Гидрогенизационная каталитическая переработка пластмассовых отходов

  • Вид работы:
    Дипломная (ВКР)
  • Предмет:
    Химия
  • Язык:
    Русский
    ,
    Формат файла:
    MS Word
    340,77 Кб
  • Опубликовано:
    2014-12-11
Вы можете узнать стоимость помощи в написании студенческой работы.
Помощь в написании работы, которую точно примут!

Гидрогенизационная каталитическая переработка пластмассовых отходов



Дипломная работа

Гидрогенизационная каталитическая переработка пластмассовых отходов

Введение

Актуальность. Отходы пластмасс являются ценным вторичным сырьем, хорошо сохраняющимся в количественном и в качественном отношении, и экономически выгодным продуктом, имеющим высокий потенциал переработки. Наиболее перспективным является метод их комплексной экологически чистой химической переработки с целью получения котельного топлива, компонентов высокооктановых моторных топлив, сырья для промышленности нефтехимического, органического и биохимического синтеза, асфальтобетона для дорожного строительства, углеграфитовых материалов, анодной массы для электротермических и электрохимических производств, представляется актуальной переработка отходов пластмасс в целевые продукты в свете разработки современных способов рационального расходования природных ресурсов и поиска альтернативных источников получения углеводородов и продуктов на их основе, включая, важнейшие виды топливных материалов. Исследование процессов термической и термокаталитической деструкции полимерных материалов и разработка высокоэффективных промышленных способов переработки отходов полимерных материалов является весьма актуальной задачей.

Научная новизна. Вторичное использование отходов пластмасс и производство на их основе дополнительных видов источников энергии имеет приоритетное значение для решения и реализации вопросов комплексного и рационального потребления сырья и энергии, а также для решения остро стоящих вопросов экологической безопасности окружающей среды. Перспективным является поиск новых катализаторов и разработка новых технологий переработки отходов пластмасс в углеводородные фракции, которые после соответствующей обработки могут быть использованы в качестве высококачественного моторного топлива. В работе впервые в качестве катализатора процесса гидрогенизационной переработки отходов пластмасс исследованы природные цеолиты месторождений Республики Казахстан, преимущественно представленные клиноптилолитом.

Практическая значимость работы. Разработка высокоэффективной технологии переработки отходов пластмасс в углеводородные топливные фракции позволит создать дополнительный источник производства моторного топлива и частично решить проблему его дефицита, наметившуюся в последнее время.

Преимуществом и исследуемого гидрогенизационного метода получения синтетического топлива является относительная доступность исходного вторичного сырья, экологическая безопасность проведения процесса, энергосберегающая технология проведения процесса при низких температурах под давлением, ресурсосберегающая технология применения в качестве источника водорода пастообразователя на основе тяжелых нефтяных остатков.

Цель работы: Исследование процесса каталитической переработки отходов пластмасс в присутствии новых катализаторов на основе природных минералов и отходов промышленных производств в жидкие топлива и установление оптимальных режимов проведения процесса.

Задачи исследования:

1.  Подготовить и измельчить образцы отходов пластмасс (ПЭ, ПП);

2.      Подобрать и подготовить катализатор на основе природного цеолита месторождения Семейтау, красного шлама алюминиевого производства и др.;

.        Исследовать процесс гидрогенизации отходов пластмасс;

.        Провести анализ жидких топливных дистиллятов и на основании этого оптимизировать процесс.

1. Литературный обзор

катализатор пластмасса топливо гидрогенизационный

Переработка пластика в современном индустриальном обществе становится все более актуальным вопросом, и одновременно с этим, одним из наиболее интересных и перспективных направлений коммерческой деятельности. Помимо этого полимерные изделия после использования сохраняют практически все свои свойства, поэтому вторичная переработка пластика (рециклинг) является наиболее эффективным и экологически чистым способом, который дает вторую жизнь отходам полимеров. Суть рециклинга - это переработка полимера, в результате которого из уже использованного изделия (либо брака) получают исходное сырье, готовое для дальнейшего использования уже в производстве нового полимерного изделия. Существует несколько методов переработки пластмасс, применение того или иного способа зависит от исходного материала (степени его загрязнения, сортировки, разносортности полимера).

Полученные вторичные материалы, значительно снижают расходы на производство полимерных изделий. Продукция может производиться как полностью из вторичного сырья, так и из первичного сырья с добавкой переработанных полимеров. Полученные в результате переработки пластиковых отходов вторичные полимеры являются сырьем для промышленного выпуска самых различных товаров: запасных частей для автомобилей, упаковки и тары для производственного и бытового назначения и многого другого.

Рециклингом, в частности пластика, могут заниматься не только крупные заводы, но и небольшие предприятия. Так, компания «Эксимпак-Оборудование» поставляет оборудование рециклинга полимеров, предназначенных для переработки и дальнейшего использования при изготовлении новых полимерных изделий. Линии позволяют перерабатывать стрейч, ПВД, ПНД-пленки, а также ПП-мешки и Биг-Беги с очень высоким качеством отмывки готовых гранул. Производительность линий по переработки отходов - 400-700 кг/ч в зависимости от типа исходного сырья.

Существуют различные технологии переработки полимерных отходов, однако все они включают в себя следующие стадии:

сбор;

сортировка;

мойка-сушка;

измельчение;

пластикация;

гранулирование.

Организация некоторых стадий сопровождается техническими и экономическими трудностями, что приводит к увеличению стоимости конечного продукта. Интерес к получению дешевых ресурсов, которыми являются вторичные полимеры, весьма актуален [1].

Сравнительный анализ цен на российском рынке переработки пластиковых отходов (источник: оценка Research. Techart на май 2010 г.) [2]. показал, что привлекательность переработки отходов можно проиллюстрировать на следующем примере: стоимость спрессованных бутылок ПЭТФ ~ 100 долл. за тонну; дробленных чистых отходов ПЭТФ ~ 300 долл. за тонну; гранулы~ 1000 долл. за тонну; нити для текстильной промышленности или ткань для дорожного строительства ~ 2500 долл. за тонну. [3]

Технология переработки тары и упаковочных материалов является одним из приоритетных направлений развития науки и техники на ближайшее десятилетие. Инвестиции в производство тары и упаковки стремительно растут, но высокие темпы роста потребления упаковочных материалов обусловливают возникновение такой проблемы, как уничтожение и утилизация упаковочных отходов. Разрешение этой проблемы тесно переплетается с такими аспектами жизнедеятельности человека, как сохранение окружающей среды, экономия природных ресурсов, рациональное использование земельных угодий.

Наиболее экологически опасными считаются полимерные отходы, основным недостатком которых является стойкость к влиянию естественных природных условий, так как в большинстве своем полимеры не подвержены саморазложению. Вместе с тем сжигание таких отходов вызывает выделение крайне ядовитых газов, в том числе диоксина. По имеющимся данным, стоимость обработки и уничтожения отходов пластмасс в целом примерно в 8 раз превышает расходы на обработку большинства промышленных отходов и почти в 3 раза - на уничтожение бытовых.

Существует пять основных путей уничтожения и утилизации полимерных отходов: захоронение и свалка (сюда же можно отнести и компостирование, то есть создание биомассы); сжигание; крекинг и пиролиз; использование в производстве строительных материалов.

Для каждого конкретного упаковочного материала в зависимости от особенностей его состава, химического строения полимера и свойств выбирается тот или иной путь уничтожения отходов. Следует учесть, что значительное количество пластиковых упаковок, используемых сегодня, являются неэкологичными, то есть включают в себя сразу несколько материалов. Например, литровые пакеты, в которых продается сок (так называемые «асептические»), состоят из фольги, пластика, картона; эластичные бутылки для кетчупа часто производятся из нескольких типов пластика. Такая упаковка практически не поддается вторичной переработке и зачастую не сгорает в мусоросжигательных печах [4].

Производство упаковочных материалов возрастает примерно на 5% в год, а доля пластмасс в них увеличивается ежегодно на 11%. Вместе с тем эта, в общем, положительная тенденция оборачивается и негативной стороной - загрязнением окружающей среды. Исследования показали, что в среднем требуется около 80 лет для того, чтобы деградация полимерного материала упаковки прошла до стадии ассимиляции окружающей средой. За это время человеческое общество успеет произвести столько новых упаковок, что они, после использования покроют огромные площади, на которых ничего не будет произрастать и на которых замрет жизнь. Эта картина особенно актуальна в местах концентрации населения, т.е. в больших городах [5].

.1 Виды полимерных отходов

Отходы пластмасс образуются как на стадиях производства, так и в процессе использования. Увеличение поступающих в окружающую среду отходов пластмасс представляет значительную экологическую проблему. Из общего количества получаемых отходов около 60% образуется при производстве упаковочных материалов; производственные и промышленные отходы составляют 17%, оставшееся количество приходится на долю бытовых отходов. Доля основных типов термопластов в промышленных отходах (в%) до 80-х годов приведена ниже:


1970 г.

1975 г.

1980 г.

Полиэтилен низкой плотности

31,7

31,9

32,0

Полиэтилен высокой плотности

6,8

7,8

8,5

Полипропилен

8,4

10,9

13,2

Полистирол

19,4

18,6

17,9

Поливинилхлорид

33,7

30,8

28,4


Как видно, доля полиолефинов в объеме промышленных отходов пластмасс увеличивается. Отмечается также рост процентного содержания пластмасс в городских и бытовых отходах. За 1960-1980 гг. в странах Общего рынка содержание пластмасс в городских и бытовых отходах возросло с 1 до 6%, т.е. в 6 раз. Особенно серьезную опасность породили изделия одноразового употребления, а также изделия с относительно небольшим сроком службы (одежда, мебель, игрушки, упаковка, бытовые предметы и т.д.). Около 2/3 из перечисленных изделий имеют срок службы 1-2 г., хотя отдельные виды пластмасс - более 10 лет. Вышедшие из употребления изделия из пластмасс выбрасывают с прочими бытовыми отходами в окружающую среду, загрязняя почву и водоемы. Более половины отходов образуется в сфере быта и 10 - 12% создаются в сфере торговли. В высокоразвитых странах ежесуточно на душу населения образуется 12 - 35 г. отходов из пластмассы.

В 1980 г. доля пластмасс в городских отходах составила (% по массе): Великобритании - 2%, СССР - 2%, США - 2 - 3%, ФРГ - 4 - 6%, скандинавских странах - 7,5%, Японии - 8 - 12%. В США, например, в 1976 г. из 4 млн. пластмасс, содержащихся в городских отходах, 60% составляли упаковочные материалы. В 1980 г. доля пластмассовых отходов в городском мусоре превысила 8,5 млн. т, однако содержание упаковочных материалов снизилось до 54% в результате использования пластмасс с большим сроком службы.

Существует множество различных типов отходов пластмасс, для простоты их делят на четыре категории по методам обработки:

. односортовые пластмассы в виде отходов и лома, которые можно добавлять в процесс, с помощью которого они первоначально получены;

. односортовые загрязненные пластмассы, которые должны пройти дополнительную обработку и не могут быть непосредственно введены в процесс их производства;

. смешанные отходы пластмасс с известным составом, в основном не содержащие посторонних примесей;

. разнообразные сорта пластмасс, содержащиеся в твердых городских отходах, загрязненные посторонними примесями.

Отходы пластмасс либо захоранивают (с предварительной обработкой или без нее), либо рециклизируют, добавляя их в качестве сырья. В зависимости от сорта получаемого продукта различают рециклизацию, в которой используются отходы пластмасс без примесей (так называемая «первичная рециклизация»), и такую, в которой в качестве сырья добавляют отходы пластмассы, в небольшой степени загрязненные примесями. Вторичная обработка («вторичная рециклизация») подразумевает использование отходов в производстве продуктов более низкого качества, чем продукты первого сорта. Сильно загрязненные отходы пластмасс перерабатывают в другие - масла, парафины, жиры, мономеры, синтез-газ (так называемая «третичная рециклизация»).

В процессе производства пластмасс стоимость сырья составляет 50-70% общей стоимости продукта и поэтому очень важно уменьшение выхода отхода и максимально возможное использование отходов и лома [6,7].

