןכטג ףלמג ןמכ³לונטחאצ³¿ םא נמחל³נ קאסעטםמך

ׁן³גג³הםמרוםםמךטסםטך : כויךמ -ןמכ³לונ

ֿטעמלא ןנמג³הם³סע, s ´ 10-3, ׁל/סל

ַאכטרךמגא ךמםצוםענאצ³HAuCl4, mM/כ

׀מחל³נ קאסעטםמך חמכמעא, לךל

1 : 1000

7,22

סכ³הט

0,1

1 : 100

15,2

סכ³הט

0,7

1 : 10

228

0,3

10

1 : 1

1360

0,8

30-40


׀טס. 4.11 ׀מחןמה³כ קאסעטםמך ְu חא ה³אלוענמל ח המןמלמדמאםאכ³חף ל³ךנמסךמן³קםטץ חמבנאזוםןנמדנאלמ‏ Image Pro 4.1.

׀טס. 4.12 ׀מחןמה³כ קאסעטםמך ְu חא ה³אלוענמל ח המןמלמדמאםאכ³חף ל³ךנמסךמן³קםטץ חמבנאזוםןנמדנאלמ‏ Image Pro 4.1.

׀טס. 4.13 ֵּׁ נוםעדום³גסךטי וםונדמהטסןונסםטי אםאכ³ח ךמלןמחטעף ןמכ³אם³כ³ם - חמכמעמ, מענטלאםמדמ ג ףלמגאץ מב’÷לםמ¿ ןמכ³לונטחאצ³¿ ןנט סן³גג³הםמרוםם³ מךטסםטך(עוענאץכמנאףנאעםא ךטסכמעא) - ןמכ³לונ

ײ³ךאגטל אסןוךעמל גטךמנטסעאםםהאםטץ סן³גןמכ³לונ³ג ÷ ¿ץםגטסמךא סמנבצ³יםא חהאעם³סעהמ בכאדמנמהםטץ ץאכךמדום³ה³ג, חמךנולא חמכמעא עא סנ³בכא, שמ המחגמכ÷ ךמםצוםענףגאעט צ³ לועאכט ³ח ¿ץ נמחקטם³ג, חמךנולא ג³הץמה³ג דאכגאם³קםמדמ גטנמבםטצעגא, עמשמ. ַא המןמלמדמ‏ נוםעדום³גסךמדמ פכףמנוסצוםעםמדמ אםאכ³חאעמנא בףכמ ןנמגוהוםמ ך³כך³סםטי אםאכ³ח ןמכ³אם³כ³םמגמ¿ ןכ³גךט ח חאץמןכוםטל ³ח סטכםמ נמחגוהוםמדמ (10-8 ּ HAuCl4 ) ן³הךטסכוםמדמ 0,1ּ HCl שמ סג³הקטעןנמ גטסמךף סמנבצ³יםף חהאעם³סעהאםמ¿ סן³גןמכ³לונםמ¿ ןכ³גךט, שמ ן³העגונהזף÷ סןוךענ םאגוהוםטי םא נטס 4.13.

.3 ֵכוךענמךאעאכ³עטקם³ גכאסעטגמסע³ מהונזאםטץ ךמלןמחטע³ג

ֲ ךמסע³ למהוכםמ¿ סטסעולט םאלט בףכמ גטבנאםמ דוךסאצ³אםמפונאע - אם³מם, ךמענטי ÷ ךכאסטקםטל ןנוהסעאגםטךמל ךמלןכוךס³ג ח ןונוםמסמל חאנהף. ֽא נטס. 4.14 ןנוהסעאגכוםא ײְֲ סטסעולט K4[Fe(CN)6 ↔ K3[Fe(CN)6 ³ח סעאםהאנעםמךמםצוםענאצ³÷‏ מבמץ סמכוי 0,05ּ, ך למזםא באקטעט ח םאגוהוםמ¿ ײְֲ נואךצ³ מךטסםוםם - ג³הםמגכוםםןמגם³סעמבמנמעם. ךשמ האםף נואךצ³‏ ןנמגמהטעט םא ךמלןמחטע³, ןמןונוהםמ מענטלאםמלף ף ן. 4.2, עמ למזםא חאפ³ךסףגאעט חםטזוםםןמעוםצ³אכף מךטסםוםם [Fe(CN)6]4- , שמ סכףדףגאכמ ךנטעונ³÷ל ג³הבמנף ךמלןמחטעף, נוחףכעאעט םאגוהום³ ג עאבכ. 4.2

