Маркетинговый план развития ООО 'Лейтц Инструменты' на период 2012-2013 годов

  • Вид работы:
    Курсовая работа (т)
  • Предмет:
    Маркетинг
  • Язык:
    Русский
    ,
    Формат файла:
    MS Word
    294,26 Кб
  • Опубликовано:
    2014-07-22
Вы можете узнать стоимость помощи в написании студенческой работы.
Помощь в написании работы, которую точно примут!

Маркетинговый план развития ООО 'Лейтц Инструменты' на период 2012-2013 годов

Оглавление

1. Описание предприятия и области деятельности

.1 Общие сведения о предприятии

.2 Определение миссии и стратегической цели предприятия

.3 Оценка слабых и сильных сторон предприятия, описание конкурентных преимуществ и недостатков

. Анализ рынка и конкурентов

.1 Описание целевого сегмента

.2 Оценка размеров и прибыльности выбранного сегмента рынка, характеристика спроса и прогноз динамики его изменения в будущем

.3 Анализ конкурентной ситуации в сегменте

. Определение основных стратегических решений

. Товарная политика

.1 Краткое описание товара и товаров-конкурентов

.2 Отличия от существующих товаров конкурентов

.3 Степень защищенности товара или производственного процесса

.4 Сравнение товаров-конкурентов

. Дистрибуционная политика

. Ценовая политика

. Политика продвижения

Литература

1. Описание предприятия и области деятельности


.1 Общие сведения о предприятии

ООО "Лейтц Инструменты" - это дочернее предприятие концерна "Лейтц Групп" (Германия). Основным направлением деятельности компании является производство, продажа дереворежущих инструментов и их обслуживание.  ООО "Лейтц Инструменты" предлагает своим клиентам более 10 000 позиций инструментов со склада в Москве и на заказ.

Сервисный центр, открывшийся в Москве в сентябре 2003г. Это предприятие использующее оборудование, технологии и стандарты качества, принятые на головном предприятии концерна. Сотрудники сервиса прошли обучение и аттестацию в образовательном центре LEITZ (г. Оберкохен, Германия).  Сервисный центр "Лейтц Инструменты Москва" это высокое качество обслуживания любого дереворежущего инструмента.  Высочайший уровень работ с алмазным инструментом.

Предприятие расположено по адресу: г.Москва, ул.Котляковская, дом 3 строение 1.

1.2 Определение миссии и стратегической цели предприятия


Миссия :

Концерн "Лейтц Групп" располагает предприятиями в Европе, Америке и Азии, а также многочисленными сбытовыми фирмами и сервисными центрами во всем мире, где концентрируются или создаются новые значительные места расположения предприятий соответствующих отраслей промышленности. Группа предприятий

Концерн "Лейтц Групп" с персоналом 4500 сотрудников обеспечивает ежегодный оборот в размере более чем 450 млн. евро.

Концерн "Лейтц Групп" понимает себя для своих клиентов как гарант функциональности, надежности процесса и рентабельности. Наряду с обширной программой изделий предлагаются консультационные услуги, посредством которых фирма передает клиентам свой многодесятилетний опыт по обращению с инструментами. К этим консультационным услугам относятся наряду с рекомендациями по обычной покупке инструментов, также и по управлению инструментальным хозяйством. Вместе с программным обеспечением и складированием.

Кроме того, Концерн "Лейтц Групп" заботиться об инжиниринге проектов и технологических процессов для экономически эффективной эксплуатации предприятия, держит в курсе происходящего сотрудников своих клиентов посредством предоставления им самых новых сведений о технологии производства и соединяет отдельные модули услуг в обширную систему менеджмента «инструмент-процесс».

Спектр изделий охватывает весь ассортимент прецизионных станочных инструментов для обработки массивной древесины , древесных материалов и пластиков. К клиентуре относятся промышленные предприятия и ремесленные мастерские из области обработки древесины и пластиков, которые используют инструменты Концерна "Лейтц Групп", например, при производстве окон и деревянном домостроении, при обработке плит и изготовлении мебели.

Высококачественный инструмент может работать хорошо только тогда, когда он обслуживается и содержится в исправности. Поэтому Концерн "Лейтц Групп" предлагает во всем мире квалифицированное восстановление инструментов, чтобы полностью использовать их параметры на всем протяжении цикла жизни. Экспедиторская служба Концерна "Лейтц Групп" дополняет этот профессиональный сервис и заботиться о том, чтобы клиент как можно скорее смог снова использовать свои инструменты.

Стратегическая цель:

ООО "Лейтц Инструменты", представляющее интересы Концерна "Лейтц Групп" в России на период 2012 - 2013 годов имеет стратегической целью сохранить лидирующие позиции в отрасли.Сохранить занимаемую долю рынка инструмента для обработки древесины и пластмасс в пределах не менее 35 %.Получить в 2012 - 2013 финансовых годах выручку в пределах 120 -130 % от показателей 2011 года.

.3 Оценка слабых и сильных сторон предприятия, описание конкурентных преимуществ и недостатков

имидж предприятия, положение на рынке:

Предприятие является лидером рынка в своем сегменте. Во главу угла ставится качество, к каждому клиенту находится свой подход. Специалисты ООО «Лейтц» выезжают на предприятия клиентов для того, чтобы точно подобрать инструмент ООО «Лейтц» к оборудованию.ю используемому на предприятиях клиентов.

