Діагностика ймовірності банкрутства суб'єкта господарювання (ПАТ ДТЕК Дніпроенерго)
Тема
диплома: Діагностика ймовірності банкрутства суб'єкта господарювання (ПАТ ДТЕК
«Дніпроенерго»)
РЕФЕРАТ
Дипломна робота - робота: 129 с., 18
рис., 26 табл., 83 джерела, 4 додатка
Об’єкт дослідження - ПАТ ДТЕК
«Дніпроенерго».
Мета роботи - проведення діагностики
ймовірності банкрутства суб'єкта господарювання.
Завдання: розкрити
теоретико-методичну сутність банкрутства суб'єкта господарювання як
економічного явища; охарактеризувати методи діагностики ймовірності банкрутства
суб'єкта господарювання в Україні; ознайомитись з факторними моделями
визначення ймовірності банкрутства в зарубіжній практиці; надати характеристику
досліджуваного підприємства; розглянути основні техніко-економічні показники
діяльності ПАТ ДТЕК «Дніпроенерго»; провести діагностику ймовірності
банкрутства ПАТ ДТЕК «Дніпроенерго»; запропонувати напрями стабілізації
підприємства при загрозі банкрутства; здійснити обґрунтування вибору стратегії
антикризового управління підприємством; визначити стан охорони праці на підприємстві.
Методи використані в дипломній
роботі: аналітичний, графічний, порівняльний, розрахунковий, математичний,
методи кореляційного аналізу, статистичні методи.
СУТНІСТЬ БАНКРУТСТВА, МЕТОДИ
ДІАГНОСТИКИ ЙМОВІРНОСТІ БАНКРУТСТВА, ЕНЕНРГЕТИЧНА ГАЛУЗЬ, МОДЕЛІ БАНКРУТСТВА,
НАПРЯМИ СТАБІЛІЗАЦІЇ, ВЗАЄМОЗАЛІК, КОЛЕКТОРСЬКІ ПОСЛУГИ, РЕСТРУКТУРИЗАЦІЯ
ДЕБІТОРСЬКОЇ ЗАБОРГОВАНОСТІ
ЗМІСТ
ВСТУП
. ТЕОРЕТИЧНІ ЗАСАДИ ДІАГНОСТИКИ
ЙМОВІРНОСТІ БАНКРУТСТВА СУБ'ЄКТА ГОСПОДАРЮВАННЯ
.1 Сутність банкрутства
підприємств як економічного явища
.2 Методи діагностики
ймовірності банкрутства суб'єкта господарювання, їхні позитивні риси та
недоліки
.3 Однофакторні й
багатофакторні моделі визначення ймовірності банкрутства підприємств в
зарубіжній практиці
. АНАЛІЗ ГОСПОДАРСЬКОЇ ДІЯЛЬНОСТІ
ПАТ ДТЕК «ДНІПРОЕНЕРГО» ТА ОЦІНКА ЙМОВІРНОСТІ ЙОГО БАНКРУТСТВА
.1 Загальна характеристика
господарської діяльності підприємства ПАТ ДТЕК «Дніпроенерго»
.2 Аналіз економічного стану
ПАТ ДТЕК «Дніпроенерго»
.3 Оцінка ймовірності
банкрутства підприємства ПАТ ДТЕК «Дніпроенерго»
. НАПРЯМИ СТАБІЛІЗАЦІЇ
ПІДПРИЄМСТВА ПРИ ЗАГРОЗІ БАНКРУТСТВА
.1 Пошук механізмів
стабілізації підприємства при загрозі банкрутства та заходи щодо відновлення
фінансової стабільності ПАТ ДТЕК «Дніпроенерго»
.2 Економічна ефективність реструктуризації
дебіторської заборгованості
. ОХОРОНА ПРАЦІ ТА ТЕХНОГЕННА
БЕЗПЕКА
.1 Характеристика потенційних
небезпечних та шкідливих виробничих факторів у відділі
.2 Заходи з поліпшення умов
праці.
.3 Виробнича санітарія.
.4 Електробезпека.
.5 Пожежна безпека.
ВИСНОВКИ
СПИСОК ВИКОРИСТАНОЇ ЛІТЕРАТУРИ
ДОДАТКИ
ВСТУП
В умовах нестабільності податкової
та політичної систем, невизначеності в фінансових рішеннях в Україні інститут
банкрутства стає повсякденним явищем в діяльності суб’єктів господарювання. Це
пов’язано з погіршенням та втратою важливих фінансових та економічних зв’язків
як зовнішнього, так і внутрішнього характеру, спадом промисловості, відсутністю
інвестицій та поглибленням кризових явищ в країні.
Банкрутство - це один із ключових
елементів ринкової економіки й інститут розвиненої системи громадянського та
торговельного права, який дає можливість уникнути катастрофи та вигідно
розпорядитися засобами. Саме тому вкрай важливою є діагностика банкрутства,
тобто оцінка ймовірності його настання.
Діагностика ймовірності банкрутства
підприємства є комплексним економічним дослідженням, яке має власну логіку,
структуру та передбачає проведення низки послідовних етапів роботи. Вони
включають створення інформаційної бази дослідження, діагностику кризового стану
та загрози банкрутства, прогнозування наслідків виникнення ситуації
банкрутства, дослідження та оцінку потенціалу виживання підприємства.
Вивчення літературних джерел
означеної проблематики вітчизняних та закордонних авторів дало можливість чітко
структурувати процес дослідження, виокремити завдання та об’єкти окремих етапів
діагностики, надати керівництву підприємства та іншим користувачам діагностики
(власникам, інвесторам, санаторам, кредиторам) об’єктивну й повну інформацію
для прийняття управлінських рішень та обґрунтування програми необхідних
антикризових заходів.
Відповідно із законодавством України
банкрутство трактується як визнана арбітражним судом неспроможність боржника
відновити свою платоспроможність і задовольнити визнані судом вимоги кредиторів
не інакше, як через застосування ліквідаційної процедури. Відповідно можна
зробити висновок, що головним критерієм визнання підприємства банкрутом є його
неспроможність вчасно розраховуватись за своїми зобов’язаннями.
Слід зазначити те, що нормативно-правова
база, яка існувала ще до 1999 року та регламентувала процес банкрутства
виявилася неефективною в сучасних умовах та призвела до поглиблення кризи
неплатежів з боку підприємств. Однак з кожним роком спостерігається факт
зростання кількості справ про неспроможність підприємств, які були розглянуті
арбітражними судами. Це свідчить про те, що незважаючи на всілякі перепони
інститут банкрутства в Україні займає одне з провідних положень в розвитку
нормальних економічних відносин серед учасників господарчого циклу.
Наукова спільнота виділяє безліч
факторів банкрутства, які необхідно розкрити та враховувати. Згідно з аналізом
зарубіжної практики було виявлено, що в країнах з розвинутою ринковою
економікою та сталою політичною системою, як правило, 1/3 банкрутств зумовлена
зовнішніми факторами, а 2/3 - внутрішніми. Щодо вітчизняних умов, то вплив
зовнішніх факторів на виникнення стану банкрутства підприємств, безумовно,
значно більший, серед яких нестабільність законодавчої бази, непередбачені
зміни цін на товари, різке коливання курсу гривні.
На практиці дуже часто поняття
«банкрутство» ототожнюють з поняттям «криза підприємства», вважаючи банкрутство
останньою стадією прояву фінансової кризи. Отже, економічний стан підприємств
можна умовно розділити на дві зони: зону перебування у кризовому стані та зону
економічної безпеки підприємства.
Визначаючи банкрутство як кризовий
стан, науковці наголошують на спеціальних методах антикризового фінансового
управління. Така система повинна складатися як на рівні підприємства, так і на
загальноекономічному рівні. Відсутність та недосконалість такої антикризової
системи наразі розглядається як одна з головних проблем українського
підприємництва.
Ринкова економіка виробила обширну
систему фінансових методів попередньої діагностики й можливого захисту
підприємства від банкрутства та кризових явищ, яка одержала назву «система
антикризового управління». Суть цієї фінансової системи управління полягає в
тому, що загроза банкрутства діагностується ще на початкових стадіях її
виникнення.
В цілому методи антикризового
управління можуть ефективно використовуватися задля подолання стану, яке може
погрожувати існуванню підприємства, і де основним питанням стає можливість
виживання.
Таким чином, в Україні об’єктивно
склалися умови порушення діяльності підприємств, через що дуже вірогідною стає
ситуація банкрутства. Виходом зі становища, яке склалося серед українських
підприємств можна вважати систему антикризового регулювання, при ефективному
впровадженні якої можливо сприяти збереженню та розвитку промислового
потенціалу країни.
Питання сутності, специфіки завдань
та інструментарію діагностики ймовірності банкрутства суб'єкта господарювання в
умовах ринкової економіки стали предметом наукових досліджень зарубіжних
науковців Е. Альтмана, К. Беєрмана, Р. Капонінго, Р. Келлера, І. Ансоффа, Т.
Таффлера, Ш. Тішоу, І. Адізеса та інших. Їх висновки не можна розглядати як
універсальні навіть щодо багатоманіття країн з розвиненою ринковою економікою.
Вітчизняні роботи, присвячені
проблематиці діагностики ймовірності банкрутства, представлені такими
науковцями як В. Желябін, А.Беліченко, О. Попов, О. Венгер, С. Салига, Є.
Ляшенко, Н. Дацій, І.Булєєв, М. Герасимчук, О. Раєвнева, О. Єлець, А. Ткаченко,
Л. Лігоненко, М. Пашута, В. Порохня, О.Попов, О. Терещенко, Л.Федулова, А.
Чернявський, А.Череп та інших.
Метою роботи є проведення
діагностики ймовірності банкрутства суб'єкта господарювання.
Завдання:
– розкрити теоретико-методичну
сутність банкрутства суб'єкта господарювання як економічного явища;
– охарактеризувати методи
діагностики ймовірності банкрутства суб'єкта господарювання в Україні;
– ознайомитись з факторними
моделями визначення ймовірності банкрутства в зарубіжній практиці;
– надати характеристику
досліджуваного підприємства
– розглянути основні
техніко-економічні показники діяльності ПАТ ДТЕК «Дніпроенерго»;
– провести діагностику
ймовірності банкрутства ПАТ ДТЕК «Дніпроенерго»;
– запропонувати напрями
стабілізації підприємства при загрозі банкрутства
– здійснити обґрунтування
вибору стратегії антикризового управління підприємством;
– визначити стан охорони праці
на підприємстві.
Об’єкт дослідження - ПАТ ДТЕК
«Дніпроенерго».
Предмет дослідження - діагностика
ймовірності банкрутства суб'єкта господарювання.
Методи використані в дипломній
роботі: аналітичний, графічний, порівняльний, розрахунковий, математичний,
методи кореляційного аналізу, статистичні методи.
Інформаційною базою дослідження
виступили наукові дослідження українських та зарубіжних вчених,
нормативно-законодавча база щодо визначення та аналізу банкрутства
підприємства, практична частина роботи виконана на матеріалах ПАТ ДТЕК
«Дніпроенерго».
1. ТЕОРЕТИЧНІ ЗАСАДИ ДІАГНОСТИКИ
ЙМОВІРНОСТІ БАНКРУТСТВА СУБ'ЄКТА ГОСПОДАРЮВАННЯ
1.1
Сутність банкрутства підприємств як економічного явища
Перехід до ринкової економіки
викликав появу нового для нашої фінансової практики поняття - банкрутства
підприємства. Банкрутство характеризує реалізацію катастрофічних ризиків
підприємства в процесі його фінансової діяльності, внаслідок якої воно нездатне
задовольнити у встановлені терміни пред’явлені з боку кредиторів вимоги і
виконати зобов’язання перед бюджетом [64, с.208].
Хоча банкрутство підприємства є
юридичним фактом (тільки господарський суд може визнати факт банкрутства
підприємства), в його основі лежать переважно фінансові причини.
Поняття банкрутства охоплює різні
його види. В законодавчій і фінансовій практиці виділяють такі види банкрутства
підприємств [64, с.209]:
. Реальне банкрутство. Воно
характеризує повну нездатність підприємства відновити в майбутньому періоді
свою фінансову стійкість і платоспроможність через реальні втрати капіталу, що
використовується. Катастрофічний рівень втрат капіталу не дозволяє такому
підприємству здійснювати ефективну господарську діяльність у майбутньому
періоді, внаслідок чого воно оголошується банкрутом юридично.
. Технічне банкрутство. Термін, що
використовується, характеризує стан неплатоспроможності підприємства, викликане
істотним простроченням його дебіторської заборгованості. При цьому розмір дебіторської
заборгованості перевищує розмір кредиторської заборгованості підприємства, а
сума його активів значно перевершує обсяг його фінансових зобов'язань. Технічне
банкрутство при ефективному антикризовому управлінні підприємством, включаючи
його сану- вання, зазвичай не приводить до його юридичного банкрутства.
. Навмисне банкрутство. Воно
характеризує навмисне створення (або збільшення) керівником або власником
підприємства його неплатоспроможності; нанесення ними економічного збитку
підприємству в особистих інтересах або на користь інших осіб; явно
некомпетентне фінансове управління. Виявлені факти навмисного банкрутства
переслідуються в кримінальному порядку.
. Фіктивне банкрутство. Воно
характеризує явно помилкове оголошення підприємством про свою неспроможність з
метою введення в оману кредиторів для отримання від них відстрочення
(розстрочки) виконання своїх кредитних зобов’язань або знижки з суми кредитної
заборгованості. Такі дії також переслідуються в кримінальному порядку.
. Прихована стадія банкрутства.
Проведемо аналіз прихованої стадії банкрутства, використовуючи одну з можливих
формул «ціна підприємства». На прихованій стадії починається непомітне,
особливо якщо не налагоджений спеціальний облік, зниження «ціни» підприємства
унаслідок несприятливих тенденцій як усередині підприємства, так і зовні.
Поняття банкрутства органічно
притаманне сучасним ринковим відносинам. Воно характеризує неспроможність
підприємства задовольнити вимоги кредиторів щодо оплати товарів, робіт, послуг,
а також забезпечити обов'язкові платежі в бюджет і позабюджетні фонди [64,
с.207].
Закон України «Про банкрутство» -
під банкрутством розуміє зв'язану з браком активів у ліквідній формі
неспроможність юридичної особи суб'єкта підприємницької діяльності задовольнити
в установлений для цього строк пред'явлені до нього з боку кредиторів вимоги та
виконати зобов'язання перед бюджетом [23, с.226].
Причини банкрутства підприємств
можуть бути найрізноманітнішими. Беручи загалом, їх можна поділити на дві
групи: 1) зовнішні, які практично дуже важко (іноді неможливо) врахувати; 2)
внутрішні, що безпосередньо залежать від форм, методів та організації роботи на
самому підприємстві [21, с.109].
Результатом одночасного впливу всіх
чинників є настання банкрутства (рисунок 1.1) [5, с.29] .
Рисунок 1.1 - Основні причини
кризових ситуацій і банкрутства підприємств [5, с.29].
Зовнішні фактори можуть бути
міжнародними та національними. Міжнародні фактори формуються під впливом
динаміки загальноекономічних показників розвитку провідних країн, стану
світової фінансової системи, стабільності міжнародної торгівлі, митної
політики, рівня міжнародної конкуренції, руху міжнародного капітал та ін.
Закон України "Про
банкрутство" був прийнятий у 1992 р., але в процесі його дії вносились
відповідні зміни. Остаточні зміни до цього закону були внесені Верховною Радою
України 30 червня 1999 р., з того часу він називається Закон України "Про
відновлення платоспроможності боржника або визнання його банкрутом" №
784-ХІУ. Законом встановлені умови та порядок відновлення платоспроможності
суб'єкта підприємницької діяльності - боржника або визнання його банкрутом та
застосування ліквідаційної процедури, повного або часткового задоволення вимог
кредиторів. Основні положення Закону викладені у семи розділах. З введенням
цього Закону доручено центральним виконавчим органам України забезпечити
розробку та привести у відповідність наявні нормативно-правові акти, а також
внести зміни до законодавчих актів України [1, с.413].
Саме необґрунтована економічна
політика уряду, не керовані інфляційні процеси, тотальна економічна криза,
політична нестабільність суспільства, спад ділової активності в економіці
найбільш впливають на результати діяльності підприємств передусім через
недосконалість законодавчої бази. На сучасному етапі дуже уповільнився розцінок
науки і техніки, знов-таки через глибоку кризу в інвестиційній сфері. Низький
рівень інтегрованості вітчизняної економіки, неефективне використання
зарубіжного капіталу, різке погіршання кон'юнктури внутрішнього і зовнішнього
ринків спричиняють помітні симптоми банкрутства в багатьох підприємствах
України.
Рух до кризового стану починається в
момент виникнення кумулятивного зростання величини відхилення тих чи інших
показників, які характеризують стан зовнішнього та внутрішнього середовища
функціонування фірми, від довгострокових тенденцій динаміки цих показників.
Існують і цілком конкретні симптоми
настання тотальної заборгованості та повної неплатоспроможності підприємства.
Найбільш характерні з них показано у Додатку А.
Процес зростання процентних ставок і
цін зумовлює подорожчання сировини, матеріалів, комплектуючих виробів, яке
випереджає підвищення цін на готову продукцію, збільшує, за інших однакових
умов, кредиторську заборгованість підприємства. Усе це потребує додаткових
кредитних ресурсів і, як наслідок, призводить до негативних змін у структурі
зобов'язань, підприємства через підвищення середньої вартості пасивів [7,
с.346].
У подальшому наростають кризові
явища, які зумовлено різкими змінами структури балансу підприємства, а саме:
труднощі з готівкою та різке зменшення грошових коштів на рахунках; збільшення
дебіторської заборгованості, збільшення кредиторської заборгованості; зниження
обсягів продажу. Крім того, характерною є затримка з поданням звітності,
наявність конфліктних ситуацій на підприємстві.
Банкрутство може виникнути на
кожному з етапів життєвого циклу конкурентної переваги фірми (ЖЦКПФ).
Дослідники називають такі основні фактори, що сприяють банкрутству фірми.
Першим детермінантом є параметри
факторів виробництва. Вплив цих факторів спостерігається на всіх етапах ЖЦКПФ,
але особливо важливі вони на стадії зародження. На даній стадії є сім причин,
унаслідок дії яких фірма може зазнати банкрутства [22, с.508]:
неправильне визначення місії фірми
та її виробничого профілю;
низькі підприємницькі здібності
власника фірми;
низька кваліфікація управлінського
персоналу фірми;
неадекватний маркетинг;
велика частка позикового капіталу;
низька кваліфікація виконавців
(робітників, інженерів і т. п,);
неадекватність трансакційних витрат.
Наступним етапом життєвого циклу КПФ
є прискорення зростання. Даний етап характеризується тим, що фірма має добрий
попит на свою продукцію, сильну маркетингову стратегію, високу кваліфікацію
управлінського персоналу; що дає змогу процвітати та збільшувати виробництво. У
цій ситуації для фірми є небезпечною тільки велика частка позикових коштів у
загальній масі капіталу що використовується. Фірма може своєчасно не
забезпечити виплат своїм кредиторам і збанкрутувати.
На етапі уповільнення зростання
загрозу банкрутства створюють: погане використання оборотного капіталу втрата
гнучкості в управлінні, неадекватний маркетинг, неадекватність трансакційних
витрат.
Рівень використання капіталу можна
визначити, аналізуючи коефіцієнти ліквідності активів. Швидкість обороту
коштів, тобто швидкість перетворення їх на гроші, безпосередньо впливає на
платоспроможність підприємства. Брак гнучкості в управлінні призводить до
неефективних управлінських рішень, несвоєчасного прийняття таких і, як
наслідок, до збільшення витрат на управління та до втрат прибутку від
неадекватного й несвоєчасного реагування на зовнішні та внутрішні відхилення.
Етап зрілості характеризується
стабільним станом фірми, стабільним прибутком, насиченням усіма виробничими
ресурсами. На цьому етапі небезпечною є низка таких факторів: високий ступінь
неліквідності оборотного капіталу, старіння основного капіталу, неадекватний
маркетинг, неадекватність трансакційних витрат. Так, фізичне спрацювання та
техніко-економічне старіння основного капіталу призводить до зниження
продуктивності праці, як порівняти з іншими фірмами, до втрати конкурентної
переваги фірми, а внаслідок цього - до банкрутства.
На етапі спаду виробництва діють ті
самі фактори, що й на, етапі зрілості. Але стан погіршується загальним
незадовільним фінансовим становищем суб'єкта господарювання. Він втрачає
споживачів, а негативна дія внутрішніх факторів може призвести до прискореного
його банкрутства.
Іншим важливим детермінантом є параметри
попиту. Аналіз свідчить, що ці параметри діють на всіх стадіях ЖЦКПФ і, як
правило, є однаковими для всіх етапів. Різке зниження сукупного попиту
негативно впливає на всі види діяльності: скорочуються обсяги виробництва,
збільшуються витрати на одиницю продукції, зменшується прибуток на одиницю
продукції та загальний обсяг прибутку.
У разі розвитку виробництва
товарів-заміиників настає процес витискання товарів, що їх виробляє фірма, з
ринків, зменшення попиту на цю продукцію і. як можливий наслідок, утрата фірмою
прибутку та банкрутство.
Аналогічно діють і інші фактори
параметрів попиту, але їхній вплив різний на різних етапах ЖЦКПФ. Так, на
стадії інтенсивного зростання до банкрутства може призвести тільки один фактор
- різке зниження сукупного попиту інші фактори не мають вирішального значення,
оскільки фірма на цій стадії завжди має можливість ужити потрібних запобіжних
заходів.
Наступним детермінантом є рівень
галузевої конкуренції. Збільшення конкурентних переваг інших фірм галузі може
бути каталізатором банкрутства фірми на будь-якому етапі ЖЦКПФ. Цей процес
свідчить про те. що інші фірми використовують ліпші технології, маркетингову
стратегію та управлінські кадри. Відставання фірми погіршує її становище на
ринку і також може призвести до банкрутства.
Таким чином, банкрутство може
виникнути на будь-якому етапі життєвого циклу конкурентної переваги
підприємства з виробництва відповідної товарної продукції. Визначення зони
ризику банкрутства обумовлюється чинниками виробництва, які спостерігаються на
всіх стадіях. Потрібні кардинальні заходи спрямовані на загально масштабний
розвиток економіки України. Цьому має сприяти відповідна комплексна програма
забезпечення суспільства власними товарами широкого вжитку і витіснення з ринку
імпортних товарів. Вплив державної політики є важливим фактором, що впливає на
розвиток та функціонування фірми через фіскальну та кредитно-грошову системи.
1.2 Методи
діагностики ймовірності банкрутства суб'єкта господарювання, їхні позитивні
риси та недоліки
Для діагностики ймовірності
банкрутства використовується кілька методів, заснованих на застосуванні:
а) аналізу широкої системи критеріїв
і ознак;
б) обмеженого кола показників;
в) інтегральних показників [53,
с.640]
Ознаки банкрутства при
багатокритеріальному підході відповідно до рекомендацій Комітету з узагальнення
практики аудіювання (Великобританія) звичайно поділяють на дві групи.
До першої групи належать показники,
що свідчать про можливі фінансові труднощі і ймовірність банкрутства в
недалекому майбутньому:
— повторювані
істотні втрати в основній діяльності що виражаються у хронічному спаді
виробництва» скороченні обсягів продажів і хронічній збитковості;
— наявність
хронічно простроченої кредиторської і дебіторської заборгованості;
— низькі
значення коефіцієнтів ліквідності і тенденція їх до зниження;
— збільшення
до небезпечних меж частки позикового капіталу в загальній його сумі;
— дефіцит
власного оборотного капіталу;
— систематичне
збільшення тривалості обороту капіталу;
— наявність
наднормативних запасів сировини і готової продукції;
— використання
нових джерел фінансових ресурсів на невигідних умовах;
— несприятливі
зміни в портфелі замовлень;
— падіння
ринкової вартості акцій підприємства;
— зниження
виробничого потенціалу і т. ін. [53, с.641]
До другої групи входять показники
несприятливі значення яких не дають підстави розглядати поточний фінансовий
стан як критичний, але сигналізують про можливість різкого погіршення його в
майбутньому, якщо не вжити дійових заходів. До них належать:
— надмірна
залежність підприємства від якого-небудь одного конкретного проекту, типу
обладнання, виду активу, ринку сировини чи ринку збуту;
— втрата
ключових контрагентів;
— недооцінка
оновлення техніки й технології;
— втрата
досвідчених працівників апарату управління;
— вимушені
простої, неритмічна робота;
— неефективні
довгострокові угоди;
— недостатність
капітальних вкладень і т. ін. [25, с.241]
До достоїнств цієї системи
індикаторів можливого банкрутства можна віднести системний і комплексний
підходи, а до недоліків - більш високий ступінь складності ухвалення рішення в
умовах багатокритеріального завдання, інформативний характер розрахованих
показників, суб'єктивність прогнозного рішення.
В Україні розроблена і діє Методика
проведення поглибленого аналізу фінансово-господарського стану
неплатоспроможних підприємств і організацій, затверджена наказом Агентства з
питань запобігання банкрутству підприємств і організацій 27 червня 1997 р.
Наведена методика відповідає положенням Закону України «Про відновлення
платоспроможності боржника або визнання його банкрутом» від 14.05.95 № 2343-ХІІ
(рисунок 1.2) [64, с.128].
|
Аналізу стану
|
Складення програм
|
Підготовки та підбору
|
Рисунок 1.2 - Методичне забезпечення
системи банкрутства[64, с.128]
банкрутство економічний
діагностика стабілізація
Основним завданням аналізу є оцінка
результатів господарської діяльності за прогнозний і поточний роки, виявлення
факторів, які позитивно або негативно вплинули на кінцеві показники роботи
підприємства, прийняття рішення про визначення підприємства платоспроможним
(неплатоспроможним) і представлення пропозиції щодо доцільності внесення цього
підприємства в Реєстр неплатоспроможних підприємств і організацій.
