Взаимодействие цианокобаламина с сульфитом

  • Вид работы:
    Курсовая работа (т)
  • Предмет:
    Химия
  • Язык:
    Русский
    ,
    Формат файла:
    MS Word
    302,73 Кб
  • Опубликовано:
    2015-01-23
Вы можете узнать стоимость помощи в написании студенческой работы.
Помощь в написании работы, которую точно примут!

Взаимодействие цианокобаламина с сульфитом

Аннотация

Ивлев П.А. Взаимодействие цианокобаламина с сульфитом. Курсовая работа. Иваново: ИГХТУ, 2012. - 48c.

В работе проведено исследование механизма и кинетики взаимодействия цианокобаламина с сульфитом. Изучено влияние концентрации реагентов, температуры и pH на скорость реакции. Показано, что активной формой кобаламина является шестикоординированный цианокобаламин, причем протонирование диметилбензимидазола кобаламина приводит к ингибированию реакции. Установлено, что каталитическое действие на реакцию цианокобаламина с сульфитом оказывают слабые кислоты.

На основании полученных данных предложены схема реакции цианокобаламина с S(IV) и оптимальные условия для превращения цианокобаламина в аквакобаламин.

СОДЕРЖАНИЕ

Аннотация

Введение

. Аналитический обзор литературы

.1 Общая характеристика цианокобаламина

.1.1 Строение кобаламина

.1.2 Характеристика производных кобаламина с разными типами лигандов

.1.3 Химические свойства кобаламина

.1.4 Кислотно-основные свойства кобаламина

.1.5 Биологические функции и роль кобаламина в организме человека

.2 Свойства соединений серы (IV)

.2.1 Сернистая кислота и ее соли

.2.2 Строение сульфит-иона

.2.3 Химические свойства сульфитов

.2.4 Применение сульфитов

. Экспериментальная часть

.1 Характеристика объектов и методов исследования

. Результаты и их обсуждения

.1 Кислотно-основные свойства цианокобаламина

.2 Реакция CNCbl с сульфитом

.2.1 Спектрофотометрические исследования

.2.2 Кинетические исследования

.3 Синтез аквакобаламина

Выводы

Список использованной литературы

Введение

В настоящее время одним из актуальных направлений биохимии и пищевой химии является изучение реакций витамина В12, поскольку этот витамин принимает непосредственное участие в биологически важных процессах. Известно, что в организме человека кобаламин существует в двух формах: аденозил - (AdoCbl) и метилкобаламин (CH3Cbl) [1]. Внутриклеточная конверсия лекарственной формы витамина B12 - цианокобаламина (CNCbl) в его коэнзимные формы у млекопитающих изучена недостаточна. Данный процесс является необходимым условием для его превращения в активные формы (AdoCbl и CH3Cbl). Предполагается, что первым этапом является удаление цианида из внутренней сферы кобаламина. Поэтому изучение процессов «децианирования» кобаламина является важной задачей.

Удаление цианида осуществляют следующими методами:

·        замещением цианида в Cbl(III) восстановленным глютатионом (GSH), с образованием глютатионкобаламина (GSCbl(III)), который рассматривается как предшественник коэнзимных форм кобаламина [2];

·        восстановлением CNCbl(III) c образованием Cbl(II) [3];

·        фотолизом CNCbl с образованием HOCbl [4];

·        с применением SO2 [5].

Следует отметить, однако, что механизм реакции цианокобаламина с SO2 не изучен.

В связи с вышеизложенным, в настоящей работе было проведено исследование взаимодействия цианокобаламина с S(IV).

1. Аналитический обзор литературы

.1 Общая характеристика цианокобаламина

химический кобаламин кислота сульфит

1.1.1 Строение кобаламина

Витамин В12 - группа кобальтсодержащих <#"821043.files/image001.jpg">

Рис. 1.1.1. Структуры порфина и коррина

В общем случае, витамины группы В12 включают в свою молекулу 3-фосфорный эфир 1-α-D-рибофуранозил-5,6-диметилбензимидазола или α-рибазола (B-группа), связанный с Dg-1-аминопропанолом-2, образующим пептидную связь с пропионовой кислотой положения 17 корриновой системы, все β-положения гидрированных пиррольных циклов которой замещины метильными, а также семью карбоксиметильными и карбоскиэтильными заместителями, представленными в виде амидов кислот (a, b, c, g, e, g - положения). Атом кобальта ковалентно и координационно связан в виде «хелатного» комплекса с атомами азота гидрированных пиррольных колец и бензимидазола (через B3 атом, см. рис. 1.1.1), последняя, шестая координационная связь кобальта остаётся свободной: именно по этой связи и присоединяется X-группа (цианогруппа <#"821043.files/image002.jpg">

Рис. 1.1.2. Структура кобаламина

1.1.2 Характеристика производных кобаламина с разными типами лигандов

В зависимости от типа лиганда в β-положении (заместителя X) различают несколько форм витамина В12 (Рис. 1.1.3).

Цианокобаламин - α-(5,6-диметилбензимидазол)кобамид (X = CN) - лекарственная форма витамина В12, не встречающаяся в природе. Представляет собой кристаллическое вещество рубиново-красного цвета, выше 200 °С постепенно разлагается, не плавясь до 320 °С; растворим в воде (1,25% при 25 °С), низших спиртах и алифатических кислотах, феноле, ДМСО, не растворим в других органических растворителях [11]. Группа CN и остаток 5,6-диметилбензимидазолилриботида занимает в молекуле аксиальное положение по отношению к корриновому циклу. Цианокобаламин разрушается под действием окислителей, восстановителей и света. Его водные растворы устойчивы при рН 4,0 - 7,0 [12]. Данная форма витамина В12 образуется при выделении его из природных источников с применением - ионов [13].

