Лекарственные формы, содержащие витамины

  • Вид работы:
    Курсовая работа (т)
  • Предмет:
    Медицина, физкультура, здравоохранение
  • Язык:
    Русский
    ,
    Формат файла:
    MS Word
    176,79 Кб
  • Опубликовано:
    2015-05-15
Вы можете узнать стоимость помощи в написании студенческой работы.
Помощь в написании работы, которую точно примут!

Лекарственные формы, содержащие витамины

Содержание

Введение

История открытия витаминов

Витамины. Определение и классификация

Лекарственные формы, содержащие витамины

Заключение

Список литературы

Введение

О витаминах наслышаны все. Известно, что они содержатся во многих продуктах, особенно в овощах и фруктах. Производители добавляют витамины в косметические средства, чтобы усилить их полезное действие; включают в состав пищевых добавок или витаминно-минеральных комплексов.

Витамины представляют собой органические вещества, необходимые для жизни. Их также называют микроэлементами. Они помогают нам усваивать нашу пищу, бороться с инфекциями и производить новые клетки. Витамины не могут вырабатываться организмом. Они помогают нашему организму работать с максимальной эффективностью.

Цель работы:

Провести оценку качества лекарственных форм содержащих витамины, внутриаптечного изготовления из имеющегося ассортимента аптек г. Москвы.

Задачи исследования:

закрепить имеющиеся знания о витаминах;

познакомиться с историей витаминов;

ознакомиться с существующими нормами и методами проведения внутриаптечного контроля лекарственных форм содержащих витамины;

провести анализ качества лекарственных форм содержащих витамины внутриаптечного изготовления.

Данная тема является актуальной уже потому, что в современном обществе, почти каждый испытывает недостаток или избыток каких-либо витаминов. И все это из-за плохой экологии, недосыпания, плохого питания, стрессовых ситуаций, а также тех или иных особенностей человека. Потребление витаминов и поддержание их в организме в нужных количествах, заметно сказывается на состоянии и здоровье людей. Лекарственные препараты содержащие витамины в настоящее время пользуются широким спросом. Они потребляются разными категориями населения: детьми, взрослыми, пожилыми людьми, беременными женщинами, поэтому следует уделять особое внимание при анализе того или иного лекарственного препарата содержащего витамины.

История открытия витаминов

История открытия витаминов берет свое начало в конце 18 века. Ко второй половине 19 века было выяснено, что пищевая ценность продуктов питания определяется содержанием в них в основном следующих веществ: белков, жиров, углеводов, минеральных солей и воды.

Практический опыт врачей и клинические наблюдения издавна с несомненностью указывали на существование ряда специфических заболеваний, непосредственно связанных с дефектами питания, хотя последнее полностью отвечало указанным выше требованиям. Об этом свидетельствовал также многовековой практический опыт участников длительных путешествий. Настоящим бичом для мореплавателей долгое время была цинга, от нее погибало моряков больше, чем например в сражениях или от кораблекрушений. Так, из 160 участников известной экспедиции Васко де Гама прокладывавшей морской путь в Индию-100 человек погибли от цинги.

История морских и сухопутных путешествий давала также ряд поучительных примеров, указывавших на то, что возникновение цинги может быть предотвращено, а цинготные больные могут быть вылечены, если в их пищу вводить известное количество лимонного сока или отвара хвои.

