Операционные микроскопы
Реферат
Операционные
микроскопы
Содержание
Введение
.
Историческая справка
.
Основные характеристики микроскопа, как оптического инструмента
.1
Увеличение микроскопа
.2
Поле зрения микроскопа
.3
Диаметр выходного зрачка микроскопа
.4
Разрешающая способность микроскопа
.5
Полезное увеличение микроскопа
.
Типы операционных микроскопов
.
Использование операционного микроскопа в офтальмологии
.
Использование операционного микроскопа в ЛОР-практике
.
Использование операционного микроскопа при хирургических вмешательствах на
щитовидной железе
.
Применение операционного микроскопа в стоматологии
Заключение
Список
использованных источников
Введение
В толковом словаре по медицине указано, что
микроскоп операционный (operating microscope) - это бинокулярный микроскоп,
часто применяющийся в микрохирургии. Операционное поле освещается с помощью
специального источника света, расположенного внутри микроскопа; свет от него
проходит через линзы объектива. Во многих моделях этих микроскопов объединены устройства
для расщепления луча и второй набор окуляров; это позволяет ассистенту хирурга
также следить за ходом операции.
Прогресс науки и техники способствовал
возникновению такого направления современной хирургии, обладающего своими
специфическими особенностями, как микрохирургия. Для ее развития потребовалось
создание новых оптических приборов, высокоточных манипуляторов, специальных
инструментов, атравматических игл и особого шовного материала.
Впервые предложил использовать операционный
микроскоп в хирургии среднего уха немецкий врач-отоларинголог С. Пилен в 1921
году. В 1922 году в содружестве с фирмой «Цейс» другой врач, Г. Холмгрен,
разработал бинокулярный микроскоп. Дальнейшая работа в этом направлении привела
к созданию стереомикроскопа с приставками для фоторегистрации, цветной
телевизионной камерой, тубусами (оптическими трубками) для помощников хирурга и
операционной сестры. Появилась возможность обучения врачей микрохирургической
технике. И тем не менее операциям под микроскопом учились долгие годы,
испытывая различные инструменты и сверхтонкий шовный материал.
В настоящее время микрохирургия применяется в
самых различных разделах клинической и экспериментальной хирургии. Прежде
всего, она используется в офтальмологии, отоларингологии, нейрохирургии, а
также при операциях на сосудах малого диаметра - реплантации пальцев, кисти,
конечности, в хирургии коронарных артерий, вен и лимфатических сосудов. Широкое
распространение получает она и при пересадке эндокринных желез, операциях на
нервах, желчных путях и во многих других разделах хирургии. Кроме того, она
применяется при пересадке органов и тканей в эксперименте на мелких
лабораторных животных.
Операционные микроскопы, увеличивающие
изображение операционного поля в 40-50 раз, позволяют с высокой точностью
работать микроманипуляторами, повторяющими движение руки. Управление рабочими
функциями микроскопа осуществляется ножной педалью, а в некоторых моделях так
называемыми загубниками, причем передвижение микроскопа осуществляется ртом.
1. Историческая справка
Хирургический операционный микроскоп появился
вначале 1920-х, но в основном игнорировался вплоть до 1950, когда он был вновь
внедрен Richard A. Perritt для выполнения микрохирургических операций в
офтальмологии. Увеличение и освещение, обеспечиваемые микроскопом, в результате
приводят к тому, что его начинают воспринимать, как неотъемлемую часть
хирургического оборудования. Микрохирургические методики получили широкое
распространение, в первую очередь в отоларингологии, офтальмологии, неврологии
и урологии, и они играют решающую роль в хирургии присоединения конечностей,
отсеченных в результате травмы.
2. Основные характеристики
микроскопа, как оптического инструмента
Микроскоп предназначен для наблюдения мелких
объектов с большим увеличением и с большей разрешающей способностью, чем дает
лупа. Оптическая система микроскопа состоит из двух частей: объектива и
окуляра. Объектив микроскопа образует действительное увеличенное обратное
изображение предмета в передней фокальной плоскости окуляра. Окуляр действует
как лупа и образует мнимое изображение на расстоянии наилучшего видения (рис.
1). По отношению ко всему микроскопу рассматриваемый предмет располагается в
передней фокальной плоскости.
Рис. 1. Оптическая схема микроскопа
2.1 Увеличение микроскопа
Действие микрообъектива характеризуют его
линейным увеличением:
,
где
-
фокусное расстояние микрообъектива,
-
расстояние между задним фокусом объектива и передним фокусом окуляра,
называемое оптическим интервалом или оптической длиной тубуса.