Гидроксокобаламин (X = ОН) - фиолетово-красные кристаллы. Одна из основных форм витамина В12, в виде которой он транспортируется белками крови (транскобаламином II и кобалофилинами) и депонируется в организме. Содержится в крови и некоторых органах человека и животных. Он был выделен наряду с цианкобаламином из культуральной среды Str. Griseus [14] и экстрактов печени [15]. Гидроксокобаламин получается при выделении витамина В12 из природных источников в щелочной среде. Легко превращается в другие формы витамина В12 [16].

Аквакобаламин (X = H2O) подобен гидроксокобаламину (a), который в водном растворе в зависимости от pH (а именно pH < 7) может переходить в аквакобаламин (b):


Аквакобаламин менее устойчив, чем цианокобаламин, особенно в щелочном растворе [17]. 5'-Дезоксиаденозилкобаламин, кофермент В12 (X = 5 - дезоксиаденозил) - красные кристаллы. Представляет собой коферментную форму витамина В12. В виде этого кофермента витамин проявляет свое биокаталитическое действие и осуществляет метаболические функции [12].

Метилкобаламин (X = СН3), является природной формой витамина B12. Он обнаружен у микроорганизмов, а также в крови и печени животных и человека [18]. Выполняет функции кофермента 5-метилтетрагидроптероил-L-глутамат: L - гомоцистеин - S - метилтрансферазы, катализирующей ресинтез метионина из гомоцистеина путем переноса на него метильной группы от N5-метилтетрагидрофолиевой кислоты [19].

Сульфитокобаламин, (X = SO3), α-(5,6-диметилбензимидазол) сульфитокобамид, получаемый при воздействии сернистой кислоты на цианокобаламин [6], а также при воздействии бисульфита на аквакобаламин [5]; серосодержащая группа в сульфитокобаламине не является по своим свойствам сульфатной, сульфитной или сульфидной [6]. На рис. 1.1.3 так же приведены другие формы витамина В12 в зависимости от лиганда в α-положение (заместителя B).

.1.3 Химические свойства кобаламина

Известно, что при физиологических условиях кобаламины существуют в трех различных степенях окисления: Со(III), Co(II) или Со(I) [16]. Таким образом, процессы окисления-восстановления играют ключевую роль в химии и биологии B12.

Реакции Cbl в различных степенях окисления с биологически важными молекулами:

.        Взаимодействие с супероксидом:

Супероксид (O2-) - побочный продукт клеточного метаболизма, производится митохондриями и ретикулярными мембранными системами электронного транспорта или ферментами [20].

 

Рис. 1.1.3. Примеры некоторых форм витамина В12 в зависимости от типа лиганда

Cbl(II) способен выступать в качестве супероксиддисмутазы и защищать таким образом от хронического воспаления, от окислительного стресса. При добавлении O2- к Cbl(II) последний окисляется до аква-гидроксо-кобаламина (H2OCbl+/HOCbl), а O2- восстанавливается до Н2О2, который также может окислять Cbl(II) до H2OCbl+/HOCbl:

Cbl(II) + O2- + 2H3O+ → H2OCbl+ + H2O2 + H2O

Взаимодействие с оксидом азота (II), нитритом (NO2-) и нитратом (NO3-):

Анализ большого количества литературы показывает, что данные взаимодействия могут играть важную роль в биологических процессах.

Реакция Cbl(III) c NO протекает в кислых средах с участием нитрита, примеси которого присутствуют в оксиде азота (II) [21]. Однако с восстановленной формой кобаламина Cbl(II) оксид азота (II) реагирует с очень высокими скоростями, значительно большими, чем в случае нитрита [22]. Продуктом реакции Cbl(II) с NO является нитрозильный комплекс Cbl(III)-NO-, которая протекает по механизму диссоциативного замещения (Id) у Co(II)-центра [23].

Отметим также взаимодействия другой восстановленной формы кобаламина Cbl(I) с нитритом (1.3 - 1.4) и нитратом (1.5), которые протекают в кислых средах (pH =1,5-2,5) [24].

6H+ + 6Cbl(I)- + 2HNO2 → 6Cbl(II) + N2 + 4H2O

H+ + 4Cbl(I)- + HNO2 → 4Cbl(II) + NH2OH + H2O


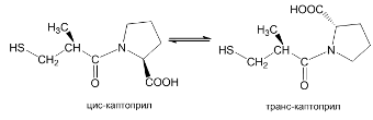
Взаимодействие с каптоприлом:

Каптоприл (1-[(2S)-3-меркапто-2-метилпропионил]-L-пролина; рис. 1.1.4) является ингибитором АПФ [25].

Рис. 1.1.4. Каптоприл (CapS)

АПФ - ангиотензинпревращающий фермент - цинксодержащей дипептидил карбоксипептидаза [25], находящаяся на поверхности сосудистого эндотелия и клеток эпителия ряда органов, включая сердце, легкие и почки.

При расщеплении карбоксильного конца неактивных декапептидов ангиотензина I АПФ образует ангиотензин II - мощное сосудосуживающее вещество. АПФ также расщепляет и инактивирует брадикинин - сосудорасширяющий нонапептид [26], что приводит к повышенному кровяному давлению в организме человека [25]. Ингибиторы АПФ, в частности каптоприл, широко используются для лечения высокого кровяного давления, застойной сердечной недостаточности и сердечнососудистых заболеваний. Они могут также смягчить эндотелиальную дисфункцию и уменьшить повреждение органов, включая диабет, связанный с болезнью почки [27].

