Структура и назначение отчета об изменении капитала

  • Вид работы:
    Курсовая работа (т)
  • Предмет:
    Финансы, деньги, кредит
  • Язык:
    Русский
    ,
    Формат файла:
    MS Word
    88,48 Кб
  • Опубликовано:
    2014-09-22
Вы можете узнать стоимость помощи в написании студенческой работы.
Помощь в написании работы, которую точно примут!

Структура и назначение отчета об изменении капитала

МИНИСТЕРСТВО ОБРАЗОВАНИЯ И НАУКИ РОССИЙСКОЙ ФЕДЕРАЦИИ

Тульский филиал федерального бюджетного образовательного учреждения высшего профессионального образования

"Российский экономический университет имени Г.В. Плеханова"

Кафедра финансов и банковского дела





КУРСОВАЯ РАБОТА

по дисциплине: "Финансовый анализ"

на тему: "Структура и назначение отчета об изменении капитала"


Выполнена студенткой 4 курса

Очной формы обучения

Специальность "Финансы и кредит"

Кухарчук Ю.В.

Содержание

 

Введение

. Структура и назначение отчета об изменении капитала

. Расчетная часть

.1 Краткая характеристика предприятия

.2 Оценка состава и динамики имущества и источников его образования

.3 Расчет чистых активов предприятия

.4 Оценка ликвидности баланса

.5 Анализ финансовой устойчивости предприятия

.6 Оценка деловой активности организации

.7 Анализ эффективности производства (прибыли и рентабельности)

.8 Прогноз банкротства

Заключение

Список литературы

Приложение

Введение

Одним из важных компонентов финансовой отчетности является "Отчет об изменениях капитала", который показывает владельцу финансовой отчетности подробную информацию о всех существенных изменениях в финансовом положении компании. Таким образом, позволяет своевременно принять необходимые меры для улучшения финансового состояния предприятия.

Актуальность курсовой работы состоит в том, что собственнику организации необходима информация о произведенных в течение отчетного периода расходах в разрезе экономических элементов по всей совокупности предпринимательской деятельности, независимо от их назначения и содержания. Только таким образом можно обеспечить формирование точных и достоверных показателей о стоимости активов и величине конечного финансового результата деятельности организации за отчетный период.

Цель курсовой работы заключается в определение сущности и назначения отчета об изменениях капитала.

Для осуществления этой цели необходимо выполнить следующие задачи:

.        Определить структуру и назначение отчета об изменении капитала;

.        Провести анализ основных экономических показателей деятельности предприятия.

Структура курсовой работы:

Глава 1. Теоретическая часть.

Структура и назначение отчета об изменении капитала.

Глава 2. Расчетная часть.

Объект курсовой работы - финансово-хозяйственная деятельность предприятия.

Предмет курсовой работы - экономический, финансовый, информационный анализ финансового состояния предприятия.

1. Структура и назначение отчета об изменении капитала

Отчет об изменениях капитала относится к пояснениям к бухгалтерской отчетности и представляет собой отдельную форму бухгалтерской отчетности - форму № 3. Выделение показателей собственного капитала организации и сведений о прочих фондах и резервах в отдельную форму отчетности связано с важностью информации для разных пользователей о состоянии и движении составных частей собственного капитала организации.

Пояснения к бухгалтерскому балансу и отчету о прибылях и убытках должны раскрывать дополнительные данные об изменениях в капитале организации.

Отчет об изменениях капитала показывает его увеличение или уменьшение за период в увязке с величиной капитала на начало и конец отчетного периода. Этот отчет связан с разделом III и некоторыми статьями раздела V пассива бухгалтерского баланса и дополняет информацию об остатках капитала на дату баланса информацией о его движении в течение отчетного периода.

В этом отчете постатейно показывают капитал организации, его остатки на начало периода (графа 3), поступление (графа 4) и использование (графа 5) в отчетном году, а также остатки на конец года (графа б).

Капитал в отчете сгруппирован в три раздела (капитал, резервы предстоящих расходов, оценочные резервы) и представлен следующими статьями, представленными на рисунке 1.

