Биотехнологическое использование полимолочной кислоты

  • Вид работы:
    Курсовая работа (т)
  • Предмет:
    Химия
  • Язык:
    Русский
    ,
    Формат файла:
    MS Word
    466,33 Кб
  • Опубликовано:
    2014-11-27
Вы можете узнать стоимость помощи в написании студенческой работы.
Помощь в написании работы, которую точно примут!

Биотехнологическое использование полимолочной кислоты

МИНИСТЕРСТВО СЕЛЬСКОГО ХОЗЯЙСТВА И ПРОДОВОЛЬСТВИЯ РФ

ФГБОУ ВПО «ОРЛОВСКИЙ ГОСУДАРСТВЕННЫЙ АГРАРНЫЙ УНИВЕРСИТЕТ»

ФАКУЛЬТЕТ БИОТЕХНОЛОГИИ И ВЕТЕРИНАРНОЙ МЕДИЦИНЫ

КАФЕДРА БИОТЕХНОЛОГИИ

 

 






КУРСОВАЯ РАБОТА

По дисциплине: «Биотехнологическое использование природных полимеров»

на тему: «Биотехнологическое использование полимолочной кислоты»


Автор проекта

Гришина К.В.




ОРЕЛ - 2014 г.

Введение

Трудно переоценить значение полимеров в нашей жизни. Полимеры окружают нас буквально со всех сторон: из них состоят пакеты в супермаркетах и одноразовая посуда, корпуса телефонов и другой бытовой техники, автомобильные шины и оконные рамы. Это важнейший материал, из которого сделаны постоянно используемые нами предметы. С другой стороны, полимеры являются естественными компонентами всех живых организмов, в том числе и человека.

Широкое применение некоторых синтетических полимеров, например, полиэтилена, сопряжено с необходимостью их утилизации. Известно, что разложение обычного полиэтилена под воздействием света и кислорода может длиться не одну сотню лет. Утилизация полиэтиленовой упаковки и изделий из других синтетических полимеров - одна из глобальных проблем современности. Существующие способы переработки таких полимеров не совершенны, в связи с этим ряду стран пришлось ограничить их производство.

Биополимеры - класс полимеров, встречающихся в природе в естественном виде, входящие в состав живых организмов: белки, нуклеиновые кислоты, полисахариды, лигнин. Биополимеры состоят из одинаковых (или схожих) звеньев - мономеров. Мономеры белков - аминокислоты, нуклеиновых кислот - нуклеотиды, в полисахаридах - моносахариды.

Биополимеры (полное название - биоразлагаемые полимеры) отличаются от остальных пластиков возможностью разложения на микроорганизмы путем химического или физического воздействия. Именно это свойство новых материалов позволяет решать проблему отходов. В настоящее время разработка биополимеров ведется по трем основным направлениям: производство биоразлагаемых полиэфиров на основе гидроксикарбиновых кислот, придание биоразлагаемости промышленным полимерам, производство пластических масс на основе воспроизводимых природных компонентов.

Глава 1. Общие сведения о полимолочной кислоте

Полимолочная кислота (ПМК) является биоразлагаемым полимером, так как способна разлагаться и анаэробными и аэробными бактериями. Анаэробное разложение идёт быстрее. Скорость процесса разложения тем больше, чем больше температура. Полимер так же способен к деструкции при выдерживании в водной среде. Полный гидролиз образца полимера протекает в течение 40-50 лет.

Рис. 1 Формула полимолочной кислоты

При соответствующей пластификации ПМК становится пластичной и может заменить полиэтилен, полипропилен и др. Она относительно хрупкая, но обладает значительной прочностью. Термообработка полимера с последующим быстрым охлаждением позволяет получить продукт с низкой кристалличностью. Ориентация волокна, полученного из ПМК, приводит к кристаллизации. Хорошими пластификаторами для ПМК является монолаурат полиэтиленгликоля, полиэтиленгликоль, олигомолочная кислота, цитраты. Для снижения хрупкости могут изготавливаться сополимеры и композиты на основе ПМК (например, сополимер с гликолевой кислотой, гликолевой кислотой и лизином и т. д.).

Покрытия и плёнки отличаются высокой прочностью, прозрачностью, блеском, приемлемой температурой экструзии более 200 °С, имеют низкий коэффициент трения. Плёнка хорошо сваривается и при этом может биоразлагаться при компостировании. Так же на основе ПМК и ее сополимеров получены пористые материалы.