Механизм реакции представлен на рис. 1.1.5, из которого видно, как H2OCbl может вступать во взаимодействие с двумя формами CapS: депротонированной и протонированной с образованием устойчивого комплекса CapSCbl [28].

Рис. 1.1.5 Механизм образования CapSCbl

CapSCbl существует и в растворе, и в твердом состоянии в виде смеси геометрических изомеров. CapSCbl в твердом виде используется в дальнейшем как лекарство [28].

.1.4 Кислотно-основные свойства кобаламина

Интерес к реакциям лиганд - замещения в последнее время усилился, благодаря наблюдениям, в которых некоторые ферменты связываются с AdoCbl и CH3Cbl в так называемый base-off/His-on режим, в котором осевой ДМБИ нуклеотид диссоциирован и заключен в «гидрофобный карман», а фрагмент ДМБИ в активном центре His становится нижним аксиальным лигандом [1].

Основной реакцией лиганд - замещения кобаламинов является реакция внутримолекулярной диссоциации ДМБИ при формировании “base-off” формы (1.6).


Таким образом, в достаточно кислой среде диссоциированный ДМБИ может протонироваться в стабильную форму [1]. Данный процесс можно рассматривать как сумму двух последовательных реакций: депротонирование ДМБИ “base-off” формы (1.7) и отщепление от полученной “base-off” формы воды (1.8) [29].


Методом ЯМР установлено, что при увеличении кислотности происходит последовательное протонирование фосфодиэфирной части нуклеотидной цепи кобаламина формы “base-off” (уравнения 1.9 и 1.10).


Отметим, что полная схема ионизации как для бензимидазола, так и для фосфодиэфира, включает в себя 12 равновесий, характеризующихся макро- и микроскопическими константами ионизации [30].

.1.5 Биологические функции и роль кобаламина в организме человека

Кобаламин, в виде CH3Cbl и AdoCbl является важнейшей молекулой <#"821043.files/image011.jpg">

Рис. 1.1.6. Формальные стадии реакции полных корриноидов, характеризующие их химическую активность в качестве кофактора в ферментах

. Гетеролитический способ образования металлоорганической аксиальной связи Со-С. Спровоцированное нуклеофилом расщепление связи Со-С в кобальтовом центре молекулы (формально двухэлектронное окисление/восстановление иона металла) включает в себя образование/ деструкцию двух аксиальных связей (рис. 1.1.6). Этот тип реакций имеет большое значение в реакциях переноса метила, катализируемых ферментами, и представлен реакциями Со(I)-корринов с алкилирующими агентами [32].

На сегодняшний момент известно около 15 ферментативных реакций с участием кобаламина, две из которых протекают в организме человека [33]. К последним двум относятся реакции переноса метильной группы от метилтетрагидрофолата к гомоцистину в присутствии CH3Cbl и превращение метилмалонил-КоА в сукцинил-КоА в присутствии AdoCbl.

В организме человека существует только два фермента с коэнзимами витамина B12:

·        Метилмалонил-КоА-мутаза <#"821043.files/image012.jpg">

Рис. 1.1.7. Процесс перестановки атомов в углеродном скелете

·       
5-метилтетрагидрофолат-гомоцистеин-метилтрансфераза <#"821043.files/image013.gif">

Рис. 1.1.8. Реакция превращения гомоцистеина в метионин

В указанных реакциях производные кобаламина играют роль катализатора и кобальт меняет степень окисления от III (MeCbl или AdoCbl) до I.

Витамин B12 участвует в клеточном делении, присущем каждой живущей клетке. В наибольшей степени от адекватного уровня витамина В12 зависят те ткани, которые делятся наиболее интенсивно: клетки крови, иммунные клетки, клетки кожи и клетки, выстилающие кишечник.

Участие кобаламина в биосинтезе нуклеиновых кислот определяет его влияние на процессы кроветворения и пролиферации клеток. N5-дезоксиаденозилкобаламин необходим для окисления жирных кислот с нечетным числом атомов углерода, а также для окислительного распада метионина, валина, изолейцина и треонина. При недостаточности этой реакции в организме накапливается избыток метилмалоновой кислоты, которая, наряду с пропионовой кислотой, превращается в жирные кислоты с нефизиологическим нечетным числом углеродных атомов. Эти метаболиты вызывают жировую дистрофию нервных клеток и демиелинизацию нервных волокон [8].

Дефицит кобаламина распространен у пожилых людей (10-40%) [35] и может привести к мегалобластной анемии ("злокачественной анемии "), которая, как правило, связана с нарушением всасывания витамина В12 и его производных и/или неврологическими расстройствами. Добавки кобаламина оказывают положительное действие при лечении ряда воспалительных заболеваний, включая сепсис, артрит, болезнь Альцгеймера, рассеянный склероз и синдром хронической усталости. Существует доказательство того, что Cbl защищает организм от окислительного стресса, за счет нормализации уровня TNF-α (который ингибирует супероксиддисмутазу) [36].

Суточное потребление витамина B12 для человека составляет примерно 5-7 мкг/сут.

.2 Свойства соединений S(IV)

.2.1 Сернистая кислота и ее соли

Двуокись серы (сернистый газ) - SO2 - легко растворяется в воде, с образованием «сернистой кислоты» (H2SO3), которая состоит в основном из растворенного и свободно гидратированного молекулярного диоксида серы (1.11 - 1.12). Данная кислота является неустойчивой кислотой средней силы, существующей только в растворах в чрезвычайно небольших количествах [37]. В водном растворе SO2 имеют место следующие равновесия:

SO2 + H2O ↔ H2SO3 ↔ SO2∙H2O2∙H2O ↔ HSO3- + H+, pKa = 1,903- ↔ SO32- + H+, pKa = 6,3

Таким образом, форма серы (IV) в водном растворе зависит от pH: SO2∙H2O (pH < 1,5), HSO3- (pH = 1,5 - 6,5), SO32- (pH > 6,5) [38].