Рис. 1 - Структура отчета об изменениях капитала

Таким образом, по бухгалтерской отчетности можно провести анализ по изменению капитала. На рисунке 2 представлены показатели изменения капитала.

Рис. 2 - Показатели увеличения капитала

Рис. 3 - Показатели уменьшение капитала

В отчете об изменениях капитала отражается увеличение или уменьшение слагаемых собственного капитала (уставного, резервного, добавочного, нераспределенной прибыли), а также создание и использование резервов организации.

Требования по показателям в отчете об изменениях капитала:

Рис.4 - Показатели в отчете об изменениях капитала

Таким образом, Отчет об изменениях капитала состоит из 2 разделов и справки. Формат представления числовых показателей в разделах I "Изменение капитала" и II "Резервы" различен. В I разделе приводятся данные за отчетный и предшествующий отчетному периоды с учетом событий после отчетной даты, приводящих к изменениям капитала. В разделе II величина резервов раскрывается балансовым методом: остаток на начало года, поступило, использовано, остаток на конец года, по каждому виду резервов. По справочному показателю приводится показатель чистых активов общества и раскрывается информация об использовании средств, полученных из бюджета и внебюджетных фондов.

В разделе I "Изменения капитала" отражается наличие и движение всех составляющих собственного капитала организации: уставного капитала, добавочного капитала, резервного фонда, нераспределенной прибыли (непокрытого убытка). Структура таблицы позволяет увидеть, за счет каких факторов или источников меняется величина уставного, добавочного и резервного капитала, а также нераспределенной прибыли (непокрытого убытка). По строкам, указывающим остатки на 31 декабря и 1 января, учитываются суммы капитала, соответствующие сальдо по счетам 80 "Уставный капитал", 82 "Резервный капитал", 83 "Добавочный капитал", 84 "Нераспределенная прибыль (непокрытый убыток".

На размер уставного капитала может повлиять:

дополнительный выпуск акций или уменьшение их количества;

увеличение или уменьшение номинальной стоимости акций;

реорганизация организации.

Размер добавочного капитала может измениться в результате:

пересчета иностранных валют;

получения эмиссионного дохода;

направления его части на увеличения уставного капитала;

погашения убытка, выявленного по результатам работы организации за год. Резервный капитал может возрасти за счет отчислений от прибыли и сократиться за счет погашения убытка, выявленного по результатам работы организации за год.

Величина нераспределенной прибыли (непокрытого убытка) зависит:

от финансовых результатов отчетного года;

от размера выплаченных дивидендов;

от отчислений в резервный фонд;

от последствий реорганизации организации.

Кроме того, размеры капитала, отраженные во вступительном сальдо на 1 января отчетного года, могут отличаться от размеров, которые зафиксированы в заключительном сальдо на 31 декабря предыдущего года. Это произойдет в двух случаях:

при переоценки основных средств (ПБУ 6/01);

при внесении изменений в учетную политику (ПБУ 1/98).

Показатели, раскрываемые в отчетности, должны быть исчислены по одинаковой методике. Указанные изменения капитала, относящиеся к событиям после отчетной даты, отражаются в первых строках отчета об изменениях капитала:

остаток на 31 декабря года, предшествующего предыдущему;

изменения в учетной политике;

результат переоценки основных средств;

остаток на 1 января предыдущего года.

2. Расчетная часть

.1 Краткая характеристика предприятия

Предприятие ООО "Страна развлечения" является развлекательным центром населения в г. Тула.

Досунговый цент ООО "Страна развлечения" состоит из нескольких заведений: Казанова, Суши Хаус, Сан Ремо, Де пари, Кинотеатр Октябрь. Созданный досунговый центр организован для единого комплекса взаимосвязанных услуг. Деятельность ООО "Страна развлечения" заключается в организации досуга для населения, удовлетворение духовных потребностей, формирование здорового образа жизни. Общество создано путем учреждения. Общество осуществляет свою деятельность на основании Устава. В Уставе отражаются все виды деятельности, которыми может заниматься организация, отражены ее цели, правовой статус.