финансовое положение, среднийуровень рентабельности:

ООО «Лейтц» является частью единого организма Лейтц Групп и использует передовые технологии как в производстве, так и в продвижении своей продукции, что приводит к рентабельности деятельности ООО «Лейтц»на уровне 20-22%.

имеющиеся производственные мощности, качественный состав оборудования, используемые технологии, производственные площади, наличие резервов, уровень компьютерного оснащения:

ООО «Лейтц» оснащено современным оборудованием для обработки металла, твёрдого сплава и алмазов. 80 % станков оборудованы системой ЧПУ. При этом не оборудованы ЧПУ только те станки, на которых использованеи системы ЧПУ не целесообразно для решаемых ООО «Лейтц» задач. Система лроектирования, система контроля качества, система логистики и система продвижения продукции компьютеризированы полностью.

квалификация производственного персонала, культура производства, организация системы качества;

Персонал ООО «Лейтц» прошел стажировку в учебном центре Лейтц Групп Оберкохен. Все сотрудники имеют профильное образование и высокий квалификационный уровень.

организация системы снабжения, взаимосвязь с поставщиками, надежность поставок материалов и комплектующих:

ООО «Лейтц Инструмент» в Москве поддерживает постоянную связь с Лейтц Групп в г. Оберкохен в Германии. Германия срок поставок комплектующих и материалов из Оберкохена не боле 2 недель. ООО «Лейтц Инструмент» не имеет возможности пользоваться услугами других поставщиков, так как является частью Концерна "Лейтц Групп" и гарантирует своим клиентам качество продукции на уровне станартов Концерна "Лейтц Групп" обеспечиваемое соблюдением технологий и использованием оригинальных материалов.

маркетинг и сбыт, интенсивность рекламы,мероприятия стимулирования сбыта, организация каналов сбыта готовой продукции:

ООО «Лейтц» отслеживает появление на рынке новых предприятий, занимающихся обработкой пластмасс и древесины и адресно предлагает им свои услуги в широком спектре. К каждому клиенту находится индивидуальный подход.

ООО «Лейтц» предлагает как стандартный инструмент, произведенный на заводе Лейтц Групп в Оберкохен, так и инструмент, изготовленный специально для решения технологических задач, стоящих перед клиентом и ориентированным на используемое клиентом оборудование.

Кроме продаж практикуется лизинг инструмента.

организация сервисного обслуживания, ассортимент сервисных услуг, предоставляемые гарантии, анализ рекламаций потребителей:

Весь инструмент, используемый клиентом ООО «Лейтц», подлежит обслуживанию в сервисном центре ООО «Лейтц Инструмент» в Москве. Клиенту предлагается заточка инструмента, ремонт, адаптирование интсрумента под определенное оборудование, а также балансировка инструмента и нанесение на инструмент защитных покрытий.

уровень НИОКР, интенсивность обновления ассортимента, наличие патентов и ноу-хау:

В ООО «Лейтц Инструменты» постоянно работает технический отдел, в функции которого входит разработка нового режущего инструмента, контроль и модернизация, используемых в ООО «Лейтц» технологических процессов по изготовлению и обслуживанию режущего инструмента. Наличие постоянной связи с головным предприятем Лейтц Групп даёт возможность поддержания используемых в ООО «Лейтц Инструменты» технологий на уровне технологий головного предприятия.

эффективность управления предприятием:

ООО "Лейтц Инструменты" имеет линейно функциональную систему управления. ООО "Лейтц Инструменты" состоит из пяти отделов, возглавляемых начальниками отделов. Генеральное руководство ООО "Лейтц Инструменты" осуществляет Генеральный директор. В ООО "Лейтц Инструменты" нет лишних сотрудников. Персональный состав отделов минимизирован. Работа всех отделов строится на новейших технологических разработках. Регулярно проводятся мероприятия по оптимизации работы отделов и всей организации.

Вывод:

ООО "Лейтц Инструменты" имеет положительный имидж, устойчивое финансовое положение, эффективные производственные мощности и квалифицированный персонал. В вопросах снабжения ООО "Лейтц Инструменты" полностью зависит от Концерна "Лейтц Групп". В вопросах маркетинг, сбыта и организация сервисного обслуживанияООО "Лейтц Инструменты"ведёт гибкую, ориентированную на интересы клиента политику.В ООО «Лейтц Инструменты» постоянно ведётся работа в области НИОКР.В ООО «Лейтц Инструменты»регулярно проводятся мероприятия по оптимизации работы отделов и всей организации.

Изложенные выше обстоятельства показывают, что ООО «Лейтц Инструменты» имеет возможность, при правильном выборе направлений своего развития, реализовать свои планы на 2012 - 2013 года.

товарный ценовой конкурентоспособность рынок

 

2. Анализ рынка и конкурентов


.1 Описание целевого сегмента:

ООО «Лейтц Инструменты» работает на рынке промышленного инструмента для обработки дерева и пластика. Налоговые льготы на отрасль не распространяются. Потребителями услуг ООО «Лейтц Инструменты» являются промышленные предприятия, производящие товары широкого потребления (окна, двери, мебель и т.д.). Учитывая необходимость поддержания высокого уровня профессионализма во всех подразделениях организаций, работающих в отрасли, уровень зарплат несколько выше среднего уровня по рынку труда.