Изображение, создаваемое объективом микроскопа в
передней фокальной плоскости окуляра рассматривается через окуляр, который
действует как лупа с видимым увеличением:
Общее увеличение микроскопа определяется как
произведение увеличения объектива на увеличение окуляра:
Если известно фокусное расстояние всего
микроскопа, то его видимое увеличение можно определить как:
Как правило, увеличение современных объективов
микроскопов стандартизованное и составляет ряд чисел: 10, 20, 40, 60, 90, 100
крат. Увеличения окуляров тоже имеют вполне определенные значения, например 10,
20, 30 крат. Во всех современных микроскопах имеется комплект объективов и
окуляров, которые специально рассчитываются и изготавливаются так, что подходят
друг к другу, поэтому их можно комбинировать для получения разных увеличений.
.2 Поле зрения микроскопа
Поле зрения микроскопа зависит от углового поля
окуляра
,
в пределах которого получается изображение достаточно хорошего качества:
При данном угловом поле окуляра линейное поле
микроскопа в пространстве предметов тем меньше, чем больше его видимое
увеличение.
.3 Диаметр выходного зрачка
микроскопа
Диаметр выходного зрачка микроскопа вычисляется
следующим образом:
,
где
-
передняя апертура микроскопа.
Диаметр выходного зрачка микроскопа обычно
немного меньше диаметра зрачка глаза (0.5-1 мм).
При наблюдении в микроскоп зрачок глаза нужно
совмещать с выходным зрачком микроскопа.
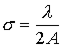
.4 Разрешающая способность
микроскопа
Одной из важнейших характеристик микроскопа
является его разрешающая способность. Согласно дифракционной теории Аббе,
линейный предел разрешения микроскопа, то есть минимальное расстояние между
точками предмета, которые изображаются как раздельные, зависит от длины волны и
числовой апертуры микроскопа:
Предельно достижимую разрешающую способность
оптического микроскопа можно сосчитать, исходя из выражения для апертуры
микроскопа (
). Если учесть, что
максимально возможное значение синуса угла - единичное (
),
то для средней длины
волны можно вычислить
разрешающую способность микроскопа:
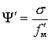
.5 Полезное увеличение микроскопа
Глаз наблюдателя сможет воспринимать две точки
как раздельные, если угловое расстояние между ними будет не меньше углового
предела разрешения глаза. Для того чтобы глаз наблюдателя мог полностью
использовать разрешающую способность микроскопа, необходимо иметь
соответствующее видимое увеличение.
Полезное увеличение - это видимое увеличение,
при котором глаз наблюдателя будет полностью использовать разрешающую
способность микроскопа, то есть разрешающая способность микроскопа будет такая
же, как и разрешающая способность глаза.
Если две точки в передней фокальной плоскости
микроскопа расположены друг от друга на расстоянии
,
то угловое расстояние между изображениями этих точек
.
Видимое увеличение микроскопа:
Поскольку обычно диаметр выходного зрачка
микроскопа около 0.5 - 1 мм, угловой предел разрешения глаза 2´
- 4´. Если взять среднюю длину волны в видимой области
спектра (0.5 мкм), то для полезного увеличения микроскопа можно вывести
зависимость:
Микроскоп с видимым увеличением меньше 500А не
позволяет различать глазом все тонкости структуры предмета, которые
изображаются как раздельные данным объективом (
).
Использование видимого увеличения больше 1000А нецелесообразно, так как
разрешающая способность объектива не позволяет полностью использовать
разрешающую способность глаза (
).
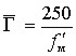
3. Типы операционных микроскопов
Оптическое увеличение при помощи операционного
микроскопа является неотъемлемым элементом микрохирургии. Операционный
микроскоп должен обеспечивать достаточной обзор операционного поля, высокую
контрастность, значительное увеличение с возможностью плавного изменения
кратности от 4 до 40 крат. Желательно иметь микроскоп с zoom-контролем, что
гарантирует точность требуемого увеличения.
Современные операционные микроскопы обладают
превосходной контрастностью, высокой разрешающей способностью и дают ясную, не
искаженную цветовую картину с высокой точностью в деталях.
Операционные микроскопы являются технологически
сложными приборами, которые позволяют получить максимальное увеличение с учетом
оптимального фокусного расстояния. Систему называют стереоскопической, потому
что она включает в себя две линзы, центрированые относительно одного объекта. В
результате каждое, из двух глаз оператора воспринимает изображение. Это
приводит к трехмерному восприятию обьекта.
Стереоскопическое видение позволяет увеличить глубину
фокуса, что дает оператору возможность сохранять оптимальное рабочее расстояние
до операционного поля. Операционные микроскопы бывают нескольких типов:
моноскопы, диплоскопы и триплоскопы - в зависимости от количества возможных
участников микрохирургической операции.

