Марена красильная. Марена грузинская (Rubia tinctorum, Rubia iberica)

  • Вид работы:
    Реферат
  • Предмет:
    Медицина, физкультура, здравоохранение
  • Язык:
    Русский
    ,
    Формат файла:
    MS Word
    1,86 Мб
  • Опубликовано:
    2015-05-19
Вы можете узнать стоимость помощи в написании студенческой работы.
Помощь в написании работы, которую точно примут!

Марена красильная. Марена грузинская (Rubia tinctorum, Rubia iberica)

УЧРЕЖДЕНИЕ ОБРАЗОВАНИЯ
«БЕЛОРУССКИЙ ГОСУДАРСТВЕННЫЙ МЕДИЦИНСКИЙ КОЛЛЕДЖ»

ЦК Фармацевтических дисциплин

Фармакогнозия с элементами ботаники





Реферат на тему:

Марена красильная. Марена грузинская

(Rubia tinctórum, Rubia iberica)


Подготовила:

Нудьга Александра

Группа ФМ-43

Преподаватель:

Козич О.Г.





Минск 2014

ВВЕДЕНИЕ

История выращивания марены в первую очередь связана с её применением в качестве красящего вещества ярко-красного цвета <https://ru.wikipedia.org/wiki/%D0%90%D0%BB%D0%B8%D0%B7%D0%B0%D1%80%D0%B8%D0%BD%D0%BE%D0%B2%D1%8B%D0%B9_%D0%BA%D1%80%D0%B0%D1%81%D0%BD%D1%8B%D0%B9_%D1%86%D0%B2%D0%B5%D1%82>. Для получения красителей используются корни <https://ru.wikipedia.org/wiki/%D0%9A%D0%BE%D1%80%D0%B5%D0%BD%D1%8C> двулетних растений. В зависимости от протравки <https://ru.wikipedia.org/w/index.php?title=%D0%9F%D1%80%D0%BE%D1%82%D1%80%D0%B0%D0%B2%D0%BD%D1%8B%D0%B5_%D0%BA%D1%80%D0%B0%D1%81%D0%B8%D1%82%D0%B5%D0%BB%D0%B8&action=edit&redlink=1> получаются красители разного цвета - красного, розового, пурпурного, оранжевого и коричневого[3].

Экстракты <https://ru.wikipedia.org/wiki/%D0%AD%D0%BA%D1%81%D1%82%D1%80%D0%B0%D0%BA%D1%82> марены, выпускаемые под названием крапп <https://ru.wikipedia.org/wiki/%D0%9A%D1%80%D0%B0%D0%BF%D0%BF>, были наиболее популярны в XIX веке <https://ru.wikipedia.org/wiki/XIX_%D0%B2%D0%B5%D0%BA> - до начала эры анилиновых красителей <https://ru.wikipedia.org/wiki/%D0%90%D0%BD%D0%B8%D0%BB%D0%B8%D0%BD%D0%BE%D0%B2%D1%8B%D0%B5_%D0%BA%D1%80%D0%B0%D1%81%D0%B8%D1%82%D0%B5%D0%BB%D0%B8>[3].

