Характеристика бичка-кругляка в акваторії Одеської затоки
Зміст
Вступ
1. Огляд літератури
1.1 Фізико-географічна, гідролого-гідрохімічна та метеорологічна
характеристики району досліджень
1.2 Гідробіологічна характеристика Одеської затоки
1.3 Іхтіофауна Одеської затоки
1.4 Систематичне положення та біолого-екологічна характеристика
бичка-кругляка
2. Матеріали та методи досліджень
3. Результати досліджень та їх обговорення
Висновки
Список літератури
Вступ
За останні десятиріччя у всіх країнах світу, в
тому числі і в Україні, в значних масштабах відбувається гідротехнічне
спорудження, вплив якого на природне середовище проявляється в виникненні
цілого комплексу негативних явищ, які відображаються на стані морських
екосистем. Будівництво протизсувних споруд у морських берегів Одеської затоки
привело до зміни гідрології, водного та температурного режимів, їх розміщення в
часі та просторі, до зміни концентрації розчиненого кисню, біогенних елементів
тощо. Виникли штучні екосистеми, функціонування яких практично визначається
закладеними гідротехнічними параметрами.
Демерсальні риби є важливим компонентом
узбережних морських іхтіоценозів. Велика їх роль в трофічних ланцюгах донних
біоценозів, крім того вони можуть бути індикаторами стану морського середовища.
Видове багатство донних риб, їх чисельність дозволяють пояснити процеси, які
відбуваються в узбережній морській екосистемі, в тому числі і під впливом
антропогенних факторів.
Бичок-кругляк Neogobius melanostomus
(Pallas, 1814) широко розповсюджений в узбережній зоні та по всій акваторії
Чорного моря. Завдяки своїй екологічній пластичності цей вид в сучасний час
розповсюдився далеко за межі свого історичного ареалу [Коротаева, Шагалыева,
2013; Charlebois, 2002].
Кругляк є найбільш чисельним видом демерсальних
риб в Одеській затоці. Окрім того цей вид має велике промислове значення. В
деяких випадках він складає 60 - 90 % від загального улову всіх бичкових. До
того ж кругляк є одним із основних об’єктів любительської риболовлі [Заморов,
Чернікова та ін., 2010; Милованов, 2013].
В той же час, не дивлячись на широке розповсюдження
та значимість цього виду, відомості про біологічні характеристики
бичка-кругляка із району Одеської затоки далеко неповні та мають фрагментарний
характер. Саме тому метою наших досліджень було вивчення деяких аспектів
біології бичка-кругляка з Одеської затоки.
Для досягнення вказаної мети вирішували такі
задачі:
. Визначити статевий склад досліджуваного виду.
. Вивчити віковий склад риб.
. Надати розмірно-масову характеристику
бичка-кругляка.
. Визначити величину природної смертності виду.
Об‘єкт дослідження - біологія бичкових риб.
Предмет дослідження - біологія бичка-кругляка в
Одеській затоці.
1.
Огляд літератури
1.1
Фізико-географічна, гідролого-гідрохімічна та метеорологічна характеристики
району досліджень
Одеський регіон північно-західної частини Чорного
моря входить до складу Дніпровсько-Бузької пригирлової ділянки [Большаков,
1970] (рис. 1).
Рис. 1. Карта району досліджень. Одеська затока
Однак його гідрологічний і гідрохімічний режим
мають відмінні риси, що дозволяють розглядати цю акваторію як окремий регіон.
До таких особливостей відносяться:
) домінування вітрових течій, вплив Одеської
банки на характер циркуляції вод;
) сезонна мінливість ступеню впливу прісного
стоку Дністра і Південного Бугу на гідрологічну структуру, динаміку і
гідрохімічні показники якості вод регіону;
бичок кругляк одеська затока
3) розвиток вітрового прибережного апвелінгу, що
забезпечує водообмін між поверхневими і придонними шарами акваторії в літній
період року;
) наявність у прибережній зоні значущих
антропогенних джерел евтрофікування і забруднення морського середовища
[Гаркавая, Богатова и др., 2000; Тучковенко, 2002; Доценко, 2002; 2003;
Тучковенко, Доценко и др., 2003].
Температура і солоність води Одеського регіону мають
яскраво виражений сезонний хід. Мінімальна середня місячна температура
поверхневого шару води (0,7 оС) спостерігається в лютому. У березні
починається поступовий прогрів водної маси і триває до серпня, коли температура
води досягає максимальних значень (21 оС). Характерно, що в літні
місяці температура води в прибережній зоні на кілька градусів нижча, ніж в
морській частині акваторії, що пов'язано із систематичними вітровими
апвелінгами при зганяннях [Толмазин, 1963]. Потім в результаті осінньо-зимового
охолодження температура води поступово знижується до свого мінімуму в лютому.
Сезонні коливання солоності води поверхневого
шару обумовлені мінливістю стоку Дніпра. Мінімальні значення солоності води в
Одеському регіоні спостерігаються у квітні - травні (середньомісячна - 11,7 ‰).
У період з червня по вересень відзначаються зменшення річкового стоку і
підвищення солоності до 16 ‰ [Демидов, 1991].
У річному ході температури і солоності
поверхневих вод Одеського регіону північно-західної частини Чорного моря
виділяють наступні гідрологічні сезони: весна (квітень - червень), літо (липень
- вересень), осінь (жовтень - грудень) і зима (січень - березень). Березень
відноситься до зими через низьку температуру води, а червень - до весни
внаслідок зниженої солоності, тоді як температура в цьому місяці досить висока
і може вважатися літньою [Толмазин, 1963].
Циркуляція вод у Дніпровсько-Бузькій пригирловій
ділянці північно-західної частини Чорного моря і, зокрема, в Одеському регіоні
дуже мінлива і складна за структурою. Вона визначається морфологічними
особливостями басейну і в цілому домінуванням вітрових течій над плотностними.
Останні суттєво впливають на структуру течій в разі проникнення в регіон язика
розпріснених вод з Дніпро-Бузького лиману навесні, а також при розвитку
вітрового апвелінгу в прибережній зоні влітку.
Розрахунки вітрової циркуляції вод, виконані за
допомогою чисельних математичних моделей, показали, що визначальний вплив на
характер циркуляції вод в регіоні надає Одеська банка [Доценко, 2003; Тучковенко,
Доценко и др., 2003].
Вітрові течії характеризуються двошаровою
вертикальною структурою в приглибинних областях і наявністю односпрямованого по
вертикалі вздовж берегового течії в прибережній зоні. Внаслідок вітрових течій
в досліджуваному регіоні мають місце згінно-нагінні явища і прибережний
апвелінг, який, у свою чергу, призводить до виникнення дуже високих
горизонтальних градієнтів температури в літній період і розвитку термогалінних
течій, які накладаються на вітрову циркуляцію [Доценко, 2002; 2003].
Гідрохімічні умови і забруднення вод Одеського
регіону визначаються водообміном з відкритою частиною моря, впливом річкового
стоку, наявністю антропогенних джерел забруднення в прибережній зоні,
особливостями гідрологічного режиму. Мінімальні (7 - 9 мкг дм-3)
концентрації фосфатів у фотичному шарі спостерігаються навесні і влітку.
Концентрація амонію мінімальна навесні (70 - 80 мкг дм-3) і досягає
максимуму влітку в прибережній зоні моря (до 164 мкг дм-3).
Мінімальні зміст нітритів і нітратів (20 - 30 мкг дм-3)
відзначаються навесні, а максимальні (80 - 90 мкг дм-3) восени.
Протягом всього року концентрації амонійного азоту домінують над концентраціями
нітратів.
Концентрація органічних форм азоту і фосфору у
весняно-літній період року в багато разів перевищує концентрацію їх мінеральних
форм. Восени це співвідношення для фосфору зменшується, для азоту залишається
колишнім. Максимальне значення органічного азоту і фосфору фіксується восени в
прибережній зоні моря.
Загалом у прибережній зоні досліджуваної
акваторії середні концентрації амонійного азоту в усі сезони перевищують
концентрації, характерні для морської частини акваторії. Максимальних значень
це перевищення досягає в літній сезон в поверхневому шарі і становить 80 % для
амонію і 100 % для фосфатів. У весняно-літній період нітратів і нітритів
прибережні води містять менше, ніж води відкритої частини і тільки восени в
прибережній зоні їх концентрації більше, ніж у морській частині [Виноградова,
Васильева, 1992; Доценко, Рясинцева и др., 1995; Гаркавая, Богатова и др.,
2000].
Величина рН в товщі води в північно-західній
частині моря змінюється у вузьких межах: від 8,2 до 8,4 [Алмазов, 1962].
Концентрація розчиненого у воді кисню у поверхні
в придніпровському ділянці, що включає Одеську затоку, змінюється за
багаторічними даними від 1,8 мг О2/л (25 % насичення) до 10,5 мг/л
(95 % насичення). На глибинах до 50 м концентрація розчиненого у воді кисню від
3,5 до 5,5 мг О2/л, [Алмазов, 1959].
Екологічний моніторинг показав, що в серпні -
вересні в придонному шарі можуть розвиватися гіпоксійно-аноксійні явища.
Зокрема дефіцит кисню був зафіксований під час зйомок в серпні 1988, 1989,
1990, 1994, 1998 роках і у вересні 1999 року [Виноградова, Васильева, 1992;
Доценко, Рясинцева и др., 1995; Тучковенко, Доценко и др., 2003]. Основні
кліматичні чинники, які сприяють виникненню гіпоксії в літній період року:
утворення сезонного пікноклину; ослаблення вітрової діяльності; інтенсифікація
процесів споживання кисню на біохімічне окислення органічної речовини у воді і
донних відкладах.
Розвиток гіпоксії в придонному шарі в літній
період сприяє інтенсифікації потоків амонію і фосфатів з донних відкладень,
уповільнення нітрифікації, а також зменшення нітратів у процесі денітрифікації.
У результаті влітку в придонному шарі відзначаються максимальні концентрації
фосфатів і амонію.
Одеська затока сильно вдається в сушу, тому
клімат тут рівнинного характеру. Це обумовлює проникнення на територію моря
континентальних повітряних мас і формування помірно-континентального клімату.
За даними багаторічних спостережень,
середньорічна температура повітря над поверхнею моря становить +10,2 оС,
середня січнева - 2,6 оС, середня температура липня +22,7 оС.
За рік випадає близько 350 мм опадів, зволоження недостатнє. Максимальна кількість
опадів випадає в липні, досягаючи в середньому 50 мм, в окремі роки - більше
170 мм.
У районі Одеси переважають вітри північного і
північно-західного напрямків. Північно-західна частина моря і Одеська затока,
як складова частина, характеризується малими глибинами і невеликими ухилами
дна.
Глибина моря на відстані 100 м від берега складає
всього близько 30 м.
Для мілководних ділянок північно-західній частині
Чорного моря характерні вітрові впливи на рівень води. Рівень може різко
коливатися в результаті згінно-нагінних явищ. Так, підйом рівня моря біля
берега на 0,9 м стався в березні 1952 і в січні 1989 р. при вітрах від східного
до південно-західного напрямків і висоті хвилі до 3 м. Рівень води може
підніматися і за рахунок паводкових вод річок, що впадають у море.