описание характера спроса:

Спрос на продукцию ООО «Лейтц Инструменты» зависит от спроса на продукцию предприятий-потребителей услуг, оказываемых ООО «Лейтц Инструменты».

выбор целевого сегментарынка - определение критериев сегментации, краткое описание потребителей выбранных сегментов и их особенностей:

ООО «Лейтц Инструменты» работает в V.I.P. сегменте отрасли.Это обусловлено тем, что ООО «Лейтц Инструменты» предлагает своим клиентам дорогой высокотехнологичный инструмент. Главными отличиями инструмента Лейтц являются повышенные значения рекомендуемых режимов эксплуатации(т.е. повышенная производительность при использовании этого инструмента), увеличенные интервалы между переточками инструмента, увеличенный ресурс переточек инструмента. Использование такого инструмента гарантирует клиенту повышение производительности, но требует от него увеличения вкладываемых в производство средств.

описание входных и выходных барьеров:

Входным барьером на рынке является необходимость установки дорогостоящего оборудования, найма высококвалифицированного персонала, а также необходимость наличия у компании, планирующей войти в рынок патентов и ноу-хау на ряд специфических изделий и услуг широко используемых в отрасли.

Выходным барьером является необходимость избавления, от дорогостоящего оборудования, являющегося специализированным под данную отрасль.

.2 Оценка размеров и прибыльности выбранного сегмента рынка, характеристика спроса и прогноз динамики его изменения в будущем

Выбранный сегмент (V.I.P.инструмент для промышленной обработки пластмасс и древесины) растет примерно на 10% в год. Это связано со снижением себестоимости и повышением качества продукции, которые получают предприятия, перешедшие на использование передового, высокотехнологичного инструмента, предлагаемого ООО «Лейтц Инструменты» и его ближайшими конкурентами.

определение общей емкости целевого сегмента:

По данным аналитического исследования отдела продаж ООО «Лейтц Инструменты», общая стоимость товаров, приобретаемых потребителями сегмента в России, по итогам 2011 года составила 288000000 рублей

оценка прибыльности сегмента:

Работа в сегменте даёт прибыль 15-25% в год. Платежеспособность потребителей сегмента зависит от положения дел на рынке изделий из древесины и пластмасс, средняя рентабельность продаж составляет 20%.

Проведение внутренних мероприятий по оптимизации технологических процессов и повышению производительности труда, в совокупности с ростом рынка, может привести к повышению рентабельности до 30% в год.

тенденции развития сегмента:

Поскольку более 90% российских предприятий, потенциально являющихся клиентами ООО «Лейтц Инструменты», используют морально устаревший инструмент и оборудование, в то время как лидируют именно предприятия использующие передовой инструмент. Сегмент имеет потенциал роста 10 - 15% в год, по крайней мере, в среднесрочной перспективе.


Вывод: Исследуемый сегмент имеет высокие входные и выходные барьеры, не зависит от сезонности и имеет потенциал роста в среднесрочной перспективе. Сегмент характеризуется жесткой высокотехнологичной конкуренцией. Сильные участники данного сегмента имеют стабильный высокий доход.

2.3 Анализ конкурентной ситуации в сегменте


Текущая конкурентная ситуация:

описание существующих конкурентов:

Наиболее серьезными конкурентами ООО «Лейтц Инструменты» в регионе являются Лейко Групп Конфуций Групп. Конкурентная борьба идет очень интенсивно. Все три компании применяют дифференцированный подход к клиенту, имеют хорошо известные бренды, патенты и ноу-хау, предлагают клиентам полный спектр инструмента и приспособлений, используемых в отрасли.

ООО «Лейко Груп»уступает ООО «Лейтц Инструменты» в занимаемой доле рынка алмазного инструмента и уступает в сегменте изготовления инструмента на заказ, но превосходит ООО «Лейтц Инструменты» в доле продаж и обслуживания твердосплавного инструмента.

ООО «Конифуций Групп» уступает ООО «Лейко Груп» и ООО «Лейтц Инструменты» в доле занимаемого рынка по всем занимаемым сегментам, но превосходит обоих конкурентов по темпам роста. ООО «Конифуций Групп» в отличие от ООО «Лейко Груп»и ООО «Лейтц Инструменты» не имеет в регионе серьезного сервисного центра, но имеет широкую сеть аутсерсинга.

сила влияния покупателей:

Влияние покупателей в отрасли очень велико, так как крупные предприятия занимают более половины рынка. Для того, чтобы затруднить покупателям переход на использование продукции конкурентов ООО «Лейтц Инструменты», как и другие участники рынка, заключает со своим клиентом договор на комплексное долгосрочное обслуживание, предоставляет скидки на обслуживание инструмента, приобретенного у ООО «Лейтц Инструменты».

