Характеристика рівня технології природоохоронних процесів виробництва емалей і фарб

  • Вид работы:
    Курсовая работа (т)
  • Предмет:
    Экология
  • Язык:
    Украинский
    ,
    Формат файла:
    MS Word
    789,49 Кб
  • Опубликовано:
    2015-03-01
Вы можете узнать стоимость помощи в написании студенческой работы.
Помощь в написании работы, которую точно примут!

Характеристика рівня технології природоохоронних процесів виробництва емалей і фарб

Зміст

Вступ

Розділ 1. Характеристика рівня розвитку виробництва емалей і фарб в Україні та в світі

Розділ 2. Характеристика рівня основної технології виробництва емалей і фарб

2.1 Технологія виробництва водоемульсійних фарб

2.2 Технологія виробництва емалей

Розділ 3. Характеристика джерел обсягів утворення та використання відходів виробництва емалей і фарб

Розділ 4.Характеристика рівня технології природоохоронних процесів виробництва емалей і фарб

Розділ 5. Характеристика конструктивного оформлення природоохоронних процесів виробництва емалей і фарб

Висновки

Розрахункова частина

Розрахунок процесу розсіювання в атмосферу шкідливих речовин, що містяться у викидах об’єкта промисловості

Висновки

Список використаної літератури

Додатки

Вступ

Підняття хімічної промисловості дало великий поштовх на розвиток лакофарбового виробництва, яке являється одною з найстаріших її галузей. 6% хімічної промисловості становить лакофарбове виробництво, яке включає в себе виготовлення напівфабрикатів - компонентів лакофарбових матеріалів (плівкоутворювальних речовин, пігментів, пластифікаторів, тощо) і виготовлення на їх основі фарб і емалей. Всі галузі народного господарства, особливо машинобудування, приладобудування, радіоелектроніка, авіації і суднобудування, будівництво і інші являються споживачами лакофарбової продукції.

В даний час є великий вибір емалей і фарб, які можна придбати в магазинах для будь-якого призначення з найрізноманітнішими відтінками. Лакофарбові матеріали (ЛФМ), до яких відносяться емалі і фарби, мають дві основні функції: декоративну і захисну. Вони оберігають дерево від гниття, метал - від корозії, утворюють тверді захисні плівки, що оберігають вироби від руйнівного впливу атмосфери та інших впливів і подовжують термін їх служби, а також надають їм гарний зовнішній вигляд. Лакофарбові покриття довговічні. Для їх нанесення не потрібне додаткове, складне устаткування, і вони легше оновлюються. Тому такі покриття широко застосовуються як в побуті, так і у всіх галузях промисловості.

Через широке використання емалей і фарб збільшується кількість підприємств, які виготовляють лакофарбові матеріали, тому в наш час є актуальним аналіз стану виробництва емалей і фарб та природоохоронні заходи з екологічної позиції.

Розділ 1. Характеристика рівня розвитку виробництва емалей і фарб в Україні та в світі

емаль фарба відходи атмосфера

Виготовлення фарб відомо з давніх-давен. Ця галузь була поширена в Україні ще за Київської Русі. Переважно лакофарбові матеріали використовувались в іконописі, тому зазвичай їх виготовляли при монастирях, а також першими продуцентами фарб в Україні були гончарі. Кожний митець мав свій рецепт виготовлення фарб і тримав його в таємниці Сировиною для їхнього приготування в той час були різні природні продукти. Спочатку виробництво базувалося на переробці сирих матеріалів та рослин, пізніше з 14 століття почали вживати природні смоли і бітуми. З розвитком ремесла, а потім і промислового виробництва фарби почали виробляти хімічним шляхом. В Росії за часів Петра I був великий попит на фарби, в зв’язку з тим і збільшувалась кількість промисловців. Це призводило до розвитку економіки. Формування лакофарбового виробництва в Росії розпочалось в 19 столітті. До великої Жовтневої революції існувало лише кілька дрібних підприємств, які в основному працювали на імпортній сировині. До 1930 року при виробництві лакофарбової продукції надавали превагу продуктам переробки рослинних олій і природних смол, а також мінеральним пігментам природного походження. З цього часу ця промисловість пройшла великий розвиток. Використання плівкоутворювальних речовин і пігментів дало можливість значно розширити сировинну базу, а також створити нові, більш досконаліші лакофарбові матеріали для отримання довготривалих атмосферо-, термо-, водо- і хімічностійких покривів з високими характеристиками[4].

В Україні першими підприємствами цієї галузі були Одеський завод, заснований у 1856 році, Харківський - 1857 році, а також Львівський - 1858 році. У 1913 на території України було вироблено 9 тис. тонн лакофарбових матеріалів, у 1978 в УРСР - 605 тис. У післявоєнні роки було побудовано чимало лакофарбових заводів, в яких сьогодні проводиться реконструкція і переобладнання сучасними технологіями.

У наш час в Україні виробляється близько 2 тис. лакофарбових матеріалів. У 2007 році ємність українського ринку сягала 0,5 млн. тонн у натуральному вираженні і 1 млн. доларів США - у вартісному вираженні. Об’єм українського ринку лакофарбової продукції в порівнянні з країнами Євро союзу ще досить малий. Якщо в країнах ЄС обсяги продажу фарб на душу населення становлять 12 кг, а в найбільш розвинених (наприклад, в Великобританії) - 20 кг, то в Україні в 2004 році цей показник сягав 4,4 - 4,5 кг. За оцінками маркетологів в 2004 році український ринок лаків і фарб досяг обсягів виробництва у 280-290 тис. т. У 2008 році вітчизняний ринок лакофарбових матеріалів продовжував динамічно розширюватися. П'ять років вітчизняний ринок лакофарб демонструє досить високі темпи приросту: у 2006 році приріст українського ринку ЛФМ становив 12-15%, в 2007 році - близько 10%, в 2009 - близько 15%. При цьому фахівці відзначають, переважно розвивається сегмент водно-дисперсійних матеріалів. Найбільшим попитом в Україні користуються алкідні та водно-дисперсійні фарби: на перші припадає 55-60% загального ринку ЛФМ, а на другі - 30-35% [18].

Лідерами виробництва лакофарбової продукції в Україні [11] можна назвати десять підприємств:

- ТОВ ВП "ЗІП" - м. Дніпродзержинськ. Засноване в 1995 році. Промислове підприємство являється в п'ятірці найсильніших лакофарбових компаній у СНД.

ДЛФЗ, ТОВ СП "Мефферт Ганза Фарба" - м. Дніпропетровськ. Німецька компанія "Meffert AG Farbwerke" заснована в 1947 році в м. Бад Кройцнах. На даний момент компанія входить до числа найбільших лакофарбових підприємств Німеччини. У 2002 році компанія виробила понад 120 тис. тонн лакофарбових матеріалів. На українському ринку підприємство працює вже 10 років. Найбільш відомі торгові марки "d ü fa", "Profi Tec" і "Flamingo", виробнича програма яких включає в себе більше тридцяти ключових груп ремонтних і оздоблювальних матеріалів. Контроль якості здійснюється сертифікованою лабораторією згідно стандартам DIN EN ISO 9001. Особлива гордість концерну - привласнення ряду продуктів знака "Блакитний ангел", символ абсолютної екологічності продукції за стандартом DIN EN ISO 14001.

ЗАТ "Лакма" - м. Київ . Сьогодні - це потужний виробник лакофарбових матеріалів і сухих цинкових білил в Україні. Компанія успішно впровадила дві міжнародні системи: стандарти ISO-9001 та ISO-14001 - це постійний контроль управління якості на підприємстві.

АТЗТ "Хімрезерв» "(м.Київ).

ТОВ "Фарби Колорит". Фарби цієї марки виготовляються в Києві підприємством ТОВ "Тіккуріла", мають маркування "Екологічно чисто та безпечно". Якість матеріалів забезпечено системою менеджменту якістю, відповідно до міжнародного стандарту ISO 9001:2000 .

ТОВ "ТД" Композит-Сервіс "у м. Київ динамічно розвивається вітчизняний виробник лакофарбової продукції. Виготовляє акрилові і латексні фарби, акрилові емалі, грунтовки, антисептики, клеї, алкідні фарби, компанія виробляє також омивачі для скла "Композит".

ТзОВ "Снєжка-України" - м. Яворів. Являється найбільшим виробником продукції на водній основі. В асортименті заводу є водоемульсійні фарби, акрилові емалі, шпаклювальні маси, захисні та захисно-грунтуючі засоби, клеї. Підприємство було засновано в 1999 р. у м. Яворів (Львівська обл.) Польською фабрикою FFiL Sniezka SA спільно з українськими партнерами. Продукція "Снєжка-Україна" отримала визнання споживачів і медалі "Вибір року" [12].

"Емпілс" (ВАТ "Елакс", Україна) - м.Одеса, найбільший в Росії і в країнах СНД виробник декоративних покриттів, систем індустріальних покриттів і оксиду цинку (цинкових білил). До складу концерну "Емпілс" входять виробничі майданчики: ЗАТ "Емпілс" (Росія, м. Ростов-на-Дону, лакофарбове і цинкобілильне виробництво), і ВАТ "Елакс" (Україна, м. Одеса, лакофарбовий завод). Підприємства випускають продукцію під торговими марками "Ореол", "Емпілс" і "Розквіт".

"Омега" - м.Донецьк. завод заснований у 1997 року. Свою діяльність підприємство почало з реалізації лакофарбових матеріалів, таких відомих виробників, як Дніпропетровський ЛКЗ і Київський завод «Лакма». Сьогодні ці компанії випускають близько 40% всієї вітчизняної продукції, а в майбутньому планують забезпечувати до 50% потреб українського ринку. Незважаючи на численний склад, лідерами українського ринку виробництва фарб можна назвати не багатьох.