Основным видом деятельности ООО "Страна развлечения" является деятельность ресторанов быстрого питания и развлекательного цента населения.

Цель Общества - удовлетворение потребностей в развлечении и проведении досуга населения. Для компании не существует не нужных клиентов. Компания стремится предложить наилучшие решения, удовлетворяющие оптимальному соотношению цена-качество-сроки исполнения заказов. Старается установить со всеми гостями досугового центра партнерские отношения и создает все условия, чтобы работать с ней было удобно, приятно и выгодно.

Самый ценный капитал компании - это сотрудники. Их опыт, квалификация и преданность компании позволяют решать самые сложные задачи. Трудовые отношения регулируются действующим законодательством о труде. Работники принимаются на работу и увольняются с работы директором в соответствии со штатным расписанием.

Имущество фирмы составляют основные и оборотные средства, а также иные ценности, стоимость которых отражается на самостоятельном балансе предприятия и формируется из собственных и заемных средств. Финансовые ресурсы предприятия формируются за счет прибыли от его деятельности.

Таким образом, ООО "Страна развлечения" является самостоятельной хозяйственной единицей, действующей на основе полного хозяйственного расчета, самофинансирования и самоокупаемости.

Основные экономические показатели следует представить в таблице 1.

Таблица 1 - Динамика основных экономических показатели предприятия

Показатель

2011

2012

2013

Абсолютное отклонение

Темп роста, %

Абсолютное отклонение

Темп роста, %













2012/ 2011

2012г/2011

2013/ 2012

2013г/2012

 Выручка от продаж, тыс. руб.

5682584

6970856

8858601

1288272,00

123

1 887 745

127

Среднесписочная численность персонала, чел.

284

284

283

0,00

100

-1

100

Среднемесячная выработка 1 работника, тыс. руб.

1667,4249

2045,44

2610,79

378,02

123

565

128

 Среднемесячная заработная плата 1 работника, тыс. руб.

25000

25000

27000

0,00

100

2 000

108

Соотношение темпов роста заработной платы и производительности труда, раз

0,97

0,97

0,86

0,00

100

0

89

Среднегодовая стоимость основных средств, тыс. руб.

67414

77182

72981,5

9768,00

114

-4 201

95

Фондоотдача, руб./руб.

84,29

90,32

121,38

6,03

107

31

134

Себестоимость продаж, тыс. руб.

5087688

6233888

8042866

1146200,00

123

1 808 978

129

 Прибыль от продаж, тыс. руб.

14595

16005

20421

1410,00

110

4 416

128

 Рентабельность продаж, %

0,002

0,002

0,002

0,00

100

0

100

 Чистая прибыль, тыс. руб.

7791

6949

10841

-842,00

89

3 892

156

 Рентабельность активов, %

0,18

0,008

0,007

-0,17

4

0

88


Из данных таблицы 1 видно, что за 2013 г. выручка от продаж составила 8858601 тыс. руб., что значительно увеличилась по сравнению с 2012 г. (на 1 887 745 тыс. руб. 127 %). Прибыль от продаж увеличилась в 2013 г на 4 416 тыс. руб. (128%), по сравнению с 2012г.

.2 Оценка состава и динамики имущества и источников его образования

Для оценки состава и динамики имущества и источников его образования предприятия необходимо провести анализ следующих показателей:

. Анализ изменения в составе актива баланса;

2.      Анализ изменения в составе пассива баланса;

.        Абсолютное и относительное изменение отдельных статей (горизонтальный баланс);

4.      Абсолютное и относительное изменение отдельных статей пассива. Рассмотрим состав и структура актива баланса (табл.2).

Таблица 2 - Состав и структура актива баланса предприятия, тыс. руб.

Проанализируем детально изменение состава и структуры внеоборотных и оборотных средств.

Таблица 3 - Состав и структура внеоборотных и оборотных средств предприятия, тыс. руб.


