Управление запасами с учетом классификации материально-технических ресурсов по значимости. Методы ABC и XYZ

  • Вид работы:
    Контрольная работа
  • Предмет:
    Маркетинг
  • Язык:
    Русский
    ,
    Формат файла:
    MS Word
    108,38 Кб
  • Опубликовано:
    2015-05-23
Вы можете узнать стоимость помощи в написании студенческой работы.
Помощь в написании работы, которую точно примут!

Управление запасами с учетом классификации материально-технических ресурсов по значимости. Методы ABC и XYZ

Министерство образования и науки Российской Федерации

Санкт-Петербургский Государственный Экономический Университет

Кафедра «Менеджмент и Коммерция»










Контрольная работа

по учебной дисциплине: «Управление запасами в цепях поставок»

На тему: «Управление запасами с учетом классификации материально-технических ресурсов по значимости. Методы ABC и XYZ»








Санкт-Петербург 2014 г.

Оглавление

Введение

. Понятие и функции запаса

. Анализ АВС

. Графические методы определения границ групп А, В, С

. Анализ XYZ

. Совмещенный АВС/XYZ анализ

Заключение

Список используемой литературы

Введение

Управление запасами предприятия и их оптимизация - очень важная тема, так как позволяет заниматься ей и узкоспециально - не входя в противоречия с другими бизнес-процессами, оптимизируя только запасы, и очень широко - рассматривая управление товарными запасами в целом на предприятии.

Из-за быстрого развития логистики, многие специалисты говорят о наиболее эффективном управлении запасами в логистике, где оно рассматривается с точки зрения минимизации совокупных издержек. То есть оптимизация товарных запасов рассматривается в первую очередь, как снижение затрат на их создание и обслуживание.

В данной работе рассмотрены некоторые методы анализа запасов в цепи поставок для последующей их оптимизации: ABC- и XYZ-анализ.

управление торговля рентабельность товарный

1. Понятие и функции запаса

Запас - это форма существования материального потока.

Логистические процессы, проходящие или внутри предприятия, или между предприятиями, охватывают движение материальных потоков и сопровождаются постоянным созданием запасов. Причина создания запасов заключается в необходимости сгладить различную интенсивность потоков, находящихся во взаимодействии.

Фактор случайности оказывает влияние на логистические процессы и является причиной формирования запасов, он делает невозможным точное прогнозирование, и поэтому логистические решения принимаются в условиях неопределенности.

При невозможности добиться синхронности между входящими и исходящими потоками создаются страховые запасы, создание которых оправдывается причинами:

) необходимостью подстраховаться, если собственные потребности или рыночный спрос оказываются больше запланированных;

) желанием компенсировать возможную неопределенность поставок или их запаздывание.

Для получения возможности совершать закупки по более низким ценам часто формируют запасы. При благоприятной рыночной конъюнктуре или в силу сезонного характера закупаемых ценностей также создаются запасы. Технический прогресс считается существенным фактором формирования запасов. Его влияние на запасы сложно и разнообразно. В сфере материалоснабжения технический прогресс оказывает особо сильное влияние.

Он способствует миниатюризации изделий, появлению новых материалов, видов сырья и технологий. Все это влечет уменьшение физического объема конечной продукции, что приводит к снижению потребности в материалах. Это влияет на объемы запасов, но такие изменения не обязательно пропорциональны изменениям в объемах и структуре применяемых материалов.

Создавая запас, нужно учитывать, что увеличение ассортимента товаров на рынке приводит к уменьшению жизненного цикла товара и оказывает влияние на поведение партнеров, покупателей и конкурентов. Эффективность производства напрямую зависит от количества запасов, запасы выступают в роли оборотного капитала. Чем их меньше, тем эффективнее производство.

