Взаимодействие кобинамида с фруктозой
Министерство
образования и науки Российской Федерации
Федеральное
государственное бюджетное образовательное учреждение высшего профессионального
образования
ИВАНОВСКИЙ
ГОСУДАРСТВЕННЫЙ
ХИМИКО-ТЕХНОЛОГИЧЕСКИЙ
УНИВЕРСИТЕТ
Кафедра
технологии пищевых продуктов и биотехнологии
Курсовая
работа
Тема:
«Взаимодействие кобинамида с фруктозой»
Шпагилев Н.И.
Иваново 2012
г.
Содержание
Введение
. Обзор литературы
.1 Свойства фруктозы
.2 Свойства нитрита натрия
.3 Свойства кобинамида
. Экспериментальная часть
.1 Используемые реактивы
.2 Реакция Cbi(III) с фруктозой
.3 Кинетика и механизм
взаимодействия Cbi(III) с фруктозой
.4 Кинетика и механизм
взаимодействия Cbi(II) с фруктозой
.5 Механизм реакции Cbi(I) с
нитритом
Выводы
Список литературы
Введение
Одним из важнейших природных металлокомплексов
является кобаламин (витамин В12). Атом кобальта в кобаламине (Cbl)
может принимать различные степени окисления: III,
II, I.
Известно, что реакционная способность кобаламина в редокс процессах
определяется типом аксиального лиганда, находящегося в β-положении.
Однако сравнительных данных по влиянию диметилбензимидазола на редокс свойства
кобаламина значительно меньше. Представляется интересным сопоставление
кинетических данных по восстановлению кобаламина и кобинамида (не содержащего
диметилбензимидазольного фрагмента аналога кобаламина, Cbi) одним и тем же
восстановителем в одинаковых условиях.
Нитрит участвует во многих
биохимических процессах, восстанавливаясь до оксида азота (II) или окисляясь до
нитрата. Он широко применяется в пищевой промышленности
<#"821038.files/image001.gif">
D-фруктоза b-D-фруктофураноза
Рис. 1.1. Строение молекулы фруктозы
Имея гидроксильные группы, фруктоза, как и глюкоза,
способна образовывать сахараты и сложные эфиры. Однако из-за отсутствия
альдегидной группы она в меньшей степени подвержена окислению, чем глюкоза.
Фруктоза, так же как и глюкоза, не подвергается гидролизу.
Смесь D-глюкозы и D-фруктозы называется инвертным,
или инвертированным, сахаром [2].
Углеводы являются биологически
важными веществами, микробиологическая и физиологическая деятельность которых
зависит, в основном, от их окислительно-восстановительного поведения [3].
Каталитическое и некаталитическое окисление сахаров
подробно изучено [4,5]. Окисление
моносахаридов различными окисляющими реагентами особенно важно из-за их
биологической значимости [6-8].
Электрокаталитическое окисление
сахаров представляет большой интерес, поскольку используется в медицине, в
экологии при обработке сточных вод в пищевой промышленности. Эффективными
катализаторами этого процесса являются модифицированные серебром золотые
электроды [9].
Большой интерес представляет
исследование изомеризации сахаров. С тех пор как в 1895 году [10] была опубликована первая работа по изомеризации гексоз в
щелочной среде, многие авторы пытались улучшить избирательность этой реакции
посредством гомогенных, энзимных или ионообменных катализаторов. Интерес к
получению фруктозы обусловлен ее применением в качестве диетического продукта,
а также исходного материала в синтезе фурано-производных полимерных материалов
не нефтяного происхождения [11]. Известно
[12], что пиранозная форма (рис.1.2.) является значительно более стабильной
формой моносахаридов, чем фуранозная (разница в свободных энергиях составляет ~
8 кДж/моль).
Следовательно, можно полагать, что при
увеличении доли фуранозной и открытой форм в растворах реакционная способность
моносахаридов в редокс реакциях будет возрастать. Это предположение
подкрепляется данными о соотношении разных форм моносахаридов в растворах
[12-14]. Хотя абсолютные значения концентраций пиранозной, фуранозной и
открытой форм моносахаридов, приведенные в разных источниках, отличаются,
следует отметить, что концентрация фуранозной формы в растворах пентоз больше,
чем в растворе глюкозы.
Рис. 1.2. Изомерные формы фруктозы
нитрат натрий фруктоза кобинамид
Так, содержание фуранозной и
открытой форм в глюкозе - наименьшее из всех моносахаридов [12-14], глюкоза
является в то же время и наименее активной в редокс процессах. Содержание
фуранозной формы в растворах фруктозы очень велико (около 30% при 30 0С
[12]) и превышает таковое в случае рибозы и ксилозы. Содержание открытой формы в
растворах фруктозы также велико (0.7% при 30 0С [15]), однако,
поскольку она является кетоформой, активность ее ниже, чем у открытых форм
альдоз. Интересно, что в растворах галактозы - соединения, по строению очень
мало отличающегося от глюкозы, содержание фуранозной и открытой форм в 10-15
раз больше [12, 13]. Очевидно, этим объясняется значительно большая активность
галактозы в редокс реакциях [16]. Таким образом, реакционная способность
моносахаридов в редокс процессах сложным образом зависит от их строения и, как
следствие, содержания в растворе пиранозной, фуранозной и открытой форм, а
также химической природы открытой формы.
Мировые запасы полезных ископаемых
уменьшаются, поэтому химическая промышленность должна применять возобновляемые
ресурсы в качестве сырья для промышленности. Ожидается, что углеводы,
полученные из биомассы, будут сырьем для получения многих полезных химических
веществ. Так, из моносахаридов, таких как D-глюкоза, D-фруктоза, D-манноза,
D-галактоза и D-ксилоза, с использованием катализаторов благородных металлов,
получают молочную и глюконовую кислоты. Молочная кислота в свою очередь
является важным продуктом, использующимся в пищевой и фармацевтической
промышленности и в производстве биоразлагаемых пластмасс [17].
Термическое восстановление нитрита
моносахаридами может быть использовано при создании наносистем для
контролируемого выделения NO. Этот метод обладает
существенными преимуществами в сравнении с ранее известными методами [18].
Применение моносахаридов для восстановления серосодержащих
красителей представляет собой экономически и экологически выгодную альтернативу
используемому сульфиду натрия. Восстанавливающие сахара дают сопоставимый, а во
многих случаях более высокий выход красителя на волокно по сравнению с
восстанавливающими агентами на основе сульфида, оказывающими негативное влияние
на окружающую среду. Важно, что химическое потребление кислорода у всех сахаров
ниже, чем у сульфида натрия. Кроме того, использование восстанавливающих
сахаров приводит к значительной экономии воды [19].