По таблице 3 видно, что общая величина имущества предприятия в абсолютном выражении в 2013 году увеличилась на 669 870 тыс.руб. по сравнению с 2012г. Это произошло за счет увеличения оборотных активов на 670 269 тыс. руб. (133%), а именно запасов на 255 204 124%, дебиторской задолженности на 429 838 тыс.руб. (0155%). Проведем анализ изменения состава и структуры пассива баланса (табл. 21)

Таблица 4 - Состав и структура пассива баланса, тыс. руб.


.3 Расчет чистых активов предприятия

Расчет чистых активов предприятия представлен в таблице 5.

Таблица 5 - Расчет чистых активов предприятия, тыс. руб.

№ п/п

Наименование показателя

На 31 декабря 2013

На 31 декабря 2012

На 31 декабря 2011

1

2

3

4

5

1

Активы

 

 

 

2

Нематериальные активы

 

 

 

3

Основные средства

72 782

73 181

81183

4

Незавершенное строительство

 

 

-

5

Доходные вложения в материальные ценности

-

-

-

6

Долгосрочные и краткосрочные финансовые вложения

 

 

 

7

Прочие внеоборотные активы, включая величину отложенных налоговых активов

 

 

 

8

Запасы

1 329 075

1 073 871

764 898

9

Налог на добавленную стоимость по приобретенным ценностям

54391

81208

82976

10

Дебиторская задолженность (за исключением задолженности участников по вкладам в уставный капитал)

1 212 661

782 823

664 729

11

Краткосрочные финансовые вложения

3 636

3 686

5 775

12

Денежные средства

95 287

90 444

42 126

13

Прочие оборотные активы

19 180

11929

15308

14

Итого активы, принимаемые к расчету

2 787 012

2 117 142

1 656 995

15

Пассивы

 

 

 

16

Долгосрочные обязательства по займам и кредитам

-

 

 

17

Прочие долгосрочные обязательства (включая величину отложенных налоговых обязательств и резервы под условные обязательства)

-

 

 

18

Краткосрочные обязательства по займам и кредитам

 

 

 

19

Кредиторская задолженность

2 761 158

2 102 130

1 648 942

20

Задолженность участникам (учредителям) по выплате доходов

-

-

-

21

Резервы предстоящих расходов

 

 

 

22

Прочие краткосрочные обязательства

 

-

 

23

Итого пассивы, принимаемые к расчету

2 761 158

2 102 130

1 648 942

24

Стоимость чистых активов общества (итого активов, принимаемых к расчету минус итого пассивов, принимаемых к расчету

25 854

15 012

8 053


Таким образом, стоимость чистых активов составляет по состоянию на 31.12.13 - 25 854 тыс.руб., на 31.12.12 - 15 012 тыс.руб., на 31.12.11 - 8 053 тыс.руб.

.4 Оценка ликвидности баланса

Анализ ликвидности предприятия приведен в таблице 6.

Таблица 6 - Анализ ликвидности баланса предприятия

Актив

Покрытие (Актив)

Пассив

Сумма обязательств (Пассив)

Разность (+, -)


2011 год

2012 год

2013 год


2011 год

2012 год

2013 год

2011 год

2012 год

2013 год

1

2

3

4

5

6

7

8

9

10

11

А1

47901

94130

98923

П1

1648942

2102130

2761158

-1601041

-2008000

-2662235

А2

680037

794752

1231841

П2

0

0

0

680037

794752

1231841

А3

847874

1155079

1383466

П3

0

0

0

847874

1155079

1383466

А4

81183

73181

72782

П4

8053

15012

25854

73130

58169

46928

Итого

1656995

2117142

2787012

Итого

1656995

2117142

2787012




Текущая ликвидность

Формула

(А1+А2) - (П1+П2)

2011

-921004

2012

-1213248

2013

-1430394

Перспективная ликвидность

Формула

А3 - П3

2011

847874

2012

1155079

2013

1383466

Общий показатель ликвидности

Формула

Кол = (A1+0,5 А2+0,3 А3)/(П1+0,5 П2+0,ЗП3).

