Маркетинговое исследование рынка питьевого коровьего молока в России
Государственное
образовательное учреждение высшего профессионального образования
«Поволжский
государственный университет телекоммуникаций и информатики»
Кафедра электронной коммерции
Предмет
Маркетинг
Курсовая
работа
Маркетинговое
исследование рынка питьевого молока в России
Проверил: к.э.н. Хасаншин И.А
Выполнил: Поленова А.А.
Самара
2013
Оглавление
Введение
ГЛАВА
1. ХАРАКТЕРИСТИКА ПРОДУКТА
.1
Свойства и области применения
.2
Структура затрат на производство продукта
.3
Уровень доходности
ГЛАВА
2. ОБЪЕМ И СТРУКТУРА РЫНКА
.1
Уровень потребления
.2
Динамика потребления
.3
Доля импортной продукции на рынке
.4
Организация системы сбыта в отрасли
.5
Объем потребления материалов-субститутов
ГЛАВА
3. ОТРАСЛЕВАЯ КОНКУРЕНЦИЯ
.1
Факторы, обуславливающие интенсивность конкуренции в отрасли
.2
Характеристика барьеров входа
.3
Влияние материалов-субститутов
.4.
Влияние поставщиков сырья
.5.
Влияние покупателей
.7
Характеристика конкурентов
.8
Уровень концентрации отрасли
ГЛАВА
4. СТОИМОСТНЫЙ АНАЛИЗ
.1
Отпускные цены
.2
Структура цены
.3
Факторы, определяющие движение цен
.4
Цены на материалы-субституты
ГЛАВА
5. ПОТРЕБЛЕНИЕ
.1
Потребительские группы
.2
География потребления
.3
Соотношение спроса и предложения в потребительских группах
ГЛАВА
6. ПРОГНОЗ РАЗВИТИЯ РЫНКА
.1
Жизненный цикл товара
.2
Прогноз спроса на ближайшие три года
.3
Прогноз развития конкуренции
Заключение
Список литературы
Введение
Настоящее исследование посвящено описанию рынка
питьевого молока в России. В исследовании рассматриваются основные
характеристики рынка, включая оценку объемов рынка, импорт, уровень
концентрации в отрасли, характеристику конкурентов, проведен стоимостной анализ
и изучен жизненный цикл товара.
Предметом данного маркетингового исследования
является рынок питьевого молока в России. Естественное предназначение
молока-вскармливание детёнышей (в том числе у человека), которые ещё не
способны переваривать другую пищу.
Молоко - высокопитательный, легкоусвояемый
практически совершенный продукт питания для людей любого возраста. В 100 г
молока содержится около 3 г белка, 3,2 г легкоусвояемого жира, много кальция,
фосфора, витамины А, В и D в адекватных количествах. Из молока выделено около
250 химических компонентов, в.т.ч. 140 различных жирных кислот.
Молочный сахар (лактоза) - это единственный в
природе углевод, состоящий из глюкозы и галактозы, входит в состав ферментов,
участвующих в синтезе жиров, белков, витаминов. В организме человека участвует
во внутриклеточном обмене, работе сердца, печени, почек, головного мозга и
нервной системы.
Перевариваемость молока в организме человека
составляет 95 - 98%.
Питательная ценность молока при ежедневном
употреблении около литра удовлетворяет в среднем всю суточную потребность
взрослого человека в жире, кальции, фосфоре и рибофлавине, 50% потребности в
протеине, 33% потребности в витамине А, аскорбиновой кислоте и тиамине, 25%
потребности в энергии и, за исключением железа, меди, марганца и магния,
полностью удовлетворяет потребность во всех минеральных веществах. В настоящее
время молоко входит в состав многих продуктов, используемых человеком, а его
производство стало крупной отраслью промышленности. Питьевое коровье молоко,
предназначенное для употребления в пищу, подразделяется на: натуральное,
цельное (нормализованное или восстановленное), повышенной жирности, топленое,
белковое, витаминизированное, нежирное.
Целью курсовой работы является проведение
маркетингового исследования рынка питьевого коровьего молока, проведение
самостоятельного исследования по теории и практики маркетинга.