Важным достоинством полимолочной кислоты (полилактида) является то, что этот прозрачный, бесцветный термопластичный полимер может быть переработан всеми способами, применяемыми для переработки известных термопластов. Из листов можно термоформовать подносы, тарелки, упаковку для пищевых продуктов, имплантаты для медицины. Он опробован также в качестве полимера для получения волокон, пленок, связующего для целлюлозных нетканых материалов. Несмотря на все перечисленные достоинства полилактида, широкое внедрение его в качестве полимера бытового и технического назначения до последнего времени сдерживается небольшими объемами выпуска, низкой производительностью технологических линий и, как следствие, высокой стоимостью продукции. В связи с этим особое внимание в настоящее время разработчики полиэфиров уделяют вопросам удешевления получаемых биоразлагаемых продуктов за счет создания высокопроизводительных технологических процессов. Активную работу в совершенствовании технологии производства молочной кислоты проводят фирмы Cargill Inc. (США) и PURAC (Испания).

Полимолочная кислота существует в трех изомерных формах : D-форма, L-форма и их смесью.

Рис. 2 Строение изомеров полимолочной кислоты

химический полимолочный кислота полилактид

Тип изомера определяет многие свойства полимера, такие как температура плавления, температура стеклования, условия растворения в органических растворителях, кристалличность. То есть, варьируя наличие L и D-форм в полимере, можно задать полимер с необходимыми свойствами, сто помогает получить различные классы полилактидных материалов.

Полимер, состоящий на 100% из L-лактида имеет высокую степень стереорегулярности, что придает ему кристалличность, температура стеклования L-полилактида 54-58 °С, температура плавления достигает 207 °С, но вследствие наличия различных примесей, дефектных кристаллов на практике обычно встречается заниженная температура плавления 170-180 °С.

В том случае если полилактид состоит из L- и D-форм лактидов он имеет аморфное строение, температура стеклования составляет 50-53 °С, плавление отсутствует, так как нет кристаллической фазы.

Самая высокая температура плавления у комплекса, состоящего из чистого L-полилактида и чистого D-полилактида.

Две цепочки сплетаются и образуется дополнительное взаимодействие между ними, которое ведет к повышению температуры плавления.

Таблица 1. Физико-химические свойства высокомолекулярной полимолочной кислоты

Свойства

Неориентированная PLA

Ориентирванная PLA

Тg, °С

57-60

57-60

Удельный вес, г/см3

1,25

1,25

Предельная прочность при растяжении ´103, МПа

6,9-7,7; 47,6-53,1

6,9-24; 47,6-166

Предельная текучесть при растяжении ´103, МПа

6,6-8,9; 45,5-61,4

Не определено

Модуль при растяжении ´103, МПа

500-580; 3447-4000

564-600; 3889-4137

Прочность по Изоду с надрезом, кг×см/см

0,3-0,4

Не определено

Относительное удлинение при разрыве, %

3,1-5,8

15-160

Твердость по Роквеллу

82-88

82-88


Глава 2. Технология получения полимолочной кислоты

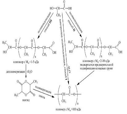
Синтез полимолочной кислоты можно проводить тремя основными способами. В основе их, по крайней мере, на начальной стадии лежит поликонденсация молочной кислоты.

Рис. 3. Синтез полимолочной кислоты

Этот процесс - равновесный, и без специальных условий (в частности, удаления реакционной воды) можно получить только хрупкий стеклообразный олигомер с неважными физикомеханическими характеристиками. В то же время удаление реакционной воды азеотропным способом (азеотропной поликонденсации) позволяет синтезировать полимолочную кислоту с достаточно высокой молекулярной массой из молочной кислоты напрямую (способ I). Этот метод сравнительно недорог, не требует каких-либо специальных добавок, однако в получаемом полимере могут содержаться примеси токсичного катализатора. От следов этого катализатора избавляются осаждением или фильтрованием после добавления сильных кислот (например, серной).

В основе других способов (II и III) получения полимолочной кислоты с высокой молекулярной массой лежит предварительный синтез олигомера с достаточным количеством концевых гидроксильных и карбоксильных групп. Так, по способу II полимолочную кислоту (Mw>100 кДа) синтезируют из олигомера с Mw=2¸10 кДа и модифицированными концевыми группами. Для этого из продукта поликонденсации молочной кислоты отдельно получают олигомер с концевыми гидроксильными группами и отдельно - с концевыми карбоксильными. Олигомер с концевыми гидроксильными группами синтезируют с использованием малых количеств полифункциональных ОН-содержащих веществ (2-бутен, 4-диол, глицерин или 1,4 утандиол), а олигомер с концевыми карбоксильными - при добавлении малых количеств карбоновых кислот (малеиновая, янтарная, адипиновая или итаконовая) или их ангидридов (малеиновый или янтарный). Полученные олигомеры подвергают поликонденсации между собой с получением полимолочной кислоты, причем молекулярная масса продукта складывается из молекулярных масс прореагировавших олигомеров и зависит от их мольного соотношения. Способ II более дорог, чем способ I, но в случае применения специфических добавок, нейтрализующих или удаляющих нежелательные примеси и побочные продукты синтеза, можно получить высокочистый полимер без остаточных металлов, катализаторов и низкомолекулярных фракций.