Джерелами інформації для здійснення
аналізу є форми фінансової звітності, розрахунки нормативу власних оборотних
засобів, розшифровка дебіторської і кредиторської заборгованості, бізнес-план,
матеріали маркетингових досліджень, інша інформація.
Методика передбачає аналіз [64,
с.129]:
— динаміки
валюти балансу і його структури;
— джерел
власних засобів на основі коефіцієнтів автономії, фінансової стабільності,
фінансового левериджу, забезпеченості власними засобами;
— структури
кредиторської заборгованості. Особлива увага приділяється наявності
простроченої заборгованості перед бюджетом, з оплати в фонд соціального (у тому
числі пенсійного) страхування і перед іншими кредиторами;
— активів
підприємства і їх структури як з погляду їх участі у виробництві, так і з
погляду рівня їх ліквідності;
— структури
оборотних коштів на базі коефіцієнта оборотності оборотних коштів, часу
обороту, коефіцієнта оборотності запасів і середньої тривалості одного обороту
запасів;
— власних
оборотних засобів і платоспроможності;
— робочого
капіталу (власні оборотні кошти); оптимальний розмір залежить від сфери
діяльності, обсягу реалізації, кон’юнктури ринку тощо;
— маневреності
робочого капіталу Мк - часткою запасів в його загальній сумі; коефіцієнта
покриття Кп (критичне значення Кп= 1);якщо Кп< 1, підприємство має
неліквідний баланс; якщо Кп == 1-1,5, підприємство своєчасно має можливість
оплатити борги;
— витрат
на виробництво;
— прибутковості
підприємства;
— використання
прибутку.
Поряд з аналізом фінансового стану,
який дозволяє прогнозувати банкрутство методика передбачає аналіз
виробничо-господарської діяльності підприємства.
Результати аналізу заносять у
зведену форму «Основні фінансово-економічні показники і коефіцієнти». Після
цього комісія робить висновок щодо доцільності або недоцільності внесення
підприємства в Реєстр неплатоспроможних підприємств і організацій.
Щоб запобігти включенню «власного»
підприємства у вказаний Реєстр, його фінансово-аналітичній службі необхідно
наперед за наведеною методикою здійснити самоаналіз фінансово-господарської
діяльності.
Отже, відповідно до чинного
законодавства України про банкрутство підприємств для діагностики їхньої
неспроможності застосовується обмежене коло показників [16, с.767]:
— коефіцієнт
поточної ліквідності (загальний коефіцієнт покриття);
— коефіцієнт
забезпеченості власним оборотним капіталом;
— коефіцієнт
відновлення (втрати) платоспроможності.
За цими правилами підприємство
визнається неплатоспроможним за наявності однієї з таких умов:
— коефіцієнт
поточної ліквідності на кінець звітного періоду нижчий від нормативного
значення;
— коефіцієнт
забезпеченості підприємства власними оборотними коштами на кінець звітного
періоду нижчий від нормативного значення;
— коефіцієнт
поновлення (втрати) платоспроможності < 1.
Коефіцієнт поточної ліквідності
визначається за формулою 1.1 [53, с.612]:
(1.1)
Коефіцієнт забезпеченості власним
оборотним капіталом визначається за формулою 1.2 [53, с.613]:
(1.2)
Якщо коефіцієнт поточної ліквідності
і частка власного оборотного капіталу у формуванні оборотних активів менша від
нормативу (Кпл<2, а Квок<0,1), але намітилася тенденція зростання цих
показників, то визначається коефіцієнт поновлення платоспроможності (Кпп) за
період, що дорівнює шість місяців за формулою 1.3 [53, с.614]:
, (1.3)
де Кпл1 і Кпл0 - відповідно,
фактичне значення коефіцієнта ліквідності в кінці й на початку звітного
періоду;
Кпл норм - нормативне значення
коефіцієнта поточної ліквідності;
- період поновлення
платоспроможності, міс.;
Т - звітний період, міс.
Якщо Кпп>1, то у підприємства є
реальна можливість поновити свою платоспроможність, і навпаки, якщо Кпп<1 -
у підприємства немає реальної можливості поновити свою платоспроможність у
найближчий час.
Якщо ж фактичний рівень Кпл дорівнює
нормативному значенню або вищий від нього на кінець періоду, але намітилася
тенденція до його зниження, то за формулою 1.4 розраховують коефіцієнт втрати
платоспроможності - (Квп) за період,
що дорівнює трьом місяцям [53, с.615]:
, (1.4)
Якщо Квп>1, то підприємство має
реальну можливість зберегти свою платоспроможність протягом трьох місяців,
Навпаки, якщо величина цих коефіцієнтів нижча від нормативного рівня і
намітилася стійка тенденція до зниження їх, то це свідчить про критичну
ситуацію, яка може призвести до реальної загрози ліквідації підприємства шляхом
процедури банкрутства.
Недоліками цієї системи показників
є, по-перше, те, що вони дублюють один одного. Знаючи рівень одного з них,
легко знайти значення другого:
Другий недолік полягає в тому, що не
може бути єдиного нормативу цих коефіцієнтів для всіх галузей економіки. Так,
якщо для торгового підприємства, у якого висока швидкість обороту капіталу,
частки власного капіталу 10 % цілком достатньо, то для промислового або
сільськогосподарського підприємства цього явно мало. При такій забезпеченості
оборотних активів власним капіталом коефіцієнт ліквідності становитиме лише
1,11 (1/1-0,1).
Отже, цієї системи показників явно
недостатньо, щоб зробити правильний висновок про ступінь платоспроможності
підприємства, її слід доповнити показниками ефективності використання капіталу,
ділової активності підприємства і його фінансової стійкості.
.3
Однофакторні та багатофакторні моделі визначення ймовірності банкрутства
підприємств в зарубіжній практиці
Банкрутство - складний процес, який
може бути охарактеризований з різних сторін: юридичної, управлінської,
організаційної, фінансової, обліково-аналітичної тощо. Власне процедура
банкрутства є кінцевою стадією невдалого функціонування підприємства, якій,
зазвичай, передують стадії нормальної ритмічної роботи і фінансових ускладнень.
Банкрутство рідко буває несподіваним, особливо для досвідчених фінансистів та
менеджерів, які намагаються регулярно відслідковувати тенденції у розвитку
підприємств більш жвавих контрагентів та конкурентів [64, с.212].
Нерівномірний розвиток економіки і,
тим більше, окремих її частин, зміна обсягів виробництва і збуту, значне
падіння виробництва, що характеризується як кризова ситуація, слід розглядати
не як збіг незадовільних ситуацій (хоча для окремого підприємства це буде саме
так), а як деяку загальну закономірність, властиву ринковій економіці.
Кризові ситуації, що виникають у
результаті відсутності відповідних профілактичних заходів, можуть призвести до
надмірної розбалансованості економіки підприємства і нездатності продовження
фінансового забезпечення виробничого процесу, що кваліфікується як банкрутство
підприємства [21, с.110].
Запобігання цьому стану потребує
застосування спеціальних процедур або припинення діяльності даного підприємства
та його ліквідації, що, як свідчить світова практика, також не можна вважати
випадковістю. Банкрутство значної частини підприємств, особливо нових,
зафіксовано в усіх країнах, де ведеться така статистика. Наприклад, англійські
дослідники підкреслюють, що близько 70 - 80% нових фірм припиняють свою
діяльність в кінці другого року існування. Для кожного підприємства існує межа
зростання обсягів діяльності, причому одні й ті ж процеси можуть виступати і
стимуляторами розвитку, і факторами, які стримують розвиток.
Американські дослідники зафіксували
визначену закономірність виникнення кризових ситуацій і банкрутств: по-перше,
періодичне виникнення кризових ситуацій на всіх стадіях життєвого циклу
підприємства, а, по-друге, математично визначена тривалість циклів падіння та
зростання, характерних для фірм малого і середнього бізнесу. Наприклад, фаза
зростання досліджуванних американських фірм в середньому триває 3 роки (від 3,1
до 7,7 років), а фаза падіння - 2,8 роки (від 1 року до 4 років).
Ринкова економіка, яка протягом
багатьох десятиліть і століть є основою розвитку західних країн, розробила
визначену систему контролю, діагностики і, по можливості, захисту підприємств
від повного краху, або систему банкрутства і підтримки підприємства (рисунок
1.3) [64, с.214].
Рисунок 1.3 - Система банкрутства
підприємств в ринковій економіці західних країн [64, с.214]
Універсальність цієї системи робить
її придатною для застосування механізму захисту підприємств і запобігання їх
банкрутству в Україні, однак слід враховувати особливості національної
економічної політики.
Система банкрутства включає в себе
цілий ряд логічних і причинно-наслідкових організаційних і методичних процедур,
які забезпечуються державними органами влади. Вихідним пунктом системи є
встановлення принципів і цілей, які повинні бути досягнуті в результаті
функціонування її механізмів.
Основна ланка цієї системи -
об’єктивна необхідність в доведенні структури виробництва до реального
платоспроможного попиту, що формується ринком. Мета створення і приведення
вдіюсистеми банкрутства в Україні - необхідність структурної перебудови всього
народного господарства відповідно до ринкового попиту населення за умови
досягнення прибуткової діяльності основних структур, які виробляють товари та
надають послуги. Як свідчить світова практика, досягнення цієї мети
відбувається при дотриманні таких основних принципів (рисунок 1.4.) [64,
с.215]:
— встановлення
єдиної стабільної і надійної для всіх суб’єктів господарювання системи
комерційних взаємовідносин в ситуації банкрутства підприємств;
— надання
боржникам, що виконують свої зобов’язання, можливості поновити свою діяльність;
— створення
системи заходів для відродження бізнесу;
— створення
механізму регулювання фінансових справ підприємств-боржників з метою їх
оздоровлення без припинення бізнесу;
— створення
комерційної і правової системи для заохочення роботи надійних партнерів і
формування процедури вирішення фінансових спорів;
— збереження
перспективних підприємств, які мають фінансові ускладнення (в тих випадках, де
це можливо і економічно доцільно).
|
Стабільність, рівність всіх учасників
|
|
Введення безпечних заходів при банкрутстві
|
|
Санація
|
|
Заохочення відродження
|
|
Ліквідація
|
|
Зберігання перспективних підприємств
|
|
Запобігання
|
|
Ефективна правова структура
|
|
|
Забезпечення інтересів всіх учасників
|
|
|
Соціальний захист
|
Рисунок 1.4 - Цілі і принципи
системи банкрутства [64, с.215]
Цей перелік принципів функціонування
системи банкрутства спрямований на зберігання підприємств, які мають шанси на
виживання і пристосування до потреб ринку.
Сьогодні є багато різноманітних
методів і підходів до прогнозування банкрутства (кризи) і оцінки ймовірності
його настання в майбутньому. Більшість із них можна розділити на три групи [24,
с.168]:
) балона система оцінювання з
визначенням класу (індексу) ризикованості фінансового стану підприємства;
) однофакторний дискримінантний
аналіз;
) багатофакториий дискримінантний
аналіз.
Класичним прикладом використання бальної
системи оцінювання є тест М.Тамарі , що був розроблений ще в 1964 р. й є першою
спробою прогнозування банкрутства. При цьому М.Тамарі використано 6 індикаторів
фінансового стану, по кожному з яких визначається відповідна кількість балів
[25, с.109]:
— коефіцієнт
забезпеченості власним капіталом (до 25 балів);
— темп
приросту прибутку (до 25 балів);
— відношення
короткострокових оборотних активів до поточних зобов'язань (до 20 балів);
— відношення
скоригованого на величину запасів незавершеного виробництва обороту від
реалізації до запасів готової продукції (до 10 балів);
— коефіцієнт
оберненості дебіторської заборгованості (до 10 балів);
— обсяг
реалізації продукції, скоригований на величину незавершеного виробництва (до 10
балів).
Загальний висновок про наявність
кризи формулюється на підставі загальної кількості балів, які отримало
аналізоване підприємство. Продовженням цього методу є А-рахунок Аргенті. У
даному методі, окрім фінансових показників, проводиться бальна оцінка системи
управління та оргструктури підприємства. Недоліком бального методу є
відсутність врахування вагомості кожного з базових показників і більший ступінь
суб'єктивізму в процесі присвоєння балів.
Дискримінантний аналіз являє собою
комплекс методів і прийомів математичної статистики, за допомогою яких
проводиться класифікація аналізованих елементів в залежності від значень
обраної сукупності показників відповідно до побудованої шкали (ключа)
інтерпретації. Таким чином, якщо при вільній оцінці нормативи задаються
експертним шляхом, то в дискримінантному аналізі - повністю методами
статистики, шляхом аналізу репрезентативної вибірки окремо по «хворих» і по
«здорових» підприємствах. Це значно підвищує вірогідність отриманих
результатів. Засновником дискримінантного аналізу вважається В.Бівер, що ще в
1966 р. у роботі уперше провів відповідний аналіз на базі ряду американських
корпорацій. У теорії фінансового аналізу розрізняються однофакторний і
багатофакторний дискримінантний аналіз. У процесі однофакторного аналізу по
кожному базовому показнику методами статистики розраховуються нормативи
(граничні значення). Іноді розробляється ціла шкала нормативів відразу для
декількох рівнів фінансової стійкості. Потім по кожному базовому показнику
окремо встановлюється наявність кризи. Головним недоліком однофакторного
дискримінантного аналізу є можливі протиріччя у висновках по різних базових
показниках: по одним може бути позитивний висновок, по іншим - негативний [24,
с.310].
Найбільш відомими однофакторними
моделями є системи показників американського економіста В.Бівера та його
німецького колеги П.Вайбера. У таблиця 1.1 проведений порівняльний аналіз
системи показників зазначених економістів. Як бачимо в обох системах по 6
базових показників, але В.Бівер вводить 2 показники в співвідношенні із
сумарною величиною активів підприємства, а П.Вайбер - 2 показники, засновані на
середньоденному залишку кредиторської заборгованості. Обидва економіста
вважають, що базових показників повинно бути якнайменше, тому що це знижує
одержання суперечливих висновків. У той же час вибір показників проводився
таким чином, щоб кожен показник відображав принципово різні групи фінансових
коефіцієнтів, які будуть розглянуті нижче [64, с.135].
Слід зазначити, що у вітчизняних
методиках фінансового аналізу [32; 33; 34; 35; 38] акцент робиться на перші два
методи діагностики кризи - бальний або однофакторний. На думку О.О.Терещенко,
недоліком перших двох методів є наявність мультиколінеарності в результатах
оцінки, тобто базові показники часто відображають взаємозалежні об'єкти оцінки,
що зайво підсилює їх значимість в отриманих результатах порівняно з іншими
показниками та, відповідно, погіршує результати оцінки [56, с.134].
Таблиця 1.1 - Порівняльний аналіз
однофакторної системи показників
|
№
|
Показники за методикою В. Бівера
|
Показники за методикою П. Вайбера
|
|
1
|
Відношення суми чистого прибутку та
амортизації до позикового капіталу - коефіцієнт Бівера
|
Відношення суми чистого прибутку та
амортизації до поточних зобов'язань
|
|
2
|
Відношення чистого прибутку до валюти балансу
- коефіцієнт рентабельності активів
|
Відсутній
|
|
3
|
Відношення позикового капіталу до валюти
балансу
|
Відношення позикового капіталу до валюти
балансу
|
|
4
|
Відношення оборотних активів до поточних
зобов'язань - коефіцієнт покриття
|
Відношення оборотних активів до поточних
зобов'язань
|
|
5
|
Відношення робочого капіталу {власних
оборотних коштів} до валюти балансу
|
Відсутній
|
|
6
|
Відношення різниці між грошовим потоком і
поточними зобов'язаннями до витрат підприємства (без амортизації)
|
Відношення різниці між грошовим потоком і
поточними зобов'язаннями до витрат підприємства (без амортизації)
|
|
7
|
Відсутній
|
Відношення середнього залишку кредиторської
заборгованості до вартості закупівель, помножене на 365
|
|
8
|
Відсутній
|
Відношення середнього залишку кредиторської
заборгованості до величини витрат на сировину та матеріали, помножене на 365
|
Найбільш точним, на думку більшості
як вітчизняних, так і закордонних економістів, є третій метод - багатофакторний
дискримінантний аналіз. Зазначений метод заснований на використанні інтегрального
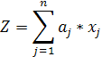
показника фінансового стану підприємства (Z):
(1.5)
де xj - значення фінансових
показників;
аj - коефіцієнти вагомості
відповідних показників, отримані на основі дискримінантного аналізу
статистичної вибірки підприємств.
У зарубіжних країнах для оцінювання
ризику банкрутства і кредитоспроможності підприємств широко використовують
факторні моделі відомих західних економістів Е.Альтмана, Дж.Ліса, Р.Тоффлера,
Г.Тишоу й ін., розроблені за допомогою багатомірного дискримінаитного аналізу.
Найбільшу популярність має модель
Альтмана [13, с.296]:= 0,717x1 + 0,847x2 + 3,107x3 + 0,42x4 + 0,995x5
де x1 - власний оборотний
капітал/сума активів;- нерозподілений прибуток/сума активів;- прибуток до
сплати процентів/сума активів;- балансова вартість власного капіталу/позиковий
капітал;- обсяг продажів (виручка)/сума активів.
Константа порівняння - 1,23.
Якщо значення Z<1,23, то це
ознака високої ймовірності банкрутства, тоді як значення Z>1,23 і більше
свідчить про невелику його імовірність.
Дискримінантна модель, яку розробив
Дж.Ліс для Великобританії, дістала таке вираження [25, с.421]:= 0,063x1 +
0,092x2 + 0,057x3 + 0,001x4
де x1 - оборотний капітал/сума
активів;- прибуток від реалізації/сума активів;- нерозподілений прибуток/ сума
активів;- власний капітал/позиковий капітал.
Тут граничне значення дорівнює
0,037.
Р.Тоффлер розробив таку модель[25,
с.423]:= 0,53x1 + 0,13x2 + 0,18x3 + 0,16x4
де x1 - прибуток від
реалізації/короткострокові зобов’язання;- оборотні активи/сума зобов'язань;-
короткострокові зобов'язання/сума активів;- виторг/сума активів.
Якщо величина Z- рахунка більше 0,3,
це свідчить про те, що у фірми непогані довгострокові перспективи, якщо менше
0,2, то банкрутство більш ніж імовірне.
У таблиці 1.2 наведена порівняльна
характеристика складу інтегральних показників у різних методиках:
Таблиця 1.2 - Порівняльна
характеристика складу інтегральних показників у закордонних методах
|
№
|
Найменування показника
|
Наявність у методиках
|
|
|
1
|
2
|
3
|
4
|
|
1
|
Відношення робочого капіталу {власних
оборотних коштів) до валюти балансу
|
+
|
|
+
|
|
|
2
|
Відношення нерозподіленого прибутку до валюти
балансу
|
+
|
|
+
|
|
|
3
|
Відношення прибутку до оподатковування плюс
відсотки за кредит до валюти балансу
|
+
|
|
|
|
|
4
|
Відношення ринкової вартості підприємства до
позикового капіталу
|
+
|
|
|
|
|
5
|
Відношення чистої виручки від реалізації
продукції до валюти балансу
|
+
|
+
|
|
+
|
|
6
|
Відношення прибутку до оподатковування до
поточних зобов'язань
|
|
|
|
+
|
|
7
|
Відношення чистого прибутку до валюти балансу
|
|
+
|
+
|
|
|
8
|
Відношення власного капіталу до позикового
|
|
|
+
|
|
|
9
|
Відношення поточних зобов'язань до валюти
балансу
|
|
+
|
|
+
|
|
10
|
Відношення оборотних активів до сумарних
зобов'язань
|
|
+
|
|
+
|
|
11
|
Відношення чистого прибутку до чистої виручки
від реалізації продукції
|
|
|
|
|
|
12
|
Коефіцієнт Бівера
|
|
|
|
|
Де 1 - методика Альтмана; 2 -
методика Тишоу; 3 - методика Ліса; 4 - методика Тофлера.
Як випливає з таблиця 1.2, моделі
різних закордонних економістів містять аналогічні показники. Практично у всіх
моделях використовується показник №5 - відношення чистої виручки від реалізації
продукції до валюти балансу. Дійсно, це один з найважливіших показників, що
відображає оберненість активів підприємства. Також часто зустрічається
коефіцієнт покриття активів власними оборотними коштами (показник №1), а також
коефіцієнт рентабельності поточних зобов'язань (показник №6), що є покращеною
версією коефіцієнта, який відображає рентабельність сумарних зобов'язань
(показник №12). У всіх методиках є коефіцієнт рентабельності активів у різних
модифікаціях (показники №2, №3, №7). В той же час розроблений Е.Альтманом в
1968 р. коефіцієнт відношення ринкової вартості підприємства до позикового
капіталу (показник №4) не одержав поширення через недостатню інформацію про
ринкову вартість по підприємствах, акції яких активно не котируються на фондовому
ринку [23, с.315].
Проте слід зазначити, що
застосування таких моделей вимагає обережності. Тестування підприємств за
допомогою цих моделей засвідчило, що вони не повною мірою підходять для
оцінювання ризику банкрутства суб'єктів господарювання з таких причин [53,
с.423]:
— ці
моделі розроблялися дуже давно, в 1960-70 рр., тобто після їх створенню минула
ціла епоха. За цей час змінилась макро- і мікроекономічна ситуація у США та
інших країнах. Змінилось багато нормативів (наприклад, співвідношення позикових
і власних засобів). Моделі, розраховані на основі статистичних даних того часу,
не можуть правильно описати і спрогнозувати ситуацію сьогодні.
— не
може бути універсальних моделей, які б ідеально підходили для всіх галузей
економіки навіть окремо взятої країни, оскільки внаслідок особливостей різних
галузей значимість окремих індикаторів істотно відрізняється. Так, для
торговельних підприємств норматив і фактичне значення коефіцієнта фінансового
левериджу може бути більше одиниці, а для сільськогосподарського підприємства
величина цього коефіцієнта 0,5 - досить значна. Є суттєві відмінності і за
швидкістю оборотності капіталу, і за рівнем доходу на вкладений капітал тощо.
Одним з найбільш істотних недоліків
існуючих методів є відсутність врахування тимчасових обмежень у системі
антикризового управління. Жоден із загальноприйнятих показників не дозволяє
встановити близькість банкрутства в тимчасовому розрізі. Всі вони вказують лише
на ймовірність настання банкрутства в поточному періоді або найближчим часом,
але не вказують наскільки швидко воно наступить. Тим часом у більшості випадків
саме від Тимчасових обмежень повністю залежить вибір підприємством тих або
інших антикризових заходів. Дійсно, якщо захід не може бути повністю завершений
до фінансової катастрофи, то його здійснення після катастрофи втрачає
економічний зміст, тому що підприємство не одержить очікуваний економічний
ефект у повному розмірі.
Таким чином, заслуговує на увагу сам
підхід до розробки подібних моделей, але вони мають розроблятися для кожної
галузі і підгалузі окремо, і при цьому періодично уточнюватися за новими
статистичними даними з урахуванням нових тенденцій та закономірностей в
економіці. Разом з тим слід зазначити, що недоліком дискримінантних моделей є
відсутність чітких меж для віднесення підприємств до класу банкрутів або не
банкрутів. Якщо підприємство за моделлю набирає значення Z-рахунка, що близьке
чи дорівнює константі дискримінації, то його важко кваліфікувати стосовно
фінансової стійкості чи нестійкості.
Таким чином в першому розділі
дипломної роботи розглянуто поняття банкрутства органічно притаманне сучасним
ринковим відносинам. Воно може виникнути на будь-якому етапі життєвого циклу
конкурентного підприємства. Саме необґрунтована економічна політика уряду, не керовані
інфляційні процеси, тотальна економічна криза, політична нестабільність
суспільства, спад ділової активності в економіці найбільш впливають на
результати діяльності підприємств передусім через недосконалість законодавчої
бази. Для діагностики ймовірності банкрутства використовується кілька методів,
але вони мають свої недоліки - більш високий ступінь складності ухвалення
рішення в умовах багатокритеріального завдання, інформативний характер
розрахованих показників, суб'єктивність прогнозного рішення; в іншій системі
показники дублюють один одного; також не може бути єдиного нормативу для всіх
галузей економіки; деякі з моделей були складені дуже давно, с того часу
змінилася макро- і мікроекономічна ситуація. Подібні системи показників
потрібно доповнювати показниками ефективності, рентабельності, та ін.
показниками економічного аналізу.
У системі антикризового управління
необхідна розробка принципово нового показника, що по-перше, відображав би
реальний вплив кожного фінансового показника, по-друге, повністю ґрунтувався на
показниках даного підприємства, що відображають його індивідуальні особливості,
по-третє, дозволяв установити близькість банкрутства в тимчасовому розрізі.
Крім того, при оцінці ефективності проведених антикризових заходів також обов'язковим
є врахування фактора часу. При цьому необхідно визначити структуру витрат на
банкрутство та ліквідацію, а також тривалість періоду їх здійснення. З метою
врахування впливу фактору часу може бути використаний традиційний метод
дисконтування майбутніх грошових потоків.
2. АНАЛІЗ
ГОСПОДАРСЬКОЇ ДІЯЛЬНОСТІ ПАТ ДТЕК «ДНІПРОЕНЕРГО» ТА ОЦІНКА ЙМОВІРНОСТІ ЙОГО
БАНКРУТСТВА
.1 Загальна
характеристика господарської діяльності підприємства ПАТ ДТЕК «Дніпроенерго»
ПАТ «ДТЕК Дніпроенерго» - один з
найбільших постачальників електроенергії в тепловій генерації України. До
складу «ДТЕК Дніпроенерго» входять три теплові електромтанції: Криворізька,
Придніпровська і Запорізька. Крім виробництва електроенергії «ДТЕК
Дніпроенерго» також забезпечує теплом населені пункти Дніпропетровської та
Запорізької областей.