ГЛАВА 1. ХАРАКТЕРИСТИКА ПРОДУКТА
.1 Свойства и области применения
Основные свойства молока, которые удовлетворяют
потребности человека:
· утоление жажды
· насыщение организма витаминами
· утоление голода
Области применения молока:
· В быту (молоко применяется при
приготовлении различных круп(на молоке варится каша) и чая на молоке, а также
добавляется в кофе)
· В производстве (молоко является
сырьевым продуктом, который способствует производству молочных продуктов)
· В косметологии (молоко используется
как косметическое средство, избавляющее от сухости кожи)
· В народной медицине (молоко является
лекарством от простудных заболеваний)
.2 Структура затрат на производство продукта
Комплект оборудования для переработки молока до
1000 л/сутки.
В этот комплект входят:
Таблица 1. Состав оборудования для переработки
молока до 1000л/сутки.
|
Оборудование
|
Количество
|
|
Насос
молочный ОНЦ 1,5/151,5 куб.м/ч
|
|
Фильтр
грубой очистки
|
1
|
|
Фильтр
тонкой очистки
|
1
|
|
Счетчик
молочныйРМ-5-П D32
|
1
|
|
Ванна
длительной пастеризации ВДП-300-Э с ПУ
|
1
|
|
Сепаратор
Ж5-ПЛАВА-500
|
1
|
|
Подставка
под сепаратор 500л двойная
|
1
|
|
Ванна
длительной пастеризации ВДП 50-Э с ПУ
|
2
|
|
Ванна
длительной пастеризации ВДП-100-Э с ПУ
|
1
|
|
Пресс-тележка
ПТ-100 100 л
|
1
|
|
Насос
винтовой Бурун
|
1
|
|
Компрессор
Ремеза произ. 740 л/мин ресивер 100 л
|
1
|
|
Автомат
Зонд-Пак 25пак-мин нерж.
|
1
|
|
Стол
1200х600 х 800
|
2
|
|
Мойка
(трёхгнездовая)
|
1
|
|
Термометр
|
1
|
|
рН-метр
|
1
|
|
Анализатор
качества молока и сливок «Клевер 2»
|
1
|
|
Редуктазник
для определения бактериологической
|
1
|
|
обсемененности
молока
|
1
|
Для работы этой установки требуется :
· Обслуживающий персонал (1 человек)
· Потребляемая мощность (35-75 кВт/ч)
· Расход воды (3м³/сутки)
Организация мини-цеха небольшой
производительности обойдется примерно в 5 миллионов рублей. Линия по
производству пастеризованного молока объемами 1000 л/сутки стоит 10-11
миллионов рублей, в зависимости от производителя. Еще 3-3,5 миллионов рублей
потребуется на ее доставку и монтаж. Оборудование, где будет храниться готовая
продукция, стоит около 300 тысяч рублей.
Стоимость аренды помещений под производство
может сильно различаться, в зависимости от региона и месторасположения.
Оборотные средства составляют порядка 2-4
миллионнов рублей. Нужно прибавить к этому расходы на оформление всех необходимых
разрешений.
Таким образом, мини-завод по производству
питьевого молока обойдется в 23 миллиона рублей. При покупке уже существующего
производства можно сэкономить несколько миллионов. Сроки окупаемости сыроварни
составляют при таких затратах минимум 3,5-4 года. [12]
.3 Уровень доходности
Рентабельность производства молока в последние
несколько лет не превышает в среднем 3-5%, что недостаточно для инвестиций в
развитие. Низкая рентабельность и техническая отсталость отрасли плюс
монополизм переработчиков будут способствовать усугублению ситуации на рынке и
в конечном итоге кризису.[13]
ГЛАВА 2. ОБЪЕМ И СТРУКТУРА РЫНКА
.1 Уровень потребления
Потребителями молока является подавляющее, если
не сказать абсолютное, большинство россиян. Молоко одинаково любимо и
городскими, и сельскими жителями. При всем при этом Россия существенно отстает
от многих развитых стран в потреблении молока. Так, по данным Молочного союза
России, на сегодняшний день на среднестатистического жителя нашей страны
приходится примерно 270 л молока. Но эта цифра еще ниже медицинской нормы,
которая составляет 340 литров молока на человека в год. Для российских компаний
только российский рынок сбыта сегодня является доступным, и насколько будет
расти спрос на нем, будет определяющим и в плане цены, и в плане
рентабельности. При этом по итогам 2012 года уровень потребления вырос, причем
довольно значительно, он составляет 275-276 литров на человека в год.