Для микрохирургических реконструктивных операций
наиболее удобны дипло- и триплоскопы, последний особенно хорош для наблюдения
за ходом микрохирургического этапа операции операционной сестрой или
обучающимся врачом.
Во всех современных дипло- и триплоскопах
имеется оптический делитель - устройство, разделяющее световой поток. Часть
светового потока, отведенная к дополнительным окулярам, позволяет ассистенту и
хирургу видеть операционное поле одинаково.
Существуют микроскопы передвижные и
стационарные, которые могут быть фиксированы к стене или потолку. Последние
виды микроскопов довольно дорогостоящие, но позволяют более экономно
использовать площадь операционной и являются самыми удобными, в то время как
передвижные микроскопы довольно тяжелые и громоздкие, что зачастую приводит к
некоторым затруднениям в ходе операции.
Немаловажным элементом строения микроскопа
является локализация регулирующего привода. Предпочтительнее, если он не будет
ручным, чтобы не отвлекать от работы руки и зрение хирурга. Для этого
существует педальный механизм, который позволяет регулировать масштаб, резкость
и перемещение в горизонтальной плоскости. Некоторые микрохирурги, например
Julia Terzis М.D., предпочитают управлять работой микроскопа с помощью
загубника.
Первоначально, при первых шагах в
микрохирургической деятельности у хирурга, возникают трудности в локализации и
удерживании предметов (инструментов) в поле зрения микроскопа и сложности в
манипулировании инструментами. Большую помощь при этом оказывает «окуляр-шпион»
(добавочный окуляр в диплоскопе или триплоскопе), который позволяет
обучающемуся хирургу смотреть за движениями оператора в поле зрения микроскопа
или самому осуществлять простые манипуляции под контролем опытного
микрохирурга.
Рис. 3. Составные части операционного микроскопа
Существует практический прием, который говорит о
технической подготовленности хирурга к работе с операционным микроскопом -
необходимо расположить кончик пинцета в центре поля зрения микроскопа из любого
положения руки, не отрывая глаз от окуляра. Начинающие хирурги первоначально оперируют
при малом увеличении (в 6-10 раз) и лишь при достижении опыта и мастерства
приступают к манипуляциям при более высоких увеличениях (в 25-40 раз).
Необходимо особо отметить, что в ходе одной операции следует использовать
различные увеличения в зависимости от этапа вмешательства - удаление избыточных
тканей или наложение микрососудистого шва и др. Возможность использования
различных увеличений операционного микроскопа на протяжении одной и той же
операции является одним из принципов современной микрохирургической техники.
Преимущество операционного микроскопа состоит в
том, что он обеспечивает широкопольное настраиваемое увеличение, что позволяет
существенно увеличить глубину резкости.
4. Использование операционного
микроскопа в офтальмологии
Операционные микроскопы являются основными
аппаратами в офтальмохирургии. В связи с их применением разработано другое
специальное микрохирургическое оснащение. Именно операционный микроскоп
произвел своего рода научно-техническую революцию в офтальмохирургии, помог ей
перейти на новый качественный уровень.
Прообразом операционного микроскопа можно
считать налобные бинокулярные лупы, предложенные и примененные в офтальмологии
и офтальмохирургии W. Zehendler (1887), М. Rohr и W. Stock (1913), С. Hess
(1911). Однако налобные лупы сравнительно небольшой массы не могли дать
достаточно большого увеличения, а повышение массы луп вызывает определенные
неудобства при их использовании, поэтому предпринимались попытки искать выход в
конструировании увеличивающих оптических систем на штативах.
Одну из первых конструкций операционного
микроскопа на штативе предложил R.A. Perrit (1950, 1958), который начал
разрабатывать приемы офтальмомикрохирургии. Пионером ее в Советском Союзе
является М.М. Краснов (1964-1982), а за рубежом Н. Harms (1953), J.L. Barraquer
(1956), В. Becker (1956), H.M. Dekking (1956), G.D. Bietti, C.A. Guaranta
(1968), R.C. Troutman (1969) и др.
Значительный вклад в разработку
офтальмомикроскопов внес Н. Littman (1954), который соединил в одно целое
микроскоп и щелевую лампу. Недостатком этой системы оказалось малое рабочее
расстояние, т. е. расстояние между окуляром и глазом больного. Аппарат
использовался для исследования больных в горизонтальном положении. Затем был
сконструирован прибор с большим рабочим расстоянием, а система освещения стала
располагаться впереди тубусов-окуляров. Этот аппарат получил название
операционной щелевой лампы.