Світовими виробниками лакофарбової продукції являються:

Tikkurila (Тіккуріла), компанія заснована в 1862 році у Фінляндії. Переважно виготовляються фарби для декоративного оформлення і захисту поверхонь, а також компанія виробляє фарби і покриття для широких споживчих верств, професійних живописців і індустріальних користувачів. Продукція Tikkurila відзначена численними міжнародними сертифікатами з охорони навколишнього середовища.

Beckers (Беккерс) Основний ряд продукції даного виробника фарб представляють водоемульсійні фарби і лаки на водній основі. Заснований в 1865 р., знаходиться в Швеції, Норвегії, Фінляндії та Англії також має заводи в Італії, Німеччині, Франції. Шведський концерн Beckers AB використовує при виробництві фарб тільки першокласні інгредієнти, які пройшли контроль якості відповідно до ISO 9000. Відділ наукових досліджень і розробок компанії Beckers постійно займається розробками нових, кращих видів продукції. При цьому використовуються нові винаходи в області застосування сировинних ресурсів: характеристик продукції, забезпечення безпеки користувача та захисту навколишнього середовища. Серед продукції концерну Beckers AB можна відзначити: фарбу для стін і стель, фарбу для підлоги, емалі, прозорі лаки та захисні фарби для металевих поверхонь.

Flugger (Флюггер), який заснований у Данії в 1890 році, один з провідних виробників фарб для стін, інструментів для фарбування тощо.(Файдаль)

Лакофарбовий концерн "Feidal Lacke + Farben GmbH" (6 заводів у Німеччині та 4 підприємства в Європі) відомий своєю високоякісною продукцією в Європі. "Feidal Lacke + Farben GmbH" пропонує лакофарбові матеріали німецького виробництва (більше 130 найменувань), які за своїми експлуатаційними якостями задовольнять попит найвибагливішого покупця, тому що метою "Feidal" при розробці і виробництві продукції для будівництва є простота у використанні і відмінна якість.

Підприємство FEIDAL в даний момент є одним з найбільш авторитетних виробників фарб в Європі. Виготовляють дисперсійні фарби, емалі і лаки, сухі суміші, антикорозійні склади промислового призначення.

Dulux (Дюлюкс) знаходиться в Англії і славиться постійним вдосконаленням технологічних процесів і продукції.

ICI Paints (Ай-Сі-Ай Пеінтс) - найбільший в світі виробник фарб, який реалізує свою продукцію (фарби, лаки, грунтовки, захисні покриття) уже понад сімдесят років. За обсягом випущеної і реалізованої продукції (близько 1,5 мільярдів літрів у рік) "Ай-Сі-Ай Пеінтс" займає перше місце в світі.

На український ринок надходять такі види марок зарубіжних виробників фарб, як Sopro (Сопро), Mapei (Мапей), Rasch (Раш), Marburg (Марбург).

Найбільшими виробниками лакофарбових матеріалів в Росії є такі підприємства:

ВАТ “Лакокраска”, створено в 1999 році, виробляє п'ять видів продукції: лаки, смоли, емалі та барвники, пігменти, порошкові фарби. Домінуючою продукцією являються автомобільні фарби.

ТОВ «Текс» (м. Санкт-Петербург). Підприємство створено в 1994 році, виробляє водоемульсійні фарби, шпаклівки, емалі, лаки, антисептики, барвники, грунтовки, клеї, масляні фарби. У даний час ТОВ «Текс» належить близько 10% російського ринку лакофарбових матеріалів будівельного призначення.

ЗАТ «Емпілс» (м. Ростов-на-Дону), одне з основних напрямків діяльності компанії - виробництво емалей для сільськогосподарської техніки. ЗАТ «Емпілс - єдине підприємство галузі, виробничі потужності якого завантажені на сто відсотків[11,10].

Великий попит на лакофарбові матеріали збільшує кількість підприємств, що виготовляють цю продукцію. При цьому переважно розвивається виробництво водоемульсійних фарб. Незважаючи на численний склад, лідерами українського ринку виробництва фарб і емалей можна назвати невелику кількість.

Розділ 2. Характеристика рівня основної технології виробництва емалей і фарб

Для одержання емалей і фарб використовують плівкоутворювальні (сполучні) речовини, олігомери (полімери), пігменти та наповнювачі, розчинники і розріджувачі, а також різні добавки спеціального призначення (сикативи, пластифікатори, ПАР тощо)[5].

Основу будь-якого лакофарбового матеріалу становлять плівкоутворювальні (сполучні) речовини. Саме завдяки їхніми властивостями можна визначити якість лакофарбового покриття, а саме легкість нанесення, швидкість висихання, міцність і довговічність плівки, що утворилася. Плівкоутворювальні речовини - це високомолекулярні синтетичні або природні речовини, також їх суміші, разом з іншими компонентами лакофарбових матеріалів при нанесенні тонким шаром розчину, дисперсії чи розплаву здатні формувати покриття в результаті фізико-механічних чи хімічних властивостей [10]. Також сполучними речовинами в ЛФМ є такі матеріали: полімери - використовуються у полімерних фарбах, лаках, емалях; каучук - у каучукових фарбах; похідні целюлози - у нітролаках; оліфи - в олійних фарбах; клеї (тваринний і казеїновий) - у клейових фарбах; неорганічні в'яжучі речовини - цементних, вапняних, силікатних фарбах[19].

Полімери переважно застосовують з розчинником, або у поєднанні з оліфою чи цементом. Застосування синтетичних полімерів значно зменшило використання рослинних олій для приготування будівельних фарб і дало можливість випускати нові види довговічних і дешевих лакофарбових матеріалів [22].

Широке застосування полімерних лаків і емалей майже призвело до повної відмови від імпорту дорогих природних смол і рослинних масел, що колись були основною сировиною лакофарбової промисловості.

Від плівкоутворювальних речовин і застосованого пігменту залежать захисні властивості лакофарбового покриття по відношенню до металу, бетону чи іншого матеріалу. Сполучні речовини вибирають, враховуючи міцність його зчеплення (адгезію) з основою після затвердіння[3].

Пігменти - тонкі кольорові порошки, нерозчинні у речовині й розчиннику(рис 1.1.). Від них залежить колір і довговічність лакофарбового покриття. Пігменти бувають природні (крейда, вохра, мумія, залізний сурик, кіновар) і штучні пігменти з великою фарбувальною здатністю, розбавляють білим тонкодисперсним наповнювачем, що здешевлює барвистий склад. Наповнювачем може бути крейда, мелений вапняк або гіпс, порошки сірчанокислого барію або тальку, які не знижують атмосферної стійкості покриття. Неорганічні пігменти складаються з оксидів солей металів[10].

Рис.1.1. Схема поділу лакофарбових матеріалів[3]

Барвисті склади, що випускаються заводами, а також готуються на місці будівельних робіт, містять найчастіше неорганічні пігменти. Органічні пігменти - це малярська сажа, графіт і синтетичні барвники, що володіють високою фарбувальною здатністю. До них відносяться пігменти: жовтого,оранжевого, червоного, блакитного кольорів [21]

До штучних пігментів, одержуваних шляхом хімічної переробки сировини, відносять білила, крони, ультрамарин, малярську лазур і інші. До білих пігментів відносяться білила, крейда, вапно, алюмінієва пудра. Титанові білила представляють собою тонкий порошок діоксиду титану (TiO2). Їх вважають кращими із сучасних білил: вони світлостійкі, мають гарну покриваючу здатність, неотруйні. Застосовують для виготовлення масляних, емалевих та інших зовнішніх і внутрішніх фарб по металу, дереву, штукатурці. Цинкові білила (в основному оксид цинку ZnO) світлостійкі, неотруйні. Однак, як і свинцеві білила - білий порошок основного карбонату свинцю 2РbСО3 * Pb (ОН)2, недостатньо стійкі до дії лугів[6].

Пігменти можуть мати різне забарвлення в залежності від їх складу. Коричневі пігменти включають умбру і ряд змішаних пігментів, одержуваних із залізного сурику і мумії. Умбра, як і охра, відноситься до числа земляних фарб, тонкий порошок глини, пофарбований у природних умовах Fе2О3, МnО2 і іншими домішками в різні відтінки коричневого кольору. Зелені пігменти - оксид хрому, цинкова зелень і інші змішані пігменти. Сині пігменти - ультрамарин і блакить малярна. З групи червоних пігментів найбільш відомі : залізний сурик - тонкий порошок оксиду заліза цегляно-червоного кольору, штучна мумія, природна мумія - тонкий мінеральний порошок, пофарбований у природних умовах оксидами заліза в червоний колір, свинцевий сурик - порошок червоно-оранжевого кольору, що містить в основному PbO * Pb2O3. Чорні та сірі пігменти - малярська сажа, діоксид марганцю, тонкомолотий графіт. Малярська сажа - порошок майже чистого вуглецю [20].

Пігмент повинен мати такі властивості, як фарбувальну (властивість пігменту передавати свій колір білому пігменту), світлостійкість - властивість зберігати свій колір при дії ультрафіолетових променів, атмосферостійкість - властивість тривалий час протистояти впливу атмосферних факторів: води, кисню повітря, сірчистих та інших газів, зволоженню і висиханню, нагрівання і охолодження. Антикорозійні властивості характеризують здатність пігменту (у поєднанні з відповідним сполучною) утворити покриття, що захищає сталь від корозії [7].

.1 Характеристика технології виробництва водоемульсійних фарб

Водоемульсійні фарби складаються з плівкоутворювальних речовин, пігментів, наповнювачів, води і допоміжних функціональних речовин - емульгаторів, диспергаторів, стабілізаторів, згущувачів, піногасників, антисептиків, інгібітори корозії, а також з структуруючих добавкок.