ВАТ «Дніпроенерго» починає свій
історичний шлях 7 червня 1931 р. У цей день організоване Придніпровське Районне
Управління Державних електричних мереж «Дніпроенерго» з розміщенням у
м.Дніпропетровську. У 1995 р. шляхом корпоратизації створена генеруюча компанія
ПАТ ДТЕК «Дніпроенерго» Перші загальні збори акціонерів ПАТ ДТЕК «Дніпроенерго»
відбулися 24 березня 1998 р.
З травня 2005 року по січень 2008
року була реалізована процедура санації, в результаті якої ДТЕК вдалося
консолідувати 47% акцій компанії.
Товариство є юридичною особою із
новим найменуванням, у результаті проведення державної реєстрації змін до
статуту, які пов’язані із набранням чинності Закону України «Про акціонерні
товариства» та зміною найменування з відкритого акціонерного товариства
«Дніпроенерго» на публічне акціонерне товариство «Дніпроенерго». Публічне
акціонерне товариство «Дніпроенерго» перейменовано у публічне акціонерне
товариство «ДТЕК Дніпроенерго» відповідно до рішення загальних зборів
акціонерів публічного акціонерного товариства «Дніпроенерго».
Місцезнаходження товариства: 69006,
Україна, Запорізька область, місто Запоріжжя, вул. Добролюбова, 20.
Метою діяльності товариства є
одержання прибутку на основі здійснення виробничої, комерційної, посередницької
та іншої діяльності.
Статутний капітал товариства
становить 149 185 800,00 гривень (сто сорок дев’ять мільйонів сто вісімдесят
п’ять тисяч вісімсот) гривень.
Статутний капітал товариства
поділено на 5 967 432 (п`ять мільйонів дев`ятсот шістдесят сім тисяч чотириста
тридцять дві) прості іменні акції номінальною вартістю 25,00 (двадцять п’ять)
гривень кожна. Кількість привілейованих акцій - 0 (нуль).
Акціонерами товариства є юридичні та
фізичні особи, які є власниками акцій товариства.
ПАТ ДТЕК «Дніпроенерго» здійснило
програму випуску американських депозитарних розписок (АВК) 1 рівня 21 лютого
2006 депозитні розписки ВАТ «Дніпроенерго» включені в лістинг Франкфуртської
фондової біржі. Власником 50% +1 акція є основний акціонер - держава в особі
НАК "Енергетична компанія України", 44% - ДТЕК, решта належить
міноритарним акціонерам (рисунок 2.1).
Рисунок 2.1 - Розподіл акцій ПАТ
ДТЕК «Дніпроенерго»
До основних видів діяльності ПАТ
ДТЕК «Дніпроенерго» відносяться:
виробництво електроенергії (код за
КВЕД 40.11.0)
постачання пари та гарячої води (
код за КВЕД 40.30.0)
розподілення та постачання
електроенергії (код за КВЕД 40.13.0)
ремонт і технічне обслуговування
двигунів та турбін (код за КВЕД 29.11.3)
ремонт і технічне обслуговування
насосів, компресорів та гідравлічних систем (код за КВЕД 29.12.2)
ремонт і технічне обслуговування
контрольно-вимірювальних приладів (код за КВЕД 33.20.3)
Основним видом продукції, за рахунок
продажу якого ПАТ ДТЕК «Дніпроенерго» отримало за 2012 рік більше 10 % доходу
за звітний рік є електроенергія:
— обсяг
виробництва - 17 285,039 млн кВтг ;
— обсяг
виробництва - 8 483 734 тис грн ;
— обсяг
реалізованої продукції - 15 843,985 млн кВтг ;
— обсяг
реалізованої продукції - 8 483 734 тис грн ;
— сума
виручки - 8 483 734 тис грн .
Експорт електроенергії Товариством у
2012 році не здійснювався.
ПАТ ДТЕК «Дніпроенерго» здійснює
свою діяльність лише на території України.
Інші види продукції (робіт, послуг)
у т.ч. нові, не мають суттєвого впливу на господарський стан емітента, у
зв'язку з чим інформацію не розкриваємо.
Інформація про структуру виробничої
собівартості всієї реалізованої продукції:
Сировина і допоміжні матеріали -
3,4%
Паливо - 79,7%
Витрати на оплату праці та
відрахування на соціальні заходи - 7,5%
Інші витрати - 9,4%
Інформацію про основні тенденції
розвитку тієї галузі (або галузей), у якій емітент здійснює свою діяльність:
Галузь діяльності ПАТ ДТЕК
«Дніпроенерго» - виробництво електричної та теплової енергії.
Конкуретне середовище - національне.
Перелік основних конкурентів - ПАТ
"Західенерго", ВАТ "Центренерго", ТОВ
"Східенерго", ВАТ "Донбасенерго", НАЕК
"Енергоатом".
Метод конкуренції - ціновий.
Частка продукту на ринку (ОРЕ) -
9,0%.
Вся електрична енергія, вироблена
електростанціями ПАТ “Дніпроенерго”, продається на Оптовому ринку електричної
енергії України відповідно до умов його діяльності. Єдиний покупець - Державне
підприємство “Енергоринок”.
Теплова енергія виробництва:
ВСП "Придніпровська ТЕС"
реалізується на межі поділу балансової належності оптовому споживачу КП
"Коменергосервіс", а також споживачам ж/м Придніпровських мереж
ПдТЕС.
ВСП "Запорізька ТЕС"
реалізується оптовому споживачу КП "Тепловодоканал" для потреб
теплопостачання 1-го та 2-го мікрорайонів м. Енергодара.
ВСП "Криворізька ТЕС"
реалізується споживачам м.Зеленодольськ по мережам транспортувальника КП
"Зеленодольський міський водоканал".
Постачання вугілля на ТЕС ПАТ ДТЕК
«Дніпроенерго» у 2012 році здійснювали ТОВ «ДТЕК ТРЕЙДІНГ» (місцезнаходження:
83001, м. Донецьк, б-р Шевченка,11) - 7557,0 тис.т (97,91%), DTEK TRADING
LIMITED (місцезнаходження: Themistokli Dervi, 3, Julia House, P.C. 1066,
Nicosia, Cyprus) - 5,5 тис.т (0,07%) та ДП «Вугілля України» (місцезнаходження:
01601, Україна, м. Київ, вул. Б. Хмельницького, 4) - 155,7 тис.т (2,02%).
Постачання вугілля із-за меж України здійснювалося DTEK TRADING LIMITED
(вугілля Кузнецького басейну, Росія). Джерело видобутку вугілля в Україні -
Дніпропетровська, Донецька, Луганська області.
Фактична ціна закупівлі вугілля з
транспортуванням та без ПДВ по ТЕС ПАТ ДТЕК «Дніпроенерго» склала, грн./т
(таблиці 2.1):
Таблиця 2.1 - Фактична ціна
закупівлі вугілля з транспортуванням та без ПДВ по ТЕС ПАТ ДТЕК «Дніпроенерго»,
грн./т
|
2011 рік
|
2012 рік
|
|
ПАТ - 701,52
|
ПАТ - 800,59
|
|
ПдТЕС - 691,69
|
ПдТЕС - 755,55
|
|
КрТЕС - 739,98
|
КрТЕС - 871,94
|
|
ЗаТЕС - 663,49
|
ЗаТЕС - 715,12
|
У порівнянні з 2011 роком взагалі по
ПАТ ДТЕК «Дніпроенерго» ціна вугілля зросла на 14,1 %.
Постачання мазуту на ТЕС ПАТ ДТЕК
«Дніпроенерго» у 2012 році здійснювалось ДП "Металінвест" ТОВ
"ДонМеталЗбут" (місцезнаходження: 83087, Україна, м. Донецьк, вул.
Матросова, 24-А) - 2,8 тис.т.
Джерело видобутку - Україна.
Фактична ціна закупівлі мазуту з
транспортуванням та без ПДВ склала грн./т (таблиця 2.2):
Таблиця 2.2 - Фактична ціна
закупівлі мазуту з транспортуванням та без ПДВ, грн./т
|
2011 рік
|
2012 рік
|
|
ПАТ - 3626,39
|
ПАТ - 5021,67
|
|
ПдТЕС - постачання не здійснювалось
|
ПдТЕС - 5094,67
|
|
КрТЕС - 3615,41
|
КрТЕС - 4875,00
|
|
ЗаТЕС - 3725,0
|
ЗаТЕС - постачання не здійснювалось
|
Ціна мазуту по ПАТ ДТЕК
«Дніпроенерго», у порівнянні з 2010 роком, зросла на 38,5%.
Постачальником природного газу на
ТЕС ПАТ ДТЕК «Дніпроенерго» у січні - вересні 2012 року був ДК «Газ України»
НАК «Нафтогаз України» (місцезнаходження: 04116, Україна, м. Київ, вул.
Шолуденка, 1), у жовтні - грудні 2012 року - НАК «Нафтогаз України»
(місцезнаходження: 01001, Україна, вул. Б. Хмельницького, 6).
Джерела видобутку газу - країни СНД.
Середньозважена ціна закупівлі газу
(з цільовою надбавкою та транспортуванням, без ПДВ) у 2012 році склала, грн./
тис. куб.м.:
у I кварталі - 2 555,9
у II кварталі - 2 860,9
у ІІІ кварталі - 3364,6
у IV кварталі - 3748,9.
Зростання ціни з початку року
складає 46,7%.
Імпортні матеріали (сировина) в
постачанні складають 0,07%.
Згідно прогнозів на 2012 рік
постачання палива будуть здійснювати ті ж самі постачальники, що і в 2012 році,
вважаємо що основний ринок палива достатній для покриття потреб компанії в
наступному році.
.12.2001 р. визначенням
Господарського суду Запорізької області порушено справу про банкрутство ВАТ
«Дніпроенерго» № 5/5/466 (01), відповідно до вимог Закону України «Про
відновлення платоспроможності боржника або визнання його банкрутом».
Згідно з висновком від 24.04.2002 р.
Агентства з питань банкрутства Міністерства економіки України, виданим за
результатами проведення експертизи фінансового стану боржника, було встановлено
таке:
Економічні ознаки доведення до
банкрутства та ознаки фіктивного банкрутства ВАТ «Дніпроенерго» відсутні;
підприємство нездатне самостійно відновити свою платоспроможність;Реєстр вимог
кредиторів був затверджений 01.09.2003 р. Відповідно до реєстру загальна сума
кредиторської заборгованості у справі про банкрутство склала 1 390 381 642,25
грн. (понад 278 млн доларів).
Процедура санації підприємства була
відкрита визначенням господарського суду Запорізької області від 28.11.2003 р.
За час санації робилися неодноразові спроби відновити платоспроможність підприємства,
однак всі вони не призвели до результату.
.05.2005 р. господарським судом
Запорізької області затверджено план санації (процедура відновлення
платоспроможності підприємства) ВАТ «Дніпроенерго».
Строк санації відповідно до
поточного плану встановлювався до 28.11.2006 р. У зв'язку з набранням чинності
Закону України «Про заходи, спрямовані на забезпечення стабільного
функціонування підприємств паливно-енергетичного комплексу» строк санації був
продовжений до 01.01.2008 р. Станом на травень 2007 року розмір непогашеної
кредиторської заборгованості ВАТ «Дніпроенерго» у справі про банкрутство
складає 951 928 590,19 грн. (понад 190 млн доларів). При цьому найбільшу
частину цієї заборгованості утворюють борги перед державою, бюджетними
організаціями (Держкомрезерв, Мінфін, Нафтогаз, а також борги з податків і
зборів).
З урахуванням ситуації, що склалася,
комітетом кредиторів та керуючим санацією була розглянута можливість залучення
інвесторів для фінансового оздоровлення ВАТ «Дніпроенерго».
Відкриту пропозицію про залучення
інвесторів до участі в санації ВАТ «Дніпроенерго» було оприлюднено в грудні
2006 року в газетах «Урядовий кур'єр» (№ 247, 29.12.2006 р.) та «Голос України»
(№ 249 (3999), 29.12 .2006 р.).
На засіданні комітету кредиторів
26.01.2007 р., у результаті аналізу отриманих заяв як інвестори були
затверджені українські вугледобувні підприємства - ВАТ «Шахта «Комсомолець
Донбасу» і ВАТ «Павлоградвугілля», якими були розроблені зміни та доповнення до
плану санації.
Змінами та доповненнями до плану санації
передбачено погашення кредиторської заборгованості ВАТ «Дніпроенерго» і
відновлення його платоспроможності за рахунок коштів, отриманих від інвесторів
ВАТ «Шахта «Комсомолець Донбасу» і ВАТ «Павлоградвугілля» в результаті
приєднання до ВАТ «Дніпроенерго» створеного цими інвесторами ТОВ «Інвестиційне
товариство».
Інвестори зобов'язалися передати ВАТ
«Дніпроенерго» через процедуру приєднання ТОВ «Інвестиційне товариство» грошові
кошти в розмірі не менше 1 051 928 590,19 грн. (понад 210 млн доларів), за
рахунок яких буде здійснено розрахунок із конкурсними кредиторами у справі про
банкрутство, погашено реструктуризовану поточну заборгованість підприємства з
податків і зборів.
Додатково до вищевказаного Інвестори
взяли на себе обов'язки щодо внесення інвестицій у загальному обсязі не менше 1
000 000 000,00 грн. (приблизно 200 млн доларів) у модернізацію, реконструкцію,
ремонт основних фондів і фінансування соціальних програм ВАТ «Дніпроенерго».
Таким чином, в результаті реалізації
плану санації, Інвестором внесено понад 2 000 000 гривень, що дозволить
забезпечити фінансове оздоровлення підприємства і припинення процедури
банкрутства.
.06.2007 р. Господарський суд
Запорізької області затвердив зміни до плану санації ВАТ
"Дніпроенерго", запропоновані інвесторами - ВАТ
"Павлоградвугілля" і ВАТ "Шахта "Комсомолець Донбасу".
Зміни до плану санації передбачали, зокрема, проведення додаткової емісії акцій
ВАТ "Дніпроенерго" з метою обміну на частку в статутному фонді
створюваного нового господарського товариства, співзасновниками якого
виступлять підприємства-інвестори, а також приєднання цього господарського
товариства до ВАТ "Дніпроенерго" і низку інших організаційно-правових
та економічних заходів, спрямованих на фінансове оздоровлення ВАТ.
.08.2007 р. Загальні збори
акціонерів ВАТ «Дніпроенерго» прийняли рішення, необхідні для подальшої
реалізації плану санації товариства. З метою відновлення платоспроможності
енергогенеруючої компанії прийнято рішення про приєднання ТОВ «Інвестиційне
товариство», засновниками якого є ВАТ «Павлоградвугілля» і ВАТ «Шахта
«Комсомолець Донбасу», до ВАТ «Дніпроенерго». Збори прийняли рішення, що
захищає інтереси акціонерів, які не брали участь в голосуванні або голосували
проти приєднання.
У разі подання заяви від акціонера
про викуп його акцій, товариство зобов'язане викупити у нього ці акції. Зборами
встановлена ціна викупу, відповідно до офіційних даних Фондової біржі ПФТС вона
складатиме 1592 грн. 38 коп. (за даними на 27.08.07). Рішенням зборів
акціонерів були обрані нові склади Наглядової ради та Ревізійної комісії,
більшість у яких отримали представники НАК «Енергетична компанія України».
вересня 2007 р. Антимонопольний
Комітет України (АМКУ) дозволив приєднання ТОВ «Інвестиційне товариство» до ВАТ
«Дніпроенерго».
вересня 2007 р. був підписаний
інвестиційний договір між ВАТ «Дніпроенерго» та інвесторами ВАТ
«Павлоградвугілля» і ВАТ «Шахта «Комсомолець Донбасу».
вересня 2007р. Національна комісія
регулювання електроенергетики (НКРЕ) дозволила приєднання ТОВ «Інвестиційне
товариство» до ВАТ «Дніпроенерго».
жовтня 2007р. Господарський суд
Запорізької області затвердив мирову угоду між ВАТ «Дніпроенерго» та його
кредиторами (Мінфін, Держкомрезерв, «Нафтогаз України» та ін.)
листопада 2007 р. Господарський суд
Запорізької області визнав законність загальних зборів акціонерів ВАТ
«Дніпроенерго» від 27 серпня 2007р.
листопада 2007р. погашена
кредиторська заборгованість у межах мирової угоди, загальна сума повернутих
коштів склала 927,8 млн грн. Підприємство вийшло з банкрутства.
Отже, з проведеного аналізу
діяльності досліджуваного підприємства визначено, що з 2001 року проти ПАТ ДТЕК
«Дніпроенерго» було впроваджено справу про банкрутство. Процедура санації
підприємства була відкрита з 2003 року. Станом на 2007 рік підприємство вийшло
з банкрутства. Основні види діяльності є виробництво електроенергії, постачання
пари та гарячої води, розподілення та постачання електроенергії, ремонт і
технічне обслуговування двигунів та турбін, ремонт і технічне обслуговування
насосів, компресорів та гідравлічних систем, ремонт і технічне обслуговування
контрольно-вимірювальних приладів.
2.2 Аналіз
економічного стану ПАТ ДТЕК «Дніпроенерго»
Для аналізу економічного стану
діяльності субєкта господарювання скористаємось даними економічного відділу та
звітністю бухгалтерського відділу (форма Ф1 та Ф2 наведені у дадатках).
Основним показником діяльності
підприємства є визначення його прибутковості. Дані для аналізу прибутковості
наведені в «Звіті про фінансові результати підприємства (таблиця 2.3).
Таблиця 2.3 - Аналіз звіту про
фінансові результати ПАТ ДТЕК «Дніпроенерго», тис.грн.
|
Стаття
|
2012 рік
|
2011 рік
|
Відхилення
|
|
|
|
Тис.грн.
|
%
|
|
1
|
2
|
3
|
4
|
5
|
|
1.Фінансові результати
|
|
|
|
|
|
Дохід (виручка) від реалізації продукції
(товарів, робіт, послуг)
|
10346771
|
7473444
|
2873327
|
138
|
|
ПДВ
|
1724462
|
1245574
|
478888
|
138
|
|
Чистий дохід (виручка) від реалізації
продукції (товарів, робіт,послуг)
|
8622309
|
6227870
|
2394439
|
138
|
|
Собівартість реалізованої продукції (товарів,
робіт, послуг)
|
7805089
|
5806854
|
1998235
|
134
|
|
Валовий : прибуток
|
817220
|
421016
|
396204
|
194
|
|
збиток
|
|
|
|
|
|
Інші операційні доходи
|
485688
|
423173
|
62515
|
115
|
|
Адміністративні витрати
|
87883
|
85712
|
2171
|
103
|
|
Витрати на збут
|
8402
|
9067
|
-665
|
93
|
|
Інші операційні витрати
|
592654
|
317949
|
274705
|
186
|
|
Фінансові результати від операційної діяльності:прибуток
|
613969
|
431461
|
182508
|
142
|
|
збиток
|
|
|
0
|
|
|
Інші доходи
|
53878
|
5557
|
48321
|
970
|
|
Фінансові витрати
|
98280
|
112876
|
-14596
|
87
|
|
Втрати від участі в капіталі
|
41
|
153
|
-112
|
27
|
|
Інші витрати
|
35353
|
11668
|
23685
|
303
|
|
Фінансові результати від звичайної діяльності
до оподаткування:прибуток
|
534173
|
312321
|
221852
|
171
|
|
збиток
|
|
|
0
|
|
|
Податок на прибуток від звичайної діяльності
|
245366
|
118563
|
126803
|
207
|
|
Фінансові результати від звичайної
діяльності:прибуток
|
288807
|
193758
|
95049
|
149
|
|
збиток
|
|
|
|
|
|
Надзвичайні:доходи
|
80
|
33
|
47
|
242
|
|
витрати
|
2994
|
|
2994
|
|
|
Чистий:прибуток
|
285893
|
193791
|
92102
|
148
|
Аналіз звіту про фінансові
результати визначив, що чистий дохід збільшився на 2 394 439 тис.грн. або на
38% . Собівартість збільшилась на 1 998 235 тис.грн. або на 34%, що вплинула на
збільшення валового прибутку на 94%. У загальному підсумку чистий прибуток
збільшився на 48%. Фінансові результати від звичайної діяльності збільшились на
182 508 тис.грн. або на 42%, позитивним чинником є збільшення на 15% інш их
операційних доходів та зменшення витрат на збут на 7%. Фінансові результати від
звичайної діяльності до оподаткування збільшились на 71%, позитивний вплив:
збільшення інших доходів на 48 321 тис.грн., зменшення втрат від участі в
капіталі на 73%, фінансові витрати - зменшення на 13%, негативний вплив -
збільшення інших витрат на 23 685 тис.грн. У 2012 році збільшились надзвичайні
доходи на 47 тис.грн. та надзвичайні витрати на 2 994 тис.грн.
На рисунку 2.2 наведена динаміка
різних видів прибутку
Рисунок 2.2 - Динаміка прибутку ПАТ
ДТЕК «Дніпроенерго»
Рисунок 2.2 відображає позитивні
зміни у прибутковості ПАТ ДТЕК «Дніпроенерго» протягом двох років. За даними
звіту про фінансові результати за 2011-2012 рр. збитковості не спостерігається.
Основні техніко-економічні
показники роботи підприємства наведені в таблиці 2.4.
Таблиця 2.4 -
Техніко-економічні показники роботи підприємства ПАТ ДТЕК «Дніпроенерго» за
2011-2012роки, тис.грн.
|
№ п/п
|
Показники
|
Одиниці виміру
|
2011 рік
|
2012 рік
|
Зміна факту від попереднього періоду 5-4
|
Темп росту, % (5/4)х100
|
|
|
|
|
|
|
|
|
1
|
Чистий дохід від реалізації продукції
|
тис.грн.
|
6 227 870
|
8 622 309
|
2394439
|
138
|
|
2
|
Вартість запасів
|
тис.грн.
|
649264
|
774230
|
124966
|
119,25
|
|
3
|
Собівартість реалізованої продукції, тис.грн.
|
тис.грн.
|
5806854
|
7805089
|
1998235
|
134,41
|
|
4
|
Адміністративні витрати
|
тис.грн.
|
85712
|
87883
|
2171
|
102,53
|
|
5
|
Витрати на збут
|
тис.грн.
|
9067
|
8402
|
-665
|
92,67
|
|
6
|
Фінансові результати від операційної
діяльності
|
тис.грн.
|
431461
|
613969
|
182508
|
142,30
|
|
7
|
Чистий прибуток
|
тис.грн.
|
193791
|
285893
|
92102
|
147,53
|
|
8
|
Ретнабельність виробництва продукції
|
%
|
0,08
|
0,07
|
-0,01
|
94,46
|
|
9
|
Швидкість обертання запасів гр.1:гр.2
|
обор.
|
11,51
|
13,36
|
1,85
|
116,10
|
|
10
|
Чисельність працівників, всього
|
чол.
|
8671
|
8204
|
-467
|
94,61
|
|
11
|
Виробіток одного працівника, гр.1:гр.4
|
тис.грн.
|
861,89
|
1261,19
|
399,30
|
146,33
|
|
12
|
Вартість основних засобів
|
грн.
|
1809697
|
1698839
|
-110858
|
93,87
|
|
13
|
Фондовіддача гр.1:гр.12
|
тис.грн.
|
3,44
|
5,08
|
1,63
|
147,67
|
|
14
|
Комплексний показник ефективності
господарювання (гр.8+гр.9+ гр.11+гр.13):4
|
%
|
х
|
х
|
х
|
126,09
|
З таблиці 2.4 видно, що діяльність
ПАТ ДТЕК «Дніпроенерго» є прибутковою про що свідчить комплексний показник
ефективності господарювання, який складає 126,09. Протягом досліджуваного
періоду спостерігається зменшення чисельності персоналу на 467 осіб, або на 5%,
в наслідок цього збільшився виробіток на одного працівника на 399,30 тис.грн.,
або на 46,33%.. також позитивними змінаму являються: збільшення швидкості
обертання запсів на 1,85 обертів, або на 16% та фондовіддачі - на47,67%. Зміншення
вартості основних засобів на 7% в наслідок зносу. Зменшення рентабельності на
0,01% являється негативним чинником для діяльності досліджуваного підприємства.
Наступним кроком проаналізуємо
баланс ПАТ ДТЕК «Дніпроенерго». Дані для аналізу наведені в додатку Б.
Вертикальний та горизонтальний аналіз балансу наведений в таблиці 2.5.
З проведенного структурного аналізу
балансу видно, що найбільш питому вагу у складі статей активу займають основні
засоби 43% та 37% (2011 рік та 2012 рік відповідно) та обротні активи 35% та
36% (2011 рік та 2012 рік відповідно). Суттєвий вплив на збільшення валюти
балансу у 2012 році вплиноло збільшення незавершенного будівництва на 536 757
тис.грн. або на 43%, у структурі статей активу складає 20%. Щодо статей
пассиву, то найбільш питому вагу складають інші поточні зобовязання 94% та 90%
(2011 рік та 2012 рік відповідно), кредиторська заборгваність складає 27% та
21% (2011 рік та 2012 рік відповідно), суттєвим впливом на структуру статей
пассиву вплинув непокритий збиток, який складає 44% та 38% (2011 рік та 2012
рік відповідно). Короткострокові кредити банків складають 14% та 12% (2011 рік
та 2012 рік відповідно). Інші статті активу мають питому вагу від 2% до 6% та
суттєвого впливу на структуру пассиву не мають.
Отже, хоча з попреднього аналізу і
визначено прибутковість підприємства, але з аналізу балансу воно має непокриті
збітки у великих розмірах.