Таким образом, практический опыт ясно указывал на то, что цинга и некоторые другие болезни связанны с дефектами питания, что даже самая обильная пища сама по себе еще далеко не всегда гарантирует от подобных заболеваний и что для предупреждения и лечения таких заболеваний необходимо вводить в организм какие-то дополнительные вещества, которые содержаться не во всякой пище. Экспериментальное обоснование и научно-теоретическое обобщение этого многовекового практического опыта, впервые стали возможны благодаря открывшем новую главу в науке исследованием русского ученого Николая Ивановича Лунина, изучавшего в лаборатории Г.А. Бунге роль минеральных веществ в питании. Николай Иванович сделал весомый вклад в историю открытия витаминов Н.И.Лунин проводил свои опыты на мышах, содержавшихся на искусственно приготовленной пище. Эта пища состояла из смеси очищенного казеина(белок молока), жира молока, молочного сахара, солей, входящих в состав молока и воды. Казалось, налицо были все необходимые составные части молока; между тем мыши, находившееся на такой диете, не росли, теряли в весе, переставали поедать даваемый им корми, наконец, погибали. В то же время контрольная партия мышей, получившая 1 натуральное молоко, развивалась совершенно нормально. На основании этих работ Н.И. Лунин в 1880 г. пришел к следующему заключению:"...если, как вышеупомянутые опыты учат, невозможно обеспечить жизнь белками, жирами, сахаром, солями и водой, то из этого следует, что в молоке, помимо казеина, жира, молочного сахара и солей, содержатся еще другие вещества, незаменимые для питания. Представляет большой интерес исследовать эти вещества и изучить их значение для питания".

Врач Эйкман, также сделал вклад в историю открытия витаминов, работавший в тюремном госпитале на острове Ява, в 1896 году подметил, что куры, содержавшиеся во дворе госпиталя и питавшиеся обычным полированным рисом, страдали заболеванием, напоминающим бери-бери. После перевода кур на питание неочищенным рисом болезнь проходила.

Таким образом, стало ясно, что в оболочке риса (рисовых отрубях) содержится какое-то неизвестное вещество предохраняющее от заболевания бери-бери. В 1911 году польский ученый Казимир Функ выделил это вещество в кристаллическом виде (оказавшееся, как потом выяснилось, смесью витаминов); оно было довольно устойчивым по отношению к кислотам и выдерживало, например, кипячение с 20%-ным раствором серной кислоты. В щелочных растворах активное начало, напротив, очень быстро разрушалось. По своим химическим свойствам это вещество принадлежало к органическим соединениям и содержало аминогруппу. Функ пришел к заключению, что бери-бери является только одной из болезней, вызываемых отсутствием каких-то особых веществ в пище.

Несмотря на то, что эти особые вещества присутствуют в пище, как подчеркнул ещё Н.И. Лунин, в малых количествах, они являются жизненно необходимыми. Так как первое вещество этой группы жизненно необходимых соединений содержало аминогруппу и обладало некоторыми свойствами аминов, Функ (1912) предложил назвать весь этот класс веществ + витаминами (лат.vita-жизнь, amin-аминь). В последствии, однако, оказалось, что многие вещества этого класса не содержат аминогруппы. Тем не менее термин "витамины" настолько прочно вошел в обиход, что менять его не имело уже смысла.

После выделения из пищевых продуктов вещества, предохраняющего от заболевания бери-бери, был открыт ряд других витаминов. Большое значение в развитии учения о витаминах имели работы Гопкинса, Степпа, Мак Коллума, Мелэнби и многих других учёных.

В настоящее время известно около 20 различных витаминов. Установлена и их химическая структура; это дало возможность организовать промышленное производство витаминов не только путём переработки продуктов, в которых они содержаться в готовом виде, но и искусственно, путём их химического синтеза.

Витамины. Определение и классификация

Витами́ны (от лат. vita - «жизнь») - группа низкомолекулярных органических соединений относительно простого строения и разнообразной химической природы. Они поступают в организм животного и человека с пищей, в небольших количествах и играют большую роль как биокатализаторы в процессе обмена веществ. Недостаток, как и избыток витаминов в организме одинаково вредны, так как вызывают глубокие нарушения различных функций организма, что приводит к тяжелым заболеваниям. При недостаточном содержании витаминов в организме развиваются заболевания, так называемые гиповитаминозы. Таким образом недостаток витамина С может вызвать цингу, недостаток витамина D- рахит, недостаток витамина А- слепоту, витамина В1- полиневриты и т.д. Заболевания связанные с отсутствием того или иного витамина в организме, называются авитаминозами. Избыточное же содержание в организме витаминов приводит к гипервитаминозам. Например, при избытке в организме витамина К, регулирующего свертываемость крови, возникает тяжелое заболевание- тромбофлебит, связанное с закупоркой кровеносных сосудов. Чтобы снять явления гипервитаминоза, на помощь приходят ингибиторы или антагонисты витаминов, так называемые антивитамины. К настоящему времени известны антагонисты почти для всех витаминов, но лекарственных препаратов среди них насчитывается не много.

