Организационно-техническое проектирование микрологистической системы автоматизированного цеха механообработки
Санкт-Петербургский государственный
политехнический университет
Институт металлургии, машиностроения
и транспорта
Кафедра «Транспортные и
технологические системы»
А.А. Лобанцев
Организационно-техническое
проектирование микрологистической системы автоматизированного цеха
механообработки
Пояснительная записка
к курсовому проекту
по дисциплине «Основы логистики»
Направление подготовки: 220700
«Управление высокотехнологичным производством»
Специальность: 220701 «Менеджмент
высоких технологий»
Группа 43325/3
Руководитель,
доцент
к.т.н.,
доцент С.Ф. Пилипчук
Допущен к
защите: Заведующий кафедрой
д.т.н.,профессор
К.П. Манжула
Санкт-Петербург 2014г.
Лобанцев А.А. Организационно-техническое проектирование
микрологистической структуры автоматизированного цеха механообработки: Курсовой
проект по дисциплине «Основы логистики». - СПб: СПбГПУ, 2014, 48 с.
МИКРОЛОГИСТИЧЕСКАЯ СТРУКТУРА, ЛОГИСТИКА ПРЕДПРИЯТИЯ, АВТОМАТИЗИРОВАННЫЙ
ЦЕХ, ИНТЕНСИВНОСТЬ ГРУЗОПОТОКОВ, АВТОМАТИЗИРОВАННЫЕ ПРОИЗВОДСТВЕННЫЕ СИСТЕМЫ.
В данной работе приближённо спроектирована микрологистическая система
поддержки производства деталей. Выбраны автоматизированные комплексы,
заводская, складская и технологическая тара. Рассчитаны интенсивности
грузопотоков внутри производственной системы и необходимый объём склада.
Выбраны автоматический кран-штабелёр и автоматические робототележки. Предложено
компоновочное решение цеха.
Оглавление
ЗАДАНИЕ
ВВЕДЕНИЕ
. ВЫБОР ТЕХНОЛОГИЧЕСКИХ КОМПЛЕКСОВ
.1 Определение масс заготовок
.2 Определение штучно-калькуляционного времени
.3 Выбор технологического оборудования.
.4 Выбор тары
.5 Расчёт интенсивностей грузопотоков
.6 Определение параметров склада
.7 Определение параметров транспортных автоматических
устройств
.8 Компоновка цеха механообработки
ЗАКЛЮЧЕНИЕ
Список использованной литературы.
ПРИЛОЖЕНИЕ А.
ПРИЛОЖЕНИЕ Б
ПРИЛОЖЕНИЕ В. Варианты компоновочных решений
Санкт-Петербургский
государственный политехнический университет
Институт
металлургии, машиностроения и транспорта
Кафедра
«Транспортные и технологические системы»
ЗАДАНИЕ
на выполнение
курсового проекта
по дисциплине
«Основы логистики»
студенту группы 43325/3 Лобанцеву Артёму Андреевичу
. Тема проекта: Организационно-техническое проектирование
микрологистической системы автоматизированного цеха механообработки
. Срок сдачи студентом законченного проекта - 27 мая 2014г
. Исходные данные к проекту:
) номенклатура обрабатываемых заготовок (рис.1, табл. 1.1 - стр.2);
2)
количество обрабатывающих центров
= 7
фрезерных комплексов;
)
параметры цеха: ширина B= 24 м; высота H= 9 м.
.
Содержание пояснительной записки:
)
введение;
)
основная часть - технологический процесс механообработки,
структурно-функциональная схема преобразования грузовых потоков, выбор тары,
расчет интенсивностей грузовых потоков, определение параметров склада и
автоматических транспортных устройств;
)
компоновка автоматизированного цеха механообработки;
)
заключение;
)
библиографический список;
)
приложения.
)
Перечень графического материала
)
технология обработки заготовки;
)
компоновочная схема автоматизированного цеха механообработки.
)
Дата получения задания: « » февраля 2014 г.
Руководитель,
доцент,
к.т.н.,
доцент С.Ф. Пилипчук
Задание
принял к исполнению А.А. Лобанцев
(дата)
Рисунок
1. Габаритный чертёж детали для производства.
Таблица 1.1 Номенклатура и размеры производимых деталей.
|
D,мм
|
D1,мм
|
L1,мм
|
L,мм
|
d,мм
|
|
1
|
87
|
50
|
27
|
36
|
32
|
|
2
|
110
|
65
|
40
|
65
|
50
|
|
3
|
145
|
80
|
20
|
45
|
60
|
|
4
|
160
|
110
|
60
|
80
|
95
|
|
5
|
190
|
160
|
35
|
60
|
130
|
|
6
|
235
|
95
|
70
|
90
|
80
|
|
7
|
290
|
190
|
20
|
50
|
140
|
|
8
|
370
|
220
|
30
|
70
|
190
|
|
9
|
390
|
290
|
10
|
40
|
260
|
|
10
|
420
|
160
|
40
|
50
|
140
|
ВВЕДЕНИЕ
Целью данной работы является проектирование транспортно-логистической
структуры перемещения заготовок и готовых деталей в производственном автоматизированном
цеху со складом. Проектируемая структура должна обеспечивать своевременную
подачу заготовок к станкам и столь же своевременное перемещение готовых деталей
на склад с учётом образования необходимых заделов для покрытия разницы в
сменности работы внутрицеховых отделов. В задачи данного проектирования входит:
§ Выбор роботизированных технологических комплексов;
§ Выбор тары для приёмки, хранения и транспортировки внутри цеха.