Таблиця 2.5 - Вертикальний і
горизонтальний аналіз баланса ПАТ ДТЕК «Дніпроенерго»
|
Показатель
|
2011 рік
|
2012 рік
|
Структурний аналіз 2011 рік
|
Структурний аналіз 2012 рік
|
Зміни (5-4)
|
Відхилення
|
|
|
|
|
|
|
абсолютні (3-2)
|
відносні (7/2х100)
|
|
1
|
2
|
3
|
4
|
5
|
6
|
7
|
8
|
|
АКТИВ
|
|
|
|
|
|
|
|
|
Грошові кошти 230+240
|
62927
|
28066
|
0,02
|
0,01
|
-0,01
|
-34861
|
-55,40
|
|
Поточні фінансові інвестиції 220
|
0
|
0
|
0,00
|
0,00
|
0
|
|
|
Оборотні активи ВСЬОГО 260-220-230-240
|
1461147
|
1647891
|
0,35
|
0,36
|
0,01
|
186744
|
12,78
|
|
- Дебіторська заборгованість
160+170+180+190+200+210
|
811882
|
873661
|
0,19
|
0,19
|
0,00
|
61779
|
7,61
|
|
- Запаси товарно-матеріальних цінностей
100+110+120+130+140+150
|
649264
|
774230
|
0,16
|
0,17
|
0,01
|
124966
|
19,25
|
|
- Інші оборотні активи 250
|
1
|
0
|
0,00
|
0,00
|
0,00
|
-1
|
-100,00
|
|
Витрати майбутніх періодів 270
|
2834
|
7604
|
0,00
|
0,00
|
0,00
|
4770
|
168,31
|
|
Незавершене будівництво 020
|
375098
|
911855
|
0,09
|
0,20
|
0,11
|
536757
|
143,10
|
|
Основні засоби 030
|
1809697
|
1698839
|
0,43
|
0,37
|
-0,06
|
-110858
|
-6,13
|
|
Нематеріальні активи, довгострокові фінансові
інвестиції та інші необоротні активи 010+040+045+050+060+070
|
459065
|
281533
|
0,11
|
0,06
|
-0,05
|
-177532
|
-38,67
|
|
БАЛАНС
|
4170768
|
4575788
|
1,00
|
1,00
|
0,00
|
405020
|
9,71
|
|
Дохід (виручка) від реалізації продукції
(товарів, робіт, послуг)
|
7473444
|
10346771
|
ххххх
|
ххххх
|
ххххх
|
2873327
|
38,45
|
|
ПАСИВ
|
|
|
|
|
|
|
|
|
Кредиторська заборгованість
530+540+550+560+570+580+590+600+610
|
1146590
|
945698
|
0,27
|
0,21
|
-0,07
|
-200892
|
-17,52
|
|
Короткострокові кредити банків 500
|
584949
|
560545
|
0,14
|
0,12
|
-0,02
|
-24404
|
-4,17
|
|
Інші короткострокові зобов"язання (Доходи
майбутніх періодів) 630
|
2279
|
2094
|
0,00
|
0,00
|
0,00
|
-185
|
-8,12
|
|
Довгострокові кредити банків 440
|
77876
|
243250
|
0,02
|
0,05
|
0,03
|
165374
|
212,36
|
|
Інші довгострокові зобов"язання
450+460+470+510+520
|
126609
|
251715
|
0,03
|
0,06
|
0,02
|
125106
|
98,81
|
|
Статутний капітал 300
|
149186
|
149186
|
0,04
|
0,03
|
0,00
|
0
|
0,00
|
|
Резервний капітал 340
|
8831
|
18290
|
0,00
|
0,00
|
0,00
|
9459
|
107,11
|
|
Нерозподілений прибуток (непокритий збиток)
350
|
-1831799
|
-1727507
|
-0,44
|
-0,38
|
0,06
|
104292
|
-5,69
|
|
Інші постійні зобов"язання
310+320+330+430-370
|
3906247
|
4132517
|
0,94
|
0,90
|
-0,03
|
226270
|
5,79
|
|
БАЛАНС
|
4170768
|
4575788
|
1,00
|
1,00
|
0,00
|
405020
|
9,71
|
Горизонтальний аналіз банасу
визначив, що в активній частині балансу відбувається зменшення грошових коштів
на 55,4%, основних засобів на 6,13%, нематеріальні активи, довгострокові
фінансові інвестиції та інші необоротні активи зменшились на 38,67%.
Збільшення: оборонних активів на 12,78%, витрати майбутніх періодів на 168%, незавершене
будівництво на 143%. Горизонтальний аналіз пассиву визначив збільшення
наступних статей пассиву: інші довгострокові зобовязання на 98,81%, резервний
капітал 107%, довгострокові кредити банків на 212,36%, інші постійні
зобовязання на 5,79%., зменшення: кредиторської заборгованості на 17,52%,
короткострокових кредитів банків на 4,17%, зменшення непокритого збитку на
5,69%. Всі ці зміни вплинули на валюту балансу, яка збільшилась на 9,71% та
складає 4 575 788 тис.грн. (рисунок 2.3).
Рисунок 2.3 - Валюта балансу за 2011
- 2012 роки
Стан підприємства, його стійкість
значно залежать від оптимальності структури джерел капіталу (співвідношення
власних і позикових коштів) і від оптимальності структури активів підприємства
і в першу чергу від співвідношення основних і оборотних коштів, а також від
зрівноваженості активів і пасивів підприємства за функціональною ознакою.
Тому спочатку аналізується структура
джерел підприємства і оцінюється ступінь фінансової стійкості і фінансового
ризику. З цією метою розраховуються наступні показники:
- коефіцієнт
фінансової автономії (або незалежності) - питома вага власного капіталу в його
загальній сумі;
- коефіцієнт
фінансової залежності - доля позикового капіталу в загальній валюті балансу;
коефіцієнт
поточної заборгованості - відношення короткострокових фінансових зобов’язань до
загальної валюти балансу;
коефіцієнт
довгострокової фінансової незалежності (або коефіцієнт фінансової стійкості) -
відношення власного і довгострокового позикового капіталу до загальної валюти
балансу;
коефіцієнт
покриття боргів власним капіталом (коефіцієнт платоспроможності) - відношення
власного капіталу до позикового;
коефіцієнт
фінансового ліверіджу або коефіцієнт фінансового ризику - відношення позикового
капіталу до власного.
Для визначення типу
фінансової стійкості за даними балансу складають агрегований баланс (таблиця
2.6)
Таблиця 2.6 -
Агрегований баланс
|
Актив
|
2011
|
2012
|
Пасив
|
2011
|
2012
|
|
Необоротні активи (НА) 080
|
2643860
|
2892227
|
Власний капітал (ВК) 380+430+630
|
2234744
|
2574580
|
|
Запаси (З) 100 +...+ 140
|
649264
|
774230
|
Довгострокові зобов"язання (КД) 480
|
77876
|
314882
|
|
Кошти, розрахунки та інші активи (К)
|
877644
|
909331
|
Короткострокові зобов"язання (КК) 620
|
1858148
|
1686326
|
|
|
|
в т.ч.: короткострокові кредити та позики
500+530
|
1034954
|
999066
|
|
БАЛАНС
|
4170768
|
4575788
|
БАЛАНС
|
4170768
|
4575788
|
На основі
агрегованого балансу робимо аналіз фінансової стійкості підприємства (таблиця
2.7).
Таблиця 2.7 -
Аналіз фінансової стійкості
|
Показник
|
2011
|
2012
|
Відхилення
|
|
|
|
тис.грн.
|
%
|
|
Власний капітал
|
2234744,00
|
2574580,00
|
339836,00
|
115,21
|
|
Необоротні активи
|
2643860,00
|
2892227,00
|
248367,00
|
109,39
|
|
Власні обігові кошти (р.1-р.2)
|
-409116,00
|
-317647,00
|
91469,00
|
77,642
|
|
Довгострокові зобов"язання
|
77876,00
|
314882,00
|
237006,00
|
404,34
|
|
Наявність власних і довгострокових джерел
покриття запасів (р.3+р.4)
|
-331240,00
|
-2765,00
|
328475,00
|
0,8347
|
|
Короткострокові кредити та позики
|
1034954,00
|
999066,00
|
-35888,00
|
96,532
|
|
Загальний розмір основних джерел покриття
запасів (р.5+р.6)
|
703714,00
|
996301,00
|
292587,00
|
141,58
|
|
Запаси
|
649264,00
|
774230,00
|
124966,00
|
119,25
|
|
Надлишок (+) або нестача (-) власних обігових
коштів (р.3-р.8)
|
-1058380,00
|
-1091877,00
|
-33497,00
|
103,16
|
|
Надлишок (+) або нестача (-) власних коштів і
довгострокових кредитів і позик (р.5-р.8)
|
-980504,00
|
-776995,00
|
203509,00
|
79,244
|
|
Надлишок (+) або нестача (-) основних джерел
покриття запасів (р.7-р.8)
|
54450,00
|
222071,00
|
167621,00
|
407,84
|
|
Тип фінансової стійкості
|
3
|
3
|
0,00
|
100
|
|
Надлишок (+) або нестача (-) коштів на 1 грн
запасів (р.11: р.8)
|
0,08
|
0,29
|
0,20
|
342,02
|
В таблиці 2.8
проведемо розрахунки визначення типу фінансової стійкості. Отже, з проведених
розрахунків визначено, що ПАТ ДТЕК «Дніпроенерго» має 3 тип фінансової
стійкості - нестійкий фінансовий стан - для забезпечення запасів крім власних
обігових коштів та довгострокових кредитів і позик залучаються короткострокові
кредитита позики; платоспроможність порушена, є можливість її відновити.
Таблиця 2.8 -
Визначення типу фінансової стійкості
|
Формула
|
Період
|
Розрахунки , тис.грн.
|
|
1.Абсолютна стійкість - для забезпечення
запасів достатньо обігових коштів;платоспроможність підприємства гарантована
|
|
З < ВОК
|
|
З
|
ВОК
|
|
2011
|
649264,00
|
-409116,00
|
|
2012
|
774230,00
|
-317647,00
|
|
2.Нормальна стійкість - для забезпечення
запасів крім власних обігових коштів залучаються довгострокові кредити та
позики; платоспроможність гарантована
|
|
З < ВОК + КД
|
|
З
|
ВОК+КД
|
|
2011
|
649264,00
|
-331240,00
|
|
2012
|
774230,00
|
-2765,00
|
|
|
|
|
|
3.Нестійкий фінансовий стан - для забезпечення
запасів крім власних обігових коштів та довгострокових кредитів і позик
залучаються короткострокові кредитита позики; платоспроможність порушена, є
можливість її відновити
|
|
З < ВОК + КД + КК
|
|
З
|
ВОК+КД+КК
|
|
2011
|
649264,00
|
1526908,00
|
|
2012
|
774230,00
|
1683561,00
|
|
|
|
|
|
4.Кризовий фінансовий стан - для забезпечення
запасів не вистачає "нормальних" джерел їх формування; підприємству
загрожує банкрутство
|
|
З > ВОК + КД + КК
|
|
З
|
ВОК+КД+КК
|
|
2011
|
649264,00
|
1526908,00
|
|
2012
|
774230,00
|
1683561,00
|
Наступним кроком
проаналізуємо показники фінансової стійкості у розрізі оцінювання ринкової
стійкості підприємства. В таблиці 2.9 проаналізовані коефіцієнти фінансової
стійкості підприємства.
Коефіцієнти
фінансової стійкості відобразають загрозу для підприємства, в межах норми
тільки 6 коефіцієнтів, а саме коефіцієнт фінансової стабільності (коефіцієнт
фінансування - норматив більше 1) динаміка якого має позитивні зміни, показник
фінансового ліверіджу (норматив не більше 0,25), коефіцієнт концентрації
позикового капіталу (норматив не більше 0,5) у 2012 році підприємство вийшло на
нормативний показник, коефіцієнт фінансової незалежності (автономії) норматив
більше 0,5) - також має позитивну динаміку, коефіцієнт фінансової залежності
(зменшення, норматив 2) та коефіцієнт покриття запасів (норматив збільшення),
але у 2012 році спостерігається зменшення цього показника.
Таблиця 2.9 -
Показники фінансової стійкості ПАТ ДТЕК «Дніпроенерго»
|
№ п/п
|
Показник
|
2011
|
2012
|
Відхилення (+/-)
|
|
1
|
2
|
3
|
4
|
5
|
|
1
|
Коефіцієнт забезпечення оборотних активів
власними коштами
|
-0,27
|
-0,19
|
0,08
|
|
2
|
Маневреність робочого капіталу
|
-1,95
|
-159,34
|
-157,39
|
|
3
|
-0,13
|
-0,07
|
0,06
|
|
4
|
Коефіцієнт забезпечення власними обіговими
коштами запасів
|
-0,63
|
-0,41
|
0,22
|
|
5
|
Коефіцієнт покриття запасів
|
1,51
|
1,29
|
-0,22
|
|
6
|
Коефіцієнт фінансової незалежності (автономії)
|
0,54
|
0,56
|
0,03
|
|
7
|
Коефіцієнт фінансової залежності
|
1,87
|
1,78
|
-0,09
|
|
8
|
Коефіцієнт маневреності власного капіталу
|
-0,18
|
-0,12
|
0,06
|
|
9
|
Коефіцієнт концентрації позикового капіталу
|
0,59
|
0,49
|
-0,09
|
|
10
|
Коефіцієнт фінансової стабільності (коефіцієнт
фінансування)
|
1,15
|
1,29
|
0,13
|
|
11
|
Показник фінансового ліверіджу
|
0,03
|
0,12
|
0,09
|
|
12
|
Коефіцієнт фінансової стійкості
|
0,55
|
0,63
|
0,08
|
Інші показники
свідчать про нестійкий стан, але у 2012 році відємні показники зменшуються, що
свідчить про діяльність підприємства у задовільному напрямку. Показники ділової
активності також мають вплив на визначення економічного стану діяльності
підприємства. Аналіз показників ділової активності наведені в додатку В. З
проведеного аналізу визначено, що показники ділової активності рухаються в
позитивному напрямку.
2.3 Оцінка
ймовірності банкрутства підприємства ПАТ ДТЕК «Дніпроенерго»
Оцінка рівня кризового стану і
банкрутства на підприємстві на основі розрахунку таких показників, як ліквідність
та фінансова стійкість, може мати ряд недоліків, а саме:
– отримані значення деяких
показників можуть приводити до спірних висновків про стан господарства;
– відсутність диференціації
значень показників у залежності від належності підприємства до різних галузей,
організаційно-правових форм господарювання;
– відсутність єдиного
показника, на основі якого можна було б говорити про рівень кризового стану на
підприємстві та ймовірність настання банкрутства.
За української методикою проведемо
оцінку ймовірності банкрутства ПАТ ДТЕК «Дніпроенерго». Проаналізуємо
ліквідність балансу. Для цього згрупуємо статті балансу для визначення
ліквідності ( таблиця 2.10).
Таблиця 2.10 - Аналіз ліквідності
балансу ПАТ ДТЕК «Дніпроенерго», тис.грн.
|
АКТИВ
|
2011
|
2012
|
ПАСИВ
|
2011
|
2012
|
|
1
|
2
|
3
|
4
|
5
|
6
|
|
Найліквідніші активи
|
62927
|
28066
|
Найтерміновіші зобов’язання
|
1146590
|
945698
|
|
Швидкореалізовувані активи
|
814716
|
881265
|
Короткострокові пасиви
|
711558
|
740628
|
|
Повільнореалізовувані активи
|
649265
|
774230
|
Довгострокові зобов’язання
|
80155
|
316976
|
|
Важкореалізовувані активи
|
2643860
|
2892227
|
Постійні зобов’язання
|
2232465
|
2572486
|
|
БАЛАНС
|
4170768
|
4575788
|
БАЛАНС
|
4170768
|
4575788
|
. Найліквідніші активи мають
дорівнювати кредиторській заборгованості або перевищувати її.
. Швидкореалізовані активи мають
дорівнювати або перевищувати короткострокові пасиви.
. Повільно реалізовані активи мають
дорівнювати довгостроковим зобов’язанням або перевищувати їх.
. Важкореалізовані активи мають
дорівнювати джерелам власних коштів або перевищувати їх.
Для визначення ліквідності
користуються показниками поточної, швидкої, абсолютної ліквідності (таблиця
2.11).
Таблиця 2.11- Коефіцієнти
ліквідності ПАТ ДТЕК «Дніпроенерго»
|
Показник
|
2011
|
2012
|
Відхилення
|
|
1
|
2
|
3
|
4
|
|
Коефіцієнт ліквідності поточної (покриття)
|
0,82
|
0,99
|
0,17
|
|
Коефіцієнт ліквідності швидкої
|
0,47
|
0,53
|
0,06
|
|
Коефіцієнт ліквідності абсолютної
|
0,03
|
0,02
|
-0,02
|
|
Співвідношення короткострокової дебіторської
та кредиторської заборгованості
|
1,12
|
1,99
|
0,87
|
Аналіз показників ліквідності
визначив, що спостерігається тенденція до збільшення показників ліквідності.
Коефіцієнт ліквідності поточної -
характеризує достатність обігових коштів для погашення боргів протягом року.
Збільшення; критичне значення Кл.п.=1; при <1 підприємство має неліквідний
баланс. Якщо Кл.п.=1 - 0,5 підприємство своєчасно ліквідує борги.
Скільки одиниць найбільш ліквідних
активів припадає на одиницю термінових боргів. Збільшення; має бути >=1; у
міжнародній практиці Кл.ш. = 07, - 0,8.
Характеризує готовність підприємства
негайно ліквідувати короткострокову заборгованість. Збільшення; має бути 0,2
-0,35.
Здатність розрахуватися з
кредиторами за рахунок дебіторів протягом року. Рекомендоване значення 1,0.
За даними балансу ліквідності можна
розрахувати узагальнюючий показник (коефіцієнт) ліквідності (Кл):
Кл = а1хА1 + а2хА2 + а3хА3 / а1хП1 +
а2хП2 + а3хП3 (2.1)
де а1, а2, а3 - вагові коефіцієнти,
вони відображають значущість тієї чи іншої групи та дорівнюють відповідно 1;
0,5; 0,3
А1, А2, А3, П1, П2, П3 - підсумки за
першою, другою та третьою групами відповідно активів па пасивів.
Загальний показник ліквідності
складає для 2011 року
Кл = 1х62927 + 0,5х814716 +
0,3х649265 / 1х1146590 + 0,5х711558 + 0,3х80155 = 0,44
Загальний показник ліквідності
складає для 2012 року
Кл = 1х28066 + 0,5х881265 + 0,3х774230
/ 1х945698 + 0,5х740628 + 0,3х316976 = 0,50
У зарубіжних країнах для оцінювання
ризику банкрутства підприємств широко використовують факторні моделі відомих
західних економістів Альтмана, Ліса, Тоффлера, Тишоу й ін., розроблені за
допомогою багатомірного дискримінантного аналізу.
Слід зазначити, що використовувати
такі моделі треба обережно. Тестування вітчизняних підприємств за даними
моделями показало, що вони не повною мірою підходять для оцінювання ризику
банкрутства наших суб’єктів господарювання через різну методику відображення
інфляційних факторів і різну структуру капіталу, а також через розбіжності в
законодавчій і інформаційній базі.
З використанням форми 1 та 2
проведемо аналіз ранньої діагностики по наступним моделям:
1. двох- факторна модель
Альтмана;
2. п’яти- факторна модель
Альтмана;
. Таффлера;
. Лису;
. Конана и Гольдера;
. Спрингейта;
. модель Міністерства
Фінансів України;
. модель Бівера
. Двофакторна модель імовірності
банкрутства (індекс Z) визначається за допомогою коефіцієнту покриття (Кп) і
коефіцієнту автономії (Кавт):= - 0,3877 - 1,0736 Кп + 0,0579 Кавт (2.2)
Для підприємств, у яких Z = 0,
імовірність банкрутства становить 50 %. Від'ємні значення Z свідчать про
зменшення імовірності банкрутства. Якщо Z>0, то імовірність банкрутства
перевищує 50% і підвищується зі збільшенням значення Z.
Ця модель не потребує значного
обсягу вихідної інформації, але її недоліком є недостатня точність
прогнозування імовірності банкрутства (похибка Z = ± 0,65).
Коефіцієнт покриття (Кп) = А260/П620
(2.3)
Коефіцієнт автономії (Кавт) =
П(380+430+630) / П640 (2.4)
Від'ємні значення Z свідчать про
зменшення імовірності банкрутства.
. Для того, щоб прогноз був
точнішим, у західній практиці застосовують п’ятифакторну модель Z-рахунку:
= 1,2 хK1 + 1,4 х К2+ 3,3 х К3 + 0,6
хК4 + 0,999 х К5, (2.5)
де, К1, К2, К3, К4, К5 -
коефіцієнти:
Оборотні засоби (робочий
капітал) Ф1 (P 260 - Р 620)
К1 = ---------------- = --------;
(2.6)
Всього активів Ф1Р
280
Чистий прибуток Ф 2 Р
220 Ф 2 Р 220
К2 = --------------- = ------- (2.7)
Всього активів Ф1Р
280
Прибуток Ф2Р170
К3 =----------- = -------- (2.8)
Всього активів
Ф1Р 280
Власний капітал Ф1Р38О
К4 =----------- = ------- (2.9)
Залучений
капітал ФІ Р 620
Чистий доход від
реалізації Ф 2 Р 035
К4 =-------------- = ------ (2.10)
Всього активів Ф
1 Р 280
Значення Z<2,70 означає
можливість банкрутства підприємства в майбутньому, a Z>2,71 - достатню
стійкість фінансового стану економічного суб'єкта.
Залежно від фактичного значення
Z-рахунку ступінь можливості банкрутства підприємства можна поділити за декількома
групами (таблиця 2.12).
Таблиця 2.12 - Рівень імовірності
банкрутства
|
Значення Z-рахунку
|
Імовірність банкрутства
|
|
1,80 і менше
|
дуже висока
|
|
Віл 1,81 до2,70
|
висока
|
|
Віл 2.71 до 2,90
|
існує можливість
|
|
2,91 і вище
|
дуже низька
|
Якщо отримане в результаті зроблених
розрахунків значення Z-рахунку складає менше 1,80, то це свідчить про
нераціональне розміщення капіталу підприємства.
Точність прогнозу в цій моделі
протягом одного року становить - 83%. Це досить висока точність, але недолік
моделі полягає у тому, що її доцільно використовувати лише щодо великих
компаній-емітентів, акції яких котируються на фондових біржах.
Використовуючи моделі Альтмана,
можна зробити наступні висновки.
·
показники, які є складовими
Z-рахунку адекватно характеризую фінансову стійкість підприємства: при
негативному співвідношенні індикатором імовірності банкрутства;
·
порівнюючи отримані результати із
середньогалузевими показник можна дійти висновку про ступінь фінансової
стійкості підприємства.
3. Таффлера (ZT)т = 0.03 x1 + 0,13
х2 + 0,18 х3 + 0,16 х4. (2.11)
Х1 = Прибуток від реалізації/
Короткострокові зобов'язання
Х2 = Оборотні активи / Зобов'язання
Х3 = Короткострокові зобов'язання /
Активи
Х4 = Виручка від реалізації/ Активи
Якщо Zт > 0,3, то підприємство
має гарну довгострокову перспективу діяльності; при Zт < 0,2 - існує
імовірність банкрутства.
. Показник діагностики
платоспроможності Конана і Гольдера розраховується за формулою:кг = 0,16 х1 -
0,22 х2 + 0,87 х3 + 0,10 х4 - 0,24 х5 (2.12)
Х1 = (дебіторська заборгованість +
кошти )/ постійний капітал
Х2 = (власний капітал +
довгострокові пасиви) / підсумок балансу;
Х3 = фінансові витрати (витрати по
обслуговуванню позик) / виторг від реалізації;
Х4 = витрати на персонал / додана
вартість (після оподатковування);
Х5 = прибуток до виплати відсотків і
податків / позиковий капітал.
Повинен бути не більше 0,2.
Вірогідність банкрутства підприємств
за моделлю Конана-Гольдера наведена в таблиці 2.13.
Таблиця 2.13 - Вірогідність
банкрутства підприємств за моделлю Конана-Гольдера
|
Значення Z
|
-0.164
|
-0.131
|
-0.107
|
-0.087
|
-0.068
|
-0.026
|
0.002
|
0.048
|
0.210
|
|
Вірогідність банкрутства, %
|
10
|
20
|
30
|
40
|
50
|
70
|
80
|
90
|
100
|
. Модель Спрінгейта (Л), орієнтована
на визначення рівня використання доходів підприємства, має наступний вигляд:
λ = 1,03х1
+ 3,07х2 + 0,33х3 + 0,4х4, (2.13)
де, х1- частка оборотних активів у
валюті балансу;
х2 - частка від ділення операційного
прибутку, суми податків, відсотків за користування залученим капіталом та
загальної вартості активів;
х3 - частка від ділення прибутку на
суму податків та короткострокової заборгованості;
х4 - швидкість обороту всього
капіталу підприємства (співвідношення обсягу продажу та загальної вартості
активів).
Коли λ
< 0,862, то фінансовий стан підприємства
нестабільний і воно є потенційним банкрутом. Коли λ
> 2,45, то загроза банкрутства мінімальна.
. Модель Міністерства Фінансів
України
Поточна платоспроможність
розраховується за формулою:
Пп. = А040+А045+А220+А230+А240 -
П620 (2.14)
Від’ємний результат свідчить про
поточну неплатоспроможність суб’єкта підприємницької діяльності
. Коефіцієнт Вівера (КБ)
розраховується як відношення різниці між чистим прибутком і нарахованою
амортизацією до суми довгострокових і поточних зобов'язань. Заданими фінансової
звітності розраховується наступним чином:
Кб=Ф2(Р220-Р 260) /Ф1 (Р480 + Р 620)
(2.15)
Ознакою формування незадовільної
структури балансу є такий фінансовий стан підприємства, у якого протягом
тривалого періоду (1,5-2 роки) коефіцієнт Бівера не перевищує 0,2, що
відображає небажане скорочення частини прибутку, направленого на розвиток
виробництва.