.2 Свойства нитрита натрия
Активация малых молекул (NO,
NO2,
N2O,
CO2,
CO и др.) - одна из
ключевых проблем современной химии. Повышение интереса к малым молекулам,
особенно оксидам азота и углерода, обусловлено важностью их реакций в атмосферной
химии и биохимии. Известно, например, сколько внимания уделяется в настоящее
время разработке эффективных способов борьбы против загрязнения атмосферы Земли
парниковыми газами, среди которых нужно, прежде всего, отметить CO2,
CH4
и N2O
[20]. Особенно интенсивно развивается в последнее время химия оксида азота (II),
что связано с его важной биологической ролью. Широким фронтом проводятся также
исследования химии оксида азота (I).
Восстановление нитрит-иона в природе
катализируется двумя группами ферментов - редуктаз. Первая из них относится к
классу медьсодержащих, их активный центр обычно содержит два катиона меди.
Вторая группа редуктаз в качестве активного центра содержит железопорфириновый
фрагмент.
Установлено, что восстановление нитрит-иона легко
протекает в кислых средах, когда он реагирует в форме азотистой кислоты, однако
в нейтральных и особенно в щелочных средах реакция протекает медленно.
Схема биогеохимического цикла азота представлена
ниже (рис.1.3.)
Рис. 1.3. Биогеохимический цикл азота
В ходе его реализуется три основных процесса -
денитрификация, заключающаяся в последовательном восстановлении нитрат-иона до
азота или солей аммония, фиксация атмосферного азота и нитрификация - окисление
аммиака до нитрат-иона с выделением энергии, используемой в синтезе АТФ.
Ключевой стадией цикла является денитрификация, которая, как следует из схемы,
может протекать по двум различным маршрутам.
Восстановление оксида азота (I),
осуществляемое медьсодержащим ферментом - N2O-редуктазой
- является одним из этапов процесса микробиологической денитрификации [21]. Это
единственный процесс, при котором возвращается большое количество связанного
азота в атмосферу, тем самым завершая земной цикл азота. Минусом процесса денитрификации
является истощение озонового слоя атмосферы, в результате выделения большого
количества парникового газа N2O.
Денитрификация вместе с фиксацией азота и процессом нитрификации образует
глобальный биогеохимический цикл азота в природе. Данный цикл состоит из
нескольких связанных между собой биологических процессов и одного
небиологического процесса - реакции N2
и O2
[22]. Большая часть этих процессов включает стадии восстановления и окисления
соединений с N-O
связями. Процессы восстановления катализируются энзимами-редуктазами. В
большинстве этих энзимов лигандами являются макроциклы порфиринового ряда.
До конца двадцатого столетия
нитрит рассматривался почти исключительно как вредное, ядовитое вещество,
которое человек вынужден использовать в качестве консерванта при изготовлении
мясных продуктов и в синтезе некоторых полезных химических соединений. Постоянно сообщалось о вреде
нитрита, прежде всего в связи с образованием сильных канцерогенов -
нитрозаминов - в результате его реакции с аминами. Почти ничего благоприятного
о нитрите не говорилось. Примерно то же, только чаще и больше, сообщалось и о
продукте окисления нитрита - нитрате. О продукте восстановления нитрита -
оксиде азота (II), NO, знали намного меньше. В конце XX в. было доказано, что этот
оксид играет важнейшую роль в работе многих систем организма человека.
Выяснилось, что в
присутствии кислорода главный маршрут образования NO, а также нитрита и нитрата
- это окисление так называемой протеиногенной, т.е. участвующей в построении
белков, аминокислоты аргинина. Последний отличается от других протеиногенных
аминокислот тем, что содержит четыре атома азота, а не один или два. Три атома
образуют гуанидиновую группировку, при окислении которой и получается NO. Но
если организм ощущает недостаток кислорода, т.е. страдает от гипоксии,
включается другой путь - последовательно восстанавливаются нитрат и нитрит:
→
→
. Известны два источника нитрата и нитрита в организме:
упомянутый аргинин и продукты питания, содержащие
или
.
Нитрит человек получает прежде всего вместе с мясными продуктами - ветчиной,
колбасой, сосисками и т.д.
Нитрит - значительно более сильный
окислитель, чем нитрат. Особенно благоприятные условия для его восстановления
создаются в желудке, кислая среда которого усиливает окислительные свойства
нитрита. Он превращается в оксид азота (II) весьма эффективно в присутствии
восстановителей - аскорбиновой кислоты и полифенолов, содержащихся во многих
продуктах питания, преимущественно во фруктах и овощах. Восстановление нитрита
осуществляет фермент - ксантиноксидоредуктаза.
Совсем недавно
установлено, что способностью восстанавливать нитрит обладают глобины -
гемоглобин и миоглобин. Каждый из них состоит из молекулы белка-глобина и гема,
представляющего собой железопорфириновый комплекс. Основная функция
гемоглобина, как известно, - переносить кислород от органов дыхания к тканям, а
обратно нести углекислоту. Нитрит взаимодействует с дезоксигенированным, т.е.
не содержащим кислород, гемоглобином (
), в котором железо
находится в двухвалентном состоянии, и в результате образуются оксид азота (II)
и метгемоглобин (
)
с трехвалентным железом в геме:
+
+
→
+
+
.
(1.1)
Оксид азота (II) затем
вступает в реакцию с другой молекулой дезоксигемоглобина, и возникает
железонитрозильный комплекс:
+
→
-
.
(1.2)
Поскольку с нитритом
реагирует только гемоглобин, не содержащий кислорода,
здесь
выступает в качестве сенсора гипоксии. Образующийся при этом оксид азота
способствует расслаблению кровеносных сосудов.
Другой белок,
миоглобин, содержится в мышцах (его особенно много у морских млекопитающих,
которые способны долгое время находиться под водой) и служит для запасания
кислорода. Дезоксимиоглобин тоже взаимодействует с нитритом, причем значительно
быстрее (примерно в 30 раз), чем дезоксигемоглобин [23]. Таким образом, глобины
выполняют в этих процессах роль, свойственную ферментам редуктазам. В
присутствии кислорода картина меняется кардинально. Оксигенированный миоглобин
работает подобно диоксигеназе - окисляет NO до нитрата. Следовательно,
миоглобин участвует в процессах и образования, и потребления оксида азота (II),
выступая в качестве регулятора.