Наконец, согласно способу III из предварительно синтезированного и очищенного олигомера с Mw=1¸5 кДа путем деполимеризации при пониженном давлении получают циклический лактид. Затем этот лактид подвергают полимеризации, в результате которой цикл лактида раскрывается и получается высокомолекулярная полимолочная кислота. Полимеризация лактидного цикла может протекать как по катионному, так и по анионному механизму. Катионную циклополимеризацию обычно проводят при катализе сульфокислотами или тетрафенилоловом, а анионную - при катализе алкоксидами. В качестве агента, контролирующего молекулярную массу полимера, можно использовать лауриловый спирт.

В настоящее время лактидный способ синтеза является единственным промышленным способом, позволяющим получать чистую высокомолекулярную (Mw>300 кДа) полимолочную кислоту, тогда как молекулярная масса продукта прямой поликонденсации молочной кислоты намного меньше (192,5 против 8,6 кДа для LPLA и 245,5 против 8,5 кДа для D,LPLA). В связи с этим некоторые исследователи различают собственно полимолочную кислоту (низкомолекулярный продукт поликонденсации собственно молочной кислоты) и полилактид (высокомолекулярный продукт полимеризации циклического лактида), однако широко такая терминология не принята.

Высокомолекулярная полимолочная кислота представляет собой бесцветный стеклоподобный полимер со свойствами, напоминающими полистирол [3]. PLA нерастворима в воде, этаноле и метаноле, но растворяется в некоторых органических растворителях (метиленхлорид, четыреххлористый углерод, хлороформ, ацетон, диоксан, этилацетат, бензол, тетрагидрофуран). Температура термодеструкции PLA превышает 200 °С [5]: так, термическое разложение L-PLA начинается при 310 и заканчивается к 400 °С.

Полимолочная кислота может находиться в кристаллическом либо аморфном фазовом состоянии. По данным рентгенографического анализа L-PLA, синтезированная из оптически активного L-изомера, представляет собой частично кристаллический полимер, а D,L-PLA, полученная из рацемической смеси, аморфна [8]. Степень кристалличности L-PLA высока и составляет более 80% [32], а равновесная температура плавления чистого кристаллического L-PLA Tm=207 °С [5]. Однако вследствие наличия примесей, дефектных кристаллов и возможной рацемизации на практике обычно определяют заниженную величину 170-180 °С [5]. Степень кристалличности L-PLA зависит от соотношения оптически активных мономеров в смеси для синтеза [8]. Интересно, что в смеси чистых L-PLA и D-PLA происходит стереокомплексообразование с образованием рацемических кристаллов (Tm=230°С), механические свойства которых превосходят свойства чистых энантиомеров. С другой стороны, введение рацемической D,L-PLA в высококристаллическую L-PLA приводит к заметному падению и температуры стеклования, и температуры плавления.

Таблица 2. Температуры плавления и стеклования смесей L- и D, L-PLA

Содержание D,L-PLA в смеси с L-PLA, %

Тg, °C

Тm, °C

0

63

178

5

59

164

10

56

150

15

56

140

20

56

125*


При отсутствии следов влаги PLA представляет собой довольно термостабильный полимер: согласно до 180 °С процессы деструкции в нем практически не протекают. По мнению этих авторов, основными реакциями при термической деструкции PLA являются следующие:

Рис. 4. Основные реакции при термической деструкции полимолочной кислоты.

Протекание этих реакций обусловлено либо наличием следов катализатора полимеризации (реакция I), либо концевыми гидроксильными группами PLA (реакции II и III). Однако в присутствии воды температура деструкции резко снижается и этот процесс успешно протекает уже при естественных условиях. Основной вклад в деструкцию PLA при этом вносят следующие процессы:

·              гидролиз под действием остаточных количеств воды, катализируемый получающимися в результате мономерами (молочными кислотами);

·              деполимеризация по типу «расстегиваемой молнии» (zipper-like depolymerization), катализируемая остатками катализатора полимеризации;

·              хаотичная окислительная деструкция основной полимерной цепи;

·              межмолекулярная переэтерификация с участием олигомерных и мономерных сложных эфиров;

·              внутримолекулярная переэтерификация, приводящая к образованию олигомерных или мономерных лактидов с более низкой молекулярной массой.