2.2 Динамика потребления
По данным Молочного союза России, на сегодняшний
день на среднестатистического жителя нашей страны приходится примерно 260-270
литров этой продукции ежегодно, что почти в два раза ниже норм, рекомендованных
международными специалистами по питанию.
Рисунок 1. Динамика потребления молока на одного
человека, л/год.
.3 Доля импортной продукции на рынке
Доля импортного молока на российском рынке
составляет менее 30%. На российских прилавках в последние годы присутствует
молоко из таких стран, как Финляндия(17%), Эстония(8%), Франция(2%), Литва(1%),
Польша(1 %) и Дания(1%).
Диаграмма 1. Доля импортной
продукции на рынке пастеризованного молока.
2.4 Организация системы сбыта в отрасли
Лидирующий канал продаж молока - супермаркеты и универсамы:
86% москвичей покупают молоко именно там. В обычном продуктовом магазине
совершают покупку 18%. В гипермаркетах и Cash&Carry (Metro, «Ашане»,
«Мосмарте» и др) приобретают молоко 12%. Всего 5% идут за ним на крытый или
открытый рынок, и лишь 4% приносят домой молоко, купленное в ларьках или
палатках на улице.
Таблица 2. Каналы продаж молока.
|
Универсам/супермаркет
|
86%
|
|
Продуктовый
магазин
|
18%
|
|
Гипермаркет
|
12%
|
|
Открытый/крытый
рынок
|
5%
|
4%
|
|
Другое
|
1%
|
Диаграмма 2. Каналы сбыта
2.5 Объем потребления материалов-субститутов
молоко рынок сбыт потребительский
Исходя из свойств и областей применения молока,
можно выявить следующие товары заменители:
· Сухое-молоко;
· Вода, сливки;
· Увлажняющий крем для тела, крем
против морщин.
Часто используемым заменителем молока, являются
вода и сливки (добавление в чай/кофе).
ГЛАВА 3. ОТРАСЛЕВАЯ
КОНКУРЕНЦИЯ
.1 Факторы, обуславливающие интенсивность
конкуренции в отрасли
Производители молочной продукции в России на
сегодняшний день - это достаточно крупные предприятия - молочные заводы и
комбинаты, среди которых идёт жёсткая конкурентная борьба за нас с вами, т.е.
за потребителя. Список крупнейших молочных предприятий возглавляют заводы двух
крупнейших холдингов: «Вимм-Билль-Данн», Danone-Unimilk. Они охватили своим
влиянием уже около 50% молочного рынка России.
При сегментации рынка необходимо учитывать
факторы, влияющие на интенсивность конкуренции на каждом сегменте рынка и сочетание
этих факторов.
) Цена.
) Качество молока.
) Упаковка молока.
) Ассортимент.
.2 Характеристика барьеров входа
Для анализируемого рынка характерны следующие
барьеры:
) Экономические ограничения:
необходимость осуществления значительных
первоначальных капитальных вложений при длительных сроках окупаемости этих
вложений;
издержки выхода с рынка, включающие инвестиции,
которые невозможно возместить при прекращении хозяйственной деятельности;
преимущества хозяйствующих субъектов,
действующих на товарном рынке, перед потенциальными участниками товарного
рынка, в частности, по затратам на единицу продукции, по наличию долгосрочных
договоров с сельхозпроизводителями;
ограниченный доступ потенциальных участников
рынка к ресурсам, которые распределены между хозяйствующими субъектами,
действующими на рынке (необходимость расширять географию закупа, что в свою
очередь приведет к росту транспортных и трансакционных издержек).
) Административные ограничения:
стандарты и предъявляемые к качеству молока и
молочной продукции требования.
) Стратегия поведения действующих на рынке
хозяйствующих субъектов, направленная на создание барьеров входа на рынок, в
том числе:
наличие избыточных производственных мощностей,
позволяющих увеличить выпуск товара для целей ограничения новых участников
рынка;
увеличение для сельхозпроизводителя издержек,
связанных со сменой покупателя, в том числе в результате предоставления скидок
постоянным приобретателям, заключения долгосрочных контрактов;
проведение интенсивных рекламных кампаний, узнаваемость
продукции хозяйствующих субъектов, действующих на рынке, увеличивает затраты
потенциальных участников рынка на продвижение своей продукции.