Непрерывность логистических процессов на предприятии характеризуется количеством поддерживаемых запасов, а также их продуктивностью. Процессы закупок оказывают значительное влияние на запасы материалов производственного процесса и на запасы товаров торгового предприятия. Процесс продаж влияет на запасы готовых изделий и товаров. На производственном предприятии создаются следующие запасы: материалов, незаконченной продукции, готовых товаров.

На торговом предприятии создаются запасы товаров. На промышленных предприятиях, имеющих распределительную сеть, тоже создаются запасы товаров.

2. Анализ АВС

В логистике ABC-анализ применяют, ставя цель сокращения величины запасов, сокращения количества перемещений на складе, сокращения хищений материальных ценностей, а также преследуя иные цели.

Управление в логистике характеризуется, как правило, наличием большого количества однородных объектов управления, по-разному влияющих на результат деятельности предприятия. Например, управляя запасами предприятий в сферах производства и обращения, иногда приходится принимать решение по десяткам тысяч позиций ассортимента. При этом разные позиции ассортимента заслуживают разного внимания, так как с точки зрения вклада в тот или иной результат торговой или производственной деятельности они не являются равноценными.

Идея анализа ABC состоит в том, чтобы из всего множества однотипных объектов выделить наиболее значимые с точки зрения обозначенной цели. Таких объектов, как правило, немного, и именно на них необходимо сосредоточить основное внимание и силы.

В экономике широко известно так называемое правило Парето (20/80), согласно которому лишь пятая часть (20%) от всего количества объектов, с которыми обычно приходится иметь дело, дает примерно 80% результатов этого дела. Вклад остальных 80% объектов составляет только 20% общего результата.

Например, в торговле 20% наименований товаров дает, как правило, 80% прибыли предприятия, остальные 80% наименований товара - лишь необходимое дополнение, обязательный ассортимент. Из всего количества поставщиков предприятия лишь 20% создают 80% всей опасности потерь от связей с недобросовестным контрагентом. Можно привести и другие примеры.

Правило Парето действует не только в экономике. Если разделить всех студентов вузовского потока по признаку сложности управления, то получится, что 20% студентов потока создают 80% всех хлопот деканата. Говорят, что 20% всех любителей пива выпивают 80% всего пива. Примерно 20% материала учебника могут позволить сформировать 80% представления об изучаемом курсе.

Американцы называют эту закономерность “правилом большого пальца”: поднятый вверх большой палец правой руки символизирует эти самые 20% ударных объектов, при этом сжатые в кулак 4 пальца обозначают значимость пальца, поднятого вверх - 80%.

Суть правила Парето состоит в том, что в процессе достижения какой-либо цели нерационально уделять объектам, образующим малую часть вклада, то же внимание, что и объектам первостепенной важности.

Согласно правилу Парето множество управляемых объектов делится на две неодинаковые части. Широко применяемый в логистике метод ABC предусматривает более глубокое разделение - на три части. При этом среднестатистическое распределение имеет вид, представленный в табл. 1.

Таблица 1. Примерные среднестатистические процентные соотношения групп А, В и С

Группа

Доля в количестве объектов управления, %

Доля в результате, %

А

20

80

В

30

15

С

50

5


Первым, ключевым этапом ABC-анализа является определение цели анализа. Одно и то же множество объектов управления будет разделено на подмножества А, В и С по разному, в зависимости от цели анализа.

Таблица 2. Порядок проведения анализа АВС

Формулирование цели анализа


Идентификация объектов управления, анализируемых методом АВС


Выделение признака, на основе которого будет осуществлена классификация объектов управления


Оценка объектов управления по выделенному классификационному признаку


Группировка объектов управления в порядке убывания значения признака


Построения кривой АВС


Разделение совокупности объектов управления на три группы: группа А, группа В и группа С

Например, в процессе управления многотысячным ассортиментом склада предприятия оптовой торговли с использованием ABC-анализа могут решаться следующие задачи:

♦ сокращение величины запасов;

♦ сокращение количества перемещений на складе;

♦ сокращение хищений материальных ценностей.

Кратко остановимся на характеристике каждой из задач.