׀טס. 4. 14 - ײְֲ למהוכםמ¿ סטסעולט [Fe(CN)6]4-↔ [Fe(CN)6]3- ףלמגט: Pt - וכוךענמה

׀טס. 4.15 - ײְֲ למהוכםמ¿ סטסעולט [Fe(CN)6]4-↔ [Fe(CN)6]3-: א) - ךמלןמחטע ְֿם - 2-ְׂװ-ְu, ב) - המןמגאםא ןמכ³אם³כ³םמגא ןכ³גךא (ולונאכהטםמגא פמנלא)

ִכגטגכוםםוכוךענמךאעאכ³עטקםמ¿ אךעטגםמסע³ חם³לאעסהג³ ײְֲ ג מהםאךמגטץ ףלמגאץ, שמ הא÷ חלמדף גטחםאקאעט ך³כך³סם³ ןאנאלוענט ן³ך³ג חא המןמלמדמ‏ ³םסענףלוםע³ג ³םעודנמגאםטץ ף ןנמדנאלםו חאבוחןוקוםם Origin Pro 7.0/

ׂאבכטצ 4.2 ֲןכטג סךכאהף ךמלןמחטעף םא ןמעוםצ³אכ מךטסםוםם דוךסאצ³אםמפונאע אם³מםף (IV)

ׂטן ךמלןמחטעף

ׁן³גג³הםמרוםםךמלןמםוםע³ג (למכםו)

ֵמךטסכ, ֲ

ְֿם-2ְׂװ-Au

1000:1:1

0,265

ְֿם-2ְׂװ-Au

1000:10:1

0,276

ְֿם-3ְׂװ-Au

1000:1:1

0,382

ְֿם-3ְׂװ-Au

1000:10:1

0,381

ְֿם-4ְׂװ-Au

1000:1:1

0,402

ְֿם

-

0,488

Au

-

0,307


ך למזםא באקטעט ³ח נוחףכעאע³ג םאגוהוםטץ ף עאבכ. 4.2 םאיךנאשטלט נוחףכעאעאלט גמכמה³÷ ךמלןמחטע ֿאם - 2ְׂװ -Au ךטי חםטזף÷ ןמעוםצ³אכ מךטסכוםםג ןמנ³גםםם³ ח קטסעטל ןמכ³אם³כ³םמל םא 188 לֲ, א ף ןמנ³גםםם³ ³ח ןמכ³נמגאםטל חמכמעטל ל³ךנמוכוךענמהמל םא 31לֲ.

ֲטסםמגךט

1.      ׀מחנמבכוםמ לועמהטךף סטםעוחף וכוךענמץ³ל³קםטל עא ץ³ל³קםטל סןמסמבמל עמםךטץ ןכ³גמך ךמלןמחטע³ג ְֿם -ְׂװ -Au, שמ לאעהמבנף אהדוח³‏ המ סףבסענאעף, עא למזףעבףעט םאםוסום³ םא ה³וכוךענטקם³ עא םאן³גןנמג³הםטךמג³ ןמגונץם³.

2.      ּועמהמל ךמםהףךעמלוענ³¿ בףכא ן³העגונהזוםא גטסמךא ןנמג³הם³סע ך ף המןמגאםמלף עאך ³ ג הוהמןמגאםמלף סעאם³.

3.      ֿמךאחאםמ למזכטג³סעךמםצוםענףגאםםחמכמעא ג סן³גןמכ³לונאץ אם³כ³םף עא 2 - אל³םמע³מפוםמכף.

.        ַאפ³ךסמגאםמ חםטזוםםןמעוםצ³אכף מךטסםוםםדוךסאצ³אםמפונאע אם³מםף (IV) םא וכוךענמהאץ ח םאםוסוםטל ךמלןמחטעמל ןמכ³אם³כ³ם - אל³םמע³מפוםמכ - חמכמעמ.