Нитрит нашел
медицинское применение. Многочисленными исследованиями доказан сосудорасслабляющий
эффект малых доз нитрита [23, 24]. При лечении некоторых сердечнососудистых
заболеваний он представляет собой удобный стабильный источник оксида азота.
Терапевтическое действие оказывают также такие известные доноры NO, как
органические нитраты (например, многим знакомый нитроглицерин) и нитриты
(наиболее известен амилнитрит). Сосудистая активность этих соединений выше, чем
неорганического нитрита, однако при длительном применении она снижается, так
как развивается привыкание. Неорганический нитрит не обладает этим неприятным
качеством.
В последние годы в
опытах на животных показано, что нитрит перспективен для лечения весьма
серьезных болезней - инфаркта, инсульта и др. Об одном из наиболее важных
успехов, достигнутых применением нитрита, стало известно еще в начале 2006 г.
Оказалось, нитрит убивает синегнойную палочку (Pseudomonas aeruginosa). Эта
бактерия, устойчивая к действию антибиотиков, считается условно патогенной для
человека, но она буквально вездесуща и может вызывать многие заболевания, в том
числе тяжелое легочное, если иммунная система организма ослаблена. Устойчивость
к антибиотикам - не единственный характерный признак синегнойной палочки. В
отличие от многих других бактерий, перерабатывающих нитрит благодаря наличию
специальных ферментов, этот микроорганизм лишен такой способности. В его
клетках из нитрита в кислой среде образуется азотистая кислота, которая в
течение 16 дней практически полностью и, что очень важно, селективно, убивает
синегнойную палочку.
Главной проблемой пока
остается токсичность нитрита (и нитрата тоже, поскольку он представляет собой
продукт окисления нитрита). Токсичность нитрита, как считалось долгое время,
обусловлена его канцерогенными свойствами и способностью вызывать повышенное
образование метгемоглобина. Метгемоглобинемия, связанная с протеканием реакции
(1), влечет за собой кислородное голодание, потому что метгемоглобин не может
переносить кислород и, следовательно, доставлять его к тканям. В опытах на
животных в последние годы показано, однако, что дозы нитрита, необходимые для
лечения инфаркта миокарда (менее 40 мг), не вызывают увеличения уровня
метгемоглобина [23]. Канцерогенные свойства нитрата и нитрита, как сообщается
во многих изданиях [например, 26, 27], обусловлены образованием сильных канцерогенов
- нитрозаминов - по реакции нитрита с аминами. Но, несмотря на 40 лет
интенсивных исследований, так и не удалось установить прямую связь между
количеством потребляемого нитрата или нитрита и раком желудка. В опубликованном
в 2001 г. в США докладе, посвященном токсикологии и канцерогенным свойствам
,
говорится, что доказательства канцерогенной активности нитрита в количествах,
не вызывающих метгемоглобинемию, отсутствуют [23]. Таким образом, если
применять нитрит в дозах, необходимых для лечения сердечно-сосудистых
заболеваний, риск возникновения рака минимален.
Нанотехнологические
исследования тоже не обошли стороной нитрит. Нанотехнологи занимаются созданием
систем, которые позволяли бы контролировать скорость выделения оксида азота
(II) из какого-либо его источника. А им может служить, например, нитрит натрия
- твердое и дешевое вещество, пригодное для изготовления имплантатов. В
качестве наноплатформ специалисты рекомендуют применять, в частности,
композитный материал гидрогель-стекло или нитритсодержащие стекла. Платформы
второго типа содержат углеводы (вещества нетоксичные и не вызывающие
нежелательных эффектов) - невосстанавливающие дисахариды (трегалозу или
сахарозу) с добавками восстанавливающих моносахаридов (глюкозы или тагатозы)
[28]. В результате реакции нитрита с восстанавливающим сахаром образуется оксид
азота (II), который выделяется из сухой матрицы при ее взаимодействии с водой и
проявляет свой мощный антимикробный эффект.
.3 Свойства кобинамида
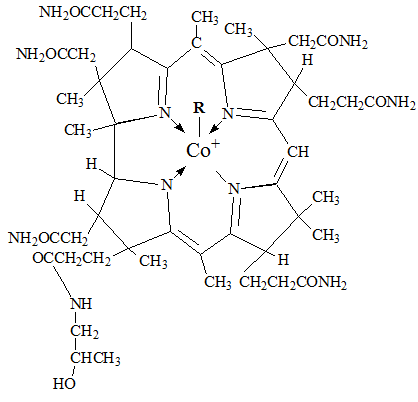
Одним из важнейших природных
металлокомплексов является кобаламин (витамин В12). Витамин В12
является производным коррина, общая его формула представлена на рисунке 1.4.
В зависимости от типа заместителя R
различают несколько форм витамина В12:
R = ОН - гидроксокобаламин.
Получается при выделении витамина В12 из природных источников в
щелочной среде.
R = H2O
- аквакобаламин. Получается при выделении витамина В12 из природных
источников в кислой среде. = 5 - дезоксиаденозил (рис.1.5.). Представляет собой
коферментную форму витамина В12.
Рис. 1.4. Структура витамина В12
Рис. 1.5. 5-дезоксиаденозил
= СН3 - метилкобаламин. Является
природной формой витамина B12.= CN - цианокобаламин. Лекарственная
форма витамина В12, не встречающаяся в природе.
Атом кобальта в кобаламине (Cbl)
может принимать различные степени окисления: III,
II, I.
Осевая координация кобальтового центра в комплексе так же зависит от степени
окисления иона кобальта: как правило, число осевых лигандов уменьшается
параллельно со степенью окисления кобальта. Считают, что в термодинамически
преобладающей форме кобаламина Co(III)-центр
связан с двумя осевыми лигандами, Co(II)
- центр связан с одним осевым лигандом, а у Co(I)
- центра отсутствуют связи с лигандами. Поэтому перенос электрона в реакции с
участием производных витамина B12
будет сопровождаться изменением числа осевых лигандов и этот процесс будет
зависеть от характера осевых лигандов. Все выше изложенное имеет большое значение
для химии и биологии витамина B12
в исследовании окислительно - восстановительных процессов. [29]
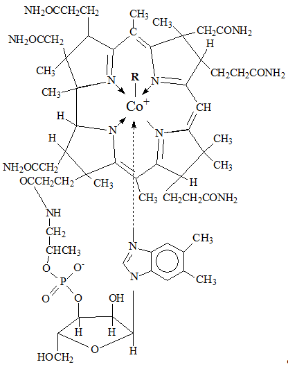
Кобинамид, который не имеет
диметилбензимидазолрибонуклеотидной группы (рис. 1.6), скоординированного к
атому кобальта в нижнее осевое положение, является предпоследним
предшественником в биосинтезе гидроксокобаламина (рис. 1.7).
