Биологически активные органические соединения, применяемые в сельском хозяйстве
ФЕДЕРАЛЬНОЕ
АГЕНТСТВО ПО КУЛЬТУРЕ И КИНЕМАТОГРАФИИ РФ
ФЕДЕРАЛЬНОЕ
ГОСУДАРСТВЕННОЕ ОБРАЗОВАТЕЛЬНОЕ УЧРЕЖДЕНИЕ ВЫСШЕГО ПРОФЕССИОНАЛЬНОГО
ОБРАЗОВАНИЯ
«САНКТ-ПЕТЕРБУРГСКИЙ
ГОСУДАРСТВЕННЫЙ УНИВЕРСИТЕТ КИНО И ТЕЛЕВИДЕНИЯ»
Кафедра
общей, органической и физической химии
Курсовая
работа
По
органической химии
Тема:
«Биологически активные органические соединения, применяемые в сельском
хозяйстве»
Выполнила: Кириченко Н.А.
Проверила: Рясинская Н.К.
Санкт-Петербург
2012
Содержание
Введение
. Классификация
пестицидов
. Основные
характеристики пестицидов
. Инсектициды
.1 Контактные
инсектициды
.2 Системные
инсектициды
. Гербициды
.1 Арилоксикарбоновые
кислоты
.2 Группа
триазина
.3 Группа
замещенных мочевин
. Регуляторы
роста растений
.1 Индолилкарбоновые
кислоты
.2 Кинины
.3 Гиббереллины
.4. Гидразид
малеиновой кислоты
. Аттрактанты
Заключение
Список
литературы
Введение
Проблема защиты растений и
животных от вредителей возникла уже в те далекие времена, когда человек только
начинал активно вмешиваться в первобытное растительное сообщество. Сегодня
известно около 70 000 различных видов только насекомых, которые наносят вред
человеку, домашним животным, растениям и материалам. Меры химического
воздействия на вредителей являются одними на самых действенных и весьма широко
используются почти во всех развитых странах. В последние годы во всем мире
использовалось свыше 1000 химических соединений (пестицидов) в целях защиты
животных и растений от вредителей. В 1995 г. в среднем в мире на 1 га
обрабатываемой земли наносилось 450 г пестицидов. Мировые затраты на их
производство превышали 14 млрд долларов; эта цифра уже близка к затратам на
мировое производство удобрений.
Производство пестицидов сегодня
- это громадная исследовательская деятельность и многотоннажное промышленное
производство. Каждый год в мире появляется около 50 новых пестицидов. Из 10
тыс. новых испытываемых веществ в среднем только одно оказывается годным к
практическому использованию, а высокоселективным является только одно на 70
тыс. исследуемых веществ. Однако уже в первый год применения пестицида
экономический эффект превышает затраты в среднем в 6 раз. К сожалению, в
области разработки новых пестицидов Россия не находится на уровне развитых
стран.
1. Классификация пестицидов
Пестицидами называются
химические средства защиты растений и животных от вредителей, болезней и
сорняков.
Наиболее широко применяются в
сельском хозяйстве следующие группы пестицидов.
I.
Инсектициды - химические средства уничтожения насекомых - вредителей растений,
продуктов и материалов, а также насекомых - паразитов и переносчиков
заболеваний.
II.
Гербициды - химические средства борьбы с сорняками.
III.
Фунгициды - средства для борьбы с грибковыми заболеваниями и болезнями
растений.
IV.
Регуляторы роста растений.
) Стимуляторы -
вещества, непосредственно стимуллирующие рост семян и растений;
) Дефолианты - вещества,
вызывающие опадание листьев;
) Десиканты - средства
для удаления лишних цветов и завязей;
) Ретарданты -
вещества, увеличивающие прочность стебля.
V.
Репелленты - вещества, защищающие животных, людей, растения и помещения от
нападения насекомых путем их отпугивания.
VI.
Аттрактанты - вещества, привлекающие насекомых.
VII.
Хемостерилизаторы - вещества, уменьшающие или уничтожающие способность вредных
организмов к размножению.
2. Основные характеристики
пестицидов
Основными характеристиками
пестицидов являются активность по отношению к целевым организмам,
избирательность действия, безопасность для людей и окружающей среды.