Основная опасность хищений на этом же складе также приходится на незначительную группу ассортимента. Однако состав этой группы отличается от состава “валообразующей” группы. Этой группе также необходим жесткий контроль, но уже другого плана: частая инвентаризация, размещение в специальных камерах, укладка в верхние ярусы стеллажей, что затрудняет хищение и т.п.

Менеджмент высокоэффективных складов большое внимание уделяет сегодня проблеме лишних движений по складу. Любая домохозяйка, имея на кухне большой перечень разнообразных предметов, так их располагает, чтобы свести движения к минимуму. Цель - экономия сил и времени, т.е. ресурса, который всегда в дефиците. Знакомство с отечественными складами свидетельствует, что этой, в хорошем смысле слова “кухонной гармонии” зачастую нет. Размеры же складов таковы, что ошибки размещения приводят здесь к десяткам, а то и сотням километров в месяц лишних перемещений, зачастую хорошо оплачиваемых. Разделим ассортимент склада по признаку встречаемости позиции в отгрузочных накладных. Большая часть встречаемости, так же как и в первых двух случаях, придется на незначительную часть ассортимента. Избежать перерасхода движенческого ресурса можно, если разместить этот ассортимент в так называемых горячих зонах, т.е. в зонах, наиболее удобно расположенных относительно мест отпуска товара. Следует отметить, что эта “ударная” группа по составу не будет полностью совпадать ни с “валообразующей” группой, ни с группой, опасной с точки зрения хищения.

Вторым этапом анализа ABC является идентификация объектов управления, анализируемых методом ABC. В приведенном выше примере таким объектом является отдельная позиция ассортимента. Однако для решения перечисленных задач могут быть выбраны и иные объекты. Например, сократить запасы на складе можно, уделив особое внимание работе с поставщиками, на долю которых приходится основная часть запасов склада. В этом случае объектом управления будут поставщики, признак, на основе которого будет осуществлена классификация поставщиков (этап 3 алгоритма), - доля запаса товаров на складе, полученных от данного поставщика.

После того как определен признак классификации, каждый из объектов (позицию ассортимента, поставщика и т.п.) оценивают по намеченному признаку (этап 4). Затем осуществляют группировку объектов управления в порядке убывания выделенного признака (этап 5). Верхняя, незначительная часть упорядоченного списка будет играть ключевую роль с точки зрения намеченной цели.

Разделить упорядоченный по убыванию признака список на группы А, В и С в пропорции, приведенной в таблице 6, удается далеко не всегда. Общеизвестное правило 20/80 является усредненным соотношением и для разделения конкретной номенклатуры в большинстве случаев не пригодно. Допустим, например, что 8% валообразующей номенклатуры дают 80% оборота, а 20%-96% оборота (рис. 1). Как в этом случае поступить, включить в группу А 20% номенклатуры, или ограничить ее 8-ю процентами?

Решить данную задачу можно графически, построив кривую ABC-анализа.

3. Графические методы определения границ групп А, В, С

. Метод определения границ с помощью касательной к кривой А, В и С.

Рассмотрим метод разделения множества объектов управления, упорядоченного по убыванию признака значимости объекта, с помощью касательной к кривой АВС-анализа.

Рис. 1. Кривая АВС-анализа

Кривая ABC строится в прямоугольной системе координат. По оси ОХ откладываются объекты управления (например, позиции ассортимента), выстроенные в порядке убывания доли в общем результате (например, доли в реализации), в процентах к общему количеству объектов управления. По оси OY откладывается доля вклада объекта (доля реализации по позиции) в общем результате (в общей реализации), исчисленная нарастающим итогом и выраженная в процентах (рис. 2).

Соединим начало и конец графика прямой OD и затем проведем касательную к кривой ABC, параллельную линии OD. Абсцисса точки касания (точка М) покажет нам границу на группы А, В и С с помощью касательной к кривой ABC между группами А и В, а ордината укажет долю вклада группы А в общий результат.