ׁןטסמך גטךמנטסעאםמ¿ כ³עונאעףנט

.        Stejskal J. Polyaniline. Preparation of a conducting polymer / J. Stejskal, R. G. Gilbert // Pure Appl. Chem. - 2002. - Vol. 74. - P. 857-867.

2.      Chiang, J. C. Polyaniline: protonic acid doping of the emeraldine form to the metallic regime / J. C. Chiang, A. G. MacDiarmid // Synth. Met. - 1986. - Vol. 13. - P. 193-205.

3.      MacDiarmid A. G. "Synthetic metals": a novel role for organic polymers / Alan G. MacDiarmid // Curr. Appl. Phys. - 2000. - Vol. 1. - P. 269-279.

.        Skotheim T.A. Handbook of conducting polymers / T.A. Skotheim. - N.-Y.: Marcell Dekker, 1986. - Vol. 1/2.- P. 1417 - 1421.

.        Song G. Synthesis of polyaniline/NiOnanobelts by aself-assembly process / G. Song, J. Han, R. Guo // Synth. Met. - 2007. - Vol. 157. - P. 170 - 175.

6.   Heeger A. J. Semiconducting and metallic polymers: the fourth generation of polymeric materials / Alan J. Heeger // Curr. Appl. Phys. - 2000. - Vol. 1. - P. 247-267.

7.      Gospodinova N. Conducting polymers prepared by oxidative polymerization: polyaniline / N. Gospodinova, L. Terlemezyan // Prog. Polym. Sci. - 1998. - Vol. 23. - P. 1443 - 1484.

8.      ֺנטםטקםי ֲ.ָ. ׁוםסמנםא מסםמגו מנדאםטקוסךטץ ןנמגמהשטץ ןמכטלונמג. ֿמכטאםטכטם / ֺנטםטקםי ֲ.ָ., ֵנולוםךמ ־.ֽ., ׀ףץלאם ֳ.ֳ. // ֲסמךמלמכוךףכנםו סמוהטםוםט. - 1989. - T. 31ְ, ¹ 8. - ׁ. 1656 - 1661.

9.      Khemchand D. Synthesis and characterization of self-assembled nanofiber-bundleso V2־5: their electrochemical and field emission properties. / Khemchand Dewangan, Nupur Nikkan Sinha // Nanoscale. - 2012. - Vol. 4. -  ׀. 645-651

10.    Kumar D. Advances in conductive polymers / D. Kumar, R. C. Sharma // Eur. Polym. J. - 1998. - Vol. 34, No. 8. - P. 1053-1060.

11.    Wang Y. Fabrication of Au/PVP nanofiber composites by electrospinning / Y. Wang, G. Yongzhi // J. Appl. Polymer Sci. B. - 2007. - Vol. 105. - P. 3618-3622.

12.    ֿמץמהוםךמ ֲ.ִ. כוךענמץטלטמנדאםטקוסךטץ ןמכטלונמג ס סטסעולמי סמןנזוםץ סגחוי / ֲ.ִ. ֿמץמהוםךמ, ֲ.ְ. ֺנטכמג // ׂומנ. ט וךסן. ץטלט. - 1994. - ׂ. 30, ¹3. - ׁ. 111-129.

13.    Glarum E. The in situ ESP and electrochemical behavior of poly(aniline) electrode film / E. Glarum and J. Marshall // J. Electrochem. Soc. - 1987. - Vol. 134. - P. 2160 - 2165.

14.    ִאלאcךטם ֱ.ֱ כוךענמהםו ןנמצוסס ג נאסעגמנאץ מנדאםטקוסךטץ סמוהטםוםטי / ֿמה נוה. ֱ.ֱ. ִאלאcךטםא // - ּ.: ָחה-גמ ֳּ׃, 1985. - ׁ. 316.

15.    Vaschetto B.A. Density functional studies of aniline and substituted anilines / B.A. Vaschetto, A.P. Retamal, G.D. Monkaman // J. Molecular Structure (Theochem). - 1999. - Vol. 468 - P. 209-221.. - ּ.: ֽאףךא - 1975

16.    Electrochemical incorporation of copper in polyaniline layers / D. Tsakova, B. Borissov, [et al.] // Electrochim. Acta. - 2001. - Vol. 46. - P. 4213-4222.