Н.М. Dekking (1956) применил в офтальмохирургии
выпускаемый для ЛОР-операций микроскоп с рабочим расстоянием 20 см и увеличением
от 4 до 25.
Автор внес в аппарат ценное усовершенствование -
ножное управление для обеспечения движений его в вертикальной и горизонтальной
плоскостях. Это освободило руки хирурга исключительно для выполнения операции.
Позднее Н.М. Dekking (1964) вмонтировал в микроскоп щелевую лампу, которая
расположена под углом 20° к нему и вращается вокруг оси аппарата.
Дополнительное щелевое освещение оказалось весьма полезным при дозировании
глубины разрезов, наложении швов на определенную глубину. Автор считает
наиболее удобным рабочее расстояние микроскопа 20 см.
В 1956 г. В. Becker описал и рекомендовал
использовать в глазной хирургии стереоскопический микроскоп с 5 степенями
увеличения от 6 до 40. В операционный микроскоп конструкции J.L. Barraquer
(1956) была вмонтирована кинокамера.
Н. Dannheim (1961) предложил для изменения
фокусировки микроскопа систему ножного управления операционным столом с помощью
электромотора. Во время операции больной перемещается в вертикальной или
горизонтальной плоскостях.
В 1965 г. G. Littman и R. Wirtekindt предложили
весьма совершенную модель микроскопа с боковым освещением, двумя парами тубусов
(для хирурга и ассистента) и приспособлениями для фотосъемки. Степень
увеличения такого аппарата от 3 до 20. Н.G. Giessman (1968) успешно применил и
рекомендовал производить глазные операции с помощью операционной щелевой лампы
фирмы «Karl Zeiss» (ГДР). Аппарат имеет увеличения 4; 6; 10; 16 и 25. Автор
чаще применял увеличение в 6 раз. Н. Littman и Н. Riede! (1972) предложили две
еще более совершенные системы операционных микроскопов. Первая модель позволяет
автоматически с помощью ножного или ручного привода не только управлять
фокусировкой, но и менять увеличение (зум) аппарата. Последний снабжен также
щелевым осветителем и обычной осветительной лампой. Очень удобно потолочное
крепление этой модели, что освобождает место около операционного стола. Вторая
модель этих авторов отличается простотой, компактностью, имеет внутренний
коаксиальный осветитель, но в ней нет приспособления для увеличения. Обе модели
могут быть снабжены и оборудованы средствами фото-, кино- и телерегистрации.
Для обучения офтальмомикрохирургии G.W.
Weinsteln (1973) предложил использовать микроскоп в виде бинокулярной щелевой
лампы, дающей стереоскопическое изображение. Аппарат имеет окуляры для хирурга
и ассистента, видеосистему с микрофонами и кинокамерами. Узел связи размещается
в операционной; на любом расстоянии от нее можно располагать переносные
мониторы.
Первый отечественный микроскоп включал сменные
окуляры с увеличением 7; 10; 20; 30; рабочее расстояние составляло 230 мм. Этот
аппарат имел существенные недостатки в управлении и был предназначен для
операций на внутреннем ухе. При таком освещении значительно слабее восприятие
глубины, возникает много рефлексов от поверхности глаза. С целью устранения
таких недостатков В.В. Шмелева (1969) предложила монтировать на микроскопе
конструкции Hammer лампу под углом 20-30° к оси наблюдения, а В.В. Садков
(1971) рекомендовал использовать два дополнительных осветителя мощностью по 25
Вт. Л.Ф. Линник (1969) применял в микрохирургии модифицированную щелевую лампу
(ЩЛ-56) на металлической колодке со сквозным отверстием, оптическая часть ЩЛ-56
укрепляется в штативе первого отечественного операционного микроскопа. На штативе
установлен осветитель, который под углом 25° с любой стороны может быть
направлен на операционное поле.
В дальнейшем объединение «Красногвардеец» стало
выпускать операционный микроскоп модели 170 с хорошей оптикой и увеличением 4;
6; 10; 16 и 25. Рабочее расстояние этого аппарата удобное (200 мм), но длина
его оптической части велика (270 мм), поэтому хирург вынужден находиться на
значительном удалении (470 мм) от операционного поля, что обусловливает
напряженную позу в ходе операции.
В глазной хирургии чаще используется увеличение
от 8 до 20. Нужно учитывать, что диаметр контролируемой в микроскоп зоны
обратно пропорционален степени увеличения и обычно находится в пределах 10-25
мм. При больших увеличениях приходится испытывать трудности из-за малого поля зрения,
хотя детали операционного поля видны хорошо.