Будучи двухосновной, сернистая кислота дает два вида солей: кислые - бисульфиты (HSO3- - ион) и средние - сульфиты (SO32- - ион). Соли H2SO3, как правило, труднорастворимы в воде, легкорастворимыми являются только сульфиты щелочных металлов [39].

.2.2 Строение сульфит - иона

Строение сульфит-аниона может быть описано относительно трех пирамидальных эквивалентных резонансных структур, в каждой из которых атом серы (в sp3 - гибридизации) с неподеленной электронной парой, соединен π - связью с атомом кислорода, имеющего нейтральный заряд, а так же σ - связью с двумя другими атомами кислорода, с зарядом -1. При этом общий заряд аниона равен - 2. (рис. 1.2.1) [40].

Рис. 1.2.1. Структура сульфит - иона.

.2.3 Химические свойства сульфитов

Как и SO2, сернистая кислота и ее соли являются сильными восстановителями. Растворы сульфита уже на воздухе окисляются (очень медленно) до сульфатов.

Na2SO3 + O2 → 2Na2SO4

Намного быстрее окисление сульфитов протекает под действием таких окислителей как KMnO4, Cl2, I2 (1.15 - 1.16) и т.п.

5Na2SO3 + 3H2SO4 + 2KMnO4 → 5Na2SO4 + 2MnSO4 + H2O+K2SO42SO3 + Cl2 + H2O → Na2SO4 + 2HCl

Сульфиты могут быть также и (слабыми) окислителями:

Na2SO3 + S → Na2S2O3

Следует отметить важную особенность SO32--иона выступать в качестве лиганда в металлокомплексах. Так, например, при пропускании SO2 или добавлении Na2SO3 в раствор Co(NH3)5OH23+ происходит замена гидроксо-лиганда на SO32- по схеме (см. рис. 1.2.2), с образованием Co(NH3)5OSO2+ [41].

Рис. 1.2.2. Механизм образования сульфит-содержащего металлокомплекса Co(NH3)5OSO2+

Сульфиты взаимодействуют срядомпищевыхкомпонентов [42]:

с белками, с расщеплением дисульфитной связи:

Белок - S - S - Белок + SO32- → Белок - S - SO3- + Белок - S-

с различными коферментами как НАД, фолиевая кислота, пиридоскаль, тиамин (1.15) и убихинон (1.16):


с примидинами нуклеиновых кислот, таких как урацил (1.21) и цитазин (1.22) при секвенировании ДНК:


с антоцианами, что приводит к их обесцвечиванию:


с альдегидами и другими соединениями, содержащих карбонильную группу:

RCHO + Na2SO3 + H2O → RCHOH(SO3Na) + NaOH

1.2.4 Применение сульфитов

Диоксид серы и соли сернистой кислоты активно применяются в различных сферах производства. Однако основной областью их использования является пищевая промышленность, в качестве пищевых добавок, как консервант, антиоксидант, стабилизатор окраски и отбеливатель.

Так, например, применение сульфита в вине, в качестве:

2)      стабилизатора окраски - блокирует соединения с реакционноспособной карбонильной группой (мелоноидинообразование, неферментативное потемнение; см. уравнение 1.24), также ингибирует окисление фенолов, реагирую с тирозиназой (ферментативное потемнение).

Формы сульфита, применяемые в качестве пищевых добавках (или при их получении) и их функции, представлены в таблице 1.2.1.

В организме человека сульфиты быстро окисляются сульфитоксидазами до сульфатов и выводятся с мочой. Однако не у всех людей данный тип ферментов содержится в организме в достаточном количестве, что вызывает различного рода аллергические реакции [42, 43].

Таблица 1.2.1

<#"821043.files/image021.jpg">

Рис. 3.1.1. Изменение ЭСП CNCbl при титровании HCl.

Экспериментальные условия: [CNCbl] = 5×10-5 моль/л; [HCl] = 0,01…5 моль/л; 20 0C.

С другой стороны, поскольку pH растворов создавался соляной кислотой, ионы Cl- могли реагировать с цианокобаламином. Чтобы выяснить это, были проведены аналогичные исследования с другими типами кислот (HClO4, H3PO4). В результате была получена картина, идентичная таковым в случае HCl.

На основании спектрофотометрических данных были построены зависимости оптической плотности от pH для разного типа кислот (рис. 3.1.2), из которых видно явное расхождение между кривыми. Поэтому нами был выполнен перерасчет на функцию кислотности Гаммета (Рис. 3.1.3).

Функция кислотности Гаммета, или H0-функция, служит продолжением шкалы pH в сильнокислых средах. Нижней границе шкалы рН соответствует разбавленный водный раствор H2SO4 с концентрацией 5 мас. %, выше которой (рН < 0) шкалу активности протона установить экспериментально невозможно [44, 45].

Рис. 3.1.2. Зависимость оптической плотности при 550 нм CNCbl от pH.

[CNCbl] = 5×10-5 моль/л; HCl (■), HClO4 (●), H3PO4 (▲); 20 0C.

Рис. 3.1.3. Зависимость оптической плотности при 550 нм CNCbl от H0.

Экспериментальные условия:

[CNCbl] = 5×10-5 моль/л; HCl (■), HClO4 (●), H3PO4 (▲); 20 0C.

Из рис. 3.1.3 видно, что переход к функции кислотности дает наложение кривых титрования друг на друга, т.е. кислотно-основные свойства цианокобаламина не зависят от типа кислоты.