Нельзя определить точно, с какого времени в России начали разводить марену. Известно, что в1745 году <https://ru.wikipedia.org/wiki/1745_%D0%B3%D0%BE%D0%B4> М. В. Ломоносов <https://ru.wikipedia.org/wiki/%D0%9C._%D0%92._%D0%9B%D0%BE%D0%BC%D0%BE%D0%BD%D0%BE%D1%81%D0%BE%D0%B2> совместно с другими профессорами Академии наук <https://ru.wikipedia.org/wiki/%D0%9F%D0%B5%D1%82%D0%B5%D1%80%D0%B1%D1%83%D1%80%D0%B3%D1%81%D0%BA%D0%B0%D1%8F_%D0%90%D0%BA%D0%B0%D0%B4%D0%B5%D0%BC%D0%B8%D1%8F_%D0%BD%D0%B0%D1%83%D0%BA> (Гмелином <https://ru.wikipedia.org/wiki/%D0%93%D0%BC%D0%B5%D0%BB%D0%B8%D0%BD,_%D0%98%D0%BE%D0%B3%D0%B0%D0%BD%D0%BD_%D0%93%D0%B5%D0%BE%D1%80%D0%B3> и Сигезбеком <https://ru.wikipedia.org/wiki/%D0%A1%D0%B8%D0%B3%D0%B5%D0%B7%D0%B1%D0%B5%D0%BA,_%D0%98%D0%BE%D0%B3%D0%B0%D0%BD%D0%BD_%D0%93%D0%B5%D0%BE%D1%80%D0%B3>) исследовал присланные из Кизляра <https://ru.wikipedia.org/wiki/%D0%9A%D0%B8%D0%B7%D0%BB%D1%8F%D1%80> образцы марены; было предложено произвести опыты с искусственной посадкой марены. В 1787 году <https://ru.wikipedia.org/wiki/1787_%D0%B3%D0%BE%D0%B4> правительством были выписаны семена марены из Анатолии <https://ru.wikipedia.org/wiki/%D0%90%D0%BD%D0%B0%D1%82%D0%BE%D0%BB%D0%B8%D1%8F>, а в 1812 году <https://ru.wikipedia.org/wiki/1812_%D0%B3%D0%BE%D0%B4> Императорское вольное экономическое общество назначило золотую медаль и денежную награду за разведение марены лучше дикой астраханской[3].

Культура марены сосредоточилась в Крыму <https://ru.wikipedia.org/wiki/%D0%9A%D1%80%D1%8B%D0%BC>, некоторых южных губерниях <https://ru.wikipedia.org/wiki/%D0%93%D1%83%D0%B1%D0%B5%D1%80%D0%BD%D0%B8%D1%8F> и Закавказье <https://ru.wikipedia.org/wiki/%D0%97%D0%B0%D0%BA%D0%B0%D0%B2%D0%BA%D0%B0%D0%B7%D1%8C%D0%B5>. Разведение её оказалось прибыльным, чистый доход <https://ru.wikipedia.org/wiki/%D0%94%D0%BE%D1%85%D0%BE%D0%B4> с десятины <https://ru.wikipedia.org/wiki/%D0%94%D0%B5%D1%81%D1%8F%D1%82%D0%B8%D0%BD%D0%B0_(%D0%BC%D0%B5%D1%80%D0%B0_%D0%BF%D0%BB%D0%BE%D1%89%D0%B0%D0%B4%D0%B8)> (то есть с 1,0925 га) за три года - период, необходимый для полного развития корней марены, - достигал более 500 рублей. Но дальнейшему успеху культуры марены помешало открытие в 1871 году <https://ru.wikipedia.org/wiki/1871_%D0%B3%D0%BE%D0%B4> искусственных ализариновых <https://ru.wikipedia.org/wiki/%D0%90%D0%BB%D0%B8%D0%B7%D0%B0%D1%80%D0%B8%D0%BD> красок. С этого времени марену сажали всё реже и реже, и к концу XIX - началу XX века <https://ru.wikipedia.org/wiki/XX_%D0%B2%D0%B5%D0%BA> культура её в Российской империи сохранилась только около Баку <https://ru.wikipedia.org/wiki/%D0%91%D0%B0%D0%BA%D1%83>, Дербента <https://ru.wikipedia.org/wiki/%D0%94%D0%B5%D1%80%D0%B1%D0%B5%D0%BD%D1%82> и Самарканда <https://ru.wikipedia.org/wiki/%D0%A1%D0%B0%D0%BC%D0%B0%D1%80%D0%BA%D0%B0%D0%BD%D0%B4>, и то в небольшом размере. Аналогично, темпы роста посевных площадей под мареной во Франции иллюстрируют спрос на экстракт корней марены. Однако уже к концу XIX века синтетический ализарин <https://ru.wikipedia.org/wiki/%D0%90%D0%BB%D0%B8%D0%B7%D0%B0%D1%80%D0%B8%D0%BD> вытеснил натуральный крапп, и марену практически перестали возделывать[3].

RHIZOMATA ET RADIX RUBIAE - КОРНЕВИЩЕ И КОРЕНЬ МАРЕНЫ

Марена красильная - Rubia tinctorum L.