2011

0,39

2012

0,40

2013

0,41

Коэффициент текущей ликвидности

Формула

Ктл = (А1+А2+А3)/(П1+П2)

2011

0,96

2012

0,97

2013

0,98

Коэффициент быстрой ликвидности

Формула

Кбл = (А1+А2)/(П1+П2).

2011

0,44

2012

0,42

2013

0,48

Коэффициент абсолютной ликвидности

Формула

Кал = А1/(П1+П2)

2011

0,03

2012

0,04

2013

0,04

Показатель ликвидности при мобилизации средств (Кш

Формула

Клм = А3/(П1+П2)

2011

0,51

2012

0,55

2013

0,50


.        За 2011 год баланс считается не абсолютно ликвидным, так как не выполняются первое и четвертое условие:

А1 ≥ П1 47901 < 1648942

А2 ≥ П2 680037 > 0

А3 ≥ П3 847874 > 0

А4 ≤ П4 81183 > 8053

2.      2. За 2012 год баланс считается не абсолютно ликвидным, так как не выполняются первое и четвертое условие:

А1 ≥ П1 94130 < 2102130

А2 ≥ П2 794752 > 0

А3 ≥ П3 1155079 > 0

А4 ≤ П4 73181 > 15012

3.      3. За 2013 год баланс считается не абсолютно ликвидным, так как не выполняются следующие первое и четвертое условие:

А1 ≥ П1 98923 < 2761158

А2 ≥ П2 1231841 > 0

А3 ≥ П3 1383466 > 0

А4 ≤ П4 72782 > 25854

Исходя из этого можно охарактеризовать ликвидность баланса предприятия как недостаточную. Показатели свидетельствуют о том, что в ближайший к рассматриваемому моменту промежуток времени предприятию не удастся поправить свою платежеспособность.

Таблица 7 - Показатели ликвидности баланса предприятия

Коэффициенты

2011 год

2012 год

2013 год

Абсолютное отклонение 2012/2011

Абсолютное отклонение 2013/2012

Нормальное ограничение

Ктл

0,96

0,97

0,98

0,02

0,01

1/2

Кбл

0,44

0,42

0,48

-0,02

0,06

Допустимое 0,7 ÷ 0,8 Желательное ≥1.5








Кал

0,03

0,04

0,04

0,02

-0,01

0.2 ÷ 0.7

Кол

0,39

0,40

0,41

0,01

0,01

≥1


Из таблицы видно 7, что все значения показателей не соответствуют нормальным ограничениям. Это означает, что предприятие не располагает свободными ресурсами, формируемыми за счет собственных источников.

Динамика коэффициентов показывает, что на протяжении всего периода положение на предприятии не улучшается.

.5 Анализ финансовой устойчивости предприятия

Для анализа финансовой независимости предприятия оценим показатели:

.        Коэффициент автономии

Ка=СК/ИС

Ка 2011 = 8053/1656995 = 0,005;

Ка 2012 = 15012/2117142 = 0,007;

Ка 2013 = 25854/2787012 = 0,009.

.        Коэффициент обеспеченности оборотного капитала собственными средствами (Ксок)

Ксок = СОК/ОА

СОК = (СК+ТП) - ВА

СОК2011 = (8053+1648942)-81183 = 1656995;

СОК2012 = (15012+2102130)-73181 = 2117142;

СОК2013 = (25854+2761158)-72782 = 2787012.

Ксок2011 = 1656995/1575812 = 1,052;

Ксок2012 = 2117142/2043961= 1,036;

Ксок2013 = 2787012/2714230= 1,027.

Коэффициент обеспеченности оборотного капитала собственными средствами выполняет рекомендуемое значение Ксок ≥ 0,1 (10%)

.        Коэффициент финансовой устойчивости

Кфу = (СК+ДО)/В

Кфу 2011 = 8053/1656995 = 0,005;

Кфу 2012 = 15012/2117142 = 0,007;

Кфу 2013 = 25854/2787012 = 0,009.

Значения коэффициентов, характеризующих финансовую устойчивость рассмотрим в таблице 8.

