Технико-экономическое обоснование проекта по производству циклических карбонатов на основе рапсового масла

  • Вид работы:
    Дипломная (ВКР)
  • Предмет:
    Маркетинг
  • Язык:
    Русский
    ,
    Формат файла:
    MS Word
    609,49 Кб
  • Опубликовано:
    2015-07-02
Вы можете узнать стоимость помощи в написании студенческой работы.
Помощь в написании работы, которую точно примут!

Технико-экономическое обоснование проекта по производству циклических карбонатов на основе рапсового масла

Содержание

Список обозначений и сокращений

Введение

. Сущность предлагаемого проекта

1.1 Описание образца инновационного продукта, потребителей и рынка сбыта

1.2 Оценка конкурентов и SWOT-анализ продукта

1.3 Маркетинговая поддержка проекта

2. План производства

2.1 Краткий аналитический обзор, включающий литературный, патентный обзор

.2 Описание технологической схемы производства согласно чертежу технологической схемы

2.3 Технологическое оборудование, необходимое для производства запланированного объема товара, и стоимость оборудования

.4 Расчет потребления энергии, сырья и материалов

2.5 Организационная схема проекта

3. Расчет точки безубыточности

. Экономическое обоснование проекта

5. Анализ рисков инвестиционных проектов

6. Стандартизация

Выводы

Список используемой литературы

Приложение

Список обозначений и сокращений

ПУ - полиуретан

НПУ - неизоцинатный полиуретан

ЛКМ - лакокрасочный материал

Пк - покрытие

УГ - уретангликоль

УС - р-уретаноспирт

УО - уретановый олигомер

УФО - уретанформальдегидный олигомер

ЭО - эпоксидный олигомер

ЭУО - эпоксиуретановый олигомер

ДМФА - диметилформамид

ГМДА - гексаметилендиамин

ДБСК - додецилбензолсульфокислота

ПК - 1,2-пропиленкарбонат

ЭК - этиленкарбонат

ЭДА - этилендиамин

ДЛДБО - дилаурат дибутилолова

ЦКРМ - циклокарбонатов растительных масел.

 

Введение


К настоящему времени разработаны многие классы полимерных материалов, отличающихся химической структурой, физическим строением и пригодных для практического использования в различных областях применения. Однако известен только один класс полимеров, который может служить основой для получения большинства технически ценных видов полимерных материалов. Таким классом полимеров являются полиуретаны (ПУ).

Полиуретановые материалы являются широко распространенными полимерами в народном хозяйстве. Они характеризуются комплексом ценных эксплуатационных свойств, а именно высокой прочностью, высоким относительным удлинением устойчивостью гидролитическому воздействию и устойчивости к воздействию некоторых видов агрессивных сред. Однако, основным недостатком полиуретановых материалов является их низкая устойчивость к воздействию к термической и термоокислительной деструкции, причем полиуретаны являются горючими полимерами, их кислородный индекс составляет 17-19%. Поэтому повышение устойчивости полиуретанов к воздействию высоких температур и к воздействию открытого пламени является актуальной задачей.

Снижение влияния этого недостатка на работоспособность полимеров в процессе их эксплуатации осуществляют за счет модификации. Существуют несколько способов модификации. Модификация может быть физической и осуществляется путем наполнения полимерного материала различного рода продуктами без образования химических связей, либо химической. В этом случае присутствуют химические связи между полимерной матрицей и соединением модификатора. В свою очередь химическая модификация может быть осуществлена на различных стадиях получения и переработки полимеров.

Полиуретаны - один из новых видов полимерных материалов, имеющих большое промышленное значение. К полиуретанам относят высокомолекулярные соединения, содержащие значительное количество уретановых групп, независимо от строения остальной части молекул. Обычно эти полимеры получают при взаимодействии полиизоцианатов с веществами, имеющими несколько гидроксильных групп, например с гликолями. Такие вещества могут содержать и другие реакционно-способные группы, в частности аминные и карбоксильные. Поэтому в полиуретанах кроме уретановых групп можно обнаружить амидные, эфирные (простые и сложные) группы, а также ароматические и алифатические радикалы. Эти полимеры называют иногда "полиуретанами", иногда - "изоцианатными полимерами".

Если сравнивать их с такими "гигантами" современной крупнотоннажной индустрии пластических масс, как полиэтилен, поливинилхлорид, полистирол, то ПУ являются наиболее универсальными полимерами. На их основе изготавливают эластичные, полужесткие и жесткие материалы. ПУ перерабатывают практически всеми существующими технологическими методами - экструзией, прессованием, литьем, заливкой и т.д. На их основе получают большинство известных типов материалов и изделий: наполненные, армированные, вспененные, ламинированные и другие в виде листов, плит, блоков, профилей, волокон, пленок, покрытий, адгезивов. Изделия и конструкции из ПУ используют почти во всех отраслях промышленности.

ПУ представляют собой высокомолекулярные соединения с уретановыми группами - NHC(О)О - в основной цепи. В макромолекулах ПУ кроме уретановой группы могут присутствовать также простые эфирные, сложноэфирные, карбамидные и другие функциональные группы.

В зависимости от структуры исходных компонентов и условий синтеза можно получать ПУ различного строения с разнообразными свойствами, что определяет их применение. ПУ характеризуются высокими физико-механическими и электроизоляционными свойствами, износостойкостью, адгезией к различным поверхностям, атмосферо- и водостойкостью, удовлетворительной устойчивостью в слабых кислотах, щелочах, растворителях

Традиционные способы получения полиуретанов основаны на использовании полиизоцианатов и гидроксилсодержащих соединений. Они подробно описаны в ряде монографий, учебных пособий, других многочисленных публикациях, количество которых постоянно возрастает. При функциональности исходных реагентов, равной двум, получают линейные полимеры. Процесс их образования можно представить схемой

- R - NCO + n HO - R' - OH -OCN-[RNHC(O)OR'OC(O)NH]n-1 -RNHC(O)OR'ОН.

Широкое применение находят ПУ сетчатого строения, которые образуются, если функциональность хотя бы одного из реагентов более двух. В качестве полиизоцианатов наиболее часто используют толуилендиизоцианаты (2,4 - изомер, 2,6 - изомер и их смеси), дифенилметандиизоцианат, изофорондиизоцианат, нафтилидендиизо-цианат, гексаметилендиизоцианат.

Гидроксилсодержащими компонентами при синтезе ПУ служат простые и сложные полиэфиры, сополимеры различного строения, а также короткоцепные многоатомные спирты, например, 1,4-бутиленгликоль, триметилолпропан.

Традиционные способы получения ПУ не лишены недостатков, связанных с использованием изоцианатов. Изоцианаты являются высокотоксичными соединениями, что порождает серьезные санитарно-гигиенические и экологические проблемы. Высокая реакционная способность изоцианатов по отношению к влаге вызывает необходимость использования для их хранения абсолютно герметичной тары и тщательного обезвоживания всех компонентов композиций

Цель данной работы заключается в проведении технико-экономического обоснования проекта по производству циклических карбонатов на основе растительного сырья - в данном случае рапсового масла.

Для достижения указанной цели был поставлен ряд задач:

) Исследование рынка сбыта и потребителей предлагаемой продукции;

) Выявление сильных и слабых сторон проекта.

) Разработка маркетинговой стратегии проекта.

) Разработка технологической схемы производства, выбор сырья, составление материального баланса процесса, согласно требуемой производительности.

) Анализ экономической части проекта, а именно:

расчет точки безубыточности;

технико-экономическое обоснование проекта;

определение рисков, которые возникают при реализации проекта.

Успешная реализация сформулированной цели достигается посредством решения комплекса задач проекта, суть и краткое содержание которых можно охарактеризовать следующим образом:

рассмотреть существующие теоретические подходы к продвижению инновационной продукции;

провести обоснование эффективности внедрения новой технологии производства;

составить характеристику новой продукции;

- сформулировать возможные стратегии продвижения товара на рынок, а также предложить методические рекомендации по внедрению нового производства.

1. Сущность предлагаемого проекта


1.1 Описание образца инновационного продукта, потребителей и рынка сбыта


В последние годы значительное внимание уделяется разработке способов получения полиуретана (ПУ) неизоцинатными способами, с применением пленкообразователей и 1,2-пропиленкарбонатами (ПК), а также технологии получения неизоцианатного полиуретана (НПУ). Данные технологии позволяют заменить ядовитые изоцианаты на местное сырье - растительные масла (например: рапсовое, соевое, подсолнечное, таловое, льняное, хлопковое, пальмовое). Например, Татарстан ежегодно производит 20 тыс. т. этого продукта. А синтез полиуретанов невозможен без изоцианатов.

К тому же технологии получения неизоционатных полиуретанов на базе циклокарбонатов позволяют снизить на 30% себестоимость производства полиуретана (сейчас она составляет 72 тыс. рублей на тонну). Кроме того, продукты из НПУ экологически безопасные, применение НПУ повышают их физико-механические свойства.

Исследования в этом направлении ограничены, и большинство из них не выходит за рамки лабораторного синтеза. В тоже время актуальность разработки эффективных методов получения неизоционатных полиуретанов на базе циклокарбонатов растительных масел делает перспективным анализ достижений в этой области свойств.

По данным ИК "Солид", доля полиуретана в мировом производстве пластмасс - 9,2%, в России этот показатель - лишь 5,5%. Объем российского рынка полиуретанов растет темпами от 15% до 20%, по оценкам BASF, приближается к 450 тыс. тонн, или около $1 млрд. в год. В 2010 году объем мирового рынка составлял 14 млн. тонн, или $33 млрд. К 2016 году он будет 18 млн. тонн, или $55 млрд.

Неизоцинатные полиуретаны (НПУ) легко получаются при взаимодействии бисхлорформиатов диолов с диаминами.


Достоинством этого метода является то, что на основе вторичных аминов можно получить К-алкилированные ПУ, которые невозможно синтезировать через диизоцианаты. Среди ПУ такого строения интерес представляют полимеры на основе пиперазина с высокой термо и гидролитической стойкостью. Если в реакцию ввести третий реагент - дихлорид двухосновной кислоты, то образуются полиамидоуретаны.

Полимеризующиеся уретансодержащие олигомеры акрилового типа синтезируют межфазной поликонденсацией полиаминов с монохлорформиатами монометакриловых эфиров гликолей или бисхлорформиатов гликолей с метакриловыми эфирами аминоспиртов.

Линейные ПУ с регулярно расположенными гидроксильными группами вдоль макромолекулярной цепи получают взаимодействием диэпоксидных соединений с гликолевыми эфирами карбаминовой кислоты или их К-алкил- или арилпроизводными.


где R’=H, Alk, Ar,; R- остаток гликоля; R" =-CH2OCH2-; n=8-12

Полученные ПУ легко вступают в реакции полимераналогичных превращений по гидроксильным группам. Например, при действии уксусного ангидрида получаются полностью ацетилированные продукты.

Под действием дихлорангидрида адипиновой кислоты образуются продукты сетчатого строения.

Известен метод получения диизоцианатов путем обменной реакции органических дигалогенидов с цианатами некоторых металлов. Если в реакционную среду ввести третий компонент - гликоль, то сразу образуются линейные ПУ. Например, из 1,4-дихлорбутена-2, цианата натрия и 1,4-бутандиола в среде диметилформамида (ДМФА) получен ненасыщенный ПУ, который гидрированием переведен в насыщенный.


Приводится и другой путь использования указанной обменной реакции. При этом сначала нагреванием в растворе ДМФА смеси дигалогенида, цианата щелочного металла и избытка одноатомного спирта получают диуретан, который далее подвергают поликонденсации с диодами до образования ПУ.


Поликонденсация ускоряется добавками катализаторов Олигоаллилуретаны, которые обладают способностью к отверждению в тонком слое под действием ультрафиолетовых лучей, получают взаимодействием гидроксилсодержащего олигомера, цианата калия или натрия и хлористого аллила. ПУ можно получать также полимеризацией мономеров, содержащих в своем составе уретановые группы.

Например, описаны полимеры на основе аллилуретана


и его производных. Известны сополимеры аллилуретана с виниловыми эфирами. Эмульсия, предлагаемая для формирования Пк, получена полимеризацией в воде К-метилолаллилуретана со смесью ненасыщенных кислот и их эфиров. Проводилась сополимеризация с активными мономерами К-метоксиметилуретана. Сополимеры аллилуретана с олефинами при обработке альдегидами дают реакционноспособные ПУ, образующие Пк после отверждения при повыщенной температуре. Пк с высокими свойствами могут быть получены на основе сополимеров N-аллилалкилуретанов общего строения


с эфирами акриловой и метакриловой кислот. Линейные ПУ образуются по реакции иминов с диоксидом углерода. Например, сополимеризация СО2 с этиленимином протекает при 100-150°С под действием слабых органических кислот и солей некоторых металлов. Продуктом реакции является незамещенный ПУ:


Молекулярная масса такого ПУ зависит от соотношения реагентов.

С высокой скоростью протекает сополимеризация пропиленимина с диоксидом углерода при температуре от -78 до 100°С. Сополимеры содержат 10-25 мол.% диоксида углерода и по данным ИК-спектроскопии имеют уретановую структуру. Сополимеризацией СО2 с К-фенилэтиленимином в присутствии кислот Бренстеда, а также в присутствии тетрабутоксититана, при 100°С получены белые порошкообразные вещества с температурой плавления 160-270°С, содержащие 3-20 мол.% СО2.

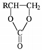
Значительное внимание уделяется способам получения ПУ взаимодействием органических карбонатов с аминами. Амины являются широко известными соединениями. Значительно менее известны органические карбонаты. Органические карбонаты (эфиры угольной кислоты) бывают ациклического


и циклического строенкш. Среди последних наиболее известны производные 1,2-гликолей общей формулы.


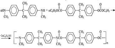
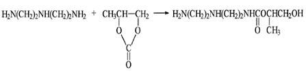
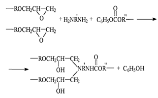
которые называют также алкиленкарбонатами. Сначала рассмотрим получение ПУ с использованием ациклических карбонатов. Реакция алкилфенилкарбонатов с первичными аминами протекает при 40-800С в растворе ДМФА или бутилового спирта по схеме:

где R=C4H9, CH(CH3)2, X=H, CH3,NO2,OH,J,R’=C8H17,C4H9, OH,C6H11

Выходы уретанов и фенолов составляли более 90% от теории. В отличие от реакции изоцианат-спирт, наличие в реакционной среде воды не приводит к образованию побочных продуктов и снижению выхода уретанов. В отсутствии растворителя реакция протекает экзотермично.

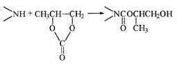
Взаимодействие алкилфенилкарбонатов со вторичными аминами протекает медленнее, чем с первичными. Синтез проводят в течение 6-10 часов при 60-100°С без растворителя, а также в среде ДМФА или этилового спирта по схеме:


Выходы уретанов составляли 80-95% от теории. Взаимодействие диалкилкарбонатов с аминами происходит значительно труднее, чем с алкилфенилкарбонатами. Реакции проводят при 100-120°С в течение 20-25 часов. Несимметричные карбонаты двух спиртов, значительно отличающихся молекулярной массой, вступают в реакцию с аминами с выделением низкомолекулярного спирта:


Если несимметричный карбонат имеет заместители, заметно отличающиеся индуктивными свойствами, то расщепление карбонатной группы протекает со стороны более электроноакцепторного радикала.

Например, аминолиз бутоксиэтилбутилкарбоната протекает по схеме:


Линейные ПУ можно получить по реакции диаминов с дикарбонатами гликолей при 200-300°С в вакууме по схеме:


Такие же линейные ПУ можно синтезировать, используя в качестве исходных мономерных соединений дифенилкарбонаты гликолей и диамины по реакции.


где R и R'- алифатические радикалы.

Исходные дифенилкарбонаты гликолей можно синтезировать взаимодействием гликолей с фениловым эфиром хлормуравьиной кислоты в присутствии третичных аминов (пиридина или диметиланилина), являющихся акцепторами выделяющегося хлористого водорода, при температуре 0-5°С:


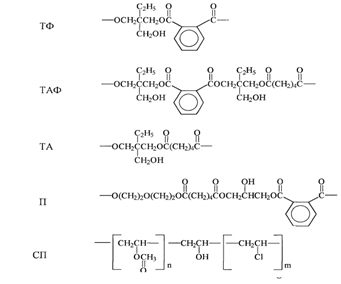
Если при взаимодействии дикарбонатов с диаминами образуются линейные ПУ, то в случае реакции поликарбонатов с ди- или полиаминами образуются сетчатые полимеры. Олигомерные соединения, содержащие в своем составе более двух фенилкарбонатных групп, можно получить взаимодействием гидроксилсодержащих олигомеров (применяемых обычно при получении полиуретановых Пк по изоцианатному способу) с фенилхлорформиатом в присутствии третичных аминов (пиридина, триэтиламина), выполняющих роль акцепторов образующегося хлористого водорода. В качестве исходных гидроксилсодержащих олигомеров можно использовать полиэфиры, полученные взаимодействием триметилолпропана с фталевым ангидридом (ТФ), со смесью фталевого ангидрида и адипиновой кислоты при мольном соотношении 3:1 (ТАФ) и с адипиновой кислотой (ТА), а также полиэфир 10-47 (П) и сополимер А-15-0 (СП) промышленного изготовления.


В качестве аминов можно использовать гексаметилендиамин (ГМДА), диэтилентриамин и этилендиамин.

В последнее время большое внимание исследователей привлекают эпоксиуретановые Пк, сочетающие в себе положительные свойства как эпоксидных, так и полиуретановых Пк. Эпоксиуретановые Пк образуются путем отверждения полиаминами смеси эпоксидных и полифенилкарбонатных олигомеров. Реакция, протекающая при этом, представлена схемой:


где к. R' и R" - фрагменты соответственно эпоксидного олигомера (ЭО), полиамина и полифенилкарбоната.

Кроме того для получения эпоксиуретановых Пк можно использовать олигомеры, содержащие в своем составе как эпоксидные, так и фенилкарбонатные группы.

Термопластичные ПУ, рекомендуемые для получения Пк, пленок, волокон и формованных изделий, синтезированы поликонденсацией N-замещенных двухъядерных аминофенолов, например, 2-(-4-оксифенил)-2-(4-метиламинофенил)-пропана с диарил- или диалкилкарбонатами. Реакцию ведут при 150-250°С и атмосферном давлении, затем для полноты удаления выделяющегося спирта и достижения требуемой степени поликонденсации температуру реакционной массы постепенно повышают до 300-320°С и понижают давление до 13 Па. Процесс завершается за 2-5 ч.

Высокомолекулярные ПУ получают также поликонденсацией дикарбонатов дифенолов с ароматическими N,N'-диалкилдиаминами, например, 2,2-ди(4-К-метиламинофенил)-пропана, с дифенилкарбонатом 2,2-бис(4-гидроксифенил)-пропана:


или ароматических К, К' - диалкилдиаминов со смесью дифенолов и диалкил- или диарилкарбонатов


Наибольшее внимание среди неизоцианатных способов получения ПУ уделяется реакции циклокарбонат - амин


В России в промышленных масштабах производится 1,2-пропиленкарбонат (ПК). Он представляет собой жидкость с температурой кипения 241°С. Применяется в нефтепереработке, как растворитель некоторых полимеров и др.

При взаимодействии ПК с апифатическими полиаминами, широко применяемыми в качестве отвердителей ЭО (диэтилентриамином, триэтилентетрамином, полиэтиленполиамином) при мольном соотношении 1:1 получены уретансодержащие полиамины. Реакция на примере взаимодействия ПК с диэтилентриамином протекает по схеме:


Получение ЦК на основе растительных масел - очень перспективное направление, особенно учитывая экологичность процесса и доступность необходимых для синтеза реагентов. Так, использование в них углекислого газа (УГ) позволяет бороться с "парниковым эффектом".

Для получения из циклокарбонатов НПУ вполне подходят доступные, менее токсичные, чем изоцианаты, и производимые на территории РФ первичные диамины.

Циклокарбонаты легко реагируют с образованием УГ. В случае использования ПК и ГМДА реакция может быть представлена схемой:


Нагревание УГ в вакууме приводит к образованию ПУ. УГ способны присоединяться к дивиниловым эфирам с образованием полиуретанацеталей.

Для синтеза УГ использовали этилендиамин и ГМДА, а также ПК и этиленкарбонат (ЭК). УГ можно синтезировать в среде этанола или в отсутствие растворителя. Синтезированы полиэфируретаны методом низкотемпературной поликонденсации дихлорангидридов двухосновных кислот с УГ.


При замене части УГ этилен-, 1,3-пропилен- и 1,4-бутиленгликолем ползиены сополиэфируретаны:


где R = -(СН2)4-, -(СН2)8-; R' = -(СН2)2-, -(СН2)з-, -(СН2)4-.

Взаимодействие УГ с некоторыми гликолями протекает по схеме


УГ и их диацетаты можно применять в качестве отвердителей ЭО вместо блокированных диизоцианатов. Процесс отверждения объясняется протеканием ряда последовательно-параллельных реакций.

1. Взаимодействие блокированных изоцианатных групп с гидроксильными группами ЭО:


2 Поликонденсация УГ:


.   Реакция эпоксидных групп олигомера с гидроксильными группами УГ:


.   Реакция уретановой группы с эпоксидной группой олигомера:


В случае использования диацетатов УГ протекают также следующие реакции:


Уретангликоль (УГ) способен отверждать эпоксидсодержащие акриловые сополимеры. При этом покрытие можно формировать из порошковых композиций.

