Лекарственные средства стероидных гормонов и их синтетические аналоги

  • Вид работы:
    Курсовая работа (т)
  • Предмет:
    Медицина, физкультура, здравоохранение
  • Язык:
    Русский
    ,
    Формат файла:
    MS Word
    284,41 Кб
  • Опубликовано:
    2015-02-09
Вы можете узнать стоимость помощи в написании студенческой работы.
Помощь в написании работы, которую точно примут!

Лекарственные средства стероидных гормонов и их синтетические аналоги















Лекарственные средства стероидных гормонов и их синтетические аналоги

Введение

Гормональные препараты − это лекарственные средства, которые содержат гормоны <#"818930.files/image001.gif">

Стероидные гормоны разделяются на три группы:

. Эстран, образуемый путем присоединения к стерану метильной группы СН3, является материнским соединением для всех эстрогенных гормонов, в состав которых входят 18 атомов углерода.


. Андростаи, образуемый путем присоединения к стерану двух метильных групп, является материнским соединением для андрогенов.


. Группа С 21 атомом углерода (С21), к которой относятся гестагеиы (прогестероновые соединения), а также кортикоиды. Они содержат две метальные группы (СН3), а к 17-му атому углерода присоединена этильная группа СН2-СН3.


По физиологическому действию выделяют четыре наиболее общие группы стероидных гормонов: минералкортикоиды, глюкокортикоиды, андрогены и эстрогены. Основными представителями этих каждой из этих групп являются альдостерон, кортизол, тестостерон и эстрадиол соответственно. Кроме того, выделяют группу прогестагенов, основным представителем которой является прогестерон.

Дополнительно разделяют стероидные гормоны из этих пяти групп на две условные группы: половые гормоны (прогестагены, андрогены и эстрогены) и кортикостероиды (минералкортикоиды и глюкортикоиды).

1.1 Кортикостероиды и их синтетические аналоги

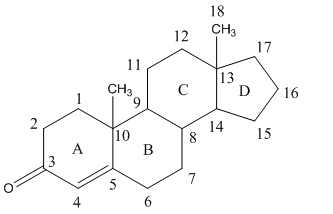
Корковый слой надпочечниковых желез вырабатывает гормоны, которые называют кортикостероидами. Во всех гормонах этого ряда в положении 3 стероидного цикла всегда находится кетогруппа, двойная связь в положении 4. В положении 17 у всех кортикостероидов есть лабильная  б-кетольная группа и поэтому они все являются восстановителями.

По действию на организм кортикостероиды условно разделяют на две группы: минералокортикоиды и глюкокортикоиды. Первая из них активно регулирует минеральный обмен и слабо влияет на углеводный и белковый обмен. Проявлению минералокортикоидной активности способствует отсутствие кислородной функции (кето- или оксигруппы) в положении 11 стероидного цикла и оксигруппы в положении 17. Минералокортикостероидом, который чаще всего применяется в медицинской практике, является дезоксикортикостерона ацетат (ДОКСА).

Основными представителями второй группы - эндогенными (природными) глюкокортикостероидами являются кортизол (гидрокортизон) и кортизон. Они активно влияют на углеводный и белковый обмены, но менее активны относительно водного и солевого обменов. Способствуют накоплению в печени гликогена, повышают содержание глюкозы в крови, вызывают увеличение выведения азота с мочой. Глюкокортикостероиды проявляют противовоспалительное, десенсибилизирующее и антиаллергическое действие, имеют противошоковый и антитоксический эффект.

Высокая терапевтическая активность кортизона и гидрокортизона сопровождается рядом нежелательных побочных эффектов: нарушением водно-солевого обмена и обмена азота, отеками, повышением содержания сахара в крови. Длительное применение приводит к угнетению функций коры надпочечниковых желез.

С целью уменьшения побочных эффектов, усиления противовоспалительной, десенсибилизирующей и антигистаминной активности получен ряд синтетических аналогов кортизона и гидрокортизина. Так, введением двойной связи в положении 1 синтезирован преднизолон.

Введение атома фтора в 9 б-, метильной или оксигрупп в 16 б- положение получены дексаметазон и триамцинолон. Они обладают минимальной минералокортикоидной активностью, но их противовоспалительная активность в 20 -40 раз превышает активность гидрокортизона.