§ Расчёт интенсивностей грузопотоков в ГПС;
§ Определение параметров склада;
§ Определение параметров автоматических транспортировочных устройств;
§ Компоновка автоматизированного цеха;
В таблице ниже представлен упрощённый технологический маршрут для
формирования общего представления о перемещении заготовок и деталей в цеху.
Таблица 1.2
Перечень технологических операций проводимых для получения детали из
исходной заготовки.
|
Операция
|
Наименование и краткое
содержание операции
|
|
005
|
Заготовительная (Прокат)
|
|
010
|
Термическая обработка
|
|
015.1
|
Токарно-винторезная
(черновая)
|
|
015.2
|
Токарно-винторезная
(черновая)
|
|
020.1
|
Токарно-винторезная
(получистовая)
|
|
020.2
|
Токарно-винторезная
(получистовая)
|
|
025.1
|
Токарно-винторезная
(чистовая)
|
|
025.2
|
Токарно-винторезная
(чистовая)
|
|
030
|
Зубофрезерная
|
|
035
|
Слесарная
|
|
040
|
Термическая
|
|
045
|
Внутришлифовальная
|
|
065
|
Протяжка
|
|
075
|
Контрольная
|
Заготовка, перед тем как попасть в проектируемый нами цех проходит
подготовительную операцию. В пределах нашего цеха заготовка сначала
отправляется на токарный модуль, где над ней осуществляются операции черновой получистовой
и чистовой обработки, затем перемещается на фрезерный автомат для нарезания
зубьев. После того, как зубья будут нарезаны, заготовку необходимо отправить на
термическую обработку для поверхностной закалки материала зубьев. Термическая
обработка происходит вне цеха. После закалки заготовка вновь возвращается в цех
и на фрезерном модуле производится операция шлифования и протяжки паза в
отверстии заготовки под вал.
1.
ВЫБОР ТЕХНОЛОГИЧЕСКИХ КОМПЛЕКСОВ
1.1 Определение масс заготовок
Объем заготовки вычисляется по формуле:
Масса
находится по формуле:
где
- V объем заготовки;

-
плотность материала заготовки.
Таблица
1.3 Расчет масс заготовок
|
№
|
D,мм
|
D1,мм
|
L1,мм
|
L,мм
|
d,мм
|
V, мм^3
|
m, кг
|
|
1
|
87,00
|
50,00
|
27,00
|
36,00
|
32,00
|
77524,25
|
0,61
|
|
2
|
110,00
|
65,00
|
40,00
|
65,00
|
50,00
|
242565,00
|
1,90
|
|
3
|
145,00
|
80,00
|
20,00
|
45,00
|
60,00
|
385925,63
|
3,03
|
|
4
|
160,00
|
110,00
|
60,00
|
80,00
|
95,00
|
405060,00
|
3,18
|
|
5
|
190,00
|
160,00
|
35,00
|
60,00
|
130,00
|
615832,50
|
4,83
|
|
6
|
235,00
|
95,00
|
70,00
|
90,00
|
80,00
|
910796,25
|
7,15
|
|
7
|
290,00
|
190,00
|
20,00
|
50,00
|
140,00
|
1778025,00
|
13,96
|
|
8
|
370,00
|
220,00
|
30,00
|
70,00
|
190,00
|
3454785,00
|
27,12
|
|
9
|
390,00
|
290,00
|
10,00
|
40,00
|
260,00
|
2119500,00
|
16,64
|
|
10
|
420,00
|
160,00
|
40,00
|
50,00
|
140,00
|
1419280,00
|
11,14
|
Пример расчета для первой строки:
Объем 1-ой заготовки:
В
качестве материала заготовок выбрана сталь 40Х, плотность которой
1.2 Определение штучно-калькуляционного
времени
Штучно-калькуляционное время в серийном производстве определяется по
формуле:
,
где
- основное время обработки;
-
вспомогательное время;
- время
организационного обслуживания;
-время
технического обслуживания;
- время
на отдых и личные надобности;
-
подготовительно - заключительное время;
n - количество
заготовок в партии.
Расчет
производится в следующей последовательности:
.
На основании рассчитанных режимов работы оборудования по каждому переходу
вычисляем основное (технологическое) время по формуле:
,
где
- длина обрабатываемой поверхности;
-
величина врезания и пробега инструмента;
-
дополнительная длина на взятие пробной стружки, учитываемая при точении
резцами, кроме фасонных и отрезных;
- число
рабочих ходов при обработке поверхности
(z -
припуск на обработку; t - глубина резания).
.