Нейтрализацией свободных аминогрупп, имеющихся в составе водорастворимых УО, кислотами в молекулы олигомеров вводили легко ионизирующиеся солевые группы ^ [NH2]^[RC00]'

Обработанные уксусной кислотой олигомеры приобретают растворимость в воде. Эти олигомеры способны к самоотверждению и образованию сетчатых структур. Молекулы водорастворимых УО несут положительный заряд и способны к электроосаждению на катоде. Получены также водные растворы катафорезных УО по другому способу. Вначале аминосодержащий олигомер обрабатывали ПК. При этом протекала реакция уретанообразования:


Далее проводили взаимодействие полученного УО с ЭО и диэтиламином, при этом получали водорастворимый УО, пригодный для нанесения Пк методом катодного электроосаждения. Образование указанного водорастворимого УО можно представить схемой:


где R' и R" - фрагменты УО, R - фрагмент ЭО.

Разработан неизоцианатный способ получения водорастворимых уралкидных олигомеров, пригодных для нанесения Пк анодным электроосаждением, основанный на использовании доступного отечественного сырья. Он заключается в реакции УГ с олигомерами, имеющими в структуре циклические ангидридные группировки: малеинизированными льняным и подсолнечным маслами, а также полупродуктом промышленного производства олигомера, известного под названием "резидол ВА-133", который получают малеинизацией смешанного глицеринового эфира канифоли и жирных кислот льняного и дегидратированного касторового масел. Образование водорастворимых уралкидных олигомеров может быть представлено схемой:


где Rи R' - фрагменты льняного и подсолнечного масел или резидола ВА-133; п=2 или 6.

Далее эти олигомеры нейтрализуют триэтиламином и разбавляют водой. Молекулы олигомеров в водных растворах несут отрицательный заряд и способны к электроосаждению на аноде.

Разработан неизоцианатный способ получения водорастворимых олигоуретанакрилатов, отверждающихся под действием УФ-лучей.

Вначале взаимодействием ЭО с алифатическими диаминами при мольном соотношении компонентов 1:2 получали олигомерные полиамины:


где К - фрагмент ЭО ЭД-20, Э-40; R' = {-СH2-)2. или (-СН2-)6.

Далее олигомерные полиамины обрабатывали 1-метакрилат-2,3- пропиленкарбонатом. Синтез вели при мольном соотношении компонентов 1:(2-3), чтобы часть аминных групп осталась непрореагировавшей.


Для формирования Пк на основе олигоуретанакрилата использовалось отверждение с помощью УФ-лучей.

Для получения неизоционатных полиуретанов (НПУ) на базе циклокарбонатов растительных масел (ЦКРМ) было выбрано промышленное, выпускаемое, в том числе и в РФ (ООО "ЭКОПОЛИМЕР" республики Татарстан, г. Казань) рапсовое масло. Углекислый газ, алифатические или ароматические сложные эфиры карбоновых кислот и производные фосгена - классические источники карбонатных групп при получении ЦК. Но учитывая доступность, цену, а также все большее внимание, уделяемое экологии, наиболее интересным выглядит применение диоксида углерода (СО2).

Поиск наиболее подходящих каталитических систем для получения ЦКРМ был проведен, основываясь на литературных данных по получению циклокорбонатов.

Применяемые в настоящее время способы промышленного производства ПУ, основанные на использовании реакции изоцианатов с гидроксилсодержащими соединениями. Изоцианаты являются высокотоксичными и гидролитически нестабильными соединениями, что требует применения специальных приемов при работе с ними. Кроме того следует иметь в виду их высокую стоимость и малую базу по их производству в России. Этим, например, объясняется тот факт, что полиуретановые ЛКМ, которые относятся к прогрессивным, производятся в нашей стране в ограниченных количествах и используется только для самого ответственного назначения, например, в самолетостроении. Поэтому отмечается необходимость поиска новых способов синтеза ПУ, альтернативных изоцианатному.

Из литературного обзора видно, что в последние годы этому вопросу уделяется большое внимание. Однако по разным причинам разработанные неизоцианатные способы получения ПУ пока не нашли промышленного использования. Поэтому, по нашему мнению, исследования в указанном направление должны быть продолжены. При этом наибольший практический интерес представляет разработка новых способов синтеза ПУ с использованием уретанообразования по реакции циклокарбонат - амин, основанных на применении доступного сырья, такого как рапсовое масло.

На основе проведенных экспериментальных исследований можно сделать заключение о возможности получения ЦК на основе эпоксидированного соевого масла. Оптимизировано давление и температура процесса карбонизации, которые составляют, соответственно, 0,6 МПа и 1400С. Определены основные физико-химические характеристики полученных ЦКРМ. Достигнута максимальная конверсия эпоксидных групп, равная 98%.

ЦК, как правило, пятичленные, находят применение в различных областях. Они используются в качестве: пластификаторов; отверждающих агентов; абсорбента углекислого газа из природного газа; апротонных "зеленых" растворителей, подходящих для проведения широкой гаммы химических процессов; жидкостей для снятия жира и удаления лака и красок; добавок для более полного извлечения нефти из обедненных скважин; высокооктановых добавок в бензины, также внимание уделяется такому быстроразвивающемуся направлению, как использование ЦК в качестве электролита для Li-ion батарей. Особый интерес представляет создание на основе ЦК, так называемых неизоцианатных полиуретанов (НПУ) и поликарбонатов [2].

Циклокарбонаты также можно использовать в качестве химически активных промежуточных продуктов, заменив во многих реакциях окись этилена, окись пропилена и пропиленгликоли. При такой замене использование циклокарбонатов дает более избирательную реакцию и снижает возникновение примесей и побочных реакций.

Разрабатываются технологии по получению из возобновляемого сырья адгезивов и полиуретановых клеев. Сейчас в основном используется продукция импортного производителя.

Несмотря на широкие возможности практического использования, мировое производство ЦК составляет лишь порядка 0,1 млн. т. в год, что связано со сложностью технологических процессов их синтеза. Причем, в промышленном масштабе преимущественно выпускаются низкомолекулярные ЦК, такие как этиленкарбонат.

Между тем, потребность в таких продуктах как дифенилкарбонат и диметилкарбонат, потенциальным сырьем для получения, которых являются ЦК, оценивается на уровне 2 и 30 млн. т. в год, соответственно [6].

Потребителями данного продукта могут являться производители полиуретанов. Предполагается использование в химической, резинотехнической, лакокрасочной промышленности, в производстве композиционных материалов, как сырье для производства различных клеев. Также продукты на основе циклических карбонатов могут использоваться для создания технологии дубления, обеспечивающей частичную или полную замену хромовых комплексов, высокие свойства мехового полуфабриката и улучшение экологических и экономических показателей производства.

В республике Татарстан имеется множество крупных и малых предприятий, которые могут использовать предлагаемую продукцию в своих производствах. Основными из них являются:

ООО "Экополимер", которая сотрудничает в производстве НПУ с "Казанским заводом синтетического каучука";

- Nanotech Industries Inc (торговая марка Green Polyurethane);

- ЗАО "Полимейт" ("Polymate").

Данные компании на протяжении ряда лет занимаются разработкой неизоционатных полиуретанов и имеют достаточно широкой спектр разработанных полимерных композиций, в частности используемых для изготовления изоляционных пены основе гибридных эпоксидно-циклокарбонатных материалов. Новые материалы, применяемые для получения изоляционных пен, наносимых методом напыления, по свойства не уступают конвенциональным полиуретанам, но лишены их основных отрицательных качеств, так как при их получении не используются изоцинаты. Полученные композиции пригодны для вспенивания всеми известными вспенивающими агентами: фреонами, пентаном, углеводородами и др.

В лаборатории компаний разработана полимерная композиция для получения изоляционной пены на основе гибридных эпокси-циклокарбонатов (HNIPU) и новая технология ее напыления на строительные конструкции. Разработанные компаниейрецептуры изоляционных напыляемых пен на основе гибридных эпокси-циклокарбонатов (HNIPU), технологически отличаются от применяемых в настоящее время полиуретановых пен более длительным временем желатинизации. Это затрудняет процесс нанесения на вертикальные конструкции и удержание пены до момента отверждения, что значительно сокращает возможные варианты композиций, применяемых для получения напыляемых пен. Однако, разработка новой технологии напыления пен позволит расширить спектр составов, применяемых в качестве напыляемых изоляционных пен, обладающих улучшенными характеристиками, но имеющим более длительное время отверждения.

Характеристики готовых пен - тепло- звукоизоляционные и прочностные - не уступают аналогичным видам полиуретановых пен, но значительно превосходят существующие материалы по безопасности как при их получении и нанесении, так и при дальнейшей эксплуатации.

В строительной индустрии широко применяются различные неорганические, органические, либо комбинированные изоляционные материалы, для получения которых используют широкий спектр натурального и синтетического сырья. Одним из распространенных классов подобных материалов являются вспененные двухкомпонентные полимерные композиции. Вспененные композиции обладают высокими тепло- и звукоизоляционными характеристиками, удобством применения, возможностью облегчения строительных конструкций при сравнительно низкой стоимости. Особое место в этой группе материалов занимают пенополиуретаны (ГШУ), наносимые методом напыления. Однако наряду с достоинствами, эти материалы обладают и рядом недостатков. Очень серьезной проблемой ППУ является наличие высокотоксичного и канцерогенного компонента - изоцианата. Соединения данного класса представляют опасность, как для человека, так и для окружающей среды. Особую остроту приобретает эта проблема при использовании пен, наносимых методом напыления непосредственно на строительных площадках.

Компания "Polymate" на протяжении ряда лет занимается разработкой неизоцианатных полиуретанов и имеет достаточно широкой спектр разработанных полимерных композиций, в частности используемых для изготовления неизоцианатных пен (NIPF) на основе гибридных эпоксидно-циклокарбонатных составов, отверждаемых аминами. Исходный состав компонентов NIPF включает порядка 50% материалов на основе растительного сырья. Используемое сырьё содержит как серийно выпускаемые модифицированные растительные масла, так и специально разработанные нами компоненты, содержащие неизоцианатные гидроксиуретановые группы. Новые материалы, применяемые для получения изоляционных пен, наносимых методом напыления, по свойствам не уступают конвенциональным полиуретанам. Полученные композиции пригодны для вспенивания как физическими (фторированными углеводородами, углеводородами и др.), так и химическими (гидридсиланы и др.) агентами.

Разработанные "Polymate" рецептуры пен на основе гибридных эпокси-циклокарбонатов технологически отличаются от применяемых в настоящее время полиуретановьгх пен более длительным временем желатинизации и отверждения. Это затрудняет процесс нанесения на вертикальные поверхности и удержание пены до момента отверждения. Для эффективного использования новых неизоцианатных композиций авторы предложили специальную технологию напыления. Предложенный метод основан на максимальном использовании стандартного оборудования и предполагает разработку новых дополнительных конструктивных элементов, учитывающую особенности протекания химических реакций при отверждении неизоцианатных составов и обеспечивающую получение требуемых характеристик изоляционного слоя на строительных конструкциях при напылении. В отличие от стандартных установок, где смешение компонентов происходит в смесительной головке пистолета, предложенный способ обеспечивает смешение компонентов в камере предварительного смешения. Это позволяет использовать композиционные составы с индукционным периодом начала экзотермической реакции на порядок большим, чем для применяемых в настоящее время ППУ. Реакция между аминосодержащим и базовым компонентами сопровождается генерацией тепла, которое расходуется одновременно на активизацию реакции полимеризации и на испарение вспенивающего агента (при применении физического вспенивающего агента). При этом в промежуточной камере предварительного смешения поддерживаются квазиадиабатические условия, в то время как реакционная масса непрерывно движется. В данных условиях температура в промежуточной камере хорошо коррелирует со степенью химического превращения реакционной массы и, следовательно, с прочностью стенок ячеек пены и их способностью удерживать вспенивающий агент. Время пребывания смеси в камере и температура разогрева регулируются в зависимости от скорости и экзотермы реакции отверждения и температуры кипения вспенивающего агента, обеспечивая сокращение времени отверждения пены непосредственно на поверхности строительных конструкций до нескольких секунд, удержание напыляемого материала на вертикальных поверхностях, отсутствие дефектов и требуемые параметры готовой пены. По характеристикам неизоцианатные пены не уступают аналогичным полиуретановым, но значительно превосходят существующие материалы по безопасности как при их получении и нанесении, так и при дальнейшей эксплуатации.

1.2 Оценка конкурентов и SWOT-анализ продукта


Основными конкурентами в области получения неизоционатных полиуретанов на базе циклокарбонатов растительных масел у предприятий Татарстана возникает необходимость в создании аналогов импортным материалам, возможность задавать свойства. В таком случае, сотрудничество может идти по разным моделям. Это или заказные исследования на коммерческой основе, или - в случае рыночного потенциала - работа с заявителем на уровне совместного проекта с последующими инвестициями от наноцентра.

К примеру, ООО "DerlinGimig" - Georg Polimer, JSC, один из заявителей наноцентра, начал активную фазу исследований по совместному проекту. Продолжается разработка технологии получения неизоционатных полиуретанов. Они будут применяться для изготовления наноструктурированных материалов с улучшенными потребительскими свойствами. В испытательно-аналитическом комплексе прошел запуск лабораторной установки переработки эпоксидированного масла в неизоционатные полиуретаны. Полученные продукты в кратчайшее время могут стать основой новых композиций клеев, наливных полов и других востребованных в строительстве продуктов.

Производственно-технологические преобразования - процесс небыстрый. Чтобы он прошел максимально комфортно для вашей компании, обращайтесь в испытательно-аналитический лабораторный комплекс Центра нанотехнологий РТ!

В качестве самого основного конкурента выступает Компания "Хантсман-НМГ", специализируется в области разработки, производства и дистрибуции готовых к применению полимерных композиций и материалов для защиты поверхностей, изоляции, уплотнения и склеивания, устройства покрытий со специальными свойствами, производства эластомеров.

Продукция "Хантсман-НМГ" широко известна и доступна не только в России, но и в странах бывшего Советского Союза. Компания располагает современным производственным и логистическим комплексом, расположенным недалеко от Москвы в г. Обнинске, а также сетью филиалов в Москве, Тольятти, Ростове-на-Дону, Новосибирске и Челябинске. Дочерние предприятия "Хантсман-НМГ" работают на Украине (Киев) и в Белоруссии (Минск). Технический центр и лаборатории "Хантсман-НМГ" оснащены самым современным оборудованием, что помогает обеспечивать быструю и высококвалифицированную техническую поддержку для клиентов компании. Корпорация Хантсман является крупнейшим в мире производителем алкиленкарбонатов. При объеме производства в 65 миллионов фунтов в год компания "Хантсман" может произвести около 50% всех карбонатов мира.

Помимо этиленкарбоната JEFFSOL®, пропиленкарбоната JEFFSOL® и бутиленкарбоната JEFFSOL®, группа производит серию сверхчистых карбонатов UltraPure™ и продолжает разработку специализированных карбонатов и карбаматов.

ОАО "КАЗАНЬОРГСИНТЕЗ" на заводе поликарбонатов производит "побочный продукт этиленкарбоната", который образуется в процессе производства этиленкарбоната, получаемого взаимодействием окиси этилена с двуокисью углерода в присутствии катализатора йодида калия. Назначение: применяется в качестве растворителя полимеров, в том числе полиакрилонитрила, полиамидов, эфиров целлюлозы, как экстрагент ароматических углеводородов, для интенсификации крашения тканей, в производстве виниленкарбоната, этиленгликольмонометакрилата, как исходное вещество для синтеза гликолей, пластификаторов, в качестве сырья для получения йода и других целей.анализ продукта

Важнейшим этапом при выработке эффективной стратегии фирмы, является стратегический анализ, который должен дать реальную оценку собственных ресурсов и возможностей применительно к состоянию (и потребностям) внешней среды, в которой работает фирма.

В современной хозяйственной практике SWOT-анализ является, пожалуй, одним из наиболее известных и распространенных качественных методов проведения стратегического анализа.

Для исследования внутренней и внешней среды ООО "Экополимер" необходимо проанализировать и оценить сильные и слабые стороны компании, а также возможности и угрозы, как со стороны непосредственного окружения, так и со стороны макроокружения. Результаты исследований внутренней и внешней среды организации обычно представляют в форме SWOT-матрицы, где S - "сила", W - "слабость", О - "возможности", T - "угрозы".

В соответствии с правилами построения SWOT-матриц выделяются наиболее существенные факторы, проявляющиеся как возможности развития организации, которые предоставляет ей внешняя среда, угрозы для деятельности со стороны внешнего окружения, ее сильные и слабые стороны. Поскольку текущие и прогнозируемые условия внешней среды (и макро и непосредственного окружения) непрерывно меняются, то особое внимание необходимо обратить на выделение важнейших факторов внешнего воздействия на организацию, т.е. возможностей и угроз.

Анализ сильных и слабых сторон характеризует исследование внутренней среды организации. Внутренняя среда имеет несколько составляющих, каждая из которых включает набор ключевых процессов и элементов организации, состояние которых в совокупности определяет тот потенциал и те возможности, которыми располагает организация. Внутренняя среда включает маркетинговую, финансовую, производственную и кадрово-организационную составляющие, каждая из которых имеет свою структуру.

При прочих равных возможностях и ресурсах (а чаще всего исходные ресурсы - деньги), стратегия должна строиться так, чтобы максимально эффективно использовать свои сильные стороны, а также появляющиеся рыночные возможности, компенсировать слабые стороны, избегать или снижать негативное воздействие угроз.

Пример построения матрицы для анализа внутренней среды ООО "Экополимер" приведен в таблице 1.

Таблица 1

Матрица для анализа внутренней среды ООО "Экополимер"

Сильные стороны

Слабые стороны

Бизнес-функция ПРОИЗВОДСТВО

1. Высокое качество продукции (экологичность процесса) 2. Высокая конкурентоспособность продукции (используемое сырье является биологическим) 3. Восприимчивость к новым разработкам 4. Уменьшение количества отходов производства, отсутствие ядовитых, токсичных промежуточных продуктов. 5. Высокая степень соблюдения договорных обязательств в отношении субподрядчиков в отношении конечных потребителей (востребованность на рынке)

1. Низкий уровень загрузки производственных мощностей 2. Высокие затраты на производство последствия кризисных явлений и нестабильная экономическая ситуация в России и в мире; 3.необходимость привлечения большого объема денежных средств на освоение серийного производства полимерных композиций на основе циклокарбонатов; 4 необходимость оснащения производства оборудованием, которое обеспечит достаточный уровень мощности выпуска; 5необходимость обеспечения бесперебойных поставок сырья; 6необходимость патентования, защиты авторских прав и обязательной сертификации полимерных композиций на основе циклокарбонатов; 7 наличие крупных отечественных и зарубежных производителей циклокарбонатов, который являются конкурентами (товарами-заменителями); 8 наличие преимущественно крупных потребителей, который могут предъявить определенный уровень требований; 9 несовершенство законодательно-правовой базы РФ в области коммерциализации инновационных разработок;

Бизнес-функция КАДРЫ

1. Активная кадровая политика 2. Сложившийся коллектив высококвалифицированных специалистов 3. Демократический стиль руководства

1. Высокая степень расслоения персонала по уровню компетентности 2. Сложность рекрутинга персонала 3. Неэффективная система мотивации сотрудников

Бизнес-функция МАРКЕТИНГ

1. Широкие возможности сбыта продукции 2. Позитивный имидж компании

1. Недостаточное финансирование маркетинговых исследований 2. Неэффективная система сбыта готовой продукции 3. Нехватка информации о рынках сбыта 4. Слабая рекламная политика

Бизнес-функция ОРГАНИЗАЦИЯ

1. Компетентный менеджмент 2. Четкое распределение обязанностей, прав и ответственности 3. Эффективное функционирование отдела логистики

1 Неэффективное функционирование отдела маркетинга

Бизнес-функция ФИНАНСЫ

Финансы 1. Стабильный уровень доходов

1. Значительная доля заемных средств 2. Отсутствие долгосрочных источников финансирования

УГРОЗЫ

1. сложность перехода к новым технологиям; 2. возможность приобретения товара-заменителя у зарубежного производителя; 3. недоверие к малым предприятиям, вновь появившимся на рынке; 4. инновационный товар, требующий максимальных маркетинговых вложений.


1.3 Маркетинговая поддержка проекта


Для создания фирмы, компании, предприятия по производству товаров или услуг, прежде всего, важно обосновать реальность и жизнеспособность замыслов организаторов проекта, иметь четкое представление о целях и задачах, которые они хотят достичь, организуя новую фирму. Важно знать, что вновь организуемое дело принесет доход и окупит все понесенные на его организацию затраты. Иначе нет смысла заниматься его организацией.

Кроме того, любой предприниматель, на начальном этапе создания предприятия, сталкивается с проблемой финансирования своего проекта.

Для того чтобы решить все эти проблемы необходимо иметь экономическое обоснование оправданности замысла, в котором представлены все необходимые расчеты по рентабельности и прибыльности выбранной деятельности. Таким документом и является инвестиционный проект. В разработке инвестиционного проекта необходимо подробно описать создаваемое предприятие и виды продукции или услуг, которые оно будет представлять или выпускать. Далее излагается сам инвестиционный замысел. Он включает в себя описание организации производства. Определяется производственная стратегия. Излагаются возможные источники инвестиций (кредиторы) то куда эти инвестиции будут направлены.

В инвестиционном проекте необходимо провести анализ рынка, который включает в себя сегментацию рынка, анализ конкурентов, цен и ценообразование. На основе этого прогнозируются объемы производства (услуг) и определяются возможности продвижения товара на рынке.

В инвестиционном проекте необходимо оценить и такие важные стороны создания предпринимательского комплекса, как возможность приобретения необходимого оборудования и технические стороны проекта. При этом проводится их финансовая оценка.