Существенное влияние на закономерности биодеструкции PLA оказывает ее молекулярная масса и степень кристалличности. Так, по данным Конти (Conti) и др. [26], время деструкции частично кристаллической L-PLA высокой молекулярной массы («поли-L-лактида») составляет от нескольких месяцев до нескольких лет, тогда как для низкомолекулярной L-PLA («поли-L-молочной кислоты») - всего несколько недель. С другой стороны, в сравнении с ними для деструкции высокомолекулярной полностью аморфной D,L-PLA требуется от нескольких недель до нескольких месяцев.

Деструкция PLA с определенной молекулярной массой и кристалличностью определяется в основном условиями среды. Рассмотрим некоторые из них:

·              рН среды: по данным Макино (Makino) и др., в основной среде гидролиз L-PLA протекает заметно быстрее, чем в кислой. Интересно, что при рН, близких к нейтральной среде, наблюдается тенденция к возрастанию молекулярной массы полимера, причем его молекулярно-массовое распределение резко расширяется. Это объясняется тем, что деструкция низкомолекулярных фракций протекает быстрее, т.к. мономерные продукты гидролиза растворяются легче. Таким образом, из полимера удаляются низкомолекулярные фракции, а среднюю молекулярную массу начинают определять оставшиеся высокомолекулярные, что и обуславливает ее кажущееся увеличение. Макино и др. отмечают, что после достаточного выдерживания в гидролитически активной среде (20 дней) L-PLA вообще приобретает бимодальное молекулярно-массовое распределение, причем второй пик появляется как раз в области высоких молекулярных масс.

·              ионная сила раствора: согласно ионная сила раствора не оказывает заметного влияния на молекулярную массу L-PLA в широком диапазоне рН (от 1,2 до 9,8). На молекулярно-массовое распределение в кислой и нейтральной средах ионная сила раствора также практически не влияет, однако при рН 9,8 картина меняется: в этих условиях с увеличением ионной силы раствора молекулярно-массовое распределение L-PLA становится шире. Другими словами, с повышением ионной силы раствора в основной среде возрастает скорость образования деструктировавших фракций с промежуточной молекулярной массой, которые пока не растворимы в среде. Макино и др. [10] объясняют этот эффект тем, что на поверхности микрочастиц PLA адсорбированы промежуточные продукты деструкции, содержащие карбоксильные группы. Увеличение ионной силы раствора способствует переходу карбоксильных групп в растворимую форму карбоксилат-иона COO-, что облегчает деструкцию. Поскольку, как было отмечено выше, в первую очередь деструктируют более низкомолекулярные фракции, молекулярно-массовое распределение нерастворенного полимера становится более широким. Таким образом, на ранних стадиях деструкции гидролиз L-PLA начинается именно в поверхностных слоях, что создает отрицательные заряды на ней (образуются карбоксильные группы). На более поздних стадиях деструктировавшие фрагменты переходят в раствор, и заряд поверхности становится менее отрицательным [15].

·              концентрация буферного раствора: по данным Макино и др. [5], с увеличением концентрации буферного раствора скорость деструкции L-PLA увеличивается, даже несмотря на одинаковую ионную силу. Это происходит потому, что в присутствии буфера продукты деструкции переходят в солевую форму и облегчают дальнейший гидролиз.

Определенное влияние на деструкцию PLA может оказывать активное лекарственное вещество. Известно [17], что некоторые лекарственные препараты-амины катализируют гидролиз основной цепи полимолочной кислоты: так, в ряду прометазин<метадон<меперидин происходит заметное ускорение гидролиза L-PLA, тогда как в присутствие налтрексона гидролиз протекает ненамного быстрее, чем без него. Присутствие альбумина,глобулина или фибриногенов также увеличивает скорость гидролиза микроносителей лекарственных средств из PLA [14], которая тем выше, чем больше содержание этих веществ в самом микроносителе.

Воздействие ультразвука также способствует деструкции PLA, причем влияет как продолжительность воздействия, так и мощность ультразвука. По данным О’Доннела (O’Donnell) и др., под действием ультразвука молекулярная масса PLA несколько снижается; впрочем, этот эффект выражен не сильно.

Материалам из полимолочной кислоты свойственно объемное разрушение [5], однако ряд приемов (например, действие некоторых активных веществ [25] или повышение ионной силы среды [26]) позволяет добиться усиления доли поверхностной составляющей, т.е. способствует повышению воспроизводимости высвобождения.