.3 Влияние материалов-субститутов
Конкуренция со стороны товаров-заменителей
зависит от их наличия и доступности, конкурентоспособности по качеству и
характеристикам, готовности потребителей перейти на товары-заменители.
Товары-заменители представляют значительную угрозу, если их количество
достаточно, цены доступны, потребительские свойства удовлетворительны, а
переход не сопряжен для потребителей с чрезмерными расходами.
Доступность товаров-заменителей побуждает
потребителей сравнивать их с исходным товаром по качеству, дизайну,
потребительским свойствам, простоте использования и пр., а также по цене, а производителей
- активно рекламировать потребительские свойства и качество своего товара.
Поэтому влияние товаров-заменителей значительно,
так как низкий уровень потребления как раз связан с высокой ценой, культурой
поведения и личными предпочтениями покупателей.
.4 Влияние поставщиков сырья
Поставщики оказывают значительное влияние на
деятельность производства, контролирующей только часть цепочки добавленной
стоимости. Рост цен на сырье моментально отражается на конечных продуктах.
Снижение запасов поставщика может обернуться недостаточным снабжением или
просрочкой поставок, что спровоцирует снижение объема производства и срывы
поставок дистрибуторам. Быстрая амортизация автопарка транспортной компании -
поставщика логистических услуг - обернется проблемами транспортировки сырья и
готовой продукции и, как следствие, уроном репутации компании в среде
покупателей. Так или иначе, звено цепочки добавленной стоимости - это ваш
поставщик.
Основными поставщиками сырого молока на
предприятия являются сельскохозяйственные предприятия, которые обеспечивают
необходимые требования к качеству сырья для его переработки.
Производство молока в России носит ярко
выраженный сезонный характер, что не позволяет в оптимальном режиме
использовать производственные мощности предприятий и тем самым ухудшает
производственно-экономические показатели работы предприятий молочной отрасли.
Максимальная загруженность производственных
мощностей приходится на период май - октябрь, в остальные месяцы года уровень
загрузки составляет от 15 до 40%.
3.5 Влияние покупателей
В конкурентной борьбе, покупатели играют
значимую роль.
Сила покупателей - высокая. Вследствие большого
количества торговых марок в разном ценовом сегменте, покупатель не привязан к
конкретному производителю и часто пользуется ситуативным выбором. Следует
отметить, что наиболее динамично развивающийся последние годы сегмент рынка с
высокой добавочной стоимостью, характеризуется высокой эластичностью спроса к
цене. Таким образом, степень влияния покупателя на ценообразующий фактор весьма
существенна и в период кризиса может усилиться.
.6 Проблемы, ограничивающие развитие отрасли
Молоко и молочные продукты традиционно являются
жизненно важным звеном в рационе россиян. В стоимости потребительской корзины
их доля составляет 16 %. При этом Россия существенно отстает от развитых стран
в потреблении молока. На сегодняшний день на среднестатистического жителя нашей
страны приходится примерно 270 литров этой продукции в год, что почти в два
раза ниже норм, рекомендованных специалистами по питанию. Вместе с тем, как
утверждает Бауыржан Торланов, директор Региональной дирекции «Урал» компании
«Вимм-Билль-Данн», ситуация на рынке сегодня относительно стабильная. В
молочной промышленности легко не было никому и никогда, поэтому у участников
рынка уже выработался иммунитет к трудностям.
В целом молочный рынок ежегодно демонстрировал
стабильные темпы роста - 4-5 % в год, его общий объем достиг 40 миллионов тонн
в натуральном выражении.
Еще одна причина уменьшения объемов потребления,
разумеется, кроется в том, что молочные продукты сегодня стали менее доступны
населению из-за падения покупательской способности людей. Основная масса
потребителей сегодня испытывает затруднение в финансах, поэтому продажи
ограничены и возможности молочной промышленности в полной мере не реализуются.
Молочный рынок нуждается в серьезном
вмешательстве и поддержке со стороны государства. Главным образом, по мнению
производителей и переработчиков молока, усилия государства должны быть
направлены на ограничение импорта в Россию сухого молока, причем основные
ограничения должны быть введены в отношении Беларуси и Украины. Кроме того,
важной проблемой молочного рынка является и слабое техническое оснащение, и
низкий уровень менеджмента отечественных предприятий. Причем решение данной
проблемы затруднено из-за высоких процентных ставок по кредитам, что не
позволяет производителям молока переоборудовать предприятия.[7]
.7 Характеристика конкурентов
Список крупнейших молочных предприятий
возглавляют заводы двух крупнейших холдингов: «Вимм-Билль-Данн» и Danon-Unimilk.