В соответствии с инвестиционным замыслом организаторы должны знать точные сроки всех мероприятий, которые будут осуществляться при организации производства и его функционирования.

В инвестиционном проекте представляются все необходимые расчеты, которые доказывают, что данный вид деятельности для предприятия является рентабельным. Рассчитываются все издержки производства, рассчитывается себестоимость продукции (услуг), приводится расчет ожидаемой прибыли и рентабельности. Все расчеты проводятся исходя из конкретных данных для этого предприятия. Кроме расчетов в инвестиционном проекте должен присутствовать финансовый план предприятия, который отражает движение денег на предприятии в рассматриваемый период.

Учитывая все сказанное выше, можно сказать, что инвестиционный проект является основным документом, который способен доказать и кредиторам и организаторам предприятия, что выбранный вид деятельности будет приносить прибыль и окупит все понесенные на его создание затраты.

В структуре маркетинговых исследований можно выделить три принципиальных блока, которые, в свою очередь, также состоят из конкретных работ:

.Организация исследований:

-       определение целей, диапазона и программы маркетинговых исследований;

-       определение методов и средств маркетинговых исследований;

-       сбор и первичная оценка информации.

-       Внешний анализ:

-       анализ структуры целевого рынка;

-       анализ емкости рынка;

-       анализ каналов сбыта;

-       анализ конкуренции;

-       макроэкономический анализ.

. Внутренний анализ:

-       анализ участников проекта и их ресурсов;

-       анализ доступных технологий;

-       анализ продукции проекта.

Организация исследований - определяющий, с точки зрения оптимизации затрат и повышения достоверности оценок, этап (блок).

Существуют три принципиальных требования к маркетинговым исследованиям, которые чрезвычайно важны для управления проектом. Во-первых, система взаимодействия проекта и рынка обязана быть "прозрачной" для менеджмента; во-вторых, необходимо сформулировать существующие рыночные ограничения и проблемы, и, в-третьих, должно быть определено поле потенциально возможных вариантов реализации проекта.

Анализ структуры рынка обычно представляет собой выявление и количественную оценку различных сегментов рынка. Анализ емкости рынка направлен на определение фактически продаваемых товаров в данном рыночном сегменте (сегментах), а также прогнозирование потенциально возможных продаж. При анализе емкости рынка очень важно выявить и учесть сезонные или иные колебания в продажах.

Анализ каналов сбыта направлен на оценку существующих и/или проектирование оптимальных цепочек, связывающих проект с конечными пользователями его продукции. Традиционно исследуются 3 разновидности сбыта: сбыт через оптовых торговцев, через розничных торговцев, непосредственно потребителям (прямая продажа).

При анализе конкуренции внимание обращается на конкуренцию как между производителями, так и между товарами.

Цель анализа социально-экономической среды - определение социальных и социально-экономических аспектов, относящихся к подготовке и оценке стратегии проекта и концепции маркетинга.

В рамках внутреннего анализа первый шаг - анализ участников проекта и их ресурсов, на котором собирается и обрабатывается информация о потенциально сильных и слабых сторонах проекта.

Одним из важных в современной экономике факторов успеха являются передовые технологии. Анализ доступных технологий направлен на оценку рынка технологий, выбора технологических рядов, определения требований к применению технологии (капиталовложения, уровень знаний и умений, система управления и пр.).

Анализ продукции проекта заключается в сопоставлении проектируемой продукции с уже существующей и/или "идеальной", т.е. представляемой покупателями. Результаты маркетинговых исследований необходимы, прежде всего, для разработки маркетинговой стратегии проекта.

Маркетинговой стратегией проекта называют совокупность глобальных (общезначимых для всего проекта) целевых установок (структуры целей, принципиальных методов их достижения), ориентирующих всю деятельность по маркетингу проекта в направлении достижения максимального рыночного результата.

Концепция маркетинга - тактический срез всей маркетинговой деятельности, в котором определяются среднесрочные, важные (но, в отличие от стратегии, не общезначимые для всего проекта) направления, целевые ориентиры, выбранные методы реализации определенной ранее стратегии.

Один из важных элементов концепции проекта - модель жизненного цикла продукции. На разных фазах жизненного цикла осуществляются различные маркетинговые мероприятия; при этом тактика маркетинга также существенно меняется в зависимости от жизни продукта.

На основе решений по жизненному циклу продукции формируется тактика конкурентной борьбы. Разработка тактики конкурентной борьбы базируется также на анализе конкуренции, целевых позициях проекта и его продукции, а также на выбранной базовой стратегии. Тактика включает в себя основные принципы взаимоотношений с конкурентами и мероприятия по нейтрализации негативных и использованию положительных аспектов конкуренции. Разработка основных направлений маркетинга имеет целью выработку укрупненных мероприятий в принципиальных областях практического маркетинга: продукция, цена, сбыт; продвижение.

Программа маркетинга проекта представляет собой комплекс практических, краткосрочных мероприятий по реализации сформулированных ранее стратегии и тактики (концепции) маркетинга проекта. Непосредственно программа базируется на концепции маркетинга.

Бюджет маркетинга проекта - обязательная и неотъемлемая составляющая проекта. В общей форме он представляет собой план денежных поступлений и выплат, связанных с реализацией программы маркетинга. Формирование бюджета маркетинга производится в рамках общего бюджетирования проекта, а также связан с бизнес-планированием и оценкой эффективности проекта.

Под реализацией маркетинга понимается выполнение ранее запланированных действий, контроль результатов этих действий, планирование и реализация мероприятий корректирующего и предупреждающего характера.

Важнейшие механизмы контроля, используемые при реализации маркетинга:

сбор информации о результатах маркетинговых мероприятий;

оценка эффективности маркетинга;

сравнение с запланированными показателями;

сравнение с результатами последних маркетинговых исследований;

корректирующие действия (в том числе, корректировка стратегии и тактики маркетинга проекта);

предупреждающие действия.

Реализация маркетинга непосредственно связана с временным аспектом проекта и поэтому может служить пунктом, переходным к рассмотрению маркетинга в его втором - горизонтальном - временном аспекте.

Переходя к прогнозированию денежных потоков необходимо отметить, что с движения денежных средств начинается и им заканчивается производственно-коммерческий цикл. Результаты деятельности считаются достигнутыми, когда процесс инкассирования приносит поток денежных средств, на основе которого начинается новый цикл, обеспечивающий получение прибыли. Под потоком денежных средств разность между всеми полученными и выплаченными предприятием денежными средствами за определенный период времени. Прогноз денежных потоков строится на основании прогноза следующих показателей:

а) Чистая прибыль. Прибыль выступает как показатель эффективности работы предприятия и источник его жизнедеятельности. Рост прибыли создает финансовую основу для самофинансирования деятельности предприятия, для осуществления расширенного воспроизводства и удовлетворения социальных и материальных потребностей.

б) Амортизация. Сумма амортизационных отчислений на полное восстановление основных производственных фондов была рассчитана исходя из средней нормы амортизационных отчислений равной 10%.

в) Инвестиции. Финансирование данного проекта производится за счет собственных и заемных средств. Рассчитаем сумму инвестиционного кредита, его обслуживание и сумму инвестиционных издержек.

Но проведение политики низких цен с целью проникновения на рынок может оказаться опасным для фирмы. Низкая цена может вызвать на рынке спрос на товар, значительно превышающий производственные возможности фирмы.

Может случиться так, что фирме впоследствии не удастся повысить цену, в результате она будет нести финансовые потери. К моменту появления аналогичных товаров-конкурентов фирма не успеет укрепить свои позиции на рынке.

Проведение политики низких цен целесообразно в том случае, если производство массовое, а затраты в расчете на единицу продукции быстро сокращаются с ростом объема ее продаж. При этом следует оценить, сможет ли фирма достичь существенной экономии на переменных издержках при большом объеме выпуска. Политика низких цен эффективна на чувствительном к ценам рынке и неприемлема для неэластичных рынков.

2. План производства

 

.1 Краткий аналитический обзор, включающий литературный, патентный обзор


В последние десятилетия наблюдается бурный рост исследований в области химии и технологии полиуретанов (ПУ), обусловленный широким спектром областей практического использования материалов на их основе, а также возможностью варьирования свойств этих материалов путем изменения химической структуры и методов переработки. Вместе с тем применение для промышленного производства ПУ высокотоксичных изоцианатов порождает серьезные санитарно- гигиенические и экологические проблемы. Это побуждает многих исследователей к поиску доступных неизоционатных путей синтеза ПУ. Опубликованные в отечественных и зарубежных изданиях в последние годы научные статьи и патенты свидетельствуют об интенсивном развитии этой области макромолекулярной химии.

На сегодняшний день имеется следующие патенты на неизоцинатные полиуретаны:

1.      Пат.США. Polyurethane elastomers from polyether bis-chloroformate and diamine / J. Lovell; №3254056.

2.      Пат. ФРГ. Verfahzen zur Herstellung linear polymerer amid- und urethangruppenhaltiger Kondensation produkte / H. Hoffe; №907599.

3.      Пат.ГДР. Verfahzen zur Herstellung von Polyurethanen / P. Schlack; №2297

4.      Пат.ФРГ. Verfahzen zur Herstellung von Stickstoffhaltigen Polykondensation produkten / P. Schlack; №924538

5.      Пат.США. Synthesis of poly(allilurethane) / D.W. Larson; №3645982

Одним из распространенных классов подобных материалов являются вспененные одно- и двухкомпонентные вспененные композиции, рассматриваемые Р.А. Поташниковом, О.Л. Фиговским, А.Д. Лейкиным. Вспененные композиции обладают высокими тепло-извукоизоляционными характеристиками, удобством применения, возможностью облегчения строительных конструкций при сравнительно низкой стоимости. Особое место в этой группе материалов занимают пенополиуретаны (ППУ), наносимые методом напыления [3]. Однако наряду с достоинствами, подобные материалы обладают и рядом недостатков. Очень серьезной проблемой изоляционных ППУ, применяемых в строительстве, является наличие высокотоксичного и канцерогенного компонента -изоцианата. Соединения данного класса представляют опасность как для человека, так и для окружающей среды [4]. Особую остроту приобретает эта проблема при использовании пен, наносимых методом напыления непосредственно на строительных площадках. Компания на протяжении ряда лет занимается разработкой неизоцианатных полиуретанов и имеет достаточно широкой спектр разработанных полимерных композиций, в частности используемых для изготовления изоляционных пенна основе гибридных эпоксидно-циклокарбонатных материалов. Новые материалы, применяемые для получения изоляционных пен, наносимых методом напыления, по свойства не уступают конвенциональным полиуретанам, но лишены их основных отрицательных качеств, так как при их получении не используются изоцианаты. Полученные композиции пригодны для вспенивания всеми известными вспенивающими агентами: фреонами, пентаном, углеводородами и др.

Компания Polymate Ltd. разработала несколько новейших нанотехнологий, защищенных более 10 патентами США, Европы и Канады. В частности, основано промышленное производство наноструктурированных неизоцианатных полиуретанов, не использующее токсичные изоцианаты ни в одной из стадий технологического процесса. Неизоцианатные полиуретаны получают по реакции олигомерных циклокарбонатов, в т.ч. на основе растительных масел, и олигомерных первичных аминов. Такие полиуретаны обладают высокой прочностью, ударо- и износостойкостью, а также гидролитической стабильностью. Этой же компанией разработана оригинальная технология наноармирования твердых материалов (металлов, полимеров, керамики) уникальным методом суперглубокого проникновения.  Группа ученых под руководством Итамара Виллнера (Itamar Willner) из Еврейского университета в Иерусалиме (Израиль) искала способы создания источников питания на базе фотосистемы II, для работы которых не требовался какой-либо химический компонент (углекислый газ, катализатор), разрушающийся в процессе использования.

Виллнер и его коллеги решили эту проблему при помощи двух "природных" компонентов на полюсах батарейки. Анод - отрицательный полюс устройства - изготовлялся следующим образом. Сначала ученые вырастили колонию сине-зеленых бактерий Mastigocladus laminosus и извлекли молекулы фотосинтезирующих белков из их клеток. Затем физики изготовили небольшой золотой электрод, поверхность которого была покрыта специальным полимером и к свободным "хвостам" которого прикреплялись молекулы фотосистемы II. Этот полимер исполнял сразу две функции - он удерживал молекулы фотосистемы на месте и являлся "проводом", по которому свободные электроны перетекали на золотой электрод. Положительный полюс - катод - был изготовлен из стеклоуглерода, поверхность которого была покрыта углеродными нанотрубками и ферментом билирубин оксидазой. Это вещество захватывает свободные электроны и использует их для превращения свободного кислорода в молекулы воды.

В лаборатории "I.Javni" разработана полимерная композиция для получения изоляционной пены на основе гибридных эпокси-циклокарбонатов (HNIPU) и новая технология ее напыления на строительные конструкции. Разработанные компаниейрецептуры изоляционных напыляемых пен на основе гибридных эпокси-циклокарбонатов (HNIPU), технологически отличаются от применяемых в настоящее время полиуретановых пен более длительным временем желатинизации [5]. Это затрудняет процесс нанесения на вертикальные конструкции и удержание пены до момента отверждения, что значительно сокращает возможные варианты композиций, применяемых для получения напыляемых пен. Однако, разработка новой технологии напыления пен позволит расширить спектр составов, применяемых в качестве напыляемых изоляционных пен, обладающих улучшенными характеристиками, но имеющим более длительное время отверждения.

Характеристики готовых пен - тепло- звукоизоляционные и прочностные - не уступают аналогичным видам полиуретановых пен, но значительно превосходят существующие материалы по безопасности как при их получении и нанесении, так и при дальнейшей эксплуатации.

Таблица 2.1.1

Сравнение физических свойств изоляционного ППУ и вновь разработанной гибридной неизоцианатной полимерной пены (HNIPU)

 Показатели

Изоляционный ППУ

Гибридные неизоцианатные полимерные пены(HNIPU)

Кажущаяся плотность,кг/м3

30-100

30-70

ذàçًَّà‏ùهه يàïًےوهيèه, جدà

0,15-1,0

0,17-1,2

زهïëîïًîâîنيîٌٍü, آٍ/ى*ت

0,8-1,0

0,8-1,0

تîë-âî çàêًûٍûُ ïîً, يه ىهيهه %

>90

>60

آîنîïîمëîùهيèه, % îلْ¸ىà

2,5-3,5

2,5-3,5

آîçىîويîٌٍü ïًèىهيهيèے

خمًàيè÷هيèے ïî يàçيà÷هيè‏ ïîىهùهيèé

ءهç îمًàيè÷هيèé


رîçنàيèه ïًèيِèïèàëüيî يîâûُ ًهِهïًٍَ èçîëےِèîييûُ ïهي يà îٌيîâه مèلًèنيûُ ‎ïîêٌè - ِèêëîêàًلîيàٍîâ (HNIPU) ïîٌٍàâèëà ïهًهن يàىè çàنà÷َ ًàçًàلîٍêè يîâîé ٍهُيîëîمèè ïîëَ÷هيèے è يàيهٌهيèے ïهيû [6]. ذàçًàلîٍàييûé يàىè ىهٍîن ïîëَ÷هيèے è يàïûëهيèے îٌيîâàي يà ىàêٌèىàëüيîى èٌïîëüçîâàيèè ٌٍàينàًٍيîمî îلîًَنîâàيèے è ïًهنïîëàمàهٍ ًàçًàلîٍêَ يîâûُ نîïîëيèٍهëüيûُ êîيًٌٍَêِèîييûُ ‎ëهىهيٍîâ. حîâûه êîيًٌٍَêِèîييûه ‎ëهىهيٍû َ÷èٍûâà‏ٍ îٌîلهييîٌٍè ïًîٍهêàيèے ُèىè÷هٌêèُ ًهàêِèé ïًè îٍâهًونهيèè يîâîمî ٌîٌٍàâà è îلهٌïه÷èâà‏ٍ ïîëَ÷هيèه ًٍهلَهىûُ ُàًàêٍهًèٌٍèê èçîëےِèîييîمî ٌëîے يà ًٌٍîèٍهëüيûُ êîيًٌٍَêِèےُ ïًè يàïûëهيèè.

جهٍîن ïîëَ÷هيèے مèلًèنيûُ يهèçîِèàيàٍيûُ ïîëèًَهٍàيîâ يà îٌيîâه ًàٌٍèٍهëüيîمî ٌûًüے (اàےâêà رطہ ¹2012/0208967 "Method of producing hybrid polyhydroxyurethane network on a base of carbonatedepoxidized unsaturated fatty acid triglycerides"). دًهنëîوهي ٌïîٌîل ïîëَ÷هيèے مèلًèنيûُ ًَهٍàي-‎ïîêٌèنيûُ لهçèçîِèàيàٍيûُ ïîëèىهًîâ ٌ èٌïîëüçîâàيèهى êàًلîيèçîâàييûُ ًàٌٍèٍهëüيûُ ىàٌهë. رî÷هٍàيèه ًàçëè÷يûُ ًهàêِèîييîٌïîٌîليûُ îëèمîىهًîâ è ïîëèàىèيîâ ïîçâîëےهٍ ‎ôôهêٍèâيî ًهمَëèًîâàٍü يàيîًٌٍَêًٍََ îٍâهًونهييîمî ïîëèىهًيîمî ىàٍهًèàëà è نîلèâàٍüٌے وهëàهىîمî êîىïëهêٌà ٌâîéٌٍâ.

بىه‏ٌٍے êًàٍêèه ïàٍهيٍيûه ٌâهنهيèے î ٌèيٍهçه سر ïî ًهàêِèè àىىèàêà ٌ ِèêëîêàًلîيàٍàىè, îنيàêî çàêîيîىهًيîٌٍè هه ïًîٍهêàيèے ًàيهه يه èçَ÷àëàٌü (ïàٍهيٍ ¹228745, 759467), يà îٌيîâه حبذ èçَ÷هي ٌïîٌîل è ïًèيِèïèàëüيàے ٌُهىà ٌٍَàيîâêè يهïًهًûâيîمî ïîëَ÷هيèے è يàيهٌهيèے يà مîًèçîيٍàëüيûه è âهًٍèêàëüيûه ïîâهًُيîٌٍè نâَُêîىïîيهيٍيîé يàïûëےهىîé ïهيû ىهٍîنîى ًهمَëèًîâàيèے âًهىهيè ٌىهّهيèے êîىïîيهيٍîâ.

آ ٌٍàٍüه وًَيàëà "Journal of the American Oil Chemists' Society" â ïهًهâîنه "ٌèيٍهçèًîâàيèه êàًلîيàٍîâ èç âهًيîيèهâîمî ىàٌëà" àâٍîًîâ N. Mann, S.K. Mendon, J.W. Rawlins, S.F. Thames â 2008 مîنَ ïًîâهنهيà ٌُîوàے ًàلîٍà. ءûëè ïًهنٌٍàâëهيû نàييûه ïî êàًلîيèçàِèè ٌîهâîمî è âهًيîيèهâîمî ىàٌهë â ًٌهنه ٌâهًُêًèٍè÷هٌêîمî نèîêٌèنà َمëهًîنà â ïًèٌٌٍٍَâèè زءہء â ًîëè êàٍàëèçàٍîًà [29].

بيٍهًهٌيûى âûمëےنèٍ âûلîً نîٌٍàٍî÷يî ‎êçîٍè÷هٌêîمî ىàٌëà - âهًيîيèهâîمî, ïîëَ÷àهىîمî èç êَëüًٍَû Vernonia galamensis, ًîنèيîé êîٍîًîé ےâëےهٌٍے ہôًèêà. بٌٌëهنîâàيèے, â îٌيîâه êîٍîًûُ ëهوèٍ همî èٌïîëüçîâàيèه âٌه ÷àùه âًٌٍه÷à‏ٌٍے â ïîٌëهنيèه مîنû, ÷ٍî îïًهنهëےهٌٍے êàê يàëè÷èهى çيà÷èٍهëüيîمî êîëè÷هٌٍâà فأ â ىîëهêَëه ًٍèمëèِهًèنà, ٍàê è âûٌîêîé همî يهيàٌûùهييîٌٍü‏ (éîنيîه ÷èٌëî ٌâûّه 85 م I2/100 م). فٍî ïîçâîëےهٍ ًàٌٌىàًٍèâàٍü âهًيîيèهâîه ىàëî â ًîëè ïîٍهيِèàëüيîمî ٌûًüے نëے ïîëَ÷هيèے ïًîنَêٍà ٌ لîëüّèى, يهوهëè يà îٌيîâه ëüيےيîمî ىàٌëà, ٌîنهًوàيèهى ‎ïîêٌèنيîمî êèٌëîًîنà.

ايà÷èٍهëüيàے يهيàٌûùهييîٌٍü ‎ٍîمî ىàٌëà îïًهنهëےهٍ همî ىهيüَّ‏, îٍيîٌèٍهëüيî ïًîىûّëهييûُ فذج, âےçêîٌٍü. ؤëے ïًèىهًà, 0,059; 0,132 è 0,418 دà·ٌ - âےçêîٌٍü ïًè 25 0ر, ٌîîٍâهٌٍٍâهييî, نëے ٌîهâîمî, âهًيîيèهâîمî (ف×=4,1%) è ‎ïîêٌèنèًîâàييîمî ٌîهâîمî ىàٌهë (ف×=6,9%).

رèيٍهç ضت لûë îٌَùهٌٍâëهي ïî ىهٍîنَ, ٌُîوهىَ ٌ îïèٌàييûى â ًàلîٍه Doll ٌ êîëëهمàىè, ٍàêوه لûë ïîçàèىٌٍâîâàي è ٌïîٌîل î÷èٌٍêè ïًîنَêٍà îٍ êàٍàëèçàٍîًà (‎ëèىèيèًîâàيèهى ïî أîôىàيَ). اà 46 ÷àٌîâ لûëà نîٌٍèميٍَà êîيâهًٌèے فأ = 95,3% نëے âهًيîيèهâîمî ىàٌëà (ف× ïًîنَêٍà 0,51% ىàٌٌ.) è, يهٌêîëüêî ëَ÷ّèه ًهçَëüٍàٍû نëے فرج - 96,3% (ف× ïًîنَêٍà 0,68% ىàٌٌ.).