Основным продуктом биодеструкции PLA является молочная кислота - естественный продукт обмена веществ живых организмов [8]. Считается [14], что конечными продуктами превращения молочной кислоты в организме являются углекислый газ и вода, которые удаляются с помощью дыхательной системы организма. Из-за отсутствия в PLA пептидных цепей и биодеструктируемой природы ее действие на ткани живых организмов не вызывает иммунологических реакций. Однако рядом исследователей отмечались небольшие воспалительные реакции в течение первой недели после имплантации порошков, пленок и микрокапсул из D,L-PLA с последующим образованием фиброзных тканей вокруг имплантата. Следует отметить, что только L(+)-форма молочной кислоты способна перерабатываться живыми организмами, поэтому с этой точки зрения L-PLA считается более подходящей по сравнению с D,L-PLA. С другой стороны, кристаллическая L-PLA менее удобна в переработке, а ее деструкция и высвобождение из нее активного вещества, по сравнению с аморфной D,L-PLA, затруднены и хуже прогнозируются. Из этих соображений для включения активных веществ все же чаще используют именно D,L-PLA.

В промышленности используется комбинация поликонденсации и полимеризации. Поликонденсацией молочной кислоты можно получать только низкомолекулярный полилактид, так как в процессе выделяется побочный продукт - вода, отвести которую из реакции сложно, и, поэтому, растущая полимерная цепь разрушается. Получившийся низкомолекулярный полилактид деполимеризуют до димера молочной кислоты, лактида. Полученный лактид полимеризуют при высокой температуре, с добавлением катализатора октоноата олова, получая высокомолекулярный полилактид.

Молочная кислота производится путем ферментации. При этом начальная часть является периодическим процессом. При использовании определенного количества биореакторов (ферментеров) на последующих стадиях достигается переход процесса в непрерывный. Технологическую цепочку можно продолжить процессом непрерывной полимеризации.

Классическое применение молочная кислота имеет в пищевой промышленности в качестве консервирующей добавки к пищевым продуктам (E 270 и E 325-327 лактаты натрия, калия и кальция), в качестве буферной субстанции и для придания кислого привкуса, в кожевенном производстве для набухания и обеззоливания, в текстильной промышленности, как вспомогательное средство для крашения и печати.

В сельском хозяйстве с каждым годом растет применение молочной кислоты в качестве подкисляющей и консервирующей добавки, как средства для очистки, дезинфекции и нейтрализации, а также в качестве добавки для кормов.

В низких концентрациях она применяется в качестве буферной субстанции при производстве косметических и фармацевтических препаратов для достижения кислотного значения pH. В этих областях применения мировая потребность в молочной кислоте, производимой методом ферментации, оценивается в настоящее время в 250.000 т/год.

Следующей, особенно важной в будущем областью применения молочной кислоты, является производство биологически разлагаемой полимолочной кислоты (полилактида) методом непрерывной полимеризации. Исследования показали, что 22% всех произведенных полимерных материалов применяется для упаковки, в основном для упаковок одноразового пользования. Только в Германии это количество составляет 1,5 млн т/год.

Из полилактида возможно производство таких продуктов, как покрывающая пленка для сельского хозяйства, системы укрепления грунта для садоводства и возделывания виноградников, одноразовые изделия медицинского применения для больниц, а также упаковка для продовольственных продуктов и товаров широкого потребления. По данным исследований в настоящее время существует рынок полимолочной кислоты для пленок и неформированных волокон приблизительно 122.000 т/год, в 2008 году он составит примерно 390.000 т/год и в 2010 году до 1.184.000 т/год.

.1 Сырье для производства полимолочной кислоты (полилактида)

Молочная кислота это натуральная органическая кислота, имеющая многолетнюю историю применения в пищевой, кожевенной, косметической промышленности и в окрашивании тканей. Молочная кислота впервые была получена в 1780 году в Швеции из кислого молока.

С 1881 года для промышленного производства молочной кислоты используется метод молочнокислого брожения (ферментации). Ответственными за процесс молочнокислого брожения являются микроорганизмы и бактерии лактобацилус (Lactobacillus) и лактококкус (Lactococcus) и некоторые другие.

Задолго до того, как стало возможным её коммерческое производство, молочная кислота образовывалась в процессе естественной ферментации в таких продуктах, как сыр, йогурт, соевый соус, закваски, мясные продукты, маринованные овощи, пиво и вино. В теле животных и человека также вырабатывается значительное количество L(+)-молочной кислоты во время ежедневной физической активности, бега, ходьбы. Сегодня молочная кислота, её производные и сложные эфиры широко используются в пищевой, косметической, фармацевтической и других отраслях промышленности [5].