Найменш всього схильні згінно-нагінним явищам
відкриті ділянки узбережжя. Найбільш низький рівень відзначається у
весняно-зимовий період внаслідок зменшення стоку річок та переважання згону
західних і північно-західних вітрів. Найвищий рівень характерний для весняного
періоду, що пов'язано з повінню річок і переважанням вітрів південного
напрямку.
Як відомо, морські хвилі і супроводжуючі їх течії
- основний фактор переміщення наносів у береговій зоні. Найбільш часті й
тривалі для м. Одеси північно-східні й східні шторми. Наприкінці осені і взимку
вони майже повністю переважають, в літній період вирішальне значення належить
більш слабким і менш тривалим хвилювань південних румбів.
Численні спостереження Одеської зсувної станції
показали, що від мису Великий Фонтан на північ несеться близько 250 м3
піску на рік. Пляжний матеріал поповнюється за рахунок розмиву і дроблення
понтичних вапняків, що виходять у вигляді брил та окремих масивів у береговому
обриві.
Північно-західна частина характеризується
невеликими глибинами, відповідно з цим осад, що вистилає дно, характеризуються
як мілководні. Мілководні в свою чергу діляться на літоральні (прибережна зона
моря) і мулисті (глибокі частини материкової мілини). У літоральної зоні
виділяють області скелястих, піщаних і піщано-мулистих ґрунтів. В Одеській
затоці відзначають саме літоральний осад, проте, на глибинах північно-західній
частині Чорного моря знаходиться зона мідієвого мулу, тому елементи цього мулу
спостерігаються у вигляді домішки в піщано-мулистих ґрунтах.
Піщані ґрунти починаються біля самого берега або
біля нижньої межі гравійних відкладень і в середньому доходять до глибини 30 м.
Представлені середньо - і грубозернистим піском світлого, білого і рудуватого
кольору. Мінеральний склад піщаних ґрунтів не відрізняється різноманіттям. Так
в районі Малого Фонтану пісок містить кальцит - 94,65 %, кварц - 3,91 % і 1,44
% - слімоніт, рогова обманка, ставроліт та ін. [Пазюк, Рычковский, 1967].
1.2
Гідробіологічна характеристика Одеської затоки
Морська прибережна смуга в межах Одеського
регіону відрізняється високим різноманіттям біотопів: піщані мілини, пляжі,
ділянки скель та гранітного каміння, різні гідротехнічні побудови тощо. Все це
складає умови для формування високої різноманітності літоральних спільнот
гідробіонтів.
В Одеській затоці виявлено 297 видів
мікроводоростей, які відносяться до восьми відділів. Серед них переважають
дінофітові (44 % від загальної кількості видів) та діатомові (36 %). Серед
дінофітових найбільш багаті видами роди Protoperidinium (22), Gumnodinium
(19), Glenodinium (16), Goniaulax (9); із діатомових - Chaetoceros
(34), Nitzschia (10), Navicula (6). Слід відмітити, що внаслідок
великої лабільності прибережної зони, в планктоні часто спостерігалися бентосні
діатомові водорості родів Cocconeis, Diploneis, Licmophora,
Grammatophora, Navicula та ін., які складали в середньому 30 %
від загальної кількості діатомових.
За період 1995 - 2000 рр. відмічено 11 видів
мікроводоростей, які викликали "цвітіння" води в прибережній зоні.
Найбільш сильним "цвітіння" води було викликано діатомовими
водоростями Skeletonema costatum (Greville) Cleve 1873, Chaetoceros
rigidus Ostenfeld, 1901, Stephanodiscus socialis I. V. Makarova
& A.I. Proshkina-Lavrenko, 1964, Rhizosolenia fragilissima Bergon
1903, Cerataulina pelagica (Cleve) Hendey, 1937. В 1998 р.
спостерігалося "цвітіння" води викликане масовим розмноженням Prorocentrum
cordata Ostenfeld, 1901 (5,6 млрд. кл/м3; 10,6 г/м3),
та Heterocapsa triquetra (Ehrenberg) F. Stein 1883 (1,3 млрд. кл/м3;
13,5 г/м3). "Гіперцвітіння" води викликане масовим
розвитком Prorocentrum micans Ehrenberg, 1833 в прибережній зоні (156,3
млрд. кл/м3; 5,8×103 г/м3).
Вважається, що S. costatum (Greville) Cleve 1873 є видом-індикатором
евтрофікованої води і вказує на високий рівень органіки в ній. Масовий розвиток
цього виду в 1998 р. в районі Лузанівки та порту до 50 млрд. кл/м3,
вказує на високий ступінь евтрофікованості води в цих районах [Теренько,
Теренько, 2000].
Структурні зміни в спільнотах інфузорій впливають
на їх продукційні характеристики, що, в свою чергу, впливає на формування
структури на функціональних показників більш високих трофічних рівнів.
Всього в планктоні Одеської затоки виявлено 106
видів інфузорій. Приблизно третина видів - евритопні види, характерні для
бентосу та обростань. Їх доля в планктоні зазвичай зростає після інтенсивного
хвильового перемішування. В спокійну погоду, як правило, домінують види
планктонного комплексу (ряд Oligotrichida), до того ж відмінностей у розвитку,
чисельності та масі між поверхневими водами та придонними не має. Більшість
інфузорій належать до солонувато-морських видів (64 %), частка евригалінних
видів складає 25 %, прісноводних - 11 %. В продовж року ці співвідношення
змінюються під дією вітрового нагону опріснених вод Дніпрово-Бугського лиману
[Курилов, 2001].
В результаті сукцесії рослинності, яка відбулася
в зв’язку з евтрофікацією вод північно-західної частини Чорного моря, домінуючі
спільноти багаторічної бурої водорості Cystoseira barbata C. Agardh,
1820 були замінені сезонними макрофітами із відділів червоних та зелених
водоростей. В даний час домінуючими видами макрофітів в обростаннях твердих
субстратів в різні сезони року є зелені водорості родів Enteromorpha та Cladophora,
а також червоні водорості роду Ceramium [Северо-западная …, 2006].
У зоні заплеску на поверхні гідротехнічних
споруд, особливо в холодний період року, формується пояс із нитчастих
водоростей Urospora penicilliformis (Roth) Areschoug, 1866 та видів роду
Ulothrix. Нижче на рівні краю води утворюється пояс із синьо-зелених та
діатомових водоростей. Горизонт до 0,5 м в основному зайнятий зеленими
макролітами, з глибиною переважно розвинуті червоні водорості із родів Ceramium,
Polysiphonia. В зимовий та ранньовесняний період на твердому субстраті
формується холодолюбивий комплекс, який представлений бурими водоростями Scytosiphon
lomentaria Link, 1833 та Ectocarpus confervoides Le Jolis, 1863, а
також червоною пластинчатою водорістю Porphyra leucosticta Thuret in Le
Jolis, 1863. Новим домінантом холодного періоду року в Одеській затоці в
останній час стала бура водорість - арктобореальний вселенець Desmarestia
viridis J. V. Lamouroux, 1813. В захищених акваторіях пляжів на піщаному
субстраті в невеликих кількостях зустрічається морська трава Zostera marina
Linnaeus, 1758 [Северо-западная …, 2006].
В макрозообентосі Одеської затоки Polychaeta
представлені 14 видами. Найбільша чисельність серед них належить наступним
видам: Melina palmata Grübe, 1870 (496
екз/м2), Heteromastus filiformis (Claparède, 1864) (258 екз/м2), Polydora
limicola Annenkova, 1934 (68 екз/м2), Neanthes succinea
(Leuckart, 1847) (53 екз/м2). В мейобентосі зустрічаються поліхети
16 видів. Істинних мейобентичних видів лише два: Syllides longocirrata (Örsted, 1845) (54 екз/м2) та Brania
clavata (Claparède, 1863) (124
екз/м2), та ювенільні особини представників макрозообентосу
[Бондаренко, 2008].
За своїм значенням в екосистемі прибережної зони
амфіподи займають важливе місце як об’єкт харчування риб, так і трансформатор
органічної речовини в бенталі. В останній час в Одеській затоці виявлено 19
видів ряду Amphipoda. Розподіл маси та чисельності амфіпод по узбережжю має
мозаїчний характер і коливається від 300 до 60850 екз/м2. В
обростаннях на каменистому субстраті чисельність амфіпод була значно вище ніж
на пухких ґрунтах. Найменше видове різноманіття впродовж року спостерігається у
вересні.
Роль амфіпод у формуванні загальної чисельності
макрозообентосу максимальна на водоростевому субстраті і складає 48,9 % від
загальної чисельності. На заплеску вони складали в середньому 34,5 %, на
глибинах 0,5 та 1 м показники чисельності схожі: 629 та 616 екз/м2 відповідно.
Впродовж року щільність амфіпод значно варіювала. Максимальні показники
відмічалися в липні [Воробьева, Кудренко, 2005].
В Одеській затоці виявлено існування чотирьох
основних спільнот донних організмів. Важливе місце займає біоценоз обростань
гідротехнічних споруд, який включає таких організмів як черви, ракоподібні,
молюски тощо. Головна роль серед обростувачів належить двостулковому молюску
мідії - Mytilus galloprovincialis Lamarck, 1819. ЇЇ біомаса складає
близько 95 % загальної біомаси всіх обростувачів Одеської затоки. В цьому
ценозі основні групи дрібних безхребетних представлені червами - Nematoda та
Turbellaria, ракоподібними - Harpacticoida, мушлєвими раками - Ostracoda та
морськими кліщами - Halacaridae. В Одеській затоці ця спільнота займає площу
приблизно 18,5 км2. В ньому зареєстровано 40 видів макрозообентосу
та більше 50 видів мейобентосу. Середня біомаса складає 1890 г/м2.
Другою важливою спільнотою є біоценоз Mya arenaria Linnaeus, 1758. Він
займає площу близько 25,5 км2, при середній біомасі 70 г/м2.
Ще дві спільноти: біоценози Cerastoderma glaucum (Poiret, 1789) та Lentidium
mediterraneum (O. G. Costa, 1830) займають близько 5 км2 кожний
при середній біомасі 48 та 87 г/м2 відповідно.
1.3
Іхтіофауна Одеської затоки
Іхтіофауна Одеської затоки впродовж ХХ - на
початку ХХI століття дуже активно досліджувалась рядом видатних вчених
[Киселевич, 1908; Яцентковский, 1909; Гринбарт, 1949; Виноградов, 1960;
Черникова, Заморов, 2011].
На початку ХХ ст. в Одеській затоці було виявлено
58 видів риб [Киселевич, 1908; Яцентковский, 1909].