17.    Thiemann C. Electrosynthesis and properties of conducting polymers derived from aminobenzoic acids and from aminobenzoic acids and aniline / C. Thiemann, Carolin Brett, M.A. Christopher // Synth. Met. - 2001. - Vol. 123. - P. 1-9.

18.    Brust M. Synthesis of thiol-derivatised gold nanoparticles in a two-phase liquid-liquid system / M. Brust // J. Chem. Soc., Chem. Commun. - 1994. -Vol. 7. - P. 801-802.

.        Gold nanorods: electrochemical synthesis and optical properties / Y. Y. Yu, S. S. Chang, C. L. Lee, [et al.] // J. Phys. Chem. B. - 1997. - Vol. 101 - P. 6661-6664.

.        Monodisperse icosahedral Ag, Au, and Pd nanoparticles: size control strategy and superlattice formation / Q. Zhang, J. Xie, J. Yang, [et al.] // ACS Nano. - 2008. - Vol. 3 - P. 139-148.

.        Fabrication of size-tunable gold nanoparticles array with nanosphere lithography, reactive ion etching, and thermal annealing. / B. J. Y Tan, C. H. Sow, T. S. Koh, [et al.] // J. Phys. Chem. B. - 2005. - Vol. 109. - P. 11100-11109.

.        ִךלאם ֻ. ְ. ֽאםמקאסעטצ חמכמעא: ןמכףקוםטו, פףםךצטמםאכטחאצט, טסןמכחמגאםטו ג בטמץטלטט ט טללףםמץטלטט / ֻ. ְ. ִךלאם , ֲ. ְ. ֱמדאענוג // ׃סןוץט ץטלטט. - 2007. - ¹ 76. - ׁ. 199-213.

23.    Thomas J. M. Colloidal metals: past, present and future / J. M. Thomas // Pure Appl. Chem. - 1988. - Vol. 60. - P. 1517-1528.

24.    Wilcoxon J. P. Heterogeneous growth of metal clusters from solutions of seed nanoparticles / J. P. Wilcoxon, P. P. Provencio // J. Am. Chem. Soc. - 2004. - Vol. 126. - P. 6402-6408.

.        Green M. A simple one phase preparation of organically capped gold nanocrystals / ּ. Green, ׀. O’Brien // Chem. Comm. - 2000. - Vol. 3. - P. 183-184.

.        Brust M. Some recent advances in nanostructure preparation from gold and silver particles: a short topical review. / ּ. Brust, C. J. Kiely // Colloids Surfaces A. - 2002. - Vol. 202. - P. 175-186.

27.    Gram-scale synthesis of monodisperse gold colloids by the solvated metal atom dispersion method and digestive ripening and their organization into two-and three-dimensional structures / S. Stoeva, K. J. Klabunde, C. M. Sorensen, [et al.] // J. Am. Chem. Soc. - 2002. - Vol. 124. - P. 2305-2311.

28.    Daniel, M. C. Gold-nanoparticle-cored polyferrocenyldendrimers: modes of synthesis and functions as exoreceptors of biologically important anions and re-usable redox sensors. / M. C Daniel, J. R. Aranzaes, J. R. Nlate, [et al.] // J. Inorg. Organometallic Polym. Mater. - 2005. - Vol. 15. - P. 107-119.

.        Sugimoto T. Preparation of monodispersed colloidal particles / Tadao Sugimoto //Adv. Colloid Interface Sci. - 1987. - Vol 28 - P. 65-108.

30.    Mikhaylova A. A. Electrocatalytic and adsorption properties of platinum microparticles electrodeposited onto glassy carbon and into Nafion films / A. A Mikhaylova, O. A. Khazova, V. S. Bagotzky // J. Electroanal. Chem. - 2000. - Vol. 480, No. 1. - ׁ. 225-232.

31.    Toward greener nanosynthesis / J. A. Dahl, B. L. S. Madc, J. E. Hutchison, [et al] // Chem. Rev. - 2007. - Vol. 107. - P. 2228-2269.

.        Daizy P. Green synthesis of gold and silver nanoparticles using Hibiscus rosasinensis / P. Daizy // Physica E. - 2010. - Vol. 42. - P. 1417-1424.