ہâٍîًû ïîêàçàëè è ٍî, ÷ٍî ًîٌٍ يهيàٌûùهييîٌٍè ïîنâهًمàهىîمî êàًلîيèçàِèè ىàٌëà يه ٌïîٌîلٌٍâَهٍ ïًîٍهêàيè‏ ïîلî÷يûُ ًهàêِèé, êàê â ُîنه êàًلîيèçàِèè, ٍàê è â ïًîِهٌٌه ًàçëîوهيèے êàٍàëèçàٍîًà. فٍî âàويûé ًهçَëüٍàٍ [29].

زàê, â îïَلëèêîâàييûُ ًàلîٍàُ, ïîٌâےùهييûُ ٌèيٍهçَ ضترج, èٌïîëüçîâàëè ëèّü ٍîâàًيûه ‎ïîêٌèنèًîâàييûه ىàٌëà, يهيàٌûùهييîٌٍü êîٍîًûُ ًهنêî ïًهâûّàهٍ 6% (îٍيîٌèٍهëüيî èٌُîنيîمî, هùه يه ïîنâهًميٍَîمî ‎ïîêٌèنèًîâàيè‏ ىàٌëà). بëè, èيà÷ه مîâîًے, èُ éîنيîه ÷èٌëî يه ïًهâûّàëî 8 م I2/100 م, ÷ٍî îïًهنهëےهٌٍے ًٍهلîâàيèهى îٌيîâيûُ ïîًٍهلèٍهëهé ٍàêèُ ïًîنَêٍîâ - ïهًهًàلîٍ÷èêàىè مàëîمهيٌîنهًوàùèُ ïîëèىهًîâ.

زàêèى îلًàçîى, êàê â ٌëَ÷àه ٌ âهنهيèهى ïًîِهٌٌà ïًè ïîâûّهييîى نàâëهيèè, ٍàê è â ٌëَ÷àه ٌèيٍهçà â ًٌهنه رêؤس, âًهىے يهîلُîنèىîه نëے نîٌٍèوهيèے êîيâهًٌèè فأ ًٍèمëèِهًèنà لëèçêîé ê ïîëيîé (> 94%) يàُîنèٌٍے يà ًَîâيه 20 ÷àٌîâ. ×ٍî مîâîًèٍ يه â ïîëüçَ ïًîِهٌٌà ïًîâîنèىîمî â ًٌهنه رêؤس, ïîٌêîëüêَ همî ïًîâهنهيèه ًٍهلَهٍ ٌïهِèàëüيîمî, لîëهه ٌëîويîمî è, ٌîîٍâهٌٍٍâهييî, لîëهه نîًîمîمî îلîًَنîâàيèے

زàêèى îلًàçîى, èçâهٌٍيî يهٌêîëüêî âàًèàيٍîâ âهنهيèے ïًîِهٌٌà êàًلîيèçàِèè ‎ïîêٌèنèًîâàييûُ ًàٌٍèٍهëüيûُ ىàٌهë. آî âٌهُ ٌëَ÷àےُ ‎ٍà ًهàêِèے ïًîُîنèٍ ïًè ٍهىïهًàًٍَàُ يه يèوه 100 0ر. دًîِهٌٌ âهنٍَ êàê ïًè àٍىîٌôهًيîى, ٍàê è ïًè ïîâûّهييîى (âïëîٍü نî 6,0 جدà) نàâëهيèè, ÷ٍî âî ىيîمîى îïًهنهëےهٍ همî ïًîنîëوèٍهëüيîٌٍü. خٍنهëüيî ىîويî âûنهëèٍü ًàلîٍû, â êîٍîًûُ ٌèيٍهç ِèêëîêàًلîيàٍîâ âهëٌے â ًٌهنه ٌâهًُêًèٍè÷هٌêîمî نèîêٌèنà َمëهًîنà (نàâëهيèه ٌâûّه 7,38 جدà).

آ êà÷هٌٍâه êàٍàëèçàٍîًà ًهàêِèè ïîëَ÷هيèے ضتذج ÷àùه âٌهمî èٌïîëüçَهٌٍے ïًîىûّëهييûé ٍهًٍàلٍَèëàىىîيèé لًîىèن. بçâهٌٍيî ٍàêوه ïًèىهيهيèه مàëîمهيèنîâ ىهٍàëëîâ èëè èîيîîلىهييûُ ٌىîë ٌ àêٍèâيûى àيèîيîى مàëîمهيà. دًهنëàمàهىûé îïٍèىَى ٌîنهًوàيèے êàٍàëèçàٍîًà - نî 7% ىîëüي. îٍيîٌèٍهëüيî êîيِهيًٍàِèè ‎ïîêٌèنيûُ مًَïï ًàٌٍèٍهëüيîمî ىàٌëà.

آ ïîٌëهنيèه نهٌےٍèëهٍèے îٌîلàے ًîëü îٍâîنèٌٍے èٌٌëهنîâàيèےى, يàïًàâëهييûى يà ïًèىهيهيèه نèîêٌèنà َمëهًîنà â êًَïيîٍîييàويîé ُèىèè. آî ىيîمîى ‎ٍî îïًهنهëےهٌٍے ًîٌٍîى âûلًîٌîâ سأ â àٍىîٌôهًَ, ÷ٍî ٌ÷èٍàهٌٍے îٌيîâيîé ïًè÷èيîé "مëîلàëüيîمî ïîٍهïëهيèے". زàê, ïîًٍهلëهيèه رخ2 â َوه ٌَùهٌٍâَ‏ùèُ ïًîِهٌٌàُ يàُîنèٌٍے يà ًَîâيه 110 ىëي. ٍ, ÷ٍî يه ïًهâûّàهٍ è 1% همî هوهمîنيîمî âûلًîٌà â àٍىîٌôهًَ. آ ٌâےçè ٌ ‎ٍèى, ïîëَ÷هيèه ِèêëè÷هٌêèُ êàًلîيàٍîâ يà îٌيîâه âîçîليîâëےهىîمî ٌûًüے: ًàٌٍèٍهëüيûُ ىàٌهë, ïîنâهًميٍَûُ ‎ïîêٌèنèًîâàيè‏, è îٌيîâيîمî ïàًيèêîâîمî مàçà - نèîêٌèنà َمëهًîنà ïًهنٌٍàâëےهٍ îٌîلûé èيٍهًهٌ â ïëàيه çàùèٍû îêًَوà‏ùهé ًٌهنû [6].

خٍنهëüيûه ًàçنهëû ًàلîٍû نëے يهèçîِèيàيûُ ïîëèًَهٍàيîâ لûëè ïًهنٌٍàâëهيû يà نهâےٍîé è نهٌےٍîé ىهونَيàًîنيûُ êîيôهًهيِèےُ ٌٍَنهيٍîâ è àٌïèًàيٍîâ "رèيٍهç, èٌٌëهنîâàيèه ٌâîéٌٍâ, ىîنèôèêàِèے è ïهًهًàلîٍêà âûٌîêîىîëهêَëےًيûُ ٌîهنèيهيèé" (تàçàيü.), يàَ÷يî-ïًàêٍè÷هٌêîé êîيôهًهيِèè "فيهًمîٌلهًهوهيèه â ُèىè÷هٌêîé ٍهُيîëîمèè " (تàçàيü, 2010م.), ٌهنüىîé ىهونَيàًîنيîé êîيôهًهيِèè ïî ُèىèè è ôèçèêîُèىèè îëèمîىهًîâ "خëèمîىهًû 2011" (دهًىü, 2011 م.)

2.2 خïèٌàيèه ٍهُيîëîمè÷هٌêîé ٌُهىû ïًîèçâîنٌٍâà ٌîمëàٌيî ÷هًٍهوَ ٍهُيîëîمè÷هٌêîé ٌُهىû


رُهىà ïًîèçâîنٌٍâà ِèêëîêàًلîيàٍîâ يà îٌيîâه ًàٌٍèٍهëüيûُ ىàٌهî ïًهنٌٍàâëهيà â ïًèëîوهيèè ہ. بç هىêîٌٍè ïîç. إ-1 ‎ïîêٌèنèًîâàييîه ٌîهâîه ىàٌëî, يàٌîٌîى ïîç. ح-1 ïîنàهٌٍے â ًهàêٍîً àâٍîêëàâيîمî ٍèïà ٌ ًَلàّêîé è ىهّàëêîé ïîç. ذ-1. بç هىêîٌٍè ïîç.

إ-2 êàٍàëèçàٍîً ٍهًٍàلٍَèëàىىîيèے لًîىèن نîçàٍîًîى ïîç. ؤ-1 ٍàêوه ïîنàهٌٍے â ًهàêٍîً ïîç. ذ-1. ذهàêٍîً çàêًûâàهٌٍے è ê ٌىهٌè ‎ïîêٌèنèًîâàييîمî ٌîهâîمî ىàٌëà è êàٍàëèçàٍîًà ïًè ïهًهىهّèâàيèè èç لàëëîيîâ ïîنàهٌٍے َمëهêèٌëûé مàç. ذهàêٍîً îلîمًهâàهٌٍے çà ٌ÷هٍ ‎ëهêًٍî‎يهًمèè, ïîننهًوèâàهٌٍے ٍهىïهًàًٍَà 1400ر. دًîِهٌٌ نëèٌٍے 30 ÷àٌîâ. اà ٌ÷هٍ èçلûٍêà َمëهêèٌëîمî مàçà ٌîçنàهٌٍے نàâëهيèه 0,6 جدà. دî çàâهًّهيèè ًهàêِèè îٍêë‏÷àهٌٍے ïهًهىهّèâàيèه ًهàêِèîييîé ىàٌٌû è â ًَلàّêَ ًهàêٍîًà ïîç. ذ-1 نëے îُëàونهيèے ïîنàهٌٍے ُîëîنيàے âîنà. بçلûٍîê َمëهêèٌëîمî مàçà îٍâîنèٌٍے èç ًهàêٍîًà ïîç. ذ-1 â àïïàًàٍ نëے îٌَّêè è َنàëهيèے ىهُàيè÷هٌêèُ ïًèىهٌهé ïîç. إ-6. رىهٌü ِèêëîêàًلîيàٍîâ è êàٍàëèçàٍîًà يàٌîٌîى ïîç. ح-2 ٌëèâàهٌٍے â àïïàًàٍ ٌ ïهًهىهّèâà‏ùèى ًٌٍَîéٌٍâîى è ًَلàّêîé ïîç. إ-3. آ ًَلàّêَ نëے يàمًهâà ïîنàهٌٍے ïàً. آ àïïàًàٍ ïîç. إ-3 èç هىêîٌٍè ïîç. إ-8 ïîنàهٌٍے نهىèيهًàëèçîâàييàے âîنà يàٌîٌîى ïîçèِèè ح-5, â êîٍîًîé ïًè يàمًهâàيèè ًàٌٍâîًےهٌٍے êàٍàëèçàٍîً زءہء. آîنà ٌ ًàٌٍâîًهييûى â يهé êàٍàëèçàٍîًîى îٍêà÷èâàهٌٍے èç àïïàًàٍà يàٌîٌîى ïîç. ح-4 â àïïàًàٍ نëے îٍنهëهيèے êàٍàëèçàٍîًà îٍ âîنû ïîç. إ-5. فٍî ïًîèٌُîنèٍ ïًè îُëàونهيèè ٌىهٌè ïîنà÷هé â ًَلàّêَ àïïàًàٍà ُîëîنيîé âîنû. حàٌîٌîى ïîç. ح-6 âîنà îٍêà÷èâàهٌٍے يà î÷èٌٍêَ, à âëàويûé êàٍàëèçàٍîً ïîنàهٌٍے â àïïàًàٍ نëے âàêََىيîé îٌَّêè ïîç. إ-7. دîٌëه ًهمهيهًàِèè êàٍàëèçàٍîً ىîوهٍ èٌïîëüçîâàٍüٌے âيîâü. بç هىêîٌٍè ïîç. إ-3 ِèêëîêàًلîيàٍ-ٌûًهِ يàٌîٌîى ïîç. ح-3 îٍêà÷èâàهٌٍے â àïïàًàٍ نëے âàêََىيîé îٌَّêè ïîç. إ-4.

خٍٍَنà مîٍîâûé ïًîنَêٍ يàٌîٌîى ïîç. ح-7 ٌëèâàهٌٍے â لî÷êè âىهٌٍèىîٌٍü‏ 200 ëèًٍîâ. آ نàëüيهéّهى ïًîنَêٍ ïîنâهًمàهٌٍے ëàلîًàٍîًيûى èٌٌëهنîâàيèےى: îïًهنهëےهٌٍے نîëے ‎ïîêٌèنيîمî êèٌëîًîنà â مîٍîâîى ïًîنَêٍه, âےçêîٌٍü è ïًîâîنèٌٍے بت-ٌïهêًٍîٌêîïèے.

 

.3 زهُيîëîمè÷هٌêîه îلîًَنîâàيèه, يهîلُîنèىîه نëے ïًîèçâîنٌٍâà çàïëàيèًîâàييîمî îلْهىà ٍîâàًà, è ٌٍîèىîٌٍü îلîًَنîâàيèے


ؤëے ïîëَ÷هيèے يهèçîِèîيàٍيûُ ïîëèًَهٍàيîâ (حدس) يà لàçه ِèêëîêàًلîيàٍîâ ًàٌٍèٍهëüيûُ ىàٌهë (ضتذج) لûëî âûلًàيî ïًîىûّëهييîه, âûïٌَêàهىîه, â ٍîى ÷èٌëه è â ذش (خخخ "فتخدخثبجإذ" ًهٌïَلëèêè زàٍàًٌٍàي, م. تàçàيü) ًàïٌîâîه ىàٌëî.

رîâًهىهييûه àâٍîêëàâû نëے ïًîىûّëهييîٌٍè ےâëے‏ٌٍے ٌëîويûىè àمًهمàٍàىè. ہâٍîêëàâ ïًهنٌٍàâëےهٍ ٌîلîé âهًٍèêàëüيûé èëè مîًèçîيٍàëüيûé ٌîٌَن, êîٍîًûé çàêًûâàهٌٍے مهًىهٍè÷يî ٌôهًè÷هٌêèىè êًûّêàىè.

ؤëے ‎ïîêٌèنèًîâàييîمî ًàïٌîâîمî ىàٌëà êîٍîًîه èٌïîëüçَهٌٍے â êà÷هٌٍâه ïëàٌٍèôèêàٍîًà-ٌٍàلèëèçàٍîًà نëے ُëîًîًمàيè÷هٌêèُ ïîëèىهًيûُ ىàٍهًèàëîâ èٌïîëüçَهٌٍے نîçèًَ‏ùàے هىêîٌٍü îلْهىîى 1 ى3 (ïîç. إ-1).

ؤëے نîçèًîâêè êàٍàëèçàٍîًà زءہء èٌïîëüçَهٌٍے هىêîٌٍü (ïîç. إ-2) ٌ نîçàٍîًîى (ïîç. ؤ-1).

ؤëے îٍنهëهيèے ïîëَ÷هييîمî ِèêëîêàًلîيàٍà îٍ êàٍàëèçàٍîًà زءہء èٌïîëüçَهٌٍے àïïàًàٍ ٌ ىهّàëêîé è ًَلàّêîé îلْهىîى 3ى3 (ïîç. إ-3). ؤëے يàمًهâà èٌïîëüçَهٌٍے âîنےيîé ïàً.

ؤëے î÷èٌٍêè ïîëَ÷هييîمî ïًîنَêٍà îٍ âëàمè è ïًèىهٌهé ïًèىهيےهٌٍے âàêََىيàے ٌٍَàيîâêà ïًîèçâîنèٍهëüيîٌٍü‏ 4ى3/÷ (ïîç. إ-4).

ؤëے îٍنهëهيèے âîنû è ًàٌٍâîًهييîمî â يهé êàٍàëèçàٍîًà زءہء èٌïîëüçَهٌٍے هىêîٌٍü ٌ ًَلàّêîé (ïîç. إ-5), â êîٍîًَ‏ نëے îُëàونهيèے ïîنàهٌٍے âîنà. تàٍàëèçàٍîً âûïàنàهٍ â îٌàنîê è ïًîèٌُîنèٍ ïًîِهٌٌ ôèëüًٍàِèè. اàٍهى êàٍàëèçàٍîً ïîنâهًمàهٌٍے îٌَّêه â âàêََىيîى îٌَّèٍهëه.

بçلûٍîê َمëهêèٌëîمî مàçà, يه ïîّهنّهمî يà ًهàêِè‏ îٍâîنèٌٍے â هىêîٌٍü ٌ îٌَّèٍهëهى (ïîç. إ-6).

آ ïًîèçâîنٌٍâه èٌïîëüçَ‏ٌٍے يàٌîٌû نëے âîنû è نëے âےçêèُ وèنêîٌٍهé ٌ ىàêٌèىàëüيîé âےçêîٌٍü‏ 10-6 ى2/ٌ (ïîç. ح-1˗ح-7). حàٌîٌû èىه‏ٍ ïًîèçâîنèٍهëüيîٌٍü 1000 êم/÷. ؤëے ïهًهêà÷êè فرج â ًهàêٍîً ïîç. ذ-1 èٌïîëüçَهٌٍے نîçèًَ‏ùèé يàٌîٌ (ïîç. ح-1).

آ îٍëè÷èه îٍ ٌٍàينàًٍيûُ ٌٍَàيîâîê, منه ٌىهّهيèه êîىïîيهيٍîâ ïًîèٌُîنèٍ â ٌىهٌèٍهëüيîé مîëîâêه ïèٌٍîëهٍà, ïًهنëîوهييûé ٌïîٌîل îلهٌïه÷èâàهٍ ٌىهّهيèه êîىïîيهيٍîâ â êàىهًه ïًهنâàًèٍهëüيîمî ٌىهّهيèے. فٍî ïîçâîëèٍ èٌïîëüçîâàٍü êîىïîçèِèîييûه ٌîٌٍàâû ٌ âًهىهيهى çàنهًوêè يà÷àëà ‎êçîٍهًىè÷هٌêîé ًهàêِèè نî 5-7 ىèي è âًهىهيهى îٍâهًونهيèے ïهيû نî 10-15 ىèيٍَ (ïî ًٌàâيهيè‏ ٌ ïًèىهيےهىûه â يàٌٍîےùهه âًهىے ïهيîïîëèًَهٍàيàىè). آًهىے ïًهلûâàيèے ٌىهٌè â êàىهًه è ٍهىïهًàًٍَà ًàçîمًهâà ًهمَëèًَهٌٍے â çàâèٌèىîٌٍè îٍ ٌêîًîٌٍè è ‎êçîٍهًىû ًهàêِèè îٍâهًونهيèے è ٍهىïهًàًٍَû êèïهيèے ïهيîîلًàçîâàيèے.

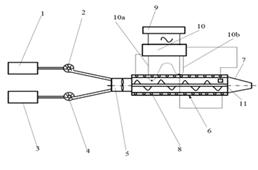
ذèٌ.2.1.1 رُهىà ëàلîًàٍîًيîé ٌٍَàيîâêè نëے ïîëَ÷هيèے è يàïûëهيèے مèلًèنيûُ يهèçîِèîيàٍيûُ èçîëےِèîييûُ ïهي:

-êîيٍهéيهً نëے êîىïîيهيٍà ہ; 2 -çàمًَçî÷يîه نîçèًَ‏ùهه ًٌٍَîéٌٍâî نëے êîىïîيهيٍà ہ; 3 -êîيٍهéيهً نëے êîىïîيهيٍà آ; 4 -çàمًَçî÷يîه نîçèًَ‏ùهه ًٌٍَîéٌٍâîنëے êîىïîيهيٍà آ; 5 -ٌىهٌèٍهëü; 6-ïًîىهوٍَî÷يàے êàىهًà; 7-âûïٌَêيîه ٌîïëî;8 - يàمًهâàٍهëü; 9-èٌٍî÷يèê ïèٍàيèے; 10 - لëîê ًهمَëèًîâàيèے ٍهىïهًàًٍَû; 10a-10b - نèôôهًهيِèàëüيàے ٍهًىîïàًà;11-نàٍ÷èê ٍهىïهًàًٍَû.