Наприкінці 50-х рр. у списку Виноградова [1960]
наводиться 81 вид риб відмічених в Одеській затоці. За його даними тут
зустрічаються морський кіт Dasyatis pastinaca (Linnaeus, 1758), морський
йорж Scorpaena porcus Linnaeus, 1758, морські собачки Lipophrys,
червонувата морська іглиця Syngnathus argentatus Pallas, 1814, морський
карась Diplodus annularis Linaaeus, 1758, смарида Spicara flexuosa
Rafinesque, 1810, світлий горбань Umbrina cirrosa (Linnaeus, 1758),
морська миша Callionymus risso Lesueur, 1814, губаньові Labridae,
коричнева атерина Atherina bonapartii Boulenger, 1907, а в деяких випадках
до Одеської затоки заходять навіть сонячник Zeus faber Linnaeus, 1758 та
сфірена Sphyraena sphyraena (Linnaeus, 1758). Завдяки впливу опріснюючи
вод Дніпровсько-Бугського лиману, відомі випадки знаходження в Одеські затоці
солонуватоводних риб, таких як окунь Perca fluviatilis Linnaeus, 1758,
щука Esox luceus Linnaeus, 1758, сом Silurus glanis Linnaeus,
1758, короп Cyprinus carpio Linnaeus, 1758, лящ Abramis brama
(Linnaeus, 1758), "сонячна" риба Lepomis gibbosus (Linnaeus,
1758), верховодка Alburnus alburnus (Linnaeus, 1758), плітка Rutilus
rutilus (Linnaeus, 1758) та ін.
Зміна прибережних біотопів в 60-х рр. минулого
сторіччя є результатом проведення протизсувних берегоукріплень, які включали
будування гідротехнічних споруд та намив піщаних пляжів. Реконструкція
узбережжя, наряду з підвищеною евтрофікацією та промисловим навантаженням,
потягли за собою якісну та кількісну зміну прибережних іхтіоценів. В структурі
іхтіоценів Одеської затоки відбулися спрощення: на фоні зникнення великих
хижаків стали домінувати дрібні короткоциклічні види. Однією з причин
скорочення видового складу стали неперіодичні вітрові апвелінги, які викликали
надходження в затоку придонних вод в високим вмістом сірководню, що призвело до
масової загибелі не лише донних, але й частково пелагічних видів риб
[Замбриборщ, Винникова, Заморов, 1995].
Зниження техногенного навантаження на навколишнє
середовище, під час кризи 90-х рр., позитивно вплинуло на стан морської
екосистеми північно-західної частини Чорного моря в цілому та Одеської затоки.
Процес самовідтворення морських біоценозів проявився в збільшенні видового
складу риб та їх чисельності. В кінці 90-х рр. у берегів Одеси виявлено 55
видів риб [Ткаченко, Хуторной, 2001].
Одеська затока є відкритою акваторією, що сприяє
вільному заходу риб із прилеглих частин Чорного моря. За всю історію
іхтіологічних досліджень в Одеській затоці відмічено 78 видів риб, включаючи
прісноводних, які з’являються у берегів Одеси під час інтенсивного весняного
опріснення вод, але в результаті гинуть.
Як відомо, Чорне море та Одеська затока має
складну геологічну історію. Його басейн багаторазово осолонювався та
опріснювався. Хоча в теперішній час іхтіофауна цієї території представлена
видами середземноморського походження, в її складі також присутні так звані
понтичні (найбільш древні представники) та каспійські релікти (які збереглися з
часів, коли Чорне, Азовське та Каспійське море складало один басейн). До них
відносяться осетрові, бички роду Neogobius тощо. Велика роль в складі
іхтіофауни Одеської затоки належить рибам, які утворюють холодноводний
комплекс, які вселилися в Чорне море в різний час з північних морів.
До найбільш масової групи риб відносяться морські
теплолюбиві риби. Серед них є евригалінні форми, які заходять навіть в прісні
води, наприклад морські голки (Syngnathidae) тощо. В основному це
середземноморські іммігранти. Частина з них встигла утворити в Чорному морі
особливі підвиди, які відрізняються від вихідних форм морфологічними ознаками
та розмірами. Найбільшою кількістю видів серед них представлені морські собачки
(Blenniidae), бичкові (Gobiidae) та ін. [Заморов, Чернікова та ін., 2010].
В залежності від об’єктів та способів харчування
риби Одеської затоки можуть бути розділені на бентосоядних (~65 %),
планктоядних (~21 %), рибоїдних (~8 %) і тих, що харчуються рибою та
зообентосом (~7 %) [Северо-западная …, 2006].
1.4
Систематичне положення та біолого-екологічна характеристика бичка-кругляка
Тіло бичка-кругляка видовжене, валькувате, досить
високе, ледь стиснуте з боків, вкрите слабкою ктеноїдною лускою, але потилиця,
тім’я, частина горла, верхня частина зябрових кришок, основа грудних плавців і
частина черева вкриті циклоїдною лускою. Голова відносно коротка, її висота
майже дорівнює ширині, а профіль плавно спадає, рило скошене. Рот помірно
великий, горизонтальний, напівверхній. Язик спереду трикутний або з вимочкою
посередині. Верхня губа не розширена з боків і дещо звужується при кінцях.
Черевний диск не досягає анального отвору, черевна присоска з дуже маленькими
боковими лопатками на комірці. Плавальний міхур відсутній. Підокових поперечних
рядів геніпор 6 (7), геніпори розділені широким проміжком. Загальний фон
забарвлення сірувато-жовтий або бурувато-сіруватий, голова темніша за тулуб. На
боках розмиті, неправильної форми, поперечні темні плями, які зливаються у
верхній частині, вздовж середини боків є видовжені, більш-менш виразні темні
плями. В задній частині першого спинного плавця досить велика чорна пляма. Під
час розмноження забарвлення самців набуває чорного кольору, темнішають й
плавці, на яких залишається світла облямівка по краях [Мовчан, 2011].
За своїм походженням чорноморсько-каспійський
бичок кругляк Neogobius melanostomus (Pallas, 1814) є представником
понто-каспійського фауністичного комплексу. Природний ареал цього виду
розміщується по прибережному периметру річного опріснення Чорного, Азовського,
Каспійського, Мраморного морів, впадаючих до них рік та водоймам річкових
систем (водосховищах, естуаріях тощо), інтродукований в Аральське море та до
Північної Америки (штат Ілліноіс, басейни Великих озер) [Charlebois, 2002]. В
Україні зустрічається вздовж всіх берегів Чорного (від о. Зміїного і
придунайського узмор’я до Керченської протоки) і Азовського морів, в усіх
затоках, лиманах і приморських озерах, а також у гирлових ділянках річок
басейнів цих морів (Дунай і придунайські озера, Дністер, Півд. Буг, Дніпро,
Обітічна і ін.), звідки піднімається на середню і верхню течії, заходить у
притоки, де поступово входить до складу місцевої іхтіофауни (в Дністрі
відзначено в гирлі Серету, в Півд. Бузі вище м. Вінниця і в його притоках
Мертвовід, Синюха, в Дніпрі вище Києва, в Сів. Дінці вище м. Ізюм і в його
притоках річках Айдар, Деркул, Велика Кам’янка), а також у пониззі кримських
річок (річка Чорна); відзначалася ця риба і біля кримських берегів
(Севастополь, Балаклава, Карадаг, Феодосія) [Промысловые …, 1949; Виноградов,
1960; Мовчан, 2011].
В останні десятиріччя кругляк все більше розширює
свій ареал, освоюючи нові водойми, особливо завдяки впливу антропогенних
факторів на природні середовища. До них відносяться: зарегулювання річного
стоку, укріплення річкових берегів насипами гравія, з’єднання вод різних річок
каналами, і врешті-решт інтродукція виду шляхом транспортування відкладеної на
днища кораблів ікри або дорослих особин разом з баластними водами.
Найбільша довжина тіла 25 см, звичайно до 20 см,
маса 140 г, звичайно до 90 - 100 г, тривалість життя до 6 років. Бичок-кругляк
- морська, частково солонуватоводно-прісноводна, донна жила риба прибережних
морських ділянок, заток і лиманів, яка живе також у пониззі річок, звідки
натуралізуючись, поширюється проти течії на середні і верхні ділянки останніх.
Досить стійка до коливань температури води (життєздатність від 4 до 28 оС),
частіше зустрічається у водах із солоністю не вище 18 ‰, але може витримувати
значно більшу солоність. Тримається місць із замуленим черепашковим, піщаним
або дрібнокам’янистим ґрунтом, але звичайно уникає чистих кам’янистих чи
мулистих ґрунтів і заростей підводної рослинності. Мешкає на глибинах від 1 - 2
м до 10 - 15 (17) м, іноді й до 30 м; на більші глибини відкочовує звичайно
після нересту і в холодний час року. Вперше самиці починають розмножуватися у
віці 9 - 11 міс. при довжині тіла 5,3 см, переважна більшість всіх плідників
уперше нерестує при довжині тіла 5,5 - 6,0 см і масі 4 - 5 г, зокрема самиці в
дво-, самці в трирічному віці. Розмноження з кінця березня до початку серпня.
Плодючість самиць завдовжки 14,5 - 19,9 см складала 1098 - 6200 ікринок (Чорне
море), у самиць віком 1 - 3 роки вона коливалась від 988 до 5221 шт. (Азовське
море). Нерест порційний, починається при температурі води 9 - 10 оС,
його пік при 15 - 16 оС, закінчення при 24 - 25 оС і
проходить у місцях перебування риб, зокрема на мілководдях прибережжя на
глибині 0,5 - 3,0 м, іноді до 6 - 8 м, на ділянках із щільним ґрунтом (пісок,
черепашник, камінці тощо). Нерести передують своєрідні шлюбні ігри. Самець
зазвичай вириває ямку під каменем, скріплюючи пісок виділеннями придаточної
статевої залози і по черзі заманює в гніздо одну, дві і більше самок, які
обклеюють стелю гнізда ікрою, розміщуючи її правильними рядами. Самка відкладає
ікру в декілька прийомів. Самець запліднивши ікру кожної самки, залишається її
охороняти до виходу молоді, відганяючи сусідів та освіжаючи воду в гнізді
рухами грудних плавників. Під час охорони він не харчується і к кінцю нересту
значно втрачає вагу. Є відомості про те, що після нересту самці гинуть. При
температурі води 16 - 18 оС личинки виходять з ікри за 12 - 17 діб
після її запліднення. Молодь живиться планктоном із поступовим переходом до
споживання бентосу (червів, ракоподібних, личинок комах, дрібних молюсків
тощо). Великі особини харчуються переважно молюсками, які складають до 90 %
їхнього раціону, іншими донними безхребетними та молоддю риб [Промысловые …,
1949; Заморов, Снігірьов, 2010; Мовчан, 2011].
В Азовському морі та більшості лиманів
Причорномор’я бичок-кругляк - найбільш багаточисельний промисловий вид, який
складає 60 - 90 % вилову всіх бичків.
В результаті активного механізованого промислу
проходить зміна вікового і розмірного складу риб - стадо кругляка омолодилося,
значно збільшився процент дворічок і відповідно зменшився процент риб старших
вікових груп. Одночасно було відмічено зниження середньої довжини та середньої
маси риб [Костюченко, 1958, 1960, 1964, 1969; Апанасенко, 1973].