Марена грузинская - Rubia iberica Fisch. Ex. DC. (Rubia tinctorum L. var iberica С. Koch)

Сем. мареновые - Rubiaceae

Другие названия: крап, марзана, красильный корень[4]

Ботаническая характеристика. Многолетнее травянистое более или менее опушенное растение с мощным главным корнем, от которого на глубине отходят корни второго порядка; от верхней части главного корня отходят ползучие деревянистые корневища. Стебель ветвистый, четырехгранный, по граням колючешероховатый, лазящий, длиной до нескольких метров. Листья в мутовках по 4-6, ланцетнояйцевидные, при основании суженные в отчетливый черешок, по краям шиповатые. Цветки мелкие с зеленовато-желтым пятизубчатым звездчатым венчиком, в пазушных полузонтиках, собранных в олиственные многоцветковые метелки. Плод двойчатый, костянковидный, мясистый, черный, с красящим соком. Цветет в июне-июле, плодоносит в августе-октябре[4].

Марена грузинская отличается от красильной более крупными размерами, яйцевидными черешковыми (а не ланцетными сидячими) листьями и наличием опущения[4].

Рисунок 1- Марена красильная

Распространение. Марена красильная встречается довольно редко в Средней Азии и на юге Европейской части России. Введена в культуру для промышленных целей. Марена грузинская растет в прикаспийских областях, на Восточном Кавказе, заходя на склоны гор Дагестана, Азербайджана и Грузии[5].

Основные районы заготовок марены грузинской - Дагестан, Азербайджан, Ичкерия, Ингушетия[4].

Местообитание. Растет в приречных древесно-кустарниковых зарослях, на галечниках, остепненных лугах, опушках, в светлых сосновых лесах, садах, виноградниках и вдоль заборов. Марена малотребовательна к механическому составу почв: растет на песках, суглинках и слитных почвах солонцов[4].

Заготовка. Заготавливают дикорастущие и культивируемые растения, выкапывая корни ранней весной (март-первая половина апреля) в начале вегетации или осенью в период плодоношения до заморозков. Заготовка ведется в ручную, выкапывая корневища и корни на глубину 20-30 см. Собранное сырье отряхивают от земли, освобождают от надземной части, крупные куски режут поперечно и, не обламывая, по возможности быстрее раскладывают для сушки[5].

Сушка. Сушат сырье тонким слоем под навесами или на чердаках с хорошей вентиляцией. Возможна сушка в сушилках при температуре около 45 °С. Во время сушки сырье переворачивают во избежание его плесневения[5].

Стандартизация. Качество сырья регламентируется ГФ РБ[5].

Внешние признаки. Сырье, собранное с дикорастущих растений, состоит главным образом из корневищ; собранное с культивируемых растений - из корней. Сырье представляет собой куски тонких изогнутых корневищ циллиндрической формы различной длины, толщиной от 3 до 18 мм. С поверхности продольно-морщинистые, красно-бурого цвета, со слабым своеобразным запахом и вначале сладковатым, а затем горьковато-вяжущим вкусом. С водой дает красно-бурое окрашивание (красящие вещества). На поперечном срезе видна красно-бурая кора и оранжевая или кирпично-красная древесина. В центре корневищ обычно имеется полость. При жевании слюна окрашивается в буровато-красный цвет. Влажность не более 13%.[5]

Оба вида - марена грузинская и марена красильная - разрешены к применению[5].

Микроскопия. На поперечном срезе корня (или корневища) видно, что пробка состоит из клеток с очень тонкими оболочками. В некоторых клетках корковой паренхимы содержатся рафиды оксалата кальция. Линия камбия узкая. Древесина нелучистая. Сосуды древесины расположены группами, клетки древесной паренхимы - радиальными рядами. Все элементы древесины одревесневшие. В корневище центральная часть занята крупными клетками сердцевины с утолщенными пористыми стенками; встречаются рафиды оксалата кальция[4].

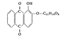
Химический состав. Корневища содержат антраценпроизводные группы ализарина (5-6%). Основными из них является рубиретриновая кислота (агликон ализарин), луцидинпримверозид (агликон луцидин), галиозин (агликон псевдопурпурин) и рубиадин-гликозид. Выделены также свободные антрахиноны - ализарин, псевдопурпурин, ксантопурпурин, луцидин, муньистин, 1-метокси-2-оксиантрахинон и рубиадин. Трава и корневища растения содержат гликозид асперулозид и ряд органических кислот. Из надземной части растения выделены флавоноиды (рутин). Так же содержаться иридоиды, органические кислоты[2].