Флуметазона пивалат и флуоцинолона ацетонид (синафлан), которые содержат атомы фтора в 9 б- и 6 б- положениях, имеют очень высокую противовоспалительную активность (в 150 - 300 раз превышают активность гидрокортизона). Вместе с тем они практически не всасываются при местном применении и поэтому, в отличие от других кортикостероидов, не вызывают побочных эффектов.

.1.1 Свойства и идентификация кортикостероидов

Гормоны кори надпочечников и их синтетические аналоги - это белые кристаллические вещества, которые иногда имеют желтоватый или кремовый оттенок, без запаха. Они практически нерастворимы в воде, тяжело или мало растворимы в большинстве органических растворителей. Дезоксикортикостерона ацетат и кортизона ацетат легко растворяются в хлороформе. Кортикостероиды и их аналоги являются правовращающими оптическими изомерами.

В методах идентификации лекарственных веществ из группы кортикостероидов и их аналогов много общего. При нагревании на водяной бане смеси спиртового раствора вещества и медно-тартратного реактива выпадает красно - оранжевый осадок купрум (I) оксида. Реакция обусловлена восстановительными свойствами б - кетольной группы, которая легко окисляется до карбоксильной:


Кроме медно-тартратного реактива, как окислители могут быть использованы аммиачный раствор серебра нитрата (реакция «серебряного зеркала»), фосфорномолибденовая кислота, соли железа (III).

При окислении кортикостероидов этанольным раствором трифенилтеразолия хлоридом в присутствии раствора тетраметиламмония гидроксида, как продукт восстановления образуются окрашенные в красный цвет фармазоны:


Реакцию используют для идентификации и количественного определения методом спектрофотометрии.

.1.2 Лекарственные субстанции из группы кортикостероидов

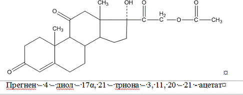
Дезоксикортикостерона ацетат

Desoxycorticosteroni acetas

 

 

Идентификация:

Восстанавливает медно-тартратный реактив (б - кетольная группа); дает красно-коричневое окрашивание в реакции гидроксамовой пробы  (21-ацетат). При растворении в сульфатной концентрированной кислоет и дальнейшем добавлении воды появляется вишневое окрашивание с зеленовато-коричневой флюоресценцией. После добавления хлороформа и встряхивания нижний слой окрашивается в желтый цвет, верхний - в зеленый (стероидный цикл).

Количественное определение:

Спектрофотометрия в УФ-свете.

В 0,5 % масляном растворе для инъекций содержание действующего вещества определяют фотоколориметрическим методом после нагревания с фосфорной концентрированной кислотой.

Применение:

Для лечения болезни Аддисона, миастении, астении, общей мышечной слабости и других заболеваний.

Кортизона ацетат

Cortisoni acetas

 

 

Идентификация:

Дает желтое окрашивание с фенилгидразина сульфатом (кетогруппа в положении 3); восстанавливает медно-тартратный реактив (б - кетольная группа); дает темно-вишневое окрашивание в реакции гидроксамовой пробы (21 - ацетат). При растворении в сульфатной концентрированной кислоте постепенно появляется желтое окрашивание (стероидный цикл); через 15 -20 мин. наблюдается желтая флюоресценция (отличие от преднизолона).

Количественное определение:

Спектрофотометрия в УФ-свете в спиртовом растворе при л=238 нм при сравнении со стандартным раствором.

Гидрокортизона ацетатaсetas

 

 

Свойства:

Кристаллический порошок белого или практически белого цвета. Практически нерастворимый в воде, малорастворимый в этаноле и метиленхлориде. Плавится при температуре около 2200 с разложением.

Идентификация:

1. Физико-химические методы: ИК-спектроскопия, тонкослойная хроматография.

. При растворении в сульфатной концентрированной кислоте образуется интенсивное коричневато-красное окрашивание с зеленой флюоресценцией, особенно интенсивной в УФ-свете. Полученный раствор добавляют в воду и перемешивают; раствор обесцвечивается, а флюоресценция не исчезает (стероидный цикл).

. Субстанция дает характерную реакцию на ацетил.

. Нефармакопейные реакции: а) восстановление медно-тартратного реактива; б) с трифенилтетразолия хлоридом в спиртовой среде в присутствии калия гидроксида дает красное окрашивание (б - кетольная группа); в) вступает в реакцию образования этилацетата и ацетилгидроксамата железа (III) (21 - ацетат); г) с изониазидом в присутствии хлористоводородной кислоты или фенилгидразином в присутствии сульфатной кислоты дает желтое окрашивание (кетогруппа в положении 3).