Рис. 2. Разделение исследуемого множества на группы А, В и С с помощью касательной к кривой АВС

Соединим теперь точку М с концом кривой - точкой D, и проведем новую касательную к графику ABC, параллельную линии MD. Абсцисса точки касания (точка N) указывает границу между группами В и С, а ордината показывает суммарный вклад групп А и В в общий результат.

. Метод определения границ с помощью петли ABC анализа.

Предлагаемое решение определяет в качестве границ множеств А, В и С участки резкого изменения кривизны графика ABC.

На рис. 1 изображена типичная форма кривой ABC. Представим себе, что эта кривая является планом автомобильной трассы, по которой снизу (от точки 0) по направлению к повороту, не снижая максимально возможной на прямой дороге скорости, несется гоночный автомобиль. Место, где его выбросит с дороги, характеризуется резким возрастанием кривизны графика. В этой точке область резкого нарастания значения признака (группа А) сменяется областью плавного нарастания (группа В).

Направив мысленно автомобиль на полной скорости во встречном направлении (на рис. 1 от конца кривой в направлении точки 0), мы получим вторую точку сброса с дороги, которая указывает границу между группами В и С. Здесь плавное нарастание суммарного значения признака (группа В) сменяется крайне слабым нарастанием признака (группа С).

Пример с автомобилем иллюстрирует идею метода, суть которого можно пояснить, несколько упростив задачу. Представим кривую ABC в виде композиции дуг трех окружностей (рис. 3): дуга LM окружности О1 дуга MN, окружности О2, дуга NP окружности О3. Наибольший радиус имеет окружность О3. Радиус окружности О1 несколько короче. Существенно короче радиус окружности О2, дуга которой MN находится в середине фигуры LMNP. Проведем касательную к кривой LMNP в ее начальной точке L и восстановим нормаль из точки касания в направлении центра окружности O1. Длина нормали должна быть больше радиуса окружности О2, но меньше радиусов окружностей О1 и О3. Начнем перемещать касательную из начала в конец кривой LMNP. Конец нормали при этом начертит фигуру lmnp. На участках lm и np конец нормали движется в одном направлении с касательной, а на участке mn - во встречном. Точки на кривой lmnp, в которых конец нормали меняет направление движения, соответствуют точкам изменения кривизны основной фигуры, т. е. фигуры LMNP.

Рис.3. Пример построения петли АВС-анализа

Реальные кривые ABC состоят из элементарных участков, каждый из которых характеризуется определенной кривизной. Центры кривизны элементарных участков, как правило, не совпадают друг с другом, однако в областях А, В и С находятся сравнительно недалеко друг от друга, образуя так называемые облака центров кривизны.

Аналогично примеру с тремя окружностями проведем касательную к кривой ЛВС в ее начальной точке и восстановим нормаль, обращенную вправо от кривой. Длину нормали подберем так, чтобы она не доставала до множества центров кривизны, соответствующих начальному и конечному участкам графика, но в то же время выходила за пределы срединного облака центров кривизны. Продвинем касательную от начала кривой до конца графика ABC. Очевидно, что, пока касательная скользит по участку с большими значениями радиуса кривизны (начальная часть графика, группа А), конец нормали, находящийся между кривой и облаком центров кривизны, движется в направлении движения касательной, т. е. поднимается вверх. В момент входа касательной на срединный участок графика с малыми значениями радиуса кривизны направление движения конца нормали, оказавшегося за облаком центров кривизны, меняется на противоположное. Конец нормали начинает двигаться влево и вниз. Точка кривой, соответствующая моменту изменения направления движения конца нормали, указывает на границу между группами А и В. Движение конца нормали вниз и влево, т.е. в направлении противоположном движению касательной, продолжается до момента входа касательной на конечный спрямленный участок графика (примерно там “слетел” с дороги второй автомобиль). Здесь конец нормали, оказавшись между линией графика и центрами кривизны, вновь начинает двигаться в направлении движения касательной. Точка на кривой, в которой происходит повторное изменение направления движения конца нормали, указывает границу между группами В и С. Здесь заканчивается номенклатура, обеспечивающая плавный прирост оборота, и начинается номенклатура, в которой каждая из позиций дает крайне низкий прирост оборота, т.е. номенклатура группы С.