Структура пластиковых отходов по видам полимеров представлена на диаграмме:

Полиэтилентерефталаты

На сегодняшний день одними из наиболее употребляемых для упаковочных целей являются материалы на основе полиэтилентерефталата (ПЭТФ, PET). Этот полимер используют, в частности, для производства бутылок и бутылей для воды, прохладительных напитков, технических жидкостей и т.д.
При рассмотрении вопроса обращения с отходами упаковки и тары из полиэтилентерефталата уделять внимание их сжиганию, свалке или захоронению не целесообразно - обычно данные варианты уничтожения применимы для общей массы бытовых или промышленных отходов. Поэтому о путях утилизации ПЭТФ стоит поговорить отдельно.

Первая стадия технологии утилизации ПЭТФ-отходов обычно включает в себя ручную сортировку отходов по внешнему виду, отделение полимерных компонентов из общей массы отходов и разделение пластмасс друг от друга по химическому типу и цвету. Тара из полиэтилентерефталата имеет маркировку с кодом SPI №1 (коды, определенные «Обществом пластиковой промышленности»).

Из использованных ПЭТФ-бутылок получают дефицитные мономеры - диметилтерефталат и этиленгликоль, которые вновь используются для синтеза ПЭТФ заданной молекулярной массы и структуры, необходимой для производства бутылок [4].

Полиэтилен и полипропилен

Рынок пластиковых пакетов можно сегментировать по материалу, из которого данная продукция изготовляется. При производстве пакетов используется следующее сырье: полиэтилен (ПЭ), полипропилен (ПП). На сегодняшний день в полиэтилен, полипропилен и многослойные пленки фасуется около 80% всех товаров. ПП почтительно называют «королем пластмасс». Изготовленные из полипропиленовой пленки пакеты имеют высокую прозрачность, блеск, прочные сварные швы, обладают стойкостью к повреждениям. Но наиболее часто используемым сырьем для производства пакетов является полиэтилен. При этом можно выделить: полиэтилен высокого давления (ПВД) гладкий и плотный и полиэтилен низкого давления (ПНД) с высокой прочностью [8,9].

Для преобразования таких термопластов, как низкомолекулярный ПЭ или атактический ПП, применяют низкотемпературный жидкофазный пиролиз в непрерывно или периодически работающих реакторах. Атактический ПП термически разлагается в области температур 400…5000С. Низкомолекулярный ПЭ пиролизуется при 400…4500С [10].

Полистирол

Жидкофазный пиролиз полистирола при температурах выше 3500С ведет к образованию стирола с высоким выходом[10].

Поливинилхлорид

Отходы поливинилхлорида и побочные продукты выше 2000С отщепляют хлороводород, а при дальнейшей термической обработке (выше 4000С) разлагаются на технический углерод и углеводороды [10].

.2 Методы утилизации полимерных отходов

Пластиковые отходы должны перерабатываться, поскольку при сжигании пластика выделяются токсичные вещества, а разлагается пластик за 100-200 лет. Основные способы переработки пластика: пиролиз, гидролиз, гликолиз, метанолиз.

В декабре 2010 года Ян Байенс и его коллеги из университета Уорика предложили новую технологию переработки практически всех пластмассовых отходов. Машина с помощью пиролиза в реакторе с кипящим слоем при температуре около 500° С и без доступа кислорода разлагает куски пластмассового мусора, при этом многие полимеры распадаются на исходные мономеры. Далее смесь разделяется перегонкой. Конечным продуктом переработки являются воск, стирол, терефталевая кислота, метилметакрилат и углерод, которые являются сырьём для лёгкой промышленности. Применение этой технологии позволяет сэкономить средства, отказавшись от захоронения отходов, а с учётом получения сырья (в случае промышленного использования) является быстро окупаемым и коммерчески привлекательным способом утилизировать пластмассовые отходы [11].

Пластики на основе фенольных смол, а также полистирол и полихлорированный бифенил могут разлагаться грибками белой гнили. Однако для утилизации отходов этот способ коммерчески неэффективен - процесс разрушения пластика на основе фенольных смол может длиться многие месяцы.

ПЭТФ-отходы могут быть утилизированы пиролизом, крекингом или гидрокрекингом, что является довольно перспективным способом утилизации полимерных отходов. Термические методы особенно распространены в тех случаях, когда отходы не находят практического использования и не могут быть утилизированы путем переработки в изделия или применены в различных композициях. Теоретически технология проста: требуется подобрать необходимую температуру нагрева, и цепные молекулы полимера распадутся на отдельные звенья (мономеры), которые, предварительно очистив, можно снова подвергнуть полимеризации или поликонденсации для получения чистых полимерных материалов.

Важное место среди методов термического разложения полимеров принадлежит пиролизу - термическому разложению органических веществ с целью получения полезных продуктов. При более низких температурах (до 600°С) образуются в основном жидкие продукты, выше 600°С - газообразные и даже технический углерод. На практике пиролиз ПЭТФ при 550°С приводит к образованию сложной смеси жидких и газообразных веществ, представляющих собой сочетание мономеров, ди- и тримеров, олигомеров. Обычно такая смесь используется в виде высококачественного топлива или как сырье для нефтехимической промышленности.

Еще одним распространенным, экономичным, непрерывным и безопасным для окружающей среды способом трансформации вторичного полимерного сырья является каталитический термолиз, который предусматривает применение более низких температур. В некоторых случаях щадящие режимы позволяют получать мономеры, которые могут быть использованы в качестве сырья при проведении процессов полимеризации и поликонденсации [4].

Разработан и запатентован способ получения химического сырья и / или жидких топливных компонентов из пластмассовых вторичных материалов или отходов. Описан способ использования пластмассовых вторичных материалов или отходов, в котором пластмассовые вторичные материалы или отходы деполимеризуют при повышенной температуре, при необходимости с добавлением вспомогательной жидкой фазы, растворителя или смеси растворителей, и образующиеся газообразные и конденсируемые продукты деполимеризации (конденсат), а также пригодную к перекачиванию вязкую, содержащую продукты деполимеризации кубовую фазу (деполимеризат) отводят отдельными частичными потоками. Конденсат и деполимеризат перерабатывают отдельно друг от друга. По меньшей мере один частичный поток деполимеризата добавляют к предназначенному для коксования углю для улучшения спекания в процессе коксования и подвергают коксованию совместно с углем, или подвергают окислению с использованием образующегося при этом теплового эффекта, или используют как восстановитель в доменном процессе, или применяют в качестве добавки к битуму и битумсодержащим продуктам. Технический результат - упрощение процесса.

Преимущество способа в том, что неорганические побочные компоненты пластмассовых вторичных материалов или отходов концентрируют в кубовой фазе, в то время как не содержащий эти ингредиенты конденсат может перерабатываться далее в менее дорогостоящих способах. В частности, путем оптимального подбора параметров процесса, а именно температуры и времени пребывания, можно достичь, с одной стороны, получения относительно высокой доли конденсата, а с другой стороны - сохранения вязким деполимеризата кубовой фазы в условиях проведения процесса его пригодности к перекачиванию. При этом в качестве приемлемого приближения можно считать, что повышение температуры на 10oC при среднем времени пребывания повышает выход продуктов, переходящих в летучую фазу, более чем на 50%. Предпочтительный для способа температурный интервал для деполимеризации составляет от 150 до 470oC. Наиболее оптимален интервал от 250 до 450oC. Время пребывания может составлять от 0,1 до 20 ч. Вполне достаточным оказался интервал от 1 до 10 ч. Давление является величиной, играющей менее важную роль. Так, способ вполне можно осуществлять при пониженном давлении, например, если по технологическим соображениям необходимо отводить летучие компоненты. Возможно также применение и относительно высоких давлений, однако последнее требует более высоких затрат на оборудование. В принципе давление следовало бы поддерживать в пределах от 0,01 до 300 бар, в частности от 0,1 до 100 бар. Способ предпочтительно осуществлять при нормальном или слегка повышенном давлении, например, приблизительно до 2 бар, что заметно снижает затраты на оборудование. Для наиболее полной дегазации деполимеризата и дальнейшего повышения доли конденсата способ предпочтительно осуществлять при слегка пониженном давлении до приблизительно 0,2 бар.

Деполимеризацию можно проводить в обычном реакторе, например, в реакторе с мешалкой, рассчитанном на соответствующие параметры процесса, такие как давление и температура.

При использовании пластмассовых вторичных материалов и отходов из хозяйственно-бытового сектора инертные компоненты, отделенные посредством сепарирующего устройства, состоят главным образом из алюминия, который может быть направлен на повторное использование. Извлечение и повторное использование алюминия дополнительно открывает возможность полного использования всех материалов, а также упаковок из композитных материалов. Такую переработку можно проводить совместно с пластмассовыми упаковками. Преимущество данной переработки состоит в том, что можно не производить разделения этих упаковочных материалов. Композитные упаковки состоят обычно из бумаги или картона, соединенных пластмассовой пленкой и / или алюминиевой фольгой. В реакторе пластмассовый компонент разжижается, бумага, соответственно картон, разлагаются на первичные волокна, которые вследствие их незначительной способности к оседанию уносятся вместе с жидкостью. Значительная часть алюминия может быть извлечена отдельно. Пластмасса и бумага после произведенной деполимеризации направляются на сырьевую переработку.

Неожиданно было установлено, что в процессе коксования спекаются также и хуже спекающиеся угли, если к ним добавляют деполимеризат. Целевой эффект спекания достигается в том случае, если деполимеризат и уголь применяют в соотношении от 1:200 до 1:10. Оптимальным является интервал от 1:50 до 1:20.

В способе согласно изобретению по меньшей мере часть потока деполимеризата используют в виде восстановителя в доменном процессе. Деполимеризат может также и в этом случае применяться как заменитель тяжелого котельного топлива, которое обычно используется для этой цели. При этом в данном случае так же, как и при термической переработке, особым преимуществом оказывается относительно малое, менее 0,5 мас.%, содержание хлора в деполимеризате.

Следовательно, деполимеризат можно с успехом применять в качестве связующей добавки при коксовании угля, в качестве восстановителя в доменных процессах, а также в качестве топлива в топочных агрегатах, на электростанциях и цементных заводах.

Кроме того, деполимеризат можно применять как добавку к битуму и битумсодержащим продуктам. Модифицированные полимером битумы применяют во многих секторах строительной промышленности, прежде всего в кровельноуплотнительных материалах и в дорожном строительстве. Благодаря содержащимся в деполимеризате полимерам улучшаются такие свойства битума, как вязкость, растяжимость и прочность на истирание. Деполимеризат благодаря своей остаточной реакционной способности при совместном нагревании с битумом и производными битума образует с ними химические связи. Это отчасти является причиной вышеуказанного целевого улучшения свойств. Целесообразной оказалась добавка от 1 до 20 мас. частей деполимеризата на 100 мас. частей битума. Наиболее оптимальной является добавка от 5 до 15 мас. частей деполимеризата на 100 мас. частей битума [12].

Изобретение относится к реакционным устройствам, применяемым для термической переработки (пиролиза) несыпучих крупногабаритных полимерных отходов, таких как изношенные шины, отработанные полимерные пластины, пленки, волокна, битумно-рубероидные обрывки, образующиеся при ремонте кровли. Целью изобретения является повышение производительности и надежности аппарата [13].

Предложен способ переработки пластмассового утильсырья и пластмассовых отходов с целью получения химического сырья и компонентов жидкого топлива. В основу изобретения положен способ гидрогенизации углеродсодержащего материала, в котором к высококипящим маслам добавляются полимеры, в частности, полимерные отходы в измельченном или растворенном виде, и эта смесь с целью получения компонентов топлива и химического сырья подвергается гидрогенизации в присутствии водорода. Для получения химического сырья и компонентов жидкого топлива пластмассовое утильсырье и пластмассовые отходы деполимеризуют до перекачиваемой и летучей фаз. Летучую фазу разделяют на газовую фазу и конденсат, который подвергают стандартным нефтеперерабатывающим процессам, а перекачиваемую фазу подвергают жидкофазной гидрогенизации, газификации, швелеванию (полукоксованию) или сочетанию этих технологических операций. Деполимеризацию проводят без добавки водорода, предпочтительно при давлении 0,01-300,0 бар, преимущественно 0,1-100,0 бар, в частности 0,2-2,0 бар, при 150-470oC, преимущественно 250-450oС, и времени реакции 0,1-10,0, преимущественно 0,5-5,0 ч, и три потока продуктов отводят в количествах 15-85 мас.% деполимеризата, 10-80 мас.% конденсата, а также 5-20 мас.% газовой смеси, каждый в пересчете на исходную смесь пластмасс.