Плівкоутворювальні речовини. До головних плівкоутворювальних речовин, що входять до складу фарб відносять водні дисперсії - поливінілацетатна, сополімерацетатна, поліакрилова, а також стирольний латекс.

Дисперсія полівінілацетатна - біла в’язка рідина. Ця дисперсія випускається в пластифікованому і непластифікованому виді і застосовується в якості зв’язуючого і клею в різних галузях промисловості. Вона утворює гладкі, однорідні покриття, що мають задовільну адгезію.

Сополімерна дисперсія - продукт емульсійної сополімеризації мономерів (в відповідності 2:1 по масі) в водному середовищі в присутності емульгатора - полівінілового спирту і персульфату амонію. На зовнішній вигляд дисперсія в’язка, білого кольору, світло-, масло- , бензостійка. Порівняно з полівінілацететною дисперсією вона має кращі захисні властивості, а також водостійка[13].

Латекс синтетичний - продукти сополімнризації бутадієну зі стиролом (в співвідношенні 35: 65 по масі) в водяній емульсій в присутності нікелю і натрієвого мила в якості емульгатора. Латекс повинен бути стабільним в присутності пігменту , і не має залишати грудо к і крупинок під час перемішування протягом 2 годин.

Водна дисперсія акрилового сополімера - продукти суміші емульсійної сополімеризації трьох мономерів - метилметакрилату, бутилметакрилату і метакрилової кислоти. Сополімер утворює світло- і атмосферостійке покриття, міцне при згинанні і з хорошою адгезією. Водоемульсійні фарби найчастіше використовують для зовнішніх робіт, адже такі покриття довготривалі[28].

Пігменти і наповнювачі. Із неорганічних пігментів у виробництві водоемульсійних фарб найчастіше застосовують двоокис титану, свинцеві і стронцієві крони, ультрамарин, оксид хрому, залізо окисні і земляні пігменти. Не рекомендується використовувати свинцеві білила, через їх токсичність, цинкові білила і крони, які не поєднюються з водними полімерними дисперсіями[7].

В водоемульсійні фарби, які застосовують для покриття металічних поверхонь, додають інгібіторні пігменти (хромат стронцію, силікохромат свинцю і ін.), що оберігають від корозії. Із органічних пігментів використовують азопігменти (червоний пігмент, оранжевий, жовтий і ін.) і фталоціанінові (блакитний, зелений), а з наповнювачів застосовують тальк і барит, рідше - крейду і азбест, а каолін в деяких випадках можуть використовувати як добавку.

Допоміжні речовини і добавки регулюють певні властивості водоемульсійних фарб. До них відносять диспергатори - це речовини, змочувальні пігменти і наповнювачі, що пришвидшують їх диспергування в рідкому середовищі і рівномірний розподіл у фарбах. До числа диспергаторів відносять поліфосфати ( поліфосфат натрію, триполіфосфат натрію та ін.). Емульгатори - речовини, які надають стійкості. До них належать солі жирних кислот і інші поверхнево активні речовини( ПАР). Стабілізатори - поверхнево активні речовини, що входять до складу емульсійних фарб, які покращують стабільні властивості як при переробці, так і при експлуатації. Найбільш вживаним стабілізатором є лейканол - натрієва сіль продукту конденсації нафтилсульфокислоти і формальдегіду. До згущувачів відносять речовини, що покращують в’язкість фарб, це можуть бути мінеральні речовини - бентоніт, прожарені глини. Антисептики - це добавки, які роблять фарбу стійкою до впливу мікроорганізмів і плісняви. Піногасники - речовини, що запобігають піноутворенню в процесі виготовлення і нанесення водоемульсійних фарб. Структуровані добавки - надають фарбам пластичності і в’язкості, запобігаючи їхньому розшаруванню[27].

Склад. Водоемульсійні фарби складаються з 35-40% плівкоутворювальних речовин, 30-40% - елементів з наповнювачами, 20-25% води і 2,5% добавок. Правильний вибір компонентів і їх співвідношень дозволяє виготовляти високоякісні водоемульсійні фарби, задовольняючи вимоги різних галузей народного господарства.

Для отримання зовнішніх покриттів, які повинні володіти високою атмосферною стійкістю, водостійкістю і стійкістю до старіння найбільш придатні водоемульсійні фарби, які мають в якості плівко утворюючої речовини акрилатні полімери, а також сополімери вінілацетата, а в якості білого пігмента - двооксид титана рутильної модифікації. Для внутрішніх покриттів застосовують полівінілацетатні, а також менш стійкі до старіння бутадиен-стирольні фарби, які містяться в якості білих пігментів двооксиду титана анатазної модифікації[2].

Технологічний процес виготовлення водоемульсійних фарб складається з наступних етапів: приготування напівфабриката - водяного розчину допоміжних речовин ( добавок); диспергування в напівфабрикаті пігментів і наповнювачів; змішання пігментних паст з попередньо підготовленою водяною дисперсією плівко утворюючої речовини ( емульсії або латексом); типизація і розлив готової фарби в тару.

Для диспергування застосовують фарборозтирочні машини, шарові млини, аттріторі і бісерні (рідше - пісочні) млини.

Технологія утворення водоемульсійних фарб розпочинається із приготування розчину добавок додаванням до нього води, утворений розчин за допомогою насосу прямує в бункер для пігментів, в змішувач. Потім подається в проміжний змішувач і мельницю. Останнім етапом являється подача зваженої емульсії зі сховища для емульсії (рис.2.1.).

Рис. 2.1. Схема виробництва водоемульсійних фарб[3]:

-суміш для приготування розчину добавок; 2-вага; 3-сховище для емульсії; 4-насос; 5-сітчастий фільтр; 6-змішувач; 7-проміжний змішувач; 8-бункер для пігментів; 9-мельниця; 10-змішувач

Кольорові водоемульсійні фарби відрізняються від білих наявністю невеликої кількості ( в середньому 0,3- 1,3%) кольорових органічних або неорганічних пігментів, надаючи їм потрібний відтінок. Для складання кольорових фарб служать одноколірні пасти одержані перітором на перетирних машинах замісів кольорових пігментів в середовищі напівфабрикатів-суспензій допоміжних речовин в демінералізованій воді[27].

До кольорових паст входять жовтий світлостійкий пігмент, голубогий фталоціаніний, сурік залізний і складають 25%, наступні 75% - сполучні- напівфабрикати; червона паста містить 60% пігменту і 40% напівфабрикату; пасти ультрамарину і мумії містить по 50% пігменту і 50% сполучного, а пасти пігмента залізокисного жовтого, залізокисного червоного і охри містять відповідно 40 і 60 %.

Виробництво кольорових водоемульсійних фарб розпочинається з подачі в замішувач кольорових пігментів і напівфабрикатів, утворена сировина за допомогою нососів направляється в фарботеркову машину, а потім в діжку з якої потрапляє в змішувач де міститься біла фарба, після змішування готову продукцію відправляють на склад (рис. 2.2.).

Рис.2.2. Схема виробництва кольорових водоемульсійних фарб[2]:

-замісочна; 2-змішувач; 3- фарботеркова машина; 4- ємкість; 5-діжка; 6-насос; 7-ваги

Виробництво кольорових водоемульсійних фарб включає допоміжні (порівнюючи з виробництвом білих) операції заміс і перетир на фарборозтирочній машині підколіровочних паст і підгонка кольору при типізації фарби в змішувачі.

Водоемульсійна фарба на відміну від масляних фарб, емалей і інших пігментних лакофарбових матеріалів не містить в своєму складі рослинних масел і токсичних органічних розчинників. Це обумовлює їх економічність, нешкідливість та негорючість. До достоїнств і переваг водоемульсійних фарб слід також віднести їх можливості нанесення на вологу поверхню, швидке затвердіння при повітряному сушінні ( 1-2 г), добру світлостікість і здатність до утворення достатньо стійких покриттів [19].

До недоліків фарб відносяться порівняно невисокі морозостійкість і водостійкість покриттів, а також відсутність стабільності фарб в процесі їх зберігання.

Водоемульсійні фарби призначенні для зовнішнього забарвлення будівель і споруд, а також для виконання фарбувальних робіт всередині приміщення по пористих поверхнях (дерев’яних, цегляних, бетонних, штукатурених і ін.), по заґрунтових металічних поверхнях і по старих покриттях емалями, масляними і водоемульсійними фарбами[3].

Фарби наносять на поверхню фарборозпилювачем, пензлем або валиком при температурі не нижче 8 оС. Можливе також нанесення наливом і методом електроосадження.

.2 Характеристика технологія виробництва емалей

Виробництво емалі розпочинається з подачі в бункер сировини. При виробництві всі ємкості устаткування переважно використовують з неіржавіючої сталі або глазуровані всередині, оскільки водоемульсійним фарбам характерне агресивне середовище з показником рН від 8 до 10 і вище. Далі відбувається подача в змішувач (міксер), за допомогою шнекового транспортера, який складається з металевої закритою труби, усередині якої обертається вал з лопатями (шнек). При обертанні шнека лопаті проштовхують продукт вгору по трубі. Шнековий транспортер використовується самостійно або разом з пакувальною машиною при тривалому режимі роботи. Особливістю шнекового транспортера є запобігання розпилення продукту в період транспортування, а також простота і доступність в обслуговуванні[22].