Окончательный вид фигуры, начерченной концом нормали к касательной, при скольжении последней по кривой ABC приведен на рис. 4.

Рис. 4. Разделение на группы А,В и С с помощью петли АВС-анализа

Некоторую сложность представляет определение длины нормали к касательной. Как отмечалось выше, конец нормали должен лежать между облаками центров кривизны. Длина нормали задается в единицах шкалы ОХ (в процентах) и определяется путем нескольких итераций. Начать расчеты можно со значения 20, получив для этой длины нормали значения границ между группами. Затем следует последовательно, шаг за шагом, увеличивать длину нормали на 5-10 единиц. Вначале каждое приращение длины будет сопровождаться изменением значений границ (свидетельство того, что конец нормали при движении касательной пока находится в пределах срединного облака центров кривизны). В определенный момент, когда конец нормали выйдет из “срединной облачности”, значения границ перестанут меняться с изменением длины нормали. Данные значения границ следует принять для дифференциации на группы А, В и С.

Дальнейшее увеличение длины нормали, в конце концов, приведет к тому, что с каждой итерацией границы вновь начнут меняться. Происходит это в связи с погружением конца нормали в облака центров кривизны спрямленных участков начала и конца графика ABC, отстоящие относительно далеко от кривой. Иными словами, следует выбрать такую длину нормали к касательной, которая обеспечит относительную стабильность границ множеств А, В и С.

Применение описанного метода к разделению номенклатуры, распределение которой представлено графиком на рис. 2, позволило установить следующие границы групп:

Таблица 3

Группа

Доля в номенклатуре

Доля в потребности

А

9

84,4

В

13,8

12,6

С

77,2

3


4. Анализ XYZ

Анализ ABC позволяет дифференцировать ассортимент (номенклатуру ресурсов, а применительно к торговле - ассортимент товаров) по степени вклада в намеченный результат. Принцип дифференциации ассортимента в процессе анализа XYZ иной - здесь весь ассортимент (ресурсы) делят на три группы в зависимости от степени равномерности спроса и точности прогнозирования.

В группу X включают товары, спрос на которые равномерен, либо подвержен незначительным колебаниям. Объем реализации по товарам, включенным в данную группу, хорошо предсказуем.

В группу Y включают товары, которые потребляются в колеблющихся объемах. В частности, в эту группу могут быть включены товары с сезонным характером спроса. Возможности прогнозирования спроса по товарам группы Y - средние.

В группу Z включают товары, спрос на которые возникает лишь эпизодически. Прогнозировать объемы реализации товаров группы Z сложно.

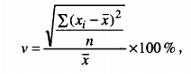
Признаком, на основе которого конкретную позицию ассортимента относят к группе X, Y или Z, является коэффициент вариации спроса (ν) по этой позиции. Среди относительных показателей вариации коэффициент вариации является наиболее часто применяемым показателем относительной колеблемости:


где хi- i-е значение спроса по оцениваемой позиции;

х - среднее значение спроса по оцениваемой позиции за период n;

n - величина периода, за который произведена оценка.

Величина коэффициента вариации изменяется в пределах от нуля до бесконечности. Разделение на группы X, Y и Z может быть осуществлено, например, на основе алгоритма, представленного в табл. 3.

Общий алгоритм проведения анализа XYZ приводится в табл. 4.

Построение кривой XYZ осуществляется в прямоугольных координатах (рис. 5). По оси ОХ откладывают позиции ассортимента в порядке возрастания коэффициента вариации спроса, выраженные в процентах к общему количеству позиций ассортимента.