Деполимеризацию целесообразно приводить в присутствии катализатора. К исходным пластмассовым отходам и утильсырью может быть добавлен органический растворитель. Конденсат предпочтительно подвергать гидрогенизационной очистке на неподвижном катализаторе, на подвижном катализаторе или псевдоожиженном слое катализатора. Газообразные продукты деполимеризации можно подавать на жидкофазную гидрогенизацию с подключением при необходимости скруббера для удаления кислых компонентов, таких как хлористый водород.

Пластмассы, которые могут перерабатываться по предложенному способу, представляют собой, например, смешанные фракции неразделанных отходов, например, фирмы Duale System Deutschland GmbH (DSD). Эти смешанные фракции, содержат, например, полиэтилен, полипропилен, поливинилхлорид, полистирол, смеси полимеров, как AБC-пластик, а также поликонденсаты. Можно использовать также отходы производства пластмасс, промышленной упаковки из пластмасс, остаточные, смешанные и чистые фракции, образующиеся при переработке пластмасс на промышленных предприятиях, причем химический состав этих отходов не является критическим параметром, определяющим их пригодность для переработки предложенным способом. Пригодными для переработки данным способом являются также эластомеры, резиновые изделия технического назначения или старые шины в предварительно измельченном виде.

Источником пластмассового утильсырья и пластмассовых отходов являются, например прессованные изделия, ламинаты, компаунды, пленки или синтетические волокна. В качестве некоторых примеров галогенсодержащих пластмасс можно назвать хлорированный полиэтилен (ХПЭ), поливинилхлорид (ПВХ), поливинилиденхлорид (ПВДХ), хлоропреновый каучук. В частности, используются также образующиеся в больших количествах серусодержащие пластмассы, например полисульфоны, или сшитые серными мостиками каучуки из старых шин, которые при наличии соответствующего оборудования для предварительного измельчения и предварительной сортировки на пластмассовые и металлические части подвергаются деполимеризации и дальнейшей переработке для получения химического сырья и компонентов жидкого топлива. Образующаяся в этом способе на предварительных стадиях обработки или при химических трансформациях с присоединением водорода сульфидная сера переходит преимущественно, как и хлористый водород, в отработанный газ, который отделяется и подается на дальнейшую переработку.

Наряду с используемыми в данном способе пластмассовыми отходами и утильсырьем можно использовать синтетические пластмассы, эластомеры, а также модифицированные природные соединения. К ним относятся, наряду с уже упомянутыми полимерами, в частности термопластами, также реактопласты и полиаддукты, равно как и продукты на основе целлюлозы, такие как целлюлоза (клетчатка) и бумага. Изготовленные из них изделия включают полуфабрикаты, отдельные детали, строительные элементы, упаковочные средства, складскую и транспортную тару, а также товары массового спроса. Что касается полуфабрикатов, то под эту категорию подпадают панели и платы (печатные платы), а также плиты из слоистого пластика, которые могут содержать некоторую часть металлических покрытий и могут быть, как и прочие используемые продукты после предварительного измельчения до размера частиц, соответственно кусков от 0,5 до 50 мм, отделены при необходимости от металлических, керамических и стеклокомпонентов с помощью соответствующих способов сортировки.

Названные пластмассовые отходы и утильсырье содержат также, как правило, неорганические примеси, такие как пигменты, стекловолокно, наполнители, как-то окиси титана и цинка, огнезащитные средства, пигментсодержащие печатные краски, сажу, а также металлы, как, например, металлический алюминий. Упомянутые пластмассовые отходы и утильсырье, которые образуются, например, в виде смесей или шихты различного состава в коллекторе отходов фирмы DSD, могут содержать до 10, а в некоторых случаях до 20 мас.% неорганических примесей. Обычно эти смеси пластмасс используются в предложенном способе в размельченном виде или предварительно переработанными, например, в виде гранул или крошки или тому подобном виде.

Продукты деполимеризации по предложенному способу делятся в основном на 3 главных потока:

) Деполимеризат в количестве от 15 до 85 мас.%, в пересчете на использованную пластмассовую смесь, который в зависимости от состава и соответствующих требований может быть распределен по потокам, направляемым на жидкофазную гидрогенизацию, газификацию под давлением и / или при необходимости на швелевание (пиролиз). При этом речь идет в основном о тяжелых углеводородах с точкой кипения > 480oC, которые содержат все попадающие вместе с пластмассовыми отходами и утильсырьем инертные вещества, как алюминиевая фольга, пигменты, наполнители, стекловолокно.

) Конденсат в количестве от 10 до 80, преимущественно от 20 до 50 мас.%, в пересчете на использованную пластмассовую смесь, температура кипения которого лежит в пределах 25 - 520oC, а содержание органически связанного хлора составляет примерно до 1000 частей/млн.

Конденсат можно, например, путем гидрообработки на станционарных имеющихся в продаже кобальт-молибденовых или никель-молибденовых катализаторах трансформировать в высококачественную синтетическую сырую нефть (Syncrude) или в качестве углеводородсодержащих основных веществ непосредственно вводить в химико-технологические или в стандартные нефтеперерабатывающие процессы, допускающие присутствие хлора.

) Газ в количествах от 5 до 20 мас.%, в пересчете на использованную пластмассовую смесь, который наряду с метаном, этаном, пропаном и бутаном может содержать газообразные галогенводороды, такие как в основном хлористый водород, а также легколетучие, хлорсодержащие углеводородные соединения.

Хлористый водород можно вымывать, например водой из газового потока с целью получения 30%-ной водной соляной кислоты. Остаточный газ можно путем жидкофазной гидрогенизации или обработкой в гидроочистителе высвобождать от органически-связанного хлора и направлять, например, на переработку нефтезаводского газа.

Отдельные потоки продуктов, в частности конденсат, могут в процессе их дальнейшей переработки использоваться затем как самостоятельное сырье, например, в качестве исходного материала для получения олефинов на этиленовых установках.

Преимущество способа согласно изобретению состоит в том, что неорганические примеси пластмассовых отходов и утиль-сырья подвергаются концентрированию на стадии жидкой фазы, тогда как конденсат, не содержащий этих компонентов, может подвергаться дальнейшей переработке способами, не требующими больших затрат. В частности, путем подбора оптимальных технологических параметров - температуры и времени обработки - можно добиться того, что, с одной стороны, образуется относительно большая доля конденсата, а с другой стороны, в условиях предложенного способа сохраняется способность вязкого деполимеризата жидкой фазы к перекачке. Одним из пригодных вариантов является такой, в котором повышение температуры на 10oC при средней продолжительности обработки увеличивает выход переходящих в жидкую фазу продуктов более чем на 50%. В способе согласно изобретению предпочтительный интервал температур для процесса деполимеризации составляет 150 - 470oC. Наиболее пригодным является интервал от 250 до 450oC. Время обработки может составлять 0,1 - 20 ч. В общей сложности достаточным оказался интервал до 1 до 10 ч. Давление в способе согласно изобретению является менее критическим параметром. Так, вполне предпочтительным может оказаться осуществление способа при пониженном давлении, например в случае, если по техническим причинам должны быть отделены летучие компоненты. На практике возможна также работа и при относительно высоком давлении, однако при этом возрастают эксплуатационные расходы, связанные с использованием дорогостоящего оборудования. В целом допускается использование давления в пределах от 0,01 до 300 бар, в частности от 0,1 до 100 бар. Способ можно осуществлять преимущественно при нормальном или немного повышенном давлении, например в пределах до 2 бар, что явно способствует снижению эксплуатационных расходов. Чтобы как можно полнее дегазировать деполимеризат и еще больше повысить долю конденсата, способ осуществляют предпочтительно при слегка пониженном давления до примерно 0,2 бар. Образующийся при газификации под давлением, состоящий в основном из CO и H2 сырой газ может быть переработан в синтетический газ или может использоваться для получения водорода.

В другом предпочтительном варианте выполнения способа, по крайней мере, один поток деполимеризата подается на жидкофазную гидрогенизацию. Жидкофазная гидрогенизация предпочтительна, в частности, в том случае, если из деполимеризата надо получить высокую долю жидких углеводородов. Применение жидкофазной гидрогенизации с целью получения бензина и при необходимости дизельного топлива из сырой нефти подробно описано в патенте ФРГ №933 826.

Образующиеся при жидкофазной гидрогенизации остатки (остатки горячей сепарации), а также образующийся при швелевании деполимеризата полукокс, содержащие соответственно неорганические примеси, могут быть утилизованы на последующей термической стадии способа, причем образующиеся при этом остатки, содержащие неорганические примеси, могут с целью восстановления металлов подвергаться дальнейшей обработке.

Полученные путем жидкофазной гидрогенизации легкие и средние фракции нефти могут использоваться на нефтеперерабатывающих заводах в качестве ценного сырья для получения топлива или исходных продуктов для получения пластмасс, таких как олефины или ароматические соединения. Если эти продукты жидкофазной гидрогенизации окажутся нестабильными при хранении, их можно подвергнуть гидроочистке, предусмотренной данным способом для конденсата.

Предпочтительный вариант выполнения способа согласно изобретению состоит в том, что перекачиваемый вязкий деполимеризат после отделения газообразных и конденсируемых продуктов деполимеризации разделяется в виде жидкого продукта на потоки, один из которых должен подаваться на газификацию под давлением, а другой на жидкофазную гидрогенизацию.

Еще один предпочтительный вариант выполнения данного способа состоит в том, что, по крайней мере, один поток деполимеризата подвергается швелеванию с получением полукоксового газа, полукоксовального дегтя и полукокса.

Благодаря сочетанию процессов деполимеризации, гидрогенизационной обработки полученных по предложенному способу компонентов дистиллята, жидкофазной гидрогенизации, газификации (частичного окисления) и / или швелевания деполимеризата жидкой фазы можно разгрузить мощности технологически наиболее капиталоемких и сложных стадий обработки, допускающих работу с неорганическими ингредиентами. Способ согласно изобретению обладает большим потенциалом повторной утилизации используемых пластмасс.

Так, подобранное сочетание описанных стадий способа может обеспечить практически полную утилизацию содержащегося в используемых пластмассах органического углерода. Кроме того, удается в значительной степени также утилизировать содержащиеся в используемых пластмассовых отходах углеродные и углеводородные компоненты. Остающиеся неорганические компоненты могут подаваться на повторную утилизацию, например регенерацию металла. Их можно также повторно использовать, по меньшей мере частично, в размолотом виде в качестве катализатора в процессе жидкофазной гидрогенизации [14].

Предложен способ получения бензина, дизельного топлива и сажи из отходов пластмассовых и / или резиновых материалов, включающий загрузку материалов в пиролизный аппарат через питатель, выгрузку сажи из пиролизного аппарата, загрузку получающихся материалов в газовой фазе в аппарат для каталитического крекинга, отличающийся тем, что реакционные материалы перемешиваются винтовой мешалкой в пиролизном аппарате и поступают в аппарат для десульфирования, и / или денитрации, и / или дехлорирования перед поступлением в аппарат для каталитического крекинга, упомянутый аппарат для десульфирования, и / или денитрации, и / или дехлорирования включает абсорбционный аппарат, содержащий основание, и абсорбционный аппарат с неподвижным слоем катализатора.