Количественное определение:

Спектрофотометрия. Содержание действующего вещества расчитывают по методу удельного показателя поглощения.

Дексаметазон

Dexamethasonum

 

 

Идентификация:

При нагревании спиртового раствора дексаметазона с фенилгидразина сульфатом появляется желтое окрашивание (кетогруппа в положении 3). При растворении субстанции в сульфатной концентрированной кислоте через 5 мин. появляется слабое красно-коричневое окрашивание, которое исчезает после добавления воды (стероидный цикл). Возможно применение УФ- и ИК-спектроскопии, а также тонкослойной хроматографии.

Триамцинолон

Triamcinolonum

 


Идентификация:

Наличие фтора в структуре триамцинолона определяют после сжигания в колбе с кислородом по реакции с тория нитратом в присутствии ализаринового красного в среде буферного раствора калия гидрофталата. Параллельно проводят контрольный опыт. Окрашивание контрольного опыта должно быть интенсивнее, чем в исследуемом растворе. Также возможно применение УФ- и ИК-спектроскопии.

Количественное определение: спектрофотометрия.

Флюоцинола ацетонид

Fluocinoli acetonidum

 

 

Идентификация: ИК-спектроскопия, тонкослойная хроматография.

Количественное определение: проводится спектрофотометрически по продуктам реакции с трифенилтетразолия хлоридом.

Флюметазона пивалат

Flumetasoni pivalus


3. Расчетная задача

 

Rp.: Tab. Prednisoloni 0,005

Идентификация:

1 г порошка растертых таблеток помещают в небольшую колбу, прибавляют 20 мл хлороформа, взбалтывают в течение 5 мин. и фильтруют. Фильтрат упаривают приблизительно до 5 мл и добавляют 15 мл изооктана. Выпавший осадок отфильтровывают. Полученный осадок используют для проведения реакций идентификации.

. 1 мг осадка растворяют в 1 мл метилового спирта, прибавляют 5 мл фенилгидразина сульфата и нагревают на водяной бане; через 5 мин. появляется желтое окрашивание.


. 0,01 г осадка растворяют в 1 мл метилового спирта, прибавляют 1 мл реактива Фелинга и нагревают на водяной бане; образуется красно-оранжевый осадок.


3. 1 мг осадка растворяют в 2 мл концентрированной серной кислоты; через несколько минут появляется красное окрашивание (отличие от преднизолона и кортизона ацетата).

. Температура плавления 227 - 2300 (с разложением).

. Удельное вращение от +960 до +1040 (1% раствор в диоксане из высушенного осадка).

Количественное определение:

0,06-0,07 г (точная навеска) порошка растертых таблеток помещают в небольшой стакан, прибавляют 10 мл метилового спирта и растворяют преднизолон при легком подогревании на водяной бане и помешивают палочкой в течение 10 минут. После охлаждения раствор фильтруют в мерную колбу емкостью 100 мл с притертой пробкой. Стакан промывают метиловым спиртом, фильтруют через тот же фильтр. Объем раствора доводят метиловым спиртом до метки и хорошо перемешивают. Измеряют оптическую плотность полученного раствора на спектрофотометре при длине волны 242 нм в кювете с толщиной слоя 1 см. в качестве контрольного раствора применяют метиловый спирт.

Содержание преднизолона в одной таблетке в граммах (Х) вычисляют по формуле:


Содержание преднизолона должно быть 0,0045 - 0,0055 г, считая на средний вес одной таблетки.

Расчеты:

 

 m ср.т= 0,05 г X=0,005 г m н=0,06543 г  = 415

 А = 2,72 Ответ: А=2,72


Заключение

Гормональные препараты − это лекарственные средства, которые содержат гормоны <http://ru.wikipedia.org/wiki/%D0%93%D0%BE%D1%80%D0%BC%D0%BE%D0%BD%D1%8B> или гормоноиды, которые проявляют фармакологические <http://ru.wikipedia.org/wiki/%D0%A4%D0%B0%D1%80%D0%BC%D0%B0%D0%BA%D0%BE%D0%BB%D0%BE%D0%B3%D0%B8%D1%8F> эффекты подобно гормонам.

Стероидные гормоны - группа физиологически активных веществ (половые гормоны, кортикостероиды и др.), регулирующих процессы жизнедеятельности у животных и человека.