Зависимость оптической плотности от H0 была проанализирована с помощью уравнения (3.1), которое в [46] выведено для определения близких констант ионизации двухосновной кислоты при спектрофотометрическом анализе.


Это уравнение было выбрано, поскольку CNCbl в кислых средах может существовать в нескольких формах (см. уравнения 1.6 - 1.10, где R = CN), равновесие между которыми характеризуется следующими константами ионизации: pKabase-off = 0,11 для процесса (1.6); pKa1 = -1,57 и pKa2 = - 0,04 для процесса (1.9 - 1.10) [29].

В результате анализа полученных зависимостей были рассчитаны константы протолитического равновесия для CNCbl (Табл. 3.1.1). Пример анализа представлен на рис. 3.1.1.

Таблица 3.1.1. Константы ионизации.

Тип кислоты

pKа1

pKа2

HCl

-1,35 ± 0,41

0,01 ± 0,04

HClO4

-2,02 ± 0,79

0,3 ± 0,03

H3PO4

-1,45 ± 0,89

-0,06 ± 0,06

Среднее значение pKаi

-1,61 ± 0,9

0,082 ± 0,47


 

Рис. 3.1.4. Зависимость оптической плотности при 550 нм CNCbl от H0.

Экспериментальные условия:

[CNCbl] = 5×10-5 моль/л; в присутствии HCl, 20 0C.

Сравнивая, полученные значения констант pKа1 и pKа2 с константами, полученными методом ЯМР [29], можно сделать вывод о том, что значение pKа1, для процесса (1.9), практически идентично полученному в работе [29], а pKа2, для процесса (1.10), близок по значению к pKabase-off для равновесия (1.6). Таким образом, однозначно различить процессы (1.6) и (1.10), только на основании спектров, нельзя.

.2 Реакция CNCbl с сульфитом

.2.1 Спектрофотометрические исследования

Взаимодействие цианокобаламина с сульфитом в кислой среде (pH ≈ 1,68) сопровождается изменением цвета раствора с красного на светло-желтый. Данное взаимодействие сопровождается сильными изменениями в ЭСП кобаламина (рис. 3.2.1): наблюдается исчезновение пиков при 360, 550 нм и появление нового пика с максимумом в 420 нм. Выявлено наличие трех изосбестических точек: 344, 379 и 493 нм.

Рис. 3.2.1. Изменение ЭСП цианокобаламина при взаимодействии с сульфитом.

Экспериментальные условия: [CNCbl] = 5×10-5 моль/л; [SO32-] = 0,01 моль/л; pH=1,68; 20 0C; Спектры записаны с интервалом 60 с.

Отметим, что данный спектр получен также при взаимодействии H2OCbl с сульфитом в кислых средах. Предполагается, что SO3- восстанавливает H2OCbl с образованием аддукта - Cbl(II)SO3-, находящегося в “base-off” форме [47]. На данный вывод указывает тот факт, что спектр, идентичный полученному, имеет продукт реакции Cbi с сульфитом в щелочной среде.

Реакция CNCbl с сульфитом при рН ≈ 4,73 протекает с изменением цвета раствора с красного на бледно-красный (каштановый). В спектре наблюдается падение пиков на длинах волн 360 нм и 550 нм, а также одновременный рост пиков с λмакс в 311, 418, 517 и 541 нм. Спектральные изменения сопровождаются появлением двух изосбестических точек при длинах волн 346 нм и 545 нм (рис. 3.2.2).

Рис. 3.2.2. Изменение ЭСП цианокобаламина при взаимодействии с сульфитом;

[CNCbl] = 5×10-5 моль/л; [SO32-] = 0,01 моль/л; pH=4,73; 20 0C; Спектры записаны с интервалом 120 с.

При сравнении спектра конечного продукта реакции со спектром Cbl(III)SO3-, установлено, что они идентичны [48].

В дальнейшем нами было проведено кислотно-основное титрование сульфитокобаламина из кислой среды в щелочную и наоборот. Спектральные изменения данного процесса представлены на рис. 3.2.3.

Рис. 3.2.3. Изменение ЭСП сульфитокобаламина при кислотно-основном титровании;

[CNCbl] = 5×10-5 моль/л; [SO32-] = 0,1 моль/л; 20 0C.

При титровании водного раствора сульфитокобаламина из нейтральной среды раствором HCl в спектре наблюдается снижение полос интенсивности поглощения с максимумами 517 нм и 541 нм (соотв. Cbl(III)SO3-). Одновременно возрастает интенсивность полосы с максимумом 420 нм (соотв. Cbl(II)SO3-). Спектральные изменения сопровождаются появлением двух изосбестических точек при длинах волн 378 нм и 485 нм.

По итогам спектрального анализа была построена зависимость оптической плотности от pH (рис. 3.2.4), анализ которой проводился с помощью уравнения (3.2).


Данное уравнение в [46] выведено для спектрофотометрического определения константы ионизации одноосновной кислоты.

Рис. 3.2.4. Зависимость оптической плотности при 543 нм от pH.

[CNCbl] = 5×10-5 моль/л; [SO32-] = 0,01 моль/л; 20 0C.

В результате анализа полученной зависимости была рассчитана константа ионизации для равновесия (3.3).


Отметим, что полученная константа совпадает с pKa самого сульфита.

Известно, что Cbl способен понижать pKa координированных субстратов, по сравнению со свободными, на несколько единиц [1]. При этом сам лиганд способен изменять pKa “base-off” формы Cbl, т.е., вероятно, когда происходит координация сульфита на Cbl, его кислотно-основные свойства изменяются, а протонирование ДМБИ происходит раньше, чем у CNCbl. Образование же SO2 - лиганда происходит при более низких значениях pH, а переход (3.3), наоборот, происходит раньше по сравнению с H2OCbl.