Катализатор, использованный в аппарате для каталитического крекинга, получают следующим образом: 10 - 70% синтетического носителя или полусинтетического носителя, 10 - 50% HZSM-5 цеолита, 10 - 20% водного раствора NaOH или КОН (10 - 20% содержание твердого вещества), 3 - 5% ZnO или соединения, выбранного из группы, содержащей Zn, Pt, Fe, Cu и Ni, и необходимое количество кремниевого или алюминиевого связывающего вещества перемешивают, формуют, высушивают и прокаливают или не прокаливают, получая желаемый катализатор, упомянутый катализатор, использованный в неподвижном слое, получают из А и В, в котором А получают перемешиванием 40 - 70% каолина или активированной глины, 10 - 30% водного раствора NaOH или КОН (10 - 20% содержание твердого вещества), 10 - 15% ZnO или растворимой соли цинка, 3 - 5% CuO или растворимой соли меди и с необходимым количеством кремниевого или алюминиевого связывающего вещества, промыванием, высушиванием и прокаливанием, «В» получают перемешиванием 40 - 80% каолина или активированной глины, 10 - 30% водного раствора NaOH или КОН (10 - 20% содержание твердого вещества), 10 - 20% CaO или CaCO3 с необходимым количеством кремниевого или алюминиевого связывающего вещества, формованием, высушиванием и прокаливанием и фракционируют получающиеся продукты посредством фракционирующей колонны.

Температура реакции в абсорбционном аппарате с неподвижным слоем катализатора или в аппарате для каталитического крекинга находится в пределах 200 - 400oС и давление находится в пределах 0,02 - 0,08 МПа [15].

На процессы переработки полимерных отходов существенное влияние оказывают такие факторы, как общая загрязненность, состав полимерной смеси, качество полимерных материалов (возраст полимерных материалов, количество циклов повторной утилизации, а также степень механического разрушения). Исходя из вышеперечисленных характеристик, можно выделить четыре основных категориальных подхода переработки отходов пластмасс (см. табл.).

Классификация стратегий использования ресурсов полимерных отходов

Категория

Направленность процесса переработки

I

Регенерация исходного полимера

II

Получение полимера более низкой ценовой категории по сравнению с исходным полимером

III

Получение топлива, нефтехимических компонентов, химических реагентов

IV

Получение энергии


Категории переработки III и IV являются перспективными направлениями, поскольку они не требуют дорогостоящей сортировки пластиковых отходов. Однако сжигание или горение является нерациональным методом использования сырья, а также является небезопасным с точки зрения экологичности процессов. С точки зрения применимости получаемых продуктов третья категория представляет наиболее интересное направление, по сравнению с традиционными методами, в дальнейшем планируется увеличение доли полимерных отходов, перерабатываемых с использованием данных методов.

Третья категория переработки может включать как термические, так и химические методы, в зависимости от типа исходного сырья. Конденсационные полимеры, такие как полиэфиры, нейлон и полиуретаны, разрушаются методами гликолиза, метанолиза, гидролиза и являются наиболее лабильными компонентами пластических отходов, из-за обратимой природы их полимеризации. Тем не менее, такие полимеры, как винилы, акрилы или полиолефины, составляют до 60% от общего числа пластиковых отходов и являются значительно более термоустойчивыми. Поэтому энергия, которую необходимо приложить для разрушения связей в полимерном скелете, обычно требует очень высоких температур или протекания процесса в жестких условиях. При таких жестких условиях происходят многочисленные реакции, высокой селективности к высокоценным продуктам, например мономерам, не достигнуто [16].

Химические методы переработки пластмасс

Химические методы переработки полимерных отходов преследуют цель получения ценного химического сырья (исходных мономеров), а также жидкого топлива. Применимость химических методов во многом зависит от типа и строения полимера, его загрязненности и включений других видов пластиков. Во многом применение химических методов ограничивается высокой стоимостью сортировки, разделения и очистки полимерных отходов, высокой энергоемкостью процесса. На ограниченность применения данного метода влияет высокая стоимость растворителей, используемых в процессе переработки, а также сложность восстановления растворителя от загрязнения пластификаторами и различными модификаторами пластмасс.

Процессы химической переработки полимерных отходов основываются на проведении процесса сольволиза, который предполагает взаимодействие растворителя с поликонденсационными полимерами за счет обратимости процесса поликонденсации при определенных условиях. Исходя из этого, процесс химической переработки может быть применен исключительно для поликонденсационных полимеров, имеющих в своей структуре гетерогенные связи, которые в большей степени проявляют химическую активность [16].

Термические методы переработки пластмасс

Термические методы переработки полимерных отходов основываются на способности органогенного сырья разрушаться под действием тепловой энергии с образованием газообразных, жидких и твердых продуктов. Образование продуктов сопряжено с протеканием цепи параллельных и последовательных реакций термического распада, изомеризации, реполимеризации, поликонденсации и циклизации и др.

В общем, термические методы переработки характеризуются высокими температурами и скоростями конверсии, а также относительно низкой селективностью и чувствительностью к составу исходного сырья. В случае переработки полимеров исходное сырье существенным образом определяет состав и распределение получаемых продуктов. Основными термическими методами переработки полимерных отходов являются пиролиз, газификация и ликвификация.

Пиролиз - процесс температурного распада органогенного сырья, протекающий без доступа кислорода. Основным фактором, влияющим на скорость протекания пиролиза и выход продуктов, является температура проведения процесса. В зависимости от температуры проведения процесса выделяют низкотемпературный (менее 400ºС), среднетемпературный (400 - 600ºС) и высокотемпературный (при температурах выше 600ºС). Повышение температуры изменяет термодинамическую возможность протекания процессов распада, т.е. влияет на интенсивность разрушения исходного сырья.

Немаловажным фактором в термических методах переработки является скорость нагрева. При изменении скорости нагрева выделяют карбонизацию, медленный и быстрый пиролиз, а также флеш-пиролиз. Чем выше скорость нагрева реактора, тем больше выход газообразных продуктов и ниже масса кокса. При увеличении размера частиц сырья, в связи с низкой теплопроводностью полимеров, снижается скорость нагрева, тем самым увеличивается масса твердого остатка и снижается выход жидких и газообразных продуктов.

Поскольку процесс карбонизации направлен на получение кокса, в данном процессе предпочтительно использовать сырье с крупным размером частиц, и наоборот, процессы быстрого пиролиза и флеш-пиролиза ориентированы на получение преимущественно газообразных и жидких продуктов, поэтому в этих процессах используют сырье с небольшим размером частиц. В табл. представлены различные способы пиролиза, использующие разные скорость нагрева и размер частиц применяемого сырья.

Различные виды пиролиза, используемые в промышленности

Процесс

Размер частиц

Влажность

Скорость нагрева

Время реакции

T, ºC

Давление

Продукты*

Карбонизация

≥200mm

-

Очень низкая

Дни

450 - 600

Атм.

к

Пиролиз

≤200mm

<15%

10 - 100 º/мин.

10 - 60 мин

450 - 600

Атм./ вакуум

г /ж /к

Быстрый пиролиз

<1 мм

<10%

>1000 º/мин.

0,5-5 сек.

550 - 650

Атм.

г /ж /(к)

Флеш-пиролиз

<1 мм

<10%

> 10 000 º/мин.

<1 сек.

450 - 900

Атм.

г /ж /(к)

*г - газообразные продукты, ж - жидкие продукты, к - кокс;

() - выход продукта мал

Давление в реакционной системе является важным фактором, оказывающим влияние на протекание процесса пиролиза. В зависимости от технологического исполнения и направленности процесса используют различные реакторы пиролиза с вакуумным, атмосферным и высоким давлением. Низкое давление (под вакуумом или в присутствии инертного разбавителя) способствует образованию преимущественно первичных продуктов, включая мономер. При высоких давлениях преимущественно образуются жидкие продукты. Высокая температура и скорость нагрева, низкое давление и короткое время пребывания в реакторе способствуют образованию первичных продуктов.

И наоборот, высокое значение времени пребывания сырья в реакторе способствует образованию стабильных продуктов, в большей степени кокса. Немалую роль играет газообразная среда, в которой протекает процесс: инертная, при частичном доступе воздуха, атмосфера водорода, метана, углекислого газа, водяного пара. Распределение продуктов пиролиза в зависимости от нагрева исходного сырья при различных температурах проведения процесса представлено в табл.

Выход продуктов пиролиза в зависимости от скорости нагрева сырья при различных температурах

Продукты

Медленный (500 ºС)

Быстрый (500 ºС)

Медленный (700 ºС)

Быстрый (700 ºС)

Газ (%, масс.)

10

11

15

50

Жидкость (%, масс.)

85

89

85

50

Твердый остаток (%, масс.)

5

0

0

0


В присутствии кислорода часть сырья окисляется (частичное окисление) и СО и СО2 являются неизбежными продуктами, хотя в качестве продуктов образуются также и кислородсодержащие соединения, что ухудшает качество получаемых газообразных топлив и масел [16].

Среди разнообразия разрабатываемых и применяемых методов выделяют три основных типа пиролиза полимерных отходов: термический пиролиз, каталитический пиролиз и пиролиз с каталитической модернизацией. Другие методы пиролиза пластиков включают гидрогенизацию, газификацию, пиролиз в суперкритичной воде, соликвификация с углем и др. [15-27].

Одним из распространенных методов термической переработки полимерных отходов является газификация. Под газификацией понимают процесс термической переработки, включающий частичное окисление органического сырья при высоких температурах 700 - 1500 ºС. Условия частичного окисления обычно создаются с помощью водяного пара или углекислого газа. В качестве газообразных агентов также могут быть использованы водород и кислородсодержащие смеси при варьировании давления в системе. Газификация характеризуется большей скоростью протекания процесса, основным продуктом которого является синтез-газ, используемый в качестве сырья для синтеза метанола, аммиака, оксоспиртов или других химических веществ, а также в качестве топлива [28].

Процесс газификации может проводиться также в присутствии катализаторов - оксидов и солей щелочных, щелочноземельных, переходных металлов. За счет того, что в процессе используются газообразные агенты, протекают реакции газификации твердого остатка, что увеличивает выход газообразных продуктов:

C + CO2 = 2CO ΔH° = +172 кДж+ H2O (г) = CO + H2 ΔH° = +130 кДж+ 2H2O (г) = CO2 + 2H2 ΔH° = + 88 кДж+ 2H2 = CH4 ΔH° = - 71 кДж+ H2O (г) = CO2 + H2 ΔH° = - 42 кДж+ 3H2 = CH4 + H2O (г) ΔH° = - 205 кДж+ 1/2 O2 = CO ΔH° = - 109 кДж+ O2 = CO2 ΔH° = - 390 кДж

Основное преимущество этого метода заключается в том, что он может быть использован для любых смесей углеродсодержащих отходов, независимо от степени их загрязненности. Однако недостатком этого метода является его низкая эффективность, поскольку полимерный материал подвергается чрезмерному разрушению, поэтому происходит частичная потеря внутренней энергии сырья. К недостаткам этого метода можно также отнести сложность технологического оборудования и высокую энергоемкость процесса, что существенным образом сказывается на увеличении стоимости получаемых продуктов [29 - 30].

Одними из основных методов переработки полимерных отходов можно выделить ликвификацию полимерного сырья. Ликвификация - это термический процесс переработки органогенного сырья в температурном диапазоне 200 - 400ºС c целью получения жидких продуктов. Для получения жидких продуктов из полимерных отходов и использованных автомобильных шин применяются различные виды органических масел и остатков нефтехимической промышленности. Основными продуктами ликвификации являются масла, выход которых составляет 70-90%; газообразные продукты 5-20% и твердый остаток 5-10% [33 - 34].

В последнее время интенсивно изучаются методы каталитической ликвификации полимерных отходов, которые позволяют существенно увеличить конверсию и селективность процесса. Однако их использование связано с применением дорогостоящих растворителей, сопряжено с использованием сложного аппаратного оформления, а также данные методы переработки являются энергоемким процессом, что ограничивает их широкое применение.

Термические и каталитические методы переработки пластмасс

Под воздействием температуры происходит распад полимеров и протекают реакции с выделением оксидов углерода карбоксильной группы, воды из гидроксильной группы спиртов и др. Температурный интервал протекания таких процессов составляет 250 - 350ºС.

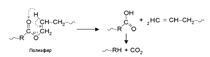
В связи с относительно низкой термической стабильностью алифатических полиэфиров их температурный распад начинается в интервале температур 250 - 450ºС, что приводит к перегруппировке эфиров в макромолекулярной цепи полимера, когда единичные функциональные группы уже подверглись изменению. Свободные радикалы образуются посредством термолиза нестабильных фрагментов с высоким содержанием энергии, их рекомбинация или уничтожение происходит посредством реакций с другим радикалом, и сопровождается обрывом радикальной цепочки. Перегруппировки в полиэфирах, связанные с процессами температурного распада представлены на рис. 4.5 - 4.6.