Рис. 1.6. Диметилбензимидазолрибонуклеотидная
группа
Отсутствие
диметилбензимидазолрибонуклеотидной группы приводит к трем основным различиям
между кобинамидом и кобаламином. Во-первых, кобаламин имеет
только верхнее связывающее лиганд положение, кобинамид имеет верхнее и нижнее
свободные положения для лигандов. Это способствует
тому, что кобинамид связывает цианид в 1010 раз эффективнее, чем
кобаламин.
Рис. 1.7. Структура кобинамида
Во-вторых, диметилбензимидазольная группа
оказывает негативное влияние на верхнее связывающее положение, тем самым
уменьшая сродство кобаламина к связыванию лигандов. И, в-третьих, отсутствие диметилбензимидазолрибонуклеотидной группы у
кобинамида повышает его растворимость в воде во много раз, по сравнению с
кобаламином, что делает его потенциально более полезным в использовании в
качестве фармакологического агента [30].
Известно, что такие формы кобинамида как
диакво-, аквогидроксо-, дигидроксокобинамид существуют в растворе в виде
изомеров. Все эти формы в растворе находятся в равновесии (рис.1.8).
Для этих равновесий, в каждом из
которых участвует один протон, в работе [31] были определены pK1=5,9 и
рК2=10,3. Рассмотренные выше равновесия влекут за собой изменения в природе
осевых лигандов ( в том числе их взаимной ориентации). Однако наиболее важным
является то, что каждое из этих равновесий зависит от водородных связей
лигандов (Н2О и/или ОН-) и гидрофобных взаимодействий корринового кольца с
осевыми лигандами. Известно, что скорость взаимопревращений между изомерами, а
так же присоединения или отщепления протона, меньше по сравнению со скоростью
реакции присоединения лиганда.
Таким образом, определение констант
равновесия имеет важное значение в изучении связи металл-лиганд в корриновом
кольце.
В работе [32] исследована возможность
использования диаквокобинамида как катализатора реакции диспропорционирования H2O2
(1.3):
Диспропорционирование перекиси водорода
катализируют многие ионы металлов и их комплексы. В отличии от инертных Со(III)
- комплексов, диаквокобинамид, благодаря пятой и шестой координационным
позициям, которые легко заместить, является эффективным катализатором этой
реакции. Установлено, что в смеси с H2O2
диаквокобинамид (CoIIICob)
находится в мономер-димерном равновесии (1.4.):
Именно мономер является активным
катализатором диспропорционирования перекиси водорода.
Известно, что кобинамид присутствует
в сыворотке крови человека, желчи и тканях, вероятно, потому что он находится в
витаминных препаратах. Кобинамид имеет большой потенциал использования его как
антидота на цианид. Цианиды могут играть определенную роль в развитии ряда
заболеваний. Известно, что высокий уровень цианидов и тиоцианатов в крови имеют
курящие, а также и пациенты, проходящие курс гемодиализа [33, 34]. Высокий
уровень тиоцианата может способствовать окислению липидов, так как он является
отличным субстратом для фермента пероксидаза, и, следовательно, вызывать
атеросклероз [35-38]. Некоторые штаммы синегнойной палочки, в том числе
выделенных из мокроты больных муковисцидозом, являются цианогенными; это
указывает на то, что цианид может способствовать разрушению легких у больных
муковисцидозом [39]. Поэтому важно иметь лекарство, которое бы вводилось при
вдыхании в случае больных кистозным фиброзом и способствовало детоксикации
цианида.
Показано, что 1-1,5 г. кобинамида
достаточно для лечения тяжело отравленных цианидом [30]. Однако при
концентрациях выше 10-5 М кобинамид является токсичным [40]. Большой
интерес вызывает использование кобинамида для быстрого удаления последствий
отравления цианидами.
Важное значение имеет
способность кобинамида эффективно поглощать NO.
Обнаружено, что кобинамид, по сравнению с кобаламином, в 100 раз более
эффективно связывает NO,
причем каждая молекула кобинамида потенциально может нейтрализовать две
молекулы NO против одной молекулы NO
в случае кобаламина. Данные различия связаны с отсутствием у кобинамида
диметилбензимидазолрибонуклеотидной группы.
Многие заболевания,
такие как сепсис и печеночная недостаточность, характеризуются аномально
высоким содержанием NO, поэтому
удаление избытка NO может оказать
положительное воздействие. Однако, поскольку высокие концентрации кобинамида
нежелательны, в данном случае эффективно использование кобинамида в смеси с
кобаламином. Известно, что кобаламин при тех же условиях, в которых
рассматривался кобинамид, не токсичен для организма и не влияет на способность
поглощения NO кобинамидом. [41]
Известно, что
кобинамид является отличным дополнением к нитропруссидной терапии. Нитропруссид
натрия используется для лечения гипертонических кризисов и острой сердечной
недостаточночти. На сегодняшний момент это наиболее эффективное лекарство.
Только в 2005 году в США было продано около миллиона 50 мг флаконов
нитропруссида. Его действие основано на том, что NO,
который выделяется нитропруссидом в сосудах, обладает сильнодействующем
сосудорасширяющим действием. В дополнении к этому образуются также ионы
цианида, причем на каждую молекулу NO
приходится пять ионов цианида, которые отравляют организм человека. Таким образом,
нитропруссид терапия имеет ограничения из-за токсичности цианида. Показано, что
кобинамид эффективен в нейтрализации ионов цианида, образующихся при
нитропруссидной терапии, в культивируемых клетках млекопитающих, Дрозофилы Melanogaster, и мышей. Как показано выше
кобинамид связывает NO, но при
концентрациях в 2,5-5 раза больше и менее прочно, чем нитропруссид, поэтому он
не уменьшает концентрацию NO
и физиологическую эффективность нитропруссида, а лишь связывает цианид [40].
Однако отмечено, что кобинамид, в котором валентность кобальта равна II, не способен связывать цианид.
Главным минусом в
нитропруссидной терапии является токсичность цианидов. Поэтому важным открытием
является использование вместо нитропруссида нитрозилкобинамида.
