Абсорбционная очистка вентиляционных газов от N-метилформамида и выделение его в чистом виде методом ректификации
Министерство
образования и науки Российской Федерации
Федеральное
государственное бюджетное образовательное учреждение
высшего
профессионального образования
«Санкт-Петербургский
государственный университет технологии и дизайна»
Кафедра
Инженерной химии и промышленной экологии
Пояснительная
записка к расчетной работе
по
дисциплине «Инженерная химия и промышленная экология»
АБСОРБЦИОННАЯ
ОЧИСТКА ВЕНТИЛЯЦИОННЫХ ГАЗОВ ОТ N-МЕТИЛФОРМАМИДА
И ВЫДЕЛЕНИЕ ЕГО В ЧИСТОМ ВИДЕ МЕТОДОМ РЕКТИФИКАЦИИ
Работу выполнил
Студент группы 2-ХД -44 -Козлова Н.М.
Руководитель - к.х.н., доц. Ибрагимова Р.И.
2014
ЗАДАНИЕ
1. Идентифицировать по молекулярной массе
вредную примесь, если навеску вещества m
= 0,5 г при температуре t0
= 470C испарили в объеме V
= 1 л при давлении P = 22,6 кПа.
Результаты подтвердить расчетом молекулярной реакции R
и сравнением с опытной величиной R=15.05.
. В вентиляционных газах парциальное
давление N-метилформамида
равно Pраб = 990 Па.
.1. Дать токсикологическую характеристику N-метилформамида.
.2. Сделать вывод о необходимости очистки
вентиляционных газов.
. Очистку вентгазов от N-метилформамида
осуществляют методом абсорбции водой при температуре 298 К и парциальном
давлении паров N-метилформамида
Pраб = 990 Па.
.1. Дать характеристику процессов абсорбции.
.2. Для расчета константы Генри измерили
концентрации раствора Xa(a)
= 0,025 и Xb(b)
= 0,075. Рассчитать равновесную концентрация абсорбата Хаб при использовании
чистой и артезианской воды при содержании солей в ней 300 мг/л, константа Сеченова
k = 5*10^(-4) л/мг.
. Этот раствор с концентрацией Храб
направили на ректификацию в количестве Gн
= 100 кг для получения дистиллята и кубового остатка с концентрациями ХД = 1 и
ХК = 95 соответственно.
.1. Дать характеристику процесса
ректификации.
.2. Рассчитать процесс ректификации.
. Низкоконцентрированный раствор
разбавляется другими сточными водами в 10 раз и направляется на биологическую
очистку
.1. Принципы очистки сточных вод.
.2. Рассчитать кинетику процесса по данным
К1 = 0,32 ч-1, К2/К1 = 2,7, t1
= =17 0C, t2
= 27 0С (принять порядок реакции n
= 1).
.3. Дать прогноз изменения времени процесса
при колебаниях температуры ±50С и увеличении концентрации сточных вод в 10 раз.
СОДЕРЖАНИЕ
ЗАДАНИЕ
ВВЕДЕНИЕ
. ИДЕНТИФИКАЦИЯ ВРЕДНОЙ ПРИМЕСИ
. РАСЧЕТ НЕКОТОРЫХ СВОЙСТВ
КОМПОНЕНТА ГАЗОВОЗДУШНЫХ ПРИМЕСЕЙ
.1 Токсикологическая характеристика N-метилформамида
. ОЧИСТКА ВОЗДУХА ОТ ПАРОВ N-МЕТИЛФОРМАМИДА
МЕТОДОМ АБСОРБЦИИ
.1 Характеристика метода абсорбции
.2 Расчет равновесной концентрации
абсорбата xаб при использовании
чистой и артезианской воды
. РЕКТИФИКАЦИЯ РАСТВОРА N-МЕТИЛФОРМАМИДА
В ВОДЕ
.1 Характеристика процесса
ректификации
.2 Расчет процесса ректификации
. КИНЕТИКА БИОЛОГИЧЕСКОЙ ОЧИСТКИ
НИЗКОКОНЦЕНТРИРОВАННЫХ РАСТВОРОВ ОТ ОРГАНИЧЕСКИХ ВЕЩЕСТВ
.1 Принципы очистки сточных вод
.2 Кинетика биологического процесса
5.3 Расчет кинетики процесса по
данным К1 = 0,32 ч-1, К2/К1 = =2,7,
t1 = 17 0C,
t2 = 27 0С
.4 Прогноз изменения времени
процесса при колебаниях температуры ± 5 0С и увеличении концентрации сточных
вод в 10 раз
ЗАКЛЮЧЕНИЕ
СПИСОК ИСПОЛЬЗОВАННОЙ ЛИТЕРАТУРЫ
ВВЕДЕНИЕ
На 2014 год основной угрозой для окружающей
среды является сброс сточных вод, выбросы загрязняющих веществ в атмосферу и
накопление твердых отходов. Поэтому необходимо внедрение новых технологий или
применение методов по удалению вредных веществ из воздуха и сточных вод. Одним
из таких методом является абсорбция.