Рис.2.3. Схема технології виробництва фарб [3]:

- знаходяться добавки та інгредієнти, які можуть використовуватися на різних етап стадіях виготовлення; 2 - ємності із зв’язуючи, зберігається один з основних компонентів фарби; 3 - бункер добавок, у ньому знаходяться різні добавки, які готують до змішування з продуктом, для того щоб надати нових властивостей; 4- диспергатор, в ньому змішують сухі і рідкі компоненти в рівних пропорціях; 5- хопер, містяться компоненти, які поступово змішуються з рідиною; 6- силососи, в яких зберігаються складові майбутньої фарби: пігменти, наповнювачі; 7- міксер, у них паста змішується зі зв’язуючими речовинами і деякими добавками; 8- розливка, на цьому етапі фарба потрапляє у банки і щільно запечатується кришками

У змішувачі відбувається перемішування рідких, (в'язких і пластичних) продуктів з додаванням сипучих компонентів. Всередині робочої ємності розташована лопастева мішалка з нержавіючої сталі, яка забезпечують рівномірне і якісне перемішування. Завантаження продукту здійснюється через відкидну кришку на петлях (рис. 2.3.). Для повного вивантаження продукту та очищення робочої ємності конструкція змішувача передбачає наявність перекидання. Наступний етап полягає в розливі фарб. Сортування матеріалу може відбуватися як і подача рідинних компонентів - на вагову платформу встановлюється тара, відкривається кран і матеріал подається під тиском стисненого повітря.

Отже технологія виробництва емалей і фарб є багатокомпонентною. Найголовнішим етапом виготовлення продукції є змішування, яке присутнє у всіх випадках виробництва. До основи складових лакофарбових матеріалів належать плівкоутворювальні речовини, пігменти, наповнювачі, допоміжні функціональні речовини.

Розділ 3. Характеристика джерел обсягів утворення та використання відходів виробництва емалей і фарб

На підприємстві лакофарбової промисловості забруднення грунтів, атмосферного повітря і січних вод відбувається при виробництві продукції, а також при митті апаратури чи підлоги в приміщеннях. Промислові стоки забруднені домішками вихідної сировини і побічних продуктів, а також кінцевими продуктами, які вилучені разом з стічними водами з апаратів при їхньому митті, частковому винесенні із фільтрації, тощо. Ці домішки знаходяться в розчиненому або завислому стані обумовлюючи забарвлення і специфічний запах стоків. Кількість і склад промислових стоків залежить від виду виготовленого продукту і технології виробництва, від необхідної потужності очисних споруд, розміру виробничих площ, кількість технологічного обладнання і суми енергетичних витрат. Під час виготовлення емалей і фарб, викидається багато шкідливих речовин в навколишнє середовище. Основними забруднювачами НПС є стаціонарні технології виробництва, а також мобільні джерела. Найбільш поширеними забруднювачами є речовини у вигляді суспендованих твердих частинок, оксид вуглецю, метали та їх сполуки, а найнебезпечніші - неметанові леткі органічні сполуки, нітрати, нітрити, фосфати, сульфати[4].

Одним з найнебезпечніших неметанових органічних сполук є формальдегід. Він надходить у водне середовище в результаті скидання промислових стічних вод, а також у процесі вимивання його з атмосферного повітря. Формальдегід - сильний відновник, конденсується з амінами, з аміаком утворює уротропін, у стерильній воді він не розкладається. У водному середовищі піддається біодеградації, яка обумовлена дією бактерій. Фонові концентрації становлять кілька мкг/м3, поблизу промислових джерел - вище.

Головними забруднювальними речовинами є пари плівкоутворювальних речовин, до складу яких входять акриламід, аміак, бутилакрилат, етилакрилат, метил акрилат, стирол, фенол, формальдегід частина цих речовин може викидатися в навколишнє середовище. Від розчинників виділяється амілацетат, ацетон, бензин (у тому числі уайт-спирт), бензол, бутилацетат. Від затверджувачів - етилендіамін, гексаметилендиамін. Пігменти небезпечні такими речовинами: алюміній, алюміній оксид, заліза оксид, ртуті неорганічні сполуки, свинець та його неорганічні сполуки, титану двооксид, цинку оксид, хрому оксид[11].

В процесі виготовлення емалей і фарб спостерігається дуже висока концентраціями формальдегіду в атмосферному повітрі. Він надає токсичну дію на людину, володіючи дратівливими і алергенними властивостями. У формальдегіді були виявлені також канцерогенні та мутагенні властивості. Найбільше число злоякісних новоутворень, що викликаються формальдегідом, пов'язано з дихальною системою людини. Найбільш часто він провокує розвиток раку носоглотки [21].

Знизити вплив формальдегіду складно. Дія даного газу дуже сильно через високу токсичність як його самого, так і його метаболітів, тому що потрапляючи в організм він або окислюється там в мурашину кислоту, або відновлюється до метанолу[1].

До неметанових летких органічних сполук, що виділяються в процесі виробництва належить акрилова кислота - найпростіший представник одноосновних ненасичених карбонових кислот. Безбарвна рідина з різким запахом, розчинна у воді, діетиловому ефірі, етанолі, хлороформі. Легко полімеризується з утворенням поліакрилової кислоти. Акрилова кислота сильно подразнює шкірні покриви, слизову оболонку очей (поріг дратівної дії 0,04 мг / л). При попаданні в очі викликає сильні опіки рогівки ока і може викликати незворотні ушкодження. Вдихання парів може викликати подразнення дихальних шляхів, головний біль, при великих концентраціях або експозиції - набряк легенів. Наявність запаху ще не означає будь-якої загрози здоров'ю, ГДК - 5 мг / м ³.

Для виробництва акрилових емульсій, лаків і фарб використовують бутилакрилат (бутиловий ефір акрилової кислоти) - безбарвна рідина з неприємним різким запахом. Добре розчинний в органічних розчинниках, погано - у воді. Крім того, бутилакрилат легко полімеризуються під дією тепла, світла. У робітників, що працюють з бутилакрилатом та з емульсіями на його основі, виявлені зрушення з боку нервової системи, а також деякі відхилення в морфологічному складі периферичної крові. Спричиняє подразнення шкіри при відкритому попаданні. Гранично допустима концентрація - 10 мг/м3[27].

При виробництві емалей і фарб спостерігаються значні викиди нітритів і нітратів, які небезпечні для живого організму. Нітрити можуть потрапити в кров людини двома шляхами: прямим, або ж нітратами, які в крові людини перетворюються в нітрити. Вони - отрута для гемоглобіну людини. Двовалентне залізо в гемоглобіні крові окислюється до тривалентного і виходить метгемоглобін. Він не здатний переносити О2 або ж СО2.

Фосфати - солі та ефіри фосфорних кислот, які використовуються в лакофарбовій промисловості. Фосфати, що потрапляють у навколишнє середовище, призводять до евтрофікації водойм.

У викидах також спостерігаються сульфати, які основний вплив чинять на шлунок, гальмуючи його секреторну діяльність, негативно діють на функції системи травлення. Мінералізація негативно впливає також на вагітність, на плід і новонароджених, збільшує ймовірність гінекологічних захворювань.

Утилізація та переробка відходів. Використання вторинних матеріальних ресурсів - необхідна умова зростання економіки, вдосконалення виробництва та зменшення забруднення навколишнього середовища. У фарбувальних виробництвах такими ресурсами можуть служити відходи лакофарбових матеріалів, осідають в розпилювальних камерах, ваннах занурення, камерах облива та інших агрегатах. Кількість відходів визначається величиною втрат лакофарбових матеріалів[1].

Утилізують в основному відходи алкідних, меламіно-алкідних, мочевіноформальдегидних, поліакрілатних, епоксидних (гарячого затвердіння), перхлорвінілових, нітратцелюлозні та деяких інших рідких лакофарбових матеріалів. Найбільш широко освоєна утилізація та переробка емалей ПФ-115, ПФ-133, МЛ-12, МЛ-1110, МЧ-145, НЦ-11, ЕП-148. Утилізуються в основному пастоподібні і напівтверді матеріали, зібрані в ваннах гідрофільтрів розпилювальних камер, установок струменевого обливу і занурення. Вони містять до 50% води і до 30% плівкоутворювальних речовин[4].

Лакофарбові матеріали (містять пожежно-небезпечні та токсичні компоненти і їх необхідно утилізувати на спеціалізованих підприємствах, що мають відповідні ліцензії.

Важко забезпечити єдину технологію їх утилізації, у зв'язку з різноманіттям видів лакофарбових матеріалів. Найчастіше їх знищують спалюванням у спеціальних печах. Проте цим способом не можуть бути утилізовані ЛКМ, що містять галовмісні компоненти через утворення діоксидів. Висока в'язкість і клейкість цих матеріалів сильно ускладнюють їх вилучення з тари та подачу на спалювання. У результаті утилізація здійснюється не повністю і супроводжується збитком для навколишнього середовища[16].

Фірма «ЕКОТРАК» пропонує екологічно безпечну, ресурсозберігаючу і безвідходну технологію утилізації ЛФМ (фарби,емалі та ін.), а також утилізацію пігментів і барвників. Опис технологічного процесу утилізації розпочинається з дослідження відходів з вибором необхідної їх попередньої підготовки. Так рідкі компоненти поглинаються сорбентами (глауконіт, торф та ін.). Стверджувачі, що мають сильнокислу або сильнолужну реакції попередньо нейтралізуються до рН = 6-8. Потім відходи разом з тарою подрібнюються в дробарці «HAMMEL 750 D / DK». Подрібнені продукти поміщаються в контейнери, які герметично закриваються, в них вкладений поліетиленовий мішок (для полегшення подальшої вивантаження).

На другому етапі відходи змішуються в певному співвідношенні. Змішання здійснюється у змішувачах різного типу відповідно до затвердженого регламенту технологічного процесу переробки промислових відходів з отриманням добавок для виробництва цементу[15].

Отримана продукція використовується на цементних заводах, забезпечуючи ресурсозбереження. Відбувається корисне використання як мінеральної, так і енергетичної складової добавок. Технологія є повністю безвідходної і відходи не розміщуються на полігонах (для власників відходів це призводить до відсутності екоплатежів за негативний вплив на навколишнє середовище) [1].