Механизм перегруппировки полиэфира в процессе термического распада

Механизм перегруппировки полиэфира через внутримолекулярное взаимодействие двух сложноэфирных групп

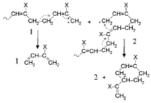
Распад полимерных молекул наиболее вероятен в положении двойной связи, формируя первичные макрорадикалы и ненасыщенные углеводородные цепи полимеров. Перемещение электрона в цепи радикала происходит за счет перегруппировки двойных связей с образованием мономера или циклического димера и репродуцирования макрорадикалов (1 и 2), согласно ниже представленному рис. 4.7.

Свободно радикальный распад ненасыщенных углеводородных полимеров через перегруппировку связей на концах макрорадикала:= H в бутиловом каучуке, X = метил в натуральном каучуке

Свободнорадикальные реакции в ароматических, частично ароматических или фенольных пластиках не являются цепными, поскольку нет возможности для перегруппировки, способствующей дальнейшему протеканию процесса распада. В общем, у данного вида полимеров нет достаточного количества водородных атомов для стабильного образования свободных радикалов посредством разрыва ненасыщенных углеводородных полимерных, полиэфирных связей, связанных с ароматическим кольцом внутри макромолекулы. Поэтому только часть фрагментов, образованных в результате термолиза, подвергается испарению, и такие радикалы не способны участвовать в передаче водорода другим радикалам, формируя углеродный остаток. Обычно ароматические кольца не подвергаются разрушению в реакциях пиролиза, однако бензойная кислота способна выделять СО при температурах выше 600ºС.

Значительная деструкция ПЭТФ протекает при температурах выше 300ºС с разрывом эфирных и образованием карбоксильных и винилэфирных групп, уменьшением молекулярной массы полимера, увеличением количества концевых групп, выделением терефталевой кислоты, ацетальдегида, двуокиси углерода и других летучих продуктов. При деструкции полимер вначале окрашивается в кремовый цвет, затем желтеет, далее становится коричневым и при глубоком пиролизе окрашивается в черный цвет. При термической деструкции соотношение газообразных продуктов в интервале 283 - 306ºС практически неизменно: ацетальдегид (80%), углекислый газ (9%), окись углерода (8%), этилен (2%), вода, метан, бензол и др. (1%).

Термический распад полимера на начальных стадиях происходит по молекулярному механизму, и только при высоких температурах пиролиза и в присутствии кислорода начинает приобретать заметное значение распад по радикальному механизму. Энергия активации термической деструкции составляет 210 кДж/моль. В присутствии кислорода протекает термоокислительная деструкция с образованием перекисных радикалов и гидроперекисей.

Согласно работе [35] инициирование термической деструкции состоит в гомолитическом разрыве связи С-О, а не связи С-С, поскольку прочность связи С-О меньше, что можно увидеть на примере структурной формулы эфира, где более слабые связи обозначены пунктирными линиями:


Распределение продуктов пиролиза полимерных отходов по массе в зависимости от условий проведения процесса может существенно изменяться в широких пределах [36, 37].

Процесс каталитического пиролиза полимерных отходов по сравнению с некаталитическим методом переработки обладает следующими преимуществами [38 - 40]:

более низкими температурами проведения процесса за счет снижения энергии его активации на 50-100 кДж/моль, что позволяет существенно снизить энергопотребление;

более высокой скоростью протекания процесса, что позволяет сократить время нахождения сырья в реакторе, а также применять реакторы меньших объемов;

возможностью управлять селективностью процесса к выходу заданных продуктов пиролиза за счет выбора условий его проведения, вида и массы катализатора;

жидкие продукты пиролиза содержат преимущественно циклические, разветвленные и ароматические углеводороды, что улучшает качество получаемого топлива.

В условиях каталитического пиролиза полимеров протекает большое число последовательных и параллельных реакций, среди которых определяющее влияние на результаты процесса оказывают реакции разрыва углерод - углеродной связи, перераспределения водорода, ароматизации, изомеризации, разрыва и перегруппировки углеводородных колец, конденсации, полимеризации и коксообразования.

Общий тепловой эффект процесса каталитического пиролиза складывается из совокупности тепловых эффектов отдельных физико-химических превращений, которые в большинстве эндотермичны, за исключением таких типов реакций, как реакции миграции водорода, полимеризации, циклизации, конденсации и т.д. [41].

Обычно температура каталитического пиролиза пластиковых отходов находится в пределах от 300 до 450ºС. Увеличение температуры проведения процесса сказывается на повышении активности катализаторов, однако это снижает селективность процесса. К тому же, температура влияет на ход протекания процесса и на стадии карбкатионной цепной реакции, (например, инициирование, рост или обрыв цепи), поэтому очень важно знать оптимальный температурный режим проведения процесса, обеспечивающий максимальную эффективность и выход необходимых продуктов пиролиза [42 - 43].

Важным параметром проведения процесса является концентрация катализатора, входящего в состав исходного полимерного сырья. Так, при увеличении концентрации катализатора возрастает содержание газообразных углеводородов С14 в составе летучих продуктов до 70%, а также происходит увеличение выхода кокса [44]. Этот результат является предсказуемым, поскольку при увеличении содержания катализатора первичные реакции крекинга протекают преимущественно с образованием С34, в то время как вторичные реакции протекают в меньшей степени из-за короткого времени пребывания в реакторе.

Продукты, полученные в процессе каталитического пиролиза, обладают более высоким качеством и могут быть использованы в виде транспортабельного топлива, что является важным преимуществом применения катализаторов в процессе пиролиза пластиковых отходов [45 - 46].

Деструкция алифатических углеводородов в присутствии катализаторов сопровождается образованием низкомолекулярных углеводородов, главным образом имеющих в молекуле три и более атома углерода (С3Н6, С3Н8, С4Н8, С4Н10), в то время как в низкомолекулярных продуктах термического процесса преобладают углеводороды С12 (СН4, С2Н4, С2Н6).

Влияние кислотных катализаторов на процесс деструкции углеводородов заключается в том, что образование ароматических углеводородов из алифатических и нафтеновых соединений происходит при значительно более низких температурах (~ 500ºС), чем при чисто термическом процессе (> 700ºC) [47].

Основной целью применения катализаторов пиролиза является увеличение массового выхода высококалорийных газообразных и жидких топлив из органического субстрата. Другой задачей использования катализаторов является ускорение термического распада с помощью внесения в субстрат кислот и оснований (например, при распаде полиамидов и полиэфиров), а также разрушение катализаторами образующихся шлаков и нечистот [47, 48].

Известно [49] о незначительной каталитической активности наполнителей пластиков, а также стирола и бутадиена при потере активности катализаторов пиролиза за счет коксообразования на поверхности. Трудно определить, каким же образом добавки, вводимые в состав полимера, могут изменять механизм и распределение продуктов термодеструкции, однако их влияние значительно слабее, чем катализаторов пиролиза.

Во множестве научно-исследовательских работ в процессах деструкции полимерных отходов была обнаружена активность следующих гетерогенных катализаторов:

Твердые кислоты (цеолиты, алюмосиликаты, оксиды алюминия, неиспользованные и восстановленные поточные катализаторы каталитического крекинга) [49, 50];

мезопористые катализаторы;

алюминийсодержащие глины;

нанокристалличные цеолиты (n-HZSM-5);

твердые суперкислоты (ZnO2/SO42-);

галлосиликаты;

металлы на углероде;

основные оксиды (BaO, K2O) главным образом для пиролиза полистирола [51 - 65];

- соли переходных и редкоземельных металлов (соли меди, цинка, металлов подгруппы железа, магния, алюминия, бария, ванадия, титана, циркония и т.д.) [66 - 73].

Основное отличие каталитического процесса деструкции полимерного сырья заключается в использовании ионных катализаторов, под действием которых расщепление связей С-С протекает по гетеролитическому (ионному) цепному механизму:

С : С → С+ + С- или С: С → С- + С+

Деструкция углеводородов в присутствии ионных катализаторов протекает с очень большими скоростями. По сравнению с термическим процессом скорость каталитической деструкции парафинов возрастает от 6 до 60 раз, нафтенов и олефинов - более чем в 1000 раз и ароматических углеводородов от 100 до 10 000 раз. Скорость каталитического расщепления изопарафинов, имеющих третичный атом углерода, значительно превышает скорость расщепления н-парафинов. Олефиновые углеводороды, особенно высокомолекулярные, в присутствии кислотных катализаторов подвергаются расщеплению намного легче, чем парафиновые: скорость их расщепления превышает скорость расщепления парафиновых углеводородов в 1000 - 10 000 раз [74].

2. Экспериментальная часть

.1 Сырье и реактивы

В качестве сырья использовали отходы пластмасс с преимущественным содержанием ПЭ и ПП (крышки пластиковых бутылок);

Пастообразователь - смолисто-асфальтеновые отходы нефтепереработки (остаток каталитического крекинга и гидрокрекинга нефтепродуктов);

Катализаторы - цеолит месторождения Семейтау термообработанный; боксит-094 Торгайского месторождения, обогащенный железом; красный шлам; просушенный иодат калия (KIO3).

Реактивы: спиртоэфирная смесь (этанол: диэтиловый эфир-1:1); 0,2 н раствор йода в спирте; 0,1 н водный раствор тиосульфата натрия; индикатор - 1% водный раствор крахмала.

2.2 Установка гидрогенизационной переработки отходов пластмасс

Опыты проводили на установке, работающей в периодическом режиме под давлением от 0,4 до 2,9 МПа в интервале температур 150 - 450оС при непрерывном перемешивании. Установка состояла из металлического реактора «утка» объемом 0,25 дм3, выполненного из нержавеющей стали Х18Н10Т. Обогрев реактора осуществляли при помощи нагревателя переменного тока, регулируемого трансформатором и амперметром. Контроль температуры в реакторе проводили с помощью хромель-алюмелевой термопары. Регистрацию показаний проводили на приборе КСП-4, с откалиброванной шкалой по температурам кипения воды (1000С), плавления олова (2320С), свинца (3270С) и цинка (4270С). Схема установки приведена на рис. 1.

Давление в установке гидрогенизации создавали с помощью аргона. Изменение давления в системе фиксировали при помощи манометрического прибора. Смесь измельченных до состояния крошки полимерных материалов, катализатора и пастообразователя нагретую до 70 - 800С, загружали в реактор, затем проверяли реактор на герметичность, продували аргоном, задавали давление 0,4 - 0,5 МПа, включали обогревательное устройство.

С помощью манометра в процессе гидрогенизации фиксировали изменение давления, обусловленное увеличением температуры, газоотделением и присутствием летучих компонентов. Обогрев реактора выключали после опыта и охлаждали систему до комнатной температуры. Газ, образовавшийся в процессе, собирали в газометр с насыщенным солевым раствором. По разности давлений вычисляли количество образовавшегося газа.

1 - каталитический реактор; 2 - стакан-вкладыш; 3 - нагревательное устройство; 4 - амперметр; 5 - регулятор напряжения; 6 - термопара; 7 - реле; 8 - КСП-4; 9 - манометр; 10 - вентиль для тонкой регулировки; 11 - баллон с инертным газом; 12 - газометр; 13 - устройство для перемешивания; 14 - уплотнитель; 15 - заглушка; 16 - болты для уплотнения.

Установка гидрогенизационной переработки отходов пластмасс

2.3 Определение плотности газа

Определение плотности газа осуществляли пикнометрическим методом. Для этого перед определением собственного веса газа его предварительно взвешивали, затем присоединяли к вакуумному насосу, после чего закрывали и отсоединяли насос от пикнометра. Вакуумированный пикнометр взвешивали на аналитических весах. Исследуемый газ из бюретки загружали в вакуумированный пикнометр. После этого пикнометр с газом взвешивали.

Объем газа при нормальных условиях (V0) определяли по формуле:

 (1)

где:- объем газа в бюретке, см3;

Р - атмосферное давление, мм рт. ст.;

t - температура, 0 С.

