Цена и ценовая политика. Анализ рынка и конкуренции

  • Вид работы:
    Контрольная работа
  • Предмет:
    Маркетинг
  • Язык:
    Русский
    ,
    Формат файла:
    MS Word
    38,19 Кб
  • Опубликовано:
    2014-08-30
Вы можете узнать стоимость помощи в написании студенческой работы.
Помощь в написании работы, которую точно примут!

Цена и ценовая политика. Анализ рынка и конкуренции

МИНИСТЕРСТВО ОБРАЗОВАНИЯ И НАУКИ УКРАИНЫ ДОНБАССКИЙ ГОСУДАРСТВЕННЫЙ ТЕХНИЧЕСКРШ УНИВЕРСИТЕТ

КАФЕДРА МАРКЕТИНГА







Контрольная работа по дисциплине "Маркетинг"



Выполнил: ст. гр. ГИ-10-1

Войченко Г.О.

Проверил: Куликова Н.А.








Алчевск 2014

Задача №1

Определение потенциала (емкости) рынка

Существует пять методов для его определения. Определим потенциал рынка каждым из методов на примере наручных механических часов

РЕШЕНИЕ:

По структурным характеристикам - данный метод предусматривает учет общего объема производства продукции, ее экспорта, государственного и негосударственного импорта, остатков продукции на складах производственных и торговых организаций, а также изменения государственных запасов за этот же период.

Таким образом, суммарная емкость рынка определенного товара определяется как:


где ПТ = 150000 шт/год - объем производства определенного товара в определенном регионе;

ЭГ и ЭНГ - экспорт товара соответственно государственными и негосударственными организациями;

ИГ и ИНГ - импорт товара соответственно государственными и негосударственными организациями;

 - остатки товара на складах производственных и торговых организаций соответственно на начало и конец отчетного периода;

 - остатки государственных товаров соответственно на начало и конец отчетного периода;

По индексу исследовательской панели - данный метод предусматривает проведение многоразовых опросов, которые называют панелью. Панель - вид непрерывной выборки. Исследование рынка базируется на информации, например, на панели продавцов о средних объемах продаж розничного магазина:


где IP - индекс исследовательской панели;

М3 = 20 шт. - общее количество розничных магазинов, которые реализуют конкретный товар;= 12 месяцев - период, на протяжении которого накапливается информация про панель, мес.

Индекс исследовательской панели характеризует общий объем продаж одного розничного магазина, который входит в панель, и рассчитывают его так:


где остатки продукции на складах i-го магазина соответственно на начало и конец отчетного периода;

 

 

 

 

     

Пi - объем продаж i-го магазина за этот же период;

П1 = 148 шт.; П2 = 161 шт.; П3 = 95 шт.; П4 = 103 шт.; П5 = 125 шт.;

П6 = 82 шт.; П7 = 111 шт.; П8 = 118 шт.; П9 = 90 шт.; П10 = 74 шт.

Мн = 10 шт. - количество розничных магазинов, которые входят в панель.

По уровню интенсивности потребления товара - основными параметрами для расчета среднегодовой ёмкости рынка по данным интенсивности потребления товара являются количество потребителей продукции (N = 3500), средняя стоимость товара, потребляемая одним покупателем (С = 650 грн) и средняя продолжительность полного цикла эксплуатации товара (Пт = 5 года):


По сумме первичной, повторной и дополнительной продажи - всех потребителей делят на тех, кто впервые приобретает продукцию (рынок первичной продажи - Пп = 3400 человек), кто повторно приобретает товар на замену старому (повторная продажа - Пв = 2850 человек), и тех, кто приобретает дополнительный товар к уже имеющемуся (дополнительная продажа - Пд = 120 человек). Величину емкости рынка определяем как:

= Пп + Пв + Пд = 3400 + 2850 + 120 = 6370 человек

Методом цепных отношений - этот метод предусматривает последовательную декомпозицию спроса для товаров производственного и потребительского назначения.

Qp = N · Д · q1 · q2 · q3 · q4 = 2500000·9000·0,01·0,42·0,3 = 28350000 грн.