Абсорбция - процесс поглощения газа жидкой
средой, в которой газ растворим в той или иной степени. В абсорбционных
процессах участвуют две фазы - жидкая и газообразная; происходит переход
вещества из газовой фазы в жидкую или в обратном направлении при десорбции.
Поглощаемые составные части называют абсорбируемыми компонентами, а остальные
части - инертным газом. [1]
Абсорбционный метод очистки газов имеет как
преимущества, так и недостатки.
Недостатки:
. Громоздкость оборудования.
. Невысокая эффективность очистки.
. Образование твердых осадков, что
затрудняет работу оборудования, и коррозионную активность многих жидких сред.
Преимущества:
. Позволяет улавливать наряду с газами и
твердые частицы.
. Непрерывность процесса.
. Низкие капитальные и эксплуатационные
затраты.
.
ИДЕНТИФИКАЦИЯ ВРЕДНОЙ ПРИМЕСИ
абсорбционный
очистка газ ректификация
Требуется идентифицировать вещество, находящееся
в жидком состоянии, которое может быть переведено в газообразное состояние
путем испарения. Для анализа навеску жидкого вещества m
= 0,5 г переводят в газовую фазу в сосуде объемом V
= 1 л при заданной температуре t
= 470С. Давление в сосуде P
= 22,6 кПа.
Для решения данной задачи воспользуемся
уравнением Менделеева-Клапейрона

, (1.1)
где n - число
молей вещества; R = 8,314 Дж/моль*К - универсальная
газовая постоянная; P, V, T - параметры
состояния, выраженные, соответственно, в Па, м3, К.
Выразим n через массу
вещества m (г) и
молекулярную массу

(1.2)
Близкую молекулярную массу имеет N-метилформамид
с брутто-формулой C2H5NO:

Расчет и экспериментальное определение
совпадают.
.
РАСЧЕТ НЕКОТОРЫХ СВОЙСТВ КОМПОНЕНТА ГАЗОВОЗДУШНЫХ ПРИМЕСЕЙ
Уравнение (1.1) позволяет определить некоторые
свойства N -метил-формамида в
составе газо-воздушных выбросов (ГВВ):
· объем пробы при нормальных условиях:
для анализа ГВВ обычно отбирают пробу газа при рабочих условиях (P,
V, T),
далее объем пробы переводят к нормальным условиям (P0,
V0, T0).
Для условий идентификации вещества переводим систему из состояния пара, при
котором его исследовали, в состояние при нормальных условиях:
Рис.2.1 Переход к нормальным условиям
Запишем уравнение (1.1) для 1 и 2 состояния и
разделим их друг на друга
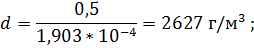
· плотность пара при нормальных
условиях
Проверяем расчет m
= 0,5 г; V0 = 1,903*10-4 м3,
тогда
· Расчет мольно-объемной концентрации:
пусть задано, что в воздухе рабочей зоны парциальное давление N-метилформамида
равно Pраб = 990 Па.