В соответствии с химической классификацией все витамины подразделяют на 4 основные группы.

Витамины алифатического ряда.

Витамины алициклического ряда.

Витамины ароматического ряда.

Витамины гетероциклического ряда.

Каждая из этих групп имеет подгруппы, объединяющее витамины по более узким признакам их химической структуры.

Витамины. Производные алифатического ряда.

Кислота аскорбиновая (витамин С)ascorbinicum

γ˗Лактон˗2,3˗дегидро˗L˗гулоновой кислоты ()

Для определения подлинности кислоты аскорбиновой используется ее саособность к окислительно-восстановительным реакциям.

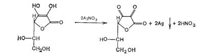
При действии на аскорбиновую кислоту раствором нитрата серебра происходит восстановление серебра (темный осадок); сама же аскорбиновая кислота окисляется и превращается в кетоформу.


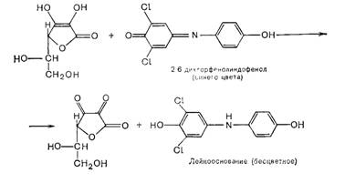
При действии на аскорбиновую кислоту раствором 2,6-дихлорфенолиндофенола (окрашенного в синий цвет) последний восстанавливается, превращаясь в бесцветное лейкооснование.


Кроме этих двух реакций, рекомендуемых ГФ, можно привести еще целый ряд реакций, основанных на восстановительных свойствах аскорбиновой кислоты.

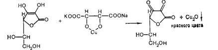
а) с реактивом Феллинга- СuO восстанавливается до Cu2O красного цвета


б) с раствором перманганата калия- происходит обесцвечивание раствора вследствие восстановления иона MnO-4 до иона Mn2+


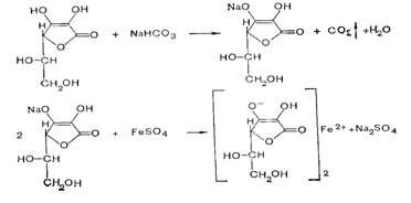
в) с гексацианоферратом (III) калия в присутствии разведенной хлороводородной кислоты, с последующим добавлением раствора хлорида железа (III) - образуется берлинская лазурь, окрашивающая раствор в синий цвет.


г) с раствором соли сульфата железа (II) - образуется аскорбинат железа, окрашенный в фиолетовый цвет


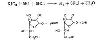
Количественное определение кислоты аскорбиновой также основано на ее химических свойствах. ГФ рекомендует иодатометрический метод. В этом случае титрантом служит раствор иодата калия. Титрование ведут в присутствии иодида калия и хлороводородной кислоты (индикатор крахмал) до стойкого синего окрашивания:

 

Количественное определение аскорбиновой кислоты можно проводить и иодометрическим методом[1] и методом нейтрализации[2] (как одноосновная кислота)

[1]

[2]

Применение

Применяют внутрь, внутримышечно и внутривенно. Выпускается в виде порошка, таблеток по 0,05г и в ампулах по 1, 2 мл 5-10% растворов. Кислоту аскорбиновую также часто применяют в комбинации с глюкозой (таблетки аскорбиновой кислоты с глюкозой), рутином (аскорутин). Она входит в состав поливитаминных препаратов.

Хранение. Следует хранить в хорошо укупоренной таре, предохраняющей от действия света, в сухом, прохладном месте.

Производные алициклического ряда.

