Анилины в синтезе гетероциклических серосодержащих соединений

  • Вид работы:
    Дипломная (ВКР)
  • Предмет:
    Химия
  • Язык:
    Русский
    ,
    Формат файла:
    MS Word
    507,77 Кб
  • Опубликовано:
    2014-12-28
Вы можете узнать стоимость помощи в написании студенческой работы.
Помощь в написании работы, которую точно примут!

Анилины в синтезе гетероциклических серосодержащих соединений

МИНИСТЕРСТВО ОБРАЗОВАНИЯ И НАУКИ РФ

ФЕДЕРАЛЬНОЕ ГОСУДАРСТВЕННОЕ БЮДЖЕТНОЕ ОБРАЗОВАТЕЛЬНОЕ УЧРЕЖДЕНИЕ

ВЫСШЕГО ПРОФЕССИОНАЛЬНОГО ОБРАЗОВАНИЯ

«БАШКИРСКИЙ ГОСУДАРСТВЕННЫЙ ПЕДАГОГИЧЕСКИЙ УНИВЕРСИТЕТ ИМ. М. АКМУЛЛЫ»

ЕСТЕСТВЕННО-ГЕОГРАФИЧЕСКИЙ ФАКУЛЬТЕТ

кафедра химии

направление подготовки:

Естественнонаучное образование

профиль Химия


ВЫПУСКНАЯ КВАЛИФИКАЦИОННАЯ РАБОТА

факультативный курс по органической химии «анилины в синтезе гетероциклических серосодержащих соединений»


Ишмухаметова Ирина Рустамовна






Уфа 2014

Введение


В последние годы неуклонно возрастает интерес к синтезу и применению разнообразных макрогетероциклических систем, что обусловлено, прежде всего, тем, что размер и форму полости макрогетероцикла, а также строение составляющих фрагментов можно достаточно легко модифицировать. Вследствие этого макроциклические соединения активно применяются в разных областях, начиная с катализа и заканчивая селективным распознаванием и фармакологией. Особый интерес представляют насыщенные макрогетероциклы, содержащие в кольцах в различных сочетаниях атомы кислорода, серы и азота, т.к. они способны образовывать координационные соединения как с неорганическими, так и с органическими молекулами. В этой связи подобные гетероциклы применяют в качестве полидентантных лигандов для создания катализаторов, сорбентов и экстрагентов ионов металлов, а также распознователей молекул.

На сегодняшний день синтезировано огромное количество азот- и серосодержащих макроциклических соединений, но число используемых методов синтеза достаточно ограничено. Зачастую эти методы трудоемки, многостадийны и приводят к целевым продуктам с невысокими выходами. В связи с этим цель настоящей работы состояла в разработке нового, простого и эффективного способа синтеза азатиомакроциклов, содержащих связь C-N и C-S.

Цель работы: разработка селективных методов синтеза 1,5,3-дитиазонанов, 1,5,3-дитиазеканов и 1,5,3-дитиазациклоундеканов циклоаминометилированием α,ω-дитиолов N,N-бис(метоксиметил)-N-ариламинами с участием катализаторов на основе d- и f-элементов.

Глава 1. Литературный обзор

 

Синтез и свойства N,S,О-содержащих макрогетероциклов на основе первичных аминов

В настоящее время химия макроциклических соединений развивается очень интенсивно. Это обусловлено тем, что циклические азот-, кислород- и серосодержащие макроциклы перспективны в качестве селективных лигандов [1,2], для экстракции и разделения катионов металлов [3,4], для транспорта ионов через мембраны [5], в фоточувствительных системах [6], выступают в роли межфазных катализаторов, моделирующих ферментативную активность [7].

 

.1 Синтез N,S,О-содержащих макрогетероциклов на основе алифатических аминов


Для синтеза макрогетероциклов, содержащих в макрокольце три типа донорных атомов на основе первичных аминов, используют, как правило, конденсацию диаминов с дихлорангидридами дикарбоновых кислот с последующим восстановлением полученных макрогетероциклических диамидов.

Схема 1


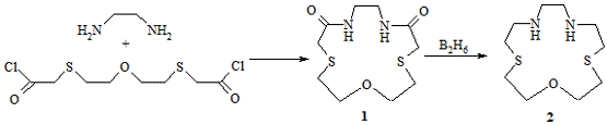
Так, известно, что при взаимодействии 1,2-диаминоэтана с дихлоридом 6-окса-3,9-диаза-ундекановой дикислоты образуется продукт 1, восстановление которого приводит к 1-окса-7,10-диаза-4,13-дитиациклопентадекану 2 [8].

Схема 2


Этими же авторами описан синтез азатиакраун-эфиров 3 и 4, конденсацией 3,6-дитиаоктандиамина с дихлоридами дигликолевых карбоновых кислот, с последующим восстановлением с помощью B2H6 в ТГФ.

Схема 3


Аналогичным способом авторами [9] ацилированием 3,6-дитиаоктанди-амина с 2-(2-[(2-хлор-2-оксоэтил)сульфанил]этилсульфанил)ацетилхлоридом или 2-[2-(2-хлор-2-оксоэтокси)этокси]ацетил хлоридом синтезировали краун-эфиры 5,6.

Схема 4


Описанный выше подход, был применен для синтеза краун-соединения 7 - «криптандов», путем повторного внутримолекулярного сшивания промежуточного соединения 8 с дихлорангидридом дикарбоновой кислоты.

Схема 5


По сравнению с краун-эфирами криптанды образуют устойчивые комплексы с широким кругом катионов переходных металлов (Li+, Na+, K+, Rb+, Cs+, Ti+, Ag+, Ca2+, Sr2+, Ba2+, Pb2+ и т.д.) [10].

N,S-Содержащий криптанд 13 [11] был получен конденсацией дихлорангидридов окса- или тиадикарбоновых кислот с 3,6-дитиа-1,8-диаминооктаном в условиях высокого разбавления через ряд последовательных стадий. На первой стадии образовавшийся диамид 9 восстанавливался боргидридом и после гидролиза соляной кислотой превращался в моноциклический диамин 10, который снова подвергался конденсации с дихлорангидридом дикарбоновой кислоты. В результате образовавшийся бициклический диамид 11, также как и моноциклические диамиды был превращен в бициклический N,S-содержащий полиаминоэфир 13.

Схема 6


Известен метод синтеза N,S-макрогетероциклов, содержащих в кольце ароматические кольца - пиридинофаны взаимодействием дихлорангидрида 2,6-пиридиндикарбоновой кислоты с диаминами, содержащими сульфидные и дисульфидные мостики 14, 15, которые образуют устойчивые комплексы с ионами переходных металлов Ag+, Fe2+, Cu2+, Ni2+, Co2+, Zn2+, Hg2+, Cd2+, Pd2+, Au3+, Pt4+ [12].

Схема 7


Фурансодержащих макрогетероциклов получаются при взаимодействии дихлорангидридов дифурфурилсульфид-5,5-дикарбоновой кислоты 16a-ж с алифатическими и ароматическими диаминами [13].

Схема 8


Реакция 3-окса-1,5-диаминопентана или 3,6-диокса-1,8-диаминооктана с 5-оксо-3-окса-6-тиагександикарбоновой кислотой (полученной из ангидрида дигликолевой кислоты с тиогликолевой кислотой) в условиях высокого разбавлени, является удобным методом синтеза кислород и азотсодержащих макрогетероциклических сульфидов 17 [14].

Схема 9


Авторами показано[15], что при аминолизе диметиловых эфиров тиаалкан-α,ω-дикарбоновых кислот полиэтиленполиаминами образуются макрогетероциклические амиды 18, а их дальнейшее восстановление с помощью В2Н6 или LiAlH4 в THF приводит к макротиаазацикланов 19.

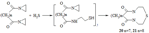
При барботировании избыточным количеством сероводорода бис-N-этиленамидов азелаиновой и себациновой кислот [16] получены циклические сульфиды 20,21, в результате внутримолекулярного раскрытия азиридиновых колец меркаптогруппой в промежуточных N,N-этилен-N’-(β-меркаптоэтил)диамидах азелаиновой и себациновой кислот.

Схема 10


Схема 11


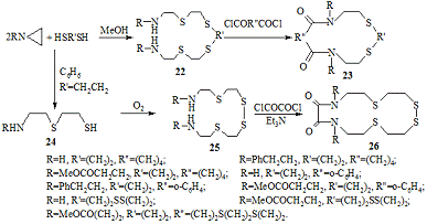
Авторами работы [17] был предложен новый подход к синтезу арил-, алкил и функциональнозамещенных циклических S,N-содержащих гетероциклов 23, взаимодействием предварительно полученных из N-замещенных азиридинов и α,ω-дитиолов в метаноле открытоцепных диаминов 22 с дихлорангидридами дикарбоновых кислот. Аналогичная реакция в среде апротонного растворителя (бензола) приводит к моноаддукту 24, который окисляется кислородом воздуха в соответствующий дисульфид 25. Дальнейшее взаимодействие с дихлорангидридом приводит к образованию макрогетероцикла 26.

Схема 12

Хиральных N,S-содержащих макрогетероциклов 30а-в с выходом 16-26% синтезируют рядом следующих превращений [18]. Так, взаимодействием метилового эфира L-фенилаланина (27) с дихлорангидридами щавелевой, янтарной и дигликолевой кислот получены диамиды (28а-в) с выходами 68-90%, восстановление которых LiAlH4 в ТГФ приводит к диаминоспиртам (29а-в). Диаминоспирты (29а-в) обрабатывают СН3СОСl или НСНО/НСО2Н и подвергают восстановлению, которое дает алкилзамещенные диаминоспирты. Взаимодействие диаминоспиртов с SOCl2 и дальнейшая циклоконденсация с α,ω-алкандитиолами приводит к хиральным N,S-содержащим макроциклам (30а-в).

Схема 13


Известен способ [19] получения азот- и серусодержащего макроцикла (31) взаимодействием 4-амино-5-тио-1,2,4-триазолидин-3-она с 1,5-пентандибромидом в присутствии KOH / MeOH с выходом 40%.