Період закладки річного кільця розтягнутий з
травня по вересень, в основному воно з’являється в червні-липні. Дуже часто
зустрічаються особини одного віку з різною величиною приросту на отолітах. Дані
досліджень показали, що в червні кільце на отолітах закладено у 98,4 % самок та
всіх самців три річників (2+), у яких по краю мається невеликий приріст (одне -
два ділення окуляр-мікрометра). В вересні у 94,2 % самок та 73,7 % самців тої
же вікової групи спостерігається значний приріст (п’ять-сім ділень
окуляр-мікрометра), і тільки у невеликої кількості самців та самок кільце з
маленьким приростом (одне - два ділення окуляр - мікрометра). В будові отолітів
самок і самців спостерігаються відмінності. У самців вони тонкі, прозорі, з
чітко вираженими річними кільцями; у самок більш щільні, на них чітко
виділяються тільки перше річне кільце, наступні кільця видні менш чітко і зони
приросту вужче, ніж у самців. Це, скоріш за все, пов’язано з більш високим
темпом росту самців в перші роки життя і більш раннім дозріванням самок
[Костюченко, 1961; Апанасенко 1973].
Найбільша довжина тіла кругляка складає 25 см,
звичайно до 20 см, маса 140 г, звичайно до 90 - 100 г [Мовчан, 2011]. Але в
різних частинах свого ареалу він має неоднакові характеристики росту та
розмірів.
В Придунайських озерах Кугурлуй та Ялпуг
бички-кругляки у віці 3-х років (2 - 2+) складають абсолютну більшість (70,5 %)
та їх повна довжина варіювала від 100 до 168 (в середньому 134,5) мм. Модальне
значення стандартної довжини тіла у групі склало 120 мм, медіана - 135 мм.
Чотирьохрічні особини (3 - 3+) складали 27 %, їх довжина змінювалась від 113 до
180 мм. Найбільш часто зустрічаємою розмірною групою особин (модальною) в цій
віковій категорії були бички довжиною 150 мм. Значення медіани (155 мм)
зміщенно в сторону великих особин. Дворічники (1+) та особини найстаршої
вікової категорії представлені одиничними особинами [Заморов, Олейник и др.,
2005].
За дослідженнями Т. А Заброди, О.А. Діріпаско та
О.І. Мілованова [Заброда, Дирипаско, 2009; Милованов, 2013] середні розміри для
бичка-кругляка в Керченській протоці дещо менші ніж в прилеглих до нього водах
Чорного моря. Вони складають 9,7 см та 12,8 г для протоки та 11,4 см та 22,3 г
для Чорного моря. До того ж в Керченській протоці розмірний ряд кругляка ширше,
тут і відмічена найбільша особина довжиною 18 см і масою 84 г.
У Воткінському водосховищі, на території
Пермського краю та Удмуртської республіки, довжина кругляка від 45,5 до 105,5
мм, при середньому значенні 61,1 мм [Коротаева, Шагалыева, 2013].
На території США, в умовах Великих озер, кругляк
відтворив характерну йому вікову структуру (1 - 4 роки); самці досягають
довжини за перший рік 100 - 130 мм, за 3 - 4 роки - 170 - 180 мм, а самки 80 -
100 мм та 130 - 140 мм [Смирнов, 2001].
Гельмінтологічне дослідження бичків-кругляків з
різних частин прибережної зони Чорного та Азовського морів виявило у цих риб 6
видів, 5 з яких паразитують у кругляків на личинковій стадії. Доповнивши цю
інформацію літературними даними було встановлено, що нематодофауна
чорноморського бичка-кругляка представлена двома статевозрілими формами Dichelyne
minutus (Rudolphi, 1819) и Cucullanus heterochrous Rudolphi, 1802 та
личинками третьої стадії 9 видів. Видовий склад нематод азовського кругляка
бідніший: цей бичок відомий як хазяїн двох видів статевозрілих нематод та трьох
видів личинок третьої стадії Contracoecum microcephalum Rudolphi, 1802, Cosmocephalus
obvelatus (Creplin, 1825) и Streptocara crassicauda (Creplin, 1829).
Єдиний вид нематод, який зустрічається у кругляків Чорного і Азовського морів і
складає "ядро" його нематодофауни, - D. minutus (Rudolphi,
1819). На протязі останніх 50-ти років залишаються стабільно високими показники
зараженості цією нематодом кругляка, який, вочевидь, є її основним кінцевим
хазяїном. В Каркініцькій та Джарилгацькій затоках кругляк найбільше заражений
личинками пташиних нематод C. microcephalum Rudolphi, 1802 та C.rudolphi
Thomas, 1937 [Квач, 2007; Корнийчук, Пронькина и др., 2008].
2.
Матеріали та методи досліджень
Матеріал для дослідження зібрано співробітниками
кафедри гідробіології і загальної екології Одеського національного університету
імені І.І. Мечникова мальковою волокушею в районі Малого Фонтану Одеської
затоки протягом 2010-2012 років.
Повний біологічний аналіз бичків здійснювали за
загальноприйнятими іхтіологічними методиками [Правдин, 1966]. У ході аналізу
виміряли стандартну довжину (см), масу тіла (г), встановлювали стать риби, її
вік.
Вік риб вивчали за отолітами. Цей метод визначення
віку бичків добре відпрацьований та є загальноприйнятим в іхтіологічних
дослідженнях [Костюченко, 1969].
Дослідження показали, що збір отолітів у бичків є
досить легкий та для визначення віку вони не потребують попередньої обробки.
Отоліти досить легко виявити при розрізі слухової капсули. При опусканні їх у
гліцерин на них добре видні вікові кільця. Для визначення віку риб було
переглянуто отоліти 441 екземпляру бичка-кругляка. Вивчення отолітів з
використанням бінокуляру МБС-9 давало змогу визначити кількість вікових кілець.
Підрахунок вікових кілець починали не з
центральної точки отоліту, а з ближнього кільця від неї. Так як, центральна
точка отоліту являє собою малькову зону.
Підготовка первинної інформації.
Спочатку дамо визначення деяких термінів,
необхідних для сбору первинних даних.
Вік риб 
- число повних років життя. Вік цьоголіток позначається - 0+.
Середня довжина риб 
- показник, що характеризує лінійний розмір риб у віковій групі,
улові або водоймі. Визначається як середньозважена величина з урахуванням
обсягу вибірки.
Середня маса риб 
- показник, що характеризує масу риб у віковій групі або улові.
Для подальших обчислень також бажано знати середньорічну
температуру 
водойми.
До основних погрішностей вихідної інформації, можна
віднести помилки при визначенні віку (іноді досягають 1 - 3 років) і малий
обсяг вибірки, який робить ненадійними дані по чисельності вікових груп. Для
отримання достовірних результатів кількість екземплярів у контрольному улові
повинна становити не менше ніж 200, а бажано 300 - 350 екземплярів [Засосов,
1970].
Для більш детального розрахунку можливо окремо для самців і
самок визначити відносну чисельність вікових груп, середню масу та кількість
екземплярів в улові.
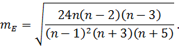
Основні статистичні показники.
Найбільш поширеною формою статистичних показників, які
використовуються у біологічних дослідженнях, є середня величина ознаки
де 
- варіанта вибірки (значення ознаки), а 
- обсяг вибірки (кількість екземплярів).
Така величина є узагальненою кількісною характеристикою
ознаки у статистичній сукупності в конкретних умовах місця і часу. Показник у
формі середньої величини висловлює типові риси і дає узагальнюючу
характеристику однотипних явищ по однієї з ознак. Широке застосування середніх
пояснюється тим, що вони мають ряд позитивних властивостей, що роблять їх
незамінним інструментом аналізу явищ і процесів у біології.
Найважливіша властивість середньої величини полягає в тому,
що вона відображає те спільне, що притаманне всім одиницям досліджуваної
сукупності. Значення ознаки окремих одиниць сукупності коливаються в ту чи іншу
сторону під впливом безлічі факторів, серед яких можуть бути як основні, так і
випадкові.
Інформація про середні значення досліджуваних показників
зазвичай буває недостатньо для повного аналізу досліджуваного процесу або
явища. Іноді абсолютно несхожі за своєю внутрішньою будовою сукупності можуть
мати рівні середні величини. Тому для більш детального вивчення того чи іншого
явища необхідно враховувати варіацію значень окремих одиниць сукупності.
Вимірювання варіації ознак має як теоретичне, так і практичне значення.
Найпростішим показником є розмах варіації. Він являє собою
різницю максимального і мінімального значень ознаки
Недоліком даного показника є те, що він оцінює лише границі
ознаки і не відображає його коливання всередині цих границь. Внаслідок цього
розмах варіації може неправильно характеризувати загальне коливання ознаки.
Цього недоліку позбавлений інший показник - дисперсія
Також дисперсію можна розрахувати як середній квадрат
відхилень значень ознаки від їх середньої величини
Між індивідуальними відхиленнями від середньої і коливанням
ознаки існує пряма залежність: чим сильніше коливання ознаки, тим більше
відхилення його значень від середньої величини і менш стійкий досліджуваний
показник.
Слід зазначити, що дисперсія ще не дає уявлення про
однорідність сукупності і цьому показнику важко дати біологічну інтерпретацію,
через те що він розрахований у квадратних одиницях. Тому наступним кроком у
дослідженні однорідності сукупності є розрахунок середнього квадратичного
відхилення, яке показує наскільки у середньому відхиляються конкретні варіанти
ознаки від середнього значення. Воно визначається як квадратний корінь з
дисперсії і має ту ж розмірність, що і досліджувана ознака
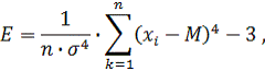
Стандартна похибка вибіркової середньої величини від
середньої генеральної знаходиться у прямій залежності від середнього
квадратичного відхилення досліджуваної ознаки і у зворотній залежності від
обсягу вибірки
Відносна стандартна похибка вибіркової середньої величини
розраховується за формулою
Зазвичай, якщо значення 
перевищує 5 %, то це свідчить про те, що треба збільшити обсяг
вибірки.
При визначенні можливих меж значень характеристик
генеральної сукупності розраховується гранична похибка, яка залежить від
величини її стандартної похибки та рівня ймовірності 
(ступеня надійності здобутого результату), за яким гарантується,
що генеральна середня величина не вийде за зазначені межі. Якщо сукупність має
нормальний закон розподілу, то величина граничної похибки дорівнює [Шмойлова,
1999]
де значення 
табульовані і представлені у статистичних довідниках. Таким
чином, довірчий інтервал має вигляд
При узагальненні результатів вибіркового спостереження
найбільш часто використовуються такі рівні ймовірності та відповідні їм
значення 
:
|
|
0,683
|
0,950
|
0,954
|
0,997
|
|
|
1
|
1,96
|
2
|
3
|
Наприклад, якщо при розрахунку граничної похибки вибірки
використовуємо значення 
, то з ймовірністю 
можна стверджувати, що розбіжність між вибірковою середньою
величиною і генеральною середньої не перевищить майже двократної величини
стандартної похибки вибірки.
Розглянуті показники 
, 
і 
дозволяють отримати абсолютне значення варіації ознаки. Однак для
порівняння різних сукупностей з точки зору стійкості якоїсь однієї ознаки або
для визначення однорідності сукупності розраховують відносні показники.
Найбільш поширеним показником такого виду є коефіцієнт варіації [Минашкин,
Шмойлова и др., 2008]
При цьому сукупність вважається однорідною, якщо коефіцієнт
варіації менше ніж 33 % (для розподілів близьких до нормального).