Плотность газа определяли по формуле:

 (2)

0

где:

в-масса газа с пикнометром, г.

а - масса пустого пикнометра, г.

2.4 Определение относительной плотности жидких продуктов

С целью определения относительной плотности жидких продуктов используют пикнометр с меткой или разные по объему капиллярные трубки. Для этого пикнометр тщательно промывают хромовой смесью, спиртом, дистиллированной водой затем высушивают на воздухе и взвешивают на аналитических весах с точностью до 0,0002. После этого пикномерт с помощью пипетки заполняют кипяченой и охлажденной при температуре 18-200С водой. Далее выдерживают в термостате в течение 30 минут при температуре 200С. В момент установления водного равновесия в трубке пикнометра излишний объем воды убирается с помощью пипетки или же фильтровальной бумаги.

После установления равновесия внешняя стенка пикнометра вытирается досуха и взвешивается с точностью до 0,0002г. Водное число пикнометра m определяется по формуле:

= m2-m1, (3)

где:2 - масса пикнометра с водой, г;

m1 - масса пустого пикнометра, г;

Далее пикнометр с приготовленной исследуемой жидкостью взвешивается с точностью до 0,0001г. Относительная плотность  вычисляется по формуле:

ρ = (m3-m1)/m, (4)

где: m3 - масса пикнометра с жидкостью, г; m1 - масса пустого пикнометра, г; m - водное число пикнометра, г. Сравнительная плотность определяется при нормальных условиях и температуре 200С.

2.5 ИКС-анализ исследуемых образцов

ИКС-анализ исследуемых образцов измеряли на спектрофотометре UR-20 в области 700-3600 см-1, а также спектрофотометре Specord-M-80 в области 400-4000 см-1 в разборных кюветах (жидкие образцы).

2.6 Расчет ошибки эксперимента

Каталитическую переработку отходов пластмасс в заданных экспериментом условиях осуществляли как минимум трижды. Как показали результаты расчета погрешности экспериментов, она составила примерно от 1,5 до 2%, что соответствует ранее установленным погрешностям при работе на установках гидрогенизации аналогичного типа по заданным методикам. Определение физико-химических характеристик проводили в соответствии с ГОСТ-ами.

3. Результаты и их обсуждение

В работе были проведены исследования процесса гидрогенизационной каталитической переработки отходов пластмасс. Как известно, под воздействием высокой температуры и давления при гидрогенизации возможны процессы размягчения полимерной массы и последующей термодеструкции с образованием более коротких молекул и значительного количества газообразных продуктов. Одновременно на активных центрах катализатора происходят процессы гидрирования олефинов и изомеризации н-парафинов, приводящие к образованию жидких дистиллятов и твердого остатка в виде шлама.

С целью подбора оптимального катализатора для проведения процесса переработки отходов пластмасс методом гидрогенизации было изучено влияние природы катализатора, соотношения пластмассы и пастообразователя, пластмассы и катализатора, температуры и давления на выход жидкого продукта и его фракционный состав.

Для сравнения эффективности гидрогенизации пластмасс процесс проводили как в отсутствии катализатора, так и в присутствии в качестве катализаторов нативного цеолита месторождения Семейтау и предварительно термообработанного цеолита этого же месторождения; боксита-094 Торгайского месторождения, обогащенного железом; красного шлама; просушенного иодата калия (KIO3). Соотношение пластмасса: пастообразователь было выбрано как 1:1, а количество катализатора составило от 4 до 5 масс.% от навески пластмассы. Результаты исследования процесса гидрогенизации на катализаторах различной природы при соответствующих оптимальных температуре и давлениях приведены в таблице 1.

В результате каталитической переработки пластмассовых отходов получены углеводородные газы и первичные продукты, которые были подвергнуты перегонке при атмосферном давлении с выходом фракций, выкипающих при температурах до 180оС, от 180 до 250оС и от 250 до 320оС соответственно. Дистилляты представляют собой темные непрозрачные жидкости с малой вязкостью. В остатке образуется технический углерод в виде порошка.

Влияние природы катализатора на выход жидкого продукта гидрогенизации отходов пластмасс (T=450 оС, mпласт.= 15 г., mпо = 15 г., mкt = 0,67 г., τ = 15 мин)

Катализатор

Рmax, МПа

Выход газа, масс, %

Выход жидких продуктов, масс.%

Выход шлама, масс, %

Потери, масс, %




до 180 оС

180-250 оС

250-320 оС

∑ЖП



без катализатора

2,9

55,2

14,9

9,0

9,3

33,2

10,5

1,1

Исходный цеолит

2,1

39,2

24,6

11,1

15,2

50,9

7,2

2,7

Термообрабо-танный цеолит (Т=400оС)

1,9

38,1

23,6

13,4

15,2

52,2

8,0

1,7

Боксит-094

1,8

31,0

6,1

16,0

25,1

47,2

14,7

3,1

2,4

41,6

17,3

7,7

9,7

34,7

8,7

7,8

KIO3

2,7

47,9

14,5

6,2

8,3

29,0

16,3

6,8


В качестве катализатора процесса гидрогенизационной переработки отходов пластмасс был использован термостойкий природный цеолит месторождения Семейтау. Физико-химические характеристики цеолита соответствуют данным, приведенным в таблице.

Физико-химические характеристики цеолита месторождения Семейтау

Показатель

Величина измерения

Характеристика

Внешний вид


Красно-коричневого цвета

Массовая доля цеолита

%

50-84

Тип цеолита


Клиноптилолит

Содержание органической массы

%

Нет

Химический состав SiO2 Al2O3 TiO2 Fe2O3 FeO MnO MgO CaO Na2O K2O SO2

%

 72,80 10,63 0,28 1,50 < 0,02 < 0,03 0,35 1,61 1,18 5,04 < 0,25

Соотношение SiO2/AI2O3


6,04

Катионнообменная емкость - Ca Mg K Na

Экв/г

 0,55-0,63 0,024-0,070 0,0035-0,0065 0,025-0,072

Общая емкость

Мг

0,75-1,25

Содержание отравляющих элементов - свинец - кадмий - мышьяк - ртуть

%

  < 0,001 - - -

Технические характеристики - удельный вес - объемная масса - пористость - влагоемкость - дробимость ДР - термостабильность

 г/см3 г/см3 г/см3  % 0С

 2,34-2,44 2,18-2,28 5-9 2,33-3,70 4,4-7,9 400


Активность исследуемых катализаторов оценивали по выходу жидких продуктов. После дистилляции гидрогенизата, полученного в отсутствии катализатора, суммарный выход жидких продуктов, выкипающих в интервале температур 180оС - 320оС, составил 33,2 масс.%. Отмечен высокий выход газа 55,2 масс.%, что свидетельствует о преимущественном протекании процесса термического крекинга. В составе газа присутствуют СО, СО2, Н2 и углеводороды состава С13, которые представлены метаном, этаном, пропаном и этиленом.

При каталитической переработке выход жидких продуктов возрастает. На термообработанном при температуре 400оС цеолите суммарный выход жидких продуктов составил 52,2 масс.%. При этом происходит увеличение выхода бензиновой фракции до 10 масс.%. Примерно аналогичный и близкий по составу выход жидких продуктов наблюдается при использовании в качестве катализатора цеолита месторождения «Семейтау». На боксите-094 отмечен минимальный выход бензиновой фракции при достаточно высоком выходе высококипящих фракций.

Достаточно низкую активность проявили катализаторы на основе красного шлама и иодата калия. В случае иодата калия наблюдается относительно высокое шламообразование, что вероятно обусловлено более глубоким расщеплением углеводородов на активных центрах иодата калия и образованием низкокипящих кислородсодержащих производных.

Исследовано влияние навески наиболее активного катализатора на основе термообработанного цеолита на выход жидких продуктов гидрогенизации пластмассовых отходов, которую варьировали в интервале от 0,5 г до 1,5 г. (Таблица)

Влияние навески катализатора (термообработаный цеолит) на выход гидрогенизата термокаталитической переработки отходов пластмасс (T = 450оС, mпласт. = 15 г., mпт = 15 г., τ = 15 мин)

Навеска катализатора, г

Pmax,МПа

Выход газа, масс.%

Выход жидких продуктов, масс.%

Выход шлама, масс.%

Потери, масс.%




до 180 оС

180-250 оС

250-320 оС

∑ЖП



0,50

1,8

37,0

20,2

12,3

16,4

48,9

11,4

2,7

0,67

1,9

38,1

23,6

13,5

15,2

52,2

8,0

1,7

1,00

2,3

40,6

19,3

9,9

20,1

49,3

8,9

1,2

1,50

2,3

41,6

18,3

11,5

17,4

47,2

9,1

2,1


Было установлено, что наиболее оптимальной в исследуемых условиях является навеска катализатора 0,67 г., где наблюдался максимальный суммарный выход жидкого продукта и бензинового дистиллята.

Изучено влияние температуры процесса каталитической гидрогенизации на выход и состав продуктов. (Таблица)

Влияние температуры на выход гидрогенизата термокаталитической переработки отходов пластмасс (mkt = 0,67 г., mпласт. = 15 г., mпт = 15 г., τ = 15 мин)

Температура, оС

Pmax, МПа

Выход газа, масс.%

Выход жидких продуктов, масс, %

Выход шлама, масс.%

Потери, масс.%




до 180 оС

180-250 оС

250-320 оС

∑ЖП



150

0,5

3,9

-

-

27,8

27,8

66,8

5,4

200

0,5

3,9

-

-

30,1

30,1

64,9

5,0

250

0,5

3,9

-

1,0

34,6

35,6

55,9

4,6

300

0,5

3,9

-

9,3

31,5

40,8

54,0

5,2

350

0,5

3,9

-

19,2

24,1

43,3

50,5

2,2

400

0,7

10,8

1,6

17,2

20,2

45,6

39,0

4,6

450

1,9

38,1

23,6

13,4

15,2

52,2

8,0

1,7


Установлено, что оптимальной для изучаемого процесса является температура 450оС.

Использование в качестве донора водорода - остатка дистилляции нефти месторождения Кумколь, выкипающего при температуре выше 450оС, в качестве катализатора - термообработанного природного цеолита позволило повысить выход жидких продуктов и содержание в них фракции с пределом выкипания до 180оС, обогащенной алканами нормального и изо-строения, циклоалканами, ароматическими углеводородами и другими, не поддающимися идентификации, продуктами.

Варьирование соотношения пластмассы и пастообразователя от 1:1 до 1:3 показало, что оно незначительно изменяет выход жидких продуктов, но способствует протеканию процессов гидрирования, что в целом влияет на качество получаемых дистиллятов. Октановое число фракции, кипящей до 180 оС, составило по исследовательскому методу 77.

Цетановое число фракции, выкипающей при 180-250 оС, составило 47.

Было исследовано влияние резиносодержащих отходов на выход и фракционный состав продуктов гидрогенизации пластмасс. (Табл.5) Показано, что присутствие отходов резины незначительно увеличивает выход жидких продуктов, что можно объяснить содержанием в резине полимерного корда, который также подвергается превращению в ходе процесса.

Влияние соотношения пласмассы(П): резины(Р): пастообразователя(ПО) на выход гидрогенизата термокаталитической переработки отходов пластмасс (T = 450оС, mkt = 0,67 г., τ = 15 мин; П:Р:ПО=1:1:1 - mkt= 10 г.; П:Р:ПО=1:1:2 - mkt= 7,5 г)

соотноше-ние П:Р:ПО

Pmax, МПа

Выход газа, масс.%

Выход жидких продуктов, масс.%

Выход шлама, масс.%

Потери, масс.%




до 180 оС

180-250 оС

250- 320 оС

∑ЖП



1:1:1 без катализатора

2,8

50,9

8,0

7,1

7,1

22,2

23,8

3,1

1:1:1 с катализатором

2,3

43,4

12,1

8,6

9,9

30,6

21,4

4,6

1:1:2 с катализатором

2,7

47,6

11,3

8,3

9,7

29,3

17,7

5,4


Таким образом, показано, что проведенные исследования по оптимизации технологического режима и подбору катализаторов для гидрогенизационной переработки отходов пластмасс представляют существенный интерес и могут быть полезными в плане разработки безотходной технологии по их утилизации. Использование природного донора водорода позволяет снизить экономические затраты и облегчить технологию проведения процесса гидрогенизации, минуя стадию получения водорода.