оптический микроскоп операционный
хирургический
5. Использование операционного
микроскопа в ЛОР-практике
Использование операционного микроскопа в
оториноларингологии давно стало повседневной нормой. Основной частью
операционного микроскопа является оптический блок. Переключение кратности
оптического увеличения в нем бывает двух типов: ступенчатое, системы Галилея, и
бесступенчатое (трансфокаторное). Так, микроскоп ОРМI 1 FС Карл Цейсс Оптон
работает по ступенчатому принципу.
Система Галилея, несмотря на сложность
конструкции, обеспечивает более высокое качество оптического изображения.
Поэтому многие опытные ЛОР-хирурги предпочитают работать с этой системой.
Расстояние от передней поверхности линзы объектива
до рассматриваемого объекта называется рабочим отрезком объектива (иногда его
не совсем верно называют фокусным расстоянием). Для изменения фокусного
расстояния в оправу оптического тракта ввинчиваются различные объективы. В
частности, для осмотра уха и носа устанавливают объективы с фокусом в 200-250
мм, для непрямой микроларингоскопии - 270-300 мм, а для прямой - 350-400 мм.
Указанные варианты зависят от длины стереотубуса с окулярами, длины корпуса
оптического блока с оптическим делителем или без него. Например, в микроскопах
Цейсс и Лейка оптический делитель всегда изготавливается отдельным модулем и
при его отсутствии оптический блок с окулярами имеет компактные размеры и
небольшой вес. В то же время операционные микроскопы Олимпус, МИКО-ЛОР и Топкон
выпускаются с постоянно встроенным оптическим делителем и имеют более длинные
размеры корпуса. Поэтому неправильная установка объективов делает работу на
этих микроскопах некомфортной, например, когда оперирующий оториноларинголог
при выполнении реконструктивных операций на ухе ошибочно устанавливает на
микроскоп объектив с фокусным расстоянием 350 мм, предназначенный для прямой
микроларингоскопии.
Для передачи виртуального стереоскопического
изображения в операционных микроскопах используются бинокулярные стереотубусы с
индивидуально изменяемым межзрачковым расстоянием. В ЛОР-практике используются
только прямые тубусы.
Важное значение для достижения объемного
стереоскопического изображения имеет качество окуляров. При выборе окуляров
определяется не только кратность увеличения, но и размер поля зрения в
градусах. Для возможности работать в очках даже самый широкоугольный окуляр
проектируется таким образом, что если роговица находится на расстоянии 20-25 мм
от поверхности задней линзы окуляра, то сохраняется возможность обзора всего
поля зрения. Это позволяет комфортно оперировать в очках.
Для выравнивания сферической аметропии, если у
хирурга имеется близорукость или дальнозоркость, желательно наличие в одном из
окуляров пластинки с сеткой штрихов, например в виде кольца, измерительной
сетки с делениями или фотокадра. Наличие последнего позволяет видеть границы
демонстрируемого и записываемого видеоизображения. Неправильно настроенные
окуляры не только утомляют зрение, но и могут быть причиной формирования у
ЛОР-хирурга профессионального нарушения зрения.
Для дополнительного наблюдения, фото и
видеодокументации в операционных микроскопах используется оптический делитель.
Это оптическое устройство, которое с помощью призм разделяет видимое
изображение на два потока - визуальный и демонстрационный. Устанавливается
данный узел между оптическим блоком и бинокулярным стереотубусом.
Большое значение в операционной микроскопии
имеет качество освещения. Современные микроскопы имеют не только яркое
освещение, но и очень высокий уровень так называемой цветовой температуры,
измеряемой в градусах по шкале Кельвина, который необходим для
высококачественной цветной фото- и видеосъемки. Даже современные цифровые фото-
и видеокамеры требуют предварительной настройки баланса белого и других цветов.
Первичным источником света являются галогеновые
лампы - это лампы, работающие в режиме перегрузки. Наличие галогеновых газов
йода или ксенона в корпусе этих ламп предохраняет их от перегорания. Тем не
менее, не всегда удается достигнуть необходимого уровня цветовой температуры и
в таких случаях для высококачественной фото- и видеосъемки в световой тракт
вводятся специальные конверсионные светофильтры. Световой блок находится
отдельно от оптического и свет передается по волоконному жгуту, от толщины
которого и качества оптических волокон зависит сохранение необходимых
параметров освещения.
В некоторых микроскопах система освещения
дополнена дублирующей лампой, которая размещается в оптическом блоке. При
перегорании одной из ламп во время операции система дублирования позволяет
включать вторую лампу без отключения микроскопа от сети, не прерывая операцию.