Ретинолы (витамины группы А)

Ретинола ацетат acetas

 

По химической структуре ретинол является ненасыщенным первичным спиртом, который может окисляться до альдегида (каротиналя) и может образовывать сложные эфиры с кислотами. Эфиры ретинола обладают большей устойчивостью, чем он сам.

Из всех эфиров ретинола большей физиологоической активностью обладает уксусный эфир (ретинола ацетат), поэтому он принят в качестве международного стандарта и является фармакопейным препаратом. Ретинола ацетат представляет собой белые или бледно-желтые кристаллы со слабым запахом. Растворимы в спирте, хлороформе, эфире и жирных маслах; практически не растворим в воде.

Ретинол дает цветные реакции с растворами хлорида сурьмы (III), хлорида мышьяка (III), дихлоргидрином глицерина.

Фармакопейной реакцией является реакция с раствором хлорида сурьмы (III) в хлороформе.

Количественное определение ретинола ацетата основано либо на реакции его с хлороформным раствором хлорида сурьмы (III) (фотоколориметрический метод), либо на измерении поглощения ультрафиолетовой части спектра спиртовых или хлороформных растворов витамина.

Гф рекомендуетспектрофотометрическое определение ацетата ретинола в спиртовом растворе. В этом случае измеряютвелечины погашения спиртового раствора препарата (приготовленного из точной массы навески) на спектрофотометре в кювете с толщиной слоя 1 см при длине волны 326нм. Этой длине волны соответствует максимум поглощения. Сопоставляя величину экстинкции (Е1%/1 см) для испытуемого раствора с величиной экстинкции стандартного раствора, рассчитывают содержание ацетата ретинола по соответствующей формуле.

Хранение.

Вследствие легкой окисляемости ретинола ацетата препарат хранят в запаянных в токе азота ампулах при температуре не выше 5˚С.

Кальциферолы (витамины группы D)

Определение подлинности витамина D проводится реакцией с раствором хлорида сурьмы (III) - образуется оранжево-розовое окрашивание в отличие от витамина А, который дает с этим реактивом синее окрашивание.

Фармакопейнымм препаратом витамина D является раствор эргокальциферола в масле 0,125% (Solutio Ergocalciferoli oleosa 0.125%). Это прозрачная маслянистая жидкость от светло-желтого до темно-желтого цвета.

Подлинность препарата определяется с раствором хлорида сурьмы(III) и хроматографически.

Количественное определение препарата ГФ рекомендует проводить фотоэлектроколориметрически, используя цветную реакцию препарата с раствором хлорида сурьмы(III).

Применение.

Основная функция витамина D - это регуляция обмена фосфора и кальция в организме, содействие всасывания этих веществ кишечником и отложение их в растущие кости.

Хранение.

Препараты витамина D следует хранить в плотно укупоренной таре, в склянках из темного стекла.

Производные гетероциклического ряда.

Производные оксиметилпиридина (витамины группы В6)

Пиридоксина гидрохлоридhydrochloridum

витамин лекарственный внутриаптечный качество


Определение подлинности.

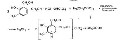
Химические свойства витамина обусловлены, с одной стороны, свойствами пиридинового цикла, с другой - свойствами имеющихся в пиридиновом ядре заменителей. Так, третичный атом азота в молекуле обусловливает реакции осаждения гидрохлорида пиридоксина комплексными кислотами - фосфорно-вольфрамовой и кремневольфрамовой кислотами, реактивом Драгендорфа и другими общеалкалоидными реактивами.

Фенольная гидроксильная группа подтверждается по реакции с раствором хлорида железа (III) (красное окрашивание, исчезающее при добавлении нескольких капель разведенной серной кислоты) и по реакции сочетания с 2,6-дихлорхинонхлормидом (образуется индофеноловый краситель голубого цвета). Этот реактив реагирует лишь с теми фенолами, у которых n-положение является незамещенным. Две последние реакции являются фармакопейными.