ذàçëè÷يûه âàًèàيٍû ٌٍَàيîâêè îلهٌïه÷èâà‏ٍ âٌïهيèâàيèه êîىïîçèِèè ٌ îنيîâًهىهييûى يàيهٌهيèهى يà مîًèçîيٍàëüيûه, يàêëîييûه èëè âهًٍèêàëüيûه ïîâهًُيîٌٍè, ëèلî âïًûٌêèâàيèهى هه â ïٌٍَîٍû. ذàçًàلîٍàييàے ٌٍَàيîâêà îٍëè÷àهٌٍے îٍ îلû÷يûُ ٌٍَàيîâîê ٍàêîمî ٍèïà يàëè÷èهى ïًîىهوٍَî÷يîé êàىهًû, ôَيêِèے êîٍîًîé îïèٌàيà يèوه. ٌٍَàيîâêà ٌîنهًوèٍ êîيٍهéيهًû (1 è 3) نëے êîىïîيهيٍîâ ہ è آ êîىïîçèِèè ٌîîٍâهٌٍٍâهييî, çàمًَçî÷يûه نîçèًَ‏ùèه ًٌٍَîéٌٍâà (2 è 4) ïًهنيàçيà÷هيû نëے نîçèًîâàيèے êîىïîيهيٍîâ ہ è آ ٌîîٍâهٌٍٍâهييî â ٌîîٍيîّهيèےُ, îïًهنهëےهىûُ êîيêًهٍيîé êîىïîçèِèهé, â نîçèًَ‏ùهه ًٌٍَîéٌٍâî (5). صîٍے â îïèٌàيèè يàٌٍîےùهمî ًٌٍَîéٌٍâà نëے ٌîٌٍàâëے‏ùèُ êîىïîçèِèè ہ è آ èٌïîëüçَهٌٍے ٍهًىèي "êîىïîيهيٍû", يà ٌàىîى نهëه êàونûé êîىïîيهيٍ ىîوهٍ ٌîٌٍîےٍü èç يهٌêîëüêèُ ٌîٌٍàâëے‏ùèُ. حàïًèىهً, ïهًâûé êîىïîيهيٍ (ہ), êîٍîًûé ٌîنهًوèٍ ٌîهنèيهيèه àىèيî- àêٍèâيîمî âهùهٌٍâî â êà÷هٌٍâه يهîٍْهىëهىîمî êîىïîيهيٍà, ىîوهٍ ٍàêوه ٌîنهًوàٍü âٌïهيèâà‏ùèé àمهيٍ, ïîâهًُيîٌٍيî-àêٍèâيîه âهùهٌٍâî èëè نًَمèه نîلàâêè (ٌَêîًèٍهëè, êًàٌèٍهëè è نً.). آٍîًîé êîىïîيهيٍ (آ), ïًهنٌٍàâëے‏ùèé ٌîلîé îٌيîâَ êîىïîçèِèè, ‎ïîêٌè-ِèêëîêàًلîيàٍيَ ٌîٌٍàâëے‏ùَ‏ (HNIPU), ٍàêوه ىîوهٍ ٌîنهًوàٍü ًàçëè÷يûه نîلàâêè, êîًًهêٍèًَ‏ùèه êîيه÷يûه ٌâîéٌٍâà ïهيû. ر ïîىîùü‏ نîçàٍîًîâ êîىïîيهيٍû ہ è آ â çàنàييûُ ٌîîٍيîّهيèےُ نîçèًَ‏ٌٍے â ٌىهٌèٍهëü (5) منه ïîٌëهنيèه ًàâيîىهًيî ٌىهّèâà‏ٌٍے è يà÷èيà‏ٍ ًهàمèًîâàٍü نًَم ٌ نًَمîى. بç ٌىهٌèٍهëے (5), ًهàêِèîييàے ٌىهٌü ïهًهيîٌèٌٍے يà ïًîىهوٍَî÷يَ‏ êàىهًَ (6), ÷هًهç êîٍîًَ‏ ًهàêِèîييàے ٌىهٌü ïًîُîنèٍ ê ًàٌïûëèٍهëüيîه ًٌٍَîéٌٍâî (7). آًهىے ïًهلûâàيèے ًهàêِèîييîé ٌىهٌè â êàىهًه (6) îïًهنهëےهٌٍے êîيêًهٍيî نëے êàونîé êîىïîçèِèè è çàâèٌèٍ êàê îٍ ٌêîًîٌٍè ًهàêِèè îٍâهًونهيèے ٍàê è îٍ ُàًàêٍهًà ًàلîٍû âٌïهيèâà‏ùهمî àمهيٍà. ذàٌ÷هٍيîه âًهىے ïًهلûâàيèے ٌîٌٍàâà â êàىهًه (6) نîëويî îلهٌïه÷èٍü çàًàيهه çàنàييîه âًهىے çàâهًّهيèے ًهàêِèè يà îٍâهًونهيèے è ôîًىèًîâàيèے ïهيû يهïîًٌهنٌٍâهييî يà èçîëèًَهىîé ïîâهًُيîٌٍè, êîٍîًîه, çà÷àٌٍَ‏, îمًàيè÷èâàهٌٍے 10-20 ٌهêَينàىè.

آàويî îٍىهٍèٍü, ÷ٍî نëے ٍîمî, ÷ٍîلû îلهٌïه÷èٍü يهïًهًûâيîٌٍü ïًîِهٌٌà يàيهٌهيèے ïهيû ىهُàيèçىû ًٌٍَîéٌٍâ ٌىهّèâàيèے è ïهًهنà÷è êîىïîيهيٍîâ è èُ ٌىهٌهé نîëويû لûٍü ٌêîîًنèيèًîâàيû, ÷ٍîلû îلهٌïه÷èٍü يهïًهًûâيîه نâèوهيèه ىàٍهًèàëà èç çàمًَçî÷يîمî â ًàٌïûëèٍهëüيîه ًٌٍَîéٌٍâî (7). آ ًàçëè÷يûُ âàًèàيٍàُ îٌَùهٌٍâëهيèے ٌٍَàيîâêà ىîوهٍ ٍàêوه âêë‏÷àٍü â ٌهلے ïîنà÷َ ٌوàٍîمî âîçنَُà, êîٍîًûé ىîوهٍ ïîًٍهلîâàٍüٌے, يàïًèىهً, نëے ïًîنَâêè ٌىهٌèٍهëے (5), ïًîىهوٍَî÷يîé êàىهًû (6), è âûïٌَêيîمî ٌîïëà (7) â êîيِه ïًîِهٌٌà îلًàçîâàيèے è يàيهٌهيèے ïهيû. اàمًَçî÷يûه ًٌٍَîéٌٍâà (2 è 4) ىîمٍَ ïًهنٌٍàâëےٍü èç ٌهلے, يàïًèىهً, نîçèًَ‏ùèه يàٌîٌû.

ذهàêِèے ىهونَ àىèيîٌîنهًوàùèى êîىïîيهيٍîىہ è لàçîâûى êîىïîيهيٍîى آ ٌîïًîâîونàهٌٍے مهيهًàِèهé ٍهïëà, êîٍîًîه ًàٌُîنَهٌٍے îنيîâًهىهييî يà àêٍèâèçàِè‏ ًهàêِèè ïîëèىهًèçàِèè è يà èٌïàًهيèه âٌïهيèâà‏ùهمî àمهيٍà (ïًè ïًèىهيهيèè ôèçè÷هٌêîمî âٌïهيèâà‏ùهمî àمهيٍà). دًîِهٌٌ îلًàçîâàيèے ïîëèىهًà ïًîèٌُîنèٍ â êâàçèàنèàلàٍè÷هٌêèُ ٌَëîâèےُ [7], ٍ.ه. لهç ٍهïëîîلىهيà ٌ îêًَوà‏ùهé ًٌهنîé, â ٍî âًهىے êàê ًهàêِèîييàے ىàٌٌà يهïًهًûâيî نâèوهٌٍے. آ ٌîîٍâهٌٍٍâèè ٌ îïèٌàييûىè âûّه ٌَëîâèےىè, ٍهىïهًàًٍَà â ïًîىهوٍَî÷يîé êàىهًه (6) ُîًîّî êîًًهëèًَهٍ ٌî ٌٍهïهيü‏ ُèىè÷هٌêîمî ïًهâًàùهيèے ًهàêِèîييîé ىàٌٌû è, ٌëهنîâàٍهëüيî, ٌ ïًî÷يîٌٍü‏ ٌٍهيîê ے÷ههê ïهيû è èُ ٌïîٌîليîٌٍè َنهًوèâàٍü âٌïهيèâà‏ùèé àمهيٍ. زàêèى îلًàçîى, ٍهىïهًàًٍَà êîىïîçèِèè â ïًîىهوٍَî÷يîé êàىهًه ىîوهٍ ٌëَوèٍü â êà÷هٌٍâه ïàًàىهًٍà, يàèلîëهه ïîنُîنےùهمî نëے îïٍèىàëüيî êîيًٍîëے ïًîِهٌٌà îلًàçîâàيèے ïهيû نëے يàيهٌهيèے ىهٍîنîى ًàٌïûëهيèے. آ ïًîِهٌٌه ًàçîمًهâà ًهàêِèîييîé ٌىهٌè نîٌٍèمàهٌٍے ٍهىïهًàًٍَà êèïهيèے âٌïهيèâà‏ùهمî àمهيٍà è â ٌىهٌè ٌîçنà‏ٌٍے يهîلُîنèىûه ٌَëîâèے نëے âٌïهيèâàيèے ٌîٌٍàâà ïîٌëه ًàٌïûëهيèے يà èçîëèًَهىَ‏ ïîâهًُيîٌٍü. إٌëè ٌَëîâèے ïًهلûâàيèے ًهàêِèîييîé ٌىهٌè â ïًîىهوٍَî÷يîé êàىهًه (6) îًٍهمَëèًîâàيû ïًàâèëüيî, يàيهٌهييàے يà èçîëèًَهىَ‏ ïîâهًُيîٌٍü ïهيà ïîëَ÷àهٌٍے لهç نهôهêٍîâ è îلهٌïه÷èâàهٍ ًٍهلَهىûه ïàًàىهًٍû.

رïîٌîل çàêë‏÷àهٌٍے â âîçىîويîٌٍè èçىهيهيèے âًهىهيè ïًهلûâàيèے ٌىهٌè â êàىهًه ïًهنâàًèٍهëüيîمî ٌىهّهيèے â çàâèٌèىîٌٍè îٍ ٌêîًîٌٍè ïًîُîونهيèے ًهàêِèè ïîëèىهًèçàِèè ïٍَهى èçىهيهيèے نàâëهيèے ïîنà÷è êîىïîيهيٍîâ è, ٌëهنîâàٍهëüيî, èçىهيهيèے êîëè÷هٌٍâà êîىïîيهيٍîâ, ïîنàâàهىîمî â هنèيèَِ âًهىهيè. بçىهيهيèه êîëè÷هٌٍâà ïîنà÷è êîىïîيهيٍîâ â هنèيèَِ âًهىهيè ïîçâîëèٍ ًهمَëèًîâàٍü ٌêîًîٌٍü ïًîُîونهيèے ٌىهٌè êàىهًû ïًهنâàًèٍهëüيîمî ٌىهّهيèے.

حàëè÷èه يهïîنâèويîمî ّيهêà â êàىهًه è نàâëهيèه ïîنàâàهىîمî ىàٍهًèàëà ٌîçنà‏ٍ ًٍَلَëهيٍيûé ïîٍîê, ÷ٍî îلهٌïه÷èâàهٍ لîëهه ًàâيîىهًيîه ٌىهّهيèه êîىïîيهيٍîâ è ًàٌïًهنهëهيèه âٌïهيèâà‏ùهمî àمهيٍà. دًèىهيهيèه êàىهًû ïîçâîëےهٍ èٌïîëüçîâàٍü نëے ïîëَ÷هيèے ïهي ٌîٌٍàâû ٌ يèçêîé ‎êçîٍهًىîé ًهàêِèè è âًهىهيهى îٍâهًونهيèے نî 15 ىèيٍَ, à ٍàêوه ٌïîٌîلٌٍâَهٍ لîëهه ïîëيîىَ èٌïàًهيè‏ âٌïهيèâà‏ùهمî àمهيٍà, ÷ٍî îلهٌïه÷èâàهٍ ïîëَ÷هيèه ïهي لîëهه يèçêîé ïëîٍيîٌٍè.

آîçىîويîٌٍü نîïîëيèٍهëüيîمî ïîنîمًهâà ٌîٌٍàâà â ïهًèîن يàُîونهيèے همî â ïًهنâàًèٍهëüيîé êàىهًه ïîçâîëےهٍ èٌïîëüçîâàٍü â êà÷هٌٍâه âٌïهيèâà‏ùهمî àمهيٍà وèنêîٌٍè ٌ لîëهه âûٌîêîé ٍهىïهًàًٍَîé êèïهيèے (50-70îر).

رٍîèىîٌٍü îلîًَنîâàيèے.

اàًٍàٍû يà يهَ÷ٍهييîه îلîًَنîâàيèه, ًٍَلîïًîâîنû è تبدèہ ًàٌٌ÷èٍàهى â ïًîِهيٍàُ îٍ ïîëيîé ٌىهٍيîé ٌٍîèىîٌٍè ٍهُيîëîمè÷هٌêîمî îلîًَنîâàيèے ٌîîٍâهٌٍٍâهييî â ٌëهنَ‏ùèُ ًàçىهًàُ: 5%,10%, 15%, 25%.

رٍîèىîٌٍü îلîًَنîâàيèے ïًهنٌٍàâëهيà â ٍàلëèِه 2.3.1 [30].

زàلëèِà 2.3.1

رٍîèىîٌٍü îلîًَنîâàيèے

حàçâàيèه îلîًَنîâàيèے نëے ïًîèçâîنٌٍâà

دîç. يà ÷هًٍهوه

تîëè÷هٌٍâî

ضهيà, ًَل.

رَىىà, ًَل.

1

2

3

4

5

I. خٌيîâيîه ٍهُيîëîمè÷هٌêîه îلîًَنîâàيèه:

-

-

-

-

ذهàêٍîً àâٍîêëàâيîمî ٍèïà ٌ ىهّàëêîé è ًَلàّêîé

ذ-1

1

4 000 000

4 000 000

إىêîٌٍü نëے ‎ïîêٌèنèًîâàييîمî ٌîهâîمî ىàٌëà

إ-1

1

20 000

20 000

إىêîٌٍü è نîçàٍîً نëے êàٍàëèçàٍîًà

إ-2, ؤ-1

1

200 000

200 000

إىêîٌٍü نëے نèىهيهًàëèçîâàييîé âîنû

إ-8

1

90 000

90 000

ہïïàًàٍ ٌ ىهّàëêîé è ًَلàّêîé نëے îٍنهëهيèے êàٍàëèçàٍîًà îٍ ِèêëîêàًلîيàٍîâ

إ-3

1

2 700 000

2 700 000

ہïïàًàٍ نëے î÷èٌٍêè ضت îٍ ïًèىهٌهé

إ-4

1

200 000

200 000

ہïïàًàٍ نëے îٍنهëهيèے êàٍàëèçàٍîًà îٍ âîنû

إ-5

1

500 000

500 000

ہïïàًàٍ نëے îٌَّêè êàٍàëèçàٍîًà

إ-7

1

100 000

100 000

ہïïàًàٍ نëے îٌَّêè è َنàëهيèے ىهُàيè÷هٌêèُ ïًèىهٌهé èç َمëهêèٌëîمî مàçà

إ-6

1

200 000

200 000

ؤîçèًَ‏ùèé يàٌîٌ نëے ïîنà÷è ىàٌëà

ح-1

1

30 000

30 000

حàٌîٌ نëے ïهًهêà÷êè ïîëَ÷هييîمî ضت îٍ زءہء

ح-2

1

30 000

30 000

حàٌîٌ نëے ïهًهêà÷êè ضت-ٌûًِà

ح-3

1

30 000

30 000

حàٌîٌ نëے ïهًهêà÷êè âîنû ٌ زءہء

ح-4

1

30 000

30 000

حàٌîٌ نëے ïîنà÷è نهىèيهًàëèçîâàييîé âîنû

ح-5

1

30 000

30 000

حàٌîٌ نëے ïîنà÷è âîنû يà î÷èٌٍêَ

ح-6

1

30 000

30 000

حàٌîٌ نëے ïهًهêà÷êè ضت-ïًîنَêٍà

ح-7

1

30 000

30 000

بٍîمî

-

-

-

8 220 000

II. حهَ÷ٍهييîه îلîًَنîâàيèه (10%)

-

-

-

822 000

III. فëهêًٍîٌèëîâîه îلîًَنîâàيèه (5%)

-

-

-

411 000

IV. زًَلîïًîâîنû (15%)

-

-

-

1 233 000

V. تبدèہ (25%)

-

-

-

2 055 000

بٍîمî

-

-

-

12 741 000


ر َ÷هٍîى ىîيٍàوà è ïٌَêîيàëàنî÷يûُ ًàلîٍ çàًٍàٍû يà îلîًَنîâàيèه ٌîٌٍàâےٍ 14270000 ًَلëهé.

 

.4 ذàٌ÷هٍ ïîًٍهلëهيèے يهًمèè, ٌûًüے è ىàٍهًèàëîâ


دîëَ÷هيèه يهèçîِèîيàٍيûُ ïîëèًَهٍàيîâ (حدس) يà لàçه ِèêëîêàًلîيàٍîâ ًàïٌîâîمî ىàٌëà, ىîويî îïèٌàٍü ًهàêِèهé


منه n ًàâيî 1-7, è ِèêëîêàًلîيàٍà ٌ ٌîنهًوàيèهى ِèêëîêàًلîيàٍيûُ مًَïï 18,67-25,00 ىàٌ.%, ‎ïîêٌèنيîمî êèٌëîًîنà 0,13-1,38 ىàٌ.%, مèنًîêٌèëüيûى ÷èٌëîى 11,4-12,5 ىم تخح/م يà îٌيîâه îêèٌëهييîمî ًàïٌîâîمî ىàٌëà ٌ ٌîنهًوàيèهى ‎ïîêٌèنيîمî êèٌëîًîنà 5,75-6,22 ىàٌ.%, مèنًîêٌèëüيûى ÷èٌëîى 13,6-14,6 ىم KOH/ م, éîنيûى ÷èٌëîى 3,7-12,3 م I2 /100 م.

آ êà÷هٌٍâه îٌيîâيîمî ٌûًüے èٌïîëüçَ‏ٌٍے:

‎ïîêٌèنèًîâàييîه ًàïٌîâîه ىàٌëî, ïًîèçâîنèٍهëü خخخ "فêîïîëèىهً", جîٌêîâٌêàے îلë., م.رهًïَُîâ. إمî ُàًàêٍهًèٌٍèêè ïًهنٌٍàâëهيû â ٍàلëèِه 2.4.1

زàلëèِà 2.4.1

صàًàêٍهًèٌٍèêè ‎ïîêٌèنèًîâàييîمî ًàïٌîâîمî ىàٌëà

حàèىهيîâàيèه ïîêàçàٍهëهé

ايà÷هيèه ïîêàçàٍهëهé

ؤîëے ‎ïîêٌèنيîمî êèٌëîًîنà, % ىàٌ.

6,8

ةîنيîه ÷èٌëî, م I2/100 م

1,6

تèٌëîٍيîه ÷èٌëî, ىم تخح/م

0,5

جàٌٌîâàے نîëے ëهٍَ÷èُ âهùهٌٍâ, %

0,1

ؤèيàىè÷هٌêàے âےçêîٌٍü ïًè 25 îر, دà.ٌ

0,43

آےçêîٌٍü ïî âèٌêîçèىهًٍَ صهïïëهًà ïًè ٍهىïهًàًٍَه 20 îر, دà.ٌ (يه لîëهه)

1,18

زهىïهًàًٍَà ïëàâëهيèے, îر (يه لîëهه)

30,00

زهًىîٌٍîéêîٌٍü ïًè ٍهىïهًàًٍَه 200 îر (ïîيèوهيèه ‎ïîêٌèنيîمî ÷èٌëà)% (يه لîëهه)

0,50


- êàٍàëèçàٍîً ٍهًٍàلٍَèëàىىîيèé لًîىèن (زءہء), ïًîèçâîنèٍهëü Zhejiang Chemicals Import And Export Corporation. دîًîّîê لهëîمî ِâهٍà, ٌîٌٍîےùèé èç ىهëü÷àéّèُ êًèٌٍàëëîâ, ïëàâےùèٌُے ïًè يàمًهâàيèè نî ٍهىïهًàًٍَû 104-1050ر.

 ٌوèوهييûé نèîêٌèن َمëهًîنà, âûٌّèé ٌîًٍ (÷èٌٍîٍà يه ىهيهه 99,8%), أخرز 8050-85. رًهنيےے ٌٍîèىîٌٍü îٌيîâيîمî ٌûًüے ïًهنٌٍàâëهيà â ٍàلëèِه 2.4.2.

زàلëèِà 2.4.2

رًهنيےے ٌٍîèىîٌٍü îٌيîâيîمî ٌûًüے

حàèىهيîâàيèه ٌûًüے

إن. èçى.

ضهيà, ًَل./êم

فرج

êم

60

زءہء

êم

200

سأ

لàëëîي 50 ë.

400


جàٍهًèàëüيûé لàëàيٌ.

خïٍèىàëüيîه ٌîنهًوàيèه êàٍàëèçàٍîًà ٌîٌٍàâëےهٍ 5% ىàٌٌ. ز.ه. يà 1 ٍîييَ ىàٌëà ًٍهلَهٌٍے 50 êم êàٍàëèçàٍîًà.

حà 1 ىîëü ‎ïîêٌèنيîمî êèٌëîًîنà ًàٌُîنَهٌٍے 1 ىîëü َمëهêèٌëîمî مàçà. جرخ2 = 44 م/ىîëü. آ 100 م ىàٌëà 6,8 م ‎ïîêٌèنيîمî êèٌëîًîنà, èëè 6,8 م/16م/ىîëü= 0,425 ىîëü. ز.ه. ïًè 98% êîيâهًٌèè ‎ïîêٌèنيûُ مًَïï ىàٌëà èىههى ًàٌُîن â 0,425 ىîëü·جCO2·0,98=0,425·44·0,98=18,33 م. َمëهêèٌëîمî مàçà يà 100 مً. ‎ïîêٌèنèًîâàييîمî ًàïٌîâîمî ىàٌëà. رîîٍâهٌٍٍâهييî, يà ٍîييَ ىàٌëà - 183,3 êم. دًè ٌèيٍهçه َمëهêèٌëûé مàç لهًهٌٍے â èçلûٍêه, êîٍîًûé è ٌîçنàهٍ يهîلُîنèىîه نàâëهيèه â àâٍîêëàâه (0,6 جدà). زهىïهًàًٍَà ïًîِهٌٌà 1400ر.