З іншого боку, оцінка ступеня інтенсивності варіації
можлива тільки для кожного окремого ознаками сукупності. Так для сукупності
сільськогосподарських культур варіація врожайності в одному й тому ж регіоні
може бути оцінена як слабка, якщо 
, помірна при 
і сильна при 
[Елисеева, Юзбашев, 2001]. Навпаки, варіація росту у сукупності
дорослих чоловіків або жінок вже при коефіцієнті 
рівному 7 %, має бути оцінена і сприймається людьми як сильна.
Таким чином, оцінка інтенсивності варіації полягає у порівнянні спостережуваної
варіації з деякою звичайної її інтенсивністю.
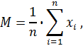
Перевірка гіпотези про нормальний закон розподілу.
Для розрахунку та дослідження зазначених вище величин
важливо переконатися, що вибірка має нормальний закон розподілу. Для цього слід
обчислити асиметрію, ексцес та скористатися відповідними критеріями згоди.
Значення асиметрії (
) і його похибка (
) та значення ексцесу (
) і його похибка (
) розраховується за такими формулами [Шмойлова, 1999]
Якщо 
, то це означає, що переважають дані з великими значеннями
(більшими ніж середня величина), а якщо 
, то більше даних з меншими значеннями. У випадку 
значення ознаки більш рівномірно розподілені по всій області значень,
а при 
сконцентровані близько середньої величини.
Вважають [Шмойлова, 1999], що при відношеннях
досліджувана інформація підпорядковується закону
нормального розподілу. Тобто значення 
та 
відповідають допустимим граничним значенням асиметрії та ексцесу,
при яких можна вважати, що сукупність має нормальний закон розподілу.
Але для перевірки тієї чи іншої статистичної гіпотези
доцільно підходити з різних теоретичних позицій. Тому для надійності остаточних
висновків потрібно скористатися відповідними критеріями згоди.
У ряді дослідів, особливо в експериментальних і біомедичних
дослідженнях, часто виникає ситуація, коли чисельність вибірки мала. Спеціально
для перевірки нормальності розподілу малих, чисельністю до 50 екз., вибірок С.
Шапіро та М. Уілк розробили відповідний критерій [Shapiro, Wilk, 1965]. На
основі формул оригінальної статті цей критерій можна застосовувати для
будь-яких за чисельністю вибірок, проте, як правило, він застосовується для
вибірок, обсяг яких не перевищує 50 екз.
Для вибірок більшого обсягу у роботі застосовувалась
сучасна модифікація критерію Колмогорова. Цей критерій уперше було
запропоновано у роботі А. Колмогорова [Kolmogorov, 1933] і подалі він набув
широкого використання при перевірки гіпотези про нормальність розподілу вибірки
великого обсягу, тобто перевірки того, що емпіричний розподіл відповідає
нормальному.
Перевірка гіпотези про рівність середніх величин.
Для перевірки гіпотези про рівність середніх величин двох
незалежних нормальних вибіркових сукупностей, як правило, застосовують критерій
Стьюдента [Student, 1908]. Згідно П. Мюллеру та ін. [Мюллер, Норман и др.,
1982] цей критерій нечутливий до невеликих відхилень розподілу генеральної
сукупності від нормального.
У роботі розрахунки згідно сучасної модифікації цього
критерію, а також розрахунки критеріїв Шапіро - Уілка та Колмогорова,
виконували у програмі MS Excel з підключенням додаткового статистичного модуля
AtteStat для рівня значущості 
.
Рівень значущості критерію Стьюдента визначається як
вірогідність ухвалити рішення відхилити гіпотезу про рівність середніх, якщо
насправді ця гіпотеза вірна. Якщо критерій видає 
-значення менше α-рівня (
, то гіпотеза про рівність середніх величин відхиляється. Такі
відмінності називають "статистично значущими".
3.
Результати досліджень та їх обговорення
Дослідження популяційної структури бичка-кругляка
в Одеській затоці проводили з липня по листопад 2010 - 2011 рр. Протягом двох
років в сітяних уловах зустрічались риби чотирьох вікових груп: від двохліток
(1+) до п’ятиліток (4+). У 2010 р. незалежно від статі бичків за кількістю
домінували особини віком 2+ (табл. 1). У 2011 р. серед самців чисельність риб
віком 2+ і 3+ була майже однакова (44,6 % і 46,2 % відповідно). Серед самок
домінували чотирьохлітки (58,2 %). Протягом всього періоду досліджень
співвідношення статей кругляка було приблизно 1: 1 (табл.2). У 2011 р. найменшу
кількість самців в відповідності до самок відзначили у риб віком 4+ (48,3 %),
найбільшу у особин віком 2+ (69,7 %).
В таблицях 3 і 4 представлено основні статистичні
показники, за якими можна здійснювати порівняльний аналіз окремих сукупностей,
а також провести перевірку гіпотези про нормальний закон розподілу отриманих
даних. Величини, які представлені в таблицях 3 і 4, дозволяють стверджувати, що
досліджені нами вибірки відповідають нормальному розподілу. Тому для перевірки
гіпотези про рівність середніх величин двох незалежних вибірок застосовували
критерій Стьюдента.
За весь період досліджень найбільшу довжину і
масу відзначено у самця віком 4+ (17,0 см і 108,3 г) у 2010 р., у самки віком
3+ (15,5 см і 90,3 г) у 2011 р. Завжди молодші риби були меншими за розмірами і
масою ніж старші за віком особини (табл. 3,4). Достовірної різниці не виявлено
для риб обох статей між віковими групами 3+ і 4+. Таку подібність за розмірами
між рибами різного віку, можна пояснити тим, що крупніші самці віком два роки
активно розмножуються, після чого гинуть. Тому, на наступний рік в популяції
залишаються самці, які мають менше розміри и мабуть не брали участь в нересті
минулого року. У самок відзначали подібну динаміка.
Таблиця 1
Віковий склад (%) бичка-кругляка в Одеській
затоці
|
Дата
досліджень
|
Стать
|
Вік,
роки
|
Усього
особин, екз.
|
|
|
1 (1+)
|
2 (2+)
|
3 (3+)
|
4 (4+)
|
|
|
2010 р.
липень-листопад
|
Самці
|
5,2
|
55,2
|
27,5
|
12,1
|
306
|
|
Самки
|
6,7
|
52,0
|
28,0
|
13,3
|
225
|
|
Обидві
статі
|
5,8
|
53,9
|
27,7
|
12,6
|
531
|
|
2011 р.
липень-жовтень
|
Самці
|
5,4
|
44,6
|
46,2
|
3,8
|
372
|
|
Самки
|
5,8
|
29,8
|
58,2
|
6,2
|
242
|
|
Обидві
статі
|
5,5
|
38,8
|
50,9
|
4,7
|
614
|
Таблиця 2
Співвідношення статей (%) бичка-кругляка в
Одеській затоці
|
Дата
досліджень
|
Стать
|
Вік,
роки
|
Всі
вікові групи
|
|
|
1 (1+)
|
2 (2+)
|
3 (3+)
|
4 (4+)
|
|
|
2010 р.
липень-листопад
|
Самці
|
51,6
|
59,1
|
57,1
|
55,2
|
57,6
|
|
Самки
|
48,4
|
40,9
|
42,9
|
44,8
|
42,4
|
|
2011 р.
липень-жовтень
|
Самці
|
58,8
|
69,7
|
55,0
|
48,3
|
60,6
|
|
Самки
|
41,2
|
30,3
|
45,0
|
51,7
|
39,4
|
Таблиця 3. Граничні, середні величини і
показники нормальності розподілу емпіричних даних бичка-кругляка за його
довжиною з Одеської затоки
|
Показники
|
2010 р.
(липень-листопад)
|
2011 р.
(липень-жовтень)
|
|
Самці
|
Самки
|
Самці
|
Самки
|
|
вік,
роки
|
вік,
роки
|
вік,
роки
|
вік,
роки
|
|
1+
|
2+
|
3+
|
4+
|
1+
|
2+
|
3+
|
4+
|
1+
|
2+
|
3+
|
4+
|
1+
|
2+
|
3+
|
4+
|
|
Кіл-ть
риб, екз.
|
16
|
169
|
84
|
37
|
15
|
117
|
63
|
30
|
20
|
166
|
172
|
14
|
14
|
72
|
141
|
15
|
|
Макс.
вел., см
|
14,4
|
16,5
|
16,6
|
17,0
|
10,1
|
13,6
|
15,2
|
15,0
|
11,7
|
15,9
|
16,6
|
17,0
|
11,2
|
14,8
|
15,5
|
14,2
|
|
Мін.
вел., см
|
5,6
|
6,1
|
6,4
|
10,0
|
6,0
|
5,8
|
7,7
|
9,0
|
7,9
|
6,7
|
10,2
|
11,4
|
7,7
|
7,3
|
8,6
|
12,8
|
|
Розм.
вар., см
|
8,8
|
10,4
|
10,2
|
6,9
|
4,1
|
7,8
|
7,5
|
6,0
|
3,8
|
9,2
|
6,4
|
5,6
|
3,5
|
7,5
|
6,9
|
1,4
|
|
Сер.
вел., см
|
9,8
|
11,8
|
13,3
|
15,1
|
7,9
|
11,4
|
12,9
|
9,9
|
12,1
|
14,1
|
14,8
|
9,2
|
10,8
|
13,1
|
13,3
|
|
Сер.
кв. відх., см
|
1,52
|
2,80
|
2,43
|
1,32
|
1,21
|
2,31
|
1,84
|
1,21
|
1,18
|
2,03
|
1,00
|
2,08
|
0,67
|
2,11
|
1,78
|
0,58
|
|
Коеф.
вар., %
|
15,5
|
23,7
|
18,3
|
8,7
|
15,3
|
25,1
|
16,1
|
9,4
|
11,9
|
16,8
|
7,1
|
14,1
|
7,3
|
19,5
|
13,6
|
4,4
|
|
Стан.
похиб., см
|
0,38
|
0,22
|
0,27
|
0,22
|
0,31
|
0,21
|
0,23
|
0,22
|
0,26
|
0,16
|
0,08
|
0,56
|
0,18
|
0,25
|
0,15
|
0,15
|
|
Відн.
стан. похиб., %
|
3,9
|
1,8
|
2,0
|
1,4
|
4,0
|
2,3
|
2,0
|
1,7
|
2,7
|
1,3
|
0,5
|
3,8
|
1,9
|
2,3
|
1,1
|
1,1
|
|
Гран.
похиб. (95%), см
|
0,7
|
0,4
|
0,5
|
0,4
|
0,6
|
0,4
|
0,5
|
0,4
|
0,5
|
0,3
|
0,2
|
1,1
|
0,4
|
0,5
|
0,3
|
0,3
|
|
Дов.
інтервал (95%), см
|
9,1
|
11,4
|
12,8
|
14,7
|
7,3
|
8,8
|
10,9
|
12,5
|
9,4
|
11,8
|
14,0
|
13,7
|
8,9
|
10,3
|
12,8
|
13,0
|
|
10,5
|
12,2
|
13,8
|
15,5
|
8,5
|
9,6
|
11,9
|
13,3
|
10,4
|
12,4
|
14,2
|
15,9
|
9,5
|
11,3
|
13,4
|
13,6
|
|
Асим.
|
-1,06
|
-0,47
|
0,13
|
0,24
|
1,45
|
-0,31
|
-0, 19
|
-0,38
|
-0,55
|
0,29
|
-0,11
|
-1,04
|
-0,78
|
-0,62
|
0,26
|
1,44
|
|
Гран.