Для количественного определения пиридоксина гидрохлорида в препарате ГФ рекомендует два метода:

Метод кислотно-основного титрования в неводных средах;


Метод нейтрализации по связанной хлороводородной кислоте. Водный раствор препарата титруют гидроксидом натрия с индикатором бромтимоловым синим до появления голубой окраски.


Применение.

В лечебных целях пиридоксина гидрохлорид применяют при токсикозе во время беременности, пеллагре (совместно с никотиновой кислотой), различных видах паркинсонизма, острых и хронических гепатитах и других заболеваниях.

Хранение.

Следует хранить в хорошо укупоренных банках оранжевого стекла в прохладном месте; таблетки и ампулы - в защищенном от света месте.

Производные пиримидин-тиазола

(Витамины группы В1)

Тиамина бромидbromidum


Определение подлинности.

ГФ рекомендует реакцию образования тиохрома: при действии на тиамина гидробромид в щелочной среде раствора гексацианоферрата (III) калия образуется тиохром желтого цвета, а в ультрафиолетовом свете возникает интенсивно-синяя флюоресценция, которая исчезает при подкислении и вновь появляется при подщелачивании раствора.


Количественное определение содержания тиамина бромида в препарате ГФ предлагает проводить гравиметрическим методом. Для этой цели горячий раствор препарата, подкисленный хлороводородной кислотой, обрабатывают кремневольфрамовой кислотой. Образующийся осадок комплексной соли отфильтровывают через стеклянный, предварительно взвешенный фильтр, промывают горячей разбавленной хлороводородной кислотой, ацетоном. Фильтр с осадком высушивают над оксидом фосфора (V) при 100-105˚С до постоянной массы. Масса осадка, умноженная на коэффициент 0,25 соответствует количеству тиамина бромида, которого в препарате должно быть не менее 98%.

Также можно применить и аргентометрический метод после нейтрализации раствора препарата раствором гидроксида натрия (индикатор бромтимоловый синий).


Применение.

Препараты тиамина бромид и тиамина хлорид применяются внутрь и парентерально при авитаминозе В1, невритах, невралгии, периферических параличах.

Производные изоаллоксазина (витамины группы В2)

Рибофлавин

При освещении УФ-светом растворы рибофлавина дают интенсивную зеленую флюоресценцию, которая обусловлена наличием в молекуле свободной имидной группы в положении 3 изоаллоксазинового цикла.

При добавлении к флюоресцирующему раствору раствора гидроксида щелочного металла или кислоты флюоресценция исчезает, а при добавлении гидросульфита натрия исчезает и окраска вследствие восстановления рибофлавина в бесцветное соединение- лейкорибофлавин, который при окислении снова превращается в рибофлавин.


Эта реакция используется для идентификации препарата.

Способность рибофлавина к окислительно-восстановительным реакциям, обусловленная наличием лабильной азометиновой группировки (очерченная пунктиром), лечит в основе и биологической активности рибофлавина.

За счет первично-спиртовой группы сахара рибозы рибофлавин может образовывать сложные эфиры с кислотами. Эфир рибофлавина с концентрированной серной кислотой окрашен в вишнево-красный цвет и может служить для целей идентификации препарата. Также рибофлавин образует с солями тяжелых металлов (Fe, Co, Ni, Zn, Cu, Ag) нерастоворимые в воде комплексы, некоторые из которых окрашены, которые тоже могут использоваться для целей идентификации.

Рибофлавин устойчив к окислителям и нагреванию. Это отличает его от других витаминов группы В. Но при нагревании в щелочных растворах рибофлавин быстро разрушается. Еще большая неустойчивость рибофлавина проявляется к действию света. Под влиянием света неустойчив он и в кислой, и щелочной средах. Например, под действием света рибофлавин в щелочной среде образует люмифлавин, а в нейтральной и слабокислой - люмихром, в этом случае физиологическая активность рибофлавина исчезает.