Уравнение (1.1) позволяет вычислить мольно-объемную концентрацию (С, моль/м3)
при Т = 320 К:
.1 Токсикологическая характеристика
N-метилформамида
Описан острый случай отравления человека при
приеме внутрь 50 мл N-метилформамида.
Преимущественно действие яда сказалось на печени. Выявлено эмбриотоксическое
действие в опытах на крысах. Доза 1 г/кг, введенная на седьмой день
беременности, губила 90 % плодов; доза 0,4 г/кг - вызвала частичную гибель
плодов и развитие злокачественных опухолей у выжившего потомства. [2]
ПДК (воздух) = 10 мг/м3 =10/59 ммоль/м3 = 0,169
мммоль/м3.
ПДК (вода) = 10 мг/л = 10000 мг/м3 = 169,5
ммоль/м3.
Расчет в пункте 2 показал, что концентрация N-метилформамида
в воздухе рабочей зоны (372,1 ммоль/м3) много больше ПДК (0,1695 ммоль/м3),
поэтому воздух необходимо очистить до допустимой концентрации.
.
ОЧИСТКА ВОЗДУХА ОТ ПАРОВ N-МЕТИЛФОРМАМИДА МЕТОДОМ АБСОРБЦИИ
.1 Характеристика метода абсорбции
Абсорбцией называют процесс поглощения газа
жидким поглотителем, в котором газ растворим в той или иной степени. Обратный
процесс - выделение растворенного газа из раствора - десорбция. В абсорбционных
процессах участвуют две фазы - жидкая и газообразная; происходит переход
вещества из газовой фазы в жидкую или в обратном направлении при десорбции.
Поглощаемые составные части называют абсорбируемыми компонентами, а
непоглощаемые составные части - инертным газом. Во многих случаях поглотитель
представляет собой раствор активного компонента, вступающего в реакцию с
абсорбируемым компонентом газовых смесей. Инертный газ и растворитель являются
носителями в соответствующих фазах.
Существует два вида абсорбции: физическая и
химическая. При физической абсорбции поглощение газа не сопровождается
протеканием химической реакции. При химической абсорбции поглощаемый компонент
взаимодействует с каким-либо компонентом жидкой фазы или с самим растворителем
с образованием химического элемента. [3]
Содержание газа в растворе зависит от свойств
газа и жидкости, давления, температуры и состава газовой фазы (парциального
давления растворяющегося газа в газовой смеси). В состоянии равновесия между
концентрациями газа в обеих фазах устанавливается некоторое соотношение,
характеризуемой константой фазового равновесия m.
Она равна отношению концентрации газа в газовой фазе к его концентрации в
жидкой фазе.
В зависимости от единиц измерения концентрации
константа m выражается
различными величинами:
· если концентрации обеих фаз выражены
в мольных долях, то константу фазового равновесия обозначают mxy:
где y
- концентрация абсорбируемого компонента в газовой фазе; x
- концентрация поглощенного вещества в жидкой фазе.
· если концентрации компонента C
в обеих фазах выражены в кмоль/м3 или c
- кг/м3, то константы фазового равновесия обозначают mC
и mc соответственно:
Здесь индексы «г» и «ж» указывают на
принадлежность соответственно газовой и жидкой фазе. Для бинарных растворов при
физической абсорбции можно воспользоваться уравнением Кричевского
где f
- фугитивность (летучесть) растворенного газа; x
- концентрация раствора; x02
- мольная доля поглотителя в растворе (x0
= 1 - x); К - коэффициент
растворимости ( коэффициент Генри); A
- постоянная.
В идеальных растворах силы взаимодействия между
молекулами каждого из компонентов раствора, а также между молекулами разных
компонентов равны. Для таких растворов коэффициент активности равен единице.