Нитрозилкобинамид (NO-Cbi),
синтезированный из кобинамида, является весьма полезным NO - донором. Часто в медицине ограниченное количество NO - генерирующих препаратов используют в качестве дополнительного
метода лечения острых хронических заболеваний. Оксид азота проявляет несколько
физиологических эффектов, прежде всего способствуя расслаблению гладкомышечных
клеток сосудов в венозной и артериальных системах, т.е. обладает сильным
сосудорасширяющим эффектом. Главный недостаток его клинического использования -
это то, что NO является газом. Поэтому его вводили в виде органических
нитратов (нитроглицерин, динитрат изосорбида, пентаэритритолтетранитрат),
которые требуют биотрансформации в активную форму, для того, чтобы генерировать
NO. В связи с этим важно отметить, что нитрозилкобинамид является
эффективным прямым NO - генерирующим
агентом. NO-Cbi имеет ряд
важных особенностей. Во-первых, его легко синтезировать из Cbi(III), который
легко получить из коммерчески доступного гидроксокобаламина. Во-вторых, NO-Cbi стабилен в водном
растворе. В-третьих, продуктом распада NO-Cbi является Cbi(II), который в физиологических условиях окисляется до Cbi(III), который
относительно нетоксичен, по крайней мере, в дозах необходимых для лечения
сердечной недостаточности.
Таким образом, исследования,
приведенные в статье [42], показывают, что NO-Cbi является полезным донором NO,
который может быть использован в лабораторных условиях, и кроме того, может
быть разработан сосудорасширяющий препарат для лечения гипертонии и, возможно,
других заболеваний, таких как стенокардия и сердечная недостаточность.
В работе [43]
изучалась реакция NO с
глютатионилкобаламином. Было доказано, что данное взаимодействие протекает по
механизму радикального замещения (1.5).
Cbl(III)-NO в данной
реакции может быть получен с помощью различных механизмов замещения лигандов:
) диссоциативный.
Сначала происходит образование Cbl(II) и радикала глютатионина (GS∙),
далее происходит образование комплекса NO-Cbl(II).
) ассоциативный. Реакция
протекает с увеличением координационного числа.
) внутримолекулярный,
который может протекать как по диссоциативному, так и по ассоциативному
механизму.
В данной работе было
доказано, что реакция NO
с глутатионилкобаламином протекает по внутримолекулярному механизму (рис. 1.8).
Рис.1.8. Схема
взаимодействия NO с
глутатионилкобаламином
2. Экспериментальная часть
.1 Используемые реактивы
В качестве объектов исследования в работе
выбраны:
· Диаквакобинамид (предоставлен проф.
Дж.Боссом, Университет Сан-Диего, США)
· нитрит натрия, х.ч.
· фруктоза, х.ч.
· гидроксид натрия,
х.ч.
· карбонат натрия, х.ч.
Для приготовления растворов использовалась
дистиллированная вода. Свободные от кислорода растворы получали путем пропускания
через них аргона.
.2 Реакция Cbi(III) с фруктозой
Взаимодействие кобинамида с фруктозой было
изучено в широком диапазоне рН. Предварительными экспериментами установлено,
что при рН ниже 10,4 реакция Cbi(III)
c фруктозой не
протекает.
При добавлении к Cbi(III)
раствора фруктозы в щелочной среде (pH
10,4 -12) наблюдалось изменение цвета раствора с красного на желтый. При этом в
начальный момент времени наблюдалось резкое падение пика при 530 нм (рис. 2.1).
Дальнейшие изменения спектра происходили медленнее, наблюдался рост максимумов
поглощения при 315 нм и 469 нм, а также падение пиков при 340 нм, 500 нм.
Имеются изобестические точки при 262 нм, 330 нм, 370 нм, 487 нм, 573 нм.
Конечный спектр указной реакции полностью идентичен таковому в случае Cbi(II),
полученного с помощью аскорбиновой кислоты.
Рис. 2.1. Спектральные изменения при
восстановлении Cbi
(III) фруктозой в
щелочной среде; [фруктоза]=0,1 моль/л; [Cbi]=4,3∙10-5
моль/л; рН=11,4; 25 0C.
При добавлении к Cbi
(III) раствора фруктозы
в сильно щелочной среде (рН=12,3) наблюдалось два последовательных изменения
цвета раствора: на первом этапе - с красного на желтый; на втором - с желтого
на коричневый.
На первом этапе наблюдался рост максимумов
поглощения при 315 нм и 469 нм, а также падение пиков при 340 нм, 500 нм и
плеча в области 525-550 нм. Имеются изосбестические точки при 262 нм, 330 нм,
370 нм, 487 нм, 573 нм (Рис. 2.2). Данные спектральные изменения идентичны
таковым в случае более низких значений рН.
Далее, на втором этапе, возникали новые
максимумы поглощения при длине волн 300 нм, 386 нм, 469 нм, 681 нм, а также
происходило падение пика при 315 нм. Имеются изосбестические точки при 262 нм,
312 нм, 345 нм, 416 нм и 536 нм. (Рис. 2.3).
Рис.2.2. Спектральные изменения при
восстановлении Cbi
(III) фруктозой в
щелочной среде; [фруктоза]=0,01 моль/л; [Cbi]=5∙10-5
моль/л; рН=12,3 (NaOH);
25 0C
Рис. 2.3. Спектральные изменения при
восстановлении Cbi
(II) фруктозой в
щелочной среде; [фруктоза]=0,01 моль/л; [Cbi]=5∙10-5
моль/л; pH=12,3 (NaOH);
25 0C.
Конечный спектр указной реакции полностью
идентичен таковому в случае Cbi
(I), полученного из Cbi(III)
с помощью цинковой пыли в хлориде аммония [44].
Исходя из полученных данных, можно сделать вывод
о том, что фруктоза является восстановителем кобинамида. В зависимости от рН
среды могут быть получены либо Cbi(II),
либо сверхвосстановленная форма кобинамида - Cbi(I).
.3 Кинетика и механизм взаимодействия Cbi(III) с
фруктозой
Были получены кинетические кривые восстановления
Cbi(III)
фруктозой в диапазоне рН=11,4-13. Форма кинетических кривых зависит от
выбранного значения рН среды.
Кинетические кривые восстановления Cbi(III)
фруктозой при рН = 11,4, представлены на рис. 2.4. На данных зависимостях
наблюдался индукционный период, который уменьшается с увеличением концентрации
фруктозы.
Кривые при рН=11,4-12,3 линеаризуются в
координатах ln(A-A∞)
- f(t)
(где A - оптическая
плотность при 534 нм в начальный момент времени; A∞
- оптическая плотность при 534 нм, соответствующая полному протеканию реакции),
следовательно, частный порядок реакции по Cbi(III)
первый (Рис. 2.6).
В сильнощелочных средах (рН=12,8-13) наблюдалось
линейное падение оптической плотности при 534 нм во времени с выходом на плато,
что указывало, на нулевой частный порядок по Cbi(III)
в диапазоне рН=12,8-13 (рис. 2.7).