По содержанию каждого перехода устанавливаем необходимый комплекс
вспомогательной работы и определяем вспомогательное время
с учетом возможных и целесообразных совмещений и
перекрытий.
.
По нормативам в зависимости от операции и оборудования, устанавливаем время на
организационное и техническое обслуживание рабочего места, отдых и личные
потребности:
,
,
.
.
Устанавливаем состав подготовительно-заключительной работы, вычисляем
подготовительно-заключительное время
и
штучно-калькуляционное время
.
Произведем
расчет нормы времени для токарной черновой операции (операция 015):
Основное
технологическое время:
Вспомогательное
время:
,
где
- время на установку и снятие детали;
- время
на управление станком, связанное с переходом;
- время
на контрольные измерения.
Таким
образом:
;
;
;
;
.
Штучно-калькуляционное
время:
Нормы
времени для всех операций сведены в таблицу 1.3.1
Таблица
1.3.1 Нормы времени для каждой операции
|
Наименование операции
|
Штучно-калькуляционное
время, мин
|
|
015 - Токарно-винторезная
(черновая)
|
4,25
|
|
020 - Токарно-винторезная
(черновая)
|
3,89
|
|
025 - Токарно-винторезная
(получистовая)
|
3,71
|
|
030 - Токарно-винторезная
(получистовая)
|
3,68
|
|
035 - Токарно-винторезная
(чистовая)
|
4,13
|
|
040- Токарно-винторезная
(чистовая)
|
3,87
|
|
045 - Зубофрезерная
|
13,57
|
|
060 - Внутришлифовальная
|
5,26
|
|
070 - Протяжная
|
3,34
|
Для данного курсового проекта все операции сгруппированы по выполняющим
данную операцию станкам. Так все токарные операции выполняются на
автоматическом токарном производственном модуле, остальные операции из таблицы
1.3.1 условно выполняются на фрезерном производственном модуле.
Таблица 1.2 Расчет штучно-калькуляционного времени
|
№п.п.
|
Длина, мм
|
tш.к.ток, мин
|
tш.к.фрез, мин
|
tш.к.
|
|
1
|
36,00
|
23,53
|
13,57
|
37,10
|
|
2
|
65,00
|
42,48
|
24,50
|
66,99
|
45,00
|
29,41
|
16,96
|
46,38
|
|
4
|
80,00
|
52,29
|
30,16
|
82,44
|
|
5
|
60,00
|
39,22
|
22,62
|
61,83
|
|
6
|
90,00
|
58,83
|
33,93
|
92,75
|
|
7
|
50,00
|
32,68
|
18,85
|
51,53
|
|
8
|
70,00
|
45,75
|
26,39
|
72,14
|
|
9
|
40,00
|
26,14
|
15,08
|
41,22
|
|
10
|
50,00
|
32,68
|
18,85
|
51,53
|
|
Итого
|
|
383,02
|
220,89
|
603,91
|
Штучно-калькуляционное время для первой строки взято из исходного
задания.
Рассчитаем штучно-калькуляционное время для остальных заготовок, исходя
из пропорции их длин:
Пример
расчета для второй строки:
;
;
;
1.3 Выбор технологического оборудования
На токарную обработку отводится 383 минуты, на фрезерную уходит 221
минута.
В соответствии с заданным количество фрезерных станков Nфр = 7, найдём в пропорциональном
соотношении количество токарных станков:
Таким образом, выбираем для производственного цеха:
· 13 токарных комплексов 16К30Ф3 УМ160 Ф2.81.02;
· 7 фрезерных комплексов ИР500ПМФ4;
Фонд станочного времени для станков:
Где Тг - количество рабочих дней в расчетном периоде (260 дней); Тсм -
продолжительность смены в часах (8 часов); nсм - режим смен в сутках (nсм = 3); nст -
количество станков токарных или фрезерных; Кв - коэффициент использования
станочного оборудования по времени (0,8).
Фонд времени для фрезерного оборудования:
Фонд времени для токарного оборудования:
Тогда как в соответствии с фондом времени для токарного оборудования,
годовая программа выпуска может составлять:
,
производительность парка фрезерных станков ограничивает годовую программу
выпуска. Примем:
1.4 Выбор тары
1.4.1 Выбор складской тары
Для сравнительно крупных грузов следует применять метод определения
вместимости складской грузовой единицы посредством теоретической раскладки
грузов на поддоны при помощи простых моделей-формул, основанных на взаимных
соотношениях между размерами грузов и поддонов. Ниже приведены три из них, используя
которые необходимо определить наиболее рациональный способ заполнения поддонов
для каждого типоразмера обрабатываемых заготовок. Например, модель раскладки
грузов по способу 1 (грузы раскладываются длинной стороной вдоль длины поддона,
а короткой - вдоль ширины) имеет вид:
где
N1 - количество грузов (штук), помещающихся в данном
поддоне, при укладке их по способу 1;
L ,B ,H1 -
соответственно длина, ширина, высота поддона (H1 = Н - h1);
l ,b ,h -
соответственно длина, ширина, высота единицы груза по внешнему контуру.
Запись
[ ] обозначает целую часть числа, получающегося в результате выполнения
действия в скобках.