При низких значениях фугитивность можно заменить на равновесное парциальное
давление компонента в газе p
, тогда
где pk
- давление насыщенного пара чистого компонента. [1]
Уравнение (3.2) выражает закон
Рауля: Парциальное давление
<#"820773.files/image018.gif">
причем mpx = К. [3]
Уравнение (3.3) выражает закон
Генри: при постоянной температуре растворимость газа в данной жидкости прямо
пропорциональна давлению этого газа над раствором.
3.2 Расчет равновесной концентрации абсорбата
xаб при использовании чистой и артезианской воды
Рассмотрим равновесный процесс поглощения пара N-метилформамида
из воздуха с помощью абсорбента, в качестве которого используем воду. В данном
случае система состоит из двух фаз: 1 - раствор N-метилформамида
в воде, 2 - воздух с примесью N-метилформамида
(рис. 3.1):
Рис. 3.1 Абсорбция
Уравнение Генри имеет вид

(3.1)
где индекс 2 придан поглощаемому
компоненту, то есть N-метилформамиду;
P2 -
парциальное давление N-метилформамида в газовой фазе;
Х2 - мольная доля N-метилформамида
в воде.
Для расчета константы Генри
экспериментально были измерены растворимости N-метилформамида
в воде ха и хв при двух парциальных давлениях Pа и Pв :
ха = 0,025, хв = 0,075, Pа = 1,52
Торр, Pв = 4,51
Торр;
(1 Торр = 1 мм. Hg. ст =
101330/760 Па = 133 Па).
Тогда выразим из уравнения (3.1)
константу Генри и подставим известные данные
Среднее значение
Равновесную растворимость N-метилформамида
в чистой воде (конденсат водяного пара) вычисляем по уравнению (3.1)
Если абсорбцию N-метилформамида
проводить артезианской водой с заданным содержанием солей, например 300 мг/л,
то равновесную концентрацию рассчитывают по уравнению Сеченова (k
= 5*10-4 л/мг)
Таким образом, при очистке газовых
выбросов от N-метилформамида
водой получается низкоконцентрированный раствор (принимаем dр-ра = 1
г/см3) с концентрацией (концентрация в скобках соответствует применению
артезианской воды):
мольной долей
массовой долей
молярностью
Эти данные позволяют рассчитать
теоретический минимальный расход Lmin поглотителя (воды) для
очистки ГВВ до ПДК (ПДК = 0,1695 ммоль/м3). При очистке V = 1000 м3
воздуха из него необходимо удалить следующее количество N-метилформамида:
Это количество N-метилформамида
должно быть поглощено (абсорбировано) водой с получением раствора с равновесной
концентрацией Cаб = 5,3378
моль/л, тогда
4.
РЕКТИФИКАЦИЯ РАСТВОРА N-МЕТИЛФОРМАМИДА В ВОДЕ
.1 Характеристика процесса ректификации [4]
Ректификация - это неравновесный тепло - и
массообменный процесс, осуществляемый в ректификационных колоннах, где
происходит непрерывный обмен компонентами между жидкостью и паром, находящимися
в постоянном контакте. При этом пар обогащается более летучим компонентом, а
жидкость - менее летучим. Результатом процесса является дистиллят - более
летучий продукт (компонент) и кубовый остаток - менее летучий продукт (чистый
компонент).
Теоретический процесс разделения раствора на
компоненты или на компонент или азеотропную смесь складывается из «ступенек».
Общее число таких ступенек - это число теоретических тарелок (ЧТТ).
Сущность процессов, из которых складывается
ректификация, удобно проследить с помощью Т(х, y)
диаграммы состояния (рис.4.1).
Рис. 4.1 Схема принципа ректификации (P=const)
Здесь на оси ординат отложены температуры
кипения раствора, на оси абсцисс - концентрация компонента «В» в составе
раствора (xB) и составе
пара (yB). Нижняя
кривая отражает зависимость температуры кипения раствора от концентрации
компонента «В» в нем. На верхней кривой находим равновесный состав пара при
температуре кипения раствора.