сила влияния поставщиков - количество и размер поставщиков основных материалов, значение для поставщика объемов закупки, издержки переключения на других поставщиков:

ООО «Лейтц Инструменты» является частью Концерна «Лейтц Групп» и использует систему логистики Лейтц Групп, переход на использование услуг других поставщиков для ООО «Лейтц Инструменты» невозможен. Система логистики Лейтц Групп. Функционирует четко и предсказуемо, что позволяет ООО «Лейтц Инструменты» выполнять договоренности с клиентами.

сила влияния государства и общественных организаций:

Отрасль, в которой работает ООО «Лейтц Инструменты», не является бюджетообразующей в России, и поэтому внимание государственных органов на ней не заострено. Требования налогового кодекса Российской Федерации ООО «Лейтц Инструменты» исполняет в полном объеме.

Профсоюзная деятельность внутри ООО «Лейтц Инструменты» запрещена «Коллективным Договором» между администрацией и трудовым коллективом. Трудовые споры в ООО «Лейтц Инструменты» решаются в рамках «Коллективного Договора» на совете трудового коллектива.

Динамика изменения конкурентной ситуации в будущем:

стратегия дальнейшего развития основных конкурентов :

Все основные конкуренты разрабатывают и реализуют мероприятия, направленные на увеличение своей доли рынка, изыскивая возможности выведения на рынок новых видов инструмента. Вероятность появления новых товаров в сегменте высока.

Вероятность изменения рамочных условий невелика, поскольку отрасль не является для России основной и действующие в ней законодательные нормативные акты работают предсказуемо.

вероятность появления новых конкурентов - зависит от величины входных барьеров и привлекательности сегмента:

В данном случае вероятность появления новых конкурентов в сегменте достаточно высока, поскольку рынок растёт и имеет серьёзный потенциал роста. Наиболее вероятно появление новых конкурентов из других стран, поскольку фирмы, работающие в аналогичном сегменте у себя на родине, обладают оборудованием и ноу-хау, необходимыми для преодоления входных барьеров рынка.

Угроза интеграции вверх со стороны бывших поставщиков, а также угроза интеграции вниз со стороны бывших потребителей маловероятна так как такая интеграция по сути является перепрофилированием.

вероятность появления новых товаров-субститутов:

Все основные конкуренты разрабатывают и реализуют мероприятия, направленные на развития производственных, товарных технологий, появления новых материалов либо комбинации существующих технологий, изыскивают возможности выведения на рынок новых видов инструмента. Вероятность появления новых товаров в сегменте высока.

тенденции изменения общих рамочных условий:

Вероятность изменения налогового законодательства, ужесточения требований к охране окружающей среды и невелика, поскольку отрасль не является для России основной и действующие в ней законодательные нормативные акты функционируют корректно и предсказуемо.

Описание факторов конкурентоспособности (сравнение исследуемого предприятия и 2-х предприятий - конкурентов)


Вывод:

ООО «Лейко Груп» опережает ООО «Лейтц Инструменты» в организации системы снабжения и в объёмах финансирования, благодаря тому, что ООО «Лейко Груп» содержит в Москве большие складские помещения. ООО «Лейтц Инструменты» предпочитает работать «на заказ», этот принцип негативен в вопросе гибкости поставок, но позитивен в вопросе оптимизации использования вложенных средств.

ООО «Конифуций Групп» в отличие от ООО «Лейтц Инструменты» и ООО «Лейко Груп» основной упор в своей деятельности в России делает на организацию системы снабжения, маркетинга и сбыта.Такая политика поволяет ООО «Конифуций Групп» обогнать ближайших конкурентов в темпах роста объёмов продаж, но не даёт возможности обогнать их по причине отставания в основных фундаментальных параметрах.

ООО «Лейтц Инструменты» является лидером сегмента потому, что лидирует в ряде основных параметров и по сумме баллов в целом.

3. Определение основных стратегических решений

Определение основных стратегических решений проводится на основе анализа сильных и слабых сторон предприятия, а также опасностей и возможностей, находящихся во внешней среде предприятия, методом построения матрицы.

Таблица 1. SWOT- Анализ ООО «Лейтц Инструменты»

Сильные стороны

№ эксперта


Экс. 1

Экс. 2

Экс. 3

Экс. 4

Экс. 5

Сред. знач.

1.

Свежий парк станочного оборудования

5

4

5

3

4

4,2

2.

Использование единой локальной сети всеми отделами предприятия

4

4

3

5

4

4

3.

Высокая квалификация рабочих и ИТР

5

5

3

4

5

4,4

4.

Возможность проектирования и изготовления инструмента по эскизу клиента

5

5

3

5

5

4,6

5.

Использование современных технологий

5

5

4

4

5

4,6

Слабые стороны

№ эксперта


Экс. 1

Экс. 2

Экс. 3

Экс. 4

Экс. 5

Сред. знач.

1.

Низкое качество технического обслуживания станочного парка

3

3

2

3

4

3

2.

Высокий процент некорректно оформленных заказов

3

2

3

3

3

2.8

3.

Отсутствие персональной ответственности ИТР за ошибки в проектировании

3

2

3

3

3

2.8

4.

Зависимость от поставок комплектующих с головного предприятия

4

3

4

3

3

3.4 

5.