 

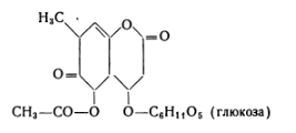
Риснок 2. - Руберитриновая кислота Рисунок 3. - Асперулозид

Хранение. В сухом, хорошо проветриваемом, защищенном от света помещении. Срок годности сырья - 2 года[2].

Лекарственные средства.

Марены красильной экстракт

Марены красильной экстракт сухой

Марены красильной экстракта таблетки

"Цистенал"( Настойка корня марены красильной, Салицилат магния, Анисовое эфирное масло, Эвкалиптовое эфирное масло,Феникловое эфирное масло, Кислота линолевая и линоленовая, Этанол, Касторовое масло)

Марены красильной отвар[4]

Фармакологическое действие. Марена красильная обладает способностью постепенно разрыхлять и разрушать мочевые конкременты. Механизм этого действия ранее связывали с рубиретриновой кислотой, подкисляющей мочу, вследствие чего моча становилась способной разрыхлять конкременты, содержащие фосфаты кальция и магния. В настоящее время основное значение придается химическому родству красящих веществ марены, взаимодействующих с фосфатами кальция и магния. Косвенным свидетельством подобного механизма химического взаимодействия камней с препаратами марены считают прокрашивание их в пробирке, разрыхление и неоднородность, а также прижизненную окраску костей у экспериментальных животных, которую вызывает марена красильная. В результате разрыхления камни крошатся на более мелкие конкремены и песок[4].

Препараты марены красильной обладают диуретическими свойствами, называют бактерицидное действие в отношении кокковой флоры, понижают тонус циркулярной мускулатуры и усиливают перистальтические сокращения продольной мускулатуры почечных лоханок и мочеточников, способствуя этим продвижению камней и их выведению из почек и мочевыводящих путей[4].

Из исследованных в лаборатории препаратов марены (сухой экстракт, таблетки из порошка, сумма гликозидов и руберитриновой кислоты) наиболее активными диуретическими и спазмолитическими свойствами обладают галеновые формы: экстракт и порошок из корней марены[4].

Применение. Препараты марены применяют при мочекаменной болезни для облегчения отхождения мелких конкрементов, в основном фосфатов магния и кальция, уменьшения спазмов[4].

Экстракт марены красильной сухой (Extractum Rubiae tinctorum siccum) выпускают в виде таблеток по 0,25 г бурого цвета, сладковато-горького вкуса. Гигроскопичен. Принимают по 2-3 таблетки 3 раза в день, предварительно растворив их в 1/2 стакана теплой воды. Курс лечения 20-30 дней, повторный курс проводят по показаниям после 4-6-недельного перерыва[4].

Цистенал (Cystenal) производится в Чехии. Выпускается во флаконах по 10 мл. Состоит из следующих компонентов: настойка корня марены 0,01 г, магния салицилата 0,15 г, эфирных масел 6,15 г, спирта этилового 0,8 г, оливкового масла до 10 г. Назначают внутрь 3-4 капли на сахаре за 30 минут до еды, при остром приступе колик принимают 20 капель на сахаре или в воде[4].

Больным с частыми приступами колик назначают по 10 капель цистенала 3 раза в день. Если препарат вызывает изжогу или раздражает желудок, его принимают после еды[4].

Противопоказания для использования препаратов марены:

беременность, гломерулонефрит, почечная недостаточность (выраженная), язвенная болезнь[4].

Отравление мареной:

Передозировка препаратами марены может привести к обострению воспалительных хронических процессов, поэтому применять данные препараты только с разрешения врача[4].

Числовые показатели. марена экстракт крапп

Допустимые примеси. Несырьевые части растений: другие части растений (стебли, листья и др.) - не более 1,5%. Органические примеси: не более 1%. Минеральные примеси: не более 1% [2].

Потеря в массе при высушивании. Не более 13,0 % 2,000 г. измельченного сырья (2000) сушат при температуре от 100°С до 105°С [2].

Общая зола. Не более 10,0 % [2].