где N = 2,5 млн. чел. - численность населения;

Д = 9000 грн/год. - доход на душу населения;= 1% - доля средств, тратящихся на часы;= 42% - доля затрат на наручные часы;= 30% - доля затрат на механические часы;

Задача №2

Товары

Параметры

Цена, грн

Ассортимент, баллы


Точность хода, баллы

Удобство, баллы

Надежность, баллы

Доп. функц., баллы



Casio

80

75

92

93

1400

80

Q&Q

65

70

81

73

1100

65

Rolex

90

84

80

3000

50


Построим радограмму:

Рисунок 1 - Радограмма

- «Casio» -        «Q&Q»      - «Rolex»

Из данной радограммы видно, что наиболее оптимальной покупкой являются часы « », т.к. площадь на радограмме наибольшая.

Задача №3

Цена и ценовая политика

Факторы, влияющие на выбор методов ценообразования предприятия: влияние цены на других участников рыночной деятельности, тип рынка - чистая конкуренция.

Ценовая политика предприятия реализовывается через стратегию стабильных цен, которая предусматривает продажу товаров по неизменной цене на протяжении длительного периода времени. Метод ценообразования на предприятии - по среднему уровню издержек плюс прибыль, сущность которого заключается в начислении определенных наценок на себестоимость товара.

Ценовая стратегия, проводимая конкурентами: стратегия дифференцированных цен, т.е. установление определенных шкал возможных скидок и надбавок к среднему уровню цены для различных рынков, сегментов и покупателей, а также стратегия стабильных цен.

Определение цены товара для получения максимальной прибыли:

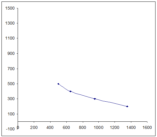
Установлено, что продукцию фирмы «Microsoft» приобретают в среднем 500 человек по цене 500 гривен, при цене 400 гривен - 650 человек, при цене 300 гривен - 950 человек, при цене 210 гривен - 1400 человек. Количество товара на складе - 1000 шт. По какой цене следует продавать товар, чтобы получить максимальную прибыль?

Представим приведенные в условии задачи цифры, а также получающуюся при этом выручку в виде таблицы:

Цена товара, грн

Количество покупателей

Выручка, грн

500

500

250000

400

650

260000

300

950

285000

210

1400

294000


Из таблицы видно, что с уменьшением цены товара количество потребителей и выручка увеличиваются.

Построим график зависимости количества покупателей от цены товара


Экстраполируя по графику, получим, что реализация всего товара будет при цене - 200 гривен. При этом обеспечивается выручка:

1000 × 200 = 200000 грн.

Определение оптимальной партии товара:

Торговой фирме необходимо сделать заказ предприятию-изготовителю на поставку одного из видов товара. Годовая стоимость заказа равна 200 тыс. грн. Стоимость издержек изготовления партии товаров - 12000 грн. Стоимость издержек хранения товаров - 20% (0,2). Стоимость одной единицы товара - 300 грн.

Какова стоимость оптимальной партии товара и ее натуральный объем?

Стоимость оптимальной партии товара (ПОПТ) рассчитывается по формуле:

,

где Г - годовая стоимость заказа

Изг - стоимость издержек изготовления партии товара

Хр - стоимость издержек хранения товара.


Объем партии товара при этом равен:


Задача №4

Анализ рынка и конкуренции

Теоретическая часть

1.1 Конкурентом фирмы "Casio" выступает фирма "Q&Q". Данное предприятие использует стратегию "дробления цен". Данная стратегия предполагает установление диапазона цен на товары таким образом, чтобы их ряд был достаточно дифференцирован.

Для получения максимально возможной прибыли данное предприятие имеет большое количество возможных торговых точек, а также постоянно обновляемый ассортимент. Следовательно, предприятие способно реагировать на изменение внешних условий. Приведем примеры реакции на изменение внешних условий:

увеличение производимой продукции;

увеличение ассортимента;

расширение рынков сбыта;

увеличение качества производимого товара и т.д.

В зависимости от системы, которое использует данное предприятие, будет изменяться его стратегия.

1.2 Перечислим виды существующих конкурентов на рынке:

"Q&Q";

"RADO";

"ORIENT", и т.д.

На данном рынке присутствует чистая конкуренция.

1.3 Данный товар пользуется спросом у покупателей, которых можно разделить по возрастной категории:

покупатели 15-30 лет;

покупатели 35-50 лет;

Факторы, формирующие покупательское предпочтение:

род занятий;

возрастная категория;

уровень качества продукции;

уровень дохода.