Молочная (2-гидроксипропионовая, 6-гидроксипропионовая) кислота является a-гидроксилированной карбоновой кислотой, C 3H6 O 3. Речь идет о прозрачной, похожей на сироп жидкости, без запаха и приятно-кислой на вкус, которая хорошо растворяется в воде. На кожу и глаза молочная кислота оказывает раздражающее действие.

Она имеет асимметричный атом углерода, обеспечивающей существование двух оптических изомеров, т.е. D (или R) и L (или S) форм. L-Молочная кислота усваивается организмом, а D-изомер - нет.

Молочная кислота в промышленности производится химическим (50%) и ферментативным (50 %) синтезами.

Химический синтез основан на реакции ацетальдегида с цианистым водородом, приводящим к получению лактонитрила, гидролиз которого дает молочную кислоту.

При получении молочной кислоты с помощью молочнокислых бактерий и химическим синтезом образуется оптически недеятельная D,L-молочная кислота.(+)-Молочную кислоту образуют молочнокислые стрептококки (S. termophilus, S. lactis, Leuconostoc cremoris), а Lb. lactis и Lb. bukgaricus продуцируют около 90 % D(-)-молочной кислоты.

Возбудителем молочнокислого брожения в производстве молочной кислоты является культура Lactobacillus delbrukii.

Глава 3. Области применения полимолочной кислоты

Применение биоразлагаемых полимеров в упаковочной и пищевой промышленности позволяет решить проблему утилизации упаковки, сводя к минимуму вредное влияние на окружающую среду. Сегодня такие технологии разрабатывают ведущие университеты мира и внедряют крупнейшие компании - производители упаковки. В России своих производителей упаковки из биоразлагаемых полимеров пока нет, но есть потребность в чистом производстве и утилизации.

Рис. 5. Разложение одноразового стаканчика из биоразлагаемого синтетического полимера - полимолочной кислоты.

Мы привыкли четко различать полимеры искусственного происхождения, получаемые путём химического синтеза и биополимеры, синтезируемые живыми организмами. Первые человек использует как материал для различных изделий, вторые являются важными структурными элементами живых клеток. Но для некоторых биополимеров и синтетических полимеров эта грань не такая четкая. Особенно ярко это проявляется при использовании таких полимеров в медицине и фармацевтике. Именно в этих областях возможно использование как биополимеров, так и синтетических полимеров для создания одного и того же медицинского изделия или лекарственной формы.

Бурное развитие хирургии, трансплантологии и фармакологии привело к активному использованию полимеров как основы множества имплантируемых медицинских изделий: эндопротезов и шовных нитей в хирургии, искусственных тканей и органов в трансплантологии, материалов для стоматологии, матриксов для тканевой инженерии, и лекарственных форм в фармацевтике. Имплантируемые полимерные изделия частично замещают органы и ткани человека, а полимерные материалы, из которых состоят эти изделия, выполняют функции биополимеров человеческого тела. Во всех этих случаях способность полимерного материала к биосовместимости и биоразложению имеет особое значение.

Рис. 6. Трехмерный матрикс из нанонитей из биоразлагаемого сополимера полимолочной и полигликолевой кислот (СЭМ, х1000).

Следует отметить, что медицинские полимеры играют важнейшую роль в современной науке. Каждый полимер медицинского назначения, как объект одновременно науки и технологии, формирует вокруг себя обширную мультидисциплинарную сеть. Изучение медицинских полимеров перекидывает мост от науки к технологии, от фундаментальной к прикладной науке, связывает различные естественные науки - математику, физику, химию, биологию, медицину и их смежные направления - физическую химию, биофизику, биохимию, молекулярную биологию, медицинскую химию, фармакологию, молекулярное моделирование, биотехнологию, нанотехнологии, тканевую инженерию, генетическую инженерию и др. Специалисты, изучающие медицинские полимеры должны иметь меж- и мультидисциплинарное образование, а также иметь представление об социально-экономических аспектах применения изделий и препаратов на основе полимеров. Ярким примером центра формирования подобной научно-технологической сети и основой для разработки разнообразных медицинских изделий и фармацевтических форм являются полиоксиалканоаты.

Глава 4. Перспективы развития

Проблема придания свойств биоразлагаемости хорошо освоенным многотоннажным промышленным полимерам (полиэтилен, полипропилен, поливинхлорид, полистирол, полиэтилентерефталат) занимает важное место в исследованиях. Активно разрабатываются три направления:

·        введение в структуру биоразлагаемых молекул, содержащих в своем составе функциональные группы, способствующие фоторазложению полимера;

·        получение композиций многотоннажных полимеров с биоразлагаемыми природными добавками, способными в определенный момент времени инициировать распад основного полимера;

·        направленный синтез биодеградируемых пластических масс на основе промышленно освоенных синтетических продуктов.