Задача "сделать или купить"

Задача “сделать или купить” заключается в принятии одного из двух альтернативных решений - делать комплектующее изделие самим, если это в принципе возможно, выполнять самостоятельно какую-либо работу или же покупать комплектующее (услугу) у другого производителя. В англоязычной литературе эта задача встречается под названием Make-or-Buy Problem, или сокращенно - задача МОВ1, решение которой зависит от ряда внешних факторов, а также от условий на самом предприятии.

Таблица 4. Возможный алгоритм дифференциации ассортимента на группы X, Y и Z

Группа

Интервал

X

0 ≤ ν < 10%

Y

10% ≤ ν < 25%

Z

25% ≤ ν < ∞


Таблица 5. Порядок проведения анализа XYZ

Определение коэффициентов вариации  по отдельным позициям ассортимента

Построения кривой YZ

Разделение совокупности объектов управления на три группы: группа Х, группа Y и группа Z


В более широком плане задача МОВ - это обоснование решения вопроса о степени использования в производственном процессе собственных средств производства. Решения принимаются как по использованию собственных средств труда (собственный транспорт, склады, техника, оборудование), так и по использованию собственных предметов труда, т. е. изготовленных своими силами заготовок, полуфабрикатов, комплектующих изделий. Альтернативные решения - наемный транспорт, лизинг оборудования, аренда складов, а также закупка полуфабрикатов или комплектующих изделий.

Рис. 5. Кривая анализа XYZ

Значимым с точки зрения настоящего курса внешним фактором является степень развития логистики в экономике. Самостоятельное производство комплектующих изделий (или работ) снижает зависимость предприятия от колебаний рыночной конъюнктуры. Предприятие может устойчиво функционировать вне зависимости от складывающейся на рынке ситуации (естественно, в известных пределах). В то же время высокое качество и низкую себестоимость комплектующих (работ) скорее обеспечит производитель, который специализируется на их производстве. Поэтому, отказываясь от собственного производства и принимая решение о закупке комплектующих изделий у специализированного поставщика, предприятие получает возможность поднять качество и снизить себестоимость, однако попадает при этом в зависимость от окружающей экономической среды. Риск потерь, обусловленный ростом зависимости, будет тем ниже, чем выше надежность поставок и чем более развиты в экономике логистические связи. Таким образом, чем выше степень развития логистики в обществе, тем “спокойнее” предприятие отказывается от собственного производства комплектующих и перекладывает эту задачу на специализированного производителя.

Вне зависимости от ситуации во внешней среде на самих предприятиях могут действовать факторы, обусловливающие отказ от собственного производства. Решение в пользу закупок комплектующих и, соответственно, против собственного производства должно быть принято в случае, если:

♦ потребность в комплектующем изделии невелика;

♦ отсутствуют необходимые для производства комплектующих мощности;

♦ отсутствуют кадры необходимой квалификации.

Решение против закупок и в пользу собственного производства принимается в том случае, когда:

♦ потребность в комплектующих изделиях стабильна и достаточно велика;

♦ комплектующее изделие может быть изготовлено на имеющемся оборудовании.

Решения типа “сделать или купить” принимают при закупках товарных ресурсов (у изготовителя или у посредника), при выборе между услугами перевозчика и созданием собственного парка транспортных средств, при принятии решения по использованию услуг наемного склада, а также в ряде других случаев.

5. Совмещенный АВС/XYZ анализ

Сочетание АВС и XYZ анализов выявляет безусловных лидеров (группа АХ) и аутсайдеров (СZ). Оба метода хорошо дополняют друг друга. Если АВС-анализ позволяет оценить вклад каждого продукта в структуру сбыта, то XYZ-анализ позволяет оценить скачки сбыта и его нестабильность. Рекомендуется делать совмещенный анализ, где в АВС-анализе используются два параметра - объем продаж и прибыль.