Они охватили своим влиянием уже около 50% молочного рынка России.
Лидером рейтинга по объёмам выпускаемой молочной
продукции многие аналитики считают ОАО “Лианозовский молочный комбинат”. Он
входит в состав группы «Вимм-Билль-Данн» и является главным предприятием
компании. Ассортимент продукции достаточно велик. Брэнд Лианозово - широко
известная торговая марка «Весёлый молочник»
На втором месте рейтинга находится «Очаковский
молочный завод» - один из крупнейших лидеров российской молочной
промышленности. Это предприятие также работает под покровительством холдинга
«Вимм-Билль-Данн», который в ноябре 2006 года приобрел большую часть акций
завода. Ассортиментный ряд выпускаемой им продукции также очень велик. Брэнд
завода также широко известен населению нашей страны - это повсеместно
популярная марка «33 коровы».
Далее следуют ОАО “Царицынский молочный
комбинат”, также принадлежащий ОАО «Вимм-Билль-Данн Продукты питания». Таким
образом, скупив акции и курируя крупнейшие молочные заводы в России, холдинг
«Вимм-Билль-Данн» занял более половины молочного рынка столицы.
Другой крупнейший холдинг “Danon-Unimilk”
не уступает своему конкуренту. В его активе такие крупные и динамично
развивающиеся молочные заводы, как Санкт-Петербургский молочный комбинат № 1
ОАО “Петмол”, Санкт-Петербургский молочный завод “Пискаревский” и ОАО
“Самаралакто”.
Также в отрасли производства молока присутствуют
следующие предприятия:
Останкинский молочный комбинат (завод) - ОМК,
Пискарёвский молочный завод - ПМЗ, Обнинский молочный завод, Волгоградский
молочный завод №3 - ЮНИМИЛК, Мытищинский молочный завод, Молочный комбинат
Воронежский - МОЛВЕСТ, Дмитровский молочный завод, Зеленодольский молочный
комбинат - ЗМК, Гатчинский молочный завод, Рогачевский молочный комбинат - РМК,
Великолукский молочный комбинат - ВМК, Тульский молочный комбинат, Брянский
молочный комбинат, Кировский молочный комбинат. Этот список продолжает
Серпуховский молочный завод, Вологодский молочный комбинат, Тихвинский молочный
завод, Челябинский городской молочный комбинат, Молочный комбинат Ангарский и
другие.
Если рассматривать показатели объёмов
производства молока по регионам, то складывается следующая ситуация. Лидерство
достаточно прочно закрепляется за Приволжским Федеральным округом, где
сосредоточены наиболее динамично развивающиеся молочные заводы. Вторым
крупнейшим округом по производству молока является Центральный ФО, где в
последнее время было замечено снижение объёмов выпуска продукции. На следующей
ступеньке находятся Сибирский, Южный и Уральский ФО.
На рынке питьевого коровьего
молока в России около 300 игроков. В таблице отражены основные характеристики
продукции 6 крупнейших конкурентов.
Таблица 3. Характеристика
продукции конкурентов на рынке пастеризованного молока.
|
Конкуренты
|
Качество
|
Привлекательность
|
Цена
|
Доля
рынка, (%)
|
Стабильность
продажи
|
|
«Домик
в деревне»
|
высокое
|
высокая
|
11,6
|
высокая
|
|
«Веселый
молочник»
|
высокое
|
средняя
|
высокая
|
9,7
|
высокая
|
|
«33
коровы»
|
высокое
|
высокая
|
средняя
|
10,9
|
высокая
|
|
«Петмол»
|
высокое
|
средняя
|
высокая
|
5,3
|
высокая
|
|
«Простоквашино»
|
высокое
|
высокая
|
средняя
|
4
|
средняя
|
|
«Летний
день»
|
высокое
|
средняя
|
средняя
|
2,1
|
средняя
|
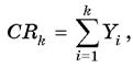
.8 Уровень концентрации отрасли
Для определения уровня концентрации я выберу 6
производителей пастеризованного молока. Индекс концентрации измеряется как
сумма рыночных долей крупнейших фирм, действующих на рынке:
(1)
где Yi - рыночная доля i-той фирмы; k - число
фирм, для которых высчитывается этот показатель. Следовательно, k=3.