знач. асим.
|
1,58
|
0,56
|
0,78
|
1,13
|
1,62
|
0,67
|
0,89
|
1,24
|
1,46
|
0,56
|
0,55
|
1,66
|
1,66
|
0,84
|
0,61
|
1,62
|
|
Ексц.
|
-2,02
|
0,26
|
0,43
|
0,86
|
-1,80
|
-0,27
|
-1,09
|
1,97
|
-1,54
|
0,04
|
0,95
|
-0,11
|
1,64
|
-0,76
|
0,04
|
-2,36
|
|
Гран.
знач. ексц.
|
2,65
|
1,09
|
1,50
|
2,09
|
2,68
|
1,30
|
1,70
|
2,25
|
2,52
|
1,10
|
1,09
|
2,70
|
2,70
|
1,61
|
1, 19
|
2,68
|
|
Крит.
Шапіро-Уілка
|
+
|
-
|
-
|
+
|
+
|
-
|
-
|
+
|
+
|
-
|
-
|
+
|
+
|
-
|
-
|
+
|
|
Мод.
крит. Колмогорова
|
-
|
+
|
+
|
-
|
-
|
+
|
+
|
-
|
-
|
+
|
+
|
-
|
-
|
+
|
+
|
-
|
Таблиця 4. Граничні, середні величини і
показники нормальності розподілу емпіричних даних бичка-кругляка за його масою
з Одеської затоки
|
Показники
|
2010 р.
(липень-листопад)
|
2011 р.
(липень-жовтень)
|
|
Самці
|
Самки
|
Самці
|
Самки
|
|
вік,
роки
|
вік,
роки
|
вік,
роки
|
вік,
роки
|
|
1+
|
2+
|
3+
|
4+
|
1+
|
2+
|
3+
|
4+
|
1+
|
2+
|
3+
|
4+
|
1+
|
2+
|
3+
|
4+
|
|
Кіл-ть
риб, екз.
|
16
|
169
|
84
|
37
|
15
|
117
|
63
|
30
|
20
|
166
|
172
|
14
|
14
|
72
|
141
|
15
|
|
Макс.
вел., г
|
59,6
|
89,7
|
101,5
|
108,3
|
14,5
|
51,2
|
57,0
|
61,4
|
45,4
|
106,8
|
92,3
|
97,8
|
18,0
|
50,6
|
90,3
|
53,8
|
|
Мін.
вел., г
|
2,1
|
3,8
|
4,9
|
14,8
|
3,4
|
3,9
|
6,6
|
12,3
|
11,2
|
10,1
|
17,9
|
24,1
|
12,4
|
7,9
|
12,1
|
31,8
|
|
Розм.
вар., г
|
56,1
|
87,6
|
97,6
|
89,5
|
11,1
|
44,3
|
50,4
|
49,1
|
34,2
|
98,7
|
74,4
|
73,7
|
5,6
|
42,7
|
78,2
|
22,0
|
|
Сер.
вел., г
|
21,6
|
31,9
|
44,0
|
60,9
|
7,9
|
13,5
|
27,0
|
38,6
|
22,2
|
38,9
|
51,0
|
55,2
|
14,8
|
25,3
|
42,2
|
44,0
|
|
Сер.
кв. відх., г
|
3,58
|
16,29
|
12,25
|
16,32
|
1,44
|
6,75
|
9,11
|
4,39
|
19,89
|
13,73
|
9,71
|
1,97
|
10,4
|
16,89
|
7,62
|
|
Коеф.
вар., %
|
16,6
|
51,1
|
27,8
|
26,8
|
18,2
|
50,0
|
9,9
|
23,6
|
19,8
|
51,1
|
26,9
|
17,6
|
13,3
|
41,1
|
40,0
|
17,3
|
|
Стан.
похиб., г
|
0,90
|
1,25
|
1,34
|
2,68
|
0,37
|
0,62
|
36,7
|
1,66
|
0,98
|
1,54
|
1,05
|
2,60
|
0,53
|
1,23
|
1,42
|
1,97
|
|
Відн.
стан. похиб., %
|
4,1
|
3,9
|
3,0
|
4,4
|
4,7
|
4,6
|
1,25
|
4,3
|
4,4
|
4,0
|
2,1
|
4,7
|
3,6
|
4,8
|
3,4
|
4,5
|
|
Гран.
похиб. (95%), г
|
1,8
|
2,5
|
2,6
|
5,3
|
0,7
|
1,2
|
4,6
|
3,3
|
1,9
|
3,0
|
2,1
|
5,1
|
1,0
|
2,4
|
2,8
|
3,9
|
|
Дов.
інтервал (95%), г
|
19,8
|
29,4
|
41,4
|
55,6
|
7,2
|
12,3
|
2,44
|
35,3
|
20,3
|
35,9
|
48,9
|
50,1
|
13,8
|
22,9
|
39,4
|
40,1
|
|
23,4
|
34,4
|
46,6
|
66,2
|
8,6
|
14,7
|
24,6
|
41,9
|
24,1
|
41,9
|
53,1
|
60,3
|
15,8
|
27,7
|
45,0
|
47,9
|
|
Асим.
|
0, 20
|
-0,23
|
-0,65
|
-0,91
|
-0,89
|
0,40
|
29,4
|
0,66
|
0,83
|
0,06
|
0,39
|
-0,80
|
-0,09
|
-0,46
|
0,05
|
0,53
|
|
Гран.
знач. асим.
|
1,58
|
0,56
|
0,78
|
1,13
|
1,62
|
0,67
|
-0,10
|
1,24
|
1,46
|
0,56
|
0,55
|
1,66
|
1,66
|
0,84
|
0,61
|
1,62
|
|
Ексц.
|
-1,59
|
0, 19
|
-0,23
|
-1,44
|
1,41
|
1,03
|
0,89
|
-1,57
|
-0,64
|
-0,94
|
0,59
|
0,62
|
-0,41
|
1,11
|
0,86
|
-0,97
|
|
Гран.
знач. ексц.
|
2,65
|
1,09
|
1,50
|
2,09
|
2,68
|
1,30
|
1,33
|
2,25
|
2,52
|
1,10
|
1,09
|
2,70
|
2,70
|
1,61
|
1, 19
|
2,68
|
|
Крит.
Шапіро-Уілка
|
+
|
-
|
-
|
+
|
+
|
-
|
-
|
+
|
+
|
-
|
-
|
+
|
+
|
-
|
-
|
+
|
|
Мод.
крит. Колмогорова
|
-
|
+
|
+
|
-
|
-
|
+
|
+
|
-
|
-
|
+
|
+
|
-
|
-
|
+
|
+
|
-
|
Риби, які мають менший темп зростання не так
активно приймають участь в нересті на перших роках свого життя. Тому вони
живуть довше, але мають менший розмір тіла.
Одновікові самки були меншими за розмірами у
порівнянні з особинами протилежної статі, що, в цілому, відповідає біології
цього виду [Фауна …, 1986].
Незалежно від статі риби віком 2+ і 3+ мали меншу
довжину і масу у 2010 р. ніж в наступному році. Самки віком 1+ і 4+ також були
більш крупні в останній рік досліджень. Самці цих двох вікових груп не
відрізнялися протягом двох років.
Співвідношення між довжиною та масою риб.
Для подальших досліджень темпів зростання риб, є
важливим отримати кількісну оцінку співвідношення між їх довжиною, масою та
віком. По перше розглянемо як маса риби залежить від її довжини.
Дж. Гекслі [Hexly, 1922] запропонував описувати
таку залежність степеневою функцією
де параметри 
і 
залежать від виду риби та середовища існування. Подалі це
припущення знайшло підтвердження у роботах багатьох авторів [Sparre, Venema,
1998]. Параметр 
завжди приймає значення близько 3, тому іноді для спрощення
розрахунків одразу вважають, що 
[Засосов, 1970], і обчислюють тільки значення коефіцієнта
вгодованості 
. Але використовуючи програму Excel, досить легко знайти обидва
значення та побудувати графік степеневої функції [Литвиненко, 2003].
В 2010 році у самців бичка-кругляка з Одеської затоки
(район Великого Фонтану) ці параметри дорівнювали - 
і 
, у самок - 
і 
. В 2011 році у самців ці показники дорівнювати - 
і 
, у самок - 
і 
.
Графік співвідношення Гекслі для самців і самок
представлено нижче на рисунках 2 і 3 (2010 р.) та 4 і 5 (2011 р.) відповідно.
Для порівняння на графіках також відображені середні величини довжини та маси
для розглянутих вікових груп.
Рис. 2. Регресійна залежність між довжиною і масою самців
бичка-кругляка з Одеської затоки у 2010 р.
Рис. 3. Регресійна залежність між довжиною і масою самок
бичка-кругляка з Одеської затоки у 2010 р.
Рис. 4. Регресійна залежність між довжиною і масою самців
бичка-кругляка з Одеської затоки у 2011 р.
Рис. 5. Регресійна залежність між довжиною і масою самок
бичка-кругляка з Одеської затоки у 2011 р.
Значення коефіцієнту детермінації 
близько 1, що свідчить про високий ступінь функціональної
залежності між промисловою довжиною та масою риб. Звісно, що залежності з
коефіцієнтами детермінації більш ніж 
вважають дуже сильними.
У 2010 р. для особин різної статі бичка-кругляка з Одеської
затоки формули розрахунку маси через довжину були наступні: у самців (
самок (
У 2011 р. для кругляка формули розрахунку маси через довжину були
такі: у самців (
і самок (
Співвідношення між довжиною та віком риб.
Найбільш правдоподібну закономірність зміни довжини від
віку тварин вдалося знайти Л. Берталанфі [Bertalanffy, 1938]. Він виразив таку
залежність формулою
де значення параметрів 
, 
і 
залежать від виду риби та конкретних умов водойми:

- асимптотична довжина, величина якої приблизно на 3 - 7 %
більше, ніж максимальна довжина риб у популяції, що досліджується. Однак в
умовах інтенсивного промислу різниця між цією довжиною і спостережуваною
максимальною в улові може виявитися вище, ніж 3 - 7 %;

- параметр, що характеризує темп зростання. Як правило, він
приймає значення від 0,1 для риб з дуже тривалим терміном життя (близько 20
років) і до 1,0 для риб, які живуть не більше трьох років;

- умовне значення віку, у якому довжина риби дорівнює нулю.
Приймає від’ємні значення, зазвичай від 
до 
.
Існують спеціалізовані комп’ютерні програми, наприклад
Vonbit, які обчислюють значення цих параметрів. Необхідні розрахунки також
можна виконати у Excel за допомогою модуля "Пошук рішення" та
відповідних формул. Програма автоматично визначить величини 
, 
та 
, за яких буде забезпечена мінімальна сума квадратів відхилень між
обчисленими та фактичними показниками довжини за віковими групами.