Всего
шесть разных способов заполнения поддонов, но для тел вращения размеры l и b
совпадают и равны диаметру заготовки.
Остаётся
3 различных варианта:
Для
каждого i-го груза из всей номенклатуры производится проверка
по приведенным выше способам укладки и выбирается способ, позволяющий наиболее
полно использовать объем тары.
Исходя
из того, что для всей номенклатуры грузов в стеллажном складе должен
использоваться один типоразмер ящичного поддона, в качестве критериев
оптимальности при его вариантном выборе следует принять:
§ наиболее полное использование поддона по грузоподъемности;
§ наименьший объем стеллажного склада, необходимый для хранения всех
грузов.
В качестве унифицированной складской тары выберем ящичный поддон с
параметрами [1, с.50]: такой поддон обеспечивает наиболее
его полное использование по грузоподъёмности при габаритных размерах поддона,
которые позволяют уменьшить объём конструируемого стеллажного склада.
Параметры выбранного ящичного поддона:
|
Q, т
|
L, мм
|
B, мм
|
H, мм
|
h1, мм
|
H1, мм
|
|
1
|
1200
|
800
|
550
|
110
|
440
|
Таблица 1.3 Определение максимального количества заготовок, помещающихся
в таре и вместимости ящичного поддона.
Пример расчёта первой строки
Способ укладки N1:
,
где
L - длина поддона; B - ширина
поддона, H1 - высота полезного объёма поддона;
l, b -
наибольший (габаритный) диаметр заготовки, h - длина
(высота) заготовки.
Способ укладки N2:
Способ укладки N3
Максимальная
вместимость заготовок в таре при способе укладки N2:
Масса брутто складской тары вместе с заготовками не должна превышать
грузоподъёмности выбранной тары:
,
где
- грузоподъёмность тары, кг;
- собственная масса складской тары, кг. Примем её
значение как 5% от её грузоподъёмности.
Данное
значение удовлетворяет приведённому условию. В случае если значение массы
помещающихся в тару заготовок превышает грузоподъёмность выбранной тары, то
необходимо ограничить количество складываемых заготовок так, чтобы их общая
масса не превышала значения грузоподъёмности.
Для
первой строки максимальное количество заготовок в таре, удовлетворяющее условию
грузоподъёмности тары:
.
Новое
значение массы всех заготовок:
Коэффициент
заполнения тары определяется как отношение суммарного объёма всех заготовок в
таре к объёму тары, при этом объём тары:
;
объём
заготовок в таре:
.
Таким
образом, коэффициент заполнения определяется по формуле:
.
Необходимое
количество тар для удовлетворения годового производственного плана в 10 000
единиц продукции с учётом возможного результата только в целых числах и
округления вверх рассчитывается по формуле:
В
таблице полученной после расчётов в программе TARA, с помощью
которой мы будем проверять результаты наших расчётов, одним из пунктов
рассчитывается масса нетто заготовок в таре (столбец масса дет./тара). Для
сравнения впоследствии с результатами программного расчёта определим массу
нетто заготовок в таре:
Средний коэффициент заполнения по всей номенклатуре грузов:
Результаты
расчётов в программе TARA показали (см. прил.А), что с допустимой погрешностью
(
)расчёты вручную были проведены верно.
|
Тара 29
|
L =
|
1200
|
мм
|
|
Н=
|
440
|
мм
|
Q=
|
1000
|
кг
|
|
B=
|
800
|
мм
|
|
V =
|
1024
|
м3
|
ψ=
|
0,7926
|
Nтар=
|
1276
|
шт
|
|
|
|
|
|
|
Нр.
|
кол.дет./тара
|
масса дет./тара, кг
|
способ укладки
|
кол.тар
|
|
1
|
1485
|
906
|
L:h B:l H:b
|
7
|
|
2
|
500
|
950
|
L:h B:l H:b
|
20
|
|
3
|
313
|
948
|
L:l B:h H:b
|
32
|
|
4
|
175
|
557
|
L:l B:b H:h
|
58
|
|
5
|
168
|
811
|
L:l B:b H:h
|
60
|
|
6
|
60
|
429
|
L:l B:b H:h
|
167
|
|
7
|
64
|
893
|
L:l B:b H:h
|
157
|
|
8
|
35
|
949
|
L:l B:b H:h
|
286
|
|
9
|
57
|
948
|
L:l B:b H:h
|
176
|
|
10
|
32
|
356
|
L:l B:h H:b
|
313
|
|
|
|
|
|
|
|
|
|
|
|
|
|
|
|
1.4.2 Выбор заводской тары
Заводскую тару выберем из соображения максимальной грузоподъёмности и
максимального коэффициента использования, что позволяет увеличить объёмы
поставок. Это повлечёт в ряде случаев уменьшение цены партии в случае, если цех
представляет собой самостоятельное предприятие, или уменьшить количество
общезаводской тары и уменьшить затраты на её содержание, если цех является
отдельной заводской ячейкой.