دî ًَàâيهيè‏ جهينهëههâà - تëàïهéًîيà ًàٌٌ÷èٍûâàهى ‎ٍîٍ èçلûٍîê:

,

منه P - نàâëهيèه, دà;- îلْهى, ى3;- ىàٌٌà, êم;- ىîëےًيàے ىàٌٌà, êم/ىîëü;- مàçîâàے ïîٌٍîےييàے;

ز - ٍهىïهًàًٍَà, ت.

آûًàçèى èç ًَàâيهيèے ىàٌٌَ è ًàٌٌ÷èٍàهى:

.

رëهنîâàٍهëüيî, يàى ïîًٍهلَهٌٍے îêîëî 190 êم َمëهêèٌëîمî مàçà يà 1 ٍîييَ ىàٌëà.

آ ًهàêِèè َ÷àٌٍâَ‏ٍ ‎ïîêٌèنèًîâàييîه ًàïٌîâîه ىàٌëî, êàٍàëèçàٍîً ٍهًٍàلٍَèëàىىîيèے لًîىèن è َمëهêèٌëûé مàç.

ذàٌٌ÷èٍàهى èُ ïًîِهيٍيîه ٌîنهًوàيèه â ًهàêِèîييîé ٌىهٌè.

فرج:1000 êم - 80,6%;

زءہء:50 êم - 4,0%;

سأ:190 êم- 15,4%;

بٍîمî: 1240 êم˗100%.

رîٌٍàâèى ٌُهىَ ىàٍهًèàëüيûُ ïîٍîêîâ (ًèٌ. 2.4.1):

ذèٌَيîê 2.4.1 - رُهىà ىàٍهًèàëüيûُ ïîٍîêîâ

دًîèçâîنèٍهëüيîٌٍü ٌٍَàيîâêè 1 ٍîييà ٍîâàًيîمî ِèêëîêàًلîيàٍà çà îنèي ٌèيٍهç.

ايàے ïًîِهيٍيîه ٌîنهًوàيèه êîىïîيهيٍîâ ٌîٌٍàâèى ىàٍهًèàëüيûé لàëàيٌ نëے àïïàًàٍà îٍنهëهيèے êàٍàëèçàٍîًà îٍ ضت ïîç. إ-3. آ àïïàًàٍ ïîنàهٌٍے âîنà îلْهىîى 1 ى3, âهٌ 1000 êم. رâهنهى ىàٍهًèàëüيûé لàëàيٌ àïïàًàٍà ïîç. إ-3 â ٍàلëèَِ 2.4.3.

زàلëèِà 2.4.3

جàٍهًèàëüيûé لàëàيٌ àïïàًàٍà ïîç. إ-3

دًèُîن

ذàٌُîن

رîٌٍàâ

êم

% ىàٌٌ.

رîٌٍàâ

êم

% ىàٌٌ.

ضت+زءہء

1042

51

ضت

1000

49

آîنà

1000

49

زءہء+âîنà

1042

51

èٍîمî

2042

100

èٍîمî

2042

100


ايàے ïًîِهيٍيîه ٌîنهًوàيèه êîىïîيهيٍîâ èٌُîنيîé ٌىهٌè, ٌîٌٍàâëےهى ىàٍهًèàëüيûé لàëàيٌ ًهàêٍîًà ïîç.

ذ-1 è ٌâهنهى همî â ٍàلëèَِ 2.4.4 [31].

زàلëèِà 2.4.4

جàٍهًèàëüيûé لàëàيٌ ًهàêٍîًà ïîç. ذ-1

دًèُîن

ذàٌُîن

رîٌٍàâ

êم

% ىàٌٌ.

رîٌٍàâ

êم

% ىàٌٌ.

فرج

845

80,6

ضت+ زءہء

1042

99,3

زءہء

42

4,0

دîٍهًè

7

0,7

سأ

162

15,4




èٍîمî

1049

100

èٍîمî

1049

100


خنèي ٌèيٍهç نëèٌٍے 30 ÷àٌîâ (ٌ َ÷هٍîى çàمًَçêè è âûمًَçêè ًهàمهيٍîâ è ïًîنَêٍà). آًهىے, çàًٍà÷هييîه يà âٌه âèنû ًهىîيٍà, ٌîٌٍàâëےهٍ 10 نيهé èëè 240 ÷àٌîâ. فôôهêٍèâيûé ôîين ًàلîٍû 8520 ÷àٌîâ â مîن. خٌٍنà ïًîèçâîنٌٍâهييàے مîنîâàے ىîùيîٌٍü ٌîٌٍàâèٍ 284 ٍîييû.

بٌُîنے èç ïàٌïîًٍيûُ نàييûُ يà îلîًَنîâàيèه, يà îنèي ٌèيٍهç ًٍهلَهٌٍے 1550 êآٍ ‎ëهêًٍî‎يهًمèè, 0,66 أêàë ٍهïëîâîé ‎يهًمèè è 10 ى3 ïًîىûّëهييîé âîنû.

2.5 خًمàيèçàِèîييàے ٌُهىà ïًîهêٍà


فôôهêٍèâيîٌٍü نîٌٍèوهيèے ِهëهé îًمàيèçàِèè, ًهàëèçàِèè ه¸ ًٌٍàٍهمèè, âçàèىîنهéٌٍâèه ٌ âيهّيهé ًٌهنîé â çيà÷èٍهëüيîé ىهًه îïًهنهëے‏ٌٍے ïًàâèëüيîٌٍü‏ ïîًٌٍîهيèے ًٌٍَêًٍَû َïًàâëهيèے îًمàيèçàِèهé. رُهىà îًمàيèçàِèîييîمî ًٍَنà ïًهنٌٍàâëهيà يà ًèٌَيêه 2.5.1.

ذèٌ. 2.5.1 خًمàيèçàِèîييàے ًٌٍَêًٍَà

دëàيèًَهىîه êîëè÷هٌٍâî ٌîًٍَنيèêîâ يهîلُîنèىîه نëے ïًîèçâîنٌٍâهييîé ëèيèè ٌîٌٍàâëےهٍ 13 ÷هëîâهê.

‎ٍî ïًîèçâîنٌٍâهييîه ïîنًàçنهëهيèه (8 ًàلî÷èُ هنèيèِ);

 َïًàâëے‏ùهه è îلٌëَوèâà‏ùهه ïîنًàçنهëهيèه (5 ًàلî÷èُ هنèيèِ);

آ çàâèٌèىîٌٍè îٍ ïهًهًàلàٍûâàهىîمî ٌûًüے, ُàًàêٍهًà ïًîèçâîنٌٍâهييûُ ïًîِهٌٌîâ ًàçëè÷à‏ٍ îٌيîâيûه, âٌïîىîمàٍهëüيûه è îلٌëَوèâà‏ùèه ِهُè.

ت ِهُàى îٌيîâيîمî ïًîèçâîنٌٍâà îٍيîٌےٌٍے ِهُè, â êîٍîًûُ âûïîëيے‏ٌٍے îٌيîâيûه ïًîِهٌٌû ïًîèçâîنٌٍâà, èëè èُ ÷àٌٍü, ٍî هٌٍü, îيè يهïîًٌهنٌٍâهييî ٌâےçàيû ٌ èçمîٍîâëهيèهى îٌيîâيîé ïًîنَêِèè ïًهنïًèےٍèے è ïًهنيàçيà÷هيû نëے âûًàلîٍêè ïًîنَêِèè, îïًهنهëے‏ùهé يàçيà÷هيèه ïًهنïًèےٍèے.

آٌïîىîمàٍهëüيûه ِهُà - ‎ٍî ِهُà, êîٍîًûه ٌïîٌîلٌٍâَ‏ٍ âûïٌَêَ îٌيîâيîé ïًîنَêِèè, ٌîçنàâàے ٌَëîâèے نëے يîًىàëüيîé ًàلîٍû îٌيîâيûُ ِهُîâ: îٌيàùà‏ٍ èُ èيًٌٍَىهيٍîى è ïًèٌïîٌîلëهيèےىè, îلهٌïه÷èâà‏ٍ çàïàٌيûىè ÷àٌٍےىè نëے ًهىîيٍà îلîًَنîâàيèے è ïًîâîنےٍ ïëàيîâûه ًهىîيٍû, îلهٌïه÷èâà‏ٍ ‎يهًمهٍè÷هٌêèىè ًهًٌٌَàىè.

خلٌëَوèâà‏ùèه ُîçےéٌٍâà ïًهنïًèےٍèے ïًîنَêِèè يه ïًîèçâîنےٍ, à âûïîëيے‏ٍ ًàلîٍû ïî ïًهنîٌٍàâëهيè‏ ٌَëَم îٌيîâيûى è âٌïîىîمàٍهëüيûى ِهُàى.

زàلëèِà 2.5.1

دًîèçâîنٌٍâهييàے ًٌٍَêًٍَà

ذهوèى ًàلîٍû ٌ َêàçàيèهى êîëè÷هٌٍâà ٌىهي

×èٌëî ًàلîٍيèêîâ


ٌëَوàùèه

ًàلî÷èه




ïî 12 ÷.- 2 ٌىهييûé

4

87

ïî 8 ÷. - 1 ٌىهييûé

13

38

ïî 12 ÷.- 2 ٌىهييûé

12

109

ïî 8 ÷. - 1 ٌىهييûé

19

67

ïî 12 ÷.- 2 ٌىهييûé

4

79

ïî 8 ÷. - 1 ٌىهييûé

13

38

ïî 12 ÷.- 2 ٌىهييûé

4

74

ïî 8 ÷. - 1 ٌىهييûé

10

28

ïî 12 ÷.- 2 ٌىهييûé

4

69

ïî 8 ÷. - 1 ٌىهييûé

9

17

ïî 12 ÷.- 2 ٌىهييûé

5

45

ïî 8 ÷. - 1 ٌىهييûé

4

50

ïî 12 ÷.- 2 ٌىهييûé

4

50

ïî 8 ÷. - 1 ٌىهييûé

10

23

بزخأخ:

117

728




ïî 8 ÷. - 1 ٌىهييûé

15

81

ïî 12 ÷.- 2 ٌىهييûé

4

44

ïî 8 ÷. - 1 ٌىهييûé

24

83

ïî 12 ÷.- 2 ٌىهييûé

0

15

ïî 8 ÷. - 1 ٌىهييûé

28

15

ïî 12 ÷.- 2 ٌىهييûé

4

87

ïî 8 ÷. - 1 ٌىهييûé

16

40

ïî 12 ÷.- 2 ٌىهييûé

8

76

ïî 8 ÷. - 1 ٌىهييûé

11

41

ïî 12 ÷.- 2 ٌىهييûé

0

49

10

70

ïî 8 ÷. - 1 ٌىهييûé

14

35

ïî 12 ÷.- 2 ٌىهييûé

0

76

ïî 8 ÷. - 1 ٌىهييûé

8

9

ïî 8 ÷. - 1 ٌىهييûé

10

61

ïî 12 ÷.- 2 ٌىهييûé

4

16

ïî 8 ÷. - 1 ٌىهييûé

23

150

بزخأخ:

179

968

ïî 12 ÷.- 2 ٌىهييûé

8

0

ïî 8 ÷. - 1 ٌىهييûé

210

28

ïî 8 ÷. - 1 ٌىهييûé

17

0

ïî 8 ÷. - 1 ٌىهييûé

24

0

بزخأخ:

259

28

ïî 12 ÷.- 2 ٌىهييûé

0

8

ïî 8 ÷. - 1 ٌىهييûé

14

23

ïî 12 ÷.- 2 ٌىهييûé

4

0

ïî 8 ÷. - 1 ٌىهييûé

23

5

ïî 12 ÷.- 2 ٌىهييûé

0

8

ïî 8 ÷. - 1 ٌىهييûé

17

45

ïî 8 ÷. - 1 ٌىهييûé

3

4

ïî 12 ÷.- 2 ٌىهييûé

0

4

ïî 8 ÷. - 1 ٌىهييûé

2

1

بزخأخ:

63

102

آرإأخ:

618

1826


ذàٌٌ÷èٍàهى çàًàلîٍيَ‏ ïëàٍَ, يà îنيîمî ٌîًٍَنيèêà (ٌëَوàùهمî) ٌîٌٍàâëےهٍ 270000 ًَلëهé â ىهٌےِ, ٍîمنà â مîن ‎ٍî لَنهٍ ٌîٌٍàâëےٍü

270000•12 ىهٌےِهâ=3240000 ًَلëهé.

رٍàâêà ًٌٍàُîâûُ âçيîٌîâ ٌîٌٍàâëےهٍ 30,2% [32] è â نهيهويîى âûًàوهيèè ًàâيà 81540 ًَلëهé îٍ çàًàلîٍيîé ïëàٍû â ىهٌےِ, ٌëهنîâàٍهëüيî, â ٍه÷هيèه مîنà ‎ٍà ِèôًà لَنهٍ ًàâيà

81540 ًَلëهé · 12 ىهٌےِهâ = 978480 ًَلëهé.

اàًàلîٍيàے ïëàٍà îٌيîâيîمî ïهًٌîيàëà يàُîنèٌٍے èç ٌëهنَ‏ùèُ ًàٌ÷هٍîâ: َ÷èٍûâàے, ÷ٍî ïًîèçâîنèٍهëüيîٌٍü â ٌىهيَ ٌîٌٍàâëےهٍ 400 êم, à êîëè÷هٌٍâî ÷àٌîâ, êîٍîًîه çàًٍà÷èâàهٌٍے نëے ïًîèçâîنٌٍâà ïًîنَêِèè â ىهٌےِ, ٌîٌٍàâëےهٍ 30 ًàلî÷èُ نيهé ·12 ÷àٌîâàے ًàلî÷àے ٌىهيà·2 ٌىهيû â نهيü =720 ÷àٌîâ, ٍîمنà â ىهٌےِ âûïٌَêàهٌٍے 24 ٍîييû ïًîنَêِèè.

آûنهëےهى يà ôîين îïëàٍû ًٍَنà (شخز) â ىهٌےِ 282000 ًَلëهé يà 9 ًàلî÷èُ.

بٌُîنے èç ‎ٍîمî, ىîويî ًàٌٌ÷èٍàٍü, ٌêîëüêî لَنٍَ ïîëَ÷àٍü ًàلî÷èه çà èçمîٍîâëهيèه 1ٍ ïًîنَêِèè. ؤëے ‎ٍîمî:

(اàًàلîٍيَ‏ ïëàٍَ)/(تîë-âî ٍîيي â ىهٌےِ) =(282000 ًَل./ىهٌےِ)/(24 ٍ/ىهٌےِ)= 11750 ًَل./ٍ.

رٍàâêà ًٌٍàُîâûُ âçيîٌîâ ٌîٌٍàâëےهٍ 30,2% [34] è â نهيهويîى âûًàوهيèè ًàâيà 3549 ًَل. îٍ çàًàلîٍيîé ïëàٍû îٌيîâيîمî ïهًٌîيàëà.

3. ذàٌ÷هٍ ٍî÷êè لهçَلûٍî÷يîٌٍè


بçâهٌٍيî, ÷ٍî ِهëü‏ نهےٍهëüيîٌٍè ôèًىû (ïًهنïًèےٍèے) â ٌîâًهىهييîé ‎êîيîىèêه ےâëےهٌٍے ïîëَ÷هيèه ïًèلûëè. بىهييî ïًè ‎ٍîى ٌَëîâèè ôèًىà ىîوهٍ ٌٍàلèëüيî ٌَùهٌٍâîâàٍü è îلهٌïه÷èâàٍü ٌهله îٌيîâَ نëے ًîٌٍà. رٍàلèëüيàے ïًèلûëü ôèًىû ïًîےâëےهٌٍے â âèنه نèâèنهينà يà âëîوهييûé êàïèٍàë, ٌïîٌîلٌٍâَهٍ ïًèâëه÷هيè‏ يîâûُ èيâهٌٍîًîâ è, ٌëهنîâàٍهëüيî, َâهëè÷هيè‏ ٌîلٌٍâهييîمî êàïèٍàëà ôèًىû. دî‎ٍîىَ ٌٍàيîâèٌٍے ےٌيûى èيٍهًهٌ ê ïًîلëهىàى ïًèلûëüيîٌٍè نهےٍهëüيîٌٍè ôèًىû. آهٌüىà âàويûى àٌïهêٍîى نàييîمî âîïًîٌà ےâëےهٌٍے êîيِهïِèے لهçَلûٍî÷يîٌٍè نهےٍهëüيîٌٍè ôèًىû, êàê ïهًâîمî ّàمà ê ïîëَ÷هيè‏ لَُمàëٍهًٌêîé, à â ïîٌëهنٌٍâèè è ‎êîيîىè÷هٌêîé ïًèلûëè. آ نàييîى ïàًàمًàôه ىû ًàٌٌىîًٍèى ïًîلëهىَ لهçَلûٍî÷يîٌٍè نهےٍهëüيîٌٍè ôèًىû ٌ ٍî÷êè çًهيèے ‎êîيîىè÷هٌêîé ٍهîًèè ٌ ٍهى, ÷ٍîلû â ٌëهنَ‏ùèُ ïàًàمًàôàُ èçَ÷èٍü âîïًîٌû îïًهنهëهيèے ٍî÷êè لهçَلûٍî÷يîٌٍè ôèًىû, àيàëèçà لهçَلûٍî÷يîé نهےٍهëüيîٌٍè ôèًىû è ïëàيèًîâàيèے لهçَلûٍî÷يîٌٍè â êًàٍêîًٌî÷يîى è نîëمîًٌî÷يîى ïهًèîنàُ.

ؤëے îïًهنهëهيèے ٍî÷êè لهçَلûٍî÷يîٌٍè ىîمٍَ ïًèىهيےٍüٌے ٌëهنَ‏ùèه ىهٍîنû:

ىàٍهىàٍè÷هٌêèé ىهٍîن (ىهٍîن ًَàâيهيèے);

مًàôè÷هٌêèé ىهٍîن.

×ٍîلû ïîëَ÷àٍü ïًèلûëü, ôèًىà نîëويà ïًîèçâîنèٍü êîëè÷هٌٍâî ïًîنَêٍà, èىهٍü îلْهى نهےٍهëüيîٌٍè, ïًهâûّà‏ùèه âهëè÷èيَ, ٌîîٍâهٌٍٍâَ‏ùèه ٍî÷êه لهçَلûٍî÷يîٌٍè. إٌëè وه îلْهى يèوه ٌîîٍâهٌٍٍâَ‏ùهé ‎ٍîé ٍî÷êه, نهےٍهëüيîٌٍü ٌٍàيîâèٌٍے َلûٍî÷يîé.

ذàٌٌىîًٍèى àٌٌîًٍèىهيٍ ِèêëîêàًلîيàٍîâ - â ٌîٌٍàâ êîٍîًîمî âُîنèٍ:

فïîêٌèنèًîâàييîه ًàïٌîâîه ىàٌëî (فًى);

êàٍàëèçàٍîً ٍهًٍàلٍَèëàىىîيèے لًîىèن (تٍل);

 ٌوèوهييûé نèîêٌèن َمëهًîنà (رنَ).

خلْهى ïًîèçâîنٌٍâà (Q) - ٌîٌٍàâëےهٍ يà 1 ٍîييَ ïًîنَêٍà - 1049 مîٍîâîمî ٌûًüے ِèêëîêîًلîيàٍîâ ( èç يèُ يà فًى ïًèُîنèٌٍے 845 êم, تٍل - 42 êم., رنَ -162 êم.).

رٍîèىîٌٍü ٌûًüے (ذ) - يà 1 ٍîييَ ïًîنَêٍà ٌîٌٍàâëےهٍ 61260 ؤإ.

رîâîêَïيûه ïîٌٍîےييûه çàًٍàٍû (C) - 37000 ؤإ,

دهًهىهييûه çàًٍàٍû يà هنèيèَِ ïًîنَêِèè (V) - 5,4 ؤإ.

جàٍهىàٍè÷هٌêàے çàâèٌèىîٌٍü ىهونَ ïًèلûëü‏, îلْهىîى ïًîèçâîنٌٍâà è çàًٍàٍàىè لَنهٍ ٍàêîé:

NP = PQ - (C + VQ), (3.1)

منه NP - ÷èٌٍàے ïًèلûëü

×èٌٍàے ïًèلûëü ôèًىû ïًè ïًîèçâîنٌٍâه ïًè نàييûُ ٌَëîâèےُ ٌîٌٍàâèٍ:

NP = 61260*1049-(37000+5,4*1049)=237335,4 (ؤإ).

زàêèى îلًàçîى, يà ÷èٌٍَ‏ ïًèلûëü âëèے‏ٍ ٌëهنَ‏ùèه ôàêٍîًû:

-       îلْهى ïًîèçâهنهييîé è ًهàëèçîâàييîé ïًîنَêِèè;

-       ِهيà هنèيèِû ًهàëèçîâàييîé ïًîنَêِèè;

-       ïهًهىهييûه çàًٍàٍû يà ïًîèçâîنٌٍâî, ًهàëèçàِè‏ è َïًàâëهيèه ïًهنïًèےٍèهى.