Таблица 4. Индекс концентрации
|
Фирма(k)
по убыванию долей
|
Рыночная
доля
|
Индекс
концентрации
|
|
Вимм
Биль Данн
|
0,35
|
0,77
|
|
Региональные
молочные компании
|
0,27
|
|
|
Юнимилк
|
0,15
|
|
Индекс Херфиндаля-Хиршмана (Herfindal-Hirshman
index) определяется как как сумма квадратов рыночных долей всех значимых (с
долей более 1 %) участников рынка.
(2)
Таблица 5. Индекс Херфиндаля-Хиршмана
|
Фирма
(k), по убыванию
долей
|
Рыночная
доля, %
|
Индекс
концентрации
|
|
Юнимилк
|
15
|
2180
|
|
Вимм
Биль Данн
|
35
|
|
|
Региональные
молочные компании
|
27
|
|
|
Импортные
производители
|
1
|
|
Индекс Херфиндаля-Хиршмана
(HH1) равен 2180
(вычисления проводились по формуле №2), это значит, что рынок
Оценка состояния концентрации на товарных рынках
определяется по значениям индексов концентрации и Херфиндаля-Хиршмана. При 70%
< CR < 100% ; 1800 < HHI < 10000- высокая степень концентрации.
ГЛАВА 4. СТОИМОСТНЫЙ АНАЛИЗ
.1 Отпускные цены
В зависимости от жирности и упаковки питьевого
молока, его цена колеблется в пределах 25-50 рублей за литр. Молоко бывает
разной жирности: самое жирное(3,2%), менее жирное(2,5%), нежирное(1,5%). Так же
цена зависти и от упаковки. Самым распространенным считается молоко в картонном
пакете, в пластиковой бутылке, в полиэтиленовом пакете.
.2 Структура цены
Цена на пастеризованное молоко складывается из
стоимости сырья и побочных материалов, расходов на производство, коммерческих
расходов, платы за доставку продукции (товара) покупателям, осуществляемую
перерабатывающим предприятием, налогов. [7]

4.3 Факторы, определяющие движение цен
Основные причины подорожания питьевого молока -
увеличение цен на сырье. В России закупочные цены на молоко достигли 16 руб. за
1 литр (без НДС и транспортных расходов), и в связи с дефицитом сырья, высока
вероятность их дальнейшего повышения. Подорожание молока вынуждает
производителей поднимать цены на конечную продукцию. Поэтому основной фактор,
определяющий движение цен на питьевое молоко-это стоимость сырья и
энергоносителей.
.4 Цены на материалы-субституты
Таблица 6. Цены на материалы субституты.
|
Товар
|
Средняя
стоимость
|
|
Сухое
молоко
|
230
руб/кг
|
|
Вода
|
15-40
руб/л
|
|
Сливки
|
100-250
руб/л
|
|
Крем
(увлажняющий)
|
100-500
руб/100мл
|
Из таблицы можно сделать вывод, что самым
дешевым товаром-заменителем является вода, стоимость которой не превышает 40
рублей. Сухое молоко является недешевым заменителем, молоко примерно в 5 раз
дешевле.
ГЛАВА 5.
ПОТРЕБЛЕНИЕ
.1 Потребительские группы
Эксперты выделяют потребительские группы по
определённым критериям. Они выстроены следующим образом:
.По материальному положению
материальное положение ниже среднего
среднее материальное положение
материальное положение выше среднего
Диаграмма 4. Распределение потребления молока по
материальному положению.
.По полу:
мужчины
женщины
Диаграмма 5.Распределение
потребления молока по полу.
.По административному устройству
города
деревни, сёла
Диаграмма 6. Распределение
потребления молока по административному устройству.
.По возрасту:
до 18 лет;
от 18 лет до 30;
от30 лет до 45;
от 45 лет до 60;
старше 60.
Диаграмма № 7. Распределение молока
по возрасту.
Исходя из этих данных, мы можем
представить портрет потребителя. Основными покупателями питьевого молока
являются люди со средним уровнем дохода возрастом от 18 до 45 лет. По
принадлежности к полу, целевая аудитория потребителей - женщины. Можно сказать,
что основными покупателями являются домохозяйки.