Исследование кинетики взаимодействия CNCbl c сульфитом проводились на длинах волн: 550 нм и 432 нм в зависимости от рН. Типичная кинетическая кривая представлена на рис. 3.2.5.

Рис. 3.2.5. Кинетическая кривая реакции CNCbl с сульфитом при 550 нм.

[CNCbl] = 5×10-5 моль/л; [SO32-] = 0,035 моль/л; [HCl] = 0,125 моль/л, 21 0C.

Установлено, что кинетическая кривая линеаризуется в координатах ln(A-A) - τ (рис. 3.2.6). Следовательно, частный порядок реакции по CNCbl первый. Т.о. в дальнейшем нами были рассчитаны наблюдаемые константы первого порядка.

Рис. 3.2.6. Линейная зависимость для реакции CNCbl с сульфитом в координатах ln(A-A) - τ; [CNCbl] = 5×10-5 моль/л; [SO32-] = 0,035 моль/л; [HCl] = 0,125 моль/л, 21 0C.

Следующим этапом работы было исследование влияния концентрации сульфита на скорость его реакции с CNCbl. Зависимость наблюдаемой константы скорости реакции от концентрации сульфита представлена на рис. 3.2.7.

Рис. 3.2.7. Зависимость наблюдаемой константы скорости реакции CNCbl с сульфитом от концентрации последнего;

[CNCbl] = 5×10-5 моль/л; [HCl] = 0,2 моль/л, 21 0C.

Из рис. 3.2.7 видно, что наблюдаемая константа скорости реакции линейно возрастает с ростом концентрации сульфита, что говорит о первом порядке реакции по сульфиту. В дальнейшем нами было изучено зависимость скорости реакции от рН в широком диапазоне. Зависимость наблюдаемой константы скорости реакции от рН имеет сложный характер (рис. 3.2.8).

Рис. 3.2.8. Зависимость наблюдаемой константы скорости реакции CNCbl с сульфитом от pH. Экспериментальные условия:

[CNCbl] = 5×10-5 моль/л; [SO32-] = 0,01 М; HCl (■), HClO4 (●), H3PO4 (▲); 20 0C.

Из рис 3.2.8. видно, что kнабл. значительно больше для экспериментов с фосфорной кислотой, чем в случае HCl и HClO4 при прочих равных условиях. Однако для всех кислот наблюдается общая тенденция: с ростом концентрации кислоты скорость реакции сначала увеличивается, достигает экстремума, а затем, в сильнокислой среде, падает до нуля.

Вследствие того, что использовалась высокая концентрация кислот, нами был осуществлен перерасчет на функцию кислотности Гаммета (Рис. 3.2.9).

Рис. 3.2.9. Зависимость наблюдаемой константы скорости реакции CNCbl с сульфитом от H0

[CNCbl] = 5×10-5 моль/л; [SO32-] = 0,01 М; HCl (■), HClO4 (●), H3PO4 (▲); 20 0C.

В области слабокислых pH скорость реакции зависит от концентрации буфера (рис. 3.2.10).

Рис. 3.2.10. Зависимость наблюдаемой константы скорости реакции от концентрации буфера;

[CNCbl] = 5×10-5 моль/л; [SO32-] = 0,1 М;

цитрат.буф. pH = 3 (■), ацетат.буф. pH = 4,5 (●); 21 0C.

Линейная зависимость скорости реакции от концентрации буфера при постоянном значении рН указывает на наличие общего кислотного катализа. Т.е. в данном случае перенос протона на субстрат является скоростьлимитрующим этапом. Отметим, что цитрат-ион является восстановителем и мог восстанавливать CNCbl. Поэтому нами были проведен эксперимент, с целью проверки наличия данного процесса, в результате которого было установлено, что наличие в растворе цитрат-иона не влияет на CNCbl.

Рассмотрим отдельно сильно- и слабокислые среды.

Увеличение скорости реакции в сильнокислых средах с уменьшением H0 может быть обусловлено несколькими факторами:

·        кислотно-основными свойствами CNCbl;

·        кислотно-основными свойствами сульфита;

·        кислотно-основными свойствами продукта реакции - сульфитокобаламина;

Анализ литературных данных [38] показал, что в кислых средах (pH < 1) сульфит будет уже полностью находиться в форме SO2. Проведенные ранее нами исследования показали, что сульфитокобаламин не распадается с образованием H2OCbl и SO2, поэтому единственным объяснением роста скорости реакции с уменьшением H0 является депротонирование CNCbl. Более того, при H0 < -0,5 реакция практически не протекает; опираясь на данный факт и величины pKa цианокобаламина, можно предположить, что активной частицей данной реакции является депротонированный CNCbl.

Дальнейшее падение скорости реакции с ростом pH, по-видимому, обусловлено переходом (1.12), поскольку CNCbl уже полностью находится в депротонированной форме. Таким образом, SO2 и HSO3- также являются активными частицами.

Однако оставался вопрос о месте присоединения протона при катализе слабыми кислотами. Сульфит в данном случае был исключен, т.к. его реакция с H+ является очень быстрой; протонирование CNCbl также не рассматривалось, т.к. нами было показано, что присоединение H+ к CNCbl по ДМБИ и корриновому кольцу приводит к ингибированию реакции. Более того, нами было показано, что образование сульфитокобаламина характеризуется отрицательными значениями энтропии реакции. Это указывает, что образование сульфитакобаламина протекает по ассоциативному механизму. Т.е. скоростьлимитирующим этапом является присоединение протона и/или сульфита к цианокобаламину, а не отщепление цианида от кобаламина. Т.о. остается лишь один вариант - это медленное присоединение протона к цианиду. Вероятно, протонирование координированного цианида приводит к ослаблению связи последнего с кобаламином и облегчает вхождение сульфита во внутреннюю сферу металлокомплекса.