Имеется раствор с начальной концентрацией
компонента «В», равной ха (рис.4.1). Нагревая раствор до температуры кипения
Та, получается находящийся в равновесии с жидкостью пар (точка b)
состава yb. Отбор и
конденсация этого пара дают жидкость состава хс, обогащенную компонентом «В»
(хс>ха). На этом принципе основано частичное разделение раствора методом
простой перегонки. Если проводить этот процесс многократно: нагреть жидкость
состава хс до температуры кипения Тс, получить пар (точка d),
конденсация которого дает жидкость с еще большим содержанием компонента «В» -
хе, затем повторить этот процесс через точки е, f,
k и т.д. - то можно
получить жидкость, представляющую собой практически чистый компонент «В». При
этом в первом кипятильнике жидкость будет постепенно обедняться компонентом «В»
через точки a, l,
m и т.д., и в
результате можно получить практически чистый компонент «А» (кубовый остаток).
.2 Расчет процесса ректификации
На диаграмме (рис.4.2) по данным таблицы 4.2
построена зависимость температуры кипения раствора N-метилформамида
в воде от состава раствора (нижняя кривая) и пара (верхняя кривая). Состав
выражен в мольных долях N-метилформамида.
Таблица 4.2 - N-метилформамид
- Вода; C2H5NO
- H2O
(P = 500 Торр)
|
x
|
100
|
95,2
|
88,8
|
74,6
|
59,1
|
43,6
|
19
|
0
|
|
y
|
100
|
44,6
|
27,2
|
12
|
4,8
|
2
|
0,7
|
0
|
|
t, 0C
|
184,8
|
166,5
|
139,3
|
120,2
|
106,4
|
100,1
|
93,4
|
88,7
|
Концентрация раствора, который поступает на
ректификацию, равна xн = 0,1 = 10
% мольн. По первому закону Коновалова на монотонных участках равновесной кривой
концентрации жидкой и паровой фаз различаются. Начальный раствор закипает при
температуре 910С (точка D),
при этом образуется пар (точка Е) с концентрацией yн
= 0,5 %.
Экстремальных (азеотропных) точек нет.
Рассмотрим теоретический процесс разделения. Исходный
раствор при кипении дает пар состава yн
(точка Е), обедненный N-метилформамидом.
При этом раствор обогащается C2H5NO
и температура его кипения повышается по кривой DLC
и последняя его порция будет иметь концентрацию в точке С - xc.
На диаграмме в точке E
после испарения раствора, с концентрацией xн
(точка D и E)
дает практически чистую воду с содержанием C2H5NO
xД = 0,5 %. Пар
состава yн (точка F)
может быть повторно испарен и сконденсирован; в точке e
концентрация после конденсации паров составит xк
= 97,5 %.
Таким образом, равновесный процесс разделения
раствора с xн = 10 % содержит
три теоретических ступеней разделения (ЧТТ = 3) при получении дистиллята с
концентрацией xД = 0,5 % и
кубового остатка - xк = 97,5 %.
На разделение поступает Gн
= 100 кг раствора. Так как все концентрации выражены в мольных долях, массу
раствора выразим в молях, для этого рассчитываем среднюю молекулярную массу
исходного раствора
Схема материальных потоков приведена на рис.
4.3.
Рис. 4.3 Схема материального баланса процесса
ректификации
(все концентрации выражены в мольных долях C2H5NO)
Тогда общий баланс

(4.1)
баланс по N-метилформамиду
Решая систему уравнений (4.1) и
(4.2), получаем
Если на первую тарелку поступает
начальный раствор в количестве Gm =100 кг = 100/22,1 = 4,5249
кмоль при температуре 103 0С (точка М), то он будет выкипать до концентрации xm = 51,5 % и
образуется пар с концентрацией ym = 3,5 % (точки l и m). Схема
материального баланса изображена на рис.4.4.