Таблица 8 - Анализ финансовой устойчивости

Показатель

Нормальное значение

2011 год

2012 год

2013 год

Абсолютное отклонение 2012/2011

Темп роста, % 2012/2011

Абсолютное отклонение 2013/2012

Темп роста, % 2013/2012

Коэффициент автономии

≥0,5

0,005

0,007

0,009

0,002

140

0,002

129

Коэффициент обеспеченности оборотного капитала собственными средствами

≥0,1

1,052

1,036

1,027

-0,016

98

-0,009

99

Коэффициент финансовой устойчивости

0,75-0,9

0,005

0,007

0,009

0,002

140

0,002

129


Из расчетов таблицы 8 можно сделать следующие выводы.

Коэффициент автономии в 2013 увеличился на 0,002, и показатель не имеет нормальное значение, которое говорит о нестабильном финансовом положении. Минимальное пороговое значение коэффициента автономии оценивается на уровне 0,5, на анализируемом предприятии меньше нормы.

Значение коэффициента финансовой устойчивости в 2011-2013 гг равное 0,005 - 0.009 свидетельствует о том, что предприятие не располагает достаточной величиной собственного капитала для обеспечения своей финансово-хозяйственной деятельности.

Коэффициент обеспеченности оборотного капитала собственными средствами (Ксок) за 2011-2013гг соответствуют минимальному значению данного коэффициента - 0,1.

Для характеристики финансовой ситуации на предприятии необходимо определить тип финансовой устойчивости.

Наличие собственных оборотных средств (СОС) определяется по формуле:

СОС = КС - АВ.

СОС2011 = 8053-81183 = -73130;

СОС2012 = 15012-73181 = -58169;

СОС2013 = 25854-72782 = -46928.

Таким образом, предприятие имеет абсолютную устойчивость финансового состояния и задается условием:

< СОС.

год 764898>-73130;

год 1073871>-58169;

год 1329075>-46928.

.6 Оценка деловой активности организации

Коэффициенты деловой активности:

. Коэффициент общей оборачиваемости капитала

Кок = N/B

Кок 2012= 6970856/2117142 = 3,29;

Кок 2013= 8858601/2787012 = 3,18.

. Коэффициент оборачиваемости мобильных средств (оборотных активов)

Комс = N/Zср + Rср

Комс 2012 = 6970856/ (1073871 +90444+11929) = 5,93;

Комс 2013 = 8858601/ (1329075 + 95287+19180) = 6,14.

2.7 Анализ эффективности производства (прибыли и рентабельности)

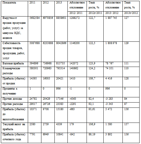
Таблица 9 - Динамика прибыли, тыс.руб.


Из данных таблицы 9 видно, что предприятие достигло высоких результатов хозяйственной деятельности в отчетном году по сравнению с прошлым, о чем свидетельствует увеличение общей суммы прибыли на 3 892 тыс. руб. или на 156%., прибыль до налогообложения увеличилась на 5472 тыс.руб. (156%), по отношению к предшествующему году.

Данный показатель увеличения прибыли получился за счет увеличения выручки от продаж продукции на 1 887 745 тыс.руб.( 127%).

Таблица 10 - Динамика показателей рентабельности предприятия, тыс.руб.

Показатели

Расчет

2011

2012

2013

Абсолютное отклонение

Темп роста, %

Абсолютное отклонение

Темп роста, %















2012/ 2011

2012г/2011

2013/ 2012

2013г/2012

1. Прибыль от продаж продукции (Пп)

 

14595

16005

20421

1 410

110

4 416

128

2. Прибыль чистая (Па)

 

7791

6949

10841

-842

89

3 892

156

3. Полная себестоимость (Сп)

 

5087688

6233888

8042866

1 146 200

123

1 808 978

129

4. Выручка от продажи продукции (В)

 

6970856

6970856

8858601

0

100

1 887 745

127

5. Величина собственного капитала (Кс)

 

8043

15012

25854

6 969

187

10 842

172

7. Итог баланса (Бср)

 

1656995

2117142

2787012

128

669 870

132

8. Величина оборотных активов (АО)

 