.2 География потребления
Уровень потребления молока
различается по федеральным округам. Чаще всего он определяется уровнем дохода
населения.
Структура потребления молока по ФО
представлена в следующей диаграмме.
Диаграмма 8. География потребления
молока в России.
.3 Соотношение спроса и предложения
в потребительских группах
Из анализа соотношения спроса и
предложения можно заметить, что факторы, влияющие на спрос различны для каждой
потребительской группы.
Спрос больше всего удовлетворен в
потребительской группе потребителей возрастом от 25 до 45 лет; менее
удовлетворен в группе возрастом от 60 лет и более.
Рынок не является полностью
насыщенным; конкуренция переходит в сферу рекламы и способы борьбы за
потребителя. Требуется создание такого сырного бренда, который привлечёт
покупателей, ставшими впоследствии постоянными потребителями данной марки. Для
повышения спроса необходимо исследовать предпочтения потребительской группы,
изменить стиль упаковки продукта, технологию изготовления, увеличить приток
покупателей с помощью снижения цен.
ГЛАВА 6. ПРОГНОЗ РАЗВИТИЯ РЫНКА
.1 Жизненный цикл товара
Сегодня показатели молочного рынка в
России пока еще не достигли пиковых вершин и продолжают расти. Это происходит
за счет наполнения магазинов молочной продукцией отечественного производства и
за счет вытеснения с рынка иностранных компаний.
Молочный рынок находится на стадии
развития и качественному продукту всегда найдётся место, начинать молочный
бизнес и выходить на рынок с собственной продукцией относительно легко.
.2 Прогноз спроса на ближайшие три
года
Потенциальная ёмкость
Емкостью рынка называют потенциально
возможный объем товаров, реализуемых на нем в течение определенного промежутка
времени (как правило, за год).
Ёмкость рынка формируется под
влиянием множества факторов, каждой из которых может в определенной ситуации
как стимулировать рынок, так и сдерживать его развитие, ограничивать его
емкость. Эти факторы могут быть общими социально-экономические факторы,
определяющие емкость рынка любого товара: объем и структура товарного
предложения, ассортимент и качество выпускаемых изделий, размеры импорта, по
данному товару или группе товаров, уровень жизни населения, уровень и
соотношение цен на товары и другие. Потенциальная Ёмкость рынка рассчитывается
путем умножения численности населения на норму потребления. В данном случае
потенциальная емкость рынка вычисляется на основании данных о товарообороте.
Q= n* q, где:
емкость рынка;количество
потенциальных потребителей;- единичное потребление на 1 реального потребителя.
Численность населения России по статистическим
данным составляет около 143,3 миллиона человек. За вычетом пожилых людей старше
60-70 лет составит примерно 136,5 миллионов человек. А на одного потребителя в
среднем приходиться q=270л в год.
*270=3685500000л.
Развитие потребительских сегментов.
На рынке молока сегодня присутствует продукция
разных видов молока, рассчитанная на потребителя любого уровня. От молока
«эконом-класса» до совершенного питьевого молока. Число потребителей растет.
Первые удовлетворенные покупатели начинают делать повторные покупки и в устном
общении оказывают влияние на других потенциальных пользователей.
Потенциал замещения субститутов.
Потенциалом является повышение рекламной
активности лидеров отрасли, которая будет способствовать большей
привлекательности питьевого молока по сравнению с сухим молоком, кефиром,
топленым молоком и питьевым йогуртом. Питьевое молоко занимает лидирующие
позиции в продаже. Молоко будет востребовано всегда - об это говорит постоянное
нахождение его на рынке (не важно, какой марки), его покупали, и будут
покупать, важно только суметь сориентировать покупателя на себя.
Прогноз объёмов потребления.
Весьма важным трендом 2012 года стало то, что
россияне стали потреблять молоко и молочные продукты заметно больше, чем они
делали это раньше. В 2011 г. показатель потребления молока и молочных продуктов
в среднем на 1 потребителя в год в пересчете на молоко оказался на 7 кг выше,
чем в предшествующем году. По прогнозам на 2012 год ожидается рост общего
потребления питьевого молока до 12 млн тонн, с чем связана положительная
динамика выручки от продажи молочной продукции. За период с января по март 2012
г. молочных продуктов в России было продано более чем на 100 млрд рублей, что
превышает показатель аналогичного периода в предшествующем 2011 г. на 12%.