Количественное определение. Построение градуировочного графика.50,0 г кобальта хлорида Р, высушенного в эксикаторе до постоянной массы, растворяют в 250 мл воды Р, прибавляют 1 мл хлористо-водородной кислоты Р и доводят водой Р до объема 500,0 мл. Полученный раствор является исходным (№ 10). Из полученного раствора готовят серию разведенных растворов (№ 1, 2, 3, 4, 5, 6, 7, 8 и 9), содержащих кобальта хлорида(СоСl2·6H2O) соответственно 0,010; 0,020; 0,030;0,040; 0,050; 0,060; 0,070; 0,080 и 0,090 г в 1 мл, измеряют оптические плотности (2.2.25) полученных растворов при 530 нм, используя воду Р в качестве компенсационного раствора. Для построения градуировочного графика на оси абсцисс откладывают концентрацию раствора, а на оси ординат - их оптическую плотность. При этом концентрации растворов кобальта хлорида выражают в соответствующих концентрациях производных антрацена, пользуясь таблицей 1[2].     

№ п/п

Концентрация кобальта хлорида (CoCl2·6H2O), г/мл

Концентрация производных антрацена, мг/мл

1

0,010

0,0027

2

0,020

0,0060

0,030

0,0088

4

0,040

0,0017

5

0,050

0,0146

6

0,060

0,0176

7

0,070

0,0204

8

0,080

0,0233

9

0,090

0,0260

10

0,100

0,0281

Таблица 1. Соответствие концентраций

Определение суммы производных антрацена. 0,100 г измельченного сырья (250) помещают в колбу вместимостью 200 мл, прибавляют 7,5 мл кислоты уксусной ледяной Р, 1 мл кислоты хлористоводородной Р и нагревают с обратным холодильником в водяной бане в течение 15 мин при периодическом встряхивании вращательным движением, смывая появляющийся на стенках колбы осадок. Охлаждают, прибавляют 30 мл эфира Р и кипятят с обратным холодильником на водяной бане при температуре 35°С в течение 15 мин. Охлаждают, процеживают через ватный тампон в делительную воронку вместимостью 250 мл. Ватный тампон переносят в колбу и повторяют экстракцию дважды с эфиром Р, порциями по 30 мл. Охлаждают, процеживают в ту же делительную воронку вместимостью 250 мл. Эфирное извлечение промывают дважды водой Р порциями по 20 мл. Водный слой отбрасывают. Осторожно, по стенкам, прибавляют 15 мл раствора 300 г/л натрия гидроксида Р, 25 мл щелочно-аммиачного раствора Р и осторожно взбалтывают в течение 5 мин, охлаждая воронку под струей холодной воды. После полного расслоения прозрачный красный нижний слой не фильтруя сливают в мерную колбу вместимостью 500 мл, а эфирный слой обрабатываютпорциями по 25 мл щелочно-аммиачного раствора Р до прекращения окрашивания жидкости и сливают в ту же мерную колбу. Прибавляют 3 капли раствора водорода пероксида концентрированного Р и доводят до объема 500,0 мл щелочно-аммиачным раствором Р. Через 10 мин измеряют оптическую плотность при 530 нм в кювете с толщиной слоя 5 мм, используя щелочно-аммиачный раствор Р в качестве компенсационного раствора. Концентрацию производных антрацена в растворе (мг/мл) определяют по градуировочному графику. Содержание суммы производных антрацена(Х) в процентах рассчитывают по формуле[2]:


где:

С - концентрация производных антрацена, определенная по градуировочному графику,мг/мл;- масса навески испытуемого сырья, г[2].

Определение свободных производных антрацена. 0,100 г измельченного сырья (250) помещают в колбу вместимостью 300 мл, прибавляют 50 мл эфира Р и кипятят с обратным холодильником на водяной бане при температуре 35°С в течение 10 мин. Охлаждают, процеживают через ватный тампон в делительную воронку вместимостью 300 мл. Ватный тампон переносят обратно в колбу и повторяют экстракцию дважды с эфиром Р, порциями по 50 мл. Охлаждают, процеживают в ту же делительную воронку вместимостью 300 мл. Прибавляют 20 мл щелочно-аммиачного раствора Р и осторожно взбалтывают в течение5 мин, охлаждая воронку под струей холодной воды. После полного расслоения нижний слой не фильтруя сливают в мерную колбу вместимостью 100 мл, а эфирный слой трижды обрабатывают щелочно-аммиачным раствором Р порциями по 20 мл и сливают в ту же мерную колбу. Прибавляют 1 каплю раствора водорода пероксида концентрированного Р и доводят до объема 100,0 мл щелочно-аммиачным раствором Р[2].