Все ЛОР-микроскопы имеют коаксиальное освещение, т.е. направление освещения
практически совпадает с линией взгляда хирурга. Подобный малый угол освещения
имеет преимущество в микрохирургии, которое заключается в бестеневом
высвечивании в даже очень узких каналах.
Особое внимание обращается на оснащение всех
типов микроскопов зеленым и синим светофильтрами. Применение синего света при
микроларингоскопии в сочетании с локальным и системным использованием
флюоресцентного красителя 5-аминолевулиновой кислоты по методу С. Arens
расширяет диагностические возможности раннего неинвазивного выявления рака
гортани. Если включение зеленого фильтра в микроскопе Карл Цейсс Йена модели #1
производится простым поворотом рычажка, то в микроскопе Лейка 400 Е фильтры
вставляются в корпус в специальных планшетках.
Микроскопы крепятся непосредственно на штатив.
При использовании в ЛОР-практике больших операционных микроскопов они крепятся
на многоточечных напольных штативах или к потолку.
Особое место занимают контравесные штативы,
позволяющие вращать микроскоп в трех плоскостях, не прилагая особых усилий.
Амбулаторные ЛОР-микроскопы крепятся на
небольших штативах к столу, к стене или на компактных параллелограммных рычагах
к легкому напольному штативу на колесиках. Эти микроскопы открывают очень
большие диагностические возможности для большинства практических
оториноларингологов, работающих в поликлиниках.
При наличии в операционном микроскопе
классического оптического делителя, с целью экономии средств возможно
использование уже имеющейся эндоскопической видеокамеры, для чего фирма «Шторц»
выпускает недорогой адаптационный оптический комплект для подключения эндоскопической
видеокамеры к операционному микроскопу. В этом случае с одной стороны
оптического делителя присоединяется демонстрационный стереоокуляр, позволяющий
не только наблюдать, но и участвовать в операции, а с другой стороны
подключается эндоскопическая видеокамера.
Цифровое документирование фото- и
видеоизображения на СD, DVD и флэш-картах, позволяющее накапливать необходимый
объем информации высокого качества, практически вытеснило старые методы
документации.
При этом важным является ценовая доступность
цифрового документирования, которое может осуществляться двумя способами. 1.
Видеосигнал из аналоговой видеокамеры подается сначала в карту «видеозахвата»,
в которой он трансформируется в цифровой, и через порт USB 2.0 вводится в ПК
или в ноутбук. 2. Видеосигнал из цифровой видеокамеры через цифровой порт ieee
1394 напрямую вводится в ПК или ноутбук. Безусловно, качество видеоизображения
цифровой видеокамеры лучше. Особенно это касается режима трансляции во время
операции, когда процесс оцифровки аналогового изображения в карте видеозахвата
неизбежно приводит к снижению качества изображения и к задержке анимации
изображения на 0,5-1,5 с.
Видеосигнал цифровой видеокамеры не нуждается в
оцифровке, скорость его прохождения несравненно выше и поэтому он не вызывает
задержки анимации во время трансляции. Учитывая постоянное падение цен на
компьютерную технику, можно прогнозировать через некоторое время исчезновение
аналоговых видеокамер и полный переход на высококачественные цифровые
видеокамеры. Использование ноутбуков, имеющих 15-дюймовые жидкокристаллические
экраны с разрешением 1024ґ768 и более, очень удобно, так как объем жестких
дисков ПК и ноутбуков позволяет записывать высококачественное видеоизображение
со звуком в течение нескольких часов, а сразу же после операции произвести
монтаж, графическую редакцию, слайдирование и архивирование изображения,
применяя программное обеспечение Adobe Premiere, Photoshop и Power Point.
Таким образом, знание технических принципов и
знакомство с общей информацией по операционной микроскопии, умение пользоваться
современными цифровыми методами демонстрации и документирования при работе с
операционным микроскопом делает эту работу комфортной и интересной и позволяет
достигнуть желаемых результатов при выполнении микроопераций в
оториноларингологии.
6. Использование операционного
микроскопа при хирургических вмешательствах на щитовидной железе
В последнее время отмечается широкое
распространение заболеваний щитовидной железы (ЩЖ), что обусловливается йодным
дефицитом, высоким радиационным фоном и другими негативными экологическими
факторами. Основным методом лечения большинства пациентов с заболеваниями ЩЖ
является хирургический способ, который совершенствовался в течение многих лет.
Однако, несмотря на старания хирургов разных поколений, специфические
интраоперационные осложнения все еще встречаются довольно часто. Так, по
некоторым литературным данным, частота пареза гортани вследствие поражения
возвратного гортанного нерва может доходить до 20%, травмы верхнего гортанного
нерва - до 28%, а распространенность транзиторного и постоянного
гипопаратиреоза после повреждения околощитовидных желез - до 27%. Это
свидетельствует о необходимости новых путей профилактики специфических
осложнений при операциях на ЩЖ.