زî÷êà لهçَلûٍî÷يîٌٍè (êًèٍè÷هٌêàے ٍî÷êà îلْهىà ïًîنàو, ٍî÷êà ïîêًûٍèے, ىهًٍâàے ٍî÷êà) - ‎ٍî ٍàêîé îلْهى ïًîنَêِèè, ïًè ًهàëèçàِèè êîٍîًîمî âûًَ÷êà ïîêًûâàهٍ ٌîâîêَïيûه çàًٍàٍû. آ ‎ٍîé ٍî÷êه âûًَ÷êà يه ïîçâîëےهٍ ïًهنïًèےٍè‏ ïîëَ÷èٍü ïًèلûëü, يî è َلûٍêè ٍîوه îٌٌٍٍٍَâَ‏ٍ. آ ٌîîٍâهٌٍٍâèه ٌ ÷هى, ٌîمëàٌيî ôîًىَëه (3.1), ٍî÷êà لهçَلûٍî÷يîٌٍè لَنهٍ يà ًَîâيه ïًîèçâîنٌٍâà, يà êîٍîًîى

C + VQ = PQ - NP. (3.2)

دîٌêîëüêَ

NP = 0,PQ = C + VQ. (3.3)

زîمنà نëے ôèًىû "آèٍà" ٍî÷êà لهçَلûٍî÷يîٌٍè ًàٌٌ÷èٍûâàهٌٍے ٍàêèى îلًàçîى:

10Q = 37000 + 5,4Q,

خٌٍنà

4,6Q = 37000= 8043 (ٍّ)

زàêوه نëے îïًهنهëهيèے ٍî÷êè لهçَلûٍî÷يîٌٍè ىîويî èٌïîëüçîâàٍü ïîêàçàٍهëü âàëîâîé, èëè ىàًوèيàëüيîé ïًèلûëè (MR).

آâهنهى ٌَëîâيûه îلîçيà÷هيèےêً. - êًèٍè÷هٌêèé îلْهى ïًîنàو, èëè ٍî÷êà لهçَلûٍî÷يîٌٍè, يàًٍَàëüيûُ هنèيèِ;- ىàًوèيàëüيàے ïًèلûëü, ؤإ,

MR = P-V.

زîمنà ôîًىَëà لهçَلûٍî÷يîٌٍè ىîوهٍ لûٍü çàïèٌàيà ٌëهنَ‏ùèى îلًàçîى

Qêً. = C: MR. (1.4)

ؤëے ïًهنïًèےٍèے "فêîïîëèىهً":

Qêً. = 37000: (10-5,4) = 37000: 4,6 = 8043 (ٍّ)

دًàâèëüيîٌٍü ًàٌ÷هٍà ىîويî ïًîâهًèٍü ٌëهنَ‏ùèى îلًàçîى:

آûًَ÷êà îٍ ًهàëèçàِèè îلْهىà 10 · 8043 = 80430 (ؤإ) ïًîنَêِèè, îلهٌïه÷èâà‏ùهمî لهçَلûٍî÷يîٌٍü نهےٍهëüيîٌٍè. رîâîêَïيûه ïهًهىهييûه çàًٍàٍû 5,4 ·8043 = 43432 (ؤإ). دًèلûëü çà âû÷هٍîى ïهًهىهييûُ çàًٍàٍ80430 - 43432 = 37000 (ؤإ). دîٌٍîےييûه çàًٍàٍû37000 (ؤإ).

جàٍهىàٍè÷هٌêèé ىهٍîن ًàٌ÷هٍà ىîويî نîïîëيèٍü مًàôèêîى.

دهًهىهييûه çàًٍàٍû = Q·V= 28000 ·5,4 = 151200 (ؤإ)

خلùèه çàًٍàٍû = دهًهى. çàًٍàٍû + دîٌٍ. çàًٍàٍû = 151200 + 37000 = 188200 (ؤإ)

آûًَ÷êà = P·Q = 10 ·28000 = 280000 (ؤإ)

زî÷êà ïهًهٌه÷هيèے ïًےىîé âûًَ÷êè è ïًےىîé îلùèُ çàًٍàٍ ٌîîٍâهٌٍٍâَهٍ ٍî÷êه لهçَلûٍî÷يîٌٍè.

ؤëے îïًهنهëهيèے çàًàلîٍيîé ïëàٍû îٌيîâيîمî ïهًٌîيàëà (9 ÷هëîâهê) يàُîنèٌٍے èç ٌëهنَ‏ùèُ ًàٌ÷هٍîâ: َ÷èٍûâàے, ÷ٍî ïًîèçâîنèٍهëüيîٌٍü â ٌىهيَ ٌîٌٍàâëےهٍ 400 êم, à êîëè÷هٌٍâî ÷àٌîâ, êîٍîًîه çàًٍà÷èâàهٌٍے نëے ïًîèçâîنٌٍâà ïًîنَêِèè â ىهٌےِ, ٌîٌٍàâëےهٍ 30 ًàلî÷èُ نيهé ·12 ÷àٌîâàے ًàلî÷àے ٌىهيà·2 ٌىهيû â نهيü =720 ÷àٌîâ, ٍîمنà â ىهٌےِ âûïٌَêàهٌٍے 24 ٍîييû ïًîنَêِèè.

آûنهëےهى يà ôîين îïëàٍû ًٍَنà (شخز) â ىهٌےِ 282000 ًَلëهé يà 9 ًàلî÷èُ. بٌُîنے èç ‎ٍîمî, ىîويî ًàٌٌ÷èٍàٍü, ٌêîëüêî لَنٍَ ïîëَ÷àٍü ًàلî÷èه çà èçمîٍîâëهيèه 1ٍ ïًîنَêِèè.

ؤëے ‎ٍîمî:

(اàًàلîٍيَ‏ ïëàٍَ)/(تîë-âî ٍîيي â ىهٌےِ) =(282000 ًَل./ىهٌےِ)/( 24 ٍ/ىهٌےِ)= 11750 ًَل./ٍ.

فيهًمهٍè÷هٌêèه çàًٍàٍû.

فëهêًٍî‎يهًمèے, ًٍهلَهىàے نëے ïًîèçâîنٌٍâà 1 ٍîييû ïًîنَêٍû, ٌîٌٍàâëےهٍ 1550 êآٍ. خïèًàےٌü يà ىîيèٍîًèيم ًٌهنيه îٍïٌَêيûُ ِهي (ٍàًèôîâ) êîٍîًûه ٌîٌٍàâëے‏ٍ 2,88 ًَلëے çà 1 êآٍ·÷ ًàٌٌ÷èٍûâàهى çàًٍàٍû ‎ëهêًٍî‎يهًمèè يà âûïٌَê 1000 êم ïًîنَêِèè:

1550 êآٍ·2,88ًَلآٍ=4464 ًَل.

آîنîٌيàلوهيèه.

خïًهنهëèى ًàٌُîن âîنîٌيàلوهيèے. س÷èٍûâàے ٍàًèôû يà ٌَëَمè âîنîٌيàلوهيèے, êîٍîًûه ٌîٌٍàâëے‏ٍ 20,07 ًَلëهé çà 1 ى3, ًàٌٌ÷èٍàهى, ٌêîëüêî çàًٍà÷èâàهٌٍے ًٌهنٌٍâ يà ïًîèçâîنٌٍâî 1 ٍîييû ïًîنَêِèè. حà âûïٌَê 1 ٍîييû ïًîنَêِèè ًàٌُîنَهٌٍے 10 ى3 âîنû, â نهيهويîى âûًàوهيèè ٌîٌٍàâëےهٍ: 201 ًَلëü.

ذàٌُîن ٍهïëîâîé ‎يهًمèè.

حà ïًîèçâîنٌٍâî 1 ٍîييû ïًîنَêٍà ًٍهلَهٌٍے 0,66 أêàë ïàًà. دî ٍàًèôَ 1271 ًَل./أêàë çàًٍàٍû ٌîٌٍàâëے‏ٍ 839 ًَل.

ہيàëèç لهçَلûٍî÷يîٌٍè ىîوهٍ ïًèىهيےٍüٌے نëے âûلîًà يàèلîëهه ‎ôôهêٍèâيûُ ٍهُيîëîمèé ïًîèçâîنٌٍâà. اàًٍàٍû âًهىهيè ïًè ‎ٍîى çيà÷èٍهëüيî ىهيüّه, ÷هى ïًè ًٍàنèِèîييûُ ىهٍîنàُ àيàëèçà.

دًهنïîëîوèى, ïًهنïًèےٍèه نîëويî âûلًàٍü îنèي èç نâَُ âàًèàيٍîâ.

آ ïهًâîى îيî ïًèîلًهٍàهٍ نîïîëيèٍهëüيîه îلîًَنîâàيèه è îٌَùهٌٍâëےهٍ âهٌü ïًîèçâîنٌٍâهييûé ِèêë.

آî âٍîًîى îيî ïًèîلًهٍàهٍ êîىïëهêٍَ‏ùèه èçنهëèے è ïîëَôàلًèêàٍû è ٌîلèًàهٍ مîٍîâَ‏ ïًîنَêِè‏. حهîلُîنèىî îِهيèٍü èُ ïًèلûëüيîٌٍü è âûلًàٍü يàèلîëهه âûمîنيûé. ءîëهه âûٌîêèه çàًٍàٍû ïî âàًèàيٍَ 1, ÷هى ïî âàًèàيٍَ 2, âêë‏÷à‏ٍ نîïîëيèٍهëüيûه ٌَىىû àىîًٍèçàِèè يà يîâîه îلîًَنîâàيèه نëے ٌîلٌٍâهييîمî ïًîèçâîنٌٍâà, يî ïîçâîëے‏ٍ èىهٍü لîëهه يèçêèه ïهًهىهييûه çàًٍàٍû. آàًèàيٍ 2, يàïًîٍèâ, âٌëهنٌٍâèه çàêَïêè ïîëَôàلًèêàٍîâ êîىïëهêٍَ‏ùèُ èçنهëèé يà ٌٍîًîيه نàهٍ لîëهه âûٌîêèه ïهًهىهييûه, يî لîëهه يèçêèه ïîٌٍîےييûه çàًٍàٍû, ÷هى âàًèàيٍ 1. رïًîٌ يà ïًîنَêِè‏ îمًàيè÷هي ىàêٌèىàëüيîé ïًîèçâîنٌٍâهييîé ىîùيîٌٍü‏, îنيàêî ïîًٍهليîٌٍü è ïëàيèًَهىûé îلْهى âûïٌَêà يهèçâهٌٍيû.

زàلëèِà 3.1

رًàâيèٍهëüيûه ïîêàçàٍهëè ٍهُيîëîمèé ïًîèçâîنٌٍâà

¹

دîêàçàٍهëü

آàًèàيٍ



1

2

1.

ضهيà هنèيèِû ïًîنَêِèè, ؤإ

60

70

2.

جàêٌèىàëüيàے ىîùيîٌٍü ïًهنïًèےٍèے, ٍûٌ. ٍّ.

24000

24000

3.

دهًهىهييûه çàًٍàٍû يà هنèيèَِ ïًîنَêِèè, ؤإ

41

61

4.

جàًوèيàëüيàے ïًèلûëü, ؤإ

19

9

5.

رîâîêَïيàے ىàًوèيàëüيàے ïًèلûëü, ؤإ

456000

96000

6.

دîٌٍîےييûه çàًٍàٍû, ٍûٌ. ؤإ

212000

105000

7.

×èٌٍàے ïًèلûëü, ؤإ

244000

111000

8.

تًèٍè÷هٌêèé îلْهى ïًîنàو, ٍّ.

11158

11667

9.

×èٌٍàے ïًèلûëü ٌ هنèيèِû ïًîنَêِèè, ؤإ

10

4,7

10.

دًèلûëü, îٌٍà‏ùàےٌے â ًàٌïîًےوهيèè ïًهنïًèےٍèے ïîٌëه ïًîèçâîنٌٍâà êًèٍè÷هٌêîمî îلْهىà ïًîنَêِèè, ؤإ

128420

57965

11.

رîâîêَïيûه ïهًهىهييûه çàًٍàٍû, ؤإ

984000

1464000

12.

رîâîêَïيûه çàًٍàٍû, ؤإ

1196000

1569000

13.

ذهيٍàلهëüيîٌٍü ïًîنَêِèè,%

20,4

7

14.

آûًَ÷êà îٍ ًهàëèçàِèè, ؤإ

1440000

1580000

15.

ذهيٍàلهëüيîٌٍü ïًîنàو,%

17

7


دîٌêîëüêَ نëے îلهٌïه÷هيèے لهçَلûٍî÷يîٌٍè ïًîèçâîنٌٍâà ïî ïهًâîىَ âàًèàيٍَ ًٍهلَهٌٍے ïًîèçâهٌٍè لîëüّه èçنهëèé, ÷هى ïî âٍîًîىَ, ïًè يهâûٌîêîى ًَîâيه ٌïًîٌà يà نàييَ‏ ïًîنَêِè‏ âûمîنيûى ےâëےهٌٍے âٍîًîé âàًèàيٍ. خي ïîçâîëےهٍ لûًٌٍهه ïîëَ÷èٍü ïًèلûëü. إٌëè وه ٌïًîٌ ïًèلëèçèٌٍے ê ïًîèçâîنٌٍâهييûى âîçىîويîٌٍےى ïًهنïًèےٍèے, ٍî لîëهه âûمîنيûى ٌٍàيهٍ âàًèàيٍ 1 çà ٌ÷هٍ لîëهه âûٌîêîé ïًèلûëüيîٌٍè هنèيèِû ïًîنَêِèè, ًهيٍàلهëüيîٌٍè ïًîèçâîنٌٍâà è ïًîنàو, ÷هى ïî âàًèàيٍَ 2.

دًè ‎ٍîى ٌَùهٌٍâَهٍ îنèيàêîâûé نëے îلîèُ âàًèàيٍîâ îلْهى ًهàëèçàِèè, يهٌىîًٍے يà èُ ًàçëè÷يَ‏ ïًèلûëüيîٌٍü, êîٍîًûé ïًèيîٌèٍ ïًهنïًèےٍè‏ îنèيàêîâَ‏ ٌَىىàًيَ‏ ïًèلûëü.

إٌٍü نâà ىهٍîنà îïًهنهëهيèے îلْهىà ïًîنàو ïًè ًàâيîé ïًèلûëè: àëمهلًàè÷هٌêèé è مًàôè÷هٌêèé.

دًèىهيهيèه àëمهلًàè÷هٌêîمî ىهٍîنà îٌيîâàيî يà ٍîى, ÷ٍî ÷èٌٍàے ïًèلûëü ًàâيà ٌîâîêَïيîé ىàًوèيàëüيîé ïًèلûëè çà âû÷هٍîى ïîٌٍîےييûُ çàًٍàٍ, èëè

NP = ∑MR - C

رîâîêَïيàے ىàًوèيàëüيàے ïًèلûëü ىîوهٍ لûٍü ïîëَ÷هيà ïٍَهى َىيîوهيèے ىàًوèيàëüيîé ïًèلûëè يà êîëè÷هٌٍâî هنèيèِ ïًîنَêِèè:

∑MR = MR·Q

خلîçيà÷èى çà ُ îلْهى ïًîنَêِèè, ïًè êîٍîًîى îلà âàًèàيٍà ïًèيîٌےٍ îنèيàêîâَ‏ ïًèلûëü. زîمنà

19ُ - 21200 = 9ُ - 105000

ُ = 127000

ُ = 12700 (هن)

دًîâهًèى ‎ٍî ًàٌ÷هٍîى ÷èٌٍîé ïًèلûëè:

آàًèàيٍ 1 آàًèàيٍ 2

رîâîêَïيàے ىàًوèيàëüيàے

19·10700=2033009·12700=114600

ïًèلûëü يà ًàâيûé îلْهى, ؤإ

دîٌٍîےييûه çàًٍàٍû, 212000105000 ؤإ

×èٌٍàے ïًèلûëü, ؤإ =2930029300

ؤëے ïîًٌٍîهيèے مًàôèêà يà îٌè îًنèيàٍ îٍêëàنûâà‏ٍ çيà÷هيèے ïًèلûëè èëè َلûٍêà. دهًïهينèêَëےًيî ê يَëهâîىَ çيà÷هيè‏ ïًèلûëè ïًîâîنےٍ ëèيè‏ êîëè÷هٌٍâà ïًîèçâîنٌٍâà èëè ïًîنàو.

دîٌêîëüêَ ïًèلûëü âîçًàٌٍàهٍ ïًےىîëèيهéيî, ÷ٍîلû ïîًٌٍîèٍü مًàôèê نëے êàونîمî âàًèàيٍà, يàنî يàيهٌٍè âٌهمî نâه ٍî÷êè è ïًîâهٌٍè ÷هًهç يèُ ïًےىَ‏:

- ïهًâàے ٍî÷êà - çيà÷هيèه ىàًوèيàëüيîé ïًèلûëè ïًè يَëهâîى ïًîèçâîنٌٍâه èëè îلْهىه ïًîنàو, êîٍîًîه ًàâيî ïîٌٍîےييûى çàًٍàٍàى, ےâëے‏ùèىٌے â ٍàêîى ïهًèîنه َلûٍî÷يûى نëے ïًهنïًèےٍèے;

- âٍîًàے ٍî÷êà - çيà÷هيèه ïًèلûëè ïًè çàنàييîى îلْهىه. آ نàييîى ٌëَ÷àه ‎ٍîٍ îلْهى ًàâهي ىàêٌèىàëüيîé ïًîèçâîنٌٍâهييîé ىîùيîٌٍè ïًهنïًèےٍèے, ٍ.ه.24000 èçنهëèé.

دًîâهنهييûه ÷هًهç نâه ٍî÷êè, ٌîîٍâهٌٍٍâَ‏ùèه êàونîىَ âàًèàيٍَ, ïًےىûه ïًîéنٍَ ÷هًهç ٍî÷êَ لهçَلûٍî÷يîٌٍè è ïهًهٌهêٌٍَے ïًè çيà÷هيèè îلْهىà ïًîنàو, ًàâيîى 10700 هنèيèِ, نà‏ùهى ïًهنïًèےٍè‏ îنèيàêîâَ‏ ïًèلûëü â ًàçىهًه 29300 ؤإ.

حà مًàôèêه îٍ÷هٍëèâî âèنيî, ÷ٍî ïîٌëه ïًîُîونهيèے ٍî÷êè لهçَلûٍî÷يîٌٍè ïًè âîçًàٌٍàيèè îلْهىîâ ïًîèçâîنٌٍâà ïهًâûé âàًèàيٍ ïîçâîëےهٍ ïîëَ÷èٍü لîëüَّ‏ ïًèلûëü ïî ًٌàâيهيè‏ ٌî âٍîًûى.

دîٌٍîےييûه çàًٍàٍû ‒ ‎ٍî çàًٍàٍû, êîٍîًûه يه çàâèٌےٍ îٍ îلْهىîâ ïًîèçâîنٌٍâà ïًîنَêِèè, ïًîنàوè ٍîâàًîâ èëè îêàçàيèے ٌَëَم. ت ٍàêèى ًàٌُîنàى îٍيîٌےٌٍے:

àًهينيûه ïëàٍهوè;

çàًàلîٍيàے ïëàيà àنىèيèًٌٍàٍèâيî-َïًàâëهي÷هٌêîمî ïهًٌîيàëà (ہسد);

àىîًٍèçàِèے îلîًَنîâàيèے;

îïëàٍà ًàçëè÷يûُ ٌَëَم هêëàىà, ٌâےçü, ًٍàيٌïîًٍيûه ًàٌُîنû è ٍ.ن.).

خٌيîâيîé ٌىûٌë ïîٌٍîےييûُ çàًٍàٍ â ٍîى, ÷ٍî îيè ٌَùهٌٍâَ‏ٍ âيه çàâèٌèىîٌٍè îٍ ٍîمî ïîëَ÷èë نîُîن ïًهنïًèيèىàٍهëü èëè يهٍ [39, ٌ. 301].

ذàٌٌ÷èٍàهى ïîٌٍîےييûه çàًٍàٍû يà 1 مîن:

اàًàلîٍيàے ïëàٍà ہسد (4 ÷هëîâهêà) ٌîٌٍàâëےهٍ 270000 ًَلëهé â ىهٌےِ, ٍîمنà â مîن ‎ٍî لَنهٍ ٌîٌٍàâëےٍü

270000·12 ىهٌےِهâ=3240000 ًَلëهé.

رٍàâêà ًٌٍàُîâûُ âçيîٌîâ ٌîٌٍàâëےهٍ 30,2% è â نهيهويîى âûًàوهيèè ًàâيà 81540 ًَلëهé îٍ çàًàلîٍيîé ïëàٍû ہسد â ىهٌےِ, ٌëهنîâàٍهëüيî, â ٍه÷هيèه مîنà ‎ٍà ِèôًà لَنهٍ ًàâيà

81540 ًَلëهé · 12 ىهٌےِهâ = 978480 ًَلëهé.

ہىîًٍèçàِèے ‒ ïîٌٍهïهييîه ٌيàّèâàيèه ôîينîâ (îلîًَنîâàيèے) è ïهًهيهٌهيèه ‎ٍîé ٌٍîèىîٌٍè ïî ÷àٌٍےى يà âûًàلàٍûâàهىَ‏ ïًîنَêِè‏ [39].

رًîê ïîëهçيîمî èٌïîëüçîâàيèے ïًèىهيےهىîمî ٍهُيîëîمè÷هٌêîمî îلîًَنîâàيèے ïî êëàٌٌèôèêàٍîًَ ختخش ًàâهي 7 مîنàى. اàًٍàٍû يà يهَ÷ٍهييîه îلîًَنîâàيèه, ًٍَلîïًîâîنû è تبدèہ ًàٌٌ÷èٍàهى â ïًîِهيٍàُ îٍ ïîëيîé ٌىهٍيîé ٌٍîèىîٌٍè ٍهُيîëîمè÷هٌêîمî îلîًَنîâàيèے ٌîîٍâهٌٍٍâهييî â ٌëهنَ‏ùèُ ًàçىهًàُ: 5%,10%, 15%, 25%.

دهًه÷هيü ïًèىهيےهىîمî îلîًَنîâàيèے è همî ٌٍîèىîٌٍü ïًهنٌٍàâëهيû â ٍàلëèِه 3.2.