. Активность пестицидов зависит
от их способности проникать в организм, передвигаться в нем к месту действия и
подавлять жизненно важные процессы, а также от количества пестицидов и времени
воздействия. Мера активности пестицидов - ЛД50 или CK50
(соотв. доза или концентрация раствора, вызывающая гибель 50% организмов); на
практике - норма расхода действующего вещества на единицу площади (массы,
объема), при которой достигается необходимый защитный эффект.
. Избирательность пестицидов -
способность уничтожать одни виды организмов, не затрагивая другие. Зависит от
различий в биохимических процессах, ферментах и субстратах у организмов разных
видов и, следовательно, от неодинаковой их способности к поглощению пестицидов
и детоксикации (путем биоокисления, гидролиза и т.п.), а также от применяемых
доз (с повышением дозы избирательность может утрачиваться). 3. Экологическая
безопасность пестицидов связана с их избирательностью, а также большей или
меньшей персистентностью - способностью сохраняться какое-то время в окружающей
среде, не теряя своей биологической активности. Персистентность одного и того
же пестицида может существенно меняться в различных объектах окружающей среды и
в различных климатических условиях.
Многие пестициды токсичны для
людей и теплокровных. По острой пероральной токсичности (измеряемой чаще всего
на крысах) для пестицидов в России принята следующая классификация: чрезвычайно
опасные (ЛД50 до 15 мг/кг), высокоопасные (15-150 мг/кг),
умеренноопасные (150-5000 мг/кг) и малоопасные (свыше 5000 мг/кг).
3. Инсектициды
Как правило, инсектициды подразделяются на
группы по способу их действия на насекомых. Если инсектицид проявляет токсичное
действие лишь при попадании в кишечник вредителя, он относится к группе
кишечных инсектицидов. Инсектициды, убивающие насекомых при попадании на
наружные покровы, относятся к самой многочисленной группе контактных
инсектицидов. В связи с тем что существует ряд вредителей с ротовым аппаратом
сосущего типа, имеющих непроницаемые внешние оболочки, были предприняты поиски
инсектицидов, проникающих в растение через листья или корни и делающих растение
токсичным для насекомых, - эта группа инсектицидов получила название системных
инсектицидов.
.1 Контактные инсектициды
В группе синтетических контактных инсектицидов
по значимости и широте применения до 70-х годов XX
столетия выделялись полигалогенпроизводные, из которых
4,4-дихлордифенилтрихлорэтан (ДДТ) и гексахлорциклогексан (ГХЦГ, гексахлоран)
были наиболее широко применяемыми препаратами:
Рис. 1 ДДТ
Рис. 2 γ-изомер
гексахлорана
За открытие действия ДДТ на насекомых П. Мюллер
в 1948 г. получил Нобелевскую премию. Оба препарата были доступны и дешевы. ДДТ
получали конденсацией хлорбензола с хлоралем под действием концентрированной
серной кислоты, а гексахлоран - при фотохимическом хлорировании бензола.
Однако большинство полихлорпроизводных - очень
устойчивые соединения, крайне медленно разлагающиеся в природных условиях и
накапливающиеся в живых организмах. В связи с этим применение ДДТ запрещено в
России и в большинстве развитых стран.
Серьезной проблемой при применении инсектицидов
стало резистентность - привыкание насекомых к действию препарата. Частичное
решение проблемы дает комплексное применение препаратов, но все равно после
использования большинства пестицидов в течение десятка лет их действие очень
сильно ослабевает (часто более чем в 100 раз).
Среди группы контактных инсектицидов особый
интерес представляют пиретрины - действующее начало пиретрума - природного
инсектицида, добываемого из некоторых видов ромашки.
Пиретрины - единственная группа инсектицидов, в
которой не замечено никакой резистентности, несмотря на фактическое применение
их с 1830 г. Кроме того, пиретрины практически не токсичны для теплокровных
животных. К сожалению, они мало устойчивы при хранении. Химия пиретринов была
детально изучена Ружичкой и Штаудингером. Наиболее токсичным для насекомых
оказался эфир циклического кетоспирта - пиретролона и кислоты циклопропанового
ряда (хризантемовой).