Схема 14


Авторами [20] описан метод получения 2-[18,32-бис(2-гидроксиэтил)-11,25,39-триокса-2,6,16,20,30,34-гексатиа-4,18,32-триазагептацикло [38.2.2.27,10.212,15.221,24.226,29.235,38]тетрапентаконта-1(43),7(54),8,10(53),12(52), 13,15(51),21(50),22,24(49),26(48),27,29(47),35(46),36,38(45),40,41-октадекаен-4-ил]-1-этанола (5) с выходом 62% в смеси с побочным макрогетероциклом (6) циклоконденсацией моноэтаноламина (3) с CH2O и 4,4′-димеркаптодифенилоксидом (4) (мольное соотношение соотношение 1 : 2 : 1) в растворе хлороформа за 4 ч.

Схема 15

1.2 Синтез N,S,O-содержащих макрогетероциклов на основе ароматических аминов


N,S,О-содержащие макрогетероциклы 36a-c с выходами 53-83% образуются на основе реакции о-аминофенола с дихлорангидридом дифурфурилсульфид-0,0’-дикарбоновой кислоты, через промежуточный диамид, который далее подвергают взаимодействию с дихлоридами [21].

Схема 16


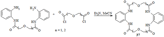
N,O-Mакроциклический дибензотетраазалактамы 37 с выходами 63 - 72% были получены в условиях высокого разбавления в результате взаимодействия ароматических диаминов с хлорпроизводными оксодикарбоновых кислот под действием триэтиламина [22].

Схема 17


Циклотиомметилирование гидразина [23] с CH2O и H2S при мольном соотношении исходных реагентов - гидразин:CH2O:H2S = 1:6:4 и температуре 0°С приводит к селективному образованию тетрациклического макрогетероцикла 38.

Схема 18


Конденсация м-фенилендиамина с помощью СН2О и H2S при температуре 20-70°С при соотношении 1:6:4 образуется исключительно макрогетероцикл 39 с выходом 91-99% [24].

Схема 19


Таким же образом с образованием макрогетероцикла 40 (n=7) (выход 40%) протекает взаимодействие м-аминофенола с СН2О и H2S [25]. Примечательным в этой реакции является, что в условиях высокого разбавления одновременно уменьшается степень олигоконденсации (n=1) и выход гетероцикла уменьшается до 9%.

Схема 20


Циклодиалкилирование о-аминофенола с дихлоридом 1, полученным из тетраэтиленгликоля при кипячении в воде приводит к N-(2-гидроксифенил)аза-12-краун-4-эфира 43 (схема 21) [26].

Схема 21


При взаимодействии анилина и его производных с дииодидами, полученными из три-, тетра- или пентаэтиленгликолей, под действием карбоната натрия в ацетонитриле синтезирован ряд арилазакраун-эфиров 13 [27,28] (схема 22).

Схема 22


Таблица 1

R1

R2

R3

n

Выход, %

H

OMe

H

1

13

H

H

H

2

51

OMe

H

H

2

26

H

H

OMe

2

40

H

CN

H

2

45

H

H

OBn

2

-

OMe

H

OMe

2

-

H

NHAc

H

2 - 3

26 - 42

H

NHAc

NHAc

2

42


В результате реакции анилина с диглицидиловым эфиром диэтиленгликоля в метаноле при комнатной температуре синтезирован N-фенилаза-14-краун-4-эфир 45, содержащий две гидроксильные группы в макрогетероцикле [29,30] (схема 23).

Схема 23


1.3 Некоторые аспекты применения N, S, O-содержащих макроциклов


Среди всех известных макроциклических соединений наиболее широкое практическое применение получили краун-эфиры, из-за их возможности подобрать для каждого конкретного случая наиболее подходящий лиганд среди большого количества однотипных соединений. С помощью краун-эфиров удалось разделить ионы многих крайне схожих по химическим свойствам металлов из-за их способности образовывать устойчивые комплексы с переходными металлами. Краун-эфиры также применяют в качестве катализаторов межфазного переноса. Наибольший интерес привлекают серо- и азотсодержащих аналоги краун-эфиров. В литературе имеется большое количество работ, в которых N,S-содержащие макроциклы исследуются с точки зрения применения в качестве биологических моделей энзимов, сенсоров, комплексов по типу “гость-хозяин”, применяются как лиганды в комплексах с переходными металлами [31, 32, 33, 34, 35, 36]. Не меньшее количество публикаций связано с изучением свойств различных смешанных окса-, тиа-, аза-краун-эфиров [37, 38, 39, 40], а также тио-, фосфо-краун-эфиров [41,42]. Некоторые из смешанных краун-эфиров также предлагается использовать для экстракции и разделения переходных металлов [43].

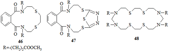
Наиболее важным свойством макрогетероциклов является их способность образовывать устойчивые комплексы, которое может широко применяться для экстракции солей тяжелых металлов из водных растворов. В одинаковых условиях изучена экстракция различных металлов Cu2+, Hg2+, Pd2+, и Ag+ и т.д. [44] S,N-содержащими макроциклическими соединениями 46-48.

Рис. 1

Установлено, что раствор макроцикла 46 в хлороформе количественно экстрагирует Cu2+, Hg2+, Pd2+, и Ag+, частично Bi+2 и Au+. Макроциклом 47 количественно извлекается Ag+, Au+, Hg2+ и частично Cu2+, Pd2+. Коэффициенты распределения металлов ниже, чем для реагента 46, что, возможно, связанно с экранированием рабочей плоскости макрогетероцикла 47, т.к. тиадиазольные кольца не лежат в одной плоскости с макроциклическими. С помощью соединения 48 экстрагируется соли следующих металлов: Cu2+, Hg2+, Pd2+ и при pH>7 Ag+.

Согласно литературным данным до настоящего времени очень интенсивно исследуются экстракционные свойства S,N-содержащих макроциклических соединений. Авторами установлено, что S,N-содержащие аналоги дибензо-18-краун-6 49-51 с высокими коэффициэнтами распределения (lg DPd = 0.5-0.9) извлекают Pd2+ из галогенсодержащих растворителей в области pH = 3-7. Кроме того, для этих соединений установлено хорошее комплексообразование при экстракции Hg2+ [45]. Показано что, в кислых растворах образуются комплексы состава Hg(HL)nX2 (X=Cl-, NO3-, Pic-), а в щелочных растворах-хелаты (HgLX)n c депротонированным реагентом в качестве лиганда.

Рис. 2

Насыщенные S,N-содержащие макрогетероциклы 52-55 [46] также эффективно образуют комплексы с палладием. Комплексы палладия с макрогетероциклами получают в результате взаимодействия реагентов в определенном мольном соотношении в среде специально подобранного растворителя. Были получены би- (52) [47], три- (53) [48], и тетрадентантные (54,55) лиганды.

Рис. 3

 

Выводы по главе 1


Таким образом, из литературных данных следует, что при относительном многообразии подходов основной схемой построения N,S,O-макроциклов является [1 + 1] конденсация двух ациклических фрагментов. Данный подход осложнен возможностью образования линейных продуктов конденсации, что приводит к снижению выходов целевых макрогетероциклов, поэтому широко применяются высокое разбавление либо темплантный синтез. Кроме того анализ литературных данных показывает, что методы синтеза макрогетероциклов на основе ариламинов аминов изучены недостаточно. В этой связи, поставленная в данной работе задача разработки методов синтеза макрогетероциклов на основе ариламинов, с целью разработки эффективных методов синтеза практически важных N- и S-содержащих макрогетероциклов, является актуальной и перспективной.

Глава 2. Экспериментальная часть

 

.1 Исходные вещества, реактивы, оборудование и приборы


Реактивы:

1.      СН2О формалин технический, ГОСТ 1625-89;

2.      1,4-бутандитиол, 97 % (Acros organics);

.        1,5-пентандитиол, 96 % (Acros organics);

.        1,6-гександитиол, 97 % (Acros organics);

5.      CH2Cl2, хлористый метилен, х.ч., ТУ 2631-026-78119972-2010;

6.      EtOAc, этиловый эфир уксусной кислоты, х.ч., ТУ 2631-019144493179-98;

7.      EtOH, 95%; Р № 002036/01-2002;

8.      MeOH;

.        Вода дистиллированная, ГОСТ 6709-72;

.        катализатор Sm(NO3)3·6 H2O (Acros organics).

Исходные соединения:

.        м-толуидин, 98 % (Acros organics);

.        п-толуидин, 98 % (Acros organics);

.        о-анизидин, 98 % (Acros organics);

.        м-анизидин, 98 % (Acros organics);

.        о-хлоранилин, 98 % (Acros organics);

.        м-хлоранилин, 98 % (Acros organics);

.        п-хлоранилин, 98 % (Acros organics);

.        п-броманилин, 98 % (Acros organics).

Приборы:

Спектры ЯМР 1Н и 13С зарегистрированы на спектрометре Bruker Avance 400 (400 и 100 МГц соответственно) в CDCl3, внутренний стандарт ТМС. Двумерные гомоядерные (COSY) и гетероядерные (HSQC, HMBC) эксперименты проводили по стандартным методикам фирмы Bruker при тех же рабочих частотах. Mасс-спектры МАЛДИ (матрица HCCA) положительных ионов записаны на масс-спектрометре MALDI TOF/TOF Аutoflex III smartbeam фирмы BRUKER (Германия) в рефлекторном режиме. Пробоподготовка для регистрации спектров МАЛДИ проведена по методике «сухая капля»: в отдельной пробирке смешивали растворы матричного и анализируемого веществ (50:1 - 100:1), после этого каплю раствора наносили на мишень и высушивали потоком тёплого воздуха. Пробу с мишени переводили в газовую фазу с помощью лазерных импульсов (200 импульсов с частотой 100 Гц). В качестве источника лазерного излучения применяли твёрдотельный УФ лазер с длиной волны излучения 355 нм. Элементный анализ проведён на анализаторе фирмы Сarlo Erba 1106. Температуры плавления определены на приборе РНМК 80/2617. Контроль за ходом реакций осуществляли методом ТСХ на пластинах Sorbfil (ПТСХ-АФ-В), элюент C6H12 : EtOAc = 10 : 1, проявление парами I2. Для колоночной хроматографии использовали силикагель КСК (100-200 мкм). Sm(NO3)3/γ-Al2O3 получен по методике, приведенной в работе [20]. Рентгеноструктурный анализ проведен на автоматическом четырехкружном дифрактометре XCalibur Eos (графитовый монохроматор, Mo Kα излучение, λ = 0.71073 Å, w-сканирование, 2θmax = 62°, Т = 200.2К). Программа CrysAlisPro Oxford Diffraction Ltd. использована для сбора (версия 1.171.36.20) и обработки (версия 1.171.36.24) данных.