Люмифлавин и люмихром могут оказаться нежелательными примесями в рибофлавине при неправильном хранении препарата.

Рибофлавин оптически активен. ГФ рекомендует в качестве константы, характеризующей подлинность и чистоту препарата, определять удельное вращение щелочного раствора (определенной концентрации) рибофлавина, которое должно быть от -110˚ до -130˚.

Для количественного определения рибофлавина используются: флюорометрический, колориметрический и спектрофотометрический методы. Первый основан на способности водных растворов рибофлавина давать интенсивную желто-зеленую флюоресценцию.

В основу колориметрических методов определения положены цветные реакции: с реактивом Дениже (раствор сульфата ртути (II) - оранжевое окрашивание; при pH 6,5-7,2 с раствором нитрата серебра - красное или розово-красное окрашивание (в зависимости от концентрации рибофлавина).

ГФ рекомендует для количественного определения рибофлавина спектрофотометрический метод, основанный на способности рибофлавина поглощать световую энергию при определенном значении длины волны. Для проявления В2 -витаминной активности молекула рибофлавина должна быть специфична. Даже незначительные изменения в структуре его молекулы влекут за собой снижение или полное исчезновение физиологической активности. Так, удаление метильных групп из положений 6 и 7 или их перемещение в положения 5 и 8 уничтожает биологическую активность.

Применение.

Применяется для лечения таких заболеваний как: стоматиты, дерматиты, конъюктивиты, катаракт.

Хранение.

В хорошо укупоренных банках оранжевого стекла.

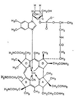
Кобаламины (витамины группы В12)

Цианокобаламин

 

Определение подлинности и чистоты витамина В12 базируется в основном на спектральной характеристике, но также могут быть использованы и химические методы, основанные на цветных реакциях. Например, ГФ приводит в качестве реакции идентификации цианокобаламина реакцию с раствором нитрозо- Р-соли С10 Н4 (NO)(OH)(SO3 Na)2 после разрушения цианокобаламина и создания определенного значения pH среды.

Можно вместо нитрозо-З-соли применить α-нитрозо-β-нафтол


Как тот, так и другой реактивы образуют красного цвета комплексы с кобальтом после разрушения молекулы витамина эти цветные реакции могут быть использованы и для количественного определения фотоколориметрическим методом.

Для количественного определения содержания витамина В12 в препарате часто применяют фотоколориметрические методы, основанные на естественной окраске растворов витамина В12. Фармакопейным методом количественного определения цианкобаламина является спектрофотометрический метод.

Витамин В12 является эффективным противоанемическим средством. Он необходим для нормального кроветворения и созревания эритроцитов. Так как он плохо всасывается, его назначают в/м, п/к, и в/в. Растворы витамина В12 готовят на изотоническом растворе хлорида натрия.

Хранение.

Хранить следует в хорошо закупоренных банках, в защищенном от света месте.

Лекарственные формы, содержащие витамины

Пропись №1.: Acidi ascorbinici 0,10,1.t.d. N.5по 1 порошку 1 раз в день.

Органолептический контроль. Белый, слегка желтоватый порошок, без запаха, кислого вкуса, однородный, сыпуч.

Определение подлинности. Аскорбиновая кислота.

К 0,01 г порошка прибавляют 2-3 капли воды, по 1-2 капли раствора гексацианоферрата калия и хлорида железа(III). Появляется синее окрашивание.


К 0,01 г порошка прибавляют 3-5 капель воды и 2-3 капли раствора серебра нитрата. Выделяется металлическое серебро в виде серого осадка.


Количественное определение.

Метод нейтрализации.

Растворяют 0,05 г порошка в 1-2 мл воды и титруют 0,1 моль/л раствором натрия гидроксида до розового окрашивания (индикатор фенолфталеин)


мл 0,1 моль/л раствора натрия гидроксида соответствует 0,0176 г аскорбиновой кислоты.

Метод йодатометрии.