Зауважимо, що різні методи можуть давати різний набір
значень для параметрів рівняння Берталанфі, але остаточні результати, а саме
величини довжини риби в залежності від віку, будуть відрізнятися не істотно.
Важливо, щоб формально отриманий набір параметрів був обґрунтований з
урахуванням особливостей біології риб.
На підставі досліджень Р. Фрезе та К. Бінохлана [Froese,
Binohlan, 2000] для оцінки величини 
була встановлена наступна загальна формула
де 
- це значення максимальної довжини риб в улові, але таких
екземплярів повинно бути не менш, ніж три. Також різними авторами були отримані
оцінки для величини 
. Наприклад К. Тейлор [Taylor, 1958], пропонує
де

- це значення максимального віку риб в улові. Звідси виходить, що

приймає значення до

За допомогою програми Excel для самців (2010 р.) були
отримані такі значення

16,00, 
0,49,
,
тобто формула Берталанфі приймає вид
Для практичного використання будь-якої регресійної моделі
велике значення має її адекватність, тобто відповідність теоретичних 
та емпіричних даних 
. Існують різні підходи у визначенні якості рівняння регресії.
Наприклад, обчислюють середню похибку апроксимації, яка не повинна перевищувати
8 - 10 % [Пак, Еремеева, 2009]
де 
- кількість вікових груп.
Для довжин самців отримуємо значення 
2,5 %. Результати порівняння теоретичних та емпіричних значень
довжини самців представлені на рисунку 6.
Рис. 6. Теоретичні та емпіричні середні величини довжини
самців бичка-кругляка з Одеської затоки (2010 р.) за їх віком
В 2010 р. у самок відповідні значення коефіцієнтів
Берталанфі становили:

, 
,
,
тобто формула Берталанфі приймає такий вид
при значенні середньої похибки апроксимації 
4,2 %. Результати порівняння теоретичних та емпіричних значень
довжини самок представлені на рисунку 7.
Рис. 7. Теоретичні та емпіричні середні величини довжини
самок бичка-кругляка з Одеської затоки (2010 р.) за їх віком
Аналогічно для самців, які досліджені у 2011 р., знаходимо
відповідні значення коефіцієнтів Берталанфі:

, 
,
,
а формула Берталанфі приймає наступний вид
при значенні середньої похибки апроксимації 
1,5 %. Результати порівняння теоретичних та емпіричних значень
довжини представлені на рисунку 8.
Рис. 8. Теоретичні та емпіричні середні величини довжини
самців бичка-кругляка з Одеської затоки (2011 р.) за їх віком
В 2011 р. у самок відповідні значення коефіцієнтів
Берталанфі становили:

, 
,
,
і формула Берталанфі приймає вид
при значенні середньої похибки апроксимації 
2,6 %. Результати порівняння теоретичних та емпіричних значень
довжини представлені на рисунку 9.
Рис. 9. Теоретичні та емпіричні середні величини довжини
самок бичка-кругляка з Одеської затоки (2011 р.) за їх віком
Значення параметрів росту Берталанфі широко
використовуються при іхтіологічних дослідженнях. Наприклад, на підставі цих
значень можливо дати оцінку швидкості зростання маси та довжини риб [Munro,
Pauly, 1983]
де
а коефіцієнти 
і 
розраховані раніше. Показники зростання маси 
і довжини 
використовують для порівняння різних видів риб, різних популяцій
або однієї і тієї ж популяції у різні часи.
Для самців бичка-кругляка, які виловлені у 2010 р., на
підставі значень коефіцієнтів рівнянь Гекслі та Берталанфі отримано величину їх
асимптотичної маси та показники швидкості зростання ваги і довжини:
Для самок (2010 р.) відповідно:
Для самців бичка-кругляка, які досліджені у 2011 р.,
аналогічно отримуємо значення:
Для самок (2011 р.):
Показники швидкості зростання маси і довжини самців
перевищують показники самок. Це свідчить про те, що самці зростають та
набирають масу більш швидко у порівнянні з особинами протилежної статі.
Коефіцієнти природної смертності.
Важливим показником стану будь якої популяції тварин є
визначення величини їх природної смертності. Крім того, для прогнозування
величини улову і формулювання рекомендацій з оптимального використання рибних
ресурсів водойми, також необхідною умовою, є розрахунок природних коефіцієнтів
смертності риб.
Смертність природна - процес скорочення чисельності риб під
впливом природних причин (старіння, хвороби, хижаки та ін.). Цей показник
кількісно характеризується річним 
і миттєвим 
коефіцієнтами смертності. У дослідженнях аматорський та
браконьєрський вилов включається до природної смертності.
Для розрахунку коефіцієнтів смертності використовують
наступні співвідношення [Засосов, 1970]

Коефіцієнти природної смертності 
і 
залежать не тільки від виду риб, що досліджуються. На їх величину
впливають кліматичні умови, стан кормової бази, наявність інших видів риб та
решта факторів. На підставі різних вихідних даних існує кілька підходів до
оцінки коефіцієнтів природної смертності.
Оскільки річний коефіцієнт виражається через миттєвий, то
можна використовувати тільки останній показник. Існує кілька підходів в оцінці
смертності, виходячи з рівня вивченості популяції.
Для розрахунку миттєвого коефіцієнту смертності Д. Паулі
[Pauly, 1980] запропонував формулу
де

- середньорічна температура водойми. Тут враховано той факт, що
біологічні процеси швидше відбуваються при вищих температурах.
У нашому випадку отримано наступні значення.
У 2010 р.: для самців - 

самок - 
і 
;
У 2011 р.: для самців - 
і 
самок - 
і 
.
Величини коефіцієнтів природної смертності для особин
різної статі приблизно рівні і досить високі. Це обумовлено малою тривалістю
життя бичка-кругляка, яка не перевищує чотирьох років за виключенням рідких
випадків.
Для порівняння зауважимо, що показники швидкості зростання
довжини 
для самців та самок бичка-кругляка з Азовського моря [Костюченко,
1961] дорівнює 2,25 і 2,11 відповідно, а показник швидкості зростання маси 
- 1,26 і 1,06. Річні коефіцієнти природної смертності 
становлять 68,8 % (для самців) і 73,3 % (для самок).
Отримані у роботі величини цих показників для
бичка-кругляка з Одеської затоки співвідносяться з даними, які визначені по
результатам досліджень в Азовському морі. При цьому зауважимо, що швидкість росту
та річний коефіцієнт природної смертності залежить від тривалості життя
розглянутих популяцій риб. Звичайно у разі більшої тривалості життя річний
коефіцієнт природної смертності буде нижче.
Висновки
Протягом двох років дослідження в сітяних уловах
зустрічались риби чотирьох вікових груп: від двохліток (1+) до п’ятиліток (4+).
У 2010 р. незалежно від статі бичків за кількістю домінували особини віком 2+.
У 2011 р. серед самців чисельність риб віком 2+ і 3+ була майже однакова (44,6
% і 46,2 % відповідно). Серед самок домінували чотирьохлітки (58,2 %). Протягом
всього періоду досліджень співвідношення статей кругляка було приблизно 1:
. У 2011 р. найменшу кількість самців в
відповідності до самок відзначили у риб віком 4+ (48,3 %), найбільшу у особин
віком 2+ (69,7 %).
За весь період досліджень найбільшу довжину і
масу відзначено у самця віком 4+ (17,0 см і 108,3 г) у 2010 р., у самки віком
3+ (15,5 см і 90,3 г) у 2011 р. Завжди молодші риби були меншими за розмірами і
масою ніж старші за віком особини (табл.3,4). Достовірної різниці не виявлено
для риб обох статей між віковими групами 3+ і 4+. Таку подібність за розмірами
між рибами різного віку, можна пояснити тим, що крупніші самці віком двох років
активно розмножуються, після чого гинуть. Тому, на наступний рік в популяції
залишаються самці, які мають менші розміри і, мабуть, не беруть участь в
нересті минулого року. У самок відзначали подібну динаміку.
Незалежно від статі, риби віком 2+ і 3+ мали
меншу довжину і масу у 2010 р. ніж в наступному році. Самки віком 1+ і 4+ також
були більш крупніші в останній рік досліджень. Самці цих двох вікових груп не
відрізнялися протягом двох років.
Показники швидкості зростання маси і довжини
самців перевищують показники самок. Це свідчить про те, що самці зростають та
набирають масу більш швидко у порівнянні з особинами протилежної статі.
Величини коефіцієнтів природної смертності для
особин різної статі приблизно рівні і досить високі. Це обумовлено малою
тривалістю життя бичка-кругляка, яка не перевищує чотирьох років за виключенням
окремих випадків.
. В Одеській затоці структура промислової
частини популяції бичка-кругляка представлена чотирма віковими групами, від
двохліток (1+) до п’ятиліток (4+). Незалежно від статі майже завжди в уловах за
кількістю домінували риби віком 2+.
2. Протягом всього періоду досліджень
співвідношення статей кругляка було приблизно 1: 1.
3. Незалежно від статі, риби віком 2+ і 3+ мали
меншу довжину і масу у 2010 р. ніж в наступному році. Самки віком 1+ і 4+ також
були більш крупніші в останній рік досліджень. Самці цих двох вікових груп не
відрізнялися протягом двох років. Показники швидкості зростання маси і довжини
самців перевищують показники самок.
4. Величини коефіцієнтів природної смертності для самців і
самок кругляка були приблизно рівними і досить високими: у 2010 році -
59,2 % і 60,6 % відповідно; у 2011 році
64,1 % і 65,7 % відповідно.
Список
літератури
1. Алмазов
А.М. Про
хлорний коефіцієнт для північно-західної частини Чорного моря // Докл. АН УРСР,
1959. - Т.9. - С.30 - 98.
2. Алмазов
А.М. Гидрохимия
устьевых областей рек (северное Причерноморье). - К.: изд-во АН УССР, 1962. -
255 с.
3. Апанасенко
М.К. Размерно-возрастной
состав бычка-кругляка Neogobius melanostomus (Рallas) из различных районов
Азовского и Черного морей // К.: Наук. думка. - 1973. - С.78 - 83.
4. Большаков
B. C. Трансформация
речных вод в Черном море. - К.: Наук. думка, 1970. - 328 с.
5. Бондаренко
А.С. Полихеты
макро - и мейобентоса Одесского региона Чёрного моря // Екологічні проблеми
Чорного моря: матеріали Науково-практичної конференції, (30 - 31 жовтня, 2008,
Одеса). - Одеса, 2008. - С.40 - 44.
6. Виноградов
К.О. Іхтіофауна
північно-західної частини Чорного моря. - К.: Вид-во АН УРСР, 1960. - 116 с.
7. Виноградова
Л.А., Васильева В.Н. Многолетняя динамика и моделирование состояния экосистемы
прибрежных вод северо-западной части Черного моря. - С-Пб.: Гидрометеоиздат,
УкрНЦЭМ, 1992. - 107 с.
8. Воробьева
Л.В., Кудренко С.А. Пространственное распределение и сезонная динамика
количественных показателей амфипод в Одесском заливе // Экологическая
безопасность прибрежной и шельфовой зон и комплексное использование ресурсов
шельфа. - 2005. - Вып.12. - С.610 - 616.