В настоящее время в разных областях хирургии
широко и успешно применяется увеличительная техника. К сожалению, данная
тенденция недостаточно коснулась вмешательств на ЩЖ, несмотря на явную
необходимость применения операционного микроскопа для облегчения технически сложных
этапов у больных с различной тиреоидной патологией.
Применение микроскопа способствует повышению
скорости и качества выполнения операционных приемов, облегчая работу хирурга.
Применение увеличительной техники во время сложных этапов вмешательства улучшает
процесс визуализации, а при необходимости и выделения околощитовидных желез и
возвратного гортанного нерва путем более точной и четкой идентификации
анатомических структур. Операционный микроскоп не только позволяет лучше
рассмотреть эпителиальные тельца, но и отделить их от ЩЖ без повреждения
питающих сосудов. Кроме того, при помощи увеличительной техники в ряде случаев,
особенно у пациентов с большим и рецидивным зобом, наличием пирамидальной доли
ЩЖ. визуализируются наружные ветви верхнего гортанного нерва. Использование
операционного микроскопа с увеличением до 20 раз при сложных этапах
вмешательства на ЩЖ облегчает процесс атравматичной визуализации и выделения
гортанных нервов и околощитовидных желез.
7. Применение операционного
микроскопа в стоматологии
Применение операционного микроскопа в
клинической стоматологии можно проследить у Apotheker в 1981 г. Он переделал
медицинский операционный микроскоп для использования в эндодонтии. В 1990-х
применение микроскопа стало рутиной и для хирургического и для стандартного
эндодонтического лечения. В течение этого времени специально разработанные
стоматологические операционные микроскопы становятся общепринятой частью
арсенала оборудования врача-эндодонта. С 1998 г. умение использования
операционного микроскопа является обязательным для всех студентов, получающих
специализацию в эндодонтии по акрредитованной учебной программе.
Микроскоп обеспечивал врачам повышенную точность
во время выполнения деликатных хирургических процедур, что в результате приводило
к уменьшению послеоперационного дискомфорта. До недавнего времени роль
операционного микроскопа в общей стоматологической практике была сильно
ограничена, включая врачей, которые выполняют значительное количество
эндодонтических или парадонтологических процедур.
Кроме того, операционный микроскоп предоставляет
важные эргономические преимущества. Врач сидит в комфортабельном прямом
положении, уверенно управляя движениями пациента или движениями зеркала для
визуализации хирургического поля. Сбалансированное положение врача, при
использовании микроскопа может помочь уменьшить скелетно-мышечные нарушения,
которые распространены среди стоматологов.
В дополнение к эргономическим преимуществам,
стоматологи, использующие операционный микроскоп, обнаруживают, что видеокамера,
присоединенная к микроскопу, может быть полезна, предоставляя и пациентам и
вспомогательному персоналу наблюдать лечение в реальном времени. Микроскоп,
подобно интраоральным камерам, дает возможность совместного наблюдения. Кроме
того, эта особенность делает возможным наблюдение лечения для пациентов.
Врачи обнаруживают, что изображение с
операционного микроскопа полезно при обучении пациентов о потребностях их
лечения. Возможность легко документировать ход лечения, используя цифровую
видео и фотографию, с камер, присоединенных к операционному микроскопу,
открывает новые перспективы в обучении пациента, документирования для
профессиональных презентаций и для медицинской/юридической документации.
Стоматологи осознали, что многие детали, которые
потенциально важны для обеспечения лечения находятся за пределами разрешения
человеческого глаза. Начальные кариозные поражения, переломы зуба, обработка
края коронки и оценка краевого прилегания во время примерки часто определяется
тактильно. При увеличениях свыше 4 раз до 6 раз визуальное улучшение,
обеспечиваемое микроскопом, может уменьшить степень использования тактильной
чувствительности. Опытный врач с острым новым зондом может определить краевую
щель в пределах от 35 до 50 µm. Микроскоп обеспечивает истинное
стереоскопическое зрение через бинокуляры и коаксиальное освещение от
галогеновых, металлогалогеновых или ксеноновых ламп, создающих бестеневой свет.
Стоматологический операционный микроскоп может
использоваться во время всей фазы препарирования зуба, но некоторые стоматологи
применяют лупы при грубом препарировании зуба, перед использованием микроскопа
для финишной обработки. Как вариант, низкая степень увеличения микроскопа (от
2,5 до 4 крат) может использоваться для выполнения анестезии и установки
коффердама. Весь квадрант зубов обычно видно при таком уровне увеличения.