Почти половина всего объема выручки от продажи молочной продукции в стране приходится
на Центральный федеральный округ. На втором месте по объемам выручки находится
Приволжский федеральный округ, доля которого составила 20% от общего объема
выручки. Среди регионов больше всего зарабатывают на продаже молочной продукции
Москва и Московская область.
Что касается прогноза развития, то можно
отметить, что рост рынка провоцирует появление новых игроков. Конкуренция
обостряется, что приводит к снижению цены. Чтобы была возможность конкурировать
по цене, иностранные производители пытаются снизить уровень издержек, построив
заводы в России. Те компании, которые не могут конкурировать по цене, уходят в
ниши. Отечественные производители пытаются повысить качество своей продукции,
модернизируя производственные линии.
Те компании, которые не обеспечат свою продукцию
существенной маркетинговой поддержкой, будут беспощадно вытеснены импортными
или более дальновидными отечественными конкурентами.
Заключение
Закончив маркетинговое исследование рынка
питьевого молока в России, хочется подвести некоторые итоги.
В процессе работы над данной курсовой было
открыто много нового и был приобретен бесценный исследовательский опыт. Изучено
огромное количество литературы, которое пополнило багаж знаний, как специалиста
в области маркетинга, что поможет в освоении будущей профессией. Были пройдены
все этапы, которые проходит маркетолог при проведении маркетингового
исследования: определение целей и задач исследования, сбор необходимой
информации, обработка собранной информации, применение собранной информации
относительно выбранной области исследования, написание выводов по работе.
Молоко является главной составной частью рациона
питания человека. Так же оно является лидером продаж среди молочных продуктов и
доступно для покупателей, его средняя цена 37 рублей 24 копейки.
Уровень потребления растет и на данный момент
составляет 131 литр в год на одного человека. Объем рынка составляет около 16%
от покупательской корзины. Каналы сбыта хорошо организованы, молоко не является
дефицитным продуктом и его можно купить в любом магазине. Благодаря доступности
и уровню потребления, молоко не перестанет быть актуальным продуктом.
На рынке молока сегодня присутствует продукция
разных видов молока, рассчитанная на потребителя любого уровня. От молока
«эконом-класса» до совершенного питьевого молока.
Производство молочных продуктов не только в
России, но и в зарубежных странах стоит не на последнем месте в плане
экономики. Сырое молоко импортируют из Финляндии, Белоруссии, Франции, Польши,
Литвы, Эстонии. Процент импортного молока составляет 1% от всего производства,
так как доставка сырого молока проблематична, из-за недолгого хранения. Большая
часть молочной продукции произведена в России. Так же Россия является
экспортером молока.
Самый высокий процент потребления молока
наблюдается в Приволжском ФО(32%) и в Центральном ФО(26%).
Самыми популярными производителями являются
Юнимилк и Вимм Биль Данн. Самыми популярными брендами питьевого молока являются
«Домик в деревне», «Простоквашино» и «Веселый молочник».
По окончанию маркетингового исследования, можно
представить портрет потребителя питьевого молока. Основными покупателями
питьевого молока являются люди со средним уровнем дохода возрастом от 18 до 45
лет. По принадлежности к полу, целевая аудитория потребителей - женщины. Можно
сказать, что основными покупателями являются домохозяйки.
Список
литературы
1. Ф.Котлер.
«Основы маркетинга». М.,2001 год.
2. Ламбен Ж.-Ж. Менеджмент, ориентированный
на рынок. - Спб.: Питер, 2005.
. Голубев Ю.Н. «Маркетинговое
исследование».М.,1994 год.
. Академия рынка: маркетинг / А. Дайан,
Ф. Букерель, Р. Ланкар и др. - М.: Экономика, 1993
5. www.vikipedia.ru
<http://www.vikipedia.ru>
. <http://www.rbc.ru/>
. <http://www.souzmoloko.ru/>
. <http://www.agroru.com/news/>
. <http://expert-rating.ru/marketing_research/index.php?productID=836>
. <http://www.hombiz.ru/proizvodstvo>
. <http://mzmakom.ru/mini-zavod/oborudovanie/komplekt-oborudovaniya-dlya-pererabotki-moloka-do-1000-l-sutki/>
. <http://www.kommersant.ru/doc/2259957>