определение критерия сегментирования;

выбор метода и осуществление сегментирования рынка;

интерпретация полученных сегментов и разработка профилей групп потребителей;

оценивание сегментов рынка;

выбор целевого сегмента;

позиционирование товара.

.5 Оценка привлекательности для данного вида товара состоит в следующем: потребитель смотрит на внешний вид товара, а также на надежность, долговечность работы и точность.

Сегментирование рынка по потребителям осуществляется по следующим критериям: демографический, социально экономический, психографический.

.6 Во время планирования маркетинговой деятельности фирме необходимо выделить своих основных покупателей, а также определить как осуществляется процесс покупки.

.7 Данная отрасль находится на стадии насыщения.

.8 Стратегия позиционирования - «по характеристикам товара».

. Позиционирование товара

Положение товара на рынке определяется несколькими факторами: степенью восприятия его рынком, преимуществом данного товара перед конкурентами, но наиболее важным фактором является цена. Покупатели обычно считают, что цена отображает уровень качества. Поэтому простейшим способом позиционирования товара является расположение всех товаров конкурентов в порядке убывания цены .

Для дальнейшего исследования имиджа товара необходимо количественно оценить разницу между ценами. Расположение товаров станет следующим путем:

"RADO" - 90

"Q&Q" - 85

"Casio" - 83

"ORIENT" - 73

Позиционируя свой товар, таким образом, мы видим, что он занимает место прямо посередине между своими конкурентами.

Допустим, товар фирмы "Casio" имеет значительное преимущество перед товаром фирмы "ORIENT", а главным конкурентом нашего товара является товаром фирмы " Q&Q ". Сравним наш товар с конкурентами.

Рассмотрим другой метод, широко используемый для сравнения товаров конкурентов (таблица 2.1). В первой графе перечислены товары-конкуренты, а в других графах - их ключевые преимущества. Если товар обладает таким преимуществом, то в соответствующей графе делается пометка.

Таблица 2.1-Сравнение товаров-конкурентов

Товар

Точность хода

Удобство

Дизайн

Цена

"RADO"

+

+

+


"Q&Q"


+

+


"Casio"

+

+

+

+

"ORIENT"




+


Сегментация рынка

Исходные данные для сегментирования рынка (объем продаж, шт.) приведены в табл. 3.1.

Таблица 3.1- Данные о продаже часов

Годовой доход семьи, тыс. грн.

Возраст покупателей, лет.


20-25

26-30

31-40

41-50

51-60

Свыше 60

До 5

5

2

6

9

11

15

6…10

3

6

9

6

12

11

11…15

9

16

21

18

9

16…20

13

15

6

9

22

9

21…25

13

12

15

14

14

7

Свыше 25

----

----

4

4

11

-----


В табл. 3.2 приведено сегментирование рынка по двум критерим-признакам: годовому доходу семьи; возрасту покупателей.

Таблица 3.2- Данные о продаже часов

Годовой доход семьи,  тыс. грн.

20-25

26-30

31-40

41-50

51-60

Свыше 60

Итого

До 5

5

2

11

9

6

15

48

6…10

3

6

12

6

9

11

47

11…15

9

16

18

11

21

9

84

16…20

13

15

22

9

6

9

74

21…25

13

12

14

14

7

75

Свыше 25

----

----

11

4

4

-----

19

итого

43

51

88

53

61

51

347


Границы целевого рынка выделены в табл.2. максимальные усилия и ресурсы предприятию следует направлять на удовлетворение вкусов покупателей возрастной категории 31-40 лет, с годовым доходом семьи 11-15 тыс. грн.

Задача №5

Сбытовая политика и организация

Сбыт, для предприятия "CASIO", осуществляется самим предприятием. Предприятие производимую продукцию продает в месте изготовления. Ответственность по продаже товара лежит на руководящем маркетингом или сбытом, в зависимости от масштабов и специфики фирмы. Процесс организации управления сбытовым аппаратом состоит из таких этапов: постановка целей, определение принципов деятельности, выбор системы оплаты рабочих , выбор торговых агентов, учеба персонала, организация деятельности, отчет, анализ, контроль, оценка эффективности работы.

Выбор сегмента или района.

Для каждого района в результате проведения маркетинговых исследований известны изменения в условиях реализованного товара. Интенсивность покупки товара в среднем одним покупателем за год(J1)грн,/пок., выиграли или потеряли доли рынка в результате конкуренции производителей товара(С). Все данные района приведены на территориальной схеме региона.