Жидкие продукты гидрогенизации отходов пластмасс анализировали при помощи метода ИКС (рис. 1-3). Приведены данные анализа трех фракций жидкого продукта гидрогенизации, полученных в интервале температур 80-3200С.

Как видно из приведенных спектров в жидком продукте присутствуют полосы колебаний - СН3 группы в области частот 2956,41 см-1, 2955,68 см-1, - СН2 группы в области частот 2854,23 см-1, 2853,86 см-1 и маятниковых деформационных колебаний - СН2 группы в области частот 721,70 см-1, 721,96 см-1, характерные для парафино-нафтеновых углеводородов.

Содержание ароматических углеводородов подтверждается слабыми ассиметричными деформационными колебаниями - СН3 группы в области частот 1465,34 см-1, 1457,54 см-1, характерными для производных алкилбензолов, симметричными деформационными колебаниями - СН3 группы в области частот 1377,64 см-1, 1377,38 см-1, характерными для производных метилбензола, колебаниями - СН группы ароматического кольца в области частот 1607,23 см-1, 1602,18 см-1, колебаниями 1,2,4; 1,3 - замещенных производных бензола в области частот 965,40 см-1, 965,25 см-1, 909,06 см-1, 744,81 см-1, 874,39 см-1, 811,77 см-1, 807,18 см-1, что свидетельствует о незначительном присутствии ароматических углеводородов в жидком продукте гидрогенизации пластмасс.

Путем сравнения инфракрасных спектров фракций, отогнанных в интервале температур начала и конца кипения 80-1800С (фракция 1; рис. 1), 180-2500С (фракция 2; рис. 2) и 250-3200С (фракция 3; рис. 3) было установлено присутствие большого количества парафиново-нафтеновых углеводородов во фракциях 1 и 2. В дистиллятах, кипящих в интервале 250-3200С, установлена вероятность присутствия ароматических углеводородов, сопряженных с парафиновыми цепочками.

Данные анализа жидких продуктов гидрогенизации отходов пластмасс методом ИКС в разрезе интенсивности полос поглощения по различным видам связи приведены в таблице 1.

ИК-спектр жидких продуктов гидогенизации отходов пластмасс (Фракция №1, Т= 80-1800С)

ИК-спектр жидких продуктов гидогенизации отходов пластмасс (Фракция №2, Т= 180-2500С)

ИК-спектр жидких продуктов гидогенизации отходов пластмасс (Фракция №3, Т= 250-3200С)

Анализ состава жидких фракций, показал, что гидрогенизаты, полученные путем переработки отходов пластмасс, представляют собой сложную смесь углеводородов. Определение их индивидуального и группового углеводородного состава может предоставить дополнительные сведения о направлениях применения каталитических гидрогенизационных процессов. Групповой углеводородный состав дистиллятов, полученных путем гидрогенизационной переработки пластмасс приведен в таблице 2.

Как следует из результатов проведенного исследования групповой углеводородный состав искусственного топлива, полученного путем гидрогенизации пластмасс на исследуемых катализаторах, в большей степени представлен ароматическими и парафиново-нафтеновыми углеводородами. Отмечено достаточно высокое содержание и ненасыщенных углеводородов. Наблюдаемое снижение йодного числа с повышением температуры кипения фракций обусловлено уменьшением содержания ненасыщенных углеводоров, вследствие их неустойчивости к высоким температурам.

Сводные данные по группам связей, присутствующих в составе жидких фракций, полученных из пластмасс

Группа связи

Интенсивность полос поглощения

Интервалы полос поглощения

(-СН3)

νс

2900-3000 см-1

(-СН2)

νс

2854,23 см-1, 2853,86 см-1, 721,70 см-1, 721,96 см-1

(-СН3)as

νсл

1465,34 см-1, 1457,54 см-1

(CH3)s

νсл

1377,64 см-1, 1377,38 см-1

(-CH)ар

νср

1607,23 см-1, 1602,18 см-1

(-CH)ар

ср965,40 см-1, 965,25 см-1, 909,06 см-1


1,2,4; 1,3 - замещенные (-СН)ар

νсл

744,81 см-1, 874,39 см-1, 811,77 см-1, 807,18 см-1


С повышением температуры кипения возрастают такие показатели, как плотность и показатель преломления дистиллятов гидрогенизации пластмасс. Это объясняется тем, что с повышением температуры кипения дистиллятов, больше вероятность присутствия в нем тяжелых углеводородов и смолистых веществ.

Отмечено значительное содержание серы во всех фракциях жидкого дистиллята, которое составило 0,320, 0,512, 0,560 мас.%, соответственно, что требует дополнительной доочистки полученных топлив.

По групповому составу полученное гидрогенизацией отходов пластмасс топливо с температурой кипения в интервале 80-1800С обогащено ароматикой (56%) и содержит 20% ненасыщенных углеводородов, 23% составляют парафиново-нафтеновые углеводороды.

Таким образом, на основании проведенных исследований следует вывод о том, что полученные из отходов пластмасс легкокипящие топливные дистилляты (80-1800С) из-за высокого содержания ароматических и непредельных углеводородов могут быть предложены в качестве высокооктановой добавки к автомобильным бензинам, удовлетворяющим требованиям ГОСТ, но только после дополнительной очистки от серасодержащих компонентов.

Характеристика дистиллятов, полученных гидрогенизацией пластмасс

Показатели

Дистилляты


80-1800С

180-2500С

250-3200С

Плотность при 200С, кг/м3

760,6

867,6

910,2

Показатель преломления, nd20

1,4340

1,4720

1,4740

Йодное число, г I2/100г топлива

85

58

20

Общее содержание серы, %

0,320

0,512

0,560

Температура застывания, 0С Температура помутнения, 0С Температура фильтрации, 0C

− − -

-26,8 -0,03 -13,6

-6,3 +8,2 +6,1

Фракционный состав, 0С: начало кипения (н.к.) 50% конец кипения (к.к.)

 60,0 151,0 180,0

 180,0 205,0 250,0

 250,0 293,0 320,0

Групповой состав углеводородов, масс.%: ненасыщенные ароматические парафиново-нафтеновые

 20 56 23

 16 25 45

 10 28 42




Выводы

1. Впервые в качестве катализатора процесса гидрогенизационной переработки отходов пластмасс при низких давлениях (до 1,9 МПа) использован природный цеолит месторождения «Семейтау».

. Исследовано влияние температуры, времени проведения процесса, соотношения пластмасса: пастообразователь, количества катализатора на процесс каталитической гидрогенизации отходов пластмасс. Определены оптимальные условия проведения процесса, составлен материальный баланс процесса. Оптимальные условия проведения процесса: навеска катализатора - 0,67 г., время гидрирования - 15 мин, температура - 4500С, Р=1,9 МПа, соотношение пластмасса: пастообразователь -1:1.

. Определен групповой и химический состав полученных на основе гидрогенизационной переработки отходов пластмасс дистиллятов. Методом ИКС во фракциях, кипящих в интервале температур 80-1800С и 180-3200С, установлено присутствие большого количества парафиново-нафтеновых углеводородов. В дистиллятах, кипящих в интервале 250-3200С, установлена вероятность присутствия ароматических углеводородов, сопряженных с парафиновыми цепочками. Общий выход жидкого продукта в отсутствие катализатора составил - 33,2 мас.%. В присутствии катализатора - 52,2 мас.%.

. На основании физико-химического изучения продуктов гидрогенизации отходов пластмасс в присутствии термообработанного при 4000С цеолита месторождения «Семейтау» показана возможность реализации ресурсосберегающей технологии переработки отходов пластмасс в «синтетическое моторное топливо».

. Исследовано влияние соотношения пласмассы(П): резины(Р): пастообразователя(ПО) на выход гидрогенизата термокаталитической переработки отходов пластмасс.

Список литературы

1.     http://www.recycling.nm.ru/recycl01.html

2.      http://www.cleandex.ru

3.      Макеев П.В. Разработка оборудования и технологии для утилизации отходов термопластов Автореф. дисс. на соискание уч. степ. канд. техн. наук по спец. 05.02. 13,05.17.06: Тамбов, 2012. 16 с.

.        М.Ф. Галиханов. Технология переработки тары и упаковочных материалов. // ПаккоГрафф, №6 (60), 2008 г.

.        Примеров О.С. Обзор методов переработки отходов полимерных материалов и анализ рынка вторичного сырья [Текст] / О.С. Примеров, П.В. Макеев, А.С. Клинков // Молодой ученый. - 2013. - №6. - С. 121-123.

.        В.В. Кафаров. Принципы создания безотходных технологий химических производств, М.: Химия, 1982. С. 285.

.        Цыганков А.П., Балацкий О.Ф., Сенин В.М. Технический прогресс - химия - окружающая среда. М., Химия, 1979. 296 с.

.        http://www.eximpack.com/publikacii/paketa_polietilen/

9.      http://www.eximpack.com/publikacii/vse_o_plastikovyh_paketah/

10.    Клинков А.С., Беляев П.С., Скуратов В.К. и др. Рециклинг и утилизация тары и упаковки. Тамбов: ТГТУ, 2010. - 112 с.

11.    Moore, Charles. Across the Pacific Ocean, plastics, plastics, everywhere, Natural History Magazine (November 2003).

12.    Р. Холигхаус (DE), К. Ниман (DE), К. Штреккер (DE).Способ использования пластмассовых вторичных материалов или отходов (Патент RU 2151163) Договор №16666 зарегистрирован 12.05.2003. Извещение опубликовано: 27.07.2003

.        Кулагин В.И., Оладов Б.Н., Кузнецов Н.П., Иванов С.Р. Реактор для термической переработки полимерных отходов (Патент SU 1713921)

.        Способ переработки пластмассового утильсырья и пластмассовых отходов (Патент RU 2127296): Р. Холигхаус(DE), К. Ниманн(DE), М. Рупп(DE) PC4A - Регистрация договора об уступке патента Российской Федерации на изобретение. Номер и год публикации бюллетеня: 21-2003 (73). Патентообладатель: Дер Грюне Пункт - Дуалес Систем Дойчланд АГ (DE) Договор №16669 зарегистрирован 12.05.2003. Извещение опубликовано: 27.07.2003

15.   Способ получения бензина дизельного топлива и сажи из отходов резины и / или отходов пластмассовых отходов. Пат. 2142494. Рос. Фед., МПК. С 10 G 1/10 Ксинг Ли: заявитель и патентообладатель Ксинг Ли. №98103748/04: Заяв. 07.11.95. Опубл. 10.12.99. Бюл. №31. - 5 с.

16.   Косивцов, Ю.Ю. Технология пиролиза органических материалов: монография / Ю.Ю. Косивцов, Э.М. Сульман. 1-е изд. Тверь: ТГТУ, 2010. 124 с.

17.    Thermal and catalytic cracking of polyethylene under mild conditions / R. Grieken; D.P. Serrano; J. Aguado; R. Garcia; C. Rojo // Journal of Analytical and Applied Pyrolysis. 2001. Vol. 58 - 59. P. 127.

18.   Федюкин, Д.Л. Технические и технологические свойства резин. / Д.Л. Федюкин, Ф.А. Махлис. М.: Химия, 1985. 240 с.

19.    Xing, J. Prospect and current situation of technologies for converting plastic waste to oil in China / J. Xing, Q. Jialin, W. Jianqiu, // Chemical Engineering and Environmental Protection, 2000. Vol. 20 (6): P. 18 - 22.

.        Dufaud, V. Catalytic hydrogenolysis at low temperature and pressure of polyethylene and polypropylene to diesels or lower alkanes by silica-alumina: a step toward polyolefin degradation by the microscopic reverse of Ziegler-Natta polymerization /V. Dufaud, J.-M. Basset // Angew. Chem. Int. Ed. 1998. Vol. 37 (6): P. 806 - 810.