33.    Facile "green" synthesis, characterization, and catalytic function of 3-D-glucose-stabilized Au nanocrystals / J. Liu, G. Qin, P. Raveendran, [et al.] // Chem. Eur. J. - 2006. - Vol. 12. - P. 2131-2138.

34.    Tsuji M. Microwave-Assisted Synthesis of Metallic Nanostructures in Solution / Masaharu Tsuji // Chem. Euro. J. - 2005. - Vol. 11. - P. 440-452.

35.    Hayes W. A. Electrochemistry of surface-confin.ed mixed monolayers 4-aminothiophenal and thiophenol on Au / W. A. Hayes, C. Shannon // Langmuir. - 1996. - Vol. 12. - P. 3688-3694.

36.    ְםהנווג ֲ. ֽ. ׁטםעוח ט סגמיסעגא ךמלןמחטעםץ ןכוםמך ןמכטאםטכטם-םאפטמם, ספמנלטנמגאםםץ םא ןכאעטםמגמי ןמהכמזךו / ֲ. ֽ. ְםהנווג // כוךענמץטלט. - 2001. - ׂ. 37, ¹. 6. - ׁ. 710-717.

37.    Abaci S. The influence of decanethiol/4-aminothiophenol mixed monolayers on the electrodeposition of polyaniline thin films / S. Abaci, C. Shannon // Electrochim. Acta. - 2005. - Vol. 50, No. 14. - ׁ. 2967-2973.

38.    Kapelle S. Lapouyade Aniline dimers and trimers as model compounds for polyaniline: steric control of charge separation properties / S. Kapelle, W. Rettig // Chem. Phys. Lett. - 2001. - Vol. 348. - P. 416-424.

39.    Electrochemically synthesized conducting polymeric materials for applications towards technology in electronics, optoelectronics and energy storage device / K. Gurunathan, A. Murugan, R. Marinuthu, [et al.] // Mater. Chem. Phys. - 1999. - Vol. 61. - P.173 - 191.

40.    Surface modification and structuring of electrical conducting and isolating polyaniline films / T. Lippert, J. Raimondi, J. Wambach, A. Wei, [et al.] // Appl. Phys. - 1999. - Vol. 69. - P. 291-293.

41.    Cho S. H. Electrochemistry of conductive polymers: 41. Effects of self-assembled monolayers of aminothiophenols on polyaniline films / S. H. Cho, D. Kim, S. M. Park, [et al.] // Electrochim. Acta. - 2008. - Vol. 53, No. 11. - ׁ. 3820-3827.

42.    Surface modification of silver microparticles with 4-thioaniline / E. P. Koval’chuk, V.M. Ogenko, O.V. Reshetnyak [et al.] // Electrochim. Acta. - 2010. - Vol. 55. - P. 5154-5162.

.        Electrochemical properties of self-assembled monolayers of polyaniline: effects of the thiol substituent and reduced dimensionality / ֲ. Ulgut, Yu. Zhao, J. E. Grose, [et al.] // Langmuir. - 2006. - Vol. 22. - P. 4433-4437.

44.    Structures and properties of soluble polyanilines, N-alkylated emeraldine bases / S.-A. Chen, G.-W. Hwang., K.I. Wu [et al.] // Syn. Met. - 1998. - Vol. 92. - P. 39-46.

45.    In situ electrochemical SERS studies on electrodeposi-tion of aniline on 4-ATP/Au surface / L. Jiao, Z. Wang, L. Niu, [et al.] // J. Solid State Electrochem. - 2006. - Vol. 10. - P. 886-893.

46.    Xie Q. A comparative study on the viscoelasticity and morphology of polyaniline films galvanostatically grown on bare and 4-aminothiophenol-modified gold electrodes using an electrochemical quartz crystal impedance system and SEM / Q. Xie //Anal. Sci.: Int. J. Japan Soc. Anal. Chem. - 2001. - Vol. 17, Is. 5. - ׁ. 613.

47.    Imprinting of molecular recognition sites throughelectro polymerization of functionalized Au nanoparticles: development of an electrochemical TNT sensor based on π-donor-acceptor interactions / M. Riskin, R. Tel-Vered, T. Bourenko, [et al.] // J. Am. Chem. Soc. - 2008. . - Vol. 130. - P. 9726 - 9733.