1575812

2043961

2714230

468 149

130

670 269

133

9. Величина внеоборотных активов (АВ)

 

81183

73181

72782

-8 002

90

-399

99

10. Рентабельность продукции (Рпр)

Рпр= Пп/Сп*100%

0,003

0,003

0,003

0

89

0,000

99

11. Рентабельность продаж (Рп)

Рп= Пп/В*100%

0,002

0,002

0,002

0

110

0,000

100

12. Рентабельность собственного капитала (Рск)

Рск= Па/Кс*100%

0,969

0,463

0,419

-1

48

-0,044

91

14. Рентабельность всего капитала (Рок)

Рок= Пп/Бср*100%

0,009

0,008

0,007

0

86

0,000

97

15. Рентабельность оборотных активов (Роб)

Роб= Пп/АО*100%

0,009

0,008

0,008

0

85

0,000

96

16. Рентабельность внеоборотных активов (Рв)

Рв= Пп/АВ*100%

0,180

0,219

0,281

0

122

0,062

128


По данным таблицы 10 видно, что все показатели рентабельности положительные, так как предприятие за анализируемый период получило прибыль. Прибыль от продаж продукции увеличилась на 128%.

.8 Прогноз банкротства

Общая формула расчета Z-счета, характеризующего экономическое состояние предприятия по модели Э.Альтмана:

Z = 6,56*Х1+3,26*Х2+6,72*Х3+1,05*Х4

Z = 6,56*Х1+3,26*Х2+6,72*Х3+1,05*Х4

Z = 6,56*0,0093+3,26*0,0093+6,72*0,0055+1,05*0,0094 = 0,14

Таким образом, Z = 0,14, менее нормы 1,23. Предприятие имеет Высокая степень угрозы банкротства.

Заключение

На предприятии ООО "Страна развлечения" в 2013 г. выручка от продаж составила 8858601 тыс. руб., что значительно увеличилась по сравнению с 2012 г. (на 1 887 745 тыс. руб. 127 %). Прибыль от продаж увеличилась в 2013 г на 4 416 тыс. руб. (128%), по сравнению с 2012г.

Предприятие достигло высоких результатов хозяйственной деятельности в отчетном году по сравнению с прошлым, о чем свидетельствует увеличение общей суммы прибыли на 3 892 тыс. руб. или на 156%., прибыль до налогообложения увеличилась на 5472 тыс.руб. (156%), по отношению к предшествующему году.

имущество актив ликвидность рентабельность

Список литературы

I. Нормативно-правовые акты

. Налоговый кодекс Российской Федерации от 31.07.1998 N 146-ФЗ.

2. Положение по бухгалтерскому учету "Расходы организации" ПБУ 10/99. (ред. от 27.04.2012).

3. Федеральный закон от 06.12.2011 N 402-ФЗ (ред. от 28.12.2013) "О бухгалтерском учете" (с изм. и доп., вступ. в силу с 01.01.2014).. Литература

1.   Баканов М.И. Теория экономического анализа: Учеб. для эконом. специальностей / М.И. Баканов, А.Д. Шеремет. - 4-е изд., доп. и перераб. - Москва: Финансы и статистика, 2012г.

2.      Басовский Л.Е. Теория экономического анализа: Учебное пособие. - М.: ИНФРА - М, 2011г.

.        Бланк И.А. Финансовый менеджмент: учеб. курс. - Киев.: "Эльга", 2011г.

.        Богатин Ю.В. Экономическая оценка качества и эффективности работы предприятия. - М.: ИНФРА М: 2012г.

.        Бухгалтерский учет: учебник/А.С.Бакаев - М.: "Бухгалтерский учет", 2009г.

.        Воронина Л.И. теория бухгалтерского учета: учеб. пособ. - М.: Эксмо, 2009г.

.        Мокий М.С. Экономика организации (предприятия): учебное пособие для студентов всех форм обучения: учебное пособие для студентов, обучающихся по направлению "Экономика" и другим экономическим специальностям / М.С. Мокий; Моск. акад. экономики и права. - Изд. 3-е, стер. - Москва: Экзамен, 2013г.