На основании выше изложенных данных, предполагаемый механизм взаимодействия CNCbl с сульфитом, с образованием сульфитокобаламина можно представить следующим образом (рис. 3.2.11).

Рис. 3.2.11. Предполагаемый механизм взаимодействия CNCbl с сульфитом

.3 Синтез аквакобаламина

В работе [5] аквакобаламин получали из CNCbl с помощью SO2.

Опираясь на полученные в настоящей работе и литературные данные, нами был предложен новый метод получения H2OCbl, состоящий из следующих этапов:

1.    К водному раствору CNCbl с pH ≈ 4,5 (ацетат. буфер) добавляли сульфит, в виде Na2SO3, и нагревали при температуре 40 0C в течение 2-3 ч. Образующийся в растворе бисульфит-ион вытеснял цианид с образованием сульфитокобаламина (красный раствор приобретал бледно-красный оттенок), а полученная синильная кислота, которая будучи легколетучей жидкостью, удалялась за счет испарения (Ткип. = 26 - 30 0C).

2.      К освобожденному от HCN раствору сульфитокобаламина добавляли раствор HCl до pH ≈ 1, для перехода свободного бисульфит-иона в SO2 (см. ур-ие 1.8). Цвет раствора при этом менялся с красного на желтый. Свободный SO2 удалялся из раствора за счет нагревания реакционной смеси до температуры 40 0C.

.        Удаление SO32- из сульфитакобаламина проводили облучением раствора светом в течение 4-5 ч (цвет раствора приобретает ярко красный цвет). По окончании процесса облучения был снят спектр полученного продукта, который был идентичен спектру H2OCbl.

Схема выше изложенного синтеза представлена на рис. 3.3.1.

Рис. 3.3.1. Механизм синтеза аквакобаламина.

Выводы

1.      Проведены исследования кислотно-основных свойств цианокобаламина, в ходе которых были определены константы его протолитического равновесия: pKa1 = -1,61 ± 0,9 и pKa2 = 0,082 ± 0,47.

.        Показано, что взаимодействие цианокобаламина с сульфитом протекает по внутрисферному механизму, в ходе которого сульфит/бисульфит-ион замещает цианид и образует сульфитокобаламин.

.        Показано, что в зависимости от pH раствора, сульфитокобаламин существует в двух формах “base-on/off” - красной/желтой. Определен pKa данного процесса: 2,02 ± 0,03.

.        Изучена кинетика процесса взаимодействия цианокобаламина с сульфитом в растворах. Определены кинетические и активационные параметры процесса. Показано, что скорость реакции сложным образом зависит от концентрации H+, а скорость лимитирующим этапом является присоединение протона, что указывает на общий кислотный катализ процесса.

.        Показано, что активной формой кобаламина является депротонированный цианокобаламин, причем протонирование ДМБИ и корринового кольца кобаламина приводит к ингибированию реакции. Активными частицами также являются SO2 и HSO3-.

.        Предложен новый метод получения аквакобаламина.

Список использованной литературы

1.      Brown K. Chemistry and Enzymology of Vitamin B12 / K. Brown // Chem. Rev. - 2005. - V. 105. - P. 2075-2149.

.        Pezacka E. Glutathionycobalomin as an intermediate in the formation of cobalamin coenzymes / E. Pezacka, R.G. Green, D.W. Jacobsen // Biochem. Biophys. Res. Commun. - 1990 - Vol. 169. - P. 443-450.

.        Kim J. Decyanation of vitamin B12 by a trafficking chaperone / J. Kim, C. Gherasim, R. Banerjee // PNAS. - 2008. - Vol. 105. - P. 14551-14554.

.        Ahmad I. Photolysis of cyanocobalamin in aqueous solution / I. Ahmad, W. Hunssain, A. Ali Fareedi // Journal of Pharmaceutical & Biomedical Analysis. - 1992. - Vol. 10 - № 1 - P. 9-15.

5.      Jensen M.P. Halpern, J.J. Dealkylation of Coenzyme B12and Related Organocobalamins: Ligand Structural Effects on Rates and Mechanisms of Hydrolysis <http://pubs.acs.org/doi/abs/10.1021/ja982340e?prevSearch=Jensen%2BM.%2BP.%252C%2BHalpern&searchHistoryKey=> / M. P. Jensenm, J. J. Halpern // Am. Chem. Soc. - 1999. - Vol. 121 - P. 2181-2192 - Supporting Info. P. 41-47.

6.      Березовский В.М. Химия витаминов / Березовский, В.М ; под общ. ред. Калменса Р.И., Беликовой Л.С. - 2-е изд. - М.: Пищевая промышленность 1973. - 634 с.

.        Юркевич А.М. Биоорганическая химия. В 14 кн. Кн. 5. Структура, свойства и механизм действия кобаламиновых коферментов /А.М. Юркевич, И.А. Ванина, В. М. Козлов. - М.: Наука, 1984. - 310 с.

8.      Randaccio L. Vitamin B12: Unique Metalorganic Compounds and the Most Complex Vitamins / L. Randaccio, S. Geremia, N. Demitri, J. Wuerges // Molecules. - 2010. - V.15 - P. 3228-3259.

.        Johnson A. Measurement of Disproportionation Rates at the Dropping Mercury Electrode / A. Johnson, G. Miller, J. Mills, A. Todd // J. Chem. Soc. - 1953. - Vol. 75 - P. 3061.