|
Тара 48
|
L =
|
1200
|
мм
|
|
Н=
|
630
|
мм
|
Q=
|
3200
|
кг
|
|
B=
|
800
|
мм
|
|
V =
|
942
|
м3
|
ψ=
|
0,8302
|
Nтар=
|
908
|
шт
|
|
|
|
|
|
|
Нр.
|
кол.дет./тара
|
масса дет./тара, кг
|
способ укладки
|
кол.тар
|
|
1
|
2079
|
1268
|
L:h B:l H:b
|
5
|
|
2
|
630
|
1197
|
L:l B:b H:h
|
16
|
|
3
|
560
|
1697
|
L:l B:b H:h
|
18
|
|
4
|
245
|
779
|
L:l B:b H:h
|
41
|
|
5
|
240
|
1159
|
L:l B:b H:h
|
42
|
|
6
|
105
|
751
|
L:l B:b H:h
|
96
|
|
7
|
128
|
1787
|
L:l B:h H:b
|
79
|
|
8
|
54
|
1464
|
L:l B:b H:h
|
186
|
|
9
|
90
|
1498
|
L:l B:b H:h
|
112
|
|
10
|
32
|
356
|
L:l B:h H:b
|
313
|
|
|
|
|
|
|
|
|
|
|
|
|
|
|
|
1.4.3 Выбор транспортной тары
Габаритные размеры в плане L×B транспортной тары в соответствии с ГОСТом 14861-91
принимаются из стандартного ряда и должны соответствовать габаритным размерам
складской тары. Выбираем кассеты для валообразных деталей размером 800×1200.
Число деталей типа тел вращения, помещаемых в кассете при укладке их
вертикально (так, чтобы ось заготовки была перпендикулярна опорной поверхности)
определяется по формуле:
где
x1 и x2 - зазор между заготовкой и краем кассеты
;
- зазор
между заготовками или деталями в кассете, необходимый для захвата перегрузочным
роботом.
.
Высота
кассеты с грузом
:
,
где
- длина заготовки.
Таблица
1.4
Определение
максимального количества грузов в кассетах при установке вертикально и массы
всех грузов в каждой таре.
Выбираем
плиты спутники с учётом того, что они входят в состав обрабатывающих центров.
Размер плит спутников: LxB = 500x500 мм
Таблица
1.5
Определение
максимального количества заготовок на плитах спутниках.
1.5 Расчёт интенсивностей грузопотоков
Изобразим схему (рис. 1.2), которая отразит функциональное движение
материальных ресурсов внутри проектируемого цеха, а именно - заготовок.
Заготовки проходят два круга. На первом производится токарная черновая,
получистовая и чистовая обработка и фрезерная зубонарезная обработка. Затем
заготовки выходят из цеха и отправляются на термическую обработку, после
которой вновь возвращаются для доводочной обработки на фрезерном станке.
Движение по первому кругу изображено сплошной линией. Движение по второму кругу
- штриховой.
Рис. 1.2 Схема движения и преобразования основного потока предметов
производства и всех видов тары в ГПС механической обработки.
Функции складирования на схеме и в таблице обозначены буквой С, функции
транспортирования - буквой Т, неавтоматизируемые функции, закрепляемые за
рабочими, - буквой К, выполнение фрезерных технологических операций - Фр.,
выполнение токарных технологических операций - Ток.
Таблица 1.6 Расшифровка функций на структурно-функциональной схеме
|
Обозначение на рис. 1.2
|
Описание операции
|
|
С1
|
Накопление партий
заготовок, термообработанных деталей в заводской таре в ожидании их приёма в
ГПС.
|
|
К1
|
Контроль поступающих партий
заготовок, термообработанных деталей на соответствие сроков, количества и
качества графикам поставки и технологическим требованиям (по сопроводительной
документации).
|
|
К2
|
Укладка заготовок,
термообработанных деталей в унифицированную складскую тару.
|
|
С2
|
Накопление партий заготовок
(резервного задела), термообработанных деталей в унифицированной складской
таре.
|
|
К3
|
Комплектация партий
заготовок в кассетах.
|
|
С3
|
Накопление партий заготовок
в кассетах.
|
|
Ток.
|
Обработка заготовок на
токарных модулях.
|
|
С4
|
Накопление партий
обработанных заготовок в кассетах.
|
|
К4
|
Перекомплектация партий
заготовок и термообработанных деталей из кассет и складских поддонов на плиты
спутники.
|
|
С5
|
Накопление партий заготовок
и термообработанных деталей на плитах спутниках.
|
|
Фр.
|
Обработка заготовок и
термообработанных деталей на фрезерных автоматах.
|
|
С6
|
Накопление партий заготовок
и термообработанных деталей на плитах спутниках
|
|
К5
|
Перекомплектация партий
заготовок и термообработанных деталей с плит спутников в унифицированную
складскую тару.
|
|
С7
|
Накопление партий заготовок
и термообработанных деталей в складской таре
|
|
К6
|
Перекомплектация партий
заготовок и термообработанных деталей из складской тары в унифицированную
заводскую тару.
|
|
К7
|
Контроль выходящих из ГПС
партий и оформление сопроводительной документации.