Найбільше забруднення навколишнього природнього середовища відбувається при виробництві продукції, при митті апаратури і приміщень, також забруднювачами НПС є мобільні джерела. Головними забруднювальними речовинами є оксиди заліза, алюмінію, цинку, хрому, пари плівкоутворювальних речовин, до складу яких входять фенол, стирол, формальдегід, аміак.

Розділ4. Характеристика рівня технології природоохоронних процесів виробництва емалей і фарб

Технології природоохоронних процесів виробництва емалей і фарб розробляють в залежності від концентрації і складу забруднення. Для очистки виробничих стоків використовують деструктивні методи, що передбачають руйнування шкідливих домішків чи перетворення їх в нетоксичний продукт, або регенеративні методи, які основані на вилученні і утилізації домішків. Вартість очистки залежить від виду промислових викидів, від рівня уніфікації застосованої технології і серії випуску, автоматизації технологічних процесів[8].

При скиді промислових стоків в природні водойми необхідно враховувати можливе зниження концентрації забруднення в процесі самоочищення, що відбувається при біохімічному окисленні, нейтралізації кислих і лужних стоків, випаровування речовин, призначення водойми, в яку випускають стоки, загальний санітарний стан району та інші вимоги.

Після скиду промислових стоків в водойму, чистота води у ній повинна бути такою, щоб можна було її використовувати в побутових і промислових цілях, а також для розведення риб, тобто повинна відповідати певним санітарним нормам. У протічних водоймах вплив стічних вод не повинен поширюватися більш, ніж на одну третю ширини річки і не більше 0,5-1,0 км довжини по течії від місця скиду[9].

В залежності від об’єму стічних вод і складу забруднювальних речовин використовують різні методи очистки: механічні, фізико-хімічні, хімічні, електрохімічні, біологічні, термічні і комбіновані.

До механічних методів очистки належить відстоювання, фільтрація і освітлювання стічних вод.Фізико-хімічні методи передбачають видалення забруднювальних речовин методом адсорбції (активованим вугіллям, торфом тощо), коагуляції, іонного обміну, випарювання води. Хімічні методи очистки стічних вод ґрунтуються на утворенні нетоксичних продуктів в результаті протікання різних хімічних реакцій: конденсації, нейтралізації, і окислення. Біологічна очистка стічних вод забезпечується за рахунок різних мікроорганізмів.

Кращі результати можна отримати при застосуванні вищезазначених методів один з одним, зважаючи на різноманітний склад забруднювальних речовин. Ці методи називаються - комбінованими.Універсальним являється термічний метод, при його використанні можна повністю знешкодити промислові стоки[16].

Методи очистки стічних вод від органічних сполук можуть бути використані для очищення промислових вод від формальдегіду та інших органічних речовин. Деякі методи (біохімічний, метод ‘‘мокрого спалювання’’ тощо) являються універсальними, інші застосовують для очистки промислових стоків від фенолу, формальдегіду і спиртів.

Метод ‘‘мокрого спалювання’’ очищає промислові стоки від органічних домішок за допомогою кисню. Цей метод дозволяє провести достатньо глибоку очистку стічних вод від фенолу. Проте процес ефективніше і швидше протікає при високій температурі і тиску. Стиснення повітря, яке витрачається на окислення органічних домішок, потрібні великі витрати електроенергії, тому цей метод рідко використовують[25].

Біохімічний метод може використовуватися для очистки стічних вод, які містять різні органічні домішки на загальних очисних спорудах. Кількість кисню, що споживається мікроорганізмами для повного окислення вуглецю і водню, що містяться в органічних речовинах називається повною біохімічним споживанням у воді кисню і позначається БСК. Ця кількість менша ніж теоретична необхідна для повного окислення органічних речовин; остання називається хімічним споживанням кисню і називається ХСК.

ХСК води характеризується величиною біхроматної або йодної окислюваності. Необхідними вимогами являється також здатність органічних домішок до біохімічного окислення. Та наявність в стічній воді азоту, фосфору і калію. Крім того стічні води не повинні містити нерозчинних смол та масел. При застосуванні методу біохімічноної очистки можна знизити БСК до 25 мг/л[8].

Очистка стічних вод широко використовується в промисловості. Для очищення змішаних стоків від виробництва синтетичних емалей і фарб. Для очистки фарб застосовується апаратурно-технологічна схема з застосуванням напірної флотації з наступною доочисткою на флотаційно-піщаних фільтрах. По цій схемі вода яка очищається поступає в аераційний насос; вбираючу лінію цього насосу ежектором подається повітря. Суміш води та повітря у вигляді водоповітряної емульсії через ресівер подається в фільтр, проходить крізь водо розподілювач та через пористий піщаний шар. При цьому з суміші виділяються бульбашки повітря, які виносять коагуляцій ні частинки забруднень, які лишились в воді на її поверхню. При цьому в значному ступені знижується можливість утворення водонепроникної плівки на поверхню шару. Вміст речовин екстрагованих сірчистим ефіром в очищених стоках при застосуванні цього методу знижається на 96% [13].

Методи обесфенолювання стічних вод. Глибока очистка промислових стоків від фенолу являється одною з найскладніших задач. Тому очищені фенольні стоки не можна скидати в водойми без попереднього розбавлення.

Адсорбційний метод . цей метод полягає в сорбції фенолів сорбентами. в ролі сорбентів використовують активоване вугілля ,торф, генераторна зола. Для покращення адсорбційних властивостей сорбентів , з стічних вод потрібно видалити з них завислі та емульговані речовини. Для зменшення кількості сорбента , очистку стоків проводять багатоступінчастим або протитічним способом. В промисловості такий метод застосовується дуже рідко[8].

В наш час використовують фільтр для сорбції фенолів у вигляді циліндричної будови. Заповнений с сорбентом. Промислові стоки подають в фільтр знизу вверх, завдяки чому отримується рівномірне розподілення рідини по всьому об’ємі сорбента. Процес фільтрації продовжують доти, поки не поглинутий фенол появиться в фільтрі. Після цього стічні води подають в інший фільтр, а відпрацьований фільтр направляють на регенерацію.

Обесфенолювання води озоновим повітрям. метод відбувається завдяки високій здатності озону окисляти, реагуючи з різними органічними з’єднаннями. Озонування може використовуватися для очистки стічних вод забрудненими фенолом. Витрата фенолу залежить від концентрації фенолу в воді. Цей метод поки не використовується для очистки[17].

Електрохімічний метод. очистка стічних вод від фенолу електрохімічним окисленням проводиться в спеціальних ваннах, в яких паралельно один одному розташовані електроди: графітні пластинки(аноди) і стальні пластинки (катоди). В ролі електроліта використовують хлорид натрію. Метод електрохімічного окислення економніший в порівнянні з іншими, зате ефективність його різко знижується при наявності в стічних водах органічних домі шків, які також окислюються[25].

Метод очистки стічних вод від інших органічних сполук. Ці методи використовуються для очистки стічних вод від формальдегіду і інших органічних речовин. Деякі методи (біологічний , метод мокрого спалення, і ін. ) являються універсальними, інші використовуються лише для очистки промислових стоків від фенолу, формальдегіду і спиртів[18].

Комплексну очистку від метану, бутану широко використовують на практиці, проте повне видалення з промислових стоків спиртів і інших домішок складно, через багатокомпонентний склад стічних вод .

Переважно в стічних водах присутні леткі продукти, фенол, формальдегід. Одним з найбільш раціональних методів очистки стоків з одночасною регенерацією цінних розчинників являється переведення наявних в соках фенолів у феноляти, а формальдегід в цукроподібні речовини, або в уротропін з наступною відгонкою і ректифікацією летких продуктів (спиртів, розчинників).

В газових викидах лакофарбового виробництва в атмосферне повітря викидається значна кількість шкідливих забруднювальних речовин. Методи очистки промислових викидів від газоподібних забруднень за характером фізико-хімічних процесів поділяють на п’ять основних груп: абсорбція, хемосорбція, адсорбція, термічна нейтралізація(застосування каталітичного перетворення викидання назів і поглинання домішок), біологічна очистка[16].

Очистка газових викидів може бути за допомогою окислення атмосферним киснем на каталізаторах і безпосереднім вогневим спаленням шкідливих домішок в газах, що викидаються, а також за допомогою сорбційних методів , завдяки яким можна видалити із газових викидів цінні речовини і використовувати їх повторно на виробництві.

Каталітичний метод використовується для очистки газових викидів з органічними речовинами. Високу ефективність має мідно-хромовий каталізатор, який складається з суміші хромату міді(60%), хроміта міді(30%), оксиду міді, хрому і кальцію. Метод відбувається при температурі 250-350 оС зі швидкістю потоку 24000-40000м3 на 1 м3, під час процесу фенол, толуол, ксилол,етанол практично повністю окислюються.

Сорбційний метод очистки газових викидів дозволяє не тільки захистити навколишнє середовище від забруднення шкідливими леткими органічними речовинами, але одночасно рекуперувати їх. Абсорбентом може бути вода, карбонат амонію, мінеральні олії. Як адсорбент використовують найчастіше активоване вугілля і інші дрібнодисперсні матеріали [16]. Метод адсорбції базується на властивостях твердих тіл ультрамікроскопічною структурою селективно витягувати та концентрувати на своїй поверхні окремі компоненти з газової суміші[4].

Адсорбенти характеризується наступними показниками: порівняно високою ємністю адсорбента розчинника при низькому вмісті його в газоповітряному середовищі, високим ступенем видалення цілого компонента, можливість уловлення будь-яких з органічних розчинників низькими експлуатаційними витратами і помірними капітальними затратами[1].

Абсорбційний метод полягає в поділі газоповітряної суміші на складові частини поглинанням одного або кількох газових компонентів (абсорбентів) цієї суміші рідким поглиначем (абсорбентом) з утворенням розчину. Розчинений в рідині абсорбент внаслідок дифузії проникає у внутрішні шари абсорбенту.головною умовою при виборі абсорбенту є розчинність у ньому видобувного компонента та її залежність від температури і тиску[8].