Рис. 2.4. Кинетические кривые восстановления Cbi(III)
фруктозой в щелочной среде; [фруктоза]: 1 - 0,01М; 2 - 0,05 М; 3 - 0,1 М; 4 -
0,4 М; [Cbi]=5∙10-5
моль/л; pH=11,4 [Na2CO3]=0,5
М моль/л, 230C.
При увеличении значения рН индукционный период
также исчезает (рис. 2.5).
Рис. 2.5. Кинетическая кривая восстановления Cbi(III)
фруктозой в щелочной среде; [фруктоза]=0,1 моль/л; [Cbi]=
5∙10-5 моль/л; pH=12
([NaOH]=0,01 M);
23 0C

При рН > 13 кинетическая кривая имела сложную
зависимость (рис.2.8).
Рис. 2.7. Кинетическая кривая восстановления Cbi(III)
фруктозой; [фруктоза]=0,1 моль/л; [Cbi]=5∙10-5
моль/л; рН=12,8 ([NaOH]=0,063
моль/л); 23 0C
Рис.2.8. Кинетическая кривая восстановления Cbi(III)
фруктозой; [фруктоза]=0,1 моль/л; [Cbi]=5∙10-5
моль/л; рН=13,3([NaOH]=0,2
моль/л); 23 0C
Были проанализированы кинетические кривые
реакции восстановления Cbi(III)
фруктозой в слабощелочных средах. Получена зависимость kнабл
от [OH-]
(рис.2.9).
Рис. 2.9. Зависимость kнабл
от [OH-][фруктоза]=0,1
моль/л; [Cbi]=5∙10-5
моль/л; 22 0C
Данная зависимость не линейна, но линеаризуется
в координатах 1/ kнабл
- 1/[OH-]
(рис. 2.10).
Рис. 2.10. Зависимость 1/ kнабл
от 1/[OH-];
[фруктоза]=0,1 моль/л; [Cbi]=5∙10-5
моль/л; 22 0C.
При рН=11,4 получена зависимость kнабл
от концентрации фруктозы (рис. 2.11).
Рис. 2.11. Зависимость kнабл
от концентрации фруктозы; рН=11,4 ([Na2CO3]=0,5
M); [Cbi]=5∙10-5 моль/л;
22 0C.
Из рис. 2.11 видно, что наблюдаемая константа
скорости реакции линейно зависит от концентрации фруктозы. Это указывает на
первый частный порядок реакции по восстановителю.
Нелинейная зависимость kнабл
- [OH-],
линеаризующаяся в координатах 1/ kнабл
- 1/[OH-],
характерна для последовательности двух реакций с обратимой первой стадией
(2.1.) [45].
Известно, что в щелочной среде Cbi(III) находится
в равновесии:
Данное превращение происходит
быстро, при этом образуется дигидроксокобинамид, который является неактивной
формой кобинамида.
Рассмотрим превращения, которые
происходят с фруктозой в щелочной среде. В щелочной среде фруктоза находится в
равновесии:
Данное превращение происходит
быстро, при этом образуется реакционноспособная енольная форма фруктозы.
Таким образом, основываясь на выше
сказанном можно предположить, что фруктоза в щелочной среде переходит в
енольную форму, которая является активной, и после этого взаимодействует с Cbi(III) (2.2).
Образовавшаяся форма кобинамида
вступает во взаимодействие с гидроксид-ионом по механизму 2.1. Остается не
известным лишь то, каким образом взаимодействует эта форма кобинамида с
гидроксид-ионом.
Основываясь на исследованиях,
которые представлены в работе [43], можно предполагать, что взаимодействие
вещества «А» с ОН- происходит по внутримолекулярному механизму
(2.3).
.4 Кинетика и механизм
взаимодействия Cbi(II) с
фруктозой
Кинетическая кривая процесса
взаимодействия кобинамида (II) и фруктозы представлен на
рис. 2.12.
Кинетические кривые линеаризуются в координатах ln(A∞-А)
- f(t),
частный порядок реакции по Cbi(II)
первый (Рис.2.13).
Зависимость kнабл
от концентрации фруктозы представлена на рис. 2.14.
Следовательно, механизм реакции описывается
последовательностью двух реакций с обратимой первой стадией (2.4) [45].
Рис. 2.12. Кинетическая кривая восстановления Cbi(II)
фруктозой в щелочной среде; [фруктоза]=0,1 моль/л; [Cbi]=5∙10-5
моль/л; [NaOH]=0,063
моль/л; 23 0C
Рис. 2.13. Зависимость ln(A-A∞)
от времени для реакции кобинамида (II)
с фруктозой; [фруктоза]=0,1 моль/л; [Cbi]=
5∙10-5 моль/л; [NaOH]=0,063
моль/л; 23 0C.
Рис.2.14. Зависимость kнабл
от концентрации фруктозы; [NaOH]=0,1
моль/л; [Cbi]=5∙10-5
моль/л; 23 0C
Эта зависимость нелинейна, но линеаризуется в
координатах 1/kнабл
- 1/[фруктоза] (рис.2. 15).
Рис. 2.15. Зависимость 1/kнабл
от 1/[фруктоза]; [NaOH]=0,1
моль/л; [Cbi]=5∙10-5
моль/л; 230C.
При малых концентрациях фруктозы лимитирующей
стадией является образование интермедиата Cbi-Фруктоза.
При больших концентрациях -превращение интермедиата в конечный продукт.
Для реакций восстановления Cbi(II)
фруктозой при концентрациях NaOH
0,02 М; 0,04 M; 0,063 M;
0,08 M были рассчитаны
константы скорости реакции и получена их зависимость от концентрации NaOH
(рис.2.16.).
Рис.2.16. Зависимость kнабл
от концентрации NaOH;
[фруктоза]=0,1 моль/л; [Cbi]=5∙10-5
моль/л; 230C.
Данная зависимость в координатах kнабл
-
[NaOH] нелинейна, но
линеаризуется в координатах kнабл
- [NaOH]2 (рис.
2.17).
Рис. 2.17. Зависимость kнабл
от [NaOH]2;
[фруктоза]=0,1 моль/л; [Cbi]=5∙10-5
моль/л; 23 0C
Это свидетельствует о том, что частный порядок
реакции по NaOH второй.
Следовательно, в реакции восстановления Cbi(II)
фруктозой участвует два гидроксид-иона.