Стероидные гормоны - один из главных классов гормональных соединений всех видов позвоночных и многих видов беспозвоночных животных. Они являются регуляторами фундаментальных процессов жизнедеятельности многоклеточного организма - координированного роста, дифференцировки, размножения, адаптации, поведения.

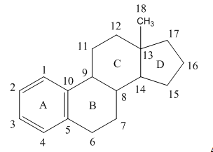
Все стероидные гормоны берут начало от углеводорода стерана, структурной основой которого является циклопентанпергпдрофенантреновое ядро, образованное четырьмя соединенными между собой углеродными кольцами: три кольца состоят из 6, а четвертое - из 5 углеродных атомов.

По физиологическому действию выделяют четыре наиболее общие группы стероидных гормонов: минералкортикоиды, глюкокортикоиды, андрогены и эстрогены.

Корковый слой надпочечниковых желез вырабатывает гормоны, которые называют кортикостероидами. Во всех гормонах этого ряда в положении 3 стероидного цикла всегда находится кетогруппа, двойная связь в положении 4. В положении 17 у всех кортикостероидов есть лабильная б-кетольная группа и поэтому они все являются восстановителями.

По действию на организм кортикостероиды условно разделяют на две группы: минералокортикоиды и глюкокортикоиды.

Гормоны кори надпочечников и их синтетические аналоги - это белые кристаллические вещества, которые иногда имеют желтоватый или кремовый оттенок, без запаха.

В методах идентификации лекарственных веществ из группы кортикостероидов и их аналогов много общего.

Для количественного определения чаще всего применяют спектрофотометрию.

Список литературы

стероидный гормон фармакологический лекарственный

1. Фармацевтична хімія. Підручник для студентів вищ. фармац. начальних закладів і фарм. фак. вищих мед. навчальних закладів III-IV рівнів акредитації / За заг. ред. П.О. Безуглого. - Вінниця: Нова книга, 2008. - 560 с.

. Беликов В.Г. Фармацевтическая химия. В 2 частях. Часть 1. Общая фармацевтическая химия: Учеб. для фармац. ин-тов и фак. мед. ин-тов. -- М.: Высш. шк., 1993. - 432 с.

. Глущенко Н.Н. Фармацевтическая химия: Учебник для студ. сред. проф. учеб. заведений / Н.Н. Глущенко, Т.В. Плетенева, В.А. Попков; Под ред. Т.В. Плетеневой. -- М.: Издательский центр «Академия», 2004. -- 384 с.

4. Государственная фармакопея Украины / Государственное предприятие «Науково-експертний фармакопейний центр». - 1-е изд. - Х.: РІРЕГ, 2001. - 503 с.

. Государственная фармакопея СССР. - ХІ изд. - М.: Медицина; Вып. 1. - 1987. - 336 с.; Вып. 2 - 1989. - 400 с.

6. Компендиум 2013 - лекарственные препараты; под ред. В. Н. Коваленко, А.П. Викторова. - К.: МОРИОН, 2013 - 1458 с.

7. Коренман И.М. Фотометрический анализ - М.: Химия, 1970

. Машковский М.Д. Лекарственные средства: В 2-х т. Т. 1. - 14-е изд. - М.: ООО «Изд-во Новая волна», 2000. - 540 с.

9. Мелентьева Г.А., Антонова Л.А. Фармацевтическая химия. -- М.: Медицина, 1985.-- 480 с.

. Фармацевтическая химия: Учеб. пособие / Под ред. Л.П. Арзамасцева. - М.: ГЭОТАР-МЕД, 2004. - 640 с.

. Фармацевтический анализ лекарственных средств / Под общей редакцией В.А. Шаповаловой - Харьков: ИМП «Рубикон», 1995

. Фармацевтичний аналіз: Навч. посіб. для студ. вищ. фармац. навч. закл. III--IV рівнів акредитації/П.О. Безуглий, В.О. Грудько, С.Г. Леонова та ін.; За ред. П.О. Безуглого,-- X.: Вид-во НФАУ; Золоті сторінки, 2001.-- 240 с.

. Халецкий A.M. Фармацевтическая химия - Ленинград: Медицина, 1966

Похожие работы на - Лекарственные средства стероидных гормонов и их синтетические аналоги

 

Не нашли материал для своей работы?
Поможем написать уникальную работу
Без плагиата!
Без нейросетей!