Рис. 4.4 Схема материального баланса на первой
тарелке
Из схемы материального баланса на первой тарелке
следует:

(4.3)
Решая систему уравнений (4.3) и
(4.4), получаем

· концентрированный раствор N-метилформамида
xк = 97,5 % ,
который если не может быть использован в производстве, должен быть направлен на
дальнейшее разделение специальными методами ректификации или экстракции;
· очень разбавленный раствор с концентрацией
xД = 0,5 % или
0,005 моль
C2H5NO 0,995 моль H2O
,005*59 г
C2H5NO 0,995*18=17,91 г H2O
что превышает ПДК в воде (10 мг/л) и,
следовательно, должен быть разбавлен другими сточными водами в 10 раз и
направлен на биологическую очистку.
.
КИНЕТИКА БИОЛОГИЧЕСКОЙ ОЧИСТКИ НИЗКОКОНЦЕНТРИРОВАННЫХ РАСТВОРОВ ОТ ОРГАНИЧЕСКИХ
ВЕЩЕСТВ
.1 Принципы очистки сточных вод
Все методы очистки сточных вод подразделяют на
три группы:
· механические
· физико-химические
· биологические
Использование механических методов приводит к
выделению примесей из воды без изменений их химических свойств. Грубодисперсные
частицы в зависимости от размеров улавливаются отстойниками, решетками, ситами,
песколовками, нефтеловушками и др. Например, для выделения из сточных вод
крупных частиц песка, известняка, гипса используют песколовки. Для выделения из
сточной воды взвешенных веществ, частицы которых имеют большую или меньшую
плотность, чем плотность воды, применяют отстаивание. При этом тяжелые частицы
осаждаются на дно под действием силы тяжести, а легкие всплывают на
поверхность. Механическая очистка применяется, как правило, на первой стадии
очистки.
При физико-химическом методе очистки из сточных
вод удаляются тонко дисперсные, растворенные неорганические и органические
вещества. К этим методам относятся коагуляция, флокуляция, окисление, сорбция,
ионообменный метод, экстракция, электролиз и электрокоагуляция.
Биологический метод очистки сточных вод основан
на способности микроорганизмов, использовать органические вещества, находящиеся
в сточных водах, в качестве источника питания, в результате чего происходит их
окисление загрязняющих веществ. Биологические методы очистки подразделяют на
аэробные, анаэробные и комбинированные. Биологическая очистка сточных вод
представляет собой результат функционирования системы активный ил - сточная
вода. Активный ил - это сложное сообщество микроорганизмов различных
систематических групп: бактерий, простейших, грибов, вирусов и др.
.2 Кинетика биологических процессов [4]
Сорбция органических веществ микроорганизмами
существенного значения в механизме биологической очистки сточных вод не имеет.
Основная роль принадлежит процессам превращения вещества внутри клетки, а
интенсивность и эффективность биологической очистки определяется скоростью
размножения бактерий.
Рассмотрим пути использования основных положений
химической кинетики для оценки скорости метаболических превращений.
На скорость химической реакции влияет изменение
температуры и концентрации загрязняющего вещества.) влияние температуры на
скорость химической реакции
Скорость реакции определяется, как изменение
количеств реагирующих веществ в единицу времени, в частности, при постоянном
объеме системы вместо массы обычно используют концентрацию, тогда
где С и С` - концентрации исходного вещества и
продукта реакции соответственно.
Влияние температуры на скорость химической
реакции описывает уравнение С. Аррениуса
где А - предэкспоненциальный множитель; E
- энергия активации; R
- универсальная газовая постоянная; T
- температура.
Константы уравнения А и Е не зависят (или мало
зависят) от температуры.
Реакция может произойти только в том случае,
когда энергия эффективных столкновений молекул реагентов превысит их средний
уровень энергии на величину Е (рис.5.1). Энергия активации представлена в виде
энергетического «барьера».
Рис. 5.1 Энергетические схемы прохождения
реакций
Зная энергию активации, можно рассчитать
константу скорости реакции (К2) при температуре Т2, если она известна при
температуре Т1. Логарифмируя уравнение (5.1), далее записывая его для двух
температур, вычитая одно уравнение из другого и учитывая, что Е и А не зависят
от температуры получаем
Исходя из этого уравнения можно определить
энергию активации, знак константы скорости реакции при двух температурах.