9. Гаркавая
Г.И., Богатова Ю.И., Берлинский Н.А., Гончаров А.Ю. Районирование украинского сектора
северо-западной части Черного моря (по гидрофизическим и гидрохимическим
характеристикам) // Экологическая безопасность прибрежной и шельфовой зон и
комплексное использование ресурсов шельфа. - Севастополь. - 2000. - С.9 - 24.
10. Грінбарт
С.Б. Зообентос
Одеської затоки // Праці Одеськ. держ. ун-ту ім. Мечникова. - 1949. - Т.4, №
57. - С.65 - 70.
11. Демидов
А.Н. Температура
воды и соленость // Гидрометеорология и гидрохимия морей СССР.
Гидрометеорологические условия. - С-Пб.: Гидрометиздат, 1991. - Т.4, Вып.1. -
С.373 - 397.
12. Доценко
С.А. Сезонная
изменчивость основных гидрологических параметров в Одесском регионе
северо-западной части Черного моря // Экологическая безопасность прибрежной и
шельфовой зон и комплексное использование ресурсов шельфа. - Севастополь. -
2002. - Т.6, Вып.1. - С.47 - 57.
13. Доценко
С.А. Мінливість
основних гідрологічних характеристик Одеського регіону північно-західної
частини Чорного моря: автореф. дис. … канд. геогр. наук: 11.00.08. - Одеса, 2003.
- 20 с.
14. Доценко
С.А., Рясинцева Н.И., Савин П.Т., Саркисова С.А. Специфические черты гидрологического
и гидрохимического режимов и уровень загрязнения прибрежной зоны моря в районе
Одессы // Исследования шельфовой зоны Азово-Черноморского басейна. -
Севастополь: Мор. гидрофиз. ин-т НАН Украины, 1995. - С.31 - 43.
15. Елисеева
И.И., Юзбашев М.М. Общая теория статистики. - М.: Финансы и статистика, 2004. - 491 с.
16. Заброда
Т.А., Дирипаско О.А. Оценка половых различий в морфометрических признаках бычка-кругляка
Neogobius melanostomus (Pallas, 1814) Азовского моря // Вестн.
Запорожского нац. ун-та. - 2009. - № 2. - С.42 - 47.
17. Замбриборщ
Ф.С., Винникова М.А., Заморов В.В. Рыбы Одесского залива в прошлом и настоящем // Науч.
тр. Зоол. музея Одесского гос. ун-та. - 1995. - № 2. - С. 19 - 26.
18. Заморов
В.В., Олейник Ю.Н., Джуртубаев М.М. Естественное вселение бычка-кругляка Neogobius
melanostomus (Pallas) в придунайские озера // Вісн. Одеського нац. ун-ту.
Сер. Біологія. - 2005. - Т.10, Вып.5. - С.236 - 243.
19. Заморов
В.В., Снігірьов С.М. Живлення бичка-кругляка у прибережних водах острова Зміїний
// Вісн. Одеського нац. ун-ту. Сер. Біологія. - 2010. - Т.15, №.6. - С.81 - 87.
20. Заморов
В.В., Чернікова С.Ю., Заморова М.П. Аналіз сіткових уловів риби в Одеській затоці // Наук.
зап. Терноп. нац. пед. ун-ту. - 2010. - Т.44, № 3. - С.97 - 100.
21. Засосов
А.В. Теоретические
основы рыболовства. - М.: Пищ. пром-ть, 1970. - 291 с.
22. Квач
Ю.В. Гельмінтофауна
бичків (Gobiidae) Одеської затоки Чорного моря // Вест. зоологии. - 2007. -
Т.3, №.41. - С. 207 - 211.
23. Киселевич
К. Материалы
по ихтиологической фауне Одесского залива // Сб. студ. биол. кружка при
Новороссийском ун-те. - 1908. - № 3. - С.117 - 140.
25. Коротаева
С.Э., Шагалыева С.Р. К характеристике бычка-кругляка как инвазионного вида в
Воткинском водохранилище // Вест. Пермского ун-та. Сер. Биология. - 2013. -
Вып.1. - С.28 - 32.
26. Костюченко
В.А. Состояние
запасов бычка-кругляка // Аннот. работ ВНИРО за 1956 г. - 1958. - № 1. - С.14 -
15.
27. Костюченко
В.А. Питание
бычка-кругляка и использование им кормовой базы Азовского моря // Тр. АзНИИРХ,
1960. - Т.1. - С.341 - 360.
28. Костюченко
В.А. Возраст
и темп роста бычка-кругляка Neogobius melanostomus (Pallas) в Азовском
море // Тр. Азов. НИИ рыб. хоз-ва. - 1961. - Вып. 19. - С.49 - 60.
29. Костюченко
В.А. Биология
и динамика численности бычка-кругляка (Neogobius melanostomus (Pallas))
Азовского моря: автореф. дис. … канд. биол. наук: 03.00.16. - Днепропетровск,
1964. - 19 с.
30. Костюченко
В.А. Закономерности
распределения и миграции бычка-кругляка в Азовском море // Тр. АзчерНИРО. -
1969. - № 26. - С.14 - 29.
31. Курилов
А.В. Сезонная
измечивость структурно-функциональных характеристик сообщества планктонних
инфузорий Одесского залива // Экология моря. - 2001. - Вып.58. - С.18 - 21.
32. Литвиненко
Н.Ю. Построение
графиков в Excel: тонкости. - М.: СОЛОН-Пресс, 2003. - 144 с.
33. Милованов
А.И. Биологическая
характеристика бычка-кругляка Neogobius melanostomus Pallas (Gobiidae,
Perciformes) Керченского пролива и сопредельных прибрежных вод Черного моря //
Тр. ЮгНИРО. - 2013. - Т.51. - С.36 - 39.
34. Минашкин
В.Г., Шмойлова Р.А., Садовникова Н.А., Моисейкина Л.Г., Рыбакова Е.С. Теория статистики. - М.:
ЕАОИ, 2008. - 296 с.
35. Мовчан
Ю.В. Риби
України. - К.: Золоті ворота, 2011. - 444 с.
36. Олейник
Ю.Н., Заморов В.В., Радионова Н.П., Косенко С.Ю., Черников Г.Б. Морская и пресноводные формы
бычка-кругляка Neogobius melanostomus (Pallas) бассейна северо-западной
части Черного моря // Современные проблемы зоологии и экологии (Матер. межд.
конф. посвящ.140-летию основания Одес. нац. ун-та им.И. И. Мечникова, каф.
зоологии ОНУ, Зоол. музея ОНУ и 120-й годовщины со дня рожд. засл. деятеля
науки УССР, проф. И.И. Пузанова). - Одесса: Феникс, 2005. - С. 196 - 197.
37. Пазюк
Л.И., Рычковский Н.И. Особенности отложений Черного моря к югу от Одессы //
Геология побережья и дна Черного и Азовского морей в пределах УССР. - 1967. -
Вып.1. - С.97 - 113.
38. Пак
Т.В., Еремеева Я.И. Эконометрика. - Владивосток: Изд-во Дальневост. ун-та, 2009.
- 70 с.
39. Правдин
И.Ф. Руководство
по изучению рыб. - М.: Пищевая пром-ть, 1966. - 189 с.
40. Промысловые рыбы СССР / Л.С. Берг, А.С.
Богданов, Н.И. Кожин, Т.С. Расе. - М.: Пищепромиздат, 1949. - 230 с.
41. Северо-западная часть Черного моря: биология
и экология / Зайцев Ю.П., Александров Б.Г., Миничева Г.Г. - К.: Наук. Думка,
2006. - 701 с.
42. Теренько
Л.М., Теренько Г.В. Видовое разнообразие планктонного фитоценоза Одесского залива
Черного моря // Экология моря. - 2000. - Вып.52. - С.56 - 59.
43. Ткаченко
П.В., Хуторной С.А. Современный состав и тенденции изменения ихтиофауны
прибрежных участков северо-западной части Чёрного моря // Экологическая
безопасность прибрежной и шельфовой зон и комплексное использование ресурсов
шельфа. - 2001. - Вып.2. - С.363 - 369.
44. Толмазин
Д.М. Сгонные
явления в северо-западной части Черного моря // Океанология. - 1963. - Т.3,
Вып.5. - С.848 - 852.
45. Тучковенко
Ю.С. Математическая
модель для расчета ветровых течений в Одесском регионе северо-западной части
Черного моря // Метеорологія, кліматологія та гідрологія. - 2002. - № 45. -
С.107 - 117.
46. Тучковенко
Ю.С., Доценко С.А., Никаноров В.А., Савин П.Т. Роль ветрового прибрежного апвеллинга
в возникновении гипоксии в Одесском регионе северо-западной части Черного моря
// Экология моря. - 2003. - Вып.63. - С.60 - 65.
47. Фауна
Украины. -
Киев: Наук. думка, 1986. - Т.8. Вып.5. - 320 с.
48. Черникова
С.Ю., Заморов В.В. Ихтиофауна Одесского залива (Черное море) в первом десятилетии ХХI века
// Морський екологічний журнал. - 2011. - Т.10, № 3. - С.76 - 85.
49. Шмойлова
Р.А. Теория
статистики. - М.: Финансы и статистика, 1999. - 560 с.
50. Яцентковский
А.В. Рыбы
Одесского залива // Зап. Новороссийского общ-ва естествоисп. - 1909. - № 33. -
С. 203 - 244.
51. Bertalanffy
L.A.
quantitative theory of organic growth // Human Biol.10. - 1938. - P.181-213.
52. Charlebois
P.M. The
round goby (Neogobius melanostomus Рallas) // Lakeline. - 2002. - № 22.
- Р.46 - 47.
53. Froese
R., Binohlan
C. Empirical relationships to estimate asymptotic length, length at first
maturity and length at maximum yield per recruit in fishes, with a simple
method to evaluate length frequency data // J. Fish Biol.56. - 2000. - P.758 -
773.
54. Hexly
J. Problems
of relative grouth. - L., 1922. - 276 p.
55. Kolmogorov A.N. Grundbegriffe
der Wahrscheinlichkeitrechnung // Ergebnisse der Mathematik. - 1933. - № 23. -
P.37 - 42.
56. Munro
J. L., Pauly
D. A simple method for comparing the growth of fishes and invertebrates //
ICLARM Fishbyte 1 (1). - 1983. - P.5 - 6.
57. Pauly
D. On the
interrelationships between natural mortality, growth parameters and mean
environmental temperature in 175 fish stocks. // J. Con. Int. CIE 39 (2). -
1980. - P.175 - 192.
58. Shapiro
S.S., Wilk
M.B. An analysis of varience test for normality (complete samples) //
Bionetrika. - 1965. - № 52. - Р.591 - 611.
59. Sparre
P., Venema C S. Introduction to tropical fish stock assessment. P. I: Manual // Rome: FAO
Fish. Tech. Pap. Rev. № 306/1, Rev.2. - 1998. - 407 p.
60. Student
The probable
error of mean // Biometrika. - № 1, vol.6. - 1908. - P.1 - 25.
61. Taylor
C.C. Cod
growth and temperature // J. Conseil 23. - 1958. - P.366 - 370.