. Тести на імовірність банкрутства
Лісу(Zn):л = 0.063 х1 + 0,092 х2 + 0,057 х3 + 0,001 х4, (2.16)
Х1 = Оборотні активи / Активи
Х2 = Прибуток від реалізації /
Активи
Х3 = Нерозподілений прибуток /
Активи
Х4 = Власний капітал / Залучений
капітал
Граничне значення Zл = 0,037
Проведемо обробку економічної
інформації в комп’ютерному середовищі.
В таблиці 2.14 наведені розраховані
моделі по періодам, для більш наявного уявлення про стан досліджуваного підприємства
використаємо дані за три роки..
Таблиця 2.14 - Динаміка результатів
моделей діагностики банкрутства
|
Показник
|
Формула
|
2010
|
2011
|
2012
|
|
1
|
2
|
3
|
4
|
5
|
|
Двох- факторна модель Альтмана
|
|
Коефіцієнт покриття (Кп)
|
А260/П620
|
0,82
|
0,82
|
0,99
|
|
Коефіцієнт автономії (Кавт)
|
П(380+430+630) / П640
|
0,556
|
0,536
|
0,563
|
|
Двох- факторна модель Альтмана
|
- 0,3877 - 1,0736 Кп + 0,0579 Кавт
|
-1,236
|
-1,237
|
-1,418
|
|
П’яти- факторна модель Альтмана
|
|
К1
|
Ф1 (P 260 - Р 620)/Ф1Р 280
|
-0,073
|
-0,080
|
-0,002
|
|
К2
|
Ф 2 Р 220/Ф1Р 280
|
-0,070
|
0,046
|
0,062
|
|
К3
|
Ф2Р170/Ф1Р 280
|
-0,075
|
0,075
|
0,117
|
|
К4
|
Ф1Р38О/ФІ Р 620
|
1,327
|
1,162
|
1,473
|
|
К5
|
Ф 2 Р 035/Ф 1 Р 280
|
1,241
|
1,493
|
1,884
|
|
п’яти- факторна модель Альтмана
|
1,2 хK1 + 1,4 х К2+ 3,3 х К3 + 0,6 хК4 + 0,999
х К5
|
1,603
|
2,405
|
3,236
|
|
Таффлера
|
|
х1
|
050/620
|
-0,083
|
0,227
|
0,485
|
|
х2
|
260/(620+480)
|
0,766
|
0,787
|
0,837
|
|
х3
|
620/280
|
0,413
|
0,446
|
0,369
|
|
х4
|
010/280
|
1,489
|
1,792
|
2,261
|
|
Таффлера
|
0,03 x1 + 0,13 х2 + 0,18 х3 + 0,16 х4
|
0,410
|
0,476
|
0,552
|
|
Лісу
|
|
х1
|
260/280
|
0,340
|
0,365
|
0,366
|
|
х2
|
050/280
|
-0,034
|
0,101
|
0,179
|
|
х3
|
350/280
|
-0,594
|
-0,439
|
|
х4
|
380/620
|
1,327
|
1,162
|
1,473
|
|
Лису
|
0.063 х1 + 0,092 х2 + 0,057 х3 + 0,001 х4
|
-0,014
|
0,008
|
0,019
|
|
Конана и Гольдера
|
|
х1
|
(160+170+180+190+200+210+230)/280
|
0,197
|
0,210
|
0,197
|
|
х2
|
260/640
|
0,340
|
0,365
|
0,366
|
|
х3
|
Ф2140/010
|
0,020
|
0,015
|
0,009
|
|
х4
|
Ф2240/015
|
0,442
|
0,398
|
0,280
|
|
х5
|
050/(480+620)
|
-0,077
|
0,217
|
0,408
|
|
Конана и Гольдера
|
0,16 х1 - 0,22 х2 + 0,87 х3 + 0,10 х4 - 0,24
х5
|
0,037
|
-0,046
|
-0,111
|
|
Модель Міністерства Фінансів України
|
|
Модель Міністерства Фінансів України
|
А040+А045+А220+А230+А240 - П620
|
-1 318 452
|
-1 795 065
|
-1 658 145
|
|
Коефіцієнт Бівера
|
|
Коефіцієнт Бівера
|
Ф2(Р220-Р 260) /Ф1 (Р480 + Р 620)
|
-0,28528
|
-0,01033
|
-0,00917
|
Аналіз визначив, що ПАТ ДТЕК
«Дніпроенерго» за різними моделями має різні показники, так за моделями: двохфакторної
моделі Альтмана та Таффлера у підприємства відсутня ймовірність банкрутства,
щодо модели Таффлера то підприємство має гарну довгострокову перспективу. За
пятифакторною моделлю Альтмана згідно таблиці 2.12, у 2012 році дуже низька
ймовірність банкрутства, але стан підприємства поліпшился оскільки у 2011 році
ймовірність банкрутства була висока, а у 2010 дуже висока.
За моделями Лісу, Міністерства
фінансів України та коефіцієнтом Бівера підприємство ПАТ ДТЕК «Дніпроенерго» є
банкрутом.
За моделлю Конана и Гольдера
скориставшись таблицею 2.13 можна визначити, що у 2010 році вірогідність
банкрутства ПАТ ДТЕК «Дніпроенерго» складала 85%, у 2011 році цей показник
зменшився до 60%, а у 2012 році вірогідність банкрутства складає лише 30%.
Наступним кроком проаналізуємо
відхилення моделей (таблиця 2.15, 2.16). Згідно розрахованими даними в таблицях
2.15 та 2.16 та рисунком 2.4 двох факторна модель Альтмана має від’ємне
значення, що свідчить про зменшення імовірності банкрутства.
Таблиця 2.15 - Абсолютне відхилення
моделей банкрутства
|
Моделі банкрутства
|
Роки
|
Відхилення
|
|
2010
|
2011
|
2012
|
2011-2010
|
2012-2011
|
|
Двох- факторна модель Альтмана
|
-1,236
|
-1,237
|
-1,418
|
-0,001
|
-0,181
|
|
П’яти- факторна модель Альтмана
|
1,603
|
2,405
|
3,236
|
0,802
|
0,831
|
|
Таффлера
|
0,41
|
0,476
|
0,552
|
0,066
|
0,076
|
|
Лису
|
-0,014
|
0,008
|
0,019
|
0,022
|
0,011
|
|
Конана и Гольдера
|
0,037
|
-0,046
|
-0,111
|
-0,083
|
-0,065
|
|
Модель Міністерства Фінансів України
|
-1 318 452
|
-1 795 065
|
-1 658 145
|
-476613
|
136920
|
|
Коефіцієнт Бівера
|
-0,28528
|
-0,01033
|
-0,00917
|
0,27495
|
0,00116
|
П’яти факторна модель Альтмана
свідчить, що протягом 2010 ПАТ ДТЕК «Дніпроенерго» має можливість банкрутства
підприємства в майбутньому, такий стан можна охарактеризувати кризовим
становищем в Україні протягом 2010 року. 2011 та 2012 роки свідчать про вихід підприємства
з кризового стану.
Рисунок 2.4 Аналіз моделей
банкрутства
За моделлю Таффлера визначено, що
підприємство має гарну довгострокову перспективу діяльності, тобто показник був
більше 0,3. За моделлю Конана і Гольдера визначено, що з 2010 року вірогідність
банкрутства ПАТ ДТЕК «Дніпроенерго» складала 85%, у 2011 році цей показник
зменшився до 60%, а у 2012 році вірогідність банкрутства складає лише 30%.
Коефіцієнт Бівера хоча і відємний але від просувається у позитивному напрямку
тобто зменшує вірогідність банкрутства.
Таблиця 2.16 - Відносні відхилення
моделей банкрутства
|
Моделі банкрутства
|
Роки
|
Відхилення
|
|
2010
|
2011
|
2012
|
2011/2010
|
2012/2011
|
|
Двох- факторна модель Альтмана
|
-1,236
|
-1,237
|
-1,418
|
100,1
|
114,6
|
|
П’яти- факторна модель Альтмана
|
1,603
|
2,405
|
3,236
|
150,0
|
134,6
|
|
Таффлера
|
0,41
|
0,476
|
0,552
|
116,1
|
116,0
|
|
Лису
|
-0,014
|
0,008
|
0,019
|
-57,1
|
237,5
|
|
Конана и Гольдера
|
0,037
|
-0,046
|
-0,111
|
-124,3
|
241,3
|
|
Модель Міністерства Фінансів України
|
-1318452
|
-1795065
|
-1658145
|
136,1
|
92,4
|
|
Коефіцієнт Бівера
|
-0,28528
|
-0,01033
|
-0,00917
|
3,6
|
88,8
|
Проведення діагностики банкрутства
ПАТ ДТЕК «Дніпроенерго» включає в себе визначення мінімального та максимального
значення по досліджуваним показникам, середньоарифметичне значення, та ранжування
періодів. Для визначення мінімального та максимального значення показників
банкрутства скористаємось таблицею 2.17. За допомогою функцій «Пакету аналізу»
проведемо визначення необхідних показників.
Таблиця 2.17 - Мінімальне та
максимальне значення
|
Моделі банкрутства
|
Роки
|
Значення
|
|
2010
|
2011
|
2012
|
МАХ
|
МІN
|
|
Двох- факторна модель Альтмана
|
-1,236
|
-1,237
|
-1,418
|
-1,236
|
-1,418
|
|
П’яти- факторна модель Альтмана
|
1,603
|
2,405
|
3,236
|
3,236
|
1,603
|
|
Таффлера
|
0,41
|
0,476
|
0,552
|
0,552
|
0,41
|
|
Лису
|
-0,014
|
0,008
|
0,019
|
0,019
|
-0,014
|
|
Конана и Гольдера
|
0,037
|
-0,046
|
-0,111
|
0,037
|
-0,111
|
|
Коефіцієнт Бівера
|
-0,28528
|
-0,01033
|
-0,00917
|
-0,00917
|
-0,28528
|
За допомогою формули =МАКС(B3:G3) та
=МИН(B3:G3) визначаємо необхідні дані в двох останніх стовпчиках таблиці.
За допомогою формули середнього
значення =СРЗНАЧ(B14:G14), заповнюємо таблицю 2.18.
Таблиця 2.18 - Середнє значення
|
Моделі банкрутства
|
Роки
|
Середнє значення
|
|
2010
|
2011
|
2012
|
|
|
Двох- факторна модель Альтмана
|
-1,236
|
-1,237
|
-1,418
|
-1,297
|
|
П’яти- факторна модель Альтмана
|
1,603
|
2,405
|
3,236
|
2,415
|
|
Таффлера
|
0,41
|
0,476
|
0,552
|
0,479
|
|
Лису
|
-0,014
|
0,008
|
0,019
|
0,004
|
|
Конана и Гольдера
|
0,037
|
-0,046
|
-0,111
|
-0,040
|
|
Коефіцієнт Бівера
|
-0,28528
|
-0,01033
|
-0,00917
|
-0,10159
|
Наступним кроком проведемо
ранжування. Ранжування можна провести за показниками відносного відхилення
моделей банкрутства, які розраховані в таблиці 2.19 за допомогою таблиці 2.16.
Таблиця 2.19 - Ранжування
|
Моделі банкрутства
|
2011/2010
|
2012/2011
|
|
Відхилення
|
Ранжування
|
Відхилення
|
Ранжування
|
|
Двох- факторна модель Альтмана
|
100,1
|
4
|
114,6
|
3
|
|
П’яти- факторна модель Альтмана
|
150
|
7
|
134,6
|
5
|
|
Таффлера
|
116,1
|
5
|
116
|
4
|
|
Лису
|
-57,1
|
2
|
237,5
|
6
|
|
Конана и Гольдера
|
-124,3
|
1
|
241,3
|
7
|
|
Модель Міністерства Фінансів України
|
136,1
|
6
|
92,4
|
2
|
|
Коефіцієнт Бівера
|
3,6
|
3
|
88,8
|
1
|
РАНГ(число;ссылка;порядок)
=РАНГ(B25;$B$25:$B$31;0).
Число - число, для якого
визначається ранг.
Посилання - масив або посилання на
список чисел. Нечислові значення в посиланні ігноруються.
Порядок - число, що визначає спосіб
впорядкування.
Якщо значення аргументу «порядок»
рівне 0 або опущено, ранг числа визначається в Microsoft Excel так, як якби
посилання було списком, відсортованим в порядку убування.
Якщо значення аргументу «порядок» -
будь-яке число, окрім нуля, то ранг числа визначається в Microsoft Excel так,
як якби посилання було списком, відсортованим в порядку зростання.
В нашому випадку доцільно визначити
ранжування наступним кроком, який з показників моделей банкрутства змінився
найбільше, а який найменший.
Таким чином, в цьому пункті
дипломної роботи проаналізована імовірність банкрутства ПАТ ДТЕК «Дніпроенерго»
за 7 -ма моделями діагностики банкрутства.
Отже, в другому розділі дипломної
роботи визначено, з проведеного аналізу діяльності досліджуваного підприємства
визначено, що з 2001 року проти ПАТ ДТЕК «Дніпроенерго» було впроваджено справу
про банкрутство. Процедура санації підприємства була відкрита з 2003 року.
Станом на 2007 рік підприємство вийшло з банкрутства. Основні види діяльності є
виробництво електроенергії, постачання пари та гарячої води, розподілення та
постачання електроенергії, ремонт і технічне обслуговування двигунів та турбін,
ремонт і технічне обслуговування насосів, компресорів та гідравлічних систем,
ремонт і технічне обслуговування контрольно-вимірювальних приладів.
Аналіз звіту про фінансові результати
визначив, що чистий дохід збільшився на 2 394 439 тис.грн. або на 38% .
Діяльність ПАТ ДТЕК «Дніпроенерго» є прибутковою про що свідчить комплексний
показник ефективності господарювання, який складає 126,09. Протягом
досліджуваного періоду спостерігається зменшення чисельності персоналу на 467
осіб, в наслідок цього збільшився виробіток на одного працівника на 399,30
тис.грн., або на 46,33%. Також позитивними змінаму являються: збільшення
швидкості обертання запсів на 1,85 обертів, або на 16% та фондовіддачі - на
47,67%. Зміншення вартості основних засобів на 7% в наслідок зносу. Також
визначено, що ПАТ ДТЕК «Дніпроенерго» має 3 тип фінансової стійкості -
нестійкий фінансовий стан - для забезпечення запасів крім власних обігових
коштів та довгострокових кредитів і позик залучаються короткострокові кредитита
позики; платоспроможність порушена, є можливість її відновити. З проведеного
аналізу показників ділової активності визначено, що показники ділової
активності рухаються в позитивному напрямку.
Оцінка ймовірності банктурства
визначила, що ПАТ ДТЕК «Дніпроенерго» за різними моделями має різні показники,
так за моделями: двохфакторної моделі Альтмана та Таффлера у підприємства
відсутня ймовірність банкрутства, щодо модели Таффлера то підприємство має
гарну довгострокову перспективу. За пятифакторною моделлю Альтмана у 2012 році
дуже низька ймовірність банкрутства, але стан підприємства поліпшился оскільки
у 2011 році ймовірність банкрутства була висока, а у 2010 дуже висока. За
моделями Лісу, Міністерства фінансів України та коефіцієнтом Бівера
підприємство ПАТ ДТЕК «Дніпроенерго» є банкрутом. За моделлю Конана и Гольдера
скориставшись у 2010 році вірогідність банкрутства ПАТ ДТЕК «Дніпроенерго»
складала 85%, у 2011 році цей показник зменшився до 60%, а у 2012 році
вірогідність банкрутства складає лише 30%.
3. НАПРЯМИ СТАБІЛІЗАЦІЇ ПІДПРИЄМСТВА
ПРИ ЗАГРОЗІ БАНКРУТСТВА
3.1 Пошук
механізмів стабілізації підприємства при загрозі банкрутства та заходи щодо
відновлення фінансової стабільності ПАТ ДТЕК «Дніпроенерго»
В умовах формування і становлення
ринкових відносин без банкрутства не обходиться. Воно поширене не лише в
країнах, що розвиваються, а й у державах із розвинутими ринковими відносинами.
Тому така тема, як банкрутство, на сьогоднішній день є досить актуальною.
Банкрутство - загальновідоме явище
ринкової економіки. Неодмінною умовою ефективного функціонування ринкового
механізму є усунення з ринку підприємств-банкрутів. Але попередити кризовий
стан підприємств, забезпечити їх тривалий життєвий цикл - завдання більш
складне й важливе.
Одним з найважливіших факторів,
через які підприємства стають банкрутами, є недостатній рівень управлінських
знань. Так, у США 98% невдач обумовлене неефективним управлінням (45%
компетентність, 9% - відсутність досвіду, 20% - низький професіоналізм, 3% -
невиконання професійних обов’язків) і тільки 2% причини, які не пов’язані з
управлінням підприємством [1].
Проте в теорії і практиці
організаційно-економічного механізму банкрутства підприємств є низка не
вирішених питань. Зокрема, в достатній мірі не опрацьований механізм
банкрутства сільськогосподарських підприємств, прогнозування можливого
банкрутства та показників платоспроможності, впливу рівня використання
виробничих ресурсів на фінансовий стан господарюючих суб’єктів аграрної сфери.
Все це вимагає подальшого дослідження науково-теоретичних основ формування
системи банкрутства підприємств, здійснення оцінки фінансового стану в кризових
умовах та розробки основних напрямків виходу зі стану банкрутства підприємств [3].
Створення конкурентоспроможного
середовища в країні неможливе без ефективного діючого інституту банкрутства.
Однією з головних функцій інституту банкрутства є «очищення» економічного
простору від неспроможних суб’єктів господарювання, що сприяє оздоровленню
ринку, зниженню ризиків для інших учасників, стимулюванню й підвищенню
ефективності та надійності економічної системи в цілому.
Банкрутство з часів його виникнення
як інституту господарських відносин пройшло довгий і складний шлях. Основними
цілями функціонування інституту банкрутства можна назвати: справедливе й
ефективне врегулювання випадків неспроможності при забезпеченні захисту
інтересів усіх кредиторів та інших зацікавлених сторін; захист і максимальне
підвищення вартості активів боржника; сприяння збереженню підприємств, що
перебувають у тяжкому фінансовому становищі [2].
Кожному етапу фінансової
стабілізації підприємства відповідають її визначені внутрішні механізми, що у
практиці фінансового менеджменту прийнято підрозділяти на оперативний, тактичний
і стратегічний.
Оперативний механізм фінансової
стабілізації, заснований на принципі «відсікання зайвого», являє собою захисну
реакцію підприємства на несприятливий фінансовий розвиток і позбавлений
будь-яких наступальних управлінських рішень.
Тактичний механізм фінансової
стабілізації, використовуючи окремі захисні заходи, у переважному виді являє
собою наступальну тактику, спрямовану на перелом несприятливих тенденцій
фінансового розвитку і вихід на рубіж фінансової рівноваги підприємства.
Стратегічний механізм фінансової
стабілізації являє собою винятково наступальну стратегію фінансового розвитку,
що забезпечує оптимізацію необхідних фінансових параметрів, підлеглу цілям
прискорення всього економічного росту підприємства [3].
Досягти цього можна двома способами:
відновлення платоспроможності
боржника в процесі санації, реорганізації тощо;
ліквідацією суб’єкта господарювання
та заміщення його ефективним власником.
У кожному окремому випадку
банкрутство й ліквідація підприємства невід’ємно пов’язані з рядом негативних
наслідків для власників підприємства, його контрагентів (клієнтів, споживачів,
постачальників тощо), трудового колективу, менеджерів, держави тощо.
У сучасному розумінні криза є однією
із стадії історичного розвитку підприємства, подолання якої дає можливість
забезпечити подальший розвиток підприємства.
Кризові явища в процесі
функціонування підприємства є результатом загострення до критичного рівня
внутрішніх суперечностей негативної динаміки кількісних та якісних показників
діяльності підприємства, що зумовлює поступову втрату його життєздатності [2].
Функціональне та організаційне
регулювання та запобігання банкрутству можна здійснювати на всіх рівнях
управління. На рівні суб’єктів економіки (юридичні особи) регулювання може бути
визначене як корпоративне. З огляду управління на цьому рівні слід враховувати,
що власниками тут можуть бути як держава, так і приватні особи. Залежно від
цього істотно змінюється можливості держави щодо безпосереднього управління та
запобігання банкрутству належних їй суб’єктів господарювання чи регулятивного
впливу на запобігання банкрутству суб’єктів недержавної власності в межах
чинного законодавства [4].
У контексті пропозиції щодо
вдосконалення елементів механізму державного регулювання та запобігання банкрутству
можна вирішувати проблему на рівні державних органів управління різного рівня.
Регулювання та запобігання банкрутству можне бути здійснене на мікро- і
макрорівні. З огляду на управління на макрорівні державні органи можуть брати
участь у безпосередньому управлінні тільки об’єктами державної та змішаної
власності. У багатьох випадках це правило все частіше реалізується через нові
інститути управління (довірче управління, фінансовий лізинг, оренда тощо) [3].
Для вибору найефективніших форм
санації, прийняття правиль них рішень щодо усунення негативних процесів
передовсім необ хідно ідентифікувати причини фінансової неспроможності суб’єкта
господарювання.
Фактори, які можуть зумовити
фінансову кризу на підприємстві, прийнято поділяти на зовнішні, або екзогенні
(які не залежать від діяльності підприємства), та внутрішні, або ендогенні (що
залежать від підприємства).
Головними екзогенними факторами
фінансової кризи на під приємстві можуть виступати наступні:
спад кон’юнктури в економіці в
цілому;значний рівень інфляції;
нестабільність господарського та
податкового законодавства;
нестабільність фінансового та
валютного ринків;
посилення конкуренції в галузі;
криза окремої галузі; посилення монополізму на ринку;
дискримінація підприємства органами
влади та управління; політична нестабільність у країні місцезнаходження підпри
ємства або в країнах підприємств-постачальників сировини (спожи вачів
продукції) [3].
Головні ендогенні фактори фінансової
кризи: брак чітко визначеної стратегії розвитку підприємства; дефіцити в
організаційній структурі; низький рівень менеджменту; низький рівень маркетингу
та втрата ринків збуту продукції; незадовільне використання виробничих
ресурсів; непродуктивне утримання зайвих робочих місць [2].
Оцінювання фінансової стійкості підприємства
має на меті об’єктивний аналіз величини та структури активів і пасивів
підприємства і визначення на цій основі міри його фінансової стабільності й
незалежності, а також відповідності фінансово-господарської діяльності
підприємства цілям його статутної діяльності.
Повна фінансова стабілізація
досягається тільки тоді, коли підприємство забезпечило тривалу фінансову
рівновагу в процесі свого майбутнього економічного розвитку, тобто створило
передумови стабільного зниження вартості використовуваного капіталу і
постійного росту своєї ринкової вартості.
Ця задача вимагає прискорення темпів
економічного розвитку на основі внесення визначених коректив в окремі параметри
фінансової стратегії підприємства. Відкоректована з урахуванням несприятливих
факторів фінансова стратегія підприємства повинна забезпечувати високі темпи
його операційної діяльності при одночасній нейтралізації погрози його
банкрутства в майбутньому періоді [5].
Отже, для підприємства ПАТ ДТЕК
«Дніпроенерго» розглянуті заході не актуальні оскільки досліджуване
підприємство є монополістом у галузі енергопостачання м. Запоріжжя та процес
санації вже був проведен.
Тому пропонується знайти внутрішні
механізми стабілізації фінансовог стану підприємства шляхом повернення
дебіторської заборгованості, застосувати методи взаємозаліку заборгованості за
електричну енергію та юридичні заходи шляхом судових рішень та користування
послугами колекторських фірм.
Стягнення дебіторської
заборгованості можна розподілити на 4 етапи:
. Підготовчі заходи щодо зменшення
ризиків виникнення заборгованостей - вивчення контрагента, його підприємницької
діяльності.
а) Договірна робота (встановлення
відповідальності, забезпечення зобов'язань, порядок вирішення спорів);
б) Облік господарських договорів
(включаючи договори, які укладені шляхом обміну листами, прийняттям замовлення
до виконання та ін.).
. Контроль за виконанням договорів
та досудове врегулювання господарського спору, що виник у зв'язку з
невиконанням умов договору, який в свою чергу включає:
а) контроль виконання договірних
зобов'язань (юридичний, бухгалтерський, фактичний);
б) своєчасне вжиття заходів щодо
з'ясування причин порушення зобов'язань. Прогнозування порушень;
в) вирішення питання про можливість,
необхідність та доцільність застосування досудового порядку врегулювання
спорів;
г) підготовка та направлення
боржнику претензії;
д) дії за результатами розгляду
претензії;
е) судове провадження.
. Примусове виконання рішення суду
про стягнення заборгованості та неустойки за договором.
Перший етап є найважливішим,
оскільки наслідки простіше спрогнозувати та попередити, ніж потім усувати. Тому
можу порадити перш ніж укладати договір уважно вивчити ділову репутацію
контрагента, чи мав він неплатежі за господарськими договорами, чи має
заборгованості перед бюджетом, чи зверталися щодо примусових стягнень на майно
контрагента за судовими рішеннями до органів Виконавчої служби, чи виступає
контрагент у судових процесах як відповідач, які активи та уставний фонд, та чи
є серед засновників фізичні особи з кримінальним минулим. На сьогоднішній день
інформацію про будь-яку юридичну особу можна отримати у державного реєстратора,
сплативши один неоподаткований мінімум за одержану довідку.
Стосовно другого етапу - стягнення
дебіторської заборгованості - слід зауважити, що згідно з розділом «Досудове
врегулювання господарського спору» (ст. 5 ГПК України) на сьогоднішній день
практично не застосовується обов'язковий досудовий порядок врегулювання
господарських спорів (за винятком відносин із залізницею тощо). Досудове
врегулювання спорів було предметом уваги Конституційного суду України.