Таблица 2 Кристаллографические параметры и детали уточнения кристаллической структуры соединения Vк.

сингония

моноклинная

Пространственная группа

I2/a

а,Å

26.8133(17)

b,Å

5.2418(3)

c,Å

18.8971(13)

α,°

90.00

β,°

105.069(7)

γ,°

90.00

V,Å3

2564.7(3)

Z

9

Dcalc мг/мм3

1.855

F(000)

1458.0

2Θmax, град

62.14°

Число собранных отражений

6643

Число независимых отражений

3708[R(int) = 0.0588]

S

1.072

R/wR (I>=2σ (I))

R1 = 0.0660, wR2 = 0.1264

R/wR (для всех отражений)

R1 = 0.1121, wR2 = 0.1532

Остаточные пики электронной плотности, min / max e, Å-3

0.95/-0.92


Структуры расшифрованы прямым методом и уточнены полноматричным методом наименьших квадратов в анизотропном приближении для неводородных атомов. Атомы водорода локализованы в разностном синтезе Фурье и уточнены изотропно. Все расчеты выполнены с использованием комплекса программ SHELX97 [21]. Основные кристаллографические данные и условия съемки соединения 1 приведены в таблице 1, cif-файл депонирован в Кембриджском банке структурных данных - номер депонента CCDC-996854. Копии этих данных можно получить бесплатно по запросу в CCDC, 12, Union Road, Cambridge, CB2 1EZ, UK (fax: +44 1223 336033, e-mail: deposit@ccdc.cam.ac.uk)

2.2 Циклоаминометилирование α, ω-дитиолов (1,4-бутандитиол, 1,5-пентандитиол, 1,6-гександитиол) с помощью N,N-бис(метоксиметил)-N-ариламинов


Общая методика. Смесь 1.00 ммоль соответствующего N,N-бис (метоксиметил)-N-ариламина, полученного in situ по методике [22], в 10 мл растворителя и (0.05 ммоль) Sm(NO3)3/γ-Al2O3 перемешивают в атмосфере аргона 30 мин при комнатной температуре, затем добавляют (1.00 ммоль) α, ω-дитиола (1,4-бутандитиол, 1,5-пентандитиол, 1,6-гександитиола) в 1 мл растворителя. Реакционную смесь перемешивают при температуре ~20 оС в течение 5 ч и упаривают, остаток хроматографируют на колонне с SiO2, выделяя чистые гетероциклы.

Таблица 3 N-Фенил-1,5,3-дитиазонан (Va)

Выход 89%,  1.5151.Спектр ЯМР 1Н (δ, м.д., CDCl3, J/Гц): 1.66 (м., 4Н, СН2 (8,7)); 2.54 (м, 4Н, СН2(6,9)); 4.65 (м, 4Н, СН2 (2,4)); 6.89 (м, 2Н, СН (11,15)); 7.28-7.33 (м, 2Н, СН (12,14)); 6.95-6.99 (м, Н, СН (13));. Спектр ЯМР 13С (δ, м.д., J/Гц): 28.49(С-8,9); 29.00(С-7,8); 30.98(С-6,9) 53.93 (С-2,4); 115.90 (С-11,15); 129.25 (С-12,14); 119.70(С-13); 147.24(С-10). MALDI TOF, m/z: 240.282 [M-H]+.



Таблица 4 N-(м-Метилфенил)-1,5,3-дитиазонан (Vб).

Выход 84%,  1.5151.Спектр ЯМР 1Н (δ, м.д., CDCl3, J/Гц): 1.58 - 1.86 (м., 4Н, СН2 (8,7)); 2.30 (с, 3Н, СН3(16)); 2.52-2.69 (м, 4Н, СН2(6,9)); 4.68 (м, 4Н, СН2 (2,4)); 6.83-7.15 (м, 4Н, СН (11,12,13,15));. Спектр ЯМР 13С (δ, м.д., J/Гц): 21.90(С-16); 28.66(С-6,9); 32.06(С-7,8); 53.66 (С-2,4); 113.14 (С-15); 116.31 (С-11); 120.76(С-13); 129.12 (С-12); 139.02 (С-14); 147.34(С-10). MALDI TOF, m/z: 254.244 [M-H]+.



Таблица 5 N-(м-Метоксилфенил)-1,5,3-дитиазонан (Vд).

Выход 90%,  1.5151.Спектр ЯМР 1Н (δ, м.д., CDCl3, J/Гц): 1.61 - 1.86 (м., 4Н, СН2 (8,7)); 3.81 (с, 3Н, СН3(16)); 2.49-2.70 (м, 4Н, СН2(6,9)); 4.62 (м, 4Н, СН2 (2,4)); 6.85-6.96 (м, 4Н, СН (11,12,13,15));. Спектр ЯМР 13С (δ, м.д., J/Гц): 28.53 (С-6,9); 31.98(С-7,8); 50.90(С-16); 53.66 (С-2,4); 112.87 (С-15); 117.02 (С-11); 121.76(С-13); 129.05 (С-12); 140.02 (С-14); 147.61(С-10). MALDI TOF, m/z: 270.377 [M-H]+.



Таблица 6 N-(п-Хлорфенил)-1,5,3-дитиазонан (Vз).

Выход 89%,  1.5151.Спектр ЯМР 1Н (δ, м.д., CDCl3, J/Гц): 1.60 - 1.72 (м., 4Н, СН2 (8,7)); 2.53-2.67 (м, 4Н, СН2(6,9)); 4.63 (м, 4Н, СН2 (2,4)); 6.87 (д, 2Н, СН (11,15) J = 10); 7.21 (д, 2Н, СН (12,14) J = 5). Спектр ЯМР 13С (δ, м.д., J/Гц): 27.68 (С-6,9); 31.35(С-7,8); 54.65 (С-2,4); 116.31 (С-11,15); 129.02 (С-12, 14); 124.76(С-13); 145.62(С-10). MALDI TOF, m/z: 274.351 [M-H]+.



Таблица 7 N-(м-Бромфенил)-1,5,3-дитиазонан (Vи).

Выход 88%,  1.5151.Спектр ЯМР 1Н (δ, м.д., CDCl3, J/Гц): 1.58 - 1.63 (м., 4Н, СН2 (8,7)); 2.48-2.55 (м, 4Н, СН2(6,9)); 4.60 (м, 4Н, СН2 (2,4)); 6.87 (д, 2Н, СН (11,15) J = 10); 7.12 (д, 2Н, СН (12,14) J = 5). Спектр ЯМР 13С (δ, м.д., J/Гц): 27.66 (С-6,9); 31.29(С-7,8); 53.45 (С-2,4); 115.41 (С-11,15); 128.92 (С-12, 14); 123.96(С-13); 144.82(С-10). MALDI TOF, m/z: 319.325 [M-H]+.



Таблица 8 N-(п-Бромфенил)-1,5,3-дитиазонан (Vк).

Выход 92%,  1.5151.Спектр ЯМР 1Н (δ, м.д., CDCl3, J/Гц): 1.58 - 1.63 (м., 4Н, СН2 (8,7)); 2.48-2.55 (м, 4Н, СН2(6,9)); 4.60 (м, 4Н, СН2 (2,4)); 6.87 (д, 2Н, СН (11,15) J = 10); 7.12 (д, 2Н, СН (12,14) J = 5). Спектр ЯМР 13С (δ, м.д., J/Гц): 27.66 (С-6,9); 31.29(С-7,8); 53.45 (С-2,4); 115.41 (С-11,15); 128.92 (С-12, 14); 123.96(С-13); 144.82(С-10). MALDI TOF, m/z: 268.329 [M-H]+. MALDI TOF, m/z: 319.385 [M-H]+.



Таблица 9 N-Фенил-1,5,3-дитиазекан (VIа).

Выход 75%,  1.6223.Спектр ЯМР 1Н (δ, м.д., CDCl3, J/Гц): 1.38-1.60 (м., 6Н, СН2 (7-9)); 2.59-2.51 (м, 4Н, СН2(6,10)); 4.67 (с, 4Н, СН2 (2,4)); 6.87 (м, 2Н, СН (12,16)); 7.27-7.31 (м, 2Н, СН (13,15)); 6.96-6.98 (м, Н, СН (14));. Спектр ЯМР 13С (δ, м.д., J/Гц): 24.52(С-8); 29.63(С-7,9); 31.35(С-6,10); 54.01 (С-2,4); 115.86 (С-12,16); 119.73 (С-14); 129.29(С-13,15); 147.27(С-11). MALDI TOF, m/z: 254.249 [M-H]+.



Таблица 10 N-(п-Метилфенил)-1,5,3-дитиазекан (VIв).

Выход 76%,  1.6161. Спектр ЯМР 1Н (δ, м.д., CDCl3, J/Гц): 1.48 - 1.68 (м., 6Н, СН2 (7-9)); 2.31 (с, 3Н, СН3(17)); 2.51-2.71 (м, 4Н, СН2(6,10)); 4.66 (с, 4Н, СН2 (2,4)); 7.06 (д, 2Н, СН (12, 16) J = 8 Гц); 7.12 (д, 2Н, СН (13,15) J = 8 Гц);. Спектр ЯМР 13С (δ, м.д., J/Гц): 21.00(С-17); 24.55(С-8); 29.40(С-7,9); 31.36(С-6,10); 54.02 (С-2,4); 114.02 (С-12,16); 127.76 (С-14); 129.84 (С-13,15); 145.17 (С-11). MALDI TOF, m/z: 268.329 [M-H]+.



Таблица 11 N-(о-Метоксифенил)-1,5,3-дитиазекан (VIг).