.        Nakamura, I. Development of new disposable catalyst for waste plastics treatment for high quality transportation fuel / I. Nakamura, K. Fujimoto // Catalysis Today, 1996. Vol. 27. P. 175 - 179.

.        Na, J.I. Characteristics of oxygen-blown gasification for combustible waste in a fixed-bed gasifier / J.I. Na, S.J. Park, Y.K. Kim // Applied Energy, 2003. Vol. 75. P. 275 - 285.

.        Borgianni, P. Gasification process of wastes containing PVC / P. Borgianni, D. Filippis, F. Pochetti et al., // Fuel, 2003. Vol. 81. P. 1827-1833.

.        Qiu, T. Chemical recycling of waste plastics by supercritical water / T. Qiu, P. Ma, J. Wang // Poly. Materials Science and Engineering, 2001. Vol. 17 (6). P. 10 - 14.

.        Wang, C. Application of waste plastics cracking by supercritical water in Japan / C. Wang // China Resources Recycling, 2001. Vol. 4. P. 43.

.        Anderson, L. Coliquefaction of coal and waste plastic materials to produce liquids / L. Anderson, W. Tuntawiroon // Fuel -1993. Vol. 38 (4): P. 816 - 822.

.        Mulgaonkar, M.S. Plastics pyrolysis and coal coprocessing with waste plastics / M.S. Mulgaonkar, C.H. Kuo, A.R. Tarrer // Fuel, 1995. Vol. 40 (3): P. 638.

.        Luo, M.S. Two stage coprocessing of coal with model and commingled waste plastics mixture / M.S. Luo // Fuel Processing Technology, 1999. Vol. 59. P. 163 - 187.

.        Heermann, C. Pyrolysis & Gasification of Waste: A worldwide technology and business review, Juniper Consultancy Services LTD / Heermann, C.F.J. Schwager // 2001. P. 12.

30.    Волынкина, Е.П. Переработка горючих компонентов твердых бытовых отходов в металлургии [Электронный ресурс] / Е.П. Волынкина [и др.] Электрон.дан. 2006. Режим доступа: http://www.ineca.ru/? dr=bulletin/ arhiv/ 0130&pg=010. Заглавие с экрана.

31.    Равич, М.Б. Эффективность использования топлива / М.Б. Равич. М.: «Наука», 1977. C. 27.

32.    Effect of Branching of Polyolefin Backbone Chain on Catalytic Gasification Reaction / Y. Ishihara, H. Nambu, T. Ikemura, T. Takesue // J. Appl. Polym. Sci, 1989. Vol. 38. P. 1491-1501.

.        Technology Evaluation and Economic Analysis of Waste Tire Pyrolysis, Gasification, and Liquefaction / University of California Riverside // Publication #620-06-004, 2006, 97 p.

.        Hydrocracking and Hydroisomerization of High-Density Polyethylene and Waste Plastic over Zeolite and Silica−Alumina-Supported Ni and Ni−Mo Sulfides / W. Ding, J. Liang, L.L. Anderson, W. Ding, J. Liang, L.L. Anderson // Energy and Fuels, 1997. Vol. 11. P.1219-1224.

.        Chemical structure changes in Cold Lake oil-sand bitumen and catalytic activities during catalytic hydrotreatment / Yoshida R.1; Miyazawa M.; Ishiguro H.; Itoh S.; Haraguchi K.; Nagaishi H.; Narita H.; Yoshida T.; Maekawa Y.; Mitarai Y. // Fuel Proc. Tech., 1997. Vol. 51, P. 195 -203.

36.   Feedstock recycling of agriculture plastic film wastes by catalytic cracking / D.P. Serrano, J. Aguado, J.M. Escola, E. Garagorri, J.M. Rodrıguez, L. Morselli, G. Palazzi, R. Orsi // Appl. Catal. B: Env., 2004. Vol. 49. P. 257.

37.    Cunliffe, A.M. Kinetic Modeling of Waste Tire Carbonization / A.M. Cunliffe, P.T. Williams // Energy Fuels, 1999. Vol. 13. P. 166 - 175.

.        Synthesis of Branched Polyethylene by Catalytic Degradation-Isomerization of High Density Polyethylene in the Presence of Silica - Alumina Catalyst / H. Nanbu, Y. Ishihara, H. Honma, T. Takesue, T. Ikemura // Chem. Soc. Jpn. 1987. P. 765 - 770.

.        Effect of Branching of Polyolefin Backbone Chain on Catalytic Gasification Reaction / Y. Ishihara, H. Nambu, T. Ikemura, T. Takesue, // J. Appl. Polym. Sci. 1989. Vol. 38. P. 1491-1501.

.        Catalytic Decomposition of Polyethylene using a Tubular Flow Reactor System / Y. Ishihara, H. Nanbu, T. Ikemura, T. Takesue // Fuel. 1990. Vol. 69. P. 978 - 984.

.        Mechanism for Gas Formation in Polyethylene Catalytic Decomposition / Y. Ishihara, H. Nanbu, K. Saido, T. Ikemura, T. Takesue // Polymer. 1992. Vol. 33. P. 3482 - 3486.

.        Chan, J.H. The thermal degradation kinetics of polypropylene: Part II. Time-temperature superposition / J.H. Chan, S.T. Balke // Polymer Degradation and Stability 1997. Vol. 57. P. 113 - 125.

.        Wiley, J. Kinetic model of recycling / J. Wiley // Encyclopedia of Polymer Science and Technology, New York, 1966. P. 247.

.        Basic study on a continuous flow reactor for thermal degradation of polymers / K. Murata, Y. Hirano, Y. Sakata, Md. A. Uddin // Journal of Analytical and Applied Pyrolysis, 2002. Vol. 65. P. 71 - 90.

45.   Радченко, Е.Д. Справочник нефтепереработчика / Е.Д. Радченко, М.Г. Рудина.; под ред. Г.А. Ластовкина. Л.: Химия, 1986. 648 с.

46.    Lovett, S. Ultrapyrolytic Upgrading of Plastic Wastes and Plastics Heavy Oil Mixtures to Valuable Light Gas Product / S. Lovett, F. Berruti, L. Behie // Ind. Eng. Chem. Res. 1997. Vol. 36. P. 4436 - 4444.

.        Transformation of Several Plastic Wastes into Fuels by Catalytic Cracking / J. Arandes, I. Abajo, D. Valerio, I. Fernandez, M. Azkoiti, M. Olazar, J. Bilbao // Ind. Eng. Chem. Res. 1997. Vol. 36. P. 4523 - 4529.

48.   Czernik, S. Production of Hydrogen from Plastics by Pyrolysis and Catalytic Steam Reform / S. Czernik, R. French. // Energy & Fuels, 2006. Vol. 20. P. 754 - 758.

.        Stratiev D.S. Influence of vacuum gas oil feed properties on the yield distribution of fluid catalytic cracking / D.S. Stratiev // Petroleum Coal, 1997. Vol. 39 (3): P. 12.

.        Бухаркин, А.К. Каталитические свойства металлов и сплавов в процессе пиролиза углеводородов / А.К. Бухаркин. М.: Изд-во «Техника», 2001. 204 с.

.        Product distribution in degradation of polypropylene over Silica-Alumina and CaX zeolites catalysts / Y. Uemichi, Y. Kashiwaya, M. Tsukidate, A. Ayame, H. Kanoh // Bull. Chem. Soc. Jpn. 1983. Vol. 56. P. 2768.

.        Catalytic decomposition of polyethylene using a tubular flow reactor system / Y. Ishihara, H. Nanbu, T. Ikemura, T. Takesue // Fuel. 1990. Vol. 69. P. 978.

.        Serrano, D.P. Catalytic cracking of a polyolefin mixture over different acid solid catalysts / D.P. Serrano, J. Aguado, J.M. Escola // Ind. Eng. Chem. Res. 2000. Vol. 39. P. 1177.

.        Catalytic cracking of polyethylene - liquified oil over amorphous aluminosilicate catalysts / T. Isoda, T. Nakahara, K. Kusakabe, S. Morooka // Energy Fuels. 1998. Vol. 12. P. 1161.

.        Gomez M.A. MCM-41 catalytic pyrolysis of ethylene-vinyl acetate copolymers: kinetic model / M.A. Gomez, J.A. Reyes - Labarta // Polymer, 2001. Vol. 42. P. 8103.

.        Catalytic cracking of polyethylene over clay catalysts. Comparison with an ultrastable Y zeolite / G. Manos, I.Y. Yusof, N. Papayannakos, N.H. Gangas // Ind. Eng. Chem. Res. 2001. Vol.40. P. 2220.

.        Gobin, K. Polymer degradation to fuels over microporous catalysts as a novel tertiary plastic recycling method / K. Gobin, G. Manos // Polym. Deg. Stab. 2004. Vol. 83. P. 267.

.        Nanocrystalline ZSM-5: a highly active catalyst for polyolefin feedstock recycling / D.P. Serrano, J. Aguado, J.M. Escola, J.M. Rodrıguez // Stud. Surf. Sci. Catal. 2002. Vol. 142. P. 77.

60.   Lin, R. Effects of catalyst acidity and HZSM-5 channel volume on the catalytic cracking of polyethylene / R. Lin, R.L. White // J. Appl. Polym. Sci. 1995. Vol. 58. P. 1151.

.       Uemichi, Y. H-gallosilicate-catalyzed degradation of polyethylene into aromatic hydrocarbons using different types of reactors / Y. Uemichi, T. Suzuki // Chem. Lett. 1999. P. 1137.

62.    Development of a catalytic cracking process for converting waste plastics to petrochemicals / J. Nishino, M. Itoh, T. Ishinomori, N. Kubota, Y. Uemichi, J. Mater // Cycles Waste Manag. 2003. Vol. 5. P. 89.

.        Uemichi Y. Degradation of polyethylene to aromatic hydrocarbons over metal-supported activated carbon catalysts / Y. Uemichi, Y. Makino, and T. Kanazuka // J. Anal. Appl. Pyrolysis, 1989. Vol. 14. P. 331.

.        Matsumoto, Y. Cracking styrene derivative polymers in decalin solvent with metalsupported carbon catalysts / Y. Matsumoto // J. Mater. Cycles Waste Manag. 2001. Vol. 3. P. 82.

.        Chemical recycling of waste polystyrene into styrene over solid acids and bases / Z. Zhang, T. Hirose, S. Nishio, Y. Morioka, N. Azuma, A. Ueno, H. Ohkita, M. Okada // Ind. Eng. Chem. Res. 1995. Vol. 34. P. 4514.

.        Thermal and chemical recycle of waste polymers / Z. Zhibo, S. Nishio, Y. Morioka, A. Ueno, H. Ohkita, Y. Tochihara, T. Mizushima, N. Kakuta // 1996. Vol. 29. P. 303.

.        Juang, R.-S. Comment on «The removal of phenolic compounds from aqueous solutions by organophilic bentonite / R.S. Juang, T.S. Lee // Journal of Hazardous Materials, 2002. P. 301 - 314.

.        Qin, F. Thermocatalytic decomposition of vulcanized rubber / F. Qin. Ph. D tesis // Chem. Eng. 2004. P. 184.

.        Baramboim, G., Polymer Science USSR, 1979. Vol. 21. P. 87 - 94.

.        Chambers, C. Polymer Waste Reclamation by Pyrolysis in Molten Salts / C. Chambers, J.W. Lawn, W. Li, B. Wlesen // Ind. Eng. Chem. Process Des. Dev. 1984. Vol. 23, No. 4. P. 112 - 118.

.        Sivalingam G. Effect of Metal Oxides/Chlorides on the Thermal Degradation of Poly (vinyl chloride), Poly(bisphenolAcarbonate), and Their Blends / G. Sivalingam, G. Madras // Ind. Eng. Chem. Res. 2004. Vol. 43. P. 7716 - 7722.

.        Catalytic Effects of Metal Chlorides on the Pyrolysis of Lignite / X. Zou, J. Yao, X. Yang, W. Song, W. Lin / Energy & Fuels. 2007. Vol. 21. P. 619 - 624.

Похожие работы на - Гидрогенизационная каталитическая переработка пластмассовых отходов

 

Не нашли материал для своей работы?
Поможем написать уникальную работу
Без плагиата!
Без нейросетей!