Потребление полилактатов только на рынке пленок и нетканых волокон в 2003 г. составило 122 тыс. т/г и, согласно последним прогнозам, достигнет 390 тыс. т/г в 2008 г. и от 1184 тыс. до 1 842 тыс. т/г к 2010 г. Эти прогнозы, с одной стороны, представляются вполне реалистичными, а с другой стороны дают повод для беспокойства, так как указанные выше количества ПЛ закроют потребности только малой части существующего рынка полимеров, традиционно используемых для изготовления упаковки [11].

Сегодня молочную кислоту, используемую для получения ПЛ, получают ферментацией углеводов растительного происхождения, а именно гидролизатов сахарозы и крахмала. С целью уменьшения затрат при производстве ПЛ предложены также другие сырьевые компоненты, извлекаемые из агрохимических отходов, в частности, черная патока (меласса) и сыворотка. Однако затраты на очистку ПЛ, полученной из такого сырья, резко возрастают с уменьшением чистоты используемого субстрата. В Европе сахарозу, как правило, получают из сахарной свеклы, а крахмал - из пшеницы и, в меньшей степени, из картофеля или кукурузы. В США основным источником крахмала является кукуруза. [12]

Производство 390 тыс. тонн ПЛ в год (2008 г.) потребует отвода 70 тыс. га, 187 тыс. га и 121 тыс. га сельскохозяйственных угодий под сахарную свеклу, пшеницу и кукурузу соответственно. Это соответствует 3,3%, 1,9% или 2,0% средней посевной площади, используемой под эти культуры в пятнадцати странах ЕС.

Здесь стоит учесть исследование, опубликованное Евросоюзом, где говорится о том, что 25% имеющихся сельхозугодий оцениваются скорее как ненужные для производства продуктов питания, что соответствует 30 млн. га (Европейская Комиссия DG XII, 1994). Если в этом случае внедрение биополимеров на мировой рынок не сможет в полной мере обеспечить решение вопроса утилизации пластмасс, то, по крайней мере, оно даст значительный вклад в доходные статьи агросектора Евросоюза. Помимо этого неоспоримого преимущества, следует отметить как весьма желательное (со стороны Евросоюза, США, Японии, Китая и ряда др. стран) уменьшение зависимости от импорта нефти для производства пластмасс.

4.1 Преимущества и недостатки биополимеров

Преимущества биоразлагаемых полимеров:

·        возможность обработки, как и обычных полимеров, на стандартном оборудовании;

·        низкий барьер пропускания кислорода, водяного пара (оптимально для использования в области пищевой упаковки);

·        стойкость к разложению в обычных условиях;

·        быстрая и полная разлагаемость при специально созданных условиях или естественных - отсутствие проблем с утилизацией отходов.

·        независимость от нефтехимического сырья.

Недостатки биоразлагаемых полимеров:

·        ограниченные возможности для крупнотоннажного производства;

·        высокая стоимость (пока в среднем 2-5 евро за кг). Однако, следует учесть, что экономическая стоимость, помимо цены продукта, содержит также и затраты по утилизации и использованию. В этом смысле биоразгагаемые полимеры предпочтительнее: возобновляемые ресурсы, необходимые для их производства, более выгодны. Важно также отметить, что высокая цена материала - явление временное, пока производство биополимеров не стало массовым и процесс их выпуска до конца не отлажен. Со временем, стоимость биопластиков снизится, и они станут доступными для широкого ряда предприятий.

Заключение

Несмотря на то, что в настоящее время доля биоразлагаемых пластиков на рынке чрезвычайно мала, потенциал этого рынка огромен. Дальнейшее ужесточение экологических требований может помочь биоразлагаемым пластмассам успешно конкурировать с обычными пластмассами, заменяя их. В настоящее время самая «массовая» сфера применения биоразлагаемых пластиков - тара и упаковка для пищевых продуктов. Однако уже известны примеры применения биопластиков в отраслях IT технологий, автомобилестроения, игрушек и т. д. Кроме того, вся Европа использует биоразлагаемые мешки для биологических отходов, многие страны применяют и биоразлагаемую мульчу (с/х пленка).

Биополимеры характеризуются низкой токсичностью и хорошей биологической совместимостью с тканями живых организмов, а свойства и скорость деструкции их можно регулировать содержанием кристаллической фазы и соотношением звеньев мономеров в PLA.