Очистка стоків від формальдегіду за допомого аміака. Цей метод базується на реакції утворення уротропіну (гексаметилентетраміна):

CH2O + 4NH3 - (CH2)6N4 + 6H2O

Реакція протікає при нормальній температурі з лужним каталізатором протягом 30 хв. Для повної очистки стічних вод від формальдегіду беруть аміак в надлишку і додають 0,5 % Na2CO3 в залежності від обробляючої рідини для запобігання утворення гідролізу.

Для очищення стічних вод використовують механічні, фізико-хімічні, хімічні, електрохімічні, біологічні, термічні, комбіновані методи. До найефективніших відносять метод електрохімічного окислення, обесфенолювання води озоновим повітрям і адсорбційний метод. Для очистки газових викидів використовують сорбційний метод і каталітичний.

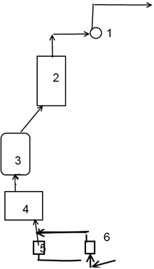
Розділ 5. Характеристика конструктивного оформлення природоохоронних процесів виробництва емалей фарб

Промислові стоки з виробництва емалей і фарб мають подібний склад, очистка проходить два етапи. Спочатку проводять конденсацію фенолу, який міститься в кислому середовищі і фільтрацію стоків від утворених продуктів конденсації. Потім проводять доочистку від фенолу, що залишився шляхом окислення його піролюзитом і регенерацію окислів марганцю з ціллю повторного повторного використання їх в циклі обесфенолювання стічних вод. Під час цього методу відбувається очистка від фенолу і при цьому відбувається обесфенолювання води.

Усереднення і відстоювання стічних вод. Забруднені стічні води з цеху феноловоформальфегідних смол по зовнішньому матеріальному проводу надходять в бак усереднення (рис.5.1.). Установлюються два баки, в одному проводиться очистка стоків, а в другий являється приймачем промислових стоків з цеху. Усереднення в баках досягається примусовим перемішуванням за допомогою зжатого повітря [14]. У виробничих умовах зміна концентрації забрудненості носить циклічний характер, у цьому при розрахунках ємності баків усереднювача слід виходити з вимог технологічного процесу очистки, а не з середньої концентрації за обмежений період часу. При відсутності примусового перемішування, баки виконують роль відстійників. Нерозчинні в воді низькомолекулярні продукти конденсації фенолу з формальдегідом і емульсовані речовини частково випадають з промислових стоків. Накопичуються в нижньому або верхньому шарі стічної рідини. Їх періодично вигружають через спусковий кран, розміщений біля дна бака усереднювача, і направляють у відвал або на спалювання. Для полегшення спуску відстояних смолистих речовин з баку усереднювача (особливо в зимовий період) його обладнують обігріваючим приладом; скоріш за все для цього використовують паровий змійовик[18].

Рис.5.1. Схема очистки стічних вод за допомогою усереднення і відстоювання[8]: 1-бак усереднювач; 2-реактор; 3,6- центрифуги; 4- реактор окислення; 5- реактор регенерації оксидів марганцю

Для захисту бака від агресивних стічних вод на внутрішню поверхність баків усерднювачів наносять кислостійку емаль[16].

Конденсація фенолу з формальдегідом. Із усереднювача промислових стоків падають в куб(рис.5.2.) рекретифікаційні колони тарілкового типу. Колона 4-х секційна з 33 тарілками. Відстань між тарілками 150 мм. Коефіцієнт заповнення куба 0,6- 0,7. Куб, кожна секція колони обладнана термопарами, які дозволяють контролювати процес ректифікації. Для обігріву куба передбачені парова сорочка і змійовик. Гріючі поверхні куба протягом обробки промислових стоків знаходяться нижче рівня рідини в кубі. Що дозволяє попередити перегрів колони. Вміст куба колони переміщуються за допомогою насоса, який передає воду з нижньої частини куба в верхню. При подачі води в верхню частину куба попереджує можливе утворення піни. До завантаженої в куб стічної води додається їдкий натрій, після чого включають контрольно-вимірюючі прилади, подають пар і нагрівають вміст куба при постійному перемішування до 60-65 оС, досягненні цієї температури в стічну воду додають їдкий натрій, для досягнення рН до 9-11. Це складає близько 0,45% від маси обробляючої води(рахуючи на 100% продукт). В середньому на 1 м3 промислових стоків використовується 6 кг їдкого натрію.

Рис.5.2. Схема очищення промислових стоків від фенолу і формальдегіду[8]: 1-бак усереднення; 2-куб; 3- ректифікаційна колона; 4-дефлегмктор; 5-холодильник- конденсатор; 6-збірник водного дистилята; 7-збірник водо-бутанолової фракції; 8- збірник бутанолової фракції; 9- збірник метаново-бутанової фракції

Загрузка лугу в нагріту стічну воду , створює благополучні умови для протікання реакції альдової конденсації формальдегіду. Після цілого рідину нагрівають до 96 оС і утримують при цій температурі 20-30 хв. В цей час ректифікаційна колона (рис5.3.) виконує роль зворотного холодильника. Після установлення потрібного режиму роботи колони відбирають дистильовані продукти. Забруднене повітря подається в ротаметри з яких надходить через вогнеперегороджувач на підігрів. Після цього відбувається каталітичне окиснення і через вентилятор виходить назовні.

Рис.5.3. Схема установки очистки газових викидів методом каталітичного окиснення[17]: 1-Вентилятор; 2- піч каталітичного окислення; 3- підігрів; 4- вогнеперегороджувач; 5,6 ротаметри

Каталітичний метод використовується для очистки газових викидів з органічними речовинами. Також високу ефективність має мідно-хромовий каталізатор, який складається з суміші хромату міді(60%), хроміта міді(30%), оксиду міді, хрому і кальцію. Метод відбувається при температурі 250-350 оС зі швидкістю потоку 24000-40000м3 на 1 м3, під час процесу фенол, толуол, ксилол, етанол, який практично повністю окислюються.

Отже до найефективніших установок очистки газових викидів є метод каталітичного окиснення, який є багатокомпонентним і складається з вентилятора, печі, підігріву, вогнеперегороджувача, ротаметра. Очистка стічних вод за допомогою усереднення і відстоювання найчастіше використовується і складається з бака - усереднювача, реактора, центрифуги, реактора окислення.

Висновки

Великий попит на лакофарбові матеріали збільшує кількість підприємств, що виготовляють цю продукцію. При цьому переважно розвивається виробництво водоемульсійних фарб. Незважаючи на численний склад, лідерами українського ринку виробництва фарб і емалей можна назвати невелику кількість.

Технологія виробництва емалей і фарб є багатокомпонентною. Найголовнішим етапом виготовлення продукції є змішування, яке присутнє у всіх випадках виробництва. До основи складових лакофарбових матеріалів належать плівкоутворювальні речовини, пігменти, наповнювачі, допоміжні функціональні речовини.

Найбільше забруднення навколишнього природнього середовища відбувається при виробництві продукції, при митті апаратури і приміщень, також забруднювачами НПС є мобільні джерела. Головними забруднювальними речовинами є оксиди заліза, алюмінію, цинку, хрому, пари плівкоутворювальних речовин, до складу яких входять фенол, стирол, формальдегід, аміак.

Для очищення стічних вод використовують механічні, фізико-хімічні, хімічні, електрохімічні, біологічні, термічні, комбіновані методи. До найефективніших відносять метод електрохімічного окислення, обесфенолювання води озоновим повітрям і адсорбційний метод. Для очистки газових викидів використовують сорбційний метод і каталітичний.

До найефективніших установок очистки газових викидів є метод каталітичного окиснення, який є багатокомпонентним і складається з вентилятора, печі, підігріву, вогнеперегороджувача, ротаметра. Очистка стічних вод за допомогою усереднення і відстоювання найчастіше використовується і складається з бака - усереднювача, реактора, центрифуги, реактора окислення.

Розрахункова частина

Розрахунок забруднення атмосфери викидами одинарного джерела

.Визначаємо витрату газоповітряної суміші:

_1=(π〖∙d〗^2)/4∙ω_0,

де π = 3,14;= 1,2 м (згідно з завданням);

〖 ω〗_0 = 5,6 м/c (згідно з завданням).

Звідси: V_1=(3,14∙〖1,2〗^2)/4∙5,6 =6,330 (м3/с).

.Визначаємо перегрів газоповітряної суміші:

∆Т=T_газу-T_пов

де T_пов=25 (згідно з завданням);_газу=174 (згідно з завданням),

Звідси: ∆Т=174-25=149 ().