Рис. 3 Хризантемовая кислота
С 80-х годов XX
столетия начался выпуск и синтетических пиретроидов. Наиболее устойчивыми при
хранении и к действию солнечного излучения, обладающими к тому же высокой
(близкой к природной) активностью оказались фенотрин, перметрин и гиперметрин.
Рис. 4 Фенотрин
Рис. 5 Перметрин
Рис. 6 Гиперметрин
Метаболизм всех пиретроидов начинается со стадии
гидролиза сложноэфирной связи. Продукты гидролиза пестицидной активность не
обладают. Серьезным недостатком пиретроидов остается их довольно высокая
стоимость.
Ряд природных алкалоидов, в частности никотин и
анабазин, несмотря на высокую контактную инсектицидную активность, не находят
широкого применения из-за очень высокой токсичности для теплокровных.
Рис. 7 Никотин Рис. 8
Анабазин
3.2 Системные инсектициды
химический пестицид кислота мочевина
Широкое применение системных инсектицидов
несколько сдерживается их токсичностью для теплокровных и не всегда достаточно
быстро протекающими метаболизмом до нетоксичных продуктов. Наиболее часто
используются эфиры и амиды дитиофосфорной кислоты, например:
Рис. 9 Фосфамид (ЛД50 = 230 мг/кг)
Рис. 10 Антио (ЛД50= 350 мг/кг)
Длительность процесса метаболизма фосфамида в
растениях обычно не превышает трех недель и заключается в последовательном
гидролизе эфирных и тиоэфирных групп.
Весьма интересные работы выполнены Карлсоном,
которому удалось из растительного сырья выделить так называемые инсектицидные
гормоны стероидной природы, например экдизон.
Первичные испытания показали их малую
токсичность для теплокровных животных и отсутствие резистентности к ним у
насекомых.
Рис. 11 Экдизон
4. Гербициды
Гербициды делятся на две большие группы:
гербициды сплошного действия, уничтожающие все виды растений, и гербициды
избирательного действия, уничтожающие растения определенных видов. Вещества в
каждой из групп подразделяются в свою очередь на контактные, действующие при
контакте с наземными частями растений, и системные, попадающие внутрь растения
при контакте или с почвенным раствором.
Число применяемых гербицидов чрезвычайно велико.
Рассмотрим три основные группы гербицидов избирательного действия: группу
арилоксикарбоновых кислот, группу триазина и группу замещенных мочевин.
.1 Арилоксикарбоновые кислоты
Замещенные арилоксикарбоновые кислоты долгое
время использовались как системные гербициды избирательного действия,
уничтожающие двудольные сорняки в посевах однодольных (злаковых) растений.
Наиболее перспективными из большой группы испытанных соединений считались
2,4-дихлорфеноксиуксусная (2,4-Д) и 2-метил-4хлорфеноксиуксусная (2М-4Х)
кислоты.
Рис. 12 2,4-Д (ЛД50 = 300 мг/кг) Рис.
13 2М-4Х (ЛД50 = 600 мг/кг)
Большинство этих соединений оказывали
гербицидное действие при содержании, большем, чем 0,01%, при меньшем же
содержании (0,001%) являлись стимуляторами роста (см. ниже).
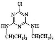
.2 Группа триазина
В 1955 г. Были впервые описаны гербицидные
свойства 2-хлор-4,6-бис(диэтиламино)-симм-триазин:
Рис. 14 Симм-триазин
Вещество обладает малой токсичностью для
теплокровных (ЛД50 = 5000 мг/кг), не действует на большинство
культурных растений (морковь, капусту, огурцы и др.) в дозах до 10 кг/га и
прекрасно уничтожает большинство сорняков. При широком обследовании соединений
этого типа был найден еще целый ряд весьма активных и малотоксичных (ЛД50
~ 2000 мг/кг) препаратов: 2-хлор-4,6-бис(этиламино)-симм-триазин (симазин), а
также пропазин и атразин.