Господарський процесуальний кодекс
не передбачає відповідальності за нерозгляд або несвоєчасний розгляд претензії,
як раніше визначалося ст. 9 ГПК, вона виключена у зв'язку із змінами у 2005
році. Але в подачі претензії є певний тактичний зміст, можливість уникнення
подальшого позовного провадження та звичайної економії часу, оскільки визнана
претензія у відповідністю із п. 18 ст. 3 Закону України «Про виконавче
провадження» є рішенням, що підлягає виконанню Державною виконавчою службою.
Якщо боржник визнає вашу претензію, але все ж відмовиться сплачувати
заборгованість, ви будете мати документ, який дозволить оминути етап позовного
провадження та перейти до примусового стягнення боргу.
Отже станом на 01.01.2013 року на
підприємстві ПАТ ДТЕК «Дніпроенерго» встановлена дебіторська заборгованість на
загальну суму 565 776 тис.грн. (таблиця 3.1) (додаток Б).
Таблиця 3.1 - Аналіз дебіторської
заборгованості
|
Стаття активу
|
Роки
|
Відхилення
|
|
2010
|
2011
|
2012
|
Абсолютне, тис.грн.
|
Відносне, %
|
|
|
|
|
2011-2010
|
2012-2011
|
2011х 100 / 2010
|
2012х 100 / 2011
|
|
чиста реалізаційна вартість
|
341841
|
452408
|
565776
|
110567
|
113368
|
132,3
|
125,1
|
|
первісна вартість
|
2416054
|
2325979
|
2464271
|
-90075
|
138292
|
96,3
|
105,9
|
|
резерв сумнівних боргів
|
2074213
|
1873571
|
1898495
|
-200642
|
24924
|
90,3
|
101,3
|
З таблиці 3.1 видно, що первісна
вартість дебіторської заборгованості у 2011 році у порівнянні з 2010 роком
зменшилась на 90 075 тис.грн., резерв сумнівної заборгованості зменшився на 200
642 тис.грн. але чиста реалізаційна вартість збільшилась на 110 567 тис.грн. за
рахунок нових божників. У 2012 році у порівнянні з 2011 роком спостерігається
збільшення дебіторської заборгованості на 25,1%, первісна вартість збільшилась
на 5,9% резерв сумнівних боргів на 1,3%. На рисунку 3.1 відображена динаміка
дебіторської заборгованості.
Рисунок 3.1 - Динаміка дебіторської
заборгованості
З рисунка видно, що чиста
реалізаційна вартість дебіторської заборгованості та первісна віртість має
тенденцію до збільшення, резерв сумнівних боргів поступово зменшується.
Підприємство ПАТ ДТЕК «Дніпроенерго»
встановило такі строки непогашення безнадійної заборгованості:
група - менше одного місяця;
група - від одного місяця до одного
кварталу;
група - від одного кварталу до
одного року.
ПАТ ДТЕК «Дніпроенерго» необхідно
проводити роботу, як з поточними боржниками, так і з боржниками які занесені в
резерв сумнівних боргів.
У системі управління дебіторською
заборгованістю ПАТ ДТЕК «Дніпроенерго» перш за все слід вести базу даних за
кожним кредитором, встановити строки погашення дебіторської заборгованості.
Інформація дозволяє розподілити підприємства-дебітори за групами, до яких можна
було б застосувати однакові заходи та методи.
Обов'язковою умовою ефективного
управління дебіторською заборгованістю ПАТ ДТЕК «Дніпроенерго» є контроль за
фінансовим станом дебітора, який має на меті визначити існуючий стан дебітора,
наявні та потенційні проблеми й можливість боржника погасити заборгованість.
Дана інформація дає можливість прискорити процес розрахунків. В таблиці 3.2
наведений приклад переліку дебіторів станом на 01.01.2013 року по
заборгованості перед ПАТ ДТЕК «Дніпроенерго».
Таблиця 3.2 - Перелік
підприємств-дебіторів станом на 01.01.2013 року
|
№ п/п
|
Найменування підприємства- дебітора
|
№ розр, pax., юр. адреса
|
Сума забор гованості (в тис. грн.)
|
Найменування, місце з находження, № pax. банку
боржника
|
Дебітори боржника, сума боргу
|
Перелік товарів та послуг, що надає дебітор
|
|
|
|
Всього
|
Вт.ч. простроченої
|
|
|
|
|
1.
|
ДПП «Кривбаспроводопостачання»
|
|
4 000
|
4 000
|
|
|
Технічна вода
|
|
2
|
Населення на абонентському обслуговуванні
|
|
10 000
|
10 000
|
|
|
|
Процес планування дебіторської
заборгованості на наступний період повинен охоплювати наступні напрямки:
забезпечити якість дебіторської заборгованості, підвищити швидкість
дебіторської заборгованості, оптимізувати обсяг дебіторської заборгованості,
забезпечити захист заборгованості від знецінення.
Управління інкасацією дебіторської
заборгованості передбачає розробку ряду заходів з погашення дебіторської
заборгованості, визначені терміни сплати якої прострочені.
Першим заходом інкасації
дебіторської заборгованості є проведення комплексного аналізу структури та
динаміки простроченої заборгованості за її термінами, видами, за видами
продукції та за дебіторами, а також оцінка реальної вартості дебіторської
заборгованості. В подальшому встановлюється оперативний зв'язкок з дебітором на
предмет визнання ним боргу.
Потім складається графік роботи з
дебіторами. Бажано, щоб заходи проводилися сумісно з дебітором.
Таблиця 3.3 - Етапи процесу погашення
заборгованості перед ПАТ ДТЕК «Дніпроенерго»
|
Етапи
|
Зміст
|
|
1.Складання списку боржників
|
Систематизація, упорядкування боржників за
сумою боргу, строками, фінансовим станом.
|
|
2. Складання графіку роботи з боржниками
|
План щоденних заходів: переговори, листи,
договори, відключення, заліки.
|
|
3. Узгодження дій з погашення заборгованості.
|
Графіки погашення заборгованості, аналіз
балансів, інформація про дебіторів дебітора.
|
|
4. Самостійні дії з погашення боргу
|
Оформлення заборгованості векселем, факторинг,
договір цесії тощо.
|
Наступний етап інкасації
дебіторської заборгованості - оцінка необхідності та можливості використання
інструментів досудового погашення заборгованості.
Використання на підприємстві
сучасних інструментів погашення дебіторської заборгованості (рефінансування
дебіторської заборгованості (факторинг, векселя), взаємозаліки,
реструктуризація заборгованості (зміна матеріально-уречевленої форми
зобов'язання, укладання угод про зміну сторін зобов'язання, новація,
відстрочення заборгованості) дає можливість прискорити переведення дебіторської
заборгованості в інші форми оборотних активів підприємства. При виборі тої чи
іншої форми впливу на дебітора важливо знати її позитивні та негативні сторони,
а також юридичні наслідки, щоб застрахувати себе від будь-яких несподіванок.
Ступінь ризику, пов'язаний з
несвоєчасністю або сумнівністю погашення боргу, і є суб'єктивним та
визначальним фактором прийняття рішення щодо використання факторингу та
реструктуризації заборгованості.
Врегулювання досудових формальностей
здійснюється за допомогою претензії, що є документом, який підтверджує вжиття
підприємством-кредитором заходів досудового врегулювання суперечки.
Господарський кодекс України значно обмежив коло випадків, при якому досудове
врегулювання суперечок є обов'язковим.
Заходи по погашенню заборгованості
підприємств перед ПАТ ДТЕК «Дніпроенерго» наведені в таблиці 3.4.
Таблиця 3.4 - Заходи по погашенню
заборгованості підприємств перед ПАТ ДТЕК «Дніпроенерго»
|
Заходи
|
Зміст
|
|
1. Нагадування по телефону
|
Щоденно або 2-3 рази на тиждень.
|
|
2. Письмове нагадування
|
У листі вказуються пропозиції з узгодження
графіку погашення дебіторської заборгованості, а також можливості звернутися
до вищестоящого органу.
|
|
3. Письмове нагадування на офіційному рівні
|
У листі вказується необхідність узгодження
графіку погашення заборгованості до встановленого терміну.
|
|
4. Узгодження графіків погашення
|
Графік в якості пропозиції доповнює договір
сторін з вказівкою на санкції за його невиконання.
|
|
5. Отримання інформації про дебіторів дебітора
|
Разом з дебітором з'ясовується можливість
проведення взаємозаліку, активізується маркетинг дебітора.
|
|
6. Проведення взаємозаліку
|
Оформлюється угодою всіх учасників
взаємозаліку або простим векселем.
|
|
7. Рефінансування заборгованості
|
Оформлюється простий чи перевідний вексель, за
яким дебітор виступає платником, укладання факторингової угоди.
|
|
8. Реструктуризація заборгованості
|
Зміна сторін угоди, форми та терміну
виконання.
|
|
9. Реалізація продукції та майна дебітора
|
Дебітор передає права на реалізацію продукції
та майна за узгодженим списку.
|
Етапи проведення роботи щодо
заборгованості, яка не повернена своєчасно:
— врегулювання
досудових формальностей;
— подання
позову до суду;
— зменшення
валового доходу на суму боргу;
— підготовка
до засідання суду;
— впровадження
рішення суду;
— безнадійна
заборгованість.
Наступним етапом управління
простроченою дебіторською заборгованістю є звернення до господарського суду з
позовом про стягнення заборгованості. Після подання позову до господарського
суду, відповідно до Закону України «Про оподаткування прибутку підприємств»
(ст. 12.1.1), підприємство-кредитор має право зменшити валовий доход поточного
кварталу на суму боргу, за якою подано позов до суду. Однак без ухвали про
порушення справи цього робити не можна.
Підготовка до засідання суду
передбачає собою надсилання всіх необхідних документів із супровідним листом.
Впровадження рішення суду. Після
винесення рішення суду видається наказ, який є виконавчим документом. У випадку
нездатності боржника сплатити борг, підприємство-кредитор може звернутися до
суду з позовом про відкриття справи про банкрутство. Дана процедура регулюється
Законом України «Про відновлення платоспроможності боржника або визнання його
банкрутом» та має наступну послідовність дій: подання заяви про порушення
справи про банкрутство; розгляд отриманої заяви щодо порушення справи; введення
процедури розпорядження майном боржника; проведення засідання та порушення
справи про банкрутство; забезпечення грошових вимог кредиторів і мораторій на
задоволення вимог кредиторів; виявлення кредиторів та санаторів боржника;
проведення попереднього засідання господарського суду; проведення збору
кредиторів і створення комітету кредиторів; прийняття рішення у справі про
банкрутство.
Підсумовуючи вище написане, можна
зробити висновок, що використання запропонованої структуро-логічної моделі
управління дебіторською заборгованістю дозволяє підприємству ПАТ ДТЕК
«Дніпроенерго»: ефективно використовувати фінансові та трудові ресурси,
зменшити ймовірність зростання безнадійних боргів, контролювати фінансові
надходження, забезпечити зростання інвестиційних можливостей.
При цьому слід враховувати характер
та джерела виникнення дебіторської заборгованості, тип підприємства, стадію
його життєвого циклу, стан ринкової кон'юнктури та інші фактори.
Досвід у сфері управління інкасацією
дебіторської заборгованості доводить, що в деяких випадках процедура інкасації
потребує найбільшої частки поточних витрат, пов'язаних із процесом її
обслуговування. Для зведення цих витрат до мінімуму слід виявляти певну
твердість у фінансових стосунках з позичальником.
3.2
Економічна ефективність реструктуризації дебіторської заборгованості ПАТ ДТЕК
«Дніпроенерго»
Отже, з запропонованих заходів
запобіганню банкрутства ПАТ ДТЕК «Дніпроенерго» доцільно прийняти заходи з
реструктуризації дебіторської заборгованості.
На підприємстві ПАТ ДТЕК
«Дніпроенерго» потрібно чітко дотримуватись плану інкасації дебіторської
заборгованості.
Так, наприклад до підприємства
боржника ДПП «Кривбаспромводопостачання» який забогував ПАТ ДТЕК «Дніпроенерго»
4 000 тис.грн. доцільно запровадити механіз взаємозаліку.
Для населення, яке знаходиться на
абонентському обслуговуванні доцільно скористатись послугами коллекторської
фірми, яка займається поверненням доргів. На підставі цього рішення складається
довір з коллекторською фірмою та вартістю робіт (додаток Г).
На підставі прийнятих рішень
планується зменшити первісну вартість дебіторської заборгованості у 2013 році
на 15%, резерв сумнівних боргів на 10%, якщо дані заходи будуть дієвими
запланувати поступове зниження дебіторської заборгованості на 2014 рік первісну
вартість дебіторської заборгованості на 20%, резерв сумнівних боргів на 15%
(таблиці 3.5).
Таблиця 3.5 - Зниження дебіторської
заборгованості прогнозний рівень
|
Стаття активу
|
Роки
|
|
2010
|
2011
|
2012
|
2013
|
2014
|
|
чиста реалізаційна вартість
|
341841
|
452408
|
565776
|
385985
|
223356
|
|
первісна вартість
|
2416054
|
2325979
|
2464271
|
2094630
|
1675704
|
|
резерв сумнівних боргів
|
2074213
|
1873571
|
1898495
|
1708646
|
1452349
|
Проведемо розрахунки:
на 2013 рік:
первісна вартість 2 464 271 - (2 464
271 х 15%) = 2 094 630 тис.грн.
резерв сумнівних боргів 1 898 495 -
(1 898 495 х 10%) = 1 708 646 тис.грн.
на 2014 рік
первісна вартість 2 094 630 - (2 094
630 х 20%) = 1 675 704 тис.грн.
резерв сумнівних боргів 1 708 646 -
(1 708 646 х 15%) = 1 452 349 тис.грн.
відхилення прогнозних показників
наведена в таблиці 3.6.
Таблиця 3.6 - Відхилення прогнозних
статей активу
|
Стаття активу
|
Роки
|
Відхилення
|
|
|
Абсолютне, тис.грн.
|
Відносне, %
|
|
2012
|
2013
|
2014
|
2013-2012
|
2014-2013
|
2013*100 /2012
|
2014*100 /2013
|
|
чиста реалізаційна вартість
|
565776
|
385984,9
|
223355,6
|
-179791
|
-162629
|
68,2
|
57,9
|
|
первісна вартість
|
2464271
|
2094630
|
1675704
|
-369641
|
-418926
|
85,0
|
80,0
|
|
резерв сумнівних боргів
|
1898495
|
1708646
|
1452349
|
-189850
|
-256297
|
90,0
|
85,0
|
На рисунку 3.2 наведена динаміка
прогнозованих статей активу.
Рисунок 3.2 - Динаміка прогнозованих
статей активу
Динаміка дебіторської заборгованості
має позитивні зміни.
Розглянемо зміни у балансі та
фінансових результат. Так в балансі підприємства змінюється структура
зменшується збиток який збільшує власний капітал, та зменшуються зобов’язання.
Таблиця 3.7 відображає зміни у структурі балансу.
Таблиця 3.7 - Зміни в балансі
2013-2014 роки
|
Показник
|
Роки
|
|
2012 рік
|
2013 рік
|
2014 рік
|
|
тис.грн.
|
питома вага, %
|
тис.грн.
|
питома вага, %
|
тис.грн.
|
питома вага, %
|
|
1
|
2
|
3
|
4
|
5
|
6
|
7
|
|
Актив Балансу
|
|
|
|
|
|
|
|
Необоротні активи
|
2 892 227
|
63
|
2 892 227
|
63
|
2 892 227
|
63
|
|
Оборотні активи
|
1 675 957
|
37
|
1 675 957
|
37
|
1 675 957
|
37
|
|
Витрати майбутніх періодів
|
7 604
|
0
|
7 604
|
0
|
7 604
|
0
|
|
Разом:
|
4 575 788
|
100
|
4 575 788
|
100
|
4 575 788
|
100
|
|
Пасив Балансу
|
|
|
0
|
|
0
|
|
|
Власний капітал, цільове фінансування
|
2 483 802
|
54
|
2 663 593
|
58
|
2 826 222
|
62
|
|
Довгострокові зобов'язання
|
314 882
|
7
|
314 882
|
7
|
314 882
|
7
|
|
Зобов`язання
|
1 686 326
|
37
|
1 506 535
|
33
|
1 343 906
|
29
|
|
Доходи майбутніх періодів
|
2 094
|
0
|
2 094
|
0
|
2 094
|
0
|
|
Разом:
|
4 575 788
|
100
|
4 575 788
|
100
|
4 575 788
|
100
|
Суттєві зміни відбулись в пасиві
балансу. Так власний капітал збільшився у структурі з 54% до 62%, зоовязання
зменшились з 37% до 29%.
Рисунок 3.3 відображає дані зміни.
Рисунок 3.3 - Динаміка змін
прогнозного періоду
Отже, дані заходи доцільні. У
фінансових результатах отриманий дохід відноситься до статті інші операційні
доходи та збільшують чистий прибуток (рисунок 3.4).
Рисунок 3.4 - Динаміка прогнозного
прибутку
Отже запропоновані заходи вплинуть і
на коефіцієнти ймовірності банкрутства. В таблиці 3.8 наведено розраховані
коефіцієнти ймовірності банкрутства.
Таблиця 3.8 - Прогноз ймовірності
банкрутства ПАТ ДТЕК «Дніпроенерго»
|
Показник
|
Формула
|
2012 рік
|
2013 рік
|
2014 рік
|
|
1
|
2
|
3
|
4
|
5
|
|
Двох- факторна модель Альтмана
|
|
Коефіцієнт покриття (Кп)
|
А260/П620
|
0,99
|
1,11
|
1,25
|
|
Коефіцієнт автономії (Кавт)
|
П(380+430+630) / П640
|
0,563
|
0,602
|
0,637
|
|
Двох- факторна модель Альтмана
|
- 0,3877 - 1,0736 Кп + 0,0579 Кавт
|
-1,418
|
-1,545
|
-1,693
|
|
П’яти- факторна модель Альтмана
|
|
К1
|
Ф1 (P 260 - Р 620)/Ф1Р 280
|
-0,002
|
0,037
|
0,073
|
|
К2
|
Ф 2 Р 220/Ф1Р 280
|
0,062
|
0,102
|
0,137
|
|
К3
|
Ф2Р170/Ф1Р 280
|
0,117
|
0,156
|
0,192
|
|
К4
|
Ф1Р38О/ФІ Р 620
|
1,473
|
1,768
|
2,103
|
|
К5
|
Ф 2 Р 035/Ф 1 Р 280
|
1,884
|
1,884
|
|
п’яти- факторна модель Альтмана
|
1,2 *K1 + 1,4 * К2+ 3,3 * К3 + 0,6 *К4 + 0,999
* К5
|
3,236
|
3,645
|
4,057
|
|
Таффлера
|
|
х1
|
050/620
|
0,485
|
0,542
|
0,608
|
|
х2
|
260/(620+480)
|
0,837
|
0,920
|
1,010
|
|
х3
|
620/280
|
0,369
|
0,329
|
0,294
|
|
х4
|
010/280
|
2,261
|
2,261
|
2,261
|
|
Таффлера
|
0,03 x1 + 0,13 х2 + 0,18 х3 + 0,16 х4
|
0,552
|
0,557
|
0,564
|
|
Лису
|
|
х1
|
260/280
|
0,366
|
0,366
|
0,366
|
|
х2
|
050/280
|
0,179
|
0,179
|
0,179
|
|
х3
|
350/280
|
-0,378
|
-0,338
|
-0,303
|
|
х4
|
380/620
|
1,473
|
1,768
|
2,103
|
|
Лису
|
0.063 х1 + 0,092 х2 + 0,057 х3 + 0,001 х4
|
0,019
|
0,022
|
0,024
|
|
Конана и Гольдера
|
|
х1
|
(160+170+180+190+200+210+230)/280
|
0,197
|
0,197
|
0,197
|
|
х2
|
260/640
|
0,366
|
0,366
|
0,366
|
|
х3
|
Ф2140/010
|
0,009
|
0,009
|
0,009
|
|
х4
|
Ф2240/015
|
0,280
|
0,280
|
0,280
|
|
х5
|
050/(480+620)
|
0,408
|
0,449
|
0,493
|
|
Конана и Гольдера
|
0,16 х1 - 0,22 х2 + 0,87 х3 + 0,10 х4 - 0,24
х5
|
-0,111
|
-0,121
|
-0,131
|
|
Модель Міністерства Фінансів України
|
|
Модель Міністерства Фінансів України
|
А040+А045+А220+А230+А240 - П620
|
-1 658 145
|
-1 298 563
|
-973 305
|
|
Коефіцієнт Бівера
|
|
Коефіцієнт Бівера
|
Ф2(Р220-Р 260) /Ф1 (Р480 + Р 620)
|
-0,00917
|
0,08864
|
0,19537
|
За даними таблиці 3.8 оцінки
ймовірності банктурства визначила, що ПАТ ДТЕК «Дніпроенерго» за різними
моделями має різні показники, так за моделями: двохфакторної моделі Альтмана та
Таффлера у підприємства відсутня ймовірність банкрутства, щодо модели Таффлера
то підприємство має гарну довгострокову перспективу. За пятифакторною моделлю
Альтмана у 2012 році дуже низька ймовірність банкрутства, але стан підприємства
поліпшился оскільки у 2011 році ймовірність банкрутства була висока, а у 2010
дуже висока. За моделями Лісу, Міністерства фінансів України та коефіцієнтом
Бівера підприємство ПАТ ДТЕК «Дніпроенерго» є банкрутом. За моделлю Конана и
Гольдера скориставшись у 2010 році вірогідність банкрутства ПАТ ДТЕК
«Дніпроенерго» складала 85%, у 2011 році цей показник зменшився до 60%, а у
2012 році вірогідність банкрутства складає лише 30%.
Таблиця 3.9 - Динаміка моделей
|
Моделі банкрутства
|
2010
|
2011
|
2012
|
2013
|
2014
|
|
Двох- факторна модель Альтмана
|
0,820
|
0,820
|
0,990
|
1,110
|
1,250
|
|
п’яти- факторна модель Альтмана
|
1,603
|
2,405
|
3,240
|
3,650
|
4,060
|
|
Таффлера
|
0,410
|
0,476
|
0,550
|
0,560
|
0,560
|
|
Лису
|
-0,014
|
0,008
|
0,020
|
0,020
|
0,020
|
|
Конана и Гольдера
|
0,0370
|
-0,0460
|
-0,1100
|
-0,1200
|
-0,1300
|
|
Коефіцієнт Бівера
|
-0,290
|
-0,010
|
-0,010
|
0,090
|
0,200
|
На рисунку 3.5 проведена діагности
моделей ймовірності банктурства за 2010-2014 роки
Рисунок 3.5 - Діагностика моделей
ймовірності банктурства за 2010-2014 роки
З рисунка видно, що заходи
запропоновані в дипломній роботі підвищуть стабільність фінансовго стану
досліджуваного підприємства. Всі моделі мають позитивні напрями.
Таким чином, в третьому розділі
дипломної роботи розглянуто систему захисних фінансових механізмів при загрозі
банкрутства залежить від масштабів кризової ситуації. При легкій фінансовій
кризі досить нормалізувати поточну фінансову ситуацію, збалансувати і
синхронізувати приплив і відплив коштів. Глибока фінансова криза вимагає
повного використання всіх внутрішніх і зовнішніх механізмів фінансової
стабілізації. Повна фінансова катастрофа передбачає пошук ефективних форм
санації, у протилежному випадку - ліквідація підприємства. Внутрішні механізми
фінансової стабілізації підприємства в першу чергу мають бути спрямовані на
відновлення платоспроможності підприємства, щоб уникнути процедури банкрутства.
Для усунення поточної неплатоспроможності проводять оперативні заходи з метою
стабілізації фінансової ситуації, за принципом "відсікання зайвого",
а саме скорочення поточних витрат з метою попередження зростання фінансових
зобов'язань і реалізації окремих видів активів з метою збільшення позитивного
грошового потоку. Визначено, що для досліджуваного підприємства план санації
вже був застосований ліквідувати підприємство не можлоо, оскільки воно є
стратегічним підприємством та монополістом у виробленні електроенергії,
запропоновано механізми ре структуризації боргів та дебіторської
заборгованості.
Запропоновані методи проаналізовані
для визначення економічного ефекту. Визначенно поліпшення фінансового стану та
позитивні зміни у моделях ймовірності банкрутства, визначено запропоновані
медоди доцільні. Підсумовуючи вище написане, можна зробити висновок, що
використання запропонованої структуро-логічної моделі управління дебіторською
заборгованістю дозволяє підприємству ПАТ ДТЕК «Дніпроенерго»: ефективно
використовувати фінансові та трудові ресурси, зменшити ймовірність зростання
безнадійних боргів, контролювати фінансові надходження, забезпечити зростання
інвестиційних можливостей. Досвід у сфері управління інкасацією дебіторської
заборгованості доводить, що в деяких випадках процедура інкасації потребує
найбільшої частки поточних витрат, пов'язаних із процесом її обслуговування.
Для зведення цих витрат до мінімуму слід виявляти певну твердість у фінансових
стосунках з позичальником.
4. ОХОРОНА ПРАЦІ ТА ТЕХНОГЕННА
БЕЗПЕКА
4.1
Характеристика потенційно небезпечних та шкідливих факторів
Об’єктом дослідження виступає ПАТ
ДТЕК «Дніпроенерго», а саме: приміщення договірного відділу. На рисунку 4.1
наведена схема-план приміщення договірного відділу ПАТ ДТЕК «Дніпроенерго».
м
1,2 м 1,5 м 1 м 1,5
м 0,80 м
м
,6 м 0,80 м
- двері, 2 - вікна, 3 - стіл, 4 -
комп’ютер, 5 - стільці, 6 - багатофункціональний пристрій (БФУ), 7 тумба, 8 -
шафа.