.Визначаємо параметри, необхідні для визначення коефіцієнтів m i n, що враховують умови виходу газоповітряної суміші:

f=1000 (ω_0^(2∙) D)/(H^2∙∆T) ,

де ω_0 = 5,6 м/c;= 1,2 м (згідно з завданням);

Н = 34 м (згідно з завданням);

∆Т = 149 ,

Звідси: f=1000∙(〖5,6〗^2∙1,2)/(〖34〗^2∙149)=0,218;

ϑ_м=0,65((V_1∙∆T)/H), м3/c

де V_( 1)= 6,330 м3/с;

Н = 34 м;

∆Т = 149 ,

Звідси: ϑ_м=0,65((6,330∙149)/34)=1,967 (м3/с);

ϑ_м^/=1,3 (D〖∙ω〗_0)/H,

де D = 1,2 м;

ω_0 = 5,6 м/c;

Н = 34 м,

Звідси: . ϑ_м^/ = 1,3∙(1,2∙5,6)/34=0,256

_е=800(ϑ_м^/ )3

де ϑ_м^/= 0,256

Звідси: f_е=800∙(〖0,256)〗^3=13,42

.Визначаємо коефіцієнт m залежно від f (за однією із трьох формул):

.1. при f < 100 за формулою:

=1/(0,67+0,1√f+0,34 f)

де f=0,218 (згідно з розрахунками),

Звідси: m = 1/(0,67+0,1√13,42+0,34 13,42)=1,843

.Визначаємо коефіцієнт n:

.1. при f < 100:

.1.2. при : 0,5≤ϑ_м<2

= 0,532ϑ_м2-2,13∙ϑ_м+3,13

де ϑ_м = 1,967 м3/с;

Звідси: n = 0,532∙1,9672 - 2,13∙1,967+3,13 = 9,377

.Визначаємо небезпечну швидкість вітру Ум на рівні флюгера (10 м від рівня землі), при якій досягається найбільше значення приземної концентрації:

.1. при f < 100

.1.2 при : 0,5<ϑ_м≤2 Ум = ϑ_м,

Звідси: Ум=1,967 (м/с)

.Розраховуємо максимальну приземну концентрацію шкідливих речовин Сm (мг/л). Максимальне значення приземної концентрації шкідливої речовини Сm ( мг/м3) при викиді газоповітряної суміші з одинарного точкового джерела з круглим витоком досягається за несприятливих

< 100 Сm = (A∙M∙F∙m∙n∙η)/(H^2∙∛(V_(1∙) ∆T))

де А =155 (згідно з завданням);

МSO2 = 0,2 г/с (згідно з завданням);

Мп = 35 г/с (згідно з завданням);

МNO2 = 0,1 г/с (згідно з завданням);= 2,2 (згідно з завданням);

η = 1 (згідно з метеорологічних умов на віддалі Хм від джерела і визначається за формулою:завданням);= 1,843 (згідно розрахунків);= 9,377 (згідно розрахунків);

Н = 34 м (згідно з завданням);

∆Т = 149 (згідно розрахунків);_1 = 6,330 м3/с (згідно розрахунків).

Звідси: СmSO2= (155∙0,2∙2,2∙1,843∙9,377∙1)/(〖34〗^2∙∛(6,330∙149)) =0,103 (мг/л),

Сmп = (155∙35∙2,2∙1,843∙9,377∙1)/(〖34〗^2∙(6,330∙149)) = 18,146 (мг/л),

СmNO2 = (155∙0,1∙2,2∙1,843∙9,377∙1 )/(〖34〗^2∙(6,330∙149))= 0,051 (мг/л)

.Розраховуємо віддаль хm (в метрах) від джерела викиду, на якій приземна концентрація за несприятливих метеорологічних умов досягає максимального значення Сm:

Хm = (5-F)/4∙H∙d,

де F = 2,2= 34м

.1. при f < 100

.1.2. 0,5<ϑ_м≤2 d = 4,95∙ϑ_м (1+0,28 f)

де ϑ_м=1,967 м/с;=0,218

Звідси: d = 4,95∙1,967 (1+0,28 0,218) =11,377

Хm = (5-2,2)/4∙34∙11,377 = 270,773

.Задаємося значеннями х від джерела викиду, для яких хочемо вирахувати приземні концентрації і визначаємо співвідношення Х/Х_m= 50/270,773 = 0,1846(м)

X2 = 100/270,773 = 0,3693(м)= 250/270,733=0,9234(м)= 500/270,733=1,8468(м)= 1500/(270,733 ) = 5,5405(м)= 2900/270,733 = 10,7117(м)= 5000/( 270,733) =18,4683(м)= 10000/270,733=36,9367(м)

. При небезпечній швидкості вітру Ум приземна концентрація шкідливих речовин С (мг/м3) в атмосфері по осі факелу викиду на різних віддалях х від джерела викиду визначається за формулою для кожного значення х:

С=S1•Cm,

де Cm- максимальна приземна концентрація на віддалі- коефіцієнт, що визначається залежно від співвідношення Х/Х_m і коефіцієнта F:

Х/Х_m ≤1 S1=3(Х/Х_m )4 - 8 (Х/Х_m )3+6(Х/Х_m )2

Звідси: S50=3(50/270,773)4 - 8 (50/270,773)3+6(50/270,773)2 = 0,157SO2 = 0,157 •0,103 = 0,015 (мг/м3);

С50NO2 =0,157•0,051= 0,007 (мг/ м3);п = 0,157 •18,146 = 2,848 (мг/ м3).= 3(100/270.773)4 - 8 (100/270,773)3+6(100/270,773)2 = 0,471SO2 = 0,471 •0,103 = 0,061(мг/ м3);

С100NO2 = 0,471 •0,051 = 0,024 (мг/ м3);п = 0,471 •18,146 = 8,546 (мг/ м3);= 3(250/270,773)4 - 8 (250/270,773)3+6(250/270,773)2 = 0,998SO2 =0,998 •0,103 = 0,102 (мг/ м3);

С250NO2 = 0,998 •0,051 = 0,050 (мг/ м3);п= 0,998 • 18,146 = 18,109 (мг/ м3);

.2 при 1<Х/Х_m ≤8 S1 = 1,13/(0,13(Х/Х_m )^2+1)

Звідси: S500 = 1,13/(0,13(500/270,773 )^2+1) = 0,783SO2 = 0,783 •0,103 = 0,080 (мг/ м3);

С500NO2 = 0,783 •0,051 = 0,039 (мг/ м3);п = 0,783 • 18,146 = 14,208 (мг/ м3);= 1,13/(0,13(1500/270,773 )^2+1) = 0,226SO2 = 0,226 •0,103 = 0,023 (мг/ м3);

С1500NO2 = 0,226 •0,051 = 0,011 (мг/ м3);п = 0,226•18,146 = 4, 100(мг/ м3);

.3 при Х/Х_m >8 і F≥1,5 S1 = 1/(0,1(Х/Х_m )^2+2,47*Х/Х_m -17,8)

Звідси: S2900 = 1/(0,1(2900/270,773 )^2+2,47*2900/270,773-17,8) = 0,049SO2 = 0,049• 0,103 = 0,00504 ≈5,04 ∙10-2(мг/ м3);

С2900NO2 = 0,049• 0,051 =0,000249 ≈2,49∙10-3 (мг/ м3);п = 0,049• 18,146 = 0,889 (мг/ м3);= 1/(0,1(5000/270,773 )^2+2,47*5000/270.773-17,8) = 0,016SO2 = 0,016 •0,103 = 0,001648 ≈1,648 ∙10-2(мг/ м3);

С5000NO2 =0,016 • 0,051 =0,00816 ≈8,16 ∙10-2 (мг/ м3)п = 0,016• 18,146 =0,290(мг/ м3);= 1/(0,1(10000/270,773 )^2+2,47*10000/270,773-17,8) = 0,00480 ≈4,80∙10-2SO2 = 0,00480• 0,103 = 0,0004944 ≈4,4922 ∙10-3 (мг/ м3);

С10000NO2 = 0,00480• 0,051 = 0,0002448 ≈ 2,448∙10-3 (мг/ м3);п = 0,00480• 18,146 = 0,087 (мг/ м3).

Рис. 1.1. Залежність приземної концентрації оксиду азоту

Рис.1.2. Залежність приземної концентрації двооксиду сірки

Рис.1.3. Залежність приземної концентрації попелу

Висновки

Дане підприємство забруднює навколишнє природнє середовище оксидом азоту, двооксидом сірки і попелом. Перевищення оксиду азоту і двооксиду сірки не спостерігається, тому не потрібно впроваджувати додаткові заходи. Концентрація пилу перевищує 20 одиниць допустимої норми, для зменшення концентрації можна запропонувати очистку пилоосаджуваною камерою.

Список використаної літератури

1. Зубик С.В. Техноекологія. Джерела забруднення і захист навколишнього природного середовища / Зубик С.В. - Львів: Оріяна-Нова, 2007. - 400 с. - (Навч. посібник).

. Технология лаков и красок/[Орлова О.В., Фомичева Т.Н., Окунчиков А.З., КурськийГ.Р.]. - М.:Химия, 1980. - 392 с. - (Навч. посібник).

. Коновалов П.Г. Лабораторный практикум по химии пленкообразующих и по технологии лаков икрасок / Коновалов П.Г., Жербовський В.В., Шнейдерова В.В. - М.: Розвузиздат, 1983. - 200с. - (Лаб. практикуи).

. Апостолюк С.О. Промислова екологія/Апостолюк С.О., Джигерей В.С.. Апостолюк А.С. - К.: Знання, 2005. - 474с. (Навч. посібник).

. Лившиц Л.М. Лакокрасочные материалы/ Лившиц М.Л., Пшиялковський Б.И. - М.: Химия, 1982. - 360с. - (Справочное пособие).

. Орлова О.В. Технология лаков и красок / Орлова О.В., Фомичева Т. Н. - М., Химия, 1990. - 384с. - (Учебник для техникумов).

. Горловський И.А. Технология производства лаков и красок/ Горловський И.А. - М.: Химия, 1989. - 456с.( Справочное пособие).

. Сахарьов С.М. Очистка вод и газов лакокрасочного производства/

Сахарьов С.М. - М., - 1992. - 197с.-(Справочное пособие).

.Білявський Г.О. Основи екології/ Білявський Г.О., Фурдуй Р.С., Костіков І. Ю. - К.: Либідь, 2004. - 408с. - (Підручник).

. Ситник К.М., Топачевський К.М. : екологічний словник термінів і понять/ Ситник К.М., Топачевський К.М., - К.: К.І.С.,2002.- 353с.

. Обгрунтування обсягів викидів, для отримання дозволу на викиди забруднюючих речовин в атмосферне повітря стаціонарними джерелами для ТзОВ “Снєжка-Україна”. - Офіц.видання. - Львів., 2007. - 54с. - [Обгрунтовуючі матервали].

