Агар-агар и агароза. Строение, применение в медицине и пищевой промышленности

  • Вид работы:
    Реферат
  • Предмет:
    Химия
  • Язык:
    Русский
    ,
    Формат файла:
    MS Word
    66,52 Кб
  • Опубликовано:
    2014-09-16
Вы можете узнать стоимость помощи в написании студенческой работы.
Помощь в написании работы, которую точно примут!

Агар-агар и агароза. Строение, применение в медицине и пищевой промышленности














Агар-агар и агароза. Строение, применение в медицине и пищевой промышленности

Введение

агар химический пищевой

Многие из нас любят мармелад, пастилу, зефир, конфеты, различные десерты, кто-то обожает холодец, рыбное заливное. Но мало кто знает, что для изготовления этих деликатесов используют «волшебный» загуститель - агар-агар.

Агар-агар или просто агар, по праву изобретения, - слово малайское. Именно на Востоке впервые заметили, что, если выварить и высушить бурые морские водоросли, получится необычное прозрачное вещество без запаха, вкуса и цвета. Если вещество снова смочить, образуется густой, плотный студень. А если в этот студень добавить сахар или какой-нибудь фруктовый сок, то получается… мармелад. По степени энергетической чистоты агар невозможно сравнить с желатином, который получают из свиной кожи, копыт и костей.


1. Состав агар-агара и агарозы

.1 Химический состав

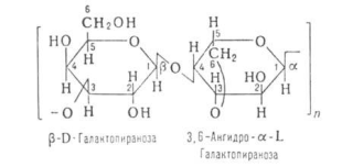
АГАР (агар-агар) и агароза - это полисахариды, которые содержатся в некоторых морских водорослях, а именно в анфельции, которые обитают в Белом море и Дальневосточном бассейне. Агароза входит в состав агар-агара (50-80%), молекула которого имеет сложное химическое строение. Агароза представляет собой линейный полисахарид, построенный из строго чередующихся остатков 3-О-замещенной β-D-галактопиранозы (изредка 6-О-метил-β-D-галактопиранозы) и 4-О-замещенной 3,6 - ангидро -α - L - галактопиранозы.


Агар-агар не растворим в холодной воде. Он полностью растворяется только при температурах от 95 до 100 градусов. Горячий раствор является прозрачным и ограниченно вязким. При охлаждении до температур 35-40° он становится чистым и крепким гелем, который является термообратимым. При нагревании до 85-95° он опять становится жидким раствором, снова превращающимся в гель при 35-40° градусах. Гелеобразование особенно характерно для агарозы.

По качеству агар-агар подразделяется на два сорта:

высший - цвет белый или светло-жёлтый, допускается слегка сероватый оттенок;

первый - допускается цвет, начиная от желтого, заканчивая темно-желтым.

Растения, дающие целебный студень, обогащают агар-агар витаминами, полезными макро- и микроэлементами: витаминами группы В (B1, В2, B12), витаминами А, Д и PP, I, Fe, Са, K, Zn, P, Mg.

1.2 Способ получения

Многие полезные свойства определяются особенностями сырья, из которого выделяют этот замечательный загуститель. Gracilaria, Gracilariopsis, Gelidium, Ceramium, Ahnfeltia - эти виды водорослей чаще всего используются для изготовления агар-агара. Растут они в Белом море и Тихом океане на глубине приблизительно 80 м. Данная морская трава имеет вид красочных перышек, которые напоминают метелки или папоротник.

В водорослях агар осуществляет прочное сцепление клеток друг с другом, обеспечивая целостность организма. Будучи полианионом, агар, вероятно, служит также барьером для катионов морской воды, а его высокая гидрофильность предохраняет от высыхания водоросли, обнажающиеся при отливе.

Агар извлекают из растений (гелидиум, анфельция) измельчают и кипятят в кислом водном 0,5% растворе (используется уксусной или серной кислота), чтобы обеспечить более полную экстракцию. Полученный горячий экстракт фильтруют через хлопчатобумажную ткань для удаления остатков измельченной водоросли. Профильтрованный мукоид нейтрализуют щелочью (5% раствором бикарбонатом натрия NaHCO3). Когда температура падает ниже 40°С, мукоид начинает загустевать. В результате получается неочищенный агар. Дальнейшую очистку проводят путем замораживания массы в холодильнике, ее оттаивания и потом обезвоживания. Если это проделать один-два раза, то получится бесцветный агар без запаха.

Практически все способы получения агарозы основаны на ее выделении из готовых препаратов агара ионообменной хроматографией или осаждением агаропектина в виде труднорастворимых солей.

Известен способ получения агарозы из микробиологического агара путем его модификации борогидридом натрия в водной гидроокиси натрия. Модифицированная агароза имеет пониженные точки желирования, плавления и большую степень прозрачности




2. Применение полисахаридов

.1 Использование агар-агара и агарозы в промышленности

В настоящее время агар и агароза находят применение в биохимических исследованиях. Очищенная от заряженных примесей агароза в водной среде образует гель с большими порами, размер которых определяется ее концентрацией.