Теоретическое обоснование уравнения Аррениуса
дала теория переходного состояния Эйринга и Поляни. Основное уравнение этой
теории раскрывает смысл энергии активации и предэкспоненциального множителя
где NA = 6,02*1023
- число Авогадро; h = 6,625*10-34 Дж*с - постоянная
Планка; 
- энтропия образования переходного
состояния; 
- энталь-пия образования
переходного состояния.
b) влияние концентрации реагирующих веществ
на скорость химической реакции
Скорость реакции по закону действующих масс
пропорциональна концентрациям реагирующих веществ. Для реакции (5.6) скорость
реакции равна
где nA
и nB - частные порядки
реакции по компоненту «А» и компоненту «В» соответственно.
Константа скорости реакции не зависит от
концентрации реагентов и времени реакции.
В закрытых системах концентрация исходных веществ
со временем уменьшается, и скорость реакции падает. В открытых системах при
стационарном процессе (большинство процессов в проточных промышленных
реакторах) концентрации реагирующих веществ и скорости химического процесса в
данной области реактора остаются постоянными.
Следует заметить, что при увеличении начальной
концентрации загрязняющего вещества в 10 раз не значительно повлияет на
скорость химической реакции, а, следовательно, на время очистки, что далее
будет приведено в расчетах.
.3 Расчет кинетики биологической очистки
низкоконцентрированных растворов от органических веществ
Кинетику биологической очистки сточных вод будем
рассчитывать исходя из следующих данных: К1 = 0,32 ч-1, К2/К1 = =2,7, t1
= 17 0C, t2
= 27 0С, при этом порядок реакции (n)
примем равный 1.
Направим разбавленный раствор с концентрацией C0
= 16,47 г/л на биологическую очистку. Необходимо произвести снижение
концентрации N-метил-формамида до
ПДК Cк = 10 мг/л путем
биохимического разложения.
Известно, что разложение N-метилформамида
описывается кинетическим уравнением первого порядка с константой скорости К1 =
0,32 ч-1 при температуре 17 0С.
Уравнение кинетики первого порядка
Разделяем переменные и интегрируем это уравнение
где С0, С - концентрации C2H5NO
в моменты времени 0 и τ.
Подставляем в него исходные данные. При этом
концентрацию С0 разбавляем в 10 раз, т.е. С0 = 16470/10 мг/л = 1647 мг/л. В
конце получаем уравнения, которые позволяют прогнозировать изменение
концентрации C2H5NO
и скорости процесса во времени.
Для построения кинетической кривой по уравнениям
(5.9) и (5.10) рассчитываем изменение концентрации и скорости процесса в
произвольные моменты времени до достижения концентрации N-метилформамида
ниже ПДК. Полученные данные сводим в таблице 5.1.
Таблица 5.1 - Кинетика биохимического разложения
C2H5NO
|
τ,
ч
|
2
|
4
|
6
|
8
|
10
|
12
|
14
|
16
|
18
|
|
lnC
|
6,77
|
5,49
|
4,85
|
4,21
|
3,57
|
2,93
|
2,29
|
1,65
|
|
C, мг/л
|
868
|
458
|
242
|
127
|
67
|
35
|
19
|
9,8
|
5,2
|
|
ω,
мг/ч*л
|
278
|
146
|
77
|
41
|
22
|
11,3
|
5,97
|
3,15
|
1,66
|
Из таблицы 5.1 видно, что ПДК может быть
достигнута за время менее 18 ч. Скорость разложения N-метилформамида
велика в начале процесса, когда концентрация N-метилформамида
в растворе большая, а затем быстро уменьшается из-за снижения движущей силы
процесса - разницы рабочей и равновесной концентраций. Кинетические кривые,
построенные согласно вычислениям, приведены на рисунке 5.2: наблюдается
линейная зависимость lnC
= f (τ), конечный
участок кривой представлен в большем масштабе (правая ось и правая кривая).