Таблица 1-Данные по районам      

Район 1

Район 3

α=320 тыс.покупателей Ј=635 грн./год D= + 0,2 С=120 тыс. грн.

α=368 тыс.покупателей Ј=395 грн./год D= - 0,1 С= 135тыс.грн

Район 2

Район 4

α=451 тыс.покупателей Ј=580 грн./год D= - 0,3 С=185тыс.год

α=234 тыс. покупателей Ј=250 грн./год D= - 0,2 С= 92тыс.грн.


Определить район, в котором выгоднее всего реализовывать всю партию нового товара, какова будет величина объема чистых продаж.

Решение

Критерии оптимума реализации определяем как:

V=[α·I·(1±d)-c],

Где V-объем чистых продаж;

V1=[320000·635000·(1+0,2)-120000]=24383988000грн.

Аналогично рассчитываем: V2=182921000грн.

V3=130689000 грн.

V4=46708000 грн.

Максимальная выгода на реализацию нового товара приходится на 1й район, где объем продаж составляет 24383988000грн.

2. Имеется два производимых товара (книги и тетради) и три потребителя товара(1,2,3). Все элементы канала распределения действуют независимо, каждый производитель располагает определенным количеством товара 130 и 90 у.е. Каждый потребитель готов приобрести определенную часть этого товара:100,70,50грн.. Относительная величина прибыли (эффективность каждого из производителей при продаже товара каждому из потребителей приведена в таблице 2).

Таблица 2- Эффективность производителей


1

2

3

Книги

12

8

14

Тетради

10

4

16


Какая организация каналов наиболее выгодна?

Решение

При горизонтальной организации товара распределение товаров каждый из производителей стремится направить свой товар таким каналом, чтобы обеспечить себе наибольшую прибыль. При этом интересы производителей сталкиваются - один и тот же канал может оказывать привлекательность для каждого производителя, а пропускная способность для каждого канала ограничена.

В итоге распределение один из вариантов показан на рисунке 2.

Рисунок 1- Горизонтальное товарораспределение

 При этом производитель книг получает прибыль равной сумме произведенных единиц товара направляемых каждому из потребителей на соответствующие эффективности.

Ркн.=12·100+30·8=1440грн.

Ртетр.=10·30+4·40+16·50=1540грн.

Производитель тетрадей оказался в выигрыше.

Рассмотрим возможное организационное распределение товара по вертикали.

Рисунок 2- Вертикальное товарораспределение

В этом случае распределение товара осуществляется в интересах системы в целом: при этом суммарная прибыль обоих производителей будет максимальной. Для нахождения такого оптимального распределения используются социальные методы, но в простейших задачах данного типа решение может быть получено путем подбора на рисунке 3, показано оптимальное распределение величина суммарной прибыли обоих производителей товаров равна:

Это существенно меньше, чем в горизонтальном товарораспределение. Разделим общую прибыль пополам, в итоге получим 1140грн. Следовательно, горизонтальное распределение выгоднее на:

-1140=400грн.

Задача №6

Реклама, продвижение товара и стимулирование сбыта

рынок цена сбыт конкурент

1. Для стимулирования сбыта клавиатур «Microsoft-355» предприятие "Microsoft" проводит разнообразные акции. Например, при покупке клавиатуры, можно выиграть один из 5000 призов; а так же бесплатно получаете оригинальную мышь "Microsoft".

. Упор в рекламе продукции предприятия "Microsoft"делается на надежность товара, оригинальность, приемлемость в цене, а главное на высокое качество продукции. Кроме того, торговая марка "Microsoft" уже достаточно долго на рынке Украины и завоевана репутацию надежной организации по выпуску периферийных компьютерных устройств и программного обеспечения.

. Предприятие "Microsoft" рекламирует свою продукцию на телевидении (50% от общей суммы затрат на рекламу, т.к. это одна из самых действенных форм рекламы), в газетах и журналах (25%), в сети магазинов (25%). Широта охвата - по всему миру.

Похожие работы на - Цена и ценовая политика. Анализ рынка и конкуренции

 

Не нашли материал для своей работы?
Поможем написать уникальную работу
Без плагиата!
Без нейросетей!