Выход 82%,  1.6152. Спектр ЯМР 1Н (δ, м.д., CDCl3, J/Гц): 1.33 - 1.64 (м., 6Н, СН2 (7-9)); 3.85 (с, 3Н, СН3(17)); 2.43-2.57 (м, 4Н, СН2(6,10)); 4.59 (с, 4Н, СН2 (2,4)); 6.73-6.90 (м, 4Н, СН (13-16)). Спектр ЯМР 13С (δ, м.д., J/Гц): 24.50 (С-8); 27.06 (С-7,9); 33.58(С-6,10); 55.59(С-2,4); 54.20 (С-17); 109.74 (С-16); 111.39 (С-14); 117.73(С-12); 121.18 (С-13); 135.60 (С-15); 147.20(С-11). MALDI TOF, m/z: 284.545 [M-H]+.



Таблица 12 N-(о-Хлорфенил)-1,5,3-дитиазекан (VIе).

Выход 78%,  1.6241. Спектр ЯМР 1Н (δ, м.д., CDCl3, J/Гц): 1.38 - 1.63 (м., 6Н, СН2 (7-9)); 2.52-2.60 (м, 4Н, СН2(6,10)); 4.57 (с, 4Н, СН2 (2,4)); 6.72-7.31 (м, 4Н, СН (13-15)). Спектр ЯМР 13С (δ, м.д., J/Гц): 24.57 (С-8); 29.39 (С-7,9); 30.57 (С-6,10); 54.36(С-2,4); 112.86 (С-16); 118.54 (С-14); 119.87(С-12); 127.79 (С-13); 129.29 (С-15); 141.83(С-11). MALDI TOF, m/z: 288.333 [M-H]+.



Таблица 13 N-(м-Хлорфенил)-1,5,3-дитиазекан (VIж).

Выход 81%,  1.5151.Спектр ЯМР 1Н (δ, м.д., CDCl3, J/Гц): 1.48 - 1.68 (м., 6Н, СН2 (7-9)); 2.51-2.63 (м, 4Н, СН2(6,10)); 4.63 (с, 4Н, СН2 (2,4)); 6.84-7.22 (м, 4Н, СН (12,14-16)). Спектр ЯМР 13С (δ, м.д., J/Гц): 24.47 (С-8); 29.54 (С-7,9); 31.34 (С-6,10); 54.34 (С-2,4); 113.04 (С-16); 115.53 (С-12); 119.47(С-14); 130.49 (С-15); 135.09 (С-13); 147.49(С-11). MALDI TOF, m/z: 288.330 [M-H]+.



Таблица 14 N-Фенил-1,5,3-дитиазациклоундекан (VIIа).

Выход 85%,  1.5151.Спектр ЯМР 1Н (δ, м.д., CDCl3, J/Гц): 1.30-1.59 (м., 8Н, СН2 (7-10)); 2.55 (м, 4Н, СН2(6,11)); 4.67 (с, 4Н, СН2 (2,4)); 6.87-6.89 (м, 2Н, СН (13,17)); 6.97-6.99 (м, Н, СН (15)); 7.26-7.30 (м, 2Н, СН (14,16)). Спектр ЯМР 13С (δ, м.д., J/Гц): 28.49(С-8,9); 29.96(С-7,10); 31.61(С-6,11); 53.73 (С-2,4); 115.78 (С-17,13); 119.65 (С-15); 129.27(С-14,16); 147.29(С-12). MALDI TOF, m/z: 268.285 [M-H]+.




Таблица 15 N-(п-Метилфенил)-1,5,3-дитиазациклоундекан (VIIв).

Выход 82%,  1.6131. Спектр ЯМР 1Н (δ, м.д., CDCl3, J/Гц): 1.31 - 1.61 (м., 8Н, СН2 (7-10)); 2.32 (с, 3Н, СН3(18)); 2.51-2.70 (м, 4Н, СН2(6,11)); 4.67 (с, 4Н, СН2 (2,4)); 7.06 (д, 2Н, СН (12, 16) J = 8 Гц); 7.12 (д, 2Н, СН (13,15) J = 8 Гц). Спектр ЯМР 13С (δ, м.д., J/Гц): 20.90(С-18); 28.35(С-8,9); 29.82(С-7,10); 31.45(С-6,11); 54.02 (С-2,4); 116.36 (С-13,17); 127.62 (С-15); 129.83 (С-14,16); 145.21 (С-12). MALDI TOF, m/z: 282.337 [M-H]+.



Таблица 16 N-(о-Метоксилфенил)-1,5,3-дитиазациклоундекан (VIIг).

Выход 85%,  1.5151.Спектр ЯМР 1Н (δ, м.д., CDCl3, J/Гц): 1.32 - 1.61 (м., 6Н, СН2 (7-10)); 3.83 (с, 3Н, СН3(18)); 2.41-2.57 (м, 4Н, СН2(6,11)); 4.58 (с, 4Н, СН2 (2,4)); 6.62-7.03 (м, 4Н, СН (13-16)). Спектр ЯМР 13С (δ, м.д., J/Гц): 27.56 (С-8,9); 29.78 (С-7,10); 31.84(С-6,11); 54.18(С-2,4); 55.56 (С-18); 109.72 (С-16); 111.37 (С-13); 117.69(С-14); 121.17 (С-15); 135.60 (С-17); 147.18(С-12). MALDI TOF, m/z: 298.181 [M-H]+.



Таблица 17 N-(о-Хлорфенил)-1,5,3-дитиазациклоундекан (VIIе).

Выход 90%,  1.5151.Спектр ЯМР 1Н (δ, м.д., CDCl3, J/Гц): 1.32 - 1.59 (м., 6Н, СН2 (7-10)); 2.48-2.60 (м, 4Н, СН2(6,11)); 4.45 (с, 4Н, СН2 (2,4)); 6.71-7.31 (м, 4Н, СН (14-17)). Спектр ЯМР 13С (δ, м.д., J/Гц): 27.94 (С-8,9); 29.66 (С-7,10); 31.36 (С-6,11); 54.34(С-2,4); 112.86 (С-17); 118.50 (С-15); 119.80(С-13); 127.77 (С-14); 129.27 (С-16); 141.86(С-12). MALDI TOF, m/z: 302.179 [M-H]+.


Таблица 18 N-(п-Хлорфенил)-1,5,3-дитиазациклоундекан (VIIа).

Выход 86%,  1.5151.Спектр ЯМР 1Н (δ, м.д., CDCl3, J/Гц): 1.39 - 1.69 (м., 8Н, СН2 (7-10)); 2.52-2.67 (м, 4Н, СН2(6,11)); 4.62 (с, 4Н, СН2 (2,4)); 6.88 (д, 2Н, СН (12, 16) J = 5 Гц); 7.22 (д, 2Н, СН (13,15) J = 5 Гц). Спектр ЯМР 13С (δ, м.д., J/Гц): 28.41(С-8,9); 29.81(С-7,10); 31.56(С-6,11); 54.59 (С-2,4); 116.95 (С-13,17); 124.59 (С-15); 129.10 (С-14,16); 145.67 (С-12). MALDI TOF, m/z: 302.105 [M-H]+.




Выводы по главе 2

Разработан метод селективного синтеза N-арил-1,5,3-дитиазонанов с выходом 76-97%, N-арил-1,5,3-дитиазеканов с выходом 75-82% и 1,5,3-дитиазациклоундеканов с выходом 82-90% циклоаминометилированием 1,4-буиандитиола, 1,5-пентандитиола и 1,6-гександитиола N,N-бис (метоксиметил)-N-ариламинами в присутствии Sm(NO3)3∙6H2O/γ-Al2O3.

Полученные макрогетроциклы охарактеризованы с помощью мультиядерной ЯМР спектроскопии (1H, 13C,), а также двумерных экспериментов (COSY, HMBC, HSQC) и РСА; массы были установлены с помощью масс-спектрометрии MALDI TOF/TOF.

макрогетероцикл катализатор ароматический амин

Глава 3. Обсуждение результатов

 

.1 Синтез 3-арил-1,5,3-дитиазонанов, 3-арил-1,5,3-дитиазеканов и 3-арил-1,5,3-дитиазациклоундеканов с участием Sm-содержащих катализаторов


Каталитическая гетероциклизация первичных алкил(арил, гетарил)аминов, замещенных гидразинов и гидразидов является эффективным способом селективного синтеза новых N-замещенных дитиазинанов [1,2], дитиазепанов [3-12], дитиазоканов [5,7,8], диоксазепанов [6], диоксазоканов [6], перспективных в качестве биологически активных соединений [13, 14] селективных сорбентов и экстрагентов благородных и драгоценных металлов [15]. Сведения о синтезе N-замещенных 1,5,3-дитиазонанов, 1,5,3-дитиазеканов и 1,5,3-дитиазациклоундеканов на момент начала наших исследований в литературе отсутствовали.

В развитие каталитических методов синтеза новых N,S-макрогетероциклов, а также с целью разработки селективного способа синтеза N-арилзамещенных 1,5,3-дитиазонанов, 1,5,3-дитиазеканов, 1,5,3-дитиазациклоундеканов, нами изучено циклоаминометилирование α,ω-дитиолов (1,4-бутандитиол, 1,5-пентандитиол, 1,6-гександитиол) с N,N-бис(метоксиметил)-N-ариламинами с участием катализаторов на основе d- и f-элементов (схема 1). Выбор N,N-бис(метоксиметил)-N-ариламинов для циклоаминометилирования α,ω-дитиолов обусловлен раннее полученными положительными результатами по синтезу N-гетарил-1,5,3-дитиазепанов и N-гетарил-1,5,3-дитиазоканов циклоаминометилированием этан-1,2- и пропан-1,3-дитиолов с помощью N,N-бис(метоксиметил)-N-гетариламинов с участием в качестве катализатора CuCl2.

На примере модельной реакции N,N-бис(метоксиметил)-N-фениламина (Iа) c эквимольном количеством 1,4-бутандитиола (II) установили, что при комнатной температуре (~ 20оС) в EtOAc в качестве растворителя за 6 ч без катализатора реакция не проходит. С участием в качестве катализатора 5 мол. % CuCl2 в приведенных выше условиях образуется 3-фенил-1,5,3-дитиазонан (Vа) с выходом 30% (таблица 1).