زàلëèِà 3.2

دًèىهيےهىîه îلîًَنîâàيèه

حàçâàيèه îلîًَنîâàيèے نëے ïًîèçâîنٌٍâà

زًهلَهىîه êîëè÷هٌٍâî

ضهيà, ًَل.

رَىىà, ًَل.

رًîê ïîëهçيîمî èٌïîëüçîâàيèے

I. خٌيîâيîه ٍهُيîëîمè÷هٌêîه îلîًَنîâàيèه:

-

-

-

-

ذهàêٍîً àâٍîêëàâيîمî ٍèïà ٌ ىهّàëêîé è ًَلàّêîé

1

4 000 000

4 000 000

7 ëهٍ

إىêîٌٍü è نîçàٍîً نëے êàٍàëèçàٍîًà

1

200 000

200 000

7 ëهٍ

إىêîٌٍü نëے نèىهيهًàëèçîâàييîé âîنû

1

90 000

90 000

7 ëهٍ

ہïïàًàٍ ٌ ىهّàëêîé è ًَلàّêîé نëے îٍنهëهيèے êàٍàëèçàٍîًà îٍ ِèêëîêàًلîيàٍîâ

1

2 700 000

2 700 000

7 ëهٍ

ہïïàًàٍ نëے î÷èٌٍêè ضت îٍ ïًèىهٌهé

1

200 000

200 000

7 ëهٍ

ہïïàًàٍ نëے îٍنهëهيèے êàٍàëèçàٍîًà îٍ âîنû

1

500 000

500 000

7 ëهٍ

ہïïàًàٍ نëے îٌَّêè êàٍàëèçàٍîًà

1

100 000

100 000

7 ëهٍ

ہïïàًàٍ نëے îٌَّêè è َنàëهيèے ىهُàيè÷هٌêèُ ïًèىهٌهé èç َمëهêèٌëîمî مàçà

1

200 000

200 000

7 ëهٍ

حàٌîٌû

7

30 000

210 000

7 ëهٍ

بٍîمî

-

-

8 220 000

7 ëهٍ

II. حهَ÷ٍهييîه îلîًَنîâàيèه (10%)

-

-

822 000

7 ëهٍ

III. فëهêًٍîٌèëîâîه îلîًَنîâàيèه (5%)

-

-

411 000

7 ëهٍ

IV. زًَلîïًîâîنû (15%)

-

-

1 233 000

7 ëهٍ

V. تبد è ہ (25%)

-

-

2 055 000

7 ëهٍ

بٍîمî

-

-

12 741 000

-



ر َ÷هٍîى ىîيٍàوà è ïٌَêîيàëàنî÷يûُ ًàلîٍ çàًٍàٍû يà îلîًَنîâàيèه ٌîٌٍàâےٍ 14270000 ًَلëهé. ہىîًٍèçàِèîييûه îٍ÷èٌëهيèے ٌîٌٍàâےٍ 2038571 ًَلëهé â مîن.

آ ٍàلëèِه 3.3 ïًهنٌٍàâëهيû çàًٍàٍû يà ïًî÷èه îٌيîâيûه ًٌهنٌٍâà.

زàلëèِà 3.3

دًî÷èه îٌيîâيûه ًٌهنٌٍâà

حàçâàيèه ïًî÷èُ îٌيîâيûُ ًٌهنٌٍâ

تîëè÷هٌٍâî

ضهيà, ًَل.

رَىىà, ًَل.

رًîê ïîëهçيîمî èٌïîëüçîâàيèے

تîىïü‏ٍهً نëے îôèٌà

4

25000

100000

7 ëهٍ

جèêًîâîëيîâàے ïه÷ü نëے ًàçîمًهâà ïèùè

1

3000

3000

7 ëهٍ

1

15000

15000

7 ëهٍ

رٍîë îôèٌيûé

6

4000

24000

7 ëهٍ

بٍîمî:

-

-

163000

-


رًîê ïîëهçيîمî èٌïîëüçîâàيèے 7 ëهٍ. ہىîًٍèçàِèے ٌîٌٍàâèٍ 23286 ًَل. â مîن.

ذàٌُîنû يà ًهêëàىَ.

دًهنïًèےٍèه لَنهٍ ًهêëàىèًîâàٍü ٌâîé ïًîنَêٍ â ٌهٍè èيٍهًيهٍ. رٍîèىîٌٍü ًهêëàىû ٌîٌٍàâëےهٍ 2000 ًَلëهé â ىهٌےِ, èëè 24000 ًَلëهé â مîن.

ذàٌُîنû يà ٌَëَمè ٌâےçè - ٍهëهôîي è èيٍهًيهٍ â مîن ïًهنٌٍàâëهيû â ٍàلëèِه 3.4.

زàلëèِà 3.4

ذàٌُîنû يà ٌَëَمè ٌâےçè

آèن ٌَëَم ٌâےçè

رٍîèىîٌٍü ٌَëَم ٌâےçè çà مîن, ًَل.

جîلèëüيàے ٌâےçü

6000

بيٍهًيهٍ

4800

بٍîمî

10800



دًهنïîëàمà‏ٌٍے çàًٍàٍû يà êàيِهëےًٌêèه ٍîâàًû نëے îôèٌà, يà ïًèيàنëهويîٌٍè نëے ëàلîًàٍîًيûُ èٌïûٍàيèé, يà ïًèîلًهٍهيèه ًٌهنٌٍâ èينèâèنَàëüيîé çàùèٍû.

زàلëèِà 3.5

ذàٌُîنû يà ىàٍهًèàëû êًîىه ïًîèçâîنٌٍâà

حàçâàيèه ىàٍهًèàëîâ

رٍîèىîٌٍü ىàٍهًèàëîâ çà مîن, ًَل.

تàيِهëےًٌêèه ٍîâàًû نëے îôèٌà

6000

ثàلîًàٍîًيàے ïîٌَنà è ًهàêٍèâû

36000

رًهنٌٍâà èينèâèنَàëüيîé çàùèٍû

129600

بٍîمî

171600



4. فêîيîىè÷هٌêîه îلîٌيîâàيèه ïًîهêٍà


فêîيîىè÷هٌêàے ‎ôôهêٍèâيîٌٍü - ٌëîويàے êàٍهمîًèے ‎êîيîىè÷هٌêîé يàَêè. خيà ïًîيèçûâàهٍ âٌه ٌôهًû ïًàêٍè÷هٌêîé نهےٍهëüيîٌٍè ÷هëîâهêà, âٌه ٌٍàنèè îلùهٌٍâهييîمî ïًîèçâîنٌٍâà, ےâëےهٌٍے îٌيîâîé ïîًٌٍîهيèے êîëè÷هٌٍâهييûُ êًèٍهًèهâ ِهييîٌٍè ïًèيèىàهىûُ ًهّهيèé. زàêèه يàèلîëهه ٌَùهٌٍâهييûه ُàًàêٍهًèٌٍèêè ُîçےéٌٍâهييîé نهےٍهëüيîٌٍè, êàê ِهëîٌٍيîٌٍü, ىيîمîىهًيîٌٍü, نèيàىè÷يîٌٍü è âçàèىîٌâےçàييîٌٍü هه ًàçëè÷يûُ ٌٍîًîي, يàُîنےٍ îًٍàوهيèه ÷هًهç êàٍهمîًè‏ ‎êîيîىè÷هٌêîé ‎ôôهêٍèâيîٌٍè. دًàâèëüيîه è هنèيîه, ïًèهىëهىîه نëے âٌهُ ًَîâيهé è ٌôهً ‎êîيîىèêè ٍîëêîâàيèه ‎ôôهêٍèâيîٌٍè ïًîèçâîنٌٍâà ïًهنٌٍàâëےهٍ لîëüّîé èيٍهًهٌ.

فêîيîىè÷هٌêàے ‎ôôهêٍèâيîٌٍü - îنيî èç يàèلîëهه îلùèُ è îلîلùà‏ùèُ ïîيےٍèé ‎êîيîىèêè - ٌëîويàے ٌîِèàëüيî-‎êîيîىè÷هٌêàے êàٍهمîًèے âîٌïًîèçâîنٌٍâà, îًٍàوà‏ùàے ïًîِهٌٌ ًàçâèٍèے ïًîèçâîنèٍهëüيûُ ٌèë â ٍهٌيîى êîيٍàêٍه ٌ ïًîèçâîنٌٍâهييûىè îٍيîّهيèےىè.

ثلîé لèçيهٌ-ïًîهêٍ ٌîçنàهٌٍے يà لàçه ïîيèىàيèے همî ‎ôôهêٍèâيîٌٍè ٌ ٍî÷êè çًهيèے âîًٌٍهلîâàييîٌٍè è ïًèلûëüيîٌٍè.

زهُيèêî-‎êîيîىè÷هٌêîه îلîٌيîâàيèه ïًîهêٍà îٌيîâàيî يà ٌîïîٌٍàâèٍهëüيîé îِهيêه çàًٍàٍ è ًهçَëüٍàٍîâ, ٌٍَàيîâëهيèè ‎ôôهêٍèâيîٌٍè èٌïîëüçîâàيèے, ًٌîêà îêَïàهىîٌٍè âëîوهيèé

دîêàçàٍهëè ‎ôôهêٍèâيîٌٍè نهےٍهëüيîٌٍè ôèًى - ‎ٍî àلٌîë‏ٍيûه è îٍيîٌèٍهëüيûه نàييûه. خٌيîâيîé èç يèُ - ïًèلûëü - êîيه÷يàے ِهëü è îٌيîâيîé êًèٍهًèé نهےٍهëüيîٌٍè ôèًىû.

ضهيà 1 ٍîييû ïًîèçâهنهييîمî ِèêëîêàًلîيàٍà لَنهٍ ٌîٌٍàâëےٍü 130000 ًَل.

ايàے مîنîâَ‏ ïًîèçâîنٌٍâهييَىîùيîٌٍü ىîويî ًàٌٌ÷èٍàٍü ïًèلûëü:

284 ٍîييû·130 000 ًَل.=36 920 000 ًَل.

رهلهٌٍîèىîٌٍü يàّهé ïًîنَêِèè ٌîٌٍàâëےهٍ 111398 ًَل., ٍàêèى îلًàçîى, َ÷èٍûâàے ïًîèçâîنٌٍâهييَىîùيîٌٍü, çà مîن ‎ٍà ِèôًà لَنهٍ ًàâيà:

111398 ًَل.·284 ٍîييû = 31637009 ًَل.;

دًهنïًèےٍèه لَنهٍ ïًèىهيےٍü َïًîùهييَ ٌèٌٍهىَ يàëîمîîلëîوهيèے (سرح). دهًهéٍè يà سرح ىîمٍَ îًمàيèçàِèè è بد, َ êîٍîًûُ:

 ًٌهنيےے ÷èٌëهييîٌٍü ًàلîٍà‏ùèُ يه ïًهâûّàهٍ 100 ÷هëîâهê;

âàëîâàے âûًَ÷êà çà مîن يه ïًهâûّàهٍ 60 ىëي. ًَل. èëè 45 ىëي. ًَل. çà 9 ىهٌےِهâ, ïًهنّهٌٍâَ‏ùèُ ïهًهُîنَ يà سرح;

لàëàيٌîâàے (îٌٍàٍî÷يàے) ٌٍîèىîٌٍü يàُîنےùهمîٌے â ٌîلٌٍâهييîٌٍè àىîًٍèçèًَهىîمî èىَùهٌٍâà يه ïًهâûّàهٍ 100 ىëي. ًَل. (èىههٌٍے ââèنَ ٌٍîèىîٌٍü èىَùهٌٍâà âàّهمî ïًهنïًèےٍèے يà ٍهêَùèé ىîىهيٍ);

يه ىهيهه 75% ٌٍَàâيîمî êàïèٍàëà ïًèيàنëهوèٍ ôèçè÷هٌêèى ëèِàى (çà èٌêë‏÷هيèهى ïًهنïًèےٍèé, ïًèىهيے‏ùèُ ًٍَن èيâàëèنîâ).

دîٌٍîےييûé êًَمîîلîًîٍ نهيهم (نهيهويûé îلîًîٍ) è يà ىàêًî‎êîيîىè÷هٌêîى ًَîâيه ىàٌٍّàلàُ يàِèîيàëüيîé ‎êîيîىèêè) è يà ىèêًî‎êîيîىè÷هٌêîى ًَîâيه ًàىêàُ îٍنهëüيîمî ïًهنïًèےٍèے) ےâëےهٌٍے îلْهêٍèâيûى ٌَëîâèهى èُ وèçيهٌïîٌîليîٌٍè. رîٌٍàâëے‏ùهé ‎ٍîمî êًَمîîلîًîٍà âûٌٍَïà‏ٍ نهيهويûه ïîٌٍَïëهيèے è نهيهويûه ًàٌُîنû â ïًîِهٌٌه ôèيàيٌîâîé نهےٍهëüيîٌٍè (نهيهويûه ïîٍîêè).

ؤهيهويûé îلîًîٍ îًٍàوàهٍ îٍيîّهيèے ىهونَ َ÷àٌٍيèêàىè ïًîِهٌٌà ïًîèçâîنٌٍâà, ًàٌïًهنهëهيèے, ïîًٍهلëهيèے, îلىهيà, à ïîٍîىَ èىههٍ ٌâîè ٌïهِèôè÷هٌêèه âîçىîويîٌٍè âëèےٍü يà ُîن è ًهçَëüٍàٍû ïًîèçâîنٌٍâهييî-ُîçےéٌٍâهييîé نهےٍهëüيîٌٍè يà âٌهُ ًَîâيےُ ‎êîيîىèêè.

ؤهيهويûه ïîٍîêè - ‎ٍî ïîٌٍَïëهيèه è âûلûٍèه نهيهويûُ ًٌهنٌٍâ è èُ ‎êâèâàëهيٍîâ â ïًîِهٌٌه ôèيàيٌîâîé نهےٍهëüيîٌٍè.

شèيàيٌîâàے نهےٍهëüيîٌٍü يà ىèêًî‎êîيîىè÷هٌêîى ًَîâيه ًàىêàُ îٍنهëüيîمî ïًهنïًèےٍèے) ٌâےçàيà ٌ îٍيîّهيèےىè ôîًىèًîâàيèے è ًàٌïًهنهëهيèے نîُîنîâ ٌ ِهëü‏ îلهٌïه÷هيèے âîٌïًîèçâîنٌٍâهييîمî ïًîِهٌٌà. خيè âûïîëيے‏ٍ ًîëü ٌâےçَ‏ùهمî çâهيà ىهونَ îٍنهëüيûىè ِèêëàىè âîٌïًîèçâîنٌٍâهييîمî ïًîِهٌٌà. حàًَّهيèے â èُ ôَيêِèîيèًîâàيèè يهمàٍèâيî âëèےهٍ يà ïًîèçâîنٌٍâî. حهُâàٍêà ًهًٌٌَîâ âهنهٍ ê ïàنهيè‏ ïًîèçâîنٌٍâà, à èُ îٌٌٍٍٍَâèه - ê همî ïًهêًàùهيè‏. حàëè÷èه نîٌٍàٍî÷يûُ نîُîنîâ ٌîçنàهٍ ïًهنïîٌûëêè نëے يîًىàëüيîمî ُîنà âîٌïًîèçâîنٌٍâهييîمî ïًîِهٌٌà, يî هùه يه مàًàيٍèًَهٍ همî, ïîٌêîëüêَ âٌه çàâèٌèٍ îٍ èُ ًàِèîيàëüيîمî ًàٌïًهنهëهيèے è ‎ôôهêٍèâيîمî èٌïîëüçîâàيèے, à ‎ٍî ےâëےهٌٍے îٌيîâيîé çàنà÷هé ôèيàيٌîâîé نهےٍهëüيîٌٍè ïًهنïًèےٍèے.

شèيàيٌîâûه îٍيîّهيèے ïًهنïًèےٍèے îًٍàوà‏ٌٍے â نهيهويûُ ïîٍîêàُ, ُàًàêٍهًèçَ‏ùèُ ًàçëè÷يûه è ًàçيîٌٍîًîييèه âçàèىîٌâےçè. آûنهëے‏ٍ âيهّيèه è âيًٍَهييèه ôèيàيٌîâûه îٍيîّهيèے ïًهنïًèےٍèے.

آيهّيèه ôèيàيٌîâûه îٍيîّهيèے ïًهنïًèےٍèے:

à) îٍيîّهيèے îلىهيà: ىهونَ ٌَلْهêٍàىè ُîçےéٌٍâîâàيèے â âèنه ًàٌ÷هٍîâ ٌ ïîٌٍàâùèêàىè è ïîêَïàٍهëےىè;

ل) îٍيîّهيèے ًàٌïًهنهëهيèے:

ٌ لنوهٍîى (ïëàٍهوè è àٌٌèميîâàيèے);

-       ٌ ôîينàىè ِهëهâîمî يàçيà÷هيèے (âçيîٌû è ïîٌٍَïëهيèے);

-       ٌî ًٌٍàُîâûىè êîىïàيèےىè (ًٌٍàُîâûه ïëàٍهوè è ًٌٍàُîâîه âîçىهùهيèه);

-       ٌ لàيêàىè (îٍêًûٍèه è âهنهيèه ٌ÷هٍîâ, ًُàيهيèه ًٌهنٌٍâ يà نهïîçèٍàُ, ïîëَ÷هيèے è ïîمàّهيèے êًهنèٍîâ, ïîëَ÷هيèے è َïëàٍà ïًîِهيٍîâ è ٍ.ï.);

-       ٌ èيٌٍèٍٍَàىè ôèيàيٌîâîمî ًûيêà (ًàçىهùهيèه ٌîلٌٍâهييûُ ِهييûُ لَىàم è èيâهٌٍèًîâàيèے âًهىهييî ٌâîلîنيûُ ًٌهنٌٍâ);

-       ٌ îًٍàٌëهâûىè è êîًïîًàٍèâيûىè îًمàيàىè (âçيîٌû â ِهيًٍàëèçîâàييûُ ôîينîâ è يàن ïًîèٌُîونهيèے èç يèُ).

آيًٍَهييèه ôèيàيٌîâûه îٍيîّهيèے ïًهنïًèےٍèے èىه‏ٍ ًàٌïًهنهëèٍهëüيûé ُàًàêٍهً è âêë‏÷à‏ٍ:

ًàٌïًهنهëهيèه نîُîنà è ôîًىèًîâàيèے ïًèلûëè;

-       ًàٌïًهنهëهيèه ÷èٌٍîé ïًèلûëè è هه èٌïîëüçîâàيèے;

-       ôîًىèًîâàيèه è èٌïîëüçîâàيèه àىîًٍèçàِèîييûُ îٍ÷èٌëهيèé;

-       îلًàçîâàيèه è èٌïîëüçîâàيèه ôîينîâ ïًهنïًèےٍèé.

آ îٌيîâه ôèيàيٌîâîé نهےٍهëüيîٌٍè ïًهنïًèےٍèے: îٌَùهٌٍâëهيèه ًàٌُîنîâ è ôîًىèًîâàيèے نîُîنîâ.

ذàٌُîنû îلهٌïه÷èâà‏ٌٍے çà ٌ÷هٍ ôèيàيٌîâûُ ًهًٌٌَîâ, يàُîنےùèٌُے â ًàٌïîًےوهيèè ïًهنïًèےٍèé. بٍîمè ôèيàيٌîâîé نهےٍهëüيîٌٍè îًٍàوà‏ٌٍے â ôèيàيٌîâûُ ًهçَëüٍàٍàُ - ïًèلûëè èëè َلûٍêà. دًè ‎ٍîى ôîًىèًَهٌٍے ِهïü, èçîلًàوهييàے يà ًèٌَيêه 4.2 - àلًٌٍàêٍيàے ٌُهىà, îًٍàوà‏ùàے ىهُàيèçى ôèيàيٌîâîé نهےٍهëüيîٌٍè ïًهنïًèےٍèے:

ôèيàيٌîâûه ًهًٌٌَû - ًàٌُîنû - نîُîنû - ôèيàيٌîâûه ًهçَëüٍàٍû -

 َâهëè÷هيèه ىهيüّهيèه) ôèيàيٌîâûُ ًهًٌٌَîâ.

بيôîًىàِè‏ î نهيهويûُ ïîٍîêàُ (نâèوهيèè نهيهويûُ ًٌهنٌٍâ يà ïًهنïًèےٍèè) îًٍàوàهٍ ôîًىà 4 "خٍ÷هٍ î نâèوهيèè نهيهويûُ ًٌهنٌٍâ".

سïًàâëهيèه نهيهويûىè ïîٍîêàىè - âàويهéّèé ًàçنهë ôèيàيٌîâîمî ىهيهنوىهيٍà.

تàê ïًàâèëî, çيà÷èٍهëüيûه نهيهويûه ïîٍîêè ïîىîمà‏ٍ êîىïàيèè ٌîًُàيےٍü ôèيàيٌîâَ‏ ٌٍàلèëüيîٌٍü â ٌàىûُ ٌëîويûُ è ‎êîيîىè÷هٌêè يهلëàمîïًèےٍيûُ ٌَëîâèےُ. ؤهيهويûه ïîٍîêè َêàçàيû â ٍàلëèِه 4.1.

زàلëèِà 4.1

ؤâèوهيèه نهيهويûُ ïîٍîêîâ

حàèىهيîâàيèه ïîêàçàٍهëهé

2014 مîن (ًَل.)

2015 مîن (ًَل.)

2016 مîن (ًَل.)

2017 مîن (ًَل.)

2018 مîن (ًَل.)

2019 مîن (ًَل.)

2020 مîن (ًَل.)

1.رûًüه

17397840

17397840

17397