The oxidative dehydrogenation of С1-С2 alcohols on copper-contained zeolites and HTSC
The
oxidative dehydrogenation of С1-С2
alcohols on copper-contained zeolites and HTSC
L.Akhalbedashvilia,
G. Maisuradzeb,
A. Mskhiladzec,
Sh. Sidamonidzeb
Summary
oxidative dehydrogenation of CH3OH
and C2H5OH was studied on different matrix, containing copper, and compared
with each other. It was found that Y123 and Bi2212 are less active to compare
with Cu-containing zeolites. It should be mentioned that many uncertainties
associated with the mechanism of the catalytic action of copper associates in
high-temperature superconductors, as well as the localization, nature and
mechanism of the catalytic action of Cu-ion sites in the copper-containing
zeolites.: alcohols, zeolite, copper, oxidation
the oxidation reactions with
molecular oxygen the oxides of transition metals (TM) are active catalysts due
to the low activation energy of change the oxidation state that facilitates
transfer the electrons between the substrate and catalyst. The specifity of
zeolite catalysts in oxidation reactions is caused, on the one hand by the fact
that the activity of the transition metals ™ cations fixed in the matrix
depends on the coordination of skeleton with atoms, on the other hand, the
matrix itself contributes to the formation and conversion of intermediate
products as well as in the diffusion of reagents and reaction products. It
should be noted that the catalytic transformation of alcohols on heterogeneous,
including zeolite contacts studied quite extensively, but the conversion of
methanol and ethanol in an oxidizing environment on zeolite catalysts today are
still little studied.was previously shown [1-5] that the low activity of
initial synthetic and natural zeolites in the oxidative conversion of methanol
and ethanol due to the presence of molecular oxygen near the active alcohol
adsorbed on the alkali cations, but the introduction of transition metals
changes the nature of the catalytic action.this study it was carried out the
comparison the activity of copper-containing catalysts on various zeolite and
high-temperature superconductor (HTSC) carriers in the oxidative conversion of
C1-C2 alcohols.
oxidative dehydrogenation alcohol zeolit
Experimental part
a matrix the synthetic zeolites Х,
Y, mordenite, ZSM-5 and natural zeolite clinoptilolite (CL) were applied; as
the oxidic form high-temperature superconductors (HTSC) Y1Ba2Cu3Ox and
Bi2Sr2CaCu3Ox were used. Zeolite catalysts were prepared by an ion-exchange
method from solutions of copper-ammonia complexes and copper nitrate;
HTSC-samples were synthesized by the traditional ceramic technique from the
corresponding metal oxides. The catalytic experiments were carried out by the
microflow method with varying of temperature, the size of catalyst grain and
gas flow rate. The composition of the initial mixture and yields were analyzed
chromatographically using porapac Q, porapac R and molecular sieve 13X as
phases.
and discussion
of the ethanol in an oxidizing
atmosphere at zeolite catalysts, as shown previously [2, 5] proceeds in four
directions: the intermolecular and intramolecular dehydration to ether and
ethylene, respectively, as well as complete to CO2 and partial oxidation to
acetaldehyde (Scheme 1). Thus on initial NaX and NaY zeolites the
intramolecular and intermolecular dehydration of ethanol pass through a maximum
and in the range of lower temperature (550 - 650 K), in contrast to the
oxidative reactions, i.e., in deep and partial oxidation (Figure 1).
Scheme 1
Fig. 1.The relation of ethanol
conversion products on NaY zeolite:
- (C2H5)2O;
2 - C2H4;
3 - CH3CHO;
4 - CO2.
ethanol, methanol conversion on NaY
proceeds a little differently - intermolecular dehydration, oxidative
dehydrogenation to CH2O and full and partial oxidation to CO and CO2 (scheme
2).

The temperature of reaction shifted
to a higher temperature region (see Fig. 2). According to data the processes of
oxidative dehydrogenation, dehydration and deep oxidation of alcohol on
faujasite proceed simultaneously. Introduction the copper cations to the
structure of Y zeolite sharply alters the nature of the conversion of alcohols
(see Fig. 3).
Fig. 2.The relation of methanol
conversion products on NaY zeolite:
1 - CH2O; 2 - (CH3)2O; 3 - CO2; 4 - unreacted
CH3ОН
Fig. 3.The relation of methanol
conversion products on CuNaY:
1 - CH2O; 2 - (CH3)2O; 3 - CO2; 4 - unreacted
CH3ОН
The catalytic activity of initial
mordenite and especially of ZSM-5 is extremely low up to 773 K and introduction
of Cu2+ in their structure and formation of coordinative-unsaturated isolated
Cu (II) ions with symmetry of plane square result in appearance of high
activity and selectivity in deep oxidation of alcohols.initial CL ethanol and
methanol and formed C2H4, CH3CHO and CH2O undergo to full oxidation at
temperature high than 623K (fig.4). The reactions as complete and partial
oxidation, so intermolecular dehydration of methanol and ethanol up to dimethyl
ether and С2Н4 accordingly begins on CuCL from 493 K.The ethoxy ethane in
yields of a reaction missed. The dehydration of ethanol to C2H4 prevails up to
553 К, and the degree of
conversion up to СН3СНО
does not exceed 10 % in all temperature range (fig.5).