.        Савицкая Г.В. Экономический анализ: учеб. для студентов вузов, обучающихся по экон. направлениям и спец. / Г.В. Савицкая. - 10-е изд., испр. - Москва: Новое знание, 2011г.

.        Финансы: учебник для студентов экономических вузов / под ред. Г.Б. Поляка. - 3-е изд. - М: ЮНИТИ-ДАНА, 2011г.

.        Шеремет А.Д., Управленческий анализ на предприятиях связи: Учебное пособие/ под ред. А.Д. Шеремета. 2-е изд., испр. - М.: ИД ФБК-ПРЕСС, 2012г.

.        Экономика предприятия (фирмы): учебник для студентов высших учебных заведений, обучающихся по экономическим специальностям / [О.И. Волков и др.]; под ред. О.И. Волкова и О.В. Девяткина; Рос. экон. акад. им. Г.В. Плеханова. - 3-е изд., перераб. и доп. - Москва: ИНФРА-М, 2009г.

Приложение

 

Бухгалтерский баланс

 АКТИВ

Сумма, тыс. руб.


На 31 декабря 2013

На 31 декабря 2012

На 31 декабря 2011

I. Внеоборотные активы: -нематериальные активы -результаты исследований и разработок -основные средства -доходные вложения в материальные ценности -долгосрочные финансовые вложения -отложенные налоговые активы -прочие внеоборотные активы

   72782

   73181

   81183

Итого по разделу I

72782

73181

81183

II. Оборотные активы: -запасы, -налог на добавленную стоимость по приобретенным ценностям -дебиторская задолженность (платежи по которой ожидаются более чем через 12 месяцев после отчетной даты) -дебиторская задолженность (платежи по которой ожидаются в течение 12 месяцев после отчетной даты) -краткосрочные финансовые вложения -денежные средства -прочие оборотные активы

  1329075 54391  1212661   3636 95287 19180

  1073871 81208  782823   3686 90444 11929

  764898 82976  664729   5775 42126 15308

Итого по разделу II

2714230

2043961

1575812

БАЛАНС

2787012

2117142

1656995

 ПАССИВ

Сумма, тыс. руб.


На 31 декабря 2013

На 31 декабря 2012

На 31 декабря 2011

III. Капитал и резервы: -уставный капитал -собственные акции, выкупленные у акционеров -переоценка внеоборотных активов -добавочный капитал (без переоценки) -резервный капитал -нераспределённая прибыль (непокрытый убыток)

 20     25834

 20     14992

 10     8043

Итого по разделу III

25854

15012

8053

IY. Долгосрочные обязательства: -заёмные средства -отложенные налоговые обязательства -резервы под условные обязательства -прочие долгосрочные обязательства

 - - - -

 - - - -


Итого по разделу IY

-

-


Y. Краткосрочные пассивы: -заёмные средства -кредиторская задолженность -доходы будущих периодов -резервы предстоящих расходов -прочие краткосрочные обязательства

  2761158

  2102130

  1648942

Итого по разделу Y

2761158

2102130

1648942

БАЛАНС

2787012

2117142

1656995


Отчет о финансовых результатах

Наименование показателя

На 31 декабря 2013

На 31 декабря 2012

На 31 декабря 2011

Выручка от продаж продукции (работ, услуг) за минусом НДС, акцизов

5682584

6970856

8858601

Себестоимость продаж товаров, продукции, работ, услуг

5087688

6233888

8042866

Валовая прибыль

594896

736968

815735

Коммерческие расходы

580301

720963

795314

Прибыль (убыток) от продаж

14595

16005

20421

Проценты к получению

1

0

996

Прочие доходы

24792

20429

17146

Прочие расходы

29017

26726

23383

Прибыль (убыток) до налогообложения

10371

9708

15180

Текущий налог на прибыль

2580

2759

4339

Прибыль (убыток) отчетного года

7791

6949

10841


Похожие работы на - Структура и назначение отчета об изменении капитала

 

Не нашли материал для своей работы?
Поможем написать уникальную работу
Без плагиата!
Без нейросетей!