Несоблюдение исполнения сроков заказов

4

4

3

3

4

3.6

Возможности

№ эксперта


Экс. 1

Экс. 2

Экс. 3

Экс. 4

Экс. 5

Сред. знач.

1.

Рост рынка

5

5

4

5

4

4.6

2.

Увеличение инвестиций со стороны учредителя

4

4

4

4

4

4

3.

Получение с головного предприятия нового оборудования

4

3

4

5

4

4

4.

Рост производственных мощностей предприятий-клиентов

3

3

3

2

4

3

5.

Уход с рынка конкурента

2

2

3

4

4

3

Угрозы

№ эксперта


Экс. 1

Экс. 2

Экс. 3

Экс. 4

Экс. 5

Сред. знач.

1.

Выход на рынок нового конкурента

3

3

3

3

3

3

2.

Продвижение конкурентом новых товаров

4

4

4

4

4

4

3.

Рост курса евро к рублю (повышение цен на сырье)

2

3

4

2

3

3

4.

Инфляция в России (снижение покупательной способности потребителей)

3

3

3

5

3

3.4

5.

Повышение таможенных барьеров

2

2

3

2

1

2



Анализ матрицы позволяет выделить наиболее значимые факторы в каждом из четырёх квадратов:

Ø  Конкурентные активы. Использование преимуществ компании (сильных сторон) для освоения рыночных возможностей (S-O):

Наиболее выгодным действием в этом квадрате, с учётом наибольших значений в ячейках «6:1», «6:3», «6:4», «6:5», представляется концентрация усилий на захвате максимально возможной доли в приращении рынка опираясь на возможности свежего станочного парка, высокую квалификацию сотрудников, возможность создавать инструмент по эскизам клиента и использование современных технологий.

Ø  Конкурентные пассивы. Преодоление недостатков компании (слабых сторон) для нивелирования угроз (W-T):

Наиболее выгодным действием в этом квадрате, с учётом наибольших значений в ячейках «2:1», «2:3», «2:4», «2:5», представляется концентрация усилий на уменьшении степени зависимости компании от сроков поставки комплектующих из Германии и оптимизации сроков исполнения заказ. Необходимость этих действий обусловлена как необходимостью быстрого реагирования на появление новых товаров-конкурентов, так и стремлением минимизировать потери, обусловленные быстрым темпом инфляции в России.

Ø  Узкие места. Преодоление недостатков компании (слабых сторон) для освоения возможностей (W-O):

Наиболее выгодным действием в этом квадрате, с учётом наибольших значений в ячейках «6:9», «6:10», «7:9», «7:10», представляется концентрация усилий на проведении внутренних мероприятий по уменьшению степени зависимости компании от сроков поставки комплектующих из Германии и оптимизации сроков исполнения заказ. Необходимость этих действий обусловлена как необходимостью быстрого реагирования на потребности растущего рынка, так и необходимостью эффективного освоения новых инвестиций.

Ø  Безопасность и защита. Использование преимуществ компании (сильных сторон) для нивелирования угроз (S-T):

Наиболее выгодным действием в этом квадрате, с учётом наибольших значений в ячейках «5:1», «5:2», «5:3», «5:4», «5:5», представляется концентрация усилий на использовании находящихся в России производственных возможностей для удовлетворения максимального количества потребностей компаний-клиентов. Необходимость этих действий обусловлена необходимостью быстрого реагирования на появление новых товаров-конкурентов.

Оценки привлекательности выбранного сегмента рынка:

Ёмкость и прибыльность рынка:

Общая стоимость товаров, приобретаемых потребителями сегмента в России, по итогам 2011 года составила 288000000 рублей

Работа в сегменте даёт прибыль 15-25% в год.Платежеспособность потребителей сегмента зависит от положения дел на рынке изделий из древесины и пластмасс, средняя рентабельность продаж составляет 20%.

Проведение внутренних мероприятий по оптимизации технологических процессов и повышению производительности труда, в совокупности с ростом рынкаможет привести к повышению рентабельности до 30% в год.

Динамика роста рынка, стадия жизненного цикла:

Поскольку более 90% российских предприятий, потенциально являющихся клиентами ООО «Лейтц Инструменты», используют морально устаревший инструмент и оборудование, в то время как лидируют именно предприятия использующие передовой инструмент. Сегмент находится в стадии роста и имеет потенциал роста 10 -15 % в год, по крайней мере, в среднесрочной перспективе.

Сезонность спроса и зависимость от сбыта на другие товары:

Спрос на продукцию предприятий, работающих в исследуемом сегменте, не имеет серьёзной зависимости от сезона. Основными потребителями продукции сегмента являются крупные предприятия, занимающие более половины рынка. Спрос на продукцию инструментальных компаний, работающих в отрасли, зависит от спроса на продукцию предприятий - клиентов.

Величины входных и выходных барьеров:

Входным барьером на рынке является необходимость установки дорогостоящего оборудования, найма высококвалифицированного персонала, а также необходимость наличия у компании, планирующей войти в рынок патентов и ноу-хау на ряд специфических изделий и услуг широко используемых в отрасли.

Выходным барьером является необходимость избавления, от дорогостоящего оборудования, являющегося специализированным под данную отрасль.