|
|
С8
|
Накопление партий
заготовок, подлежащих термообработке и термообработанных деталей в заводской
таре для отправления на термообработку или потребителю.
|
|
Т1
|
Перемещение заготовок в
заводской таре.
|
|
Т2
|
|
Т3
|
Перемещение заготовок в
кассетах.
|
|
Т4
|
Перемещение заготовок на
плитах-спутниках.
|
Среднечасовая интенсивность грузопотока на участках C1-К1-K2 и K6-К7-C8 определяется количеством
общезаводских тар, доставляемых в ГПС поштучно, по формуле:
где
- интенсивность грузопотока грузов
-го типоразмера, 1/ч;
n - номенклатура
грузов, проходящих через транспортно-складскую систему,
=10;
-
годовой грузопоток
-го груза, кг; mi - масса i-го
груза, NГ - годовая производственная программа;
- масса
-ых грузов в одном общезаводском поддоне, кг;
-
количество грузопотоков на данном участке (поток партий заготовок и
термообработанных деталей или только партий заготовок);
-
коэффициент неравномерности прибытия (отправления) грузов при
, учитывающий возможные отклонения от графика доставки
(отправления) грузов в связи с неритмичностью работы внешнего транспорта,
смежных подразделений и т.п.;
дн. -
число дней работы ГАУ в году за исключением дней, отведенных на ППР;

- режим
сменности работы ОК;
час. -
продолжительность рабочей смены.
Определим
годовой грузопоток для удобства дальнейших расчётов и выпишем значения масс
деталей в таре для различных типов тары для всей номенклатуры изделий:
Таблица
1.7
Значения
годового грузопотока для каждого типа деталей.
Пример
получения значений для первой строки:
Значение
было нами получено в п.1.3;
- масса
заготовки, из табл. 1.3;
Годовой
грузопоток 1 типа заготовок
;
- масса
грузов в заводской таре, из п. 1.4.2;
- масса
грузов в складской таре, из табл. 1.3;
- масса
грузов в кассете, из табл. 1.4;
- масса
грузов на плите-спутнике, из табл. 1.5.
Среднечасовая
интенсивность грузопотока на участках С1-К1-К2 и К6-К7-С8:
Среднечасовая
интенсивность грузопотока на участках К2-С2 и К5-С7-К6 определяется количеством
складской тары по формуле:
Среднечасовая интенсивность грузопотока на участках С2-К3 и С2-К4
определяется количеством складской тары и находится из уравнения:
Среднечасовая интенсивность грузопотока на участке К3-С3 определяется
количеством кассет для деталей типа тел вращения и находится из уравнения:
Среднечасовая интенсивность грузопотока на участках С3-ТОК-С4
определяется трёхсменным режимом работы с необходимостью выделять время на
диагностику и обслуживание ГПМ, а так же количеством кассетной тары и находится
по формуле:
где
время на диагностику и обслуживание ГПМ.
Среднечасовая
интенсивность грузопотока на участке С4-К4 определена трёхсменным режимом
работы, вместимостью кассетной тары и находится по формуле:
Среднечасовая интенсивность грузопотока на участке К4-С5 определена
трёхсменным режимом работы и вместимостью плит-спутников:
Среднечасовая интенсивность грузопотока на участках С5-ФР-С6 определена
трёхсменным режимом работы, вместимостью плит-спутников и необходимостью
выделять время на диагностику и обслуживание ГПМ:
Среднечасовая интенсивность грузопотока на участке С6-К5 определена
вместимостью плит-спутников:
Таблица 1.8
Расчёт интенсивностей грузопотоков в ГПС.
1.6 Определение параметров склада
1.6.1 Расчёт ёмкости центрального склада
Общая емкость центрального склада определяется по формуле
где
- емкость склада для хранения заготовок;
-
емкость склада для хранения готовых деталей;
- число
мест на складе, необходимых для хранения оборотного задела заготовок в
транспортно-технологической таре;
-
коэффициент, учитывающий дополнительную емкость склада.
Емкость
склада для хранения заготовок определяется по формуле
где

-
нормативный срок, в течение которого склад должен бесперебойно снабжать
заготовками производственный участок, ч;
При
расчёте необходимого количества ячеек склада необходимо округлять до целого
числа в большую сторону для того, чтобы полностью удовлетворить интенсивность
потока заготовок и деталей в складских поддонах (разместить все
заготовки/детали даже при не полностью заполненной таре).
Емкость
склада для хранения готовых деталей определяется по формуле
где
- нормативный срок хранения готовых деталей на
складе, ч;
Число
мест на складе, необходимых для хранения оборотного задела заготовок в кассетах
определяется максимальной величиной этого задела, рассчитываемой по формуле
где
- разница в режимах сменности работы ГПМ и ОК.
Число
мест на складе, необходимых для хранения оборотного задела заготовок в
плитах-спутниках определяется максимальной величиной этого задела,
рассчитываемой по формуле
Учитывая,
что при каждом фрезерном комплексе имеется 8 столов-спутников на накопителе, то
число мест на складе составит:
Для
хранения в складских ячейках плиты спутники складывать в складские поддоны.