Рис. 15 Симазин Рис. 16 Пропазин Рис. 17 Атразин
Технический способ получения этих гербецидов
несложен и весьма дешев. Из циановодорода и хлора получают хлорциан: при
тримеризации он дает хлористый цианур, два атома хлора, в котором весьма
реакционоспособны и легко реагируют с нуклеофильными реагентами:
Замена оставшегося атома галогена на какую-либо
функциональную группу проходит в более жестких условиях.
Широко начали применяться и 2-метилтио- и
2-метокси- производные, например прометрин.
Рис. 18 Прометрин
Общая схема метаболизма триазинов заключается в
гидролитическом отщеплении галогена, алкокси-, алкилтио- и алкил-аминогрупп с
последующим распадом триокситриазинового ядра.
.3 Группа замещенных мочевин
В начале 80-х годов XX
столетия был запатентован первый представитель это класса - «глин»(
хлорсульфурон).
Рис. 19 Хлорсульфурон
Его активность оказалась неправдоподобно
высокой. При применении глина в качестве избирательного гербицида,
уничтожающего двудольные сорняки в посевах злаковых и льна, действующие дозы
были всего 5-15 г на гектар при полной нетоксичности для теплокровных (ЛД50
= 5000 мг/кг). Даже при его высокой стоимости прибавка урожая достигает иногда
50%. Все основные фирмы, производящие пестициды, начали широкие практические
исследования этого класса гербицидов с общим названием класса -
«сульфонилмочевины».
. Регуляторы роста растений
Многие органические соединения в незначительной
степени и по разным причинам оказывают благоприятное влияние на рост растений.
Однако быстрое развитие исследований в области стимуляторов роста началось с
открытия стимулирующего действия гетероауксина - натриевой соли
-индолилуксусной кислоты. Три класса
органических соединений представляются наиболее перспективными в этом
отношении: индолилкарбоновые кислоты, кинины и гиббереллины.
.1 Индолилкарбоновые кислоты
Наилучшими стимуляторами корнеобразования при
вегетативном размножении являются 3-индолилуксусная (гетероауксин),
ß-(3-индолил)пропионовая
и γ-(3-индолил)масляная
кислоты.
Рис.20 3-индолилуксусная к-та Рис. 21 ß-(3-индолил)пропионовая
к-та
Рис. 22 γ-(3-индолил)масляная
к-та
Этот класс соединений был исследован чрезвычайно
широко, но только перечисленные кислоты нашли практическое применение.
.2 Кинины
При исследовании природных веществ, находящихся
в проростках растений, наряду с гетероауксином был выделен непредельный спирт
ряда аденина, который чрезвычайно сильно стимулировал рост растительных клеток.
Впоследствии он получил название зеатина. Из большого числа синтетических
аналогов зеатина (кининов) высокую активность показал лишь 6-фурфуриламинопурин
- кинетин.
Рис. 23
Зеатин Рис. 24 Кинетин
Наиболее удачные результаты были получены при
совместном применении кининов с индолилкарбоновыми кислотами в качестве
средств, сильно уменьшающих неблагоприятные внешние воздействия (облучение,
действие гербицидов).
.3 Гиббереллины
Соединения этого типа выделены из продуктов
жизнедеятельности некоторых грибов рода «фузариум» и некоторых высших растений.
Они имеют довольно сложное строение и, очевидно, биогенетически связаны с
терпеноидами. К настоящему времени выделено около тридцати индивидуальных
соединений, из них наиболее активной является гибберелловая кислота, имеющая
пентациклическую структуру.

Гиббереллины стимулируют рост, цветение,
прорастание и число связей у большинства высших растений.
.4 Гидразид малеиновой кислоты
Его следует упомянуть в качестве одного из
примеров регуляторов роста другого типа:
Рис. 26 Гидразид малеиновой к-ты
Он применяется в качестве дефолианта при
механической уборке хлопчатника. Теперь для этой цели применяют замещенные
мочевины. Наиболее широко используют дропп (тидиазурон), являющийся
малотоксичным соединением (ЛД50 = 4000 мг/кг) и действующий в дозах
150 г/га.
Рис. 27 Дропп
. Аттрактанты
Нахождение корма, растения-хозяина и особей
противоположного пола во многом определяет существование большинства насекомых
и так или иначе связано с привлекающими веществами. Особый интерес представляют
половые аттрактанты, так как инстинкт продолжения рода является наиболее ярко
проявляемом инстинктом.
Вещества, выделяемые представителями одного пола
насекомых для привлечения особей другого пола, называют половыми аттрактантами.
В общем же они относятся к большому классу веществ, носящих название телергонов
или феромонов - веществ, выделяемых насекомыми для различного типа воздействия
на особи того же или близкого вида.
Ценность и перспективность проблемы аттрактантов
заключается в специфичности действия веществ этого класса. Действительно,
большинство инсектицидов наряду с вредителями убивает и массу полезных
насекомых, половые же аттрактанты действую крайне специфично, так как в
противном случае не сохранялась бы чистота вида. Феромоны являются природными
веществами, которые попадают в окружающую среду с тех пор, как существуют
насекомые, все они безвредны; в равной степени это относится и к их
метаболитам. В простейшем случае феромон помещается в ловушку, уничтожающую
вредителей. Однако на практике часто лишь регулируют численность вредной
популяции до нужного предела. Распыляя половые аттрактанты в атмосфере, можно
дезориентировать самцов, что приводит к низкому проценту оплодотворенных самок.
Большинство соединений этого типа относятся к
трем классам:
) ненасыщенные спирты и их эфиры;
) алифатические кислоты;
) терпеноподобные соединения.
В 1959 году Бутенант с сотрудниками после 10 лет
работы установил структуру полового аттрактанта самки тутового шелкопряда.
Исходным материалом служили железы 500 000 самок. После крайне сложного
процесса выделения было получено несколько миллиграммов спирта -
транс-10-цис-12-гексадекадиенола-1, названного бомбиколом.
Рис.28 Бомбикол
Другие пространственные изомеры бомбикола
практически не активны.
Колоссальный практический интерес вызвал половой
аттрактант непарного шелкопряда - одного из основных вредителей лесов и
фруктовых деревьев. Работы Баерла, Бероза и Коллира в 1970 г. Показали, что
этот аттрактант имеет структуру дизамещенного этилоксида.
Он и его синтетический аналог получили название
диспарлур. Природный аттрактант имеет цис-структуру, транс-изомер значительно
менее активен.
Рис. 29 Диспалур
Вторая группа соединений стала известна из работ
Батлера (1959), показавшего, что пчелиная матка выделяет телергон, который
препятствует откладыванию яиц рабочими пчелами и выращиванию новых маток, т.е.
регулирует жизнь пчелиного роя. Телергон представляет собой транс-9-2-деценовую
кислоту.
Рис. 30 транс-9-2-деценовая к-та
Наиболее известным из веществ третьей группы
является феромон дендролизин, выделенный из муравьев вида hasius
fuligunosus - терпеноподобное
соединение.
Рис. 31 Дендролизин
Дендролизин вызывает сильнейшее возбуждение
особей этого вида и токсичен для всех других видов муравьев.
Заключение
Применение пестицидов в сельском хозяйстве
способствует повышению его продуктивности и снижению потерь, однако сопряжено с
возможностью попадания остаточных количеств пестицидов в продукты питания и
экологической опасностью, например с накоплением пестицидов в почве, попаданием
в грунтовые и поверхностные воды, нарушением естественных биоценозов, вредным
влиянием на фауну и здоровье людей. Поэтому за ассортиментом и техникой
применения пестицидов установлен жесткий контроль. Наибольшее применение
находят пестициды с низкими нормами расхода (5-50 г/га).
Во всех странах производство и
использование каждого из пестицидов допускается лишь с разрешения
государственных органов; одновременно устанавливаются ПДК в воздухе и воде,
допустимые остаточные количества в продуктах питания, методы аналитического
контроля, а также правила транспортировки и хранения пестицидов.
Список литературы
1) Грандберг
И.И., Органическая химия: Учеб. Для студ. Вузов, обучающихся по агроном. спец.
- 4-е изд., 2001 г.
) Ганиев
М.М., Недорезков В.Д., Химические средства защиты растений. - М.: КолосС, 2006
г.
) Белан
С. Р., Новые пестициды. Справочник / С. Р. Белан, А. Ф. Грапов, Г. М.
Мельникова. - М.: Грааль, 2001 г.