В данном случае вероятность появления новых конкурентов в сегменте достаточно высока, поскольку рынок растёт и имеет серьёзный потенциал роста. Наиболее вероятно появление новых конкурентов из других стран, поскольку фирмы, работая в аналогичном сегменте у себя на родине, обладают оборудованием и ноу-хау, необходимыми для преодоления входных барьеров рынка.

Интенсивность конкуренции в целевом сегменте и динамика ее изменения в будущем:

Все основные конкуренты разрабатывают и реализуют мероприятия, направленные на увеличение своей доли рынка, изыскивая возможности выведения на рынок новых видов инструмента. Вероятность появления новых товаров в сегменте высока. Вероятность появления новых конкурентов в сегменте также достаточно высока, поскольку рынок растёт и имеет серьёзный потенциал роста.

Влияние поставщиков, конечных потребителей и государства:

Влияние поставщиков в отрасли очень велико, потому, что большинство участников рынка являются дочерними предприятиями крупных иностранных компаний и используют исключительно комплектующие своих материнских компаний, что является частью их рыночного имиджа. Переход на использование в своей работе продукции сторонних поставщиков для большинства участников рынка невозможен.

Влияние покупателей в отрасли очень велико, так как крупные предприятия занимают более половины рынка. Для того, чтобы затруднить покупателям переход на использование продукции конкурентов ООО «Лейтц Инструменты», как и другие участники рынка, заключает со своим клиентом договор на комплексное долгосрочное обслуживание, предоставляет скидки на обслуживание инструмента, приобретенного у ООО «Лейтц Инструменты».

Отрасль, в которой работает ООО «Лейтц Инструменты», не является бюджетообразующей в России, и поэтому внимание государственных органов на ней не заострено. Требования Налогового кодекса Российской Федерации и других нормативных актов, регулирующих работу отрасли, в последние годы серьёзным изменениям не подвергались.

Вывод: Стратегическая цель поставленная руководством Концерна "Лейтц Групп" передООО "Лейтц Инструменты", представляющем интересы Концерна "Лейтц Групп" в России на период 2012 - 2013 годов, может быть достигнута, если руководство ООО "Лейтц Инструменты" успешно реализует мероприятия, описанные в резолютивной части приведённого выше SWOT- Анализа.

Стратегическая цель: ООО "Лейтц Инструменты", представляющем интересы Концерна "Лейтц Групп" в России, на период 2012 - 2013 годов, имеет стратегическую цель: сохранить лидирующие позиции в отрасли. Сохранить занимаемую долю рынка инструмента для обработки древесины и пластмасс в пределах не менее 35 %. Получить в 2012 - 2013 финансовых годах выручку в пределах 120 -130 % от показателей 2011 года.

4. Товарная политика


Товарная политика, проводимая ООО "Лейтц Инструменты", будет рассмотрена на примере двузубых концевых фрез для обработки древесины с напайными алмазными зубьями.


.1 Краткое описание товара и товаров-конкурентов

Двузубые концевые фрезы для обработки древесины с напайными алмазными зубьями используются для высокоскоростной фасонной обработки древесного массива, панелей из древесноволокнистой плиты и панелей из мелко дисперсионной древесной фракции.

Технические характеристики:

Название: двузубая концевая фреза для обработки древесины с напайными алмазными зубьями.ID №810.060.064.

Назначение: используются для высокоскоростной фасонной обработки древесного массива, панелей из древесноволокнистой плиты и панелей из мелко дисперсионной древесной фракции.

Набор функциональных свойств: фрезаID №810.060.064 предназначена для обработки материала торцевой и боковой поверхностью;

Dmax рабочей части 30 мм;

Dmin рабочей части 30 мм;

D цилиндрического хвостовика 20 мм;

рекомендуемая частота вращения шпинделя 12500 оборотов в минуту;

рекомендуемая подача: 0, 2 - 0,02 мм/оборот (в зависимости от плотности обрабатываемого материала);

допустимо врезание на всю длину режущей кромки;

Качество, внешнее оформление, упаковка: вся продукция, предлагаемая ООО "Лейтц Инструменты" своим клиентам соответствует стандартам ISO,DIN, а также внутренним (более строгим) стандартам Лейтц Групп; каждое изделие, произведённое ООО "Лейтц Инструменты" имеет на корпусе гравировку с логотипом фирмы и номером инструмента, снабжено паспортом инструмента и помещено в индивидуальную упаковку (деревянный футляр с внутренней мягкой отделкой);

Сопутствующие услуги, техническое обслуживание: ООО "Лейтц Инструменты" предлагает своим клиентам, наряду со стандартным инструментом Лейтц, разработку и изготовление специального инструмента для удовлетворения индивидуальных потребностей потребителя. ООО "Лейтц Инструменты" обеспечивает поставленный инструмент гарантией качества и сервисным обслуживанием в течении всего жизненного цикла инструмента.

.2 Отличия от существующих товаров конкурентов

Принципиальное отличие двузубых концевых фрез для обработки древесины с напайными алмазными зубьями от аналогичных фрез с зубьями из твердосплавных пластин, заключается в повышенной стойкости режущей кромки, что позволяет существенно увеличивать производительность работы инструмента, а также в насколько раз увеличивать ресурс работы инструмента между переточками.