Известно, что фруктоза имеет pK=12,03
[46]. Она способна взаимодействовать с гидроксид-ионом, при этом получается
енол, который является активной формой фруктозы [47]. Для получения Cbi(I)
необходимо образование промежуточного комплекса. В нейтральной среде
образование этого комплекса не происходит, поэтому мы предполагаем, что он
образуется за счет взаимодействия Cbi(II)
с енолом. Эта стадия протекает обратимо и быстро. Второй гидроксид-ион
участвует в скорость лимитирующей стадии - превращении кобинамид-енольного
комплекса. Эта стадия протекает медленно и необратимо, т.к. при увеличении
концентрации фруктозы скорость образования Cbi(I)
не изменяется. Таким образом, в процессе образуется Cbi(I)
и продукты окисления фруктозы.
Из полученных данных можно сделать следующие
выводы. Показано, что скорость лимитирующей стадией является распад комплекса Cbi(II)
c соединением,
получаемым при взаимодействии фруктозы с гидроксид- ионом. При этом доказано,
что реакция образования промежуточного комплекса присутствует в данном случае.
Установлено, что в процессе участвуют два гидроксид-иона; один из них участвует
в скорость лимитирующей стадии, а другой в быстрой, причем быстрой стадией,
по-видимому, является взаимодействие гидроксид-иона с фруктозой. Таким образом,
общую схему взаимодействия фруктозы с Cbi
(II) можно представить
в виде (2.5)
2.5 Механизм реакции Cbi(I)
с нитритом
При добавлении к Cbi(I)
нитрита наблюдалось изменение цвета раствора с коричневого на желтый (рис.
2.18), сопровождающееся возрастанием пика при 470 нм и падением пика при 681
нм, а также две изосбестические точки при 418 нм и 534 нм. Возрастание пика при
470 нм указывает на то, что в системе образуется Cbi(II).
Падение пика при 681 нм соответствует расходованию Cbi
(I). Это указывает,
что нитрит является окислителем Cbi(I).
Рис. 2.18. Спектральные изменения в ходе реакции
окисления Cbi(I) нитритом, [Cbi] = 5∙10-5 M;
[Фруктоза]=0,01 моль/л; [NaNO2]
= 0,75 М, [NaOH] = 0,1 М,
25 0C.
Кинетические кривые окисления Cbi(I),
полученного восстановлением Cbi(III)
фруктозой, нитритом в щелочной среде показаны на рис. 2.19. На кинетических
кривых окисления Cbi(I)
при относительно малых концентрациях нитрита (0,1 М; 0,2 М) наблюдался
небольшой индукционный период, по-видимому, связанный с редокс-циклом:
образующийся при окислении кобинамида (I)
Cbi(II)
восстанавливается фруктозой до Cbi(I), и таким образом изменений на
кинетической кривой в начальный момент времени не наблюдается.
Рис. 2.19. Кинетические кривые окисления Cbi(I)
нитритом; концентрации NaNO2:
1 - 0,1 М; 2 - 0,2 М; 3 - 0,4 М; 4 - 0,6 М; 5 - 0,8 М; 6 - 1 М; [Фруктоза]=0,01
моль/л; [Cbi]=5∙10-5
моль/л; [NaOH]=0,1
моль/л; 21 0C
Из зависимостей, представленных на рис. 2.19,
видно, что на конечную оптическую плотность при 681 нм влияет концентрации
нитрита. При увеличении концентрации нитрита происходит уменьшение конечной
оптической плотности при 681 нм, т.е. увеличивается степень превращения Cbi(I)
в Cbi(II).
Такая зависимость от концентрации нитрита также указывает на существование
редокс цикла в изучаемой системе.
Кривые при указанных концентрациях NaNO2,
линеаризуются в координатах ln(A-
A∞)
- t, частный порядок
по Cbi(I)
первый (рис. 2.20).
Рис. 2.20. График зависимости ln(A-A∞)
от времени для реакции кобинамида (I)
с нитритом; [NaNO2]=0,1
моль/л; [Фруктоза]=0,01 моль/л; [Cbi]=
5∙10-5 моль/л; [NaOH]=0,1
моль/л; 210C.
Для концентраций NaNO2
0,1 M; 0,2 М; 0,4 М; 0,6
М; 0,8 М были рассчитаны константы скорости реакций, получена их зависимость от
концентрации NaNO2
(рис.2.21).
Зависимость линейна, следовательно, частный порядок реакции по нитриту первый.
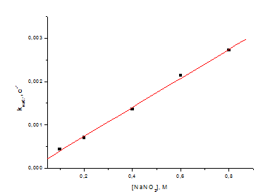
Рис. 2.21. Зависимость kнабл
от нитрита; [Фруктоза]=0,01 моль/л; [Cbi]=5∙10-5
моль/л; [NaOH]=0,1
моль/л; 21 0C
На основании полученных экспериментальных данных
можно предложить следующую схему реакции Cbi(I) и фруктозы.

“Быстрый” участок на кинетической кривой
соответствует, по-видимому, стадии окисления Cbi(I)
в Cbi(II).
После того, как накапливается достаточное количество Cbi(II),
а Cbi(I)
становится меньше, наблюдается на кинетической кривой второй участок - “медленный”.
Рис. 2.22. Кинетическая кривая окисления Cbi(I)
нитритом в щелочной среде; [NaNO2]=0,8
моль/л; [фруктоза]=0,01 моль/л; [Cbi]=5∙10-5
моль/л; [NaOH]=0,1
моль/л; 21 0C.
На следующем этапе работы были изучены реакции
окисления Cbi(I),
полученного восстановлением Cbi(III)
фруктозой с концентрацией 0,025 М, нитритом в щелочной среде.
Для концентраций NaNO2
0,1 M; 0,2 М; 0,4 М; 0,6
М были рассчитаны константы скорости реакций и сделана их зависимость от
концентрации NaNO2
(рис.
2.23). Зависимость линейна, следовательно, частный порядок реакции по нитриту
первый.
Рис. 2.23. Зависимость kнабл
от концентрации нитрита; [фруктоза]=0,025 моль/л; [Cbi]=5∙10-5
моль/л; [NaOH]=0,1
моль/л; 21 0C
Скорость реакции Cbi(I)
c нитритом можно
определить из соотношения r=k1[Co(I)][NO-2].
Наблюдаемая константа равна kнабл
=
k1[NO-2].
Из зависимостей, изображенных на рисунках 2.21 и 2.23, были найдены константы k1.
Для реакций, где использовалась концентрация фруктозы 0,01 М, k1
=
3,34×10-3
с-1, а для реакций с фруктозой, концентрация которой равнялась 0,025
М, k1 =
3,52×10-3
с-1. Таким образом, из приведенных данных можно сделать вывод о том,
что концентрация фруктозы не влияет на скорость взаимодействия Cbi(I)
c нитритом при
данных условиях.