Fig.4. Dependence of ethanol
conversion products on temperature on initial CL: 1 - unreacted C2H5OH; 2 -
C2H4; 3 - CH3CHO; 4 - CO2
.4. Dependence of ethanol conversion
products on temperature on CuCL: 1 - unreacted C2H5OH; 2 - C2H4; 3 - CH3CHO; 4
- CO2
conversion
of ethanol on zeolites occur under two parallel - consecutive paths:
Scheme 3
Scheme 4
4
prevails.of methanol conversion to СН2О
occurs by formation of methylene groups with following oxidation according
scheme 5:
5
major
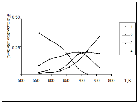
reaction products on HTSC in conversion of alcohols were aldehydes, CO2, CO
(fig.6, 7). Neither ethers nor C2H4 and H2 were detected. The catalytic
activity of Bi2Sr2CaCu3Ox in oxidative dehydrogenation and deep oxidation was
much lower than of Y1Ba2Cu3Ox [6]. It may be suggested that the observed
difference in activity and in the mechanism of alcohol conversion can be caused
by the structural differences between Y1Ba2Cu3Ox and Bi2Sr2CaCu3Ox - the
difference in the number of CuO-CuO2 layers per unit cell, or in the number of
active centers; as well as different coordination environments of these
centers, and their different accessibilities to reagent molecules.

Fig.7. The relation of methanol
conversion products on Bi2Sr2CaCu3Ox: 1 - СН2О;
2 - СО;
3 - СО2;
4 - unreacted СН3ОН
of many studies of catalytic
properties of copper-based systems - oxides Cu (II) and Cu (I), various kinds
of mixed cuprates, copper-contained zeolites - in heterogeneous catalytic
reactions lead to the conclusion that the high catalytic activity of these
compounds is associated with the active centers formed by copper atoms in a
particular charge state and coordination environment [1, 7, 8, 9], and in
high-temperature superconductors is due to the presence of non-stoichiometric
labile oxygen.the obtained data follows that copper-exchanged Y zeolites are
characterized with the greatest total activity. They differ by the lowest
temperatures of conversion of alcohols and high oxidative ability. On an
example of CuNaY samples is clearly that not only nature and amount of a
substituting cation, but also its state in a zeolite matrix, which, in turn,
depends on conditions of heat treatment and ion exchange, substantially define
a direction and depth of catalytic process.is known that on zeolites, not
containing transition metals, the conversion of methanol is carried out
according the acid-base mechanism with the formation of DME [10]. Moreover, it
is now established that the interaction of zeolite with the OH- of methanol
promotes to release CH3+ ions, which are intermediates in reactions catalyzed
by protons and can exist freely in zeolites [11]. On the other hand, the
monovalent cations are not active centers of the redox processes [12].influence
of conditions of modifying on a state of a cation is proved both with our
catalytic data. It is known that at рН=5
the formation of cluster structures as a result of hydrolysis of using salt is
carried out with participation of OH-groups. The heat treatment causes
formation of clusters of copper ions, which exchange interaction causes
weakening of EPR-signal strength [10]. The identical clusters, which include
non-lattice oxygen, determine high catalytic activity in deep oxidation of
alcohols. The mobility and reactivity of copper clusters is incremented also by
additional coordination of copper ions with reagent molecules. The sample
prepared at рН=10
contains the copper ions, which are coordinated with ammonia molecules at the
expense of the greater coordination ability of NH3 in comparison with OH-
groups. Such complexes interfere with formation of cluster structures. The heat
treatment of this sample causes the transference of isolated copper cations on
SII and SI ' sites in synthetic X and Y zeolites. Cu2+ ions localized in
sodalite cavities in SII', under influence of molecules of alcohol at reaction
temperatures migrate in large cavities - sites SIII and complete coordination
up to octahedral at the expense of molecules of alcohol.
Conclusions
, the catalytic activity of the
zeolites and HTSC-materials in the reaction of the oxidative dehydrogenation of
C1-C2 alcohols is determined by presence of the identical active sites - the
associates of copper ions with oxygen; for zeolites they are migrate in to the
big cavities - copper ions with extra coordination by oxygen, and for
superconductive cuprates they are the fixed - O - Cu - O - chains or CuO2
planes, which are capable to change their coordination at loss of oxygen.
References
1. Z.V.Griaznova,
A.R.Nefedova,
L.G.Akhalbedashvili.
З.В. Грязнова, А.Р. Нефедова. Л.Г. Ахалбедашвили. “Catalysis”,
edit. MSU,
1987, pp. 247-261.
2. A.
Mskhiladze, B. Chankvetadze, L. Akhalbedashvili,
Sh.
Sidamonidze., G. Tsitsishvili. Bull. of Acad.Science
of Georgia, 129, 2 (1988) pp. 344-348.
. L.
Akhalbedashvili, A. Mskhiladze, Sh. Sidamonidze. Proc. Of 13th International
Conference on Zeolites, 8-13 July, 2001, Montpellier, France.
. L.
Akhalbedashvili, M.Alapishvili, I.Davituliani, N.Kekelidze et.al., J.
Phys.Chem., v.
75, 10 (2001) pp.1771-1774.
5. L.
Akhalbedashvili, A. Mskhiladze, G. Proc. of 6th World Congress on Oxidation
Catalysis Lille-France, pp.60-61, 2009.
. L.G.Akhalbedashvili.
Candidate’s dissertation, Tbilisi, 1980, 152 p.
7. ,
V.V.Kharlamov.M., “Nauka”, 1990.
8. M.A.Pena,
J.L.G.Fierro. Chem. Rev.,
101 (2001) pp. 1981-2017.
9. Tagiev
D.B., Minachev X. M. - Uspexi ximii, 50, 11 (1981) pp. 1929-1959.
. R.A.
van Santen. Nato Asi Series. Applied Science.
1997, pp. 371-393.
. E.A.
Antipov, L.N. Likova, L.M.Kovba J. of Mendeleev
Chem. Soc., 34, 4 (1989), pp.458-467.
12. Bregadze
T.A. Candidate’s dissertation, Moscow, 1974, 131 p.