Грубое препарирование зуба выполняется, используя среднее увеличение (от 6,4 до
10 крат), а обработка края завершается, используя 16 кратное увеличение. После
финишной обработки края препарирование оценивается при низком увеличении для
того, чтобы убедиться, что не было создано поднутрений.
По сравнению с высоким увеличением, при среднем
увеличении (от 6,4 до 10 крат) все визуальное поле занято одним зубом. При
высоком увеличении только часть зуба (2/3 поверхности) видна одновременно.
Преимущество применения высокого увеличения - уменьшение периферических
«визуальных помех». При 16 кратном увеличении 100% изображения - это
операционное поле, и концентрация врача не нарушается периферическими помехами.
Важно помнить, что по сравнению с обычной
практикой, применение операционного микроскопа с высоким увеличением не
позволяет стоматологу видеть все 5 сторон зуба одновременно. Следовательно,
необходим намного более регламентированный подход препарирования под коронку,
чтобы исключить потребность частой смены положения микроскопа. При умелом
использовании операционного микроскопа для препарирования под коронку или
мостовидный протез, микроскоп остается неподвижным, а изменения в положении
пациента, головы пациента и стоматологического зеркала позволяют получить
достичь оптимального изображения. Применение высокого увеличения обеспечивает
стоматолога более детализированным видом края препарирования, но это
соответственно уменьшает ширину и глубину операционного поля. Хорошее общее
правило - использовать 10 кратное увеличение для завершения препарирования
зуба.
После того, как препарирование уступа завершено,
другое преимущество операционного микроскопа - это улучшенная работа с мягкими
тканями.
Популярность применения операционного микроскопа
для ортопедических манипуляций вероятно будет увеличиваться в будущем.
Стоматологи будут извлекать преимущества от увеличения, в основном во время
препарирования и этапах установки, изготовленных непрямым способом реставраций.
Улучшенная оптическая острота зрения и освещение упрощают многие технически
сложные задачи. Кроме того, стоматолог получает возможность работать в
сбалансированном эргономичном положении, и может документировать ход лечения
при помощи фото или видеосъемки. Области стоматологии, в которых применяется
операционный микроскоп
Нехирургическая эндодонтия:
нахождение устья канала
препарирование каналов
удаление обломков инструментов и штифтов
разпломбирование каналов
обтурация дополнительных каналов
Хирургическая эндодонтия:
резекция верхушки корня
ретроградное пломбирование
Пародонтология:
резекционные операции
регенеративные вмешательства
консервативное реставрационное лечения
препарирование полостей
финишная обработка и полировка реставраций
Протезирование:
первичное препарирования
изменение положения финишной линии
препарирования
конечное препарирование
оценка качества отпечатков
финишная обработка провизорных протезов
оценка припасовки каркаса на рабочей модели и в
полости рта
анализ эстетики (текстуры поверхности зуба)
удаление остатков цемента
Заключение
Операционный микроскоп - это не только прибор
для увеличения изображения, это также прибор, который увеличивает
стереоскопичность изображения и глубину резкости, это прекрасный осветитель и
устройство для документирования операций с помощью встроенной видеокамеры.
Популярность применения операционного микроскопа в различных областях медицины
будет увеличиваться в будущем. Улучшенная оптическая острота зрения и освещение
упрощают многие технически сложные задачи. Кроме того, врач-хирург получает
возможность работать в сбалансированном эргономичном положении, и может
документировать ход лечения при помощи фото или видеосъемки. Применение
микроскопической техники позволяет не только создавать новые типы операций, но
и значительно улучшать технику ранее существовавших.
Список использованных источников:
1. Большой
толковый медицинский словарь. Т. 1: А-М (Oxford) / Под ред. Г.Л. Билича - М.:
ВЕЧЕ, 2001. - 592 с.
2. Долидзе
Д.Д., Мумладзе Р.Б., Варданян А.В., Султыгов А.X., Карадимитров Г.Н., Джигкаев
Т.Д. Использование операционного микроскопа при хирургических вмешательствах на
щитовидной железе // Анналы хирургии. - 2007. - №5.
. Иванова
Т.В. Введение в прикладную и компьютерную оптику. Конспект лекций. - СПб.: СПб
ГИТМО (ТУ), 2002. - 92 с.
. Морохоев
В.И. Операционные микроскопы в ЛОР-практике // Вестник оториноларингологии. -
2006. - №3. - С.53-57.
. Glenn
A. Van As. Применение экстремального увеличения в несъемном протезировании //
Dentistry Today - 2003. - №6.