Через 10 мин измеряют оптическую плотность (2.2.25) при 530 нм в кювете с толщиной слоя 5 мм, используя щелочно-аммиачный раствор Р в качестве компенсационного раствора. Концентрацию производных антрацена в растворе (мг/мл) определяют по градуировочному графику[2].

Содержание свободных производных антрацена (Х1) в процентах рассчитывают по формуле[2]:


где:

С - концентрация производных антрацена, определенная по градуировочному графику,мг/мл;- масса навески испытуемого сырья, г[2].

Определение связанных производных антрацена. Содержание связанных производных антрацена (Х2) в процентах рассчитывают по

Формуле[2]:

 

Рисунок 2- Марена красильная

Объяснение рисунка: 1,2 - части плодоносящего растения, 3 - корневище с корнями и стеблем, 4 - часть соцветия, 5 - цветок, 6 - пестик. [1]

        

ЗАКЛЮЧЕНИЕ

История выращивания марены в первую очередь связана с её применением в качестве красящего вещества ярко-красного цвета. Культура марены сосредоточилась в Крыму <https://ru.wikipedia.org/wiki/%D0%9A%D1%80%D1%8B%D0%BC>, некоторых южных губерниях <https://ru.wikipedia.org/wiki/%D0%93%D1%83%D0%B1%D0%B5%D1%80%D0%BD%D0%B8%D1%8F> и Закавказье <https://ru.wikipedia.org/wiki/%D0%97%D0%B0%D0%BA%D0%B0%D0%B2%D0%BA%D0%B0%D0%B7%D1%8C%D0%B5>. Марена красильная встречается довольно редко в Средней Азии и на юге Европейской части России. Введена в культуру для промышленных целей. Марена грузинская растет в прикаспийских областях, на Восточном Кавказе, заходя на склоны гор Дагестана, Азербайджана и Грузии.

Заготавливают дикорастущие и культивируемые растения, выкапывая корни ранней весной (март-первая половина апреля) в начале вегетации или осенью в период плодоношения до заморозков. Сырье, собранное с дикорастущих растений, состоит главным образом из корневищ; собранное с культивируемых растений - из корней.

Марена красильная обладает способностью постепенно разрыхлять и разрушать мочевые конкременты. Препараты марены красильной обладают диуретическими свойствами, называют бактерицидное действие в отношении кокковой флоры, понижают тонус циркулярной мускулатуры и усиливают перистальтические сокращения продольной мускулатуры почечных лоханок и мочеточников, способствуя этим продвижению камней и их выведению из почек и мочевыводящих путей.


СПИСОК ИСПОЛЬЗУЕМЫХ ИСТОЧНИКОВ

1Атлас лекарственных растений СССР / ред. акад. Н.В. Цицин (глав. ред.) [и др.] - Государственное издательство медицинской литературы, 1962. - с. 336-337.

Государственная Фармакопея Республики Беларусь: в 3т. / ред. А.А. Шеряков (глав. ред) [и др.] - Минск, 2006-2009. - Т. 2: 2007. - 375-376 с.

3 Жизнь растений. В 6 т. Т. 5. Ч. 2. Цветковые растения / ред. А. Л. Тахтаджяна <https://ru.wikipedia.org/wiki/%D0%90._%D0%9B._%D0%A2%D0%B0%D1%85%D1%82%D0%B0%D0%B4%D0%B6%D1%8F%D0%BD>. - М.: Просвещение, 1981. - С. 358

Марена красильная экстракт, корень, применение, лечение//справ.лек.трав.[электронный ресурс]. - 2007. - Режим доступа: <http://www.spravlektrav.ru/ln/marena_krasilnaja.html>. - Дата доступа: 25.10.2014.

Фармакогнозия. Лекарственное сырье растительного и животного происхождения: учебное пособие / ред. Г.П. Яковлева. - 2-е изд., испр. и доп. - СПб. :СпецЛит, 2010. - 543-546 с.

Похожие работы на - Марена красильная. Марена грузинская (Rubia tinctorum, Rubia iberica)

 

Не нашли материал для своей работы?
Поможем написать уникальную работу
Без плагиата!
Без нейросетей!