. Дозвіл на спеціальне водокористування для ТзОВ “СНЕЖКА-Україна”. - Офіц.видання. - Львів.,2004. - 25с. [матеріали на дозвіл].

. Верхолянцев В.В. Водные краски на основе синтетических полимеров / Верхолянцев В.В. - Л.: Химия, 1986. - 200с. - (учебное пособие для техникумов).

. Киселев В.С. Производство лаков, олиф и красок/ Киселев В.С., Абашкина А.Ф. - М.: Госхимиздат, 1961.- 208с. ( справочное пособие).

. Дринберг А.Я. Технология пленкообразующих веществ/ Дринберг А.Я. - Л.: Госхимиздат, 1961. - 652с.(справочное пособие).

. Проскуряков В.А. Очистка сточных вод в химической промышленности/ Проскуряков В.А., Шмидт Л.И. - Л.: Химия, 1982. - 464с. (учеб. пособие).

. Власенко В.М. Каталитическая очистка газов/ Власенко В.М. - К.: Техника. - 1973. - 199 с. - (справочное пособие).

. Новарський Т.А. Основи промислової екології/ Наварський Т.А. - К.: Афіша, 1996. - 78с.(монополія).

.Лившин М.Л. Технический анализ и контроль производства лаков и красок / М.Л. Лившин. - М.: Высшая школа, 1980. - 216с. - (Учебник для техникумов).

. Вяткин А.И.Основы теории и производства белой жести/ Вяткин А.Я., Галкин Д.П., Берлин Б.И. - М.:Металургия, 1978. - 387с. - (Справочное пособие).

. Кочнова З.А. Аппаратурно- технологические схемы производства пленкообразующих веществ/ Кочнова З.А., Фомичева Т.Н., Сорокин М.Ф. - М.:Химия, 1978. - 92с. - (Справочное пособие).

. Лившин М.Л. Классификация лакокрасочных материалов/ М.Л.Лившин. - М.:Химия, 1961. - 80с. - (справочное пособие).

. Скуфин К.В. Экология и охраа природы/К.В. Скуфин. -Воронеж, 1986. - 335 с. - (Справочное пособие).

.Шампатье Г. Химия лаков, красок и пигментов/ Г. Шампатье. - М.: Госхимздат, 1960. - 239 с. - (Справочное пособие).

.Кузьмичев В.И. Водорастворимые пленкообразователи и лакокрасочные материалы на их основе/ Кузьмичев В.И., Абрамян Р.К., Чагин М.Т. - М.: Химия, 1986. - 152 с. - (Справочное пособие).

. Горловський И.А. Технология производства лаков и красок/ Горловський И.А. - М.: Химия, 1989. - 456с.( Справочное пособие).

. Апостолюк С.О. Промислова екологія/Апостолюк С.О., Джигерей В.С.. Апостолюк А.С. - К.: Знання, 2005. - 474с. (Навч. посібник).

.Troyan P. Ecologia ogolna/ P. Troyan. - Warszawa: PWN, 1986. - 329 s.

30. Ricklef R.E. Ekology/ R.E. Ricklef. - New York: Freman and Comnpany, 1990. - 367p.(Stady Book).

Додаток A

Характеристика речовин які входять до складу розчинників, пігментів, затвержувачів лакофарбової продукції[4,18]

Найменування речовини

Хімічна формула

Токсичність

ГДК, мг/м3

Амілацетат

CH3COOC5 H11

Рідина з запахом. Наркотик. Викликає зміни в крові, печінці, нирках і інших органах. Пара подразнює слизову оболонку очей і дихальних шляхів. Викликає сухість шкіри

100

Ацетон

СН3СОСН3 Розчиняється уводі

Рідина з запахом. Наркотик. Розчиняється Викликає подразнення у воді слизових оболонок очей і дихальних шляхів при концентрації 1200 мг/м3

200

Бензини (у тому числі уайт-спирит)

Складна суміш аліфатичних і ароматичних вуглеводнів

Рідина з характерним запахом. Може викликати різноманітні ураження нервової системи. Характер отруєнь в більшості визначається присутністю вуглеводнів. тривалому можуть викликати дерматити

100 300 (у перерахунку на С)

Бензол

C6 H6

Рідина з своєрідним запахом, викликає отруєння при вдиханні пари і всмоктуванні через шкіру.

15/5

Бутилацетат

CH3COOC4 H9

Рідина з фруктовим з фруктовим запахом. Наркотик. Пара подразнює слизову оболонку очей і дихальних шляхів. Значний подразнюючий ефект відзначений при концентрації 1500 мг/куб.м

200

Бутиловий спирт (бутанол)

CH3(CH)2CH2OH2

Рідина з характерним спиртовим запахом. Наркотик. Викликає подразнюючу дію на слизові оболонки очей і дихальних шляхів

10

Вуглець чоти- рихлористий

CCl4 Не розчиняється у воді

Безкольорова рідина. Наркотик. При будь-якому шляху потрапляння в організм викликає ураження печінки, нирок, альвеолярних мембран і судин легень

10

Етилацетат

СН3СООС2 Н5

Наркотик. Подразнює слизові оболонки. Може викликати дерматити і екземи. Подразнюючий ефект відмичений при концентрації 1440 мг/куб.м

200

Етиловий спирт (етанол)

СН3СН2ОН

 Рідина з алкогольним запахом. Наркотик. Може викликати розлад нервової системи і захворювання внутрішніх органів

1000

Толуол

C6 H5CH3

Рідина з характерним запахом. Наркотик. Викликає нервовий розлад, хронічні отруєння відмічені при концентрації 200-2000 мг/куб.м

150/50

ПЛІВКОУТВОРЮЮЧІ РЕЧОВИНИ:




Акриламід

CH2CHCO NH 2

безкольорові кристали. Діє переважно нервову систему при будь-якому потраплянні в організм. Уражає також печінку і нирки. Легко проникає крізь непошкоджену шкіру, викликає розвиток неврологічних симптомів

0,2

Аміак

NH 3

Газоподібна речовина з різким запахом. У високих концентраціях збуджує центральну нервову систему. Подразнює переважно верхні дихальні шляхи.При концентрації 140-210 мг/м3

20

Бутилакри лат

CH2 CHCOOC 4H9 Не розчин. у воді

Рідина зі специфічним запахом. Наркотик. Викликає глибокі порушення ліпоїдно-жирового обміну, ураження шкіри.

10

Етилакрилат

CH2 =CHCOOC5 H5

5

Метилакри лат

CH2 =CHCOOCH3

Рідина з 3 неприємним запахом. Наркотик. загальнотоксичну і різко подразнюючу дію на слизові оболонки, а також може викликати запалення шкіри

5

Стирол

C6 H5 CH=CH2 Не розчиняється у воді

Рідина з характерним запахом. Високотоксична речовина. Наркотик. Викликає сильне подразнення слизових оболонок, зміни у кровоутворюючих органах, печінці,-кишковому тракті, шкірних покривів

30/10

Фенол

С6Н 5ОН Добре розчин. воді,дуже добре - у гарячій воді

Кристалева речовина. Переходить в рідинний стан при додаванні незначної кількості води. При потраплянні на шкіру викликає опік.

0,3

Формаль дегід

HCOH Добре розчиняється у воді

Має різкий запах. Отруйний і подразнюючий газ. Має сильну дію на центральну нервову систему. Подразнююче діє на слизові оболонки верхніх дихальних шляхів і очей, а також викликає шкірні ураження

0,5


Додаток Б

Характеристика речовин які входять до складу затверджувачів, пігментів і спеціальних домішкок

Найменування речовини

Хімічна формула

Токсичність

ГДК, мг/м3

1

2

3

4

Етилендиамін

H2 NCH2CH2 NH2

Безкольорова олійноподібна рідина з аміачним запахом. Викликає подразнення шкіри, зміни в бронхах, слизовій носоглотці, вегето-судинні порушення, функціональні порушення печінки, нирок. Має вплив на центральну нервову систему.

2

Гексаметилен- диамін

NH2 (CH2 )6 NH2

Дуже токсичний, має подразнюючу дію на слизові оболонки очей і дихальних шляхів, викликає шкірні захворювання і зміни у складі крові. Діє на центральну нервову систему. Змінює склад периферичної крові.

0,5

пігментів і спеціальних домішкок




Алюміній,алюміній оксид

Al, Al2O3

Уражає головним чином легені. Подразнює слизові оболонки очей, носа, рота.

 6 (Al2 О3) - у вигляді аерозолю

1

2

3

4

Заліза оксид

Fe2O3

Проявляє загальнотоксичну дію, подразнюючу дію на верхні дихальні шляхи. Викликає зміни легенях.

6 (в перерах. на залізо)

Ртуті неорганічні сполуки


Викликають ураження Центральної і периферичної нервової системи, дистрофічні зміни нирок і печінки, порушення секреторної функції шлунку, зміни серцевої діяльності

0,2/ 0,05 (за ртуттю)

Свинець та його неорганічні сполуки


Викликають зміни в складі крові, уражають нервову систему, нирки, печінку та інші органи.

0,01/ 0,005 (за свинцем)

Титану діоксид

TiO2

Викликає зміни з боку органів дихання

10

Цинку оксид

ZnO

Викликає атрофічні і субатрофічні катар верхніх дихальних шляхів, шлунково-кишкові розлади

O.J

Хрому оксид (зелений крон, хромова зелень)

Cr2 O3

Викликають місцеве подразнення шкіри і слизових,яке приводить до укривання їх виразками, ураження органів дихання. Загальнотоксична дія проявляється в ураженні печінки, нирок, шлунково-кишкового тракту, серцево-судинної с-ми.

1


Похожие работы на - Характеристика рівня технології природоохоронних процесів виробництва емалей і фарб

 

Не нашли материал для своей работы?
Поможем написать уникальную работу
Без плагиата!
Без нейросетей!