Выводы
. Показано, что восстановление Cbi(III)
фруктозой в щелочной среде протекает в две стадии. На первой стадии образуется Cbi(II),
на второй - Cbi(I).
Предложены механизмы обеих стадий процесса восстановления.
. Установлено, что нитрит окисляет Cbi(I)
до Cbi(II),
при малых концентрациях нитрита наблюдается редокс - цикл. Предложен механизм
взаимодействия Cbi(I)
с нитритом.
Список литературы
1. Березов Т.Т. Биологическая
химия: Учебник /Т.Т. Березов, Б.Ф. Коровкин. - Изд. 3-е; перераб. и доп. - М.:
Медицина, 1998. - 704 с.: ил. - ISBN
5-225-02709-1.
. Гиренко Е.Г. Окисление
аскорбиновой кислоты в присутствии фталоцианиновых комплексов. Химические
аспекты каталитической терапии рака. Сообщение 1. Катализ окисления
октакарбоксифталоцианином кобальта /Е.Г. Гиренко, С.А.Борисенкова, О.Л. Калия
// Изв. Акад. Наук. Сер.хим. - 2002. - №.7 - С. 1137 - 1142.
3. Singh S.P.
First and novel oxidation of d-fructose by potassium iodate using
[IrCl3(H2O)2OH]− complex as a homogeneous catalyst in alkaline medium /
S.P. Singh, Ashok K. Singh, Ajaya K. Singh // J. Mol.
Catal. A Chem. - 2008. - P. 97 - 102.
4. Iyengar T.A. Oxidation
of some aldopentoses by chloramine-B in alkaline medium: a kinetic and
mechanistic study / T.A. Iyengar, Puttaswamy, D.S. Mahadewappa // Carbohydrate.
Res. - 1990. - V. 204. - P.197 - 206.
. Gowda B.T. Kinetics
and mechanism of D-fructose and D-glucose by sodium salts of N-chloro-mono/di
substituted benzenesulfonamide in aqueous alkaline medium / B.T. Gowda, N.
Damodara, K. Jyothi // Int. J. Chem. Kinet. - 2005. - V.37. - P. 572 - 582.
. Sala L.F. Oxidative
decarboxylation of aldonolactones by cerium(IV) sulphate in aqueous sulphuric
acid; synthesis of D-arabinose / L.F. Sala, A.F. Cirelli, R.M. de Lederkren //
J. Chem. Soc., Perkin Trans. 2. - 1977. - P. 685 - 688.
. Gupta M. Kinetics and
mechanism of the reduction of dodecatungstocobaltate (III) by D-fructose,
D-glucose, and D-mannose: comparison between keto- and aldohexoses / M. Gupta,
S.K. Saha, P. Banerjee // J. Chem. Soc., Perkin Trans. 2. - 1988. - P. 1781 -
1785.
. Barek J. Oxidation of
galactose by manganese(III) sulphate / J. Barek, A. Berka, A.P. Hladikova //
Collect. Czech. Chem. Commun. - 1982. - V. 47. - P. 2466 - 2477.
9. Aoun S.B.
Electrocatalytic oxidation of sugars on silver-UPD single crystal gold
electrodes in alkaline solutions / S.B. Aoun, G.S. Bang, T. Koga, Y. Nonaka, T.
Sotomura, I. Taniguchi // Electrochem. Commun. - 2003. - V.5. - P. 317 - 320.
10. Lobry de Bruyn, C.A.
Action of alkalis on the sugars. Reciprocal transformation of glucose,
fructose, and mannose / C.A. Lobry de Bruyn, W. Alberda van Ekenstein // Recl.
Trav. Chim. - 1895. - V. 14. - P. 203.
. Gandini, A. Furans in
polymer chemistry / A. Gandini, M.N. Belgacem // Prog. Polym. Sci. - 1997. - V.
22. - P. 1203.
12. Advances in
Carbohydrate Chemistry and Biochemistry. V.42 / R.S.
Tipson, D. Horton - Academic Press - London - 1984 - 423 pp. ISBN:
978-0080563015.
13. Paez M.
Identification of the Components of Aldoses in a Tautomeric Equilibrium Mixture
as Their Trimethylsilyl Ethers by Capillary Gas Chromatography / M. Paez, I.
Martinez-Castro, J. Sanz, A. Olano, A. Garcia-Raso, F. Saura-Calixto //
Chromatographia - 1987 - V.23 - P. 43-46.
. Pazur J.H.
Identification of furanose and pyranose ring forms of carbohydrates by
methylation, gas-liquid chromatography and mass spectrometry / J.H. Pazur, F.J.
Misiel, B.Liu // J. Chromatogr. - 1987 - V. 396 - P. 139-147.
15. Mot A. “Super-reduced”
iron under physiologically-relevant conditions / A. Mot, Z. Kis, D.A.
Svistunenko, G. Damian, R. Silaghi-Dumitrescu, S.V.Makarov // Dalton Trans. -
2010 - V.39 - P. 1464-1466.
16. Лепилова
О.В. Обоснование ферментативных методов регулируемого расщепления углеводных
примесей и делигнификации льняной ровницы: дис. канд. техн. наук: 05.19.02:
защищена 17.12.2007 / Лепилова Ольга Владимировна. - Иваново, 2007.
17. Onda A. A new chemical process for catalytic conversion of
D-glucose into lactic acid and gluconic acid / A. Onda, T. Ochi, K. Kajiyoshi,
K. Yanagisawa // Appl. Catal. A: Gen. - 2008. -
V. 343. - P. 49 - 54.
18. Friedman A. Sustained
release nitric oxide releasing nanoparticles: characterization of a novel
platform based on nitrite containing hydrogel/glass composition / A. Friedman,
G. Han, M.H. Navati, M. Chacko, L. Gunther, A. Alfieri, J.M. Friedman // Nitric
Oxide - 2006 - V.19 - P. 12-20.
. Blackburn R.S. Green
chemistry methods in sulfur dyeing: application of various reducing d-sugars
and analysis of the importance of optimum redox potential / R.S. Blackburn, A.
Harvey // Environ. Sci. Technol. - 2004. - V. 38. - P. 4034 - 4039.
20. Леонтьев
А.В.
Современная
химия
оксида
азота
(I) /А.В.
Леонтьев,
О.А.
Фомичева,
М.В.
Проскурнина,
Н.С.
Зефиров
//Успехи
химии.
- 2001. - Т. 70. - №2. - С.
107-119.