Всего при проведении такого многомерного совмещенного анализа получается 27 групп товаров. Результаты такого анализа можно использовать для оптимизации ассортимента, оценки рентабельности товарных групп <http://www.e-xecutive.ru/wiki/index.php/%D0%9E%D1%86%D0%B5%D0%BD%D0%BA%D0%B0_%D0%BF%D0%BE%D0%BA%D0%B0%D0%B7%D0%B0%D1%82%D0%B5%D0%BB%D0%B5%D0%B9_%D1%80%D0%B5%D0%B7%D1%83%D0%BB%D1%8C%D1%82%D0%B0%D1%82%D0%B8%D0%B2%D0%BD%D0%BE%D1%81%D1%82%D0%B8>, оценки логистики, оценки клиентов оптовой компании <http://www.e-xecutive.ru/wiki/index.php/%D0%9A%D0%BB%D0%B8%D0%B5%D0%BD%D1%82%D0%BE%D0%BE%D1%80%D0%B8%D0%B5%D0%BD%D1%82%D0%B8%D1%80%D0%BE%D0%B2%D0%B0%D0%BD%D0%BD%D0%BE%D1%81%D1%82%D1%8C_%D0%A4%D0%B8%D1%80%D0%BC%D1%8B>.

·        Использование совмещенного АВС и XYZ-анализа имеет ряд значительных преимуществ, к которым можно отнести следующие: повышение эффективности системы управления товарными ресурсами <http://www.e-xecutive.ru/wiki/index.php/%D0%A3%D0%BF%D1%80%D0%B0%D0%B2%D0%BB%D0%B5%D0%BD%D0%B8%D0%B5_%D0%B7%D0%B0%D0%BF%D0%B0%D1%81%D0%B0%D0%BC%D0%B8>;

·        повышение доли высокоприбыльных товаров без нарушения принципов ассортиментной политики;

·        выявление ключевых товаров и причин, влияющих на количество товаров, хранящихся на складе;

·        перераспределение усилий персонала в зависимости от квалификации и имеющегося опыта.

Перед тем как совместить показатели ABC- и XYZ-анализов, необходимо провести ABC-анализ товаров по сумме полученного дохода или по количеству реализованной продукции за определенный учетный период, например, за год.

Затем осуществляется XYZ-анализ этих товаров за этот же период, например, по количеству ежемесячной реализации за год. После этого результаты совмещаются.

При совмещении определяется девять групп товаров:

AX

BX

CX

AY

BY

CY

AZ

BZ

CZ


Выделяют девять групп товаров при совмещенном АВС и XYZ-анализе:

Товары групп А и В обеспечивают основной товарооборот компании <http://www.e-xecutive.ru/wiki/index.php/%D0%A3%D0%BF%D1%80%D0%B0%D0%B2%D0%BB%D0%B5%D0%BD%D0%B8%D0%B5_%D0%B7%D0%B0%D0%BF%D0%B0%D1%81%D0%B0%D0%BC%D0%B8_%D0%B2_%D1%80%D0%BE%D0%B7%D0%BD%D0%B8%D1%87%D0%BD%D0%BE%D0%B9_%D1%82%D0%BE%D1%80%D0%B3%D0%BE%D0%B2%D0%BB%D0%B5>, поэтому необходимо обеспечивать постоянное их наличие. Как правило, по товарам группы А создается избыточный страховой запас, а по товарам группы В - достаточный.

Использование XYZ-анализа позволяет точнее настроить систему управления товарными ресурсами и за счет этого снизить суммарный товарный запас.

Товары группы АХ и ВХ отличает высокий товарооборот и стабильность. Необходимо обеспечить постоянное наличие товара, но для этого не нужно создавать избыточный страховой запас. Расход товаров этой группы стабилен и хорошо прогнозируется.

Товары группы AY и BY при высоком товарообороте имеют недостаточную стабильность расхода, и, как следствие, для того чтобы обеспечить постоянное наличие, нужно увеличить страховой запас.