В микробиологии эти полисахариды используют для изготовления плотных и полужидких питательных сред. Для получения плотных питательных сред агар-агар добавляют в конечной концентрации от 1,5 до 3%; полужидких - 0,3-0,7% (вес/объём). Агар не расщепляется большинством микроорганизмов при культивировании. Полноценный продукт не ингибирует рост микроорганизмов и не изменяет питательную ценность сред. Неочищенный агар может привести к образованию неполноценного геля и даже ингибированию роста микроорганизмов. Поэтому для иммунологических и бактериологических целей используется вымороженный осветлённый агар ГОСТ 17206-96 высшего и первого сорта с плотностью геля не ниже 3,20 г./см².

В фармакологии для изготовления таблеток и медленно растворимых капсул используется физическое свойство агарозы желироваться.

Агароза является основным материалом в хроматографии и используется для выделения и очистки биологических макромолекул - дорогостоящих препаратов - вакцин, гормонов, энзимов. Агар и агароза применяются при электрофорезе, иммуноэлектрофорезе и иммунодиффузии, генном картировании, выделении и изоляции фрагментов ДНК.

Новое направление использования агара и агарозы - при меристемном выращивании декоративных растений и овощей, которое быстро развивается в настоящее время.

Физические свойства этих полисахаридов находят широкое применение в пищевой промышленности. Первоначально они использовались для приготовления желе из фруктов и овощей. В настоящее время широко используются при производстве консервов как консервант. Агар зарегистрирован в качестве пищевой добавки Е406.

В кондитерской промышленности агар-агар используют при производстве мармелада, желе, при получении мясных и рыбных студней, при изготовлении мороженого, где он предотвращает образование кристалликов льда, а также при осветлении соков, при выпечке хлебо-булочных изделий для предотвращения дегидратации. Студни, приготовленные на основе агар-агара, в отличие от всех других студнеобразователей, характеризуются стекловидным изломом. Применение агар-агара в пищевой промышленности не лимитировано, а его количество, добавляемое в пищевые продукты, обусловлено рецептурами и стандартами на эти продукты.

Агар и агарозу также применяют в парфюмерии (дезодорантовые палочки, кремы от солнца, кремы для кожи, содержащие двуокись цинка или пенициллин).

2.2 Применение агар-агара и агарозы в медицине

Агар-агар и агароза широко применяется в медицине во многих странах. Если регулярно употреблять водоросли, то можно получить отличный эффект в качестве укрепляющей терапии.

Также агар применяется в качестве средства против воспалений, которое устраняет такие токсины, как триглицериды и холестирин, содержащиеся в кишечнике. Он делает более крепкими легкие и печень, а также оказывает помощь при геморрое. Его использование благотворно сказывается на состоянии ЖКТ: смягчается повышенная кислотность желудочного сока, снижается газообразование, улучшается пищеварение.

Следует отметить, что агар-агар идеально соответствует принципам здорового питания. Он не перегружает организм трудными для усвоения компонентами, способствует избавлению от лишнего холестерина и жиров.

В аптеках можно купить лекарственные препараты, которые имеют вид эмульсий или драже, включающих агар-агар. Данное целебное средство имеет небольшой слабительный эффект, при запорах его действие заключается в том, что, когда агар-агар разбухает, он весьма увеличивает свои параметры и занимает много места в кишечнике, и этим агар дает стимул его перистальтике.

По результатам исследований было выявлено, что у агар-агара есть еще одно очень полезное свойство, особенно это касается лиц женского пола. В водоросли входит фукоидан. Он смягчает течение болезни рака груди, а по последней полученной информации, водоросли даже не просто замедляют, но и полностью останавливают размножению раковых клеток.

В медицине широко используются ранозаживляющие, кровоостанавливающие, противомикробные свойства агар-агара для лечения ран и ожогов. Агар входит в состав гидрогелей, которые представляют собой густую, вязкую жидкость, которую наносят на поверхность раны в качестве первичной повязки, что предотвращает образование пузырей (при поверхностных ожогах), облегчает хирургическое удаление ожогового струпа при глубоких ожогах, купирует болевой синдром, отеки, обеспечивает условия для нормального течения репаративных процессов в ране, миграции эпителиальных клеток и профилактику образования келлоидных рубцов.


Заключение

Таким образом, можно сказать, что агар-агар и агароза являются ценными полисахаридные препаратами. Их желеобразующие свойства нашли достойное применение в пищевой, кондитерской, фармацевтической промышленностях, в медицине, биохимии и микробиологии.

Именно агар-агар идеально удовлетворяет требованиям здорового питания. Он имеет значительно меньшую калорийность, что делает этот ингредиент предпочтительным для людей, которые следят за своей фигурой.




Список использованной литературы

1. Энциклопедический словарь Брокгауза и Ефрона: 82 т. - СПб., 1890-1907.

2.      Зимон А.Д. Коллоидная химия. М.: Агар, 2007.

.        Зубов Л.А., Савельева Т.А. Целебный дар моря // Архангельск: АОВК, 1997.

4. http://www.xumuk.ru/encyklopedia/20.html

Похожие работы на - Агар-агар и агароза. Строение, применение в медицине и пищевой промышленности

 

Не нашли материал для своей работы?
Поможем написать уникальную работу
Без плагиата!
Без нейросетей!