4.3 Степень защищенности товара или производственного процесса

во-первых весь инструмент, производимый ООО "Лейтц Инструменты", имеет на корпусе гравировку с логотипом фирмы и номером инструмента;

во-вторых инструмент, производимый ООО "Лейтц Инструменты" не распространяется через розничные торговые сети и не продаётся предприятиям посредникам. ООО "Лейтц Инструменты" предлагает свой инструмент непосредственно предприятиям-потребителям, обеспечивая поставленный инструмент гарантией и сервисным обслуживанием в течении всего жизненного цикла инструмента.

.4 Сравнение товаров-конкурентов

Для сравнения товаров-конкурентов необходимо выделить существенные критерии сравнения и рассчитать коэффициенты их значимости. В данной ситуации наиболее удобно использовать метод парного сравнения:

Таблица 2.

Параметры

1

2

3

4

5

Р


1.Частота вращения шпинделя


0,4

0,2

0,2

0,7

1,5

4

0,15

2. Скорость подачи

0,6


0,2

0,2

0,7

1,7

3

0,17

3. Ресурс одной заточки

0,8

0,8


0,4

0,8

2,8

2

0,28

4. Ресурс переточек

0,8

0,8

0,6


0,8

3

1

0,3

5. Цена изделия

0,3

0,3

0,2

0,2


1

5

0,1

10


1


Сравнение товаров-конкурентов удобно проводить методом балльной оценки. В процессе реализации этого метода строим графики распределения баллов по каждому из рассматриваемых параметров, для трёх аналогичных изделий, произведённых фирмами-конкурентами.


По результатам исследования мы можем произвести расчеты по оценке качества и конкурентоспособности рассмотренных концевых фрез, произведённых конкурирующими производителями:

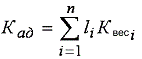
Качество продукции - совокупность свойств, обусловливающих способность продукции удовлетворять определенные потребности в соответствии с ее назначением.


Фi - значение частной целевой функции i-го показателя качества изделия;

Квесi - параметр весомости i-го показателя качества изделия;

Ф - общее число целевых функций подлежащих учету.

По результатам расчетов выделяем два лучших варианта изделий-конкурентов. В данном случае это фрезы произведённые ООО "Лейтц Инструменты" и ООО «Лейко Груп».

Фреза, произведённая ООО "Лейтц Инструменты" превосходит аналог, произведённый ООО «Лейко Груп» по показателю качества.

Сводим результаты исследования в итоговую таблицу:

Таблица 3.

Параметры


Лейтц

Лейко

Конифуций

1.Частота вращения шпинделя

0,15

8,3

8

6,7

2. Скорость подачи

0,17

8

7,5

6

3. Ресурс одной заточки

0,28

9,3

9

8

4. Ресурс переточек

0,3

8,3

6,7

5

5. Цена изделия

0,1

4

5

8

Качество()47,536,233,7




Ранг

1

2

3

Определим конкурентоспособность исследуемой фрезы, произведённая ООО "Лейтц Инструменты" по сравнению с аналогом, произведённымООО «Лейко Груп»

Конкурентоспособность - это совокупность свойств изделия (конструкции машины), отражающая его отличия от изделия - конкурента как по степени соответствия потребностям покупателя, так и по затратам на ее удовлетворение.

)оценка по выражению аддитивной свертки частных критериев.

 ,

)оценка по выражению мультипликативной свертки частных критериев эффективности.


)расчет среднего арифметического коэффициентов конкурентоспособности:


Выводы по оценке конкурентоспособности: Ккс >1следовательно фреза, произведённая ООО "Лейтц Инструменты", находящаяся в числителе, более конкурентоспособна, относительно аналога, произведённого ООО «Лейко Груп», находящегося в знаменателе. Фреза, произведённая ООО "Лейтц Инструменты" превосходит аналог, произведённый ООО «Лейко Груп» по показателю конкурентоспособности.

Вывод: Продукция ООО "Лейтц Инструменты" уступает ближайшим конкурентам в ценовом критерии, но опережает продукцию конкурентов по ряду важнейших технологических параметров. Рассматриваемый в данном сегменте инструмент изначально дороже товаров-заменителей и цена на него является не самым значимым критерием. Проведенное исследование показало, что лидирующие позиции в данном сегменте занимает продукция ООО "Лейтц Инструменты".

5. Дистрибюционная политика

Отдел продаж ООО "Лейтц Инструменты"отслеживает появление на рынке новых предприятий - потребителей и адресно предлагает им те виды продукции, которые смогут наиболее полно и точно удовлетворить их потребности. При этом применятся гибкая система скидок, инструмент доставляется курьерской службой ООО "Лейтц Инструменты", наряду с продажей клиентам предлагается инструмент в лизинг.

ООО "Лейтц Инструменты" гибко подходит к потребностям каждого клиента, поэтому понятие «минимальный объем партии» для ООО "Лейтц Инструменты" не существует. Очень часто потребители, получившие бесплатно одну пилу, впоследствии становились крупными постоянными клиентами.

Периодичность поставок готовой продукции (возможность организации поставок по принципуjust-in-time) является одним из принципов работы ООО "Лейтц Инструменты". Это крайне удобно для клиентов, многие из которых практикуют непрерывное производство.