Товары группы AZ и BZ при высоком товарообороте отличаются низкой прогнозируемостью расхода. Попытка обеспечить гарантированное наличие по всем товарам данной группы только за счет избыточного страхового товарного запаса приведет к тому, что средний товарный запас компании значительно увеличится. Поэтому по товарам данной группы следует пересмотреть систему заказов:

·        перевести часть товаров на систему заказов с постоянной суммой (объемом) заказа;

·        обеспечить по части товаров более частые поставки;

·        выбрать поставщиков, расположенных близко к складу, тем самым снизив сумму страхового товарного запаса;

·        повысить периодичность контроля;

·        поручить работу с данной группой товаров самому опытному менеджеру компании и т. п.

Товары группы С составляют до 80% ассортимента компании. Применение XYZ-анализа позволяет сильно сократить время, которое менеджер тратит на управление и контроль над товарами данной группы

По товарам группы СХ можно использовать систему заказов с постоянной периодичностью и снизить страховой товарный запас.

По товарам группы CY можно перейти на систему с постоянной суммой (объемом) заказа, но при этом формировать страховой запас, исходя из имеющихся у компании финансовых возможностей.

В группу товаров CZ попадают все новые товары, товары спонтанного спроса, поставляемые под заказ и т. п. Часть этих товаров можно безболезненно выводить из ассортимента, а другую часть нужно регулярно контролировать, так как именно из товаров этой группы возникают неликвидные или <http://www.e-xecutive.ru/wiki/index.php/%D0%9B%D0%B8%D0%BA%D0%B2%D0%B8%D0%B4%D0%BD%D0%BE%D1%81%D1%82%D1%8C> труднореализуемые товарные запасы, от которых компания несет потери. Выводить из ассортимента необходимо остатки товаров, взятых под заказ или уже не выпускающихся, то есть товаров, обычно относящихся к категории стоков.

Заключение

В данной работе рассмотрена сущность и возможность применения ABC- и XYZ-анализа.

Применение данного подхода в цепях поставок может позволить:

·        повысить эффективность системы управления материальными ресурсами;

·        выявить ключевые позиции и причины, влияющие на количество материальных ресурсов, хранящихся на складе;

·        перераспределить усилия персонала в зависимости от квалификации и имеющегося опыта.

И это далеко не полный перечень преимуществ, которые реализуются благодаря использованию описанного совмещенного метода.

Данные методы можно применять для оптимизации как производственных, так и товарных запасов.

Список используемой литературы

1.      Логистика: Учебник / А.М. Гаджинский. - 20-е изд. - М.: Издательско-торговая корпорация «Дашков и К°», 2012. - 484 с.

.        Стерлигова А.Н. Управление запасами в цепях поставок: Учебник - М.: ИНФРА-М, 2008.- 430 с.

.        Планирование на предприятии: Учебник / М.И. Бухалков. - 3-е изд., испр. - М.: ИНФРА-М, 2009. - 416 с.

.        Чейз Р.Б., Эквилайн Н.Дж., Якобс Р.Ф. / Производственный и операционный менеджмент, 8-е издание.: Пер. с англ.: М.: Издательский дом «Вильяме», 2004. - 950 с.

.        Бауэрсокс Доналд Дж., Клосс Дейвид Дж. / Логистика: интегрированная цепь поставок. 2-е изд. / Пер. с англ. Н.Н. Барышниковой, Б.С. Пинскера. - М.: ЗАО «Олимп-Бизнес», 2008. - 640 с.

.        Склад: логистика, управление, анализ / В.В. Волгин. - 10-е изд., перераб. и доп. - М.: Издательско-торговая корпорация «Дашков и К°», 2009. - 736 с.

Похожие работы на - Управление запасами с учетом классификации материально-технических ресурсов по значимости. Методы ABC и XYZ

 

Не нашли материал для своей работы?
Поможем написать уникальную работу
Без плагиата!
Без нейросетей!