В России, к сожалению, биополимеры пока не производятся и не применяются. Основные тому причины: ограниченная платежеспособность как предприятий, так и конечных потребителей (неготовность платить за уникальную, экологически чистую, но дорогую упаковку), недостаточное внимание к экологическим проблемам со стороны законодательных властей и неготовность вкладывать в развитие новых технологий производства полимерных материалов.

Список литературы

1. Новые поликонденсационные полимеры: Сборник переводов и обзоров из иностранной периодической литературы; Мир - Москва, 2005. - 296 c.

. Полимеры в медицине; Мир - Москва, 2011. - 240 c.

. Полимеры в узлах трения машин и приборов. Справочник; Машиностроение - Москва, 1980. - 208 c.

. Полимеры медицинского назначения; Медицина - Москва, 1981. - 248 c.

. Химически активные полимеры и их применение; Химия - Москва, 1977. - 310 c.

. Бектуров Е.А., Кудайбергенов С., Хамзамулина Р.Э. Катионные полимеры; Наука -, 1986. - 156 c.

. Бовей Ф. Действие ионизирующих излучений на природные и синтетические полимеры; Издательство иностранной литературы - Москва, 1992. - 296 c.

. Болтон У. Конструкционные материалы. Металлы, сплавы, полимеры, керамика, композиты; Додэка XXI - Москва, 2007. - 320 c.

. Болтон У. Конструкционные материалы. Металлы, сплавы, полимеры, керамика, композиты; Додэка XXI - Москва, 2009. - 320 c.

. Болтон У. Конструкционные материалы: металлы, сплавы, полимеры, керамика, композиты. Карманный справочник; Додэка XXI - Москва, 2004. - 320 c.

. Гейлорд Н., Марк Г. Линейные и стереорегулярные полимеры; Государственное издательство иностранной литературы - Москва, 1983. - 566 c.

. Гросберг А.Ю., Хохлов А.Р. Полимеры и биополимеры с точки зрения физики; Интеллект - Москва, 2010. - 304 c.

. Гуль В.Е. Полимеры сохраняют продукты; Знание - Москва, 1985. - 128 c.

. Донцов А.А., Лозовик Г.Я., Новицкая С.П. Хлорированные полимеры; Химия - Москва, 1979. - 232 c.

. Дьяконов А.Н. Полимеры; Химия - Москва, 1991. - 240 c.

. Иржак В.И., Розенбеог Б.А., Ениколопян Н.С. Сетчатые полимеры (синтез, структура, свойства); Наука -, 1979. - 248 c.

. Каллистер-мл. У.Д., Ретвич Д.Дж. Материаловедение. От технологии к применению (металлы, керамика, полимеры); Научные основы и технологии - Москва, 2011. - 902 c.

. Кассиди Г.Дж., Кун К.А. Окислительно-восстановительные полимеры (редокс-полимеры); Химия. Ленинградское отделение - Москва, 1975. - 270 c.

. Коршак В.В., Замятина В.А., Бекасова Н.И. Борорганические полимеры; Наука -, 1975. - 254 c.

. Лавров Н.А. Полимеры на основе N-винилсукцинимида; Профессия - Москва, 2011. - 240 c.

. Ли Г., Стоффи Д., Невилл К. Новые линейные полимеры; Химия - Москва, 1985. - 280 c.

. Малбиев С.А., Горшков В.К., Разговоров П.Б. Полимеры в строительстве; Высшая школа - Москва, 2008. - 456 c.

. Марек О., Томка М. Акриловые полимеры; Химия - Москва, 1988. - 318 c.

. Олкок Г. Гетероциклические соединения и полимеры на их основе; Мир - Москва, 1978. - 432 c.

. Редактор Майк Дженкинс Полимеры в биологии и медицине; Научный мир - Москва, 2011. - 256 c.

. Фрейзер А.Г. Высокотермостойкие полимеры; Химия - Москва, 1980. - 292 c.

Приложение 1

Параметры растворимости полимолочной кислоты

Метод оценки

Параметр растворимости, кал0.5´см2

Экспериментальные методы

по плотности раствора

10,25±0,16


10,29±0,13

по характеристической вязкости

10,00±0,20


10,05±0,23

Расчетные методы (по инкрементам)

по Смоллу (Small)

9,7

по Хою (Hoy)

9,9

по Ван Кревелену (Van Krevelen)

9,4

по Федорсу (Fedors)

11,1


Похожие работы на - Биотехнологическое использование полимолочной кислоты

 

Не нашли материал для своей работы?
Поможем написать уникальную работу
Без плагиата!
Без нейросетей!