Размер
выбранного складского поддона 1200х800 мм. Размер плиты-спутника 500х500 мм.
Таким образом, в один складской поддон помещается два спутника. Соответствующее
количество ячеек составляет
С
учётом складирования части плит-спутников на пристаночных накопителях изменится
вид структурно-функциональной схемы.
Рис.
1.3 Изменённая схема движения и преобразования основного потока предметов
производства и всех видов тары в ГПС механической обработки.
Среднечасовая
интенсивность грузопотока на участке К4-С5:
Среднечасовая
интенсивность грузопотока на участке К4-Фр.:
Общая
емкость центрального склада:
1.6.2
Определение размеров стеллажного склада
Рис.
1.4 Схема ячейки бесполочного стеллажа
Высота
яруса стеллажа определяется по формуле
,
где
- высота поддона без учета высоты его ножек;
- высота
ножек поддонов,
;
-
расстояние по высоте от верха нижнего поддона до низа опорной поверхности
следующего по высоте поддона,
.
.
Длина
ячейки вдоль стеллажа определяется по формуле
,
где
В - ширина поддона;
- зазор
между поддоном и стойкой стеллажа,
мм;
-
толщина стоек стеллажа,
мм.
мм.
Ширина
ячейки стеллажа определяется по формуле
,
где
L- длина поддона;
.
мм.
Длину
и высоту стеллажа определим из следующих соотношений
,
где
- число ячеек по длине стеллажа;
- число
ярусов по высоте стеллажа;
-
расстояние по вертикали от уровня пола до опорной поверхности первого яруса,
.
Соответственно:
,
.
Очевидно,
что для стеллажа ячеечного типа прямоугольной формы
Исходя
из условий максимального совмещения движений механизмов подъема,
телескопического захвата и передвижения крана-штабелёра, следует принять
, что в первом приближении соответствует соотношению
между скоростями указанных механизмов.
Решая
систему уравнений
,
получаем
,
.
Длина
и высота стеллажа:
мм,
мм.
Максимальная
высота подъема грузозахвата стеллажного крана-штабелера определяется по формуле
мм.
1.7 Определение параметров транспортных
автоматических устройств
1.7.1 Выбор автоматического стеллажного
крана-штабелёра
Складской автоматический стеллажный кран-штабелер выбирается из
приложения 2 [1, с. 53] по грузоподъемности (максимальная масса брутто
складского ящичного поддона) и высоте подъема грузозахвата. Выбираем
кран-штабелер СКА-1,0.
Потребное число таких кранов-штабелёров определяется по формуле
где
- потребная среднечасовая производительность
складского крана-штабелера;
- время
цикла складского крана-штабелера при приеме/выдаче грузовых единиц;
-
коэффициент использования крана-штабелера по времени в течение смены.
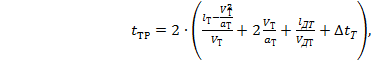
Время
цикла складского автоматического стеллажного крана-штабелёра определяется по
формуле:
где
- время горизонтального перемещения крана-штабелёра,
с;

- время
вертикального перемещения грузозахвата, с;
-
постоянное дополнительное время,с;
где
- длина горизонтального перемещения крана-штабелера и
вертикального перемещения его грузозахвата, соответственно, м (при обслуживании
стеллажа в первом приближении можно принять
,
);
-
рабочие скорости соответственно по горизонтали и по вертикали, м/с;
-
средние ускорения соответственно по горизонтали и по вертикали, м/с2
(
);
транспортный грузопоток склад оборудование
- длина
пути на доводочной скорости, м (при обслуживании краном-штабелером стеллажа
);
-
доводочные скорости соответственно по горизонтали и по вертикали, м/с.
Для
выбранного крана-штабелера:
Таблица
1.8 Основные параметры крана-штабелёра СКА-1,0
|
VL, м/с
|
VH, м/с
|
Vгз, м/с
|
Vдов.L, м/с
|
Vдов.H, м/с
|
|
2.0
|
0.4
|
0.13
|
0.06
|
0.08
|
Время горизонтального перемещения крана-штабелёра:
;
Время
вертикального перемещения грузозахвата:
.
Постоянное
дополнительное время:
где
- время выдвижения грузозахвата, с.
В
цикле грузозахват выдвигается четыре раза, поэтому:
,
где
- величина выдвижения грузозахвата, м; (
);
-
скорость выдвижения грузозахвата, м/с; (см. табл. 1.8)
- время
подъема и опускания грузовой единицы на доводочной скорости, с;
- время
срабатывания приборов автоматического управления и корректирования положения
относительно точки позиционирования, с (
).
Тогда,
постоянное дополнительное время:
с.
Время
цикла складского автоматического стеллажного крана-штабелёра:
с.
Потребная
среднечасовая производительность складского крана-штабелера:
Потребное
число кранов-штабелёров:
шт.
1.7.2 Выбор транспортных устройств
Число тележек-робокаров определяется по формуле
где
- потребная производительность устройств
транспортирования грузовых единиц к ГПМ и обратно, 1/ч;
- время
цикла транспортного устройства, ч;
- коэффициент
использования транспортных устройств по времени (
;
- число
грузовых единиц в транспортной партии.