.        Hodgkin, D. Structure of Vitamin B12 / D. Hodgkin, J. Kamper, M. Mackey, J. Pickworth, K. Trueblood, J. White // Nature, - 1956. - Vol. 178 - P. 64-66.

.        Rickes E. Vitamin B12, A Cobalt Complex / E. Rickes, N. Brink, F. Keniuszy, T. Wood, K. Folkers // Science, - 1948. - Vol. 108 - P. 134.

12.    Смирнов М.И. Витамины /М.И. Смирнов, М.:Медицина,1974. - 450 с.

13.    Jensen B.O. A polarographic method for measuring dissolved nitric oxide /B.O. Jensen, J. Skeidsvoll, H. Holmsen // J. Biochem. Biophys. Methods. - 1997. - Vol. 35. - P. 185-195.

.        Bernhauer K. New Chemical and Biochemical Developments in the Vitamin B12 Field / K. Bernhauer, O. Müller, F. Wagner // Angew. Chem. - 1964. - Vol. 3. - P. 200.

15.    Мосин О.В. Микробиологический синтез витамина В12 / О. В. Мосин // Прикладная биохимия и микробиология. - 2003. - №4. - С. 30 - 49.

.        Букин, В. Н. Биохимия витаминов. Избранные труды / В. Н. Букин, М.: Наука, 1982. - 320 с.

18.    Юркевич А.М. Биоорганическая химия. В 14 кн. Кн. 5. Структура, свойства и механизм действия кобаламиновых коферментов /А.М. Юркевич, И.А. Ванина, В.М. Козлов. - М.: Наука, 1984. - 310 с.

19.    Matthews R.G. Cobalamin-dependent and cobamide-dependent methyltransferases / Matthews R.G, Koutmos M, Datta S. // Current Opinion in Structural Biology - 2008 - Vol. 18. - №6 - P. 658-665.

.        Droge W. Free Radicals in the Physiological Control of Cell Function / W. Droge // Physiol. Rew. - 2002. - V. 82. - P. 47-95.

.        Sharma V.S. Reactions of Nitric Oxide with Vitamin B12 and Its Precursor, Cobinamide // V.S. Sharma, R.B.Pilz, G.R.Boss, D.Magde // Biochemistry - 2003 - Vol. 42 - P. 8900-8908.

.        Roncaroli F. Nitrite Impurities Are Responsible for the Reaction Observed between Vitamin B12 and Nitric Oxide in Acidic Aqueous Solution / F. Roncaroli, T.E. Shubina, T. Clark, R.van Eldik // Inorg. Chem. - 2006 - Vol. 45 - P. 7869-7876.

.        Wolak M. Kinetics and Mechanism of the Reversible Binding of Nitric Oxide to Reduced Cobalamin B12r (Cob(II)alamin / M.Wolak, A.Zahl, T.Schneppensieper, G.Stochel, R.van Eldik // J. Am. Chem. Soc. - 2001. - Vol. 123. - P. 9780-9791.

.        Plymale N.T. Kinetic and Mechanistic Studies on the Reactions of the Reduced Vitamin B12 Complex Cob(I)alamin with Nitrite and Nitrate / N. P. Plymale, R.S. Dassanayake, H. A. Hassanin, N. E. Brash // J. Inorg. Chem. - 2012. - Vol. 2. - P. 913-921.

.        Kadin H. Analytical profile of drug substances /H. Kadin, K. Florey //Ed. Academic Press: New York. - 1982. - V.11. - P. 79-137.

.        Ceconi C. Angiotensin-converting enzyme (ACE) inhibitors have different selectivity for bradykinin binding sites of human somatic ACE /C.Ceconi, G. Francolini, A. Olivares, L. Comini, T. Bachetti, R. Ferrari //Eur. J. Pharmacol. - 2007. - V. 577. - P.1-6.

.        Werner, C.RAS blockade with ARB and ACE inhibitors: current perspective on rationale and patient selection /C.Werner, M. Baumhaeke, K.K. Teo, R. Schmieder, J. Mann, T. Unger, S. Yusuf, M. Boehm //Clin. Res. Cardiol. - 2008. - V. 97. - P. 418-431.

28.    Сарафанова Л.А. Пищевые добавки: Энциклопедия/Л.А. Сарафанова. - 2-е изд., испр. и доп. - СПб.:ГИОРД, 2004. -808 -ISBN 5-901065-79-4.

.        Островский, В.А. За нижней границей шкалы pH / В.А. Островский // СОЖ. - 1998. - №12. - С. 58 - 64.

30.    Paul, M. A. H0 and related indicator acidity function/ M. A. Paul, F. A. Long // Chem. Rev. - 1957. - Vol. 57. - P. 1 - 47.

.        Берштейн И.Я. Спектрофотометрический анализ в органической химии / И.Я. Берштейн, Ю.Л. Каминский. - Изд. 2-е, перераб. и доп. Л.: Химия, 1986.- 200 с; ил.

32.    Hill J.A. Pratt, J.M. Williams, R.J.P. // J. Theor. Biol., 1962, 3,423-425.

.        Chemaly S.M. Cobalamins and the spectrochemical series / S.M. Chemaly // Dalton Trans. - 2008. - P. 5766-5773.

.        Jensen M.P. Dealkylation of Coenzyme B12 and Related Organocobalamins: Ligand Structural Effects on Rates and Mechanisms of Hydrolysis / M.P. Jensen, J.J. Halpern //J. Am. Chem. Soc.- 1999. - Vol. - 121. - № 10 - P. 2181-2192.

Похожие работы на - Взаимодействие цианокобаламина с сульфитом

 

Не нашли материал для своей работы?
Поможем написать уникальную работу
Без плагиата!
Без нейросетей!