Организация сервисного обслуживания предприятий-клиентов осуществляется по удобному для клиента графику. Курьерская служба ООО "Лейтц Инструменты" забирает у клиента инструмент на обслуживание и доставляет его обратно.

6. Ценовая политика


ООО "Лейтц Инструменты" работает в растущем сегменте рынка, часто выходит с инновациями и имеет возможность устанавливать цены по своему усмотрению.

Встратегии ценообразования ООО "Лейтц Инструменты" придерживается политики премиальных цен при стратегии дифференцирования. ООО "Лейтц Инструменты" не боится устанавливать самую высокую цену в сегменте, зная, что эта цена подкреплена исключительными технологическими качествами продукции.

ООО "Лейтц Инструменты" ведет со своими клиентами гибкую кредитную политику, использует как предоплатную, так и постоплатную систему расчетов.

 

7. Политика продвижения


ООО "Лейтц Инструменты" не использует в своей работе размещение рекламы в СМИ широкого потребления и на телевидении. ООО "Лейтц Инструменты" размещает свою рекламу исключительно в специализированных журналах и на специализированных сайтах.

ООО "Лейтц Инструменты" является постоянным участником всех специализированных выставок.

ООО "Лейтц Инструменты" продвигает свою продукцию, проводя рекламные акции адресно, предлагая потенциальным предприятиям-клиентам бесплатно испробовать в своей работе инструмент, произведенный ООО "Лейтц Инструменты".

Таблица 4. Расчет затрат на рекламу

Каналы распространения рекламы

Стоимость изготовления

Стоимость 1 размещения

Частота повторов/ обновлений

Длительность рекламы

Общая стоимость

1.Реклама в специализированных журналах

5500 руб.

3000 руб.

1 раз в месяц (в каждом номере журнала)

1 год

3000х12+5500=41500 руб.

2.Реклама на специализированных сайтах в сети интернет

10000 руб.

5000 руб.

Постоянная вкладка

1 год

5000х12+10000=70000 руб.

3. Реклама в процессе участия в специализированных выставках

1000 руб.*

1000 руб.**

4 раза в год

1 год

1000х4+1000= 5000 руб.

Итого

 

 

 

 

136500 руб.

 *сумма определена условно путём деления затрат на изготовление экспозиции к выставке на количество выставляемых изделий.

**сумма определена условно путём деления затрат на участие в выставке на количество выставляемых изделий.

Таблица 5. Расчет затрат на стимулирование сбыта

Методы стимулирования сбыта

Кол-во

Стоимость

Сумма

1. Методы стимулирования потребителей 1.1. Предоставление предприятиям-клиентам новых видов продукции бесплатно, либо со значительной скидкой. 1.2. Предоставление предприятиям-клиентам новых видов услуг бесплатно, либо со значительной скидкой.

   20    20

   25000 руб.    5000руб.

  500000руб.    100000руб.

2. Участие в выставках 2.1.Проведение в ходе специализированных выставок демонстрационных показов технологических возможностей представляемого инструмента. 2.2. Проведение в ходе специализированных выставок мероприятий по доведению до сведения представителей предприятий-клиентов и представителей потенциальных предприятий-клиентов информации о технологических возможностях ООО "Лейтц Инструменты" и спектре предоставляемых представляемой организацией услуг.

 40     40

 1000руб.     1000руб.

 40000руб.     40000руб.

Итого

 

 

680000 руб.


Таблица 6.Связи с общественностью

Описание намеченных PR-мероприятий

Планируемые затраты, руб.

1. Проведение презентации новой продукции 2. Проведение добровольной сертификации

 60000 руб. 100000 руб.

Итого

160000 руб.


Суммарные затраты на маркетинг 976500 руб.

Общие выводы по проекту

В данном проекте разработан маркетинговый план развития ООО "Лейтц Инструменты на период 2012 - 2013 годов. Исполнение изложенных в настоящем проекте рекомендаций целесообразно для достижения Стратегической цели, поставленной руководством Концерна "Лейтц Групп" перед ООО "Лейтц Инструменты".

Литература


1)      Котлер Ф. Маркетинг менеджмент. Экспресс- курс. 2-е изд./Пер. с англ. Под ред. С.Г. Божук. СПб.: Питер, 2006.- 464 с.

2)      Фахтутдинов Р.А. Стратегический маркетинг. 4-е изд. СПб.: Питер, 2007.- 352 с.

)        Маркетинг: учебное пособие для вузов /М.Н. Григорьев. - М.: Гайдарики, 2006. - 366 с.

)        Промышленный маркетинг: учеб. пособие для ВУЗов/ А.А. Туличенков, Г.В.Красовский, С.Д. Вайс и др. - М.: ДРОФА, 2005. - 256 с.

)        Производственный маркетинг: учеб. пособие для ВУЗов/ А.А. Корниенко, И.М. Толкачева. - М.: Станкин, 2005. - 256 с.

Похожие работы на - Маркетинговый план развития ООО 'Лейтц Инструменты' на период 2012-2013 годов

 

Не нашли материал для своей работы?
Поможем написать уникальную работу
Без плагиата!
Без нейросетей!