Время
цикла транспортного устройства определяется по формуле

где
- длина перемещения транспортного устройства в цикле,
м;
-
номинальная скорость движения, м/с;
-
среднее ускорение. (
);
- длина
пути на доводочной скорости (
);
-
скорость движения на доводочной скорости, м/с;
- время
загрузки или разгрузки грузовой единицы (
).
Производственная
логистическая система предполагает транспортировку внутри цеха двух видов
транспортно-технологической тары: кассет для обработки на токарных модулях и
плит спутников для фрезерной механообработки на фрезерных автоматических
ценрах. Габариты этих двух видов тары различны (см. п.1.4.3), поэтому для
транспортировки необходимы соответствующие виду тары габариты роликовых столов
тележек, на которых грузовая единица перемещается от склада до обрабатывающего
центра.
В
пункте 1.8 будет выбрано наиболее оптимальное компоновочное решение цеха, из
которого видно, что средний путь тележек, обеспечивающих заготовками фрезерные
комплексы значительно меньше, чем путь тележек, которые транспортируют
заготовки на токарные модули. Соответственно изменится и время цикла работы
транспортного устройства. Исходя из этих соображений, вычислим необходимое
количество тележек для транспортирования плит-спутников и транспортирования
кассет раздельно.
Выберем
в качестве устройств транспортирования грузовых единиц в пределах ГПС
безрельсовую тележку-робокар «Savant DC-10» (Приложение Б).
Для
выбранной тележки-робокара:
м/с;
м/с.
а)
Расчёт количества тележек для транспортирования плит-спутников:
Длина
перемещения транспортного устройства в цикле:
м.
Время
цикла транспортного устройства:
,
Потребная
производительность устройств транспортирования грузовых единиц к фрезерным
модулям и обратно:
Число
тележек-робокаров, обслуживающих фрезерные модули:
шт.
б)
Расчёт количества тележек для транспортирования кассет:
Длина
перемещения транспортного устройства в цикле:
м.
Время
цикла транспортного устройства:
,
Потребная
производительность устройств транспортирования грузовых единиц к токарным
модулям и обратно:
Число
тележек-робокаров, обслуживающих токарные модули:
шт.
Таким
образом, для удовлетворения интенсивности транспортировки необходимо 4
робототележки: одна - для обслуживания токарных комплексов и три - для
фрезерных модулей.
1.8 Компоновка цеха механообработки
После выполнения необходимых расчетов и выбора оборудования производится
компоновка гибкого автоматизированного цеха механообработки. При этом
выполняется несколько вариантов компоновочных решений и выбирается наиболее
рациональный.
В качестве критериев рациональности компоновочного решения используются
следующие:
) минимум производственной площади, что предполагает наиболее
плотную установку оборудования;
) минимизация функции

где

-
интенсивность грузопотока между пунктами отправления i и получения j
грузовых единиц, 1/ч;

-
расстояния между пунктами отправления i и получения j
грузовых единиц, м.
Варианты
компоновочных решений см. в приложении В
ЗАКЛЮЧЕНИЕ
В данном курсовом проекте спроектирована микрологистическая система
автоматизированного цеха механообработки.
В ходе проектирования выбраны роботизированные технологические комплексы
для изготовления косозубого колеса; выбрана тара; рассчитаны интенсивности
грузопотоков в ГПС; определены параметры склада, параметры автоматических
транспортных устройств; выполнено два компоновочных решения автоматизированного
цеха механообработки и выбрано наиболее рациональное.
Список использованной литературы
1. Логистика.
Организационно-техническое проектирование микрологистической производственной
системы: Метод. указания./ Сост.: Е.П. Кукушкина, В.М. Макаров, С.Ф. Пилипчук.
СПб.: Изд-во Политехн. ун-та, 2006.55с.
.
Роботизированные технологические комплексы и гибкие производственные системы в
машиностроении: Альбом схем и чертежей: Учеб. пособие для втузов / Ю.М.
Соломенцев, К.П. Жуков, Ю.А. Павлов и др.; Под общ. ред. Ю.М. Соломенцева. -
М.: Машиностроение, 1989, 192с.
. Электронный
ресурс #"820404.files/image236.jpg">
Рисунок А. Робокар со сменным роликовым столом.
Грузоподъёмность: 900кг.
Размеры столов (длина х ширина):
для транспортировки кассет: 1300 х 900 мм;
для транспортирования плит-спутников: 500 х 600 мм.
Скорость передвижения: 2 м/с
ПРИЛОЖЕНИЕ В.
Варианты
компоновочных решений
Вариант №1
Длина цеха - 190 м.
Рисунок
В.1. Компоновочный вариант цеха механообработки №1.
Вариант
№ 2
Длина
цеха - 177 м.
Рисунок
В.2. Компоновочный вариант цеха механообработки №2.
В
качестве наиболее рационального решения благодаря более компактному способу
расстановки обрабатывающих модулей и более удобным путям перемещения
робототележек был выбран вариант №2.