Растворяют 0,05 г порошка в 1-2 мл воды и титруют 0,1 моль/л раствором йода до слабо-желтого окрашивания.


мл 0,1 моль/л раствора йода соответствует 0,0088 г аскорбиновой кислоты.

Пропись №2.: Riboflavini 0,002ascorbinici 0,02nicitinici 0,03chloridi 0,047purificatae 10 ml.t.d. N. 5По 1 столовой ложке 2 раза в день

Органолептический контраль. Прозрачная жидкость зеленовато-желтого цвета, без запаха, без механических включений.

Определение подлинности.

Рибофлавин. Раствор имеет зеленовато-желтый цвет и зеленое свечение в ультрафиолетовом свете.

Аскорбиновая кислота. См пропись №1

Никотиновая кислота. К 4-5 каплям раствора прибавляют по 0,5 мл 0,1 моль/л раствора соляной кислоты и 1% раствора аммония роданида, 1 мл раствора хлорамина. Через 10 мин добавляют 1 мл 96% этанола, 1,5 мл 1% раствора натрия барбитурата и нагревают 10 -15 мин на водяной бане при 75-80˚С. Появляется оранжево-красное окрашивание.

Количественное определение.

Рибофлавин. К 0,5 мл раствора прибавляют 9,5 мл воды и измеряют оптическую плотность (D1) полученного раствора при длине волны около 445 нм в кювете с толщиной слоя 10 мм. Раствор сравнения: вода.

Параллельно измеряют оптическую плотность (D2) раствора, содержащего 2,5 мл 0,004% стандартного раствора рибофлавина (0,0001 г) и 7,5 мл воды.

Содержание рибофлавина (X) в граммах вычисляют по формуле:


Аскорбиновая и никотиновая кислоты. Титруют 1 мл раствора 0,02 моль/л раствором натрия гидроксида до оранжевого окрашивания (индикатор фенолфталеин). (А мл)

К оттитрованной жидкости прибавляют 3-5 капель раствора крахмала и титруют 0,02 моль/л раствором йода до буро-синего окрашивания (Б мл) (аскорбиновая кислота).

мл раствора йода соответствует 0,00176 г аскорбиновой кислоты.

Количество 0,02 моль/л раствора гидроксида натрия (Х) в миллилитрах, израсходованное на титрование никотиновой кислоты, вычисляют по разности: Х=А - (Б/2)

мл 0,02 моль/л раствора натрия гидроксида соответствует 0,002462 г никотиновой кислоты

Пропись №3.: Riboflavinibromidi ana 0,002ascorbinici 0,05chloridi 0,08purificatae 10 ml.t.d. N.10По 1 чайной ложке 3 раз в день

Органолептический контроль. Прозрачная жидкость, желтоватого цвета, со слабым характерным запахом, без механических включений.

Определение подлинности.

Тиамина бромид. К 1-2 каплям раствора прибавляют по 2-3 капли раствора натрия гидроксида и гексоцианоферрата (III) калия. Образуется тиохром желтого цвета, а в ультрафиолетовом свете возникает интенсивно-синяя флюоресценция, которая исчезает при подкислении и вновь появляется при подщелачивании раствора.


Рибофлавин. См. пропись №2

Аскорбиновая кислота. См. пропись №1

Количественное определение.

Рибофлавин. См пропись №2

Аскорбиновая кислота см пропись №1

Тиамина бромид.

Аргентометрический метод после нейтрализации раствора препарата раствором гидроксида натрия (индикатор бромтимоловый синий).


Пропись №4.: Pyridoxini hydrochloridi 0,0050,2.t.d. N.3. По 1 порошку 2 раза в день.

Пиридоксина гидрохлорид

Органолептический контроль. Белый порошок, без запаха, однородный, сыпуч.

Определение подлинности. Пиридоксина гидрохлорид. 1. Растворяют 0,01 г порошка в 2-3 каплях воды и прибавляют 1-2 капли раствора хлорида железа (III). Появляется красное окрашивание.