Рисунок 4.1 - Схема-план приміщення
договірного відділу ПАТ ДТЕК «Дніпроенерго»
В приміщенні договірного відділу ПАТ
ДТЕК «Дніпроенерго», знаходиться та працює 3 менеджера, норматив на одного
менеджера робочого простору складає 6м2, у нашому відділ 18 м2, що відповідає
нормам. Основним небезпечним та шкідливим фактором може бути комп’ютер. Оцінка
факторів виробничого і трудового процесу наведена в таблиці 4.1.
Таблиця 4.1- Оцінка факторів
виробничого і трудового процесу в приміщенні договірного відділу ПАТ ДТЕК
«Дніпроенерго»
|
Фактори виробничого середовища і трудового
процесу
|
Норм.зн. (ПДК, ПДУ)
|
Фактич. Знач.
|
III клас - шкідливі і небезпечні умови і
характер праці
|
Час дії фактора, %, за зміну
|
|
|
|
Iст
|
IIст
|
IIIст
|
|
|
Шкідливі хімічні речовини, мг/м3: I клас
небезпеки - озон II клас небезпеки - окисли азоту
|
0,1 5
|
0,1 4
|
- -
|
- -
|
- -
|
75 75
|
|
Пил переважно фіброгенної дії
|
4
|
4
|
-
|
-
|
-
|
|
|
Вібрація: локальна, дБ
|
107
|
104
|
-
|
-
|
-
|
90
|
|
Шум, дБА
|
55
|
50
|
-
|
-
|
-
|
75
|
|
Неіонізуюче випромінювання: - радіочастотний
діапазон, У/м - діапазон пром. частоти, кВ/м -оптич. діапазон (лаз.), Вт/м2
|
20 - -
|
18 - -
|
- - -
|
- - -
|
- - -
|
80 - -
|
|
Мікрокл. у приміщ. теплий період: -
температура повітря, 0С - швидкість руху повітря, м/с - відносна вологість
повітря, %
|
23-25 0,1 40-60
|
26 0,3 60
|
1 0,2
|
- - -
|
- - -
|
90 90 90
|
|
Мікрокл. у приміщ. холодний період: -
температура повітря, 0С - швидкість руху повітря, м/с - відносна вологість
повітря, %
|
23 0,1 40-60
|
23 0,1 55
|
- - -
|
- - -
|
- - -
|
90 90 90
|
|
Атмосферний тиск, мм рт.ст.
|
760
|
752
|
|
|
|
90
|
|
Напруженість праці
|
Праця помірно напружена Категорія ваги легка
Iа
|
Нормальна життєдіяльність людини
вагомо залежить від умов зовнішнього середовища, зокрема виробничого. Адже в
процесі трудової діяльності на організм людини чиниться своєрідний „тиск"
несприятливими виробничими факторами, що прямо чи опосередковано впливає на її
здоров'я та працездатність. Серед виробничих факторів прийнято розрізняти
небезпечні та шкідливі.
Небезпечний виробничий фактор -
виробничий фактор, дія якого за певних умов може призвести до травм або іншого
раптового погіршення здоров'я працівника.
Шкідливий виробничий фактор -
виробничий фактор, вплив якого може призвести до погіршення стану здоров'я,
зниження працездатності працівника.
Небезпечні та шкідливі виробничі
фактори за природою дії поділяються на такі групи: фізичні, хімічні, біологічні
та психофізіологічні.
До фізичних небезпечних та шкідливих
виробничих факторів належать: рухомі машини та механізми; пересувні частини
виробничого устаткування; підвищена запиленість та загазованість повітря
робочої зони; підвищена чи понижена температура поверхонь устаткування,
матеріалів чи повітря робочої зони; підвищений рівень шуму, вібрацій,
інфразвукових коливань, ультразвуку, іонізуючих випромінювань, статичної
електрики, електромагнітних випромінювань, ультрафіолетової чи інфрачервоної
радіації; підвищені чи понижені барометричний тиск, вологість, іонізація та
рухомість повітря; небезпечне значення напруги в електричному колі; підвищена
напруженість електричного чи магнітного полів; відсутність чи нестача
природного світла; недостатня освітленість робочої зони; підвищена яскравість
світла; пряме та відбите випромінювання, що створює засліплюючу дію.
До хімічних небезпечних та шкідливих
виробничих факторів належать хімічні речовини, які за характером дії на
організм людини поділяються на:
- загальнотоксичні,
що викликають отруєння всього організму;
- подразнюючі, що
викликають подразнення дихального тракту та слизових оболонок;
- сенсибілізуючі, що
діють як алергени;
- канцерогенні, що
викликають ракові захворювання;
- мутагенні, що
призводять до змін наслідкової інформації;
- такі, що впливають
на репродуктивну (дітонароджувальну) функцію.
До біологічних небезпечних та
шкідливих виробничих факторів належать патогенні мікроорганізми (бактерії,
віруси, мікроскопічні грибки та ін.) та продукти їх життєдіяльності, а також
макроорганізми (рослини та тварини).
До психофізіологічних небезпечних та
шкідливих виробничих факторів належать фізичні (статичні та динамічні) і
нервово-психічні перевантаження (розумове перенапруження, перенапруження
органів чуття, монотонність праці, емоційні перевантаження).
Один і той же небезпечний і
шкідливий виробничий фактор за природою своєї дії може належати одночасно до
різних груп.
Залежно від наслідків впливу на
працюючих шкідливих та небезпечних виробничих факторів розрізняють виробничі
травми, професійні захворювання та професійні отруєння, внаслідок яких може
відбутись зниження або втрата працездатності (тимчасова чи постійна, повна чи
часткова), можливий і фатальний кінець.
4.2
Виробнича санітарія
Мікроклімат виробничих приміщень -
це умови внутрішнього середовища цих приміщень, що впливають на тепловий обмін
працюючих з оточенням шляхом конвекції, кондукції, теплового випромінювання та
випаровування вологи.
Оптимальні мікрокліматичні умови -
це поєднання параметрів мікроклімату, які при тривалому та систематичному
впливі на людину забезпечують зберігання нормального теплового стану організму
без активізації механізмів терморегуляції. Вони
забезпечують відчуття теплового комфорту та створюють передумови для високого
рівня працездатності.
Допустимі мікрокліматичні умови - це
поєднання параметрів мікроклімату, які при тривалому та систематичному впливі
на людину можуть викликати зміни теплового стану організму, що швидко минають і
нормалізуються та супроводжуються напруженням механізмів терморегуляції в межах
фізіологічної адаптації. При цьому не виникає ушкоджень або порушень стану
здоров'я, але можуть спостерігатися дискомфортні тепловідчуття, погіршення
самопочуття та зниження працездатності.
Виходячи з категорії виконуваних
робіт по важкості (легка 1а) і характеристики приміщення з урахуванням періодів
року, у відповідності з вимогами Санітарних норм встановлені параметри для
повітряного середовища приміщення договірного відділу (таблиця 4.1) [8].
Нормовані величини температури,
відносної вологості і швидкості руху повітря у договірному відділі визначаються
оптимальними параметрами мікроклімату.
В приміщенні договірного відділу ПАТ
ДТЕК «Дніпроенерго» в холодну пору року обігрів відбувається через радіаторні
батареї, температура у договірному відділі складає 23 °С. Радіочастотний
діапазон перебільшений, тому необхідно встановити захисні екрани на монітори.
Освітлення
Серед чинників
зовнішнього середовища, що впливають на організм людини в процесі праці, світло
займає одне з перших місць. Адже відомо, що майже 90% всієї інформації про
довкілля людина одержує через органи зору. Під час здійснення будь-якої
трудової діяльності втомлюваність очей, в основному, залежить від напруженості
процесів, що супроводжують зорове сприйняття. До таких процесів належать
адаптація, акомодація та конвергенція.
В залежності від
джерела світла виробниче освітлення може бути трьох видів:
1.
Природне освітлення прямим або
відбитим світлом сонця (небосхилу) через світлові прорізи в зовнішніх
відгороджуючих конструкціях приміщень.
2.
Штучне освітлення, призначене для
освітлення в темні години доби або в приміщеннях, де немає природного світла.
Здійснюється електричними джерелами світла (лампи розжарювання або
газорозрядні).
3.
Сполучене (суміщене) освітлення
характеризується одночасним поєднанням природного та штучного освітлення в
світлі години доби.
Загальне рівномірне освітлення
приміщення договірного відділу в ПАТ ДТЕК «Дніпроенерго» здійснюється
світильниками з люмінесцентними лампами ПВЛМ-ДО-1х40 в кількості 2 шт.
Природне освітлення в приміщенні
договірного відділу в ПАТ ДТЕК «Дніпроенерго» здійснюється у вигляді бічного
освітлення. Величина коефіцієнта природної освітленості відповідає нормативним
рівням.
Вентиляція та кондиціонування
Під вентиляцією розуміють систему
заходів і пристроїв, призначених для забезпечення на постійних робочих місцях,
в робочій і обслуговується зонах приміщень метеорологічних умов та чистоти
повітряного середовища, відповідних гігієнічним і технічним вимогам.
Раціонально спроектовані і правильно
експлуатовані вентиляційні системи сприяють поліпшенню самопочуття працюючих і
підвищенню продуктивності праці. За наявними даними, кондиціювання повітря може
підвищити продуктивність праці на 4 ... 10%.
Системи вентиляції класифікують за
способом переміщення повітря, напрямку потоку повітря, зоні дії, часу роботи.
Залежно від способу переміщення
повітря розрізняють вентиляцію природну і механічну. Природну вентиляцію
поділяють на організовану і неорганізовану. Організована природна вентиляція
може бути канальної і безканальної (аерація).
До складу систем кондиціонування
повітря входить устаткування для обробки повітря, його переміщення і розподілу,
джерела тепло- та холодопостачання, засоби автоматичного регулювання. Основним
вузлом є кондиціонер. Вітчизняною промисловістю випускаються неавтономні (без
холодильної машини) і автономні кондиціонери (з вбудованою холодильною
машиною).
Для поліпшення параметрів
мікроклімату в літній період року у договірного відділу ПАТ ДТЕК «Дніпроенерго»
встановлено кондиціонер віконного типу Saturn ST-07 HR Кондиціонер Bio) (20
м2)
<#"821108.files/image016.gif"> (4.1)
де Sв- площа вікон, м2;п-
площа приміщення, м2;
ен - нормоване значення
коефіцієнта природної освітленості (КПО).
, (4.2)
де е н- нормоване значення
КПО для будинків, розташованих у III поясі світлового клімату - дорівнює 2%;
е нІІІ - коефіцієнт
світлового клімату, що враховує географічний район розташування будинку -
дорівнює 0,9;
С- коефіцієнт сонячності
клімату, що враховує орієнтацію світлових прорізів відносно сторін світу -
дорівнює 0,75;
Кз - коефіцієнт запасу - дорівнює
1,4;
ηв -світлова
характеристика вікон - дорівнює 9,5;
Кзд- коефіцієнт, що враховує
затінення вікон будинків, що стоять навпроти - дорівнює 1;
τ0 - загальний
коефіцієнт світлопропускання.
(4.3)
де τ1- коефіцієнт
світлопропускання матеріалу - дорівнює 0,8;
τ2- коефіцієнт,
що враховує втрати світла в рамах вікон - дорівнює 0,75;
τ3- коефіцієнт,
що враховує втрати світла в несучих конструкціях (при боковому освітленні τ3=
1);
τ4- коефіцієнт,
що враховує втрати світла в сонцезахисних пристроях дорівнює 1;
τ5- коефіцієнт,
що враховує втрати світла у захисній сітці, що встановлюється під ліхтарями
(при відсутності захисної сітки τ5= 1);
γ1- коефіцієнт,
що враховує підвищення КПО за рахунок світла, що відбивається від внутрішніх
поверхонь приміщення дорівнює 1.2.
Таким чином, розрахуємо
необхідні величини:
Визначаємо площу вікон:=
6*3=18 м2 - площа приміщення
м2
Для порівняння із заданою
величиною, яка складає - S = 3,6 м, виведемо із отриманої цифри корінь
квадратний
=2,12 м
З отриманих розрахунків
визначено, що в приміщенні договірного відділу ПАТ ДТЕК «Дніпроенерго» дана
система освітлення являється достатньою.
Таким чином, аналіз
потенційно небезпечних та шкідливий факторів проводився в приміщенні
договірного відділу ПАТ ДТЕК «Дніпроенерго».
В приміщенні договірного
відділу ПАТ ДТЕК «Дніпроенерго» в холодну пору року обігрів відбувається через
радіаторні батареї. Радіочастотний діапазон перебільшений, тому необхідно
встановити захисні екрани на монітори.
Наведена характеристика
потенційного шкідливих та небезпечних чинників, визначено незначне
перебільшення нормованого значення мікроклімату у приміщенні в теплий період.
Для вирішення проблем
фізичних чинників в договірному відділі відбувається щоденне вологе прибирання
підлоги і меблів, а також спеціальними методами протирається пил з усіх частин
ЕОМ, особливо з монітора. Комп'ютери, телефони і інші електроприлади своїм
електромагнітним полем порушують протікання багатьох процесів в людському організмі.
Робляться паузи в роботі, вправи. Комп'ютери, якими укомплектовуються
приміщення, відповідають гігієнічним вимогам і мають гігієнічний сертифікат.
Приміщення договірного
відділу в ПАТ ДТЕК «Дніпроенерго» відноситься до категорії приміщення В, виходячи
з цього налічується 1 порошковий вогнегасник порошковий ОП-2(3) місткістю 10 л
на випадок пожежі.
З аналізу про достатність чи
недостатність системи природного одностороннього бічного освітлення в
приміщенні договірного відділу ПАТ ДТЕК «Дніпроенерго» визначено, що дана
система освітлення являється достатньою.
ВИСНОВКИ
Поняття банкрутства органічно
притаманне сучасним ринковим відносинам. Воно характеризує неспроможність
підприємства задовольнити вимоги кредиторів щодо оплати товарів, робіт, послуг,
а також забезпечити обов'язкові платежі в бюджет і позабюджетні фонди. Причини
банкрутства підприємств можуть бути найрізноманітнішими. Беручи загалом, їх
можна поділити на зовнішні та внутрішні. Результатом одночасного впливу всіх
чинників є настання банкрутства.
Для діагностики ймовірності
банкрутства використовується багато методів і моделей, основними з них є:
бальні методи, однофакторні і багатофакторні методи, але всі вони мають свої
недоліки. У системі антикризового управління необхідна розробка принципово
нового показника, що по-перше, відображав би реальний вплив кожного фінансового
показника, по-друге, повністю ґрунтувався на показниках даного підприємства, що
відображають його індивідуальні особливості, по-третє, дозволяв установити
близькість банкрутства в тимчасовому розрізі. Крім того, при оцінці
ефективності проведених антикризових заходів також обов'язковим є врахування
фактора часу.
В першому розділі дипломної роботи
розглянуто поняття банкрутства органічно притаманне сучасним ринковим відносинам.
Воно може виникнути на будь-якому етапі життєвого циклу конкурентного
підприємства. Саме необґрунтована економічна політика уряду, не керовані
інфляційні процеси, тотальна економічна криза, політична нестабільність
суспільства, спад ділової активності в економіці найбільш впливають на
результати діяльності підприємств передусім через недосконалість законодавчої
бази. Для діагностики ймовірності банкрутства використовується кілька методів,
але вони мають свої недоліки - більш високий ступінь складності ухвалення
рішення в умовах багатокритеріального завдання, інформативний характер
розрахованих показників, суб'єктивність прогнозного рішення; в іншій системі
показники дублюють один одного; також не може бути єдиного нормативу для всіх
галузей економіки; деякі з моделей були складені дуже давно, с того часу
змінилася макро- і мікроекономічна ситуація. Подібні системи показників
потрібно доповнювати показниками ефективності, рентабельності, та ін.
показниками економічного аналізу.
У системі антикризового управління
необхідна розробка принципово нового показника, що по-перше, відображав би
реальний вплив кожного фінансового показника, по-друге, повністю ґрунтувався на
показниках даного підприємства, що відображають його індивідуальні особливості,
по-третє, дозволяв установити близькість банкрутства в тимчасовому розрізі.
Крім того, при оцінці ефективності проведених антикризових заходів також
обов'язковим є врахування фактора часу. При цьому необхідно визначити структуру
витрат на банкрутство та ліквідацію, а також тривалість періоду їх здійснення.
З метою врахування впливу фактору часу може бути використаний традиційний метод
дисконтування майбутніх грошових потоків.
В другому розділі дипломної роботи
визначено, з проведеного аналізу діяльності досліджуваного підприємства
визначено, що з 2001 року проти ПАТ ДТЕК «Дніпроенерго» було впроваджено справу
про банкрутство. Процедура санації підприємства була відкрита з 2003 року.
Станом на 2007 рік підприємство вийшло з банкрутства. Основні види діяльності є
виробництво електроенергії, постачання пари та гарячої води, розподілення та
постачання електроенергії, ремонт і технічне обслуговування двигунів та турбін,
ремонт і технічне обслуговування насосів, компресорів та гідравлічних систем,
ремонт і технічне обслуговування контрольно-вимірювальних приладів.
Аналіз звіту про фінансові
результати визначив, що чистий дохід збільшився на 2 394 439 тис.грн. або на
38% . Діяльність ПАТ ДТЕК «Дніпроенерго» є прибутковою про що свідчить
комплексний показник ефективності господарювання, який складає 126,09. Протягом
досліджуваного періоду спостерігається зменшення чисельності персоналу на 467
осіб, в наслідок цього збільшився виробіток на одного працівника на 399,30
тис.грн., або на 46,33%. Також позитивними змінаму являються: збільшення
швидкості обертання запсів на 1,85 обертів, або на 16% та фондовіддачі - на
47,67%. Зміншення вартості основних засобів на 7% в наслідок зносу. Також
визначено, що ПАТ ДТЕК «Дніпроенерго» має 3 тип фінансової стійкості -
нестійкий фінансовий стан - для забезпечення запасів крім власних обігових
коштів та довгострокових кредитів і позик залучаються короткострокові кредитита
позики; платоспроможність порушена, є можливість її відновити. З проведеного
аналізу показників ділової активності визначено, що показники ділової
активності рухаються в позитивному напрямку.
Оцінка ймовірності банктурства
визначила, що ПАТ ДТЕК «Дніпроенерго» за різними моделями має різні показники,
так за моделями: двохфакторної моделі Альтмана та Таффлера у підприємства
відсутня ймовірність банкрутства, щодо модели Таффлера то підприємство має
гарну довгострокову перспективу. За пятифакторною моделлю Альтмана у 2012 році
дуже низька ймовірність банкрутства, але стан підприємства поліпшился оскільки
у 2011 році ймовірність банкрутства була висока, а у 2010 дуже висока. За
моделями Лісу, Міністерства фінансів України та коефіцієнтом Бівера
підприємство ПАТ ДТЕК «Дніпроенерго» є банкрутом. За моделлю Конана и Гольдера
скориставшись у 2010 році вірогідність банкрутства ПАТ ДТЕК «Дніпроенерго»
складала 85%, у 2011 році цей показник зменшився до 60%, а у 2012 році
вірогідність банкрутства складає лише 30%.
В третьому розділі дипломної роботи
розглянуто систему захисних фінансових механізмів при загрозі банкрутства
залежить від масштабів кризової ситуації. При легкій фінансовій кризі досить
нормалізувати поточну фінансову ситуацію, збалансувати і синхронізувати приплив
і відплив коштів. Глибока фінансова криза вимагає повного використання всіх
внутрішніх і зовнішніх механізмів фінансової стабілізації. Повна фінансова
катастрофа передбачає пошук ефективних форм санації, у протилежному випадку -
ліквідація підприємства. Внутрішні механізми фінансової стабілізації
підприємства в першу чергу мають бути спрямовані на відновлення платоспроможності
підприємства, щоб уникнути процедури банкрутства. Для усунення поточної
неплатоспроможності проводять оперативні заходи з метою стабілізації фінансової
ситуації, за принципом "відсікання зайвого", а саме скорочення
поточних витрат з метою попередження зростання фінансових зобов'язань і
реалізації окремих видів активів з метою збільшення позитивного грошового
потоку. Визначено, що для досліджуваного підприємства план санації вже був
застосований ліквідувати підприємство не можлоо, оскільки воно є стратегічним
підприємством та монополістом у виробленні електроенергії, запропоновано
механізми ре структуризації боргів та дебіторської заборгованості.
Запропоновані методи проаналізовані
для визначення економічного ефекту. Визначенно поліпшення фінансового стану та
позитивні зміни у моделях ймовірності банкрутства, визначено запропоновані
медоди доцільні. Підсумовуючи вище написане, можна зробити висновок, що
використання запропонованої структуро-логічної моделі управління дебіторською
заборгованістю дозволяє підприємству ПАТ ДТЕК «Дніпроенерго»: ефективно
використовувати фінансові та трудові ресурси, зменшити ймовірність зростання
безнадійних боргів, контролювати фінансові надходження, забезпечити зростання
інвестиційних можливостей. Досвід у сфері управління інкасацією дебіторської
заборгованості доводить, що в деяких випадках процедура інкасації потребує
найбільшої частки поточних витрат, пов'язаних із процесом її обслуговування.
Для зведення цих витрат до мінімуму слід виявляти певну твердість у фінансових
стосунках з позичальником.
Аналіз потенційно небезпечних та
шкідливий факторів проводився в приміщенні договірного відділу ПАТ ДТЕК
«Дніпроенерго».
В приміщенні договірного відділу ПАТ
ДТЕК «Дніпроенерго» в холодну пору року обігрів відбувається через радіаторні
батареї. Радіочастотний діапазон перебільшений, тому необхідно встановити
захисні екрани на монітори.
Наведена характеристика потенційного
шкідливих та небезпечних чинників, визначено незначне перебільшення нормованого
значення мікроклімату у приміщенні в теплий період.
Для вирішення проблем фізичних
чинників в договірному відділі відбувається щоденне вологе прибирання підлоги і
меблів, а також спеціальними методами протирається пил з усіх частин ЕОМ,
особливо з монітора. Комп'ютери, телефони і інші електроприлади своїм
електромагнітним полем порушують протікання багатьох процесів в людському
організмі. Робляться паузи в роботі, вправи. Комп'ютери, якими
укомплектовуються приміщення, відповідають гігієнічним вимогам і мають
гігієнічний сертифікат.
Приміщення договірного відділу в ПАТ
ДТЕК «Дніпроенерго» відноситься до категорії приміщення В, виходячи з цього
налічується 1 порошковий вогнегасник порошковий ОП-2(3) місткістю 10 л на
випадок пожежі.
З аналізу про достатність чи
недостатність системи природного одностороннього бічного освітлення в
приміщенні договірного відділу ПАТ ДТЕК «Дніпроенерго» визначено, що дана
система освітлення являється достатньою.
СПИСОК ВИКОРИСТАНОЇ ЛІТЕРАТУРИ
1. Закон
України «Про відновлення платоспроможності боржника або визнання його
банкрутом» Із змінами і доповненнями // Відомості Верховної Ради України (ВВР),
2012, № 32-33, ст.413
. Айвазян
З.Н., Кириченко В.Т. Антикризисное управление: принятие решений на краю
пропасти // Проблеми теории и практики управлення. - 1999. -№4-С. 19-25.
. Андрійчук
С. Всё мы закрываемся…(порядок основных действий при ликвидации предприятия) //
Бухгалтерія. - 2008. - №11 - с.75-79.
4. Андрущак
Є.М. Діагностика банкрутства українських підприємств.// Фінанси України. - 2004
- №9 - с.118-124.
. Андрущак
Є.М. Удосконалення інституту банкрутства // Фінанси України - 2001 - №9 - с.29
. Банкрутство:
[Тематична добірка] // Ю.В.У. - Інф. - правовий банк - 2006 - №1
. Банкрутство
- В кн.: Прикин Б.В. Экономический анализ предприятия. - М.:2000 - с.346-347.
. Банкрутство
и санация инновационных предприятий. - В кн.: Инновационный менеджмент. -
К.:1998. - с.404-425.
. Банкрутство
підприємств: вимоги законодавства // ліквідація підприємств: процедура та
облік: Зб. систематиз. Законодавства. - 2006 - №4 - с.58-142.
. Банкрутство
- захід винятковий. // Урядовий кур’єр. - 2003 - №97 - с.8
. Баранцев
П. Ліквідація підприємства: правове регулювання оподаткування // Правокраїни -
2000 «12 - с.77-79
. Біліков
О. Деякі практичні питання пов’язані з введенням мараторію на задоволення
потреб кредиторів. // Юридичний журнал - 2007 №6 - с.104-136.
. Бланк
И.А. Финансовый менеджмент: Учебный курс. - К.: Ника-Центр, Эльга, 2002. - 528
с.
. Проблеми
неплатоспроможності та банкрутства підприємств в економіці України // Економіст
- 2004 - №9 - с.46-48
. Братищенко
Ю. Підстави банкрутства // Економіка. Фінанси. Право. - 2002 - №1 - с.3-6.
16. Брігхем
Є.Ф. Основи фінансового менеджменту: Пер. з англ. - К.: Молодь, 1997. - 1000 с.
. Будько
О. Оцінка ймовірності банкрутства підприємства, як напрямок прогнозування його
діяльності // Вісник криворізького економічного інституту КНЕУ - 2005 - №3 -
с.12-16
18. Ван
Хорн Д.К. Основьі управлення финансами: Пер. с англ. - М.: Финансьі и
статистика, 1996. - 800 с.
19. Горелік
М. Деякі особливості банкрутства. АТ: погляд реєстратора // Бухгалтерія - 2005
№32 - с.59-62.