Время достижения ПДК можно вычислить по
уравнению (5.9)
Кроме концентрации на скорость существенное
влияние оказывает температура. В данном случае при увеличении температуры до 27
0С константа скорости возросла в два раза. Это позволяет вычислить энергию
активации E и с помощью
уравнения Аррениуса (5.2) прогнозировать скорость процесса при изменении
температуры.
Решая систему уравнений (5.2) и (5.3), вычисляем
энергию активации E и
предэкспоненциальный множитель K0:
Рис. 5.2 Кинетические кривые очистки раствора от
C2H5NO
Таким образом, для данного процесса уравнение
Аррениуса можно записать в виде

Энергия активации E = 71,8
кДж/моль> 30 кДж/моль характерна для кинетической области протекания
процесса биологической очистки. Дополнительную информацию о процессе можно
получить из уравнения кинетики переходного состояния (5.5):
Полученные данные позволяют
вычислить 
:
Энергия Гиббса образования
переходного состояния будет равна
т.е. в данном случае основное
значение при образовании переходного состояния имеет энергетическая
составляющая (
), энтропийный член (
на несколько порядков ниже.
5.4 Прогноз изменения времени процесса при
колебаниях температуры ±5 0С и увеличении концентрации сточных вод в 10 раз
Полученные выше данные позволяют прогнозировать
время контакта сточных вод с активным илом при изменении концентрации N-метилформамида
и температуры среды. Это есть совместное решение уравнений (5.8) и (5.11)
Рассмотрим как изменится время очистки по
сравнению с предыдущими расчетами (t
= 17 0C) при колебании
температуры ±5 0С:
температура 22 0С; Т = 273+22 = 295 К;
температура 12 0С; T
= 273+12 = 285 К;
Как видно, даже небольшие изменения температуры
приводят к резкому изменению скорости процесса очистки. Значительно меньше
влияет изменение начальной концентрации N-метилформамида.
Пусть в условиях предыдущего расчета (t
= 12 0C) начальная
концентрация возросла в 10 раз, т.е. С0 = 16490 мг/л
Таким образом, изменение концентрации в 10 раз
увеличило время реакции на 45 %.
ЗАКЛЮЧЕНИЕ
В данной работе были проведены расчеты по
очистке газо-воздушных выбросов от паров N-метилформамида
методом абсорбции. В качестве поглотителя использовалась вода. Применение
абсорбционного метода очистки обусловлено высокой интенсивностью абсорбционных
процессов и экономичностью. Также абсорбция - непрерывный и, как правило,
циклический процесс, так как поглощение примесей обычно сопровождается
регенерацией поглотительного раствора и его возвращением в начале цикла
очистки. Но также существуют недостатки, связанные, прежде всего, с
громоздкостью оборудования.
Далее в работе были проведены расчеты процесса
ректификации. После ректификации были получены концентрации дистиллята и
кубового остатка.
Так же была рассчитана кинетика биологической
очистки, в которой были выведены зависимости времени процесса от температуры и
начальной концентрации.
СПИСОК ИСПОЛЬЗОВАННОЙ ЛИТЕРАТУРЫ
1. Панов
В. П. Теоретические основы защиты окружающей среды / В. П. Панов, Ю. А.
Нифонтов, А. В. Панин - М.: Академия, 2008 -
с.
. Вредные
вещества в промышленности: Справочник. Изд. 7-е. В 3 т. Т. 2 / Под ред. Н. В.
Лазарева и Э. Н. Левиной - Л.: Химия,1976. - 608 с.
3. Рамм
В. М. Абсорбция газов / В. М. Рамм. - М.: Химия, 1976. - 656 с.
. Романков
П.Г. Методы расчета процессов и аппаратов химической технологии / П. Г.
Романков, В. Ф. Фролов, О. М. Флисюк - СПб.: - ХИМИЗДАТ, 2009 - 544с.
. Гребенников
С.Ф. Физико-химические расчеты в инженерной защите окружающей среды: учеб.
пособие для вузов / С. Ф. Гребенников, И. И. Шамолина, А. Т. Кынин. - СПб.:
СПГУТД, 2001.