48.    ֿ³סעףם ².ֿ. ֱוחןוךא זטעע÷ה³כםמסע³ / ².ֿ. ֿ³סעףם // ֽאגקאכםטי ןמס³בםטך. - ׁףלט: ׃ם³גונסטעועסךא ךםטדא, 2004. - 301 ס.

49.    ֶטהוצךטי ֲ.ײ. ־סםמגט מץמנמםט ןנאצ³ / ֲ.ײ. ֶטהוצךטי, ֲ.ׁ. ִזטדונוי, ־.ֲ. ּוכםטךמג - ֻג³ג: ְפ³רא, 2000. - 254 ס.

50.    ַאץאנמג ֻ.ֽ. ׂוץםטךא בוחמןאסםמסעט ג ץטלטקוסךמי כאבמנאעמנטט / ֻ.ֽ ַאץאנמג - ֻוםטדנאה: ױטלט, 1990. - 336 ס.

51.    ֲנוהםו גושוסעגא ג ןנמלרכוםםמסעט. ׁןנאגמקטטך הכץטלטךמג, טםזוםונמג ט גנאקוי. ׂ.1: ־נדאםטקוסךטו גושוסעגא / ןמה נוה. ֽ.ֲ. ֻאחאנוגמי ט .ֽ. ֻוגטםמי - ֻ.: ױטלט, 1976. - 529 ס.

52.    ֶוכ³במ ×.ֿ. ֱוחןוךא זטעע÷ה³כםמסע³ / ×.ֿ ֶוכ³במ, ּ.ּ. ַאגונףץא, ֲ.ֲ. ַאצאנםטי - ֺ.: ֺאנאגוכא, 2001. - 331 ס.

53.    ׂנאץעוםבונד ².ּ. ֳ³ד³÷םא ןנאצ³ עא גטנמבםטקא סאם³עאנ³ / ².ּ. ׂנאץעוםבונד, ּ.ּ. ֺמנרףם, ־.ֲ. ׳אבאםמגא - ֺ.: ־סםמגא, 1997. - 411ס.

54.    ֿנאגטכא בוחןוקםמ¿ וךסןכףאעאצ³¿ וכוךענמףסעאםמגמך סןמזטגאק³ג. - ֺ.: ־סםמגא, 1998. - 352 ס.

55.    ֽאגאךאע³ךם ־. ־. ־ץמנמםא ןנאצ³ ךמנטסעףגאק³ג ג³הומהטסןכויםטץ עונל³םאכ³ג / ־.־. ֽאגאךאע³ךם, ֲ.ֲ. ֺאכםטר, ׁ. ֽ. ׁענךמג - ֺ.: ־סםמגא, 1997. - 408ס.

56.    נולךמ ַ.ּ. ֿנאךעטךףל ח בוחןוךט זטעע÷ה³כםמסע³ / ַ.ּ. נולךמ, ׀.ּ ֺמגעףם, .ֲ. ֳאכאהזףם - ֻג³ג: ֲטהאגם. ײוםענ ֻֽ׃ ³לום³ ²גאםא װנאםךא, 2000. - 60 ס.

57.    נולךמ ַ.ּ. ּועמהטקם³ נוךמלוםהאצ³¿ המ גטךמםאםםנמחה³כף "ֱוחןוךא זטעע÷ה³כםמסע³ עא מץמנמםא ןנאצ³ " ף הטןכמלםטץ נמבמעאץ סעףהוםע³ג ץ³ל³קםמדמ פאךףכעועף ףם³גונסטעועף / ׃ךכ. ַ.ּ. נולךמ, .ֲ. ֳאכאהזףם, ². ׀. ּףצ, ־.ֲ. ֶאך - ֻג³ג: ֲטהאגם. ײוםענ ֻֽ׃ ³לום³ ²גאםא װנאםךא, 2004. - 28 ס.

Похожие работы на - Електрокаталітичні властивості композиту Au-поліанілін у реакціях окиснення неорганічних субстратів

 

Не нашли материал для своей работы?
Поможем написать уникальную работу
Без плагиата!
Без нейросетей!