20. Грек
Б. Банкрутство в Україні: минуле і сьогодення. // Право України. - 2004 - №6 -
с.24
. Діагностика
банкрутства підприємств. - В кн.: Ізмайлової К.В. Фінансовий аналіз - К.: МАЧП
- 2000 - с.108-115
. Дмитренко
А. Сучасні аспекти класифікації та причини банкрутства // Стратегія
економічного розвитку України: наук. збірник - 2002 - Вип.2 - с.505-510
. Економіка
підприємства: Підручник/За заг.ред. С.Ф.Покропивного. - Вид. 3-тє, без змін -
К.: КНЕУ, 2006. - 528с.
. Економіка:проблеми
теорії та практики: Збірник наукових праць. - Випуск 237: В 6 т. - Т.П. -
Дніпропетровськ: ДНУ,2008. - 293с.
. Економічний
аналіз: Навч. посіб./ М.А.Болюх, В.З.Бурчевський, М.І.Горбаток та ін.; За ред.акад.
НАНУ, проф. М.Г.Чумаченка. - Вид. 2-ге, перероб. і доп. - К.: КНЕУ, 2003. -
556с.
. Єлець
О. П. Антикризова складова управління машинобудівним підприємством: Автореф.
дис. наздоб. наук. ступ. канд. екон. наук 27.05.2009 / О. П. Єлець -
Національний технічний університет «Харківський політехнічний інститут». -
Харків, 2009 р.- 22с.
. Єлець
О. П. Система антикризового управління підприємством: її ознаки та принципи /
О. П. Єлець // Вісник Хмельницького національного університету. Економічні
науки. - 2007. - Том 3, № 6. - С. 316 - 319
. Єлець
О. П. Організаційно-економічні передумови антикризового управління / О. П.
Єлець // Вісник Хмельницького національного університету. Економічні науки. -
2007. - Том 2, № 4. - С. 148 - 152.
. Єлець
О. П. Сучасне розуміння антикризового управління /О. П. Єлець // Економічний
вісник Донбасу. - 2008. - № 1 (11). - С. 153 - 155.
. Єлець
О. П. Реструктуризація як метод антикризового управління / О. П. Єлець //
Матеріали XΙΙΙ Наук.-техн.
конф. студентів, магістрантів, аспірантів і викладачів ЗДІА [«Проблеми
економічного розвитку в сучасних умовах»], (Запоріжжя, 14 - 18 квітня 2008). -
Запоріжжя: ЗДІА, 2008. -С. 180 - 182.
. Желябін
В.А. Антикризове управління в бізнесі. Учбово-методичний посібник до
самостійної роботи. Для магістрів ЗДІА спеціальності 8.050201 «Менеджмент
організації». / В.А. Желябін, А.Г Беліченко.- Запоріжжя: ЗДІА, 2004. - 220с.
. Желябін
В.О., Беліченко А.Г. Антикризове управління. Навч.мет.посіб. - Запоріжжя: ЗДІА,
2004. - 220с.
. Інститут
банкрутства як механізм регулювання ринкової економіки // В кн.: Штангрет А.
Антикризове управління підприємством. - К.,2007 - Розділ 13.
34. Інструкція
про порядок заповнення звіту представника органу, уповноваженого управляти
відповідними корпоративними правами в органах управління господарських
товариств, затв. наказом Фонду державного майна України від 29 травня 2000 р. №
1109 // Українська інвестиційна газета. -2000.
35. Кулішов
В.В Економіка підприємства: теорія і практика: . посіб. - 2-ге вид.,
перероблене і доповнене. - Львів: «Магнолія плюс»,2006. - 208с.
. Кулішов
В.В. Мікроекономіка: Основи теорії і практикум: Навч. посіб. - Львів: Магнолія
плюс, 2004.
. Манів
З.О., Луцький І.М. Економіка підприємства: Навч. посіб. - 2-ге вид., стер. -
К.: Знання,2006. - 580с. - (Вища освіта ХХІ століття).
39. Методика
аналізу фінансово-господарської діяльності підприємств державного сектору
економіки. Наказ Міністерства фінансів України від 14 лютого 2006 p. N 170 //
Офіційний вісник України. - 2006. - № 13.98.
40. Методика
інтегральної оцінки інвестиційної привабливості підприємств та організацій,
затв. наказом Агентства з питань запобігання банкрутству підприємств та
організацій від 23.02.1998. № 22 // Офіційний вісник України. -1998. -№13.
. Методика
проведення поглибленого аналізу фінансово-господарського стану
неплатоспроможних підприємств та організацій, затв. наказом Агентства з питань
запобігання банкрутству підприємств та організацій від 27.06.1997 № 81 //
Офіційний вісник України. - 1997. - № 32.
. Методические
положення по оценке финансового состояния предпри-ятий и установленню
неудовлетворительной структури баланса. - Распоря-жение Российского
Федерального управлення по делам о несостоятельности №31 от 12.08.94 г.
. Методичні
рекомендації з організації кабінетного аудиту (для юридичних осіб), затв.
наказом Державної податкової адміністрації України від IS.П .2002. № 567 //
Бухгалтерія. - 2003.-№18.
44. Методичні
рекомендації по аналізу фінансово-господарського стану підприємств та
організацій. Лист Державної податкової адміністрації України від 27.01.1998.
№759/10/20-2117.
45. Методичні
рекомендації щодо виявлення ознак неплатоспроможності підприємства та ознак дій
з приховування банкротства, фіктивного банкрутства чи доведення до банкрутства,
затв. наказом Міністерства економіки України 17.01.2001 № 10 // Бюлетень
законодавства і юридичної практики України, 2002 р.
46. Методичні
рекомендації щодо підготовки аудиторського висновку при перевірці відкритих
акціонерних товариств та підприємств - емітентів облігацій (крім комерційних
банків). Протокол засідання Аудиторської палати України від 23 лютого 2001 р. №
99 // Бухгалтерський облік і аудит. - 2001.
47. Мюненко
Л. Аналіз процесів пов’язаних з банкрутством підприємств в україні: методичні
аспекти та практичні висновки // Е.Ф.П. - 2000 - №5 -с.18-21
48. Наурт
Т. Підприємство збанкрутувало. А як же бути працівникам? // Баланс - 2001 - №48
- с.47-49.
. Олачанський
Д. Визначення схильності підприємства до банкрутства за допомогою нечітких
нейтронних мереж // Актуальні проблеми економіки - 2006 - №1 - с.199-205
50. Положення
про порядок здійснення аналізу фінансового стану підприємств, що підлягають
приватизації. Наказ Фонду державного майна України від 26 січня 2001 р. №
49/121 // Офіційний вісник України - 2001. -№7.
51. Проскура
Е.Ю. Особенности осуществления антикризисного управлення предприятием //
Экономика: проблеми теории и практики: Сб. науч. Труцов. - Днепропетровск: ДНУ,
2002. - Вьш. 133. - С. 3-8.
. Рекомендації
щодо оцінки комерційними банками кредитоспроможності та фінансової стабільності
позичальника. Лист Національного банку України від 02 червня 1994 р. №
23011/79.
53. Савицька
Г.В Економічний аналіз діяльності підприємства: Навч. посіб. - 2-ге вид., випр.
і доп. - К.: Знання,2005. - 662с. - (Вища освіта ХХІ століття).
54. Салига
С.Я., Ляшенко Є.І. Антикризове фінансове управління підприємством. К.: ЦНЛ,
2005. - 208 с.
55. Тарасенко
Н.В. Економічний аналіз: Навч. посіб. - Львів: „Новий Світ - 2000», 2004.
Тарасюк Г.М., Шваб Л.І. Планування діяльності підприємства. Навч. посіб. - К.:
«Каравела», 2003. - 432 с.
56. Терещенко
О. О. Антикризове фінансове управління на підприємстві: Монографія. - К.: КНЕУ,
2004. - 268 с.
57. Ткаченко
А. М. Концептуальні підходи до антикризового управління в сучасних умовах
господарювання: монографія / А. М. Ткаченко, О. В. Коваленко, О. П. Єлець ;
ЗДІА. - Запоріжжя : ЗДІА, 2010. - 354 c.
. Ткаченко
А.М. Дескриптивні моделі діагностики фінансово-економічної діяльності
підприємства /А.М. Ткаченко, О.П. Єлець // Економічний вісник Донбасу. - 2008.
- № 4 (14). - С. 149 - 151
. Ткаченко
А. М. Поняття та причини виникнення кризових явищ на підприємстві / А. М. Ткаченко,
О. П. Єлець // Матеріали XΙΙ Наук.-техн.
конф. студентів, магістрантів, аспірантів і викладачів ЗДІА [«Економіка
підприємства»], (Запоріжжя, 16 - 20 квітня 2007). - Запоріжжя: ЗДІА, 2007. - С.
186 - 188.
. Ткаченко
А. М. Фінансова стійкість підприємства в умовах ринкової економіки та його
антикризове управління / А. М. Ткаченко, О. О. Акімов //XII науково-технічна
конференція студентів, магістрантів, аспірантів і викладачів ЗДІА, 16-20 квітня
2007р.: Тези доповідей / ред. В. І. Пожуєв. - Запоріжжя, 2007. - Ч. IV. - C.
193 - 195.
. Тридід
О. М.Концептуальні засади формування організаційно-економічного механізму
антикризового управління банком / О. М. Тридід, В. Я. Вовк //Фінанси України. -
2009. - № 1. - C. 98 - 107.
62. Формування
системи показників фінансового стану підприємства для оцінки ймовірності
банкрутства // Економіст - 2005 - №9 - с.63-65.
63. Хелфертп
3. Техника финансового анализа: Пер. с англ. - М.: Аудит, ЮНИТИ, 1996. - 663 с.
64. Череп
А.В. Фінансова санація та банкрутство суб’єктів господарювання: Підручник. - К:
Кондор, 2006. - 380 с.
. Чернявский
А.Д. Безопасность предпринимательской деятельнос-іи. - К.: МАУП, 1998. - 230 с.
66. Шевчук
О. Історичний розвиток та соціально-економічні особливості процесу банкрутства
// П.У. - 2008 - №3 - с.56-59.
67. Шкіря
Н.Л., Нікульникова Т. Фінансовий аналіз вірогідності банкрутства підприємства
// Вісник КЕІ КНЕУ - 2006 - №7 - с.41-47.
. Шпак
М. Застосування методів оцінки ймовірності банкрутства в системі управління
стратегічною стійкістю підприємств // Актуальні проблеми економіки. - 2008 -
№11 - с.155-161
Додаток А
Рисунок А.1 - Сутність можливих
симптомів банкрутства підприємств
Додаток Б
Баланс ПАТ ДТЕК «Дніпроенерго»
|
Актив
|
Код рядка
|
Роки
|
|
|
2010
|
2011
|
2012
|
|
1
|
2
|
3
|
4
|
5
|
|
I. Необоротні активи
|
|
|
|
|
|
Нематеріальні активи:
|
|
|
|
|
|
залишкова вартість
|
10
|
9336
|
7765
|
6322
|
|
первісна вартість
|
11
|
13333
|
13689
|
14208
|
|
накопичена амортизація
|
12
|
3997
|
5924
|
7886
|
|
Незавершене будівництво
|
20
|
110883
|
375098
|
911855
|
|
Основні засоби:
|
|
|
|
|
|
залишкова вартість
|
30
|
1848627
|
1809697
|
1698839
|
|
первісна вартість
|
31
|
9095231
|
9254604
|
9389025
|
|
знос
|
32
|
7246604
|
7444907
|
7690186
|
|
Довгострокові фінансові інвестиції:
|
|
|
|
|
|
які обліковуються за методом участі в капіталі
інших підприємств
|
40
|
215
|
42
|
1
|
|
інші фінансові інвестиції
|
45
|
114
|
114
|
114
|
|
Довгострокова дебіторська заборгованість
|
50
|
16267
|
155353
|
83350
|
|
Відстрочені податкові активи
|
60
|
248419
|
294155,00
|
190714,00
|
|
Інші необоротні активи
|
70
|
3709
|
1636
|
1032
|
|
Усього за розділом I
|
80
|
2 237 570
|
2 643 860
|
2 892 227
|
|
II. Оборотні активи
|
|
|
|
|
|
Запаси:
|
|
|
|
|
|
виробничі запаси
|
100
|
486569
|
649062
|
774011
|
|
тварини на вирощуванніта відгодівлі
|
110
|
|
|
|
|
незавершене виробництво
|
120
|
60
|
90
|
33
|
|
готова продукція
|
130
|
|
|
|
|
товари
|
140
|
171
|
112
|
186
|
|
Векселі одержані
|
150
|
|
0
|
0
|
|
Дебіторська заборгованість за товари, роботи,
послуги:
|
|
|
|
|
|
чиста реалізаційна вартість
|
160
|
341841
|
452408
|
565776
|
|
первісна вартість
|
161
|
2416054
|
2325979
|
2464271
|
|
резерв сумнівних боргів
|
162
|
2074213
|
1873571
|
1898495
|
|
Дебіторська заборгованість за розрахунками:
|
|
|
|
|
|
з бюджетом
|
170
|
17023
|
1398
|
21453
|
|
за виданими
авансами
|
180
|
200522
|
310972
|
241029
|
|
з нарахованих доходів
|
190
|
221
|
1
|
42
|
|
із внутрішніх розрахунків
|
200
|
|
|
|
|
Інша поточна дебіторська заборгованість
|
210
|
23615
|
47103
|
45361
|
|
Поточні фінансові інвестиції
|
220
|
|
|
|
|
Грошові кошти та їх еквіваленти:
|
|
|
|
|
|
в національній валюті
|
230
|
83580
|
60417
|
27987
|
|
- у т.ч. в касі
|
231
|
5
|
|
|
|
в іноземній валюті
|
240
|
1
|
2510
|
79
|
|
Інші оборотні активи
|
250
|
|
1
|
|
|
Усього за розділом II
|
260
|
1 153 603
|
1 524 074
|
1 675 957
|
|
III. Витрати майбутніх періодів
|
270
|
2005
|
2834
|
7604
|
|
Баланс
|
280
|
3 393 178
|
4 170 768
|
4 575 788
|
|
Пасив
|
Код рядка
|
Роки
|
|
|
2010
|
2011
|
2012
|
|
1
|
2
|
3
|
4
|
5
|
|
I. Власний капітал
|
|
|
|
|
|
Статутний капітал
|
300
|
149186
|
149186
|
149186
|
|
Пайовий капітал
|
310
|
|
0
|
0
|
|
Додатковий вкладений капітал
|
320
|
1000872
|
1000872
|
1000872
|
|
Інший додатковий капітал
|
330
|
2724875
|
2831723
|
3042961
|
|
Резервний капітал
|
340
|
|
8831
|
18290
|
|
Нерозподілений прибуток (непокритий збиток)
|
350
|
-2014008
|
-1831799
|
-1727507
|
|
Неоплачений капітал
|
360
|
|
|
|
|
Вилучений капітал
|
370
|
|
|
|
|
Усього за розділом I
|
380
|
1 860 925
|
2 158 813
|
2 483 802
|
|
Частка меншості
|
385
|
|
0
|
0
|
|
II. Забезпечення наступних витрат і платежів
|
|
|
|
|
|
Забезпечення виплат персоналу
|
400
|
20922
|
73652
|
88684
|
|
Інші забезпечення
|
410
|
|
0
|
0
|
|
Вписуваний рядок - сума страхових резервів
|
415
|
|
0
|
0
|
|
Вписуваний рядок - сума часток перестраховиків
у страхових резервах
|
416
|
|
0
|
0
|
|
Цільове фінансування
|
420
|
|
|
|
|
Усього за розділом II
|
430
|
20922
|
73652
|
88684
|
|
III. Довгострокові зобов'язання
|
|
|
|
|
|
Довгострокові кредити банків
|
440
|
104468
|
77876
|
243250
|
|
Інші довгострокові фінансові зобов'язання
|
450
|
|
|
71632
|
|
Відстрочені податкові зобов'язання
|
460
|
|
|
|
|
Інші довгострокові зобов'язання
|
470
|
|
0
|
0
|
|
Усього за розділом III
|
480
|
104468
|
77876
|
314882
|
|
IV. Поточні зобов'язання
|
|
|
|
|
|
Короткострокові кредити банків
|
500
|
416069
|
584949
|
560545
|
|
Поточна заборгованість за довгостроковими
зобов'язаннями
|
510
|
54461
|
126609
|
180083
|
|
Векселі видані
|
520
|
|
|
|
|
Кредиторська заборгованість за товари, роботи,
послуги
|
530
|
362069
|
450005
|
438521
|
|
Поточні зобов'язання за розрахунками:
|
|
|
|
|
|
з одержаних авансів
|
540
|
141011
|
276323
|
1493
|
|
з бюджетом
|
550
|
79357
|
109408
|
94902
|
|
з позабюджетних платежів
|
560
|
|
0
|
0
|
|
зі страхування
|
570
|
7575
|
7757
|
10131
|
|
з оплати праці
|
15932
|
17671
|
21690
|
|
з учасниками
|
590
|
150553
|
150554
|
151637
|
|
із внутрішніх розрахунків
|
600
|
|
|
150,00
|
|
Інші поточні зобов'язання
|
610
|
175335
|
134872
|
227174
|
|
Усього за розділом IV
|
620
|
1 402 362
|
1 858 148
|
1 686 326
|
|
V. Доходи майбутніх періодів
|
630
|
2646
|
2279
|
2094
|
|
Баланс
|
640
|
3 391 323
|
4 170 768
|
4 575 788
|
|
|
|
|
|
|
|
|
|
Звіт про фінансові результати ПАТ
ДТЕК «Дніпроенерго»
|
Стаття
|
Код рядка
|
Роки
|
|
|
2010 рік
|
2011 рік
|
2012 рік
|
|
1
|
2
|
3
|
4
|
5
|
|
Доход (виручка) від реалізації продукції
(товарів, робіт, послуг)
|
10
|
5 052 852
|
7473444
|
10346771
|
|
Податок на додану вартість
|
15
|
842 142
|
1245574
|
1724462
|
|
Акцизний збір
|
20
|
0
|
0
|
0
|
|
Інші вирахування з доходу
|
30
|
|
|
|
|
Чистий доход (виручка) від реалізації
продукції (товарів, робіт, послуг)
|
35
|
4 210 710
|
6 227 870
|
8 622 309
|
|
Собівартість реалізованої продукції (товарів,
робіт, послуг)
|
40
|
4 327 151
|
5806854
|
7805089
|
|
Валовий:
|
|
|
|
|
|
прибуток
|
50
|
-116 441
|
421 016
|
817 220
|
|
збиток
|
55
|
0
|
0
|
0
|
|
Інші операційні доходи
|
60
|
222 170
|
423173
|
485688
|
|
Адміністративні витрати
|
70
|
67 122
|
85712
|
87883
|
|
Витрати на збут
|
80
|
19 410
|
9067
|
8402
|
|
Інші операційні витрати
|
90
|
177 867
|
317949
|
592654
|
|
Фінансові результати від операційної
діяльності:
|
|
|
0
|
0
|
|
прибуток
|
100
|
-158 670
|
431 461
|
613 969
|
|
збиток
|
105
|
0
|
0
|
0
|
|
Доход від участі в капіталі
|
110
|
|
|
|
|
Інші фінансові доходи
|
120
|
|
|
|
|
Інші доходи
|
130
|
7 037
|
5557
|
53878
|
|
Фінансові витрати
|
140
|
100 765
|
112876
|
98280
|
|
Втрати від участі в капіталі
|
150
|
52
|
153
|
41
|
|
Інші витрати
|
160
|
3 352
|
11668
|
35353
|
|
Фінансові результати від звичайної діяльності
до оподаткування:
|
|
|
|
|
|
прибуток
|
170
|
-255 802
|
312 321
|
534 173
|
|
збиток
|
175
|
|
|
|
|
Податок на прибуток від звичайної діяльності
|
180
|
|
118563
|
245366
|
|
Дохід з податку на прибуток від звичайної
діяльності
|
185
|
20 119
|
0
|
0
|
|
Фінансові результати від звичайної діяльності:
|
|
|
|
|
|
прибуток
|
190
|
-235 683
|
193 758
|
288 807
|
|
збиток
|
195
|
|
|
|
|
Надзвичайні:
|
|
|
|
|
|
доходи
|
200
|
153
|
33
|
80
|
|
витрати
|
205
|
519
|
|
2994
|
|
Податки з надзвичайного прибутку
|
210
|
|
0
|
0
|
|
Прибуток від надзвичайної діяльності
|
215
|
0
|
0
|
0
|
|
Чистий:
|
|
|
0
|
0
|
|
прибуток
|
220
|
-236 049
|
193 791
|
285 893
|
|
збиток
|
225
|
|
|
|
|
|
|
|
|
|
Витрати на оплату праці
|
240
|
372195
|
495739
|
483025
|
|
Амортизація
|
260
|
193823
|
213782
|
304240
|
|
|
|
|
|
|
|
|
|
Додаток В
Таблиця В.1 - Показники ділової
активності
|
Показник
|
Умовне позначення
|
Формула для розрахунку
|
2011
|
2012
|
Відхилення
|
Економічний зміст
|
Напрямок позитивних змін
|
|
|
|
|
|
|
|
|
|
1
|
2
|
3
|
4
|
5
|
6
|
7
|
8
|
|
Оборотність активів (обороти), ресурсовіддача,
коефіцієнт трансформації
|
Кт
|
Чиста виручка від реалізації продукції (далі -
ЧВ) / Активи
|
1,49
|
1,88
|
0,39
|
Скільки торимано чистої виручки від реалізації
продукції на одиницю коштів, інвестованих в активи
|
Збільшення
|
|
Фондовіддача
|
Фо.ф.
|
ЧВ / Основні виробничі фонди
|
3,44
|
5,08
|
1,63
|
Скільки припадає виручки на одиницю основних
виробничих фондів
|
Збільшення
|
|
Коефіцієнт оборотності обігових коштів
(обороти)
|
Ко
|
ЧВ / Обігові кошти
|
4,08
|
5,12
|
1,04
|
Кількість оборотів обігових коштів за період;
скільки виручки припадає на одиницю обігових коштів
|
Збільшення
|
|
Період одного обороту обігових коштів (днів)
|
Чо
|
360 / Ко
|
88,26
|
70,29
|
-17,97
|
Середній період від витрачання коштів для
виробництва продукції до отримання коштів за реалізовану продукцію
|
Зменшення
|
|
Коефіцієнт оборотності запасів (обороти)
|
Ко.з.
|
Собівартість реалізації / Середні запаси
|
8,94
|
10,08
|
1,14
|
Кількість оборотів коштів, інвестованих у
запаси
|
Збільшення
|
|
Період одного обороту запасів (днів)
|
Чз
|
360 / Ко.з.
|
40,25
|
35,71
|
-4,54
|
Період, протягом якого запаси трансформуються
в кошти
|
Зменшення, якщо це не перешкоджає нормальному
процесу виробництва, не загорожує дефіцитом матеріальних ресурсів.
|
|
Коефіцієнт оборотності дебіторської
заборгованості (обороти)
|
Кд.з.
|
ЧВ / Середня дебіторська заборгованість
|
7,67
|
9,87
|
2,20
|
У скільки разів виручка перевищує середню
дебіторську заборгованість
|
Збільшення
|
|
Період погашення дебіторської заборгованості
(днів)
|
Чд.з.
|
360 / Кд.з.
|
46,93
|
36,48
|
-10,45
|
Середній період інкасації дебіторської
заборгованості, тобто період її погашення
|
Зменшення, особливо в умовах інфляції;
збільшення, якщо додаткова вартість коштів компенсується додатковим прибутком
від збільшення обсягів реалізації
|
|
Період погашення кредиторської заборгованості
(днів)
|
Чк.з.
|
Середня кредиторська заборгованість х 306 /
Собівартість реалізації
|
115,20
|
77,78
|
-37,42
|
Середній період сплати підприємством
короткострокової заборгованості
|
Зменшення
|
|
Період операційного циклу (днів)
|
Чо.ц.
|
Сума періодів запасу і дебіторської
заборгованості Ч о.ц. = Чз+Чд.з
|
87,18
|
72,19
|
-14,99
|
Тривалість перетворення придбаних матеріальних
ресурсів на грошові кошти
|
Зменшення
|
|
Період фінансового циклу (днів)
|
Чф.ц.
|
Чф.ц. = Чо.ц. - Чк.з.
|
-28,02
|
-5,59
|
22,42
|
Період обороту коштів
|
Зменшення, але від"ємне значення
показника свідчить вже про нестачу коштів (підприємство живе в борг)
|
|
Коефіцієнт оборотності власного капіталу
(оборотність)
|
Кв.к.
|
ЧВ / Власний капітал
|
2,88
|
3,47
|
0,59
|
Скільки чистої виручки від реалізації
продукції припадає на одиницю власного капіталу
|
Збільшення
|
Додаток Г
ДОВІДКА
про орієнтовну вартість послуг
колекторської фірми, спрямованих на повернення заборгованості населення перед
ПАТ ДТЕК «Дніпроенерго»
|
Вид послуги
|
Теплова енергія
|
|
Належність (контрагент)
|
Населення на абонентському обслуговуванні
|
|
Період утворення заборгованості
|
Січень 2002 - Жовтень 2009
|
|
Загальна сума заборгованості
|
10 млн. грн. станом на 01.04.2013г. (підібрані
особові рахунки абонентів, які не мали пільги і не мають Рішень судів про
примусове стягнення заборгованості)
|
|
Орієнтовна сума договору на надання послуг,
спрямованих на повернення заборгованості
|
555000 грн.
|
ПРИМІТКА:
Розрахунок суми договору на надання
послуг, спрямованих на повернення заборгованості населення перед ПАТ ДТЕК
«Дніпроенерго»:
ТОВ ТОВ х 30% х 18,5% = 555 ТОВ
грн.,
Де 30% - статистичний рівень
повернення заборгованості колекторської фірми (згідно комерційному
пропозицією);
,5% - відсоток оплати колекторських
послуг даній фірмі при повернення заборгованості населення.