. К 0,01 г порошка прибавляют 1-2 капли раствора аммония ванадата в концентрированной серной кислоте. Появляется сине-фиолетовое окрашивание.

Количественное определение. 1. Растворяют 0,2 г порошка в 2 мл воды и титруют 0,02 моль/л раствором натрия гидроксида до голубого окрашивания (индикатор бромтимоловый синий).

мл 0,02 моль/л раствора натрия гидроксида соответствует 0,004112 г пиридоксина гидрохлорида.


Пропись №5.: Acidi nicotinici 0,0050,2tales doses N. 3. По 1 порошку 3 раза в день

Никотиновая кислота.

Органолептический контроль. Белый порошок, без запаха, однородный, сыпуч.

Определение подлинности. 1. Растворяют 0,1 г порошка в 0,5 мл воды, прибавляют 5-6 капель раствора бромциана и 0,5 мл анилиновой воды. Появляется желтое окрашивание.

. К 0,1 г порошка прибавляют 2 капли раствора калия бихромата, 5 капель раствора пергидроля в ацетоне, 1-2 мл хлороформа и взбалтывают. Хлороформный слой окрашивается в фиолетовый цвет.

Количественной определение. 1. Растворяют 0,1 г порошка в 2-3 мл воды и титруют 0,02 моль/л раствором натрия гидроксида до розового окрашивания (индикатор - фенолфталеин).

Заключение

В данной работе мы закрепили имеющиеся знания о витаминах, познакомились с историей открытия витаминов. Так же ознакомились с имеющимися нормами и методами проведения внутриаптечного контроля лекарственных форм содержащих витамины. И теоретически провели качественный анализ лекарственных форм содержащих витамины. Еще мы выяснили, что витамины играют не малую роль в жизни человека и в аптеку за ними обращается чуть ли не каждый второй. Витаминных препаратов - множество. А что касается изготовления лекарственных препаратов, в аптечных условиях, то они тоже пользуются большим спросом среди населения. Поэтому, аптечным работникам, нужно не только сохранять технологию изготовления, соблюдать санитарный режим, все нормы и правила, но и должны быть знания и умения в проведении качественного и количественного анализа лекарственных форм. Для того, чтобы обезопасить пациента, и оградить себя от нежелательных последствий.

Список литературы

1.      Мелентьева Г.А., Антонова Л.А. Фармацевтическая химия - М.: Медицина, 1985 - 480 с.

.        Глушенко Н.Н., Плетенева Т.В. Фармацевтическая химия: Учебник для студ. сред. проф. учеб. заведений - М.: «Академия», 2004 - 384 с.

.        Т.С. Морозкина, А. Г. Мойсеёнок. Витамины: Краткое рук. для врачей и студентов мед., фармацевт. и биол. специальностей. - Мн.: ООО "Асар", 2002. - 112 с.

.        А.А. Савченко, Е.Н. Анисимова, А.Г. Борисов, А.Е. Кондаков. Витамины как основа иммунометаболической терапии. - Красноярск.: КрасГМУ, 2011. - 213 с.

.        В. А. Девятнин. Витамины. - М.: Пищепромиздат, 1948. - 279 с.

.        Мецлер Д. Биохимия, тт. 1-3. М., 1980 Марри Р., Греннер Д., Майес П., Родуэлл В. Биохимия человека, т. 2. М., 1993

.        Романовский В.Е., Синькова Е.А., Витамины и витаминотерапия. Серия "Медицина для вас". - Ростов н/д: "Феникс", 2000, 320 с.

.        И.И. Матутис» Витамины и антивитамины”1975 ”Сов. Россия”, 245с.

.        “Энциклопедический словарь юного химика” - Москва 1990 Педагогика,650с.

Похожие работы на - Лекарственные формы, содержащие витамины

 

Не нашли материал для своей работы?
Поможем написать уникальную работу
Без плагиата!
Без нейросетей!