Схема 1


При катализе реакции с помощью Sm(NO3)3*6H2O выход макрогетероцикла удается повысить до 84%, а с участием гетерогенного катализатора 5 мол. % Sm(NO3)3/γ-Al2O3 выход целевого продукта (IV а) составляет 89%. Повторное (трехкратное) применение гетерогенного катализатора Sm(NO3)3/γ-Al2O3 не приводит к существенному снижению выхода целевого продукта (Vа). Реакцию проводили в EtOAc, т.к в нем хорошо растворяется N,N-бис(метоксиметил)-N-фениламин (I). При замене катализатора Sm(NO3)3*6H2O на другие соли и комплексы лантаноидов [La(NO3)3, TbCl3∙6H2O, Ho(NO3)3∙5H2O, DyCl3∙6H2O, NdCl3] выход 3-фенил-1,5,3-дитиазонана (Vа) не превышает 40% (табл. 1).

Таблица 1 Влияние природы катализатора на выход 3-фенил-1,5,3-дитиазонана (Vа) (мольное соотношение (I а) - (II) - катализатор 1 : 1 : 0.05, 20оС, 6ч, растворитель - EtOAc)

Катализатор

Выход (Va), %

Катализатор

Выход (Va), %

Sm(NO3)3/γ-Al2O3

89

SnCl4

38

Sm(NO3)3∙6H2O

84

La(NO3)3

36

FeCl3*6H2O

55

Ho(NO3)3∙5H2O

34

InCl3

46

CuCl2∙5H2O

30

ZnCl2

45

DyCl3∙6H2O

30

Pb(CH3COO)2

40

NdCl3

30

TbCl3∙6H2O

40

-

-


При повышении температуры от комнатной до 40 и 60оС в присутствии катализатора Sm(NO3)3*6H2O выход (Vа) увеличивается от 84 и 88 до 90% соответственно.

Можно предположить, что механизм каталитического циклоаминометилирования 1,4-бутандитиола (II) с N,N-бис(метоксиметил)-N-фениламином (I) включает координацию атома кислорода в исходном реагенте (1) к иону центрального атома катализатора [16], последующее нуклеофильное присоединение 1,4-бутандитиола к образовавшемуся карбкатиону [17-19] приводит к формированию 3-фенил-1,5,3-дитиазонана (Vа).

В разработанных условиях [5 масс % Sm(NO3)3/γ-Al2O3, 20оС, 6ч] в реакцию циклоаминометилирования с 1,4-бутандитиолом (II) были вовлечены N,N-бис(метоксиметил)-N- м-толуидин (м-анизидин, п-хлорфенил, м-бромфенил, п-бромфенил)амины (I б, д, з, и, к) с получением соответствующих 3-арил-1,5,3-дитиазонанов (V б, д, з, и, к) с выходом 84 - 92%. С целью расширения границ приложения каталитического циклоаминометилирования α,ω-дитиолов в реакцию с N,N-бис(метоксиметил)-N-ариламинами (I) в найденных условияхбыли вовлечены 1,5-пентан- (III) и 1,6-гександитиолы (IV). В результате синтезировали 3-арил-1,5,3-дитиазеканы (VI) и 3-арил-1,5,3-дитиазациклоундеканы (VII) с выходами 75 - 82% в присутствии катализатора Sm(NO3)3/γ-Al2O3, взятыми в мольном соотношении N,N-бис(метоксиметил)-N-ариламин : 1,5-пентан-(1,6-гексан)дитиол : Sm(NO3)3/γ-Al2O3 = 1 : 1: 0.05. Выбор растворителя для проведения реакции гетероциклизации обусловлен растворимостью как исходных реагентов (I), так и целевых продуктов (V-VII) (табл. 2).

Структуры N-арил-1,5,3-дитиазонанов, N-арил-1,5,3-дитиазеканов и N-арил-1,5,3-дитиазациклоундеканов установлены с помощью ЯМР одномерной 1Н, 13С и двумерной спектрометрии (HSQC, COSY, HMBC), а также maldi-toff-toff масс-спектрометрии и РСА (рис.1).

Таблица 2 Влияние природы растворителя на выход гетероциклов (V - VII) [мольное соотношение (I) - (II, III, IV) - Sm(NO3)3/γ-Al2O3 1 : 1 : 0.05, 20оС, 6ч]

№ п\п

Р-ль

Соед.

Выход, %

№ п\п

Р-ль

Соед.

Выход, %

1

EtOAc + CH2Cl2

V б

84

8

EtOAc

VI е

78

2

EtOAc + EtOH

V д

90

9

CH2Cl2

VI ж

81

3

EtOAc

V з

89

10

EtOAc

VII а

85

4

CH2Cl2

V и

88

11

EtOAc + CH2Cl2

VII в

82

5

EtOAc

VI а

75

12

EtOAc + EtOH

VII г

85

6

EtOAc + CH2Cl2

VI в

76

13

EtOAc

VII е

90

EtOAc + EtOH

VI г

82

14

CH2Cl2

VII з

86


В спектрах ЯМР 1Н сигналы между N и S в 9-,10- и 11 членных циклах проявляются в области 4.60 - 4.75 м.д., метиленовые протоны между атомами серы в алкандитиольных фрагментах обозначены двумя мультиплетами в области 1.40-170 м.д. и 2.40-2.70 м.д. Ароматические протоны представлены в слабой области спектра 6.80-7.40 м.д. В maldi-toff-toff макрогетероциклы (V-VII) представлены молекулярными пиками, соответствующие молекулярной массе веществ.

(а) (б)

Рис.1. Молекулярное строение (a) и фрагмент кристаллической упаковки вдоль оси b (б) соединения Vк. Атомы представлены тепловыми эллипсоидами (p=50%).

Для соединения Vк (рис.1а) были получены кристаллы из смеси гексан - EtOAc = 5 : 1 при комнатной температуре. Согласно данным РСА дитиазонановый цикл имеет конформацию кресло-ванна-кресло. Бромфенильный заместитель аксиально ориентирован по отношению к плоскости девятичленного гетероцикла. Кристаллы, сформированные молекулами данного соединения, относятся к моноклинному типу. В кристалле молекулы формируют изолированные стопки вдоль оси b (рис.1б). Межмолекулярное расстояние между центрами бензольных колец составляет 5.242Å. Взаимная ориентация молекул в соседних стопках вдоль оси c относится к типу «голова-к-хвосту».

Выводы по главе 3


Синтезированы ранее неописанные N-арил-1,5,3-дитиазонаны, 1,5,3-дитиазеканы и 1,5,3-дитиазациклоундеканы циклоаминометилированием α,ω-дитиолов с помощью N,N-бис(метоксиметил)-N-ариламинов с участием катализаторов на основе d- и f -элементов.

Установлено, что трехкратное применение гетерогенного катализатора Sm(NO3)3*6H2O/γ-Al2O3 не приводит к существенному снижению выхода целевых N-арил-1,5,3-дитиазонанов, 1,5,3-дитиазеканов и 1,5,3-дитиазациклоундеканов.

 

Глава 4. Методическая часть

 

Факультативный курс по органической химии «Анилины в синтезе гетероциклических серосодержащих соединений»

Анилины и гетероциклические соединения рассматриваются в курсе органической химии. Однако находятся они в разных разделах. А в качестве гетероциклических соединений изучаются простейшие пятичленные (фуран, тиофен, пиррол) и шестичленные (пиридин) гетероциклы. Данный факультативный курс даст учащимся дополнительные знания о более сложных соединениях - макроциклах, о новых методах синтеза.

Факультативный курс - необязательный учебный курс или предмет, изучаемый учамищимися по их желанию. Данная форма организации занятий во внеурочное время направлена на расширение, углубление и коррекцию знаний учащихся по учебным предметам в соответствии с их потребностями, запросами, способностями и склонностями, а также на активацию познавательной и исследовательской деятельности.

Факультативный курс на тему «Анилины в синтезе гетероциклических серосодержащих соединений» является специфичным, углубленным, поэтому целесообразно предлагать его студентам 3 курса профиля химии.

Данный факультативный курс рассчитан на 6 часов.

Цель курса: формирование у учащихся продставлений о гетероциклических серосодержащих соединениях.

Задачи курса:

) изучить гетероциклические серосодержащие соединения;

) познакомить учащихся с частными видами синтеза гетероциклических серосодержащих соединений;

) сформировать мотивацию приобщения к исследовательской и познавательной деятельности.

4.1 Лекция №1. Гетероциклические соединения, их применение


Гетероциклические соединения - соединения, молекулы которых, наряду с атомами углерода, содержат в составе цикла один или несколько гетероатомов.

Химия гетероциклов представляет собой одну из самых увлекательных и важных областей органической химии. Среди наиболее известных и широко применяемых лекарственных средств природного и синтетического происхождения 60% составляют гетероциклические соединения.

Чем же можно объяснить такое многообразие гетероциклических соединений? Здесь можно дать несколько вариантов, а их сочетание и порождает все больше представителей. Итак, это:

)        Число и характер гетероатомов в молекуле;

)        Размер цикла;

)        Степень ненасыщенности, определяющая наличие или отсутствие ароматичности;

)        Возможность существования конденсированных структур.

Рассмотрим номенклатуру гетероциклических соединений, составляющих предмет нашего курса.

Для обозначения гетероциклических соединений, состоящих из одного цикла с числом членов не более 10, используется расширенная система Ганча-Видмана. Называют, комбинируя одну или несколько приставок, обозначающих гетероатом («а» опускается в префиксе, если сразу после неё следует гласная), и основу, которая указывает на число атомов в цикле и его насыщенность/ненасыщенность.

Приставки в номенклатуре Ганча-Видмана происходят от названий соответствующих химических элементов и оканчиваются буквой -а. Если гетероатомов в цикле несколько, то они перечисляются в порядке старшинства.

Таблица 1 Префиксы для обозначения элементов или «а» префиксы (перечислены в порядке убывания старшинства)

Элемент

Валентность

Префикс

Кислород

II

Окса

Сера

II

Тиа

Селен

II

Селена

Теллур

II

Теллура

Азот

III

Аза


Основы в данной номенклатуре служат для обозначения величины цикла. Они образуются путем удаления несколбких букв от соответствующего числительного: «-ир» от три, «-ет» от тетра, «-еп» от гепта, «-ок» от окта, «-он» от нона, «-ек» от дека. Выбор основы также зависит от того, является ли гетероцикл насыщенным или нет. Следовательно, название может иметь следующие окончания «-ан», если гетероцикл полностью насыщенный, либо «-ин» в случае полностью ненасыщенного гетероцикла.

Таблица 2

Число звеньев

Слог (корень)

Его происхождение

3

ир (ir)

три (tri)

4

ет (et)

тетра (tetra)

5

ол (ole)

пиррол (pyrrole)

6

ин (ine)

пиридин (pyridine)

7

еп (ep)

гепта (hepta)


Присутствие нескольких одинаковых гетероатомов в цикле обозначается префиксами «ди-», «три-» и т.д., которые записывают перед обозначением гетероатома. Цифровые локанты (указатели), определяющие положения гетероатомов в кольце, ставятся перед названием. Если есть выбор, т.е. возможны различные варианты нумерации, то ее проводят таким образом, чтобы получить наименьший набор локантов.

Закрепим полученные знания на конкретных примерах.

)       

Данное соединение имеет название N-гетарил-1,5,3-дитиазепан.

)       

Аналогично, меняется лишь окончание: N-гетарил-1,5,3-дитиазокан.

Для наглядности можно оформить в виде таблицы.

Таблица 3

Структурная формула

Название

N-гетарил-1,5,3-дитиазепан

N-гетарил-1,5,3-дитиазокан

N-гетарил-1,5,3-дитиазонан

N-гетарил-1,5,3-дитиазекан

N-гетарил-1,5,3-дитиазоциклоундекан


Еще мы будем говорить о производных анилина.

Это N,N-бис(метоксиметил)-N-арил(гетарил)амины. Имеют следующий общий вид.


Отдельно стоит отметить сферы применения подобных соединений.

Семичленные O,S,N-гетероциклы обладают широким спектром биологической активности и находят применение как в медицине, так и в сельском хозяйстве. Они используются для получения препаратов, обладающих анальгетической, антипиретической, седативной, противораковой и фунгицидной активностью.

Гетероатомные макроциклические соединения нашли широкое применение в качестве катализаторов межфазного перехода, активно используются при экстракции близкородственных металлов из смесей. Макрогетероциклы являются предметом изучения с точки зрения применения их в качестве сенсоров, моделей энзимов, комплексов типа «гость-хозяин». Например, тиакраун-эфиры возможно использовать как один из компонентов в синтезе флуоресцентных хемосенсоров на основе меди (I). Некоторые производные краун-эфиров обладают высоким сродством к иону Ag+ (экстракция). Известно и синетзировано гетероциклическое соединение, использующееся для мониторинга концентрации ртути в режиме реального времени. Одним из важнейших свойств макрогетероциклов является их способность образовывать устойчивые комплексы. Эти комплексы можно широко применять для экстракции тяжелых металлов из водных растворов.

Примечание. Для многих предыдущих терминов потребуется разъяснение, уточнение значений.

Анальгетик - вещество, которое ослабляет или устраняет чувство боли.

Антипиретик - лекарственное средство, обладающее жаропонижающим свойством.

Седативная активность - успокоительное действие, снятие или уменьшение эмоционального напряжения без снотворного эффекта, снижение возбудимости центральной нервной системы.

Фунгицид - химическое вещество для борьбы с грибковыми болезнями растений.

Сенсор - вещество, способное избирательно и непрерывно в режиме реального времени определять концентрацию вещества. Или химические сенсоры - это соединения, способные селективно реагировать с исследуемыми субстратами (ионы, атомы, молекулы), специфически изменяя при этом один из своих физических параметров.

Энзим - второе название ферментов - катализаторов биохимических реакций.

Комплексы типа «гость-хозяин». Хозяином (рецептором) обычно выступает большая органическая молекула с полостью в центре, а гостем - более простая молекула или ион. Например, краун-эфиры прочно связывают ионы щелочных металлов.

Краун-эфиры - макрогетероциклические соединения, содержащие в своих циклах более 11 атомов, из которых не менее четырёх - гетероатомы, которые связаны между собой этиленовыми мостиками.

Экстракция - извелечение вещества из раствора или из сухой смеси с помощью экстрагента.

 

.2 Лекция № 2. Синтез гетероциклических серосодержащих соединений


Рассмотрим синтез N-гетарил-1,5,3-дитиазепанов и N-гетарил-1,5,3-дитиазоканов. Здесь имеет место каталитическая реакция гетероциклизации. Синтез N-арил-1,5,3-дитиазепанов и N-арил-1,5,3-дитиазоканов производится циклоконденсацией первичных ариламинов с формальдегидом и α,ω-дитиолами (1,2-этандитиол и 1,3-пропандитиол). При конденсации образуется низкомолекулярный побочный продукт - вода.

Рис. 1

Для получения определенного соединения, необходим подбор соответствующего ему анилина (его производного). Если в результате синтеза планируется получение N-(м-Br-фенил)-1,5,3-дитиазокана, то исходным реагентом является м-броманилин.

Рис. 2

Для получения дитиазокана используется 1,3-пропандитиол, а в случае дитиазепана - 1,2-этандитиол.

Условия органического синтеза также имеют немаловажное значение. Для выяснения наиболее оптимальных условий проведения реакции рассматривают влияние природы растворителя, соотношения исходных реагентов, температуры и времени реакции на выход продуктов циклоконденсации.

Установлено, что высокую каталитическую активность и селективность действия в данной реакции проявляет Sm(NO3)∙6H2O. С его участием высокие выходы получаются за 0,5ч. Наибольший выход гетероцикла достигается при проведении реакции в хлороформе. Также установлено, что изменение температуры реакции в интервале 20-60°С не играет большой роли, поэтому самым оптимальным является проведение конденсации при 20°С.

В данном случае были рассмотрены 7- и 8-членные макрогетроциклы. Следует изучить также способы получения 9-, 10- и 11-членные макрогетероциклы. Получить их циклокоденсацией ариламинов с формальдегидом и α,ω-дитиолами не удается. Поэтому был предложен иной метод. Речь пойдет о каталитическом циклоаминометилировании длинноцепных α,ω-дитиолов N,N-бис(метоксиметил)-N-ариламинами. Аминометилирование - это введение аминометильной группы в органическое соединение с подвижным атомом водорода. Типичной реакцией считается реакция Манниха. В реакции Манниха обычно участвуют 3 компонента. Это субстрат (1) - соединение, подвергаемое аминометилированию, карбонильная компонента (2) и аминная компонента (3).

В нашем случае атомы водорода в тиольных группах дитиолов являются очень подвижными. Дитиол - субстрат. А N,N-бис(метоксиметил)-N-ариламины совмещают в себе и карбонильную, и аминную компоненту. Однако данные ариламины следует заранее синтезировать. А получают их взаимодействием соответствующего анилина, формальдегида и метанола (1 : 2 : 2).

Рис. 3

Каталитическое циклоаминометилирование дитиолов представляет собой следующее:

Рис. 4

На схеме показано взаимодействие N,N-бис(метоксиметил)-N-фениламина с 1,4-бутандитиолом с образованием N-фенил-1,5,3-дитиазонан.

Для данной реакции были разработаны определенные условия: 5 масс. % Sm(NO3)3/γ-Al2O3, 20°С, 6ч. В разработанных условиях при взаимодействии N,N-бис(метоксиметил)-N-ариламинов с 1,5-пентан- и 1,6-гександитиолами синтезируют соответсвенно N-арил-1,5,3-дитиазеканы и N-арил-1,5,3-дитиазоциклоундеканы. Выбор растворителя существенно не влияет на выход целевого продукта. Однако его выбор для проведения реакции гетероциклизации обусловлен растворимостью как исходных реагентов, так и целевых продуктов.

Установлено, что используемый гетерогенный катализатор Sm(NO3)3/γ-Al2O3 можно использовать повторно (трехкратно), выход продукта существенно не снизится.

.3 Практическое занятие. Методика органического синтеза макрогетероциклов

Будет рассмотрена методика проведения циклоаминометилирования α,ω-дитиолов (1,4-бутандитиол, 1,5-пентандитиол, 1,6-гександитиол) с помощью N,N-бис(метоксиметил)-N-ариламинов.

Количества исходных реагентов берем в расчете на 1 ммоль. У дитиолов учитываем плотность. N,N-бис(метоксиметил)-N-ариламин предварительно следует растворить в 10 мл растворителя. Растворитель подбирают перед началом синтеза. К этому раствору добавляют 1 ммоль α,ω-дитиола в 1 мл растворителя. Реакционную смесь перемешивают при комнатной температуре в течение 5-6ч, затем её упаривают от растворителя. Для того, чтобы выделить чистые макрогетероциклы, остаток хроматографируют на колонне с SiO2.

Для демонстрации вышесказанного это занятие следует провести в качестве экскурсии по лаборатории гетероатомных соединений Института нефтехимии и катализа РАН г. Уфа. Так как получением данных макрогетероциклов занимались научные сотрудники этой лаборатории. В лаборатории можно показать студентам синтез макрогетероциклов на конкретных соединениях.

4.4 Семинар. Методы анализа макрогетероциклов


Структуры синтезируемых веществ должны быть доказаны. На семинаре со студентами возможно рассмотрение нескольких методов идентификации органических соединений.

Основы спектроскопии ЯМР

Если представить себе ядро атома в виде вращающегося положительно заряженного шарика, то можно увидеть, что заряд вращается по кольцевой орбите, порождая микроскопический ток. Т.к. кольцевой ток индуцирует магнитное поле, такое ядро представляет собой не что иное, как микроскопический магнит. Магнитный момент ядра направлен вдоль оси вращения, и его можно уподобить крошечному стержневому магниту с характерными спиновыми (вращательными) и магнитными моментами.

Вращающееся вокруг своей оси ядро имеет собственный момент количества движения (угловой момент, или спин) P. Магнитный момент ядра μ прямо пропорционален спину:

μ = γР.

γ - коэффициент пропорциональности, называемый гиромагнитным отношением. Эта величина является характерной для каждого типа ядер.

Все ядра с нечетными массовыми числами, а также ядра, имеющие нечетное число протонов и нейтронов, обладают магнитным моментом (I≠0). В первом случае I принимает полуцельные значения (1/2, 3/2, 5/2…), во втором - целые (1, 2, 3…).

Из практически важных спиновое число ½ имеют следующие ядра: 1H, 13C, 19F, 31P, 15N. Ядра 2H и 14N имеют I = 1; ядра 11B, 35Cl, 79Br, и 81Br - 3/2.

В отсутствие внешнего магнитного поля спиновые состояния вырождены по энергии. При помещении ядра во внешнее магнитное поле Во энергетическое вырождение ядер снимается (ядра с направленными «по полю» и «против поля» магнитными моментами имеют различную энергию) - и возникает возможность энергетического перехода с одного уровня на другой. Этот переход и является физической основой спектроскопии ядерного магнитного резонанса, основанной на поглощении электромагнитного излучения ядрами образца, помещенного в магнитное поле.

В общем случае расщепление энергетических уровней в магнитном поле носит название эффекта Зеемана.

Таким образом, в упрощенном виде эксперимент по спектроскопии ЯМР выглядит следующим образом: ампула с образцом исследуемого соединения помещается в магнитное поле и облучается электромагнитным излучением с частотой ν. При некоторой частоте νо, соответствующей энергии ∆Е = hνо, наблюдается поглощение энергии.

Химический сдвиг

Спектр ЯМР 1Н представляет собой систему сигналов протонов водорода (в виде пиков) в определенной области спектра. Положение сигналов протонов зависит от многих факторов.

В качестве стандарта (эталона) в спектроскопии ЯМР используют сигнал протонов тетраметилсилана (ТМС), химический сдвиг которого принимается равным нулю.

Химическим сдвигом называют разницу между сигналами эталона и исследуемым веществом. Величина химического сдвига определяется как частное от деления величины химического сдвига на рабочую частоту прибора.

Положение сигнала (δ) может быть выражено в единицах частоты ν Герцах (Гц) или безразмерных единицах напряженности (Но) магнитного поля - миллионных долях (м.д.) 1 м.д. - 60 Гц (при напряженности прибора 60 МГц). Если сигнал исследуемого протона находится в более слабом поле, чем синал ТМС, то δ имеет знак плюс, в более сильном знак минус.

Положение химического сдвига. Появление сигнала протона водорода в той или иной области спектра зависит от: экранирования протона, от электроотрицательности заместителей, типа гибридизации атома углерода, при котором находится протон, молекулярных магнитных полей, пространственного взаимодействия атомов.

Форма сигнала (мультиплетность)

В зависимости от характера протона форма сигнала может иметь 1-4 и т.д. пиков. Одиночный сигнал называется синглетом и обозначается с или s. Сигнал с двумя вершинами носит название дублета (∂ или d); с тремя вершинами триплета (m или t); с четырьмя пиками квадруплета (кв или k); все остальные, как правило, называются мультиплетами (м или m). В спектре указываются в м.д. вершины синглета или середины дублета, триплета и т.д. Расщепление сигнала является результатом взаимодействия магнитных ядер внутри молекул, оно зависит от магнитных свойств ядер и электронных свойств связей, по которым оно передается. Такое взаимодействие носит название спин-спинового взаимодействия ядер, а расстояние между пиками в расщепленном сигнале (в Гц) называют константами спин-спинового взаимодействия (КССВ). Спин-спиновое взаимодействие ядер обусловлено магнитным взаимодействием химически неэквивалентных ядер, которое осуществляется через электронные облака атомных связей и приводит к дополнительному расщеплению сигналов в спектре. Такое взаимодействие быстро исчезает с увеличением расстояния.

Масс-спектроскопия

Масс-спектроскопия - это физический метод, основанный на измерении массы заряженных частиц материи, который используется для анализа веществ.

Существенное отличие масс-спектрометрии от других аналитических физико-химических методов состоит в том, что оптические, рентгеновские и некоторые другие методы детектируют излучение или поглощение энергии молекулами или атомами, а масс-спектрометрия непосредственно детектирует сами частицы вещества. Современные масс спектрометры способны фрагментировать детектируемые ионы и определять массу полученных фрагментов, вернее соотношение массы к заряду. Для этого используются законы движения заряженных частиц материи в магнитном или электрическом поле.

Таким образом, масс-спектр - это просто рассортировка заряженных частиц по отношениям массы к заряду. Так как большинство небольших органических молекул при ионизации приобретает только один заряд, то для упрощения говорят о разделении веществ по массе. Важным исключением из этого правила являются белки, нуклеиновые кислоты и другие полимеры, которые способны приобретать множественные заряды.

Для получения масс-спектра надо:

провести процесс ионизации (превратить нейтральные молекулыи атомы, составляющие любое органическое вещество, в заряженные частицы - ионы);

осуществить перевод ионов в газовую фазу в вакуумной части масс-спектрометра, при этом глубокий вакуум обеспечивает беспрепятственное движение ионов внутри масс-спектрометра, а при его отсутствии, ионы рассеются и рекомбинируют (превращаются обратно в незаряженные частицы).

В масс-анализаторах частицы, разгоняясь электрическим полем и приобретая достаточную кинетическую энергию, попадают в бесполевое пространство. При входе частицы имеют одинаковую кинетическую энергию, но в зависимости от массы ионы будут двигаться с разными скоростями. Соответственно, детектор на выходе будет фиксировать время пролета каждой частицы, ведь оно у всех будет разным. Исходя из этого, можно сосчитать массу частиц.

Масс-спектрометры представляют собой вакуумные приборы, определяющие массы атомов (молекул).

Масс-спектр в графической форме обычно представляют в координатах: по оси абсцисс - величина отношения m/e; по оси ординат - относительная интенсивность соответствующего ионного тока, которую получают в результате процедуры нормализации исходного спектра.

Данные масс-спектрального анализа выражают в виде графика или таблицы, в которых указаны относительные интенсивности сигналов для различных величин m/e и такая таблица называется масс-спектром.

Выводы по главе 4


Разработан факультативный курс по органической химии «Анилины в синтезе гетероциклических серосодержащих соединений».

Разработанный курс способствует более глубокому изучению студентами гетероциклических соединений и их синтеза и формирует у них мотивацию приобщения к исследовательской и познавательной деятельности.

Курс включает в себя 2 лекционных занятия, практическое занятие и семинар.

Заключение


Синтезированы ранее неописанные N-арил-1,5,3-дитиазонаны, 1,5,3-дитиазеканы и 1,5,3-дитиазациклоундеканы циклоаминометилированием α,ω-дитиолов с помощью N,N-бис(метоксиметил)-N-ариламинов с участием катализаторов на основе d- и f -элементов.

Установлено, что N-арил-1,5,3-дитиазонаны образуются с выходом 76-97% при взаимодействии N,N-бис(метоксиметил)-N-ариламинов с 1,4-бутандитиолом под действием катализатора Sm(NO3)3∙6H2O/γ-Al2O3.

Разработан метод селективного синтеза N-арил-1,5,3-дитиазеканов с выходом 75-82% и 1,5,3-дитиазациклоундеканов с выходом 82-90% циклоаминометилированием 1,5-пентандитиола и 1,6-гександитиола N,N-бис(метоксиметил)-N-ариламинами в присутствии Sm(NO3)3∙6H2O/γ-Al2O3.

Установлено, что трехкратное применение гетерогенного катализатора Sm(NO3)3∙6H2O/γ-Al2O3 не приводит к существенному снижению выхода целевых N-арил-1,5,3-дитиазонанов, 1,5,3-дитиазеканов и 1,5,3-дитиазациклоундеканов.

Разработан факультативный курс по органической химии «Анилины в синтезе гетероциклических серосодержащих соединений».

 

Литература


1.    Eds. Y. Inoue, G.W. Gokel. Cation Binding by Macrocycles. Marcel Dekker. New York. 1990.

2.      R.M. Izatt, K. Pawlak, J.S.Bradshaw, R.L. Bruening. Thermodynamic and kinetic data for macrocycle interactions with cations and anions // Chem. Rev., 1991, 91, 1721 p

.        A.T. Yordanov, D.M. Roundhill. Solution extraction of transition and posttransition heavy and precious metals by chelate and macrocyclic ligands // Coord. Chem. Rev. 1998. 170, 93 p.

.        K. Gloe, H. Graubaum, M. Wust, T. Rambusch, W. Seichter. Macrocyclic and open-chain ligands with the redox switchable trithiadiazapentalene unit: synthesis, structures and complexation phenomena Coord. Chem. Rev. 2001. 222. 103 p

.        P. Bushlmann, E. Pretsch, E. Bakker. Carrier-based ion-selective electrodes and bulk optodes. 2. Ionophores for potentiometric and optical sensors. // Chem. Rev. 1998, 98, 1593 p

6.      B. Valeur, I. Leray. "Design principles of fluorescent molecular sensors for cation recognition." // Coord. Chem. Rev. 2000. 205. 3 p.

.        M.C. Feiters. In comprehensive Supramolecular Chemistry. Pergamon Press. Oxford. 1996, 9. 267 p

.        Pelissand D., Louis R., Ligands macrocycliques pentadendates. // Tetrahedron Lett.- 1972.- №45.- Р. 4589-4592.

9.  Dietrich B., Lehn J.M., Sauvage J. P. Oxathia-macrobicyclic Diamines and their ‘‘Gryptates’’. // Chem. Commun.- 1970.- Р. 1055-1056.

10.  Dietrich B., Lehn J.M., Sauvage J.P. Diaza-polyoxa-macrocycles et macrobicycles. // Tetrahedron Letters.- 1969.- №34.- Р. 2885-2888.

11.  Lehn J.M. Пат. США 396975611976 С.А.- 1976.- v.85.- Р. 160192.

12.  Weber E., Voctle E. Advances in the Chemistry of Sulphur-containing Macroheterocycles. // Ann. Chem.- 1976.- С. 891.

13.    Вартанян С.А., Акопян Т.Р., Пароникян В.Г., Новые подходы в синтезе фурансодержащих макрогетероциклов. // Арм. Хим. ж.- 1978.- т. 31.- С. 349

14.    Лукяненко Н.Г., Богатский А.В., Попков Ю.А., Синтез макроциклических амидоэфирови амидотиоэфиров на основе производных α-окси- и α-тиокислот. // ХГС.- 1980.- №4.- С. 306-309.

.        Tabushi J., Okino H., Kuroda Y., Containing two of nitrogen, oxygen or sulfur atoms. // Tetrahedron Letters.- 1976.- №48.- Р. 4339-4342.

16.    Ямонтайте А.А., Красильникова Г.К., Кильдишева О.В. Реакции и N-ацилированных этилениминов с тиоуксусной кислотой и сероводородом // ХГС.- 1974.- №4.- С. 510-514.

17.    Кнутов В.И., Бутин М.К., Воронков М.Г., Синтез производных 11,12-бензо-3,4-(4’,5’-диметилбензо)-1,6-дитиа-9,4-диазациклогексадека-3,11-диена // ХГС.- 1980.- №7.- С. 123-127.

18.    Воронков М.Г., Кнутов В.И., Бутин М.К., Банникова О.Б. Синтез новых хиральных N,S-содержащих макрогетероциклов. // ХГС.- 1974.- С. 1228.

.        M. S. Chande, Meera H. Uchil, P.A. Barve. Regioselective N-alkylation for the Synthesis of Novel Aminotriazolophanes. Heteroatom Chem., 2006, 17, 4, 330-336.

.        G.R.Khabibullina, V.R. Akhmetova, M.F. Abdullin, T.V. Tyumkina, L.M. Khalilov, A.I. Ibragimov. Multicomponent reactions of amino alcohols with CH2O and dithiols in the synthesis of 1,3,5 - dithiazepanes and macroheterocycles. Tetrahedron., 2014, 70, 3502-3509.

21.    Акопян Т.Р., Пароникян В.Т., Саракисян Т.П., Реакции о-аминофенола с дихлорангидридом дифурфурилсульфид-0,0’-дикарбоновой кислоты // ХГС.- 1979.- т. 32.- С. 716.

.        N. Arnaud, C. Picard, L. CaZaux, P.tisnes. tetrahedron Lett., 36, 5531 (1995).

23.    Хафизова С.Р., Ахметова В.Р., Тюмкина Т.В., Халилов Л.М., Кунакова Р.В., Джемилев У.М. Многокомпонентная гетероциклизация гидразина, сероводорода и формальдегида. // Изв. АН. Сер. хим.- 2004.- №8.- С. 1652-1656.

24.    Надыргулова Г.Р. Синтез N- и S-содержащих гетероциклов мультикомпонентной конденсацией аминов с H2S и СН2О. // Дис. канд. хим. наук. Ин-т нефтехимии и катализа РАН. - Уфа, 2006.- 135с.

25.    Ахметова В.Р., Надыргулова Г.Р., Хафизова С.Р., Тюмкина Т.В., Яковенко А.А., Антипин М.Ю., Халилов Л.М., Кунакова Р.В., Джемилев У.М. Взаимодействие аминофенолов с формальдегидом и сероводородом. // Изв. АН. Сер. хим.- 2006.- №2- С. 305-308.

.        J.C.Lockhart, A.C. Robson, M.E.Thompson, S.D. Furtado, C.K. Kaura, A.R. Allan. "Preparation of some nitrogen-containing polyethercrown compounds." // J. Chem. Soc., Perkin Trans. 1, 577 (1973).

.        V.J. Gatto, G.W.Gokel. "Synthesis of calcium-selective, substituted diaza-crown ethers: a novel, one-step formation ofbibracchial lariat ethers (bibles)."// J. Am. Chem. Soc., 106, 8240 (1984).

.        C. Blackburn, M. Bai, K.A.Le Compte, M.E. Langmuir. Tetrahedron Lett.,35, 7915 (1994).

.        T. Kikui, H. Maeda, Y. Nakatsuji, M. "One-step synthesis of dihydroxyazacrown ethers." // Okahara. Synthesis, 74(1984).

30.    Пат. 59157076 Япония; Chem. Abstr., 102, 6566 (1985).

.        Ashton P.R., Barns A.L., Claessens C.G., Shimizu G.K.H., Small K., Stoddart J.F., White A.J.P., Wiliams D.J. Thiamacrocylic chemistry: Synthesis of a novel oxadithiacrown and its copper iodide complex. // Journal of Chemistry Society, Dalton Trans. - 1997. - p. 1493-1496.

.        Danks J.P., Champness N.R., Shroder M. Chemistry of mixed nitrogen- and sulfur-donor tridentate macrocycles. // Coordination Chemistry Reviews. - 1998. - Vol. 174 - p. 417-468! Fallis I.A. Coordination chemistry of macrocyclic ligands. // Annual Reports on the Progress of Chemistry, Section A. - 2002. - p. 321-368

.        Gezahegn Chaka, Ochrymowycz L.A., Rorabacher D. B. Physical Parameters and Electron-Transfer Kinetics of the Copper(II/I) Complex with the Macrocyclic Sexadentate Ligand [18]aneS6. // Inorganic Chemistry. - 2005. - Vol. 44 - p. 9105-9111.

.        Grant G.J., Spangler N.J., Setzer W.N., VanDerveer D.G., Mehne L.F. Synthesis and complexation studies of mesocyclic and macrocyclic polythioethers XIV. Crown thioether complexes of palladium(II) and platinum(II). // Inorganica Chimica Acta. - 1996. - Vol. 246 - p. 31-40!

.        Grant G.J., Pool J.A., VanDerveer D.G. Chiral effects on a fluxional ligand: chiral diphosphine platinum(II) complexes with thiacrowns. // Journal of Chemical Society, Dalton Trans. - 2003. - p. 3981-3984.

.        Eun-Ju Kang, So Young Lee, Hayan Lee, Shim Sung Lee. Sulfur-Containing Mixed-Donor Tribenzo-Macrocycles snd Their Endo- and Exocyclic Supramolecular Silver(I) and Copper(I) Comolexes. // Inorganic Chemistry. - 2010. - Vol. 49 - p. 7510-7520.

.        Muthalagu Vetrichelvan, Yee-Hing Lai, Kum Fun Mok A new NS4 qunquedentate macrocyclic ligand: synthesis, structure and properties of its Ni(II), Pd(II), Pt(II), Cu(II), Cu(I) and Ag(I) complexes. // Journal of Chemistry Society Dalton Trans.- 2003. - p. 295-303.

.        Fallis I.A. Coordination chemistry of macrocyclic ligands. // Annual Reports on the Progress of Chemistry, Section A. - 2002. - p. 321-368.

.        Lindoy L.F. Heavy metal ion chemistry of linked macrocyclic systems incorporating oxygen and/or sulfur in their donor sets. // Coordination Chemistry Reviews. - 1998. - Vol. 174 - p. 327-342.

.        Glenny M.W., van de Water L.G.A., Driessen W.L., Reedijk J., Blake A.J., Wilson C., Schröder M. Conformational and stereochemical flexibility in cadmium(II) complexes of aza-thioether macrocycles. // Journal of Chemical Society, Dalton Trans. - 2003. - p. 1953-1959.

.        Dilworth J.R., Wheatley N. The preparation and coordination chemistry of phosphorus_sulfur donor ligands. // Coordination Chemistry Reviews. - 2000. - Vol. 199 - p. 89-158.

.        Pak-Hing Leung, Anming Liu, Mok K.F., White A.J.P., Williams D.J. Synthesis and coordination chemistry of a 14-membered macrocyclic ligand containing one phosphorus, two sulfur and one ambidentate sulfoxide donor sets. // Journal of Chemical Society, Dalton Trans. - 1999. - p. 1277-1282.

.        Halit Kantekin, Ümmühan Ocak, Yasar Gök, Irfan Acar The Synthesis and Characterization of a Novel vic-Dioxime and its Mononuclear Complexes Bearing an 18-Membered N2O2S2 Macrocycle and Their Characteristics as Extractants for Transition Metal Ions. // Journal of Inclusion Phenomena and Macrocyclic Chemistry. - 2004. - Vol. 48 - p. 95-101.

44.    Золотов Ю.А., Попов В.П., Рыбакова Е.В. и др. Экстракция металлов некоторыми сероазотсодержащими макроциклическими соединениями. // ЖНХ.- 1987.- т. 32.- №9.- С. 2228-2232.

45.    Ванифатова Н.Г., Исакова Н.В., Петрухин О.М. Комплексообразование при экстракции ртути(II) N,S-содержащими аналогами дибензо-18-краун-6. // ЖНХ.- 1991.- т.36.- №3.- С. 804-808.

46.    Буслаева М.Т., Громов С.П., Сидоренко Н.И. Комплексообразование палладия(II) с макрогетероциклическими лигандами. // РХЖ.- 2006.- т. L.- №4.- С. 26-35.

47.    Blake A.J., Rhona D. Crofts, Broer de Groot, Schruder M.J. Synthesis, structure and electrochemistry of [Pd([9]aneNS2)2]-[BF4]2([9]aneNS2= 1,4-dithia-7-azacyclononane). // Chem. Soc. Dalton Trans.- 1993.- Р. 485-486.

48.    A.J. Blake, G. Reid, M. Schröder. Synthesis, structures, and electrochemistry of palladium and platinum macrocyclic complexes of [18]aneN2S4(1,4,10,13-tetrathia-7,16-diazacyclo-octadecane) and Me2[18]aneN2S4(7,16-dimethyl-1,4,10,13-tetrathia-7,16-diazacyclo-octadecane). Single crystal X-ray structures of [Pd(Me2[18]aneN2S4)][PF6]2·Me2CO, [Pd([18]aneN2S4)][BPh4]2, and [Pd2Cl2([18]aneN2S4)][PF6]2·2MeCN. // J. Chem. Soc., Dalton Trans.- 1990.- Р. 3363-3368.

Похожие работы на - Анилины в синтезе гетероциклических серосодержащих соединений

 

Не нашли материал для своей работы?
Поможем написать уникальную работу
Без плагиата!
Без нейросетей!