Экологические риски, связанные с эксплуатацией нефтяных месторождений
Содержание
Введение
Экологические риски, связанные с эксплуатацией нефтяных
месторождений
Оценка экологических рисков, связанные с эксплуатацией нефтяных
месторождений и их предотвращение
Заключение
Список использованных источников
Введение
В целях управления экологической
безопасностью для выполнения задач, сформулированных в Законе РФ «Об основных
принципах (стратегии) и государственной экологической политике на период до
2020 года» [1], проблема оценки техногенного воздействия становится все более актуальной.
Работы многих авторов создали методологические и теоретические предпосылки
дальнейшего развития оценки и моделирования экологических рисков с учетом
техногенного загрязнения атмосферы для управления экологической безопасностью.
Вместе с тем возникает необходимость дальнейшего совершенствования механизмов
управления эколого-экономической безопасностью техногенно нагруженных регионов,
промышленных центров и городов.
Анализ последних исследований и
публикаций. Вопросам экономической оценки техногенного воздействия на
окружающую среду посвящены исследования Т.А. Акимовой. В.И. Данилова-Данильяна.
С.В. Дорошиной, Л.Г. Мельника. А.В. Рюмина, А.Н. Кобзарь. Отдельные аспекты
управления экологической безопасностью и рационального природопользования в
контексте антропогенной нагрузки на окружающую среду исследовались в работах
А.Ф. Балацкого. Е.В. Хлобыстова и др.
Целью реферата является анализ
современных методов оценки экологических рисков, связанные с эксплуатацией
нефтяных месторождений.
Экологические риски, связанные с
эксплуатацией нефтяных месторождений
Под экологическим риском понимается
вероятность неблагоприятных для окружающей среды последствий любых изменений
природных объектов и факторов. Риск рассматривается как вероятность
возникновения чрезвычайных событий в определенный промежуток времени,
выраженная количественными параметрами. Чаще рассматривается техногенный аспект
экологического риска - вероятность возникновения техногенных аварий, которые
могут нанести существенный вред окружающей среде или здоровью людей. Одни риски
конкретные, другие не могут быть конкретно определены. Существуют
профессиональные риски - опасность профессиональных заболеваний [2].
Экологический риск часто
рассматривают в двух аспектах - потенциальный риск и реальный риск.
Потенциальный экологический риск - это явление опасности нарушения отношений
живых организмов с окружающей средой в результате действия природных или
антропогенных факторов. Реальный экологический риск образуется потенциальным с
учетом вероятной частоты его реализации. По характеру проявления экологический
риск может быть внезапным (техногенная авария, землетрясение и т.п.) и
медленным (смещение, подтопления, эрозия и т.д.).
Оценка риска - это анализ причин его
возникновения и масштабов проявления в конкретной ситуации. Опасность
возникновения техногенных аварий, значительных по своим последствиям, больше
связывают с химическими и нефтехимическими предприятиями, атомными и тепловыми
электростанциями, шахтами, канализационными сооружениями. Вероятность возникновения
техногенных аварий в значительной степени определяется эффективностью
природоохранной деятельности. Отечественные эксперты считают, что для России
риск возникновения экологических аварий напрямую зависит от трех групп факторов
и описывается регрессионным уравнением [1]:= 6,77 - 0,56Х1 - 0,43Х2 - 0,27Х3,
где Х1 - эффективность экологической
политики местных органов власти;
Х2 - капитальные вложения в
ресурсосберегающее и природоохранное оборудование;
Х3 - эффективность реализации
экологических государственных программ.
В свою очередь действенность такой
политики (Х1) обусловливается прежде всего принятием местными Советами
эффективных нормативных решений, регулирующих вопросы охраны окружающей среды.
В группе факторов Х2 ведущая роль принадлежит обеспечению экономического
стимулирования экологических мероприятий.
Экологические риски при бурении
скважин. Опыт работы крупных оффшорных проектов по добычи нефти и газа
показывает, что данный вид деятельности сопровождается большим количеством
выбросов: в атмосферу, морскую среду и т.д. Даже после прекращения добычи нефти
или газа на месторождении, экологические риски по-прежнему остаются.
Бурение скважин начинается уже на
этапе геолого-геофизических изысканий в тех районах, где сейсмические съемки
указывают на наличие нефтегазоносных структур. Практически все этапы и операции
разведки и добычи углеводородов сопровождаются сбросом жидких и твердых
отходов. Объемы этих сбросов достигают 5000 м куб. на каждую пройденную
скважину в виде отработанных буровых растворов и шламов, представляющих собой
выбуренные в скважине горные породы.
В жидкие отходы входит огромное
число токсичных примесей, необходимых для слаженной работы бурового
оборудования, тяжелых металлов, которые накапливаются из выработок горных пород,
а также глинистых взвесей, повышающих мутность воды в местах сброса. Большую
опасность представляет использование буровых растворов на нефтяной основе.
Шламы, пропитанные таким раствором, являются главным источником нефтяного
загрязнения при буровых работах.
Другим значимым источником
загрязнения является сброс пластовых вод, поступающих из скважин. Их состав
отличается не только высоким содержанием нефтяныхуглеводородов, тяжелых
металлов, но и аномальной минерализацией, которая обычно выше солености морской
воды. Это может быть причиной нарушения гидрохимического режима в районе сброса
пластовых вод. Кроме того, в их составе присутствуют природные радионуклиды,
которые при контакте с морской водой выпадают в осадок и образуют локальные
микроскопления. Чем дольше месторождение эксплуатируется, тем больше пластовой
воды образуется. Пластовая вода может быть возвращена в море с или без
предварительной очистки, или закачена обратно в естественные резервуары
(скважины) [3].
Согласно российскому
законодательству отработанный буровой раствор и другие отходы должны
накапливаться и транспортироваться для последующей обработки или же проходить
специальную очистку перед сбросом за борт. Зачастую же эти меры
предосторожности обходят стороной. В настоящее время отсутствуют эффективные
технологии переработки нефтепродуктов, а специализированные хранилища -
переполнены.
Локальное воздействие отходов одной
скважины отмечается в радиусе 3-5 км, но, если количество скважин достаточно
велико, то их негативное влияние может «накрыть» целую рыбопромысловую банку.
Например, по данным Норвежского Института Морских исследований, скудность
экосистемы Северного моря является результатом нефтегазовой деятельности.
Аварийные разливы нефти. Разработка
нефтегазовых месторождений, также как и транспортировка углеводородного сырья,
сопровождается аварийными разливами нефти или химических веществ. К наиболее
частым причинам аварий относятся выход оборудования из строя, ошибки персонала
и экстремальные природные условия. Экологические последствия аварийных выбросов
приобретают особенно тяжелый характер, когда происходят вблизи берегов или в
районах с замедленным водообменом.
Аварии при буровых работах
представляют собой неожиданные залповые выбросы жидких и газообразных
углеводородов из скважины в процессе бурения при вскрытии зон с аномально
высоким пластовым давлением. В редких случаях при очень больших перепадах
давления авария будет иметь длительный катастрофический характер, и для
остановки выбросов придется бурить наклонные скважины.
Другая группа аварий включает
регулярные «нормальные» выбросы, которые можно остановить в течение нескольких
часов без дополнительного бурения. Опасность таких выбросов заключается как раз
в их регулярности, приводящей, в конечном счете, к хроническому воздействию на
морскую среду.
Разовые или систематические разливы
нефти могут привести к серьёзным нарушениям функционирования морской
экосистемы: ухудшение химического состава воды и ее физических показателей
(прозрачность, температура и т.д.), гибель живых организмов в результате
попадания нефтепродуктов на поверхностные слой кожи и оперение, вынужденное
изменение маршрутов миграции, линьки, гнездования и нереста и т.д.
Выбросы в атмосферу. Выбросы
загрязняющих веществ в атмосферу всегда сопровождают любые нефтяные промыслы.
Наиболее распространенным источником таких выбросов являются сжигание попутного
газа и избыточных количеств углеводородов в ходе опробования и эксплуатации
скважин [4].
По некоторым оценкам, до 30%
сжигаемых в факелах углеводородов выбрасывается в атмосферу и затем выпадает на
морскую поверхность, образуя относительно неустойчивые тонкие пленки вокруг
буровых платформ. Выбросы «парниковых» газов. Нефтегазовая деятельность вносит
значительный вклад в процесс изменения климата посредствам выброса большого
количества таких «парниковых» газов, как CO2 и CH4. Основное количество данных
выбросов происходит в результате сжигания нефти или газа для производства
энергии, необходимой для функционирования уставленной на месторождении добычной
платформы, а также при сжигании попутного газа.
Выбросы NOx образуются при сжигании
попутного газа и газа в турбинах, необходимых для получения энергии. Влияние
данного вида выбросов локально, однако может нанести серьёзный экологический
ущерб береговым экосистемам, так как большое содержание данного вещества в
атмосфере может привести к «кислотным дождям».
Выбросы nmVOC (летучие органические
углероды неметанового ряда) образуются в результате испарения сырой нефти при
ее хранении или перегрузке на терминалы. Когда nmVOC вступают в реакцию с NOx
под воздействием солнца, образуется озон. Высокие концентрации озона в
приземном слое могут нанести вред здоровью людей, растительности, строениям.
Оценка экологических рисков,
связанные с эксплуатацией нефтяных месторождений и их предотвращение
Развитая промышленность и
инфраструктура, увеличение количества автотранспорта, размещение большого
количества промышленных объектов на небольшой территории приводит к повышенной
техногенной нагрузке на окружающую среду, вызывая ее изменение и преобразование
[5].
Формирование экономического
механизма природопользования предусматривает учет последствий от возможных
эколого-экономических рисков, возникновение которых инициируют процессы
антропогенной деятельности. Для оценки техногенной нагрузки нами предложена
концепция порогового воздействия техногенных объектов на компоненты природной
среды. Оценка техногенной нагрузки в общем виде включает процесс идентификации,
оценки и прогнозирования негативного воздействия на окружающую среду и/или здоровье
людей в результате функционирования промышленных и других производств и
объектов, которые могут представлять опасность для населения и окружающей среды
после достижения определенной величины, которую можно назвать «порогом
техногенной нагрузки».
Оценка риска является инструментом
управления экологической безопасностью. Экологическая оценка риска определяется
как процесс, который оценивает вероятность проявления неблагоприятных
экологических последствий, которые вызывают стресс и, в конце концов, деградацию
экосистем или ухудшение показателей здоровья населения в районах с повышенной
техногенной нагрузкой. Процедуру проведения анализа экологического риска,
который обусловлен загрязнением окружающей среды, можно разбить на два этапа:
оценка риска и управление риском. Обобщенная оценка риска включает
идентификацию факторов опасности и определения степени данного негативного
воздействия по уровню эффектов на здоровье человека и на состояние окружающей
среды. При управлении риском решаются задачи регулирования эффектов воздействия
на человека и окружающую среду, экономический блок которых базируется на
анализе эффективности мероприятий по уменьшению величины эффектов до
определенного уровня.
В зависимости от цели и масштаба
работы, данных и средств можно выполнить отдельные этапы (скрининговый анализ)
или полный комплекс оценки риска. Например, в случае необходимости определения
размеров опасности, создаваемой одним или несколькими вредными факторами
окружающей среды, применяется оценка риска, обусловленного действием этих
факторов. Если стоит задача выбора технических решений различной стоимости,
позволяющих снизить риск от выбросов любого источника, необходимо использовать
экономические подходы риск-менеджмента. Сравнительный анализ риска ориентирует
пользователей, как в условиях ограниченности средств выбрать приоритетную и
более простую для решения проблему из всех возможных [5].
Оценка и анализ экологических рисков
вследствие постоянной техногенной нагрузки или аварийных ситуаций, имеющих
негативные экологические и экономические последствия, позволяют оценить
количественные показатели риска в виде:
) ущерба природным экосистемам;
) экономических потерь в виде
ускоренного износа агрегатов, сооружений, установок;
) социально-экономического ущерба
здоровью населения, вызванного повышенным загрязнением окружающей среды;
) дополнительных расходов на
ликвидацию последствий аварий и катастроф [5].
Количественное значение используемых
экономических критериев, зависит от факторов экологического риска. В целом
экономическая оценка экологического риска проводится на основе расчета ущерба и
выгоды от потенциальных или реальных изменений состояния окружающей среды
вследствие техногенной нагрузки. Данная оценка базируется на анализе двух
основных аспектов - состояния реципиентов воздействия и характеристики
техногенного воздействия.
В работе [4] под экономическим
ущербом от нарушения среды следует понимать стоимостное выражение фактических и
возможных потерь, которые нанесены экономическим субъектам в результате
экодеструктивного воздействия.
Разные страны в зависимости от
национальных особенностей, имеющихся ресурсов и других факторов проводят оценку
эколого-экономических рисков с помощью различных механизмов. Например, в
Нидерландах, США и ряде других стран используется принцип, суть которого в том,
что в регионе устанавливается общая допустимая норма выбросов того или иного
загрязняющего вещества. В рамках такой нормы должно быть урегулировано
распределение общего допустимого объема выброса между предприятиями, а также распределение
объема выброса каждого предприятия между отдельными источниками загрязнения.
Концепция экологического риска связывает прирост расходов на охрану окружающей
среды с ожидаемой величиной снижения потерь, которые определяются не по
установленному нормативу выброса, а по уровню риска, который вызван постоянным
наличием загрязнителя в окружающей среде, и соответствующего экономического
ущерба. При этом за основной показатель потерь берется здоровье человека, т.е.
критерием чистоты окружающей среды являются не нормативные уровни содержания
загрязнений, а отсутствие заболеваний, вызванных экологическими факторами.
Преимуществом в расчете
экономической оценки ущерба окружающей среде на основе теории экологического
риска по сравнению с нормативным подходом является стремление получить
максимальный эффект за счет более полного (комплексного) учета потерь от
загрязнения окружающей среды, приведенных к одному реципиенту-человеку или
экосистеме, и выбора рациональной структуры вложения ресурсов в деятельность по
его охране и восстановлению [6].
Наиболее эффективными являются
оценки риска на стадии проектирования и размещения опасного объекта, при
обосновании и оптимизации мер безопасности, при анализе опасностей возможных
аварий для людей, природной среды и имущества.
Как количественный показатель риска
целесообразно использовать показатель, который одновременно учитывает две
характеристики неблагоприятного события - вероятность его наступления и
величину нанесенного им ущерба. Математическая модель экологического риска,
которая описывается с помощью экономического механизма, в общем виде
представлена как:
где 
- экологический риск,
обусловленный техногенным воздействием, руб./ч;-количество потенциальных
техногенных факторов (выбросы загрязняющих веществ в атмосферу, сброс в водные
объекты, загрязнение почв, размещение токсичных отходов и т.д.);- количество
зон экологического риска;- степень нарушенности экосистемы или степень
ухудшения показателей здоровья населения в техногенно нагруженном регионе;
Р (R) - потенциальный
риск возникновения экологической опасности вследствие техногенного воздействия
для реципиента R:
Е -
эколого-экономический ущерб, руб.
Известны [4; 6] способы
экономической оценки экологического риска путем расчета удельных показателей
техногенной нагрузки, который приводит к возникновению экологических рисков. В
этом случае экологическая нагрузка применяется как инструмент экономической
оценки экологической безопасности, применение и задание уровня которого
вызывает затраты на компенсирующие меры, зависящие от конкретной экологической
ситуации, конкретных мер и возможности реализации.
В целях принятия
превентивных и профилактических мер, направленных на снижение экологической
аварийности на объектах нефтегазового комплекса, предлагается руководителям
территориальных органов Ростехнадзора:
Проанализировать
материалы о состоянии аварийности и травматизма на объектах нефтегазового
комплекса с инспекторским составом и довести информацию до руководителей
подконтрольных организаций.
При проведении проверок:
усилить контроль за
выполнением поднадзорными организациями мероприятий по устранению нарушений
требований промышленной безопасности, а также по финансированию указанных
мероприятий и сокращению сроков приведения опасных производственных объектов в
соответствие с требованиями федеральных норм и правил в области промышленной
безопасности;
обратить особое внимание
на наличие и выполнение организациями планов проведения диагностирования
оборудования в установленные сроки; своевременного вывода из эксплуатации
дефектного оборудования и его замены; обеспечение производственного контроля за
качеством проводимых ревизий, ремонтов оборудования, экспертиз промышленной
безопасности;
включить в состав
проверочных мероприятий вопросы соблюдения производственным персоналом
организаций технологических регламентов, инструкций по безопасному проведению
ремонтных, газоопасных, огневых работ и иной эксплуатационной документации. При
выявлении случаев нарушения требований инструкций при выполнении работ
повышенной опасности или выполнения ремонтных работ на действующем или
неподготовленном к таким работам оборудовании, принимать жесткие меры
административного воздействия к должностным лицам, ответственным за проведение
указанных работ, вплоть до их дисквалификации.
. Обеспечить проверку
внедрения на объектах 1 и 2 классов опасности систем управления промышленной
безопасностью, а также анализ разработанных планов мероприятий по локализации и
ликвидации последствий аварий. При этом необходимо обратить внимание на
эффективность профилактических мероприятий; готовность профессиональных
аварийно-спаоательных формирований к локализации и ликвидации аварий в
кратчайшие сроки.
Государственные
нормативные документы практически всех Европейских стран предписывают
необходимость проведения анализа риска, но не требуют строгого следования
определенным методам анализа риска, оставляя за предпринимателями право
создания своих нормативов, которые должны учитывать общие требования
государственных стандартов. В большинстве зарубежных документов, по применению
анализа риска, на усмотрение предпринимателя разрешается использовать один или
несколько методов анализа опасности и риска:
«что будет, если? (What
- if)»;
проверочный лист (Check
list);
комбинацию двух методов:
анализ опасности и
работоспособности (HAZOP - Hazard and Operability Study); анализ видов и
последствий отказов (FMEA - Failure Mode and Effects Analysis,)/ количественный
анализ вида, последствий и критичности отказа (FMECA - Failure Mode and Event
Criticality Analysis);
анализ дерева отказов
(ТТА - Fault Tree Analysis,)/ анализ дерева событий (ETA - Event Tree
Analysis);
анализ слоев
безопасности (защиты) (SLA - Safety Layers Analysis);
полный количественный
анализ риска (QRA - Quantitative Risk Analysis).
Процедура количественной
оценки риска приведена на схеме, представленной на рисунке 6.

Из перечисленных методов
анализа риска только QRA является чисто количественным методом, остальные
методы являются таковыми частично. Собственник производства свободен в выборе
метода анализа риска, но выбранный им метод должен быть научно обоснован
(повторяем и проверяем), соответствовать рассматриваемой системе, давать
прозрачные, легко понимаемые результаты и позволять создавать системы
управления риском.
Количественный анализ
риска используется для определения эксплуатационных возможностей относительно
данного уровня безопасности или конкретной цели.
Он был разработан для
оценки крупномасштабных аварий, которые очень редки, а, соответственно, частоту
их возникновения и последствия невозможно определить на основании только
статистических методов. В настоящее время в США и Европе этот метод широко
используется в ядерной и химической промышленности, так как является наиболее
универсальным и исчерпывающим методом для оценки безопасности. Метод
количественного анализа риска рассматривает все возможные аварийные ситуации
из-за какой-либо деятельности и оценивает вероятность (частоту) каждого события
и связанные с ними последствия. В России метод количественного анализа риска
применяется особенно активно в ядерной энергетике и известен как вероятностный
анализ безопасности [3].
Индивидуальный риск -
частота поражения отдельного человека в результате воздействия исследуемых
факторов опасности аварий.
Коллективный риск -
ожидаемое количество пораженных в результате возможных аварий за определенный
период времени.
Социальный риск -
зависимость частоты возникновения событий F, в которых пострадало на
определенном уровне не менее N человек, от этого числа N.
Для определения уровня
индивидуального риска следует учитывать природу аварии, долю времени нахождения
в «зоне риска» и местонахождение «рискующего». В этой связи индивидуальный риск
рассчитывается по формуле:
где Rинд -
индивидуальный риск, 1/год; Qi - условная вероятность поражения человека при
реализации i-го сценария аварии; Qi - вероятность реализации i-го сценария
аварии в течение года; Р прi - вероятность присутствия человека в зоне действия
поражающих факторов i -го сценария аварии; n - число сценариев аварии.
Условная вероятность
поражения человека избыточным давлением, развиваемым при сгорании паровоздушных
смесей на определенном расстоянии от эпицентра, а также тепловым излучением при
пожаре пролива рассчитывается с использованием «пробит-функции» [4].
Индивидуальный риск
рассчитывается для различных категорий персонала, при этом учитывается время
пребывания персонала конкретной специальности (аппаратчики, слесари, ИТР -
начальник цеха, мастер смены, технолог и др.) в зоне поражающих факторов конкретной
аварии, при этом используются данные карт занятости персонала на рабочих
местах.
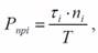
Вероятность присутствия
персонала в зоне действия поражающих факторов возможной аварии определяется по
формуле:
где τi
- время нахождения работающего в пределах зон поражающих факторов
в одну смену, ч; Т - количество часов в году; пi - количество рабочих смен в
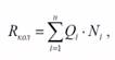
году. Коллективный риск рассчитывается по формуле:
где Rкол - коллективный
риск, чел/год; Qt - вероятность реализации i -го сценария аварии в течение
года; Nt - количество погибших при реализации i -го сценария аварии. Средний
индивидуальный риск рассчитывается как:
где Rсp - средний
индивидуальный риск, 1/год; Ni - персонал, подвергающийся риску, чел.
Технологический уровень
производства в наше время необходимо оценивать с учетом степени использования
гибких технологий, которые самостоятельно справляются с техническими отказами и
с большим количеством ошибок человека или могут обеспечить достаточное время
для принятия контрмер. Необходима интеграция оценки риска во всестороннюю,
комплексную оценку технологии либо в решение конкретной задачи таким образом,
чтобы полученные результаты можно было использовать в процессе принятия
решения.
Работа по снижению риска
может быть очень плодотворной, так как побуждает к созданию принципиально новых
технологий, материалов, конструкций, вынуждает людей критически относиться к
своим потребностям и возможностям, к своему месту и роли в природе.
«Современные технологии выставили человеку до сегодняшнего дня неприличные
требования ответственности за свои действия» [1].
В настоящее время теория
риска широко применяется в различных отраслях нефтегазовой и химической
промышленности, она используется при проектировании потенциально опасных
объектов и пересмотре допустимого уровня безопасности их эксплуатации,
размещении, официальном одобрении.
Заключение
Под экологическим риском
понимается вероятность неблагоприятных для окружающей среды последствий любых
изменений природных объектов и факторов.
Экологические риски при
бурении скважин. Опыт работы крупных оффшорных проектов по добычи нефти и газа
показывает, что данный вид деятельности сопровождается большим количеством
выбросов: в атмосферу, морскую среду и т.д. Даже после прекращения добычи нефти
или газа на месторождении, экологические риски по-прежнему остаются.
Оценка риска - это
анализ причин его возникновения и масштабов проявления в конкретной ситуации.
Опасность возникновения техногенных аварий, значительных по своим последствиям,
больше связывают с химическими и нефтехимическими предприятиями, атомными и
тепловыми электростанциями, шахтами, канализационными сооружениями.
Проведенный анализ
показал, что в качестве критерия для оценки реального экологического риска,
который формируется в локальном и региональном масштабах, может использоваться
потенциальная характеристика экономических потерь, количественно связанных с
техногенными факторами промышленного производства. Механизм экономической
оценки ущерба от загрязнения окружающей среды на основе теории риска по
сравнению с нормативным подходом позволяет более полно учитывать последствия
воздействия антропогенных факторов в денежном выражении по загрязняющим
веществам и их источникам. В этом случае появляется возможность прогноза
потенциально опасных для состояния экосистемы и здоровья людей факторов
загрязнения окружающей среды.
В теории безопасности техногенной
сферы насчитываются десятки потенциальных опасностей, которые переходят в
угрозы и создают различные риски. В целом безопасность техногенной сферы можно
разделить на два аспекта:
техногенная
безопасность определяет степень защищенности человека, объектов и ОС от угроз,
исходящих от созданных и функционирующих сложных технических систем при
возникновении и развитии аварийных и катастрофических ситуаций;
технологическая
безопасность определяет степень защищенности человека, общества, объектов и ОС
от угроз, связанных с необоснованным созданием или не созданием технических
систем, технологических процессов и материалов, обеспечивающих достижение
основных национальных интересов страны.
Рост потенциальных и
реальных угроз в техногенной сфере требует усиления роли государства в решении
проблем техногенной и технологической безопасности.
В перспективе, риски в
техногенной сфере могут кардинально измениться: техногенные риски сменят
технологические риски, и ущербы будут возникать из-за разрушения национальной
технологической базы.
В большинстве зарубежных
документов, по применению анализа риска, на усмотрение предпринимателя
разрешается использовать один или несколько методов анализа опасности и риска:
«что будет, если? (What
- if)»;
проверочный лист (Check
list);
комбинацию двух методов:
анализ опасности и
работоспособности (HAZOP - Hazard and Operability Study); анализ видов и
последствий отказов (FMEA - Failure Mode and Effects Analysis,)/ количественный
анализ вида, последствий и критичности отказа (FMECA - Failure Mode and Event
Criticality Analysis);
анализ дерева отказов
(ТТА - Fault Tree Analysis,)/ анализ дерева событий (ETA - Event Tree
Analysis);
анализ слоев
безопасности (защиты) (SLA - Safety Layers Analysis);
полный количественный
анализ риска (QRA - Quantitative Risk Analysis).
Список использованных
источников
экологический риск
нефтяное месторождение
1. Меньшиков В.В., Швыряев А.А. Опасные химические объекты и
техногенный риск: учеб. пособие. М.: Изд-во хим. фак. МГУ, 2003. 254 с.
. Порфирьев Б.Н. Экологическая экспертиза и риск
технологий // Итоги науки и техники. М.: ВИНИТИ, 1990. Т. 27. 204 с.
. Безопасность России. Правовые, социально-экономические и
научно-технические аспекты. Безопасность трубопроводного транспорта. М.: МГФ
«Знание», 2002. 752 с.
. ГОСТ Р 12.3.047-98. Пожарная безопасность
технологических процессов. Общие требования. Методы контроля. Введ. 1 янв. 2000
г. М.: Изд-во стандартов, 2000. 35 с.
. Кравцова М.В. Оценка техногенного риска технически
сложных производственных объектов машиностроения // Известия Самарского
научного центра Российской академии наук. - 2012. - Т. 14. - № 1-3. - С.
877-884.
. Кравцова М.В., Евсеев А.И. Повышение эксплуатационной
устойчивости сложных технических систем // Вектор науки Тольяттинского государственного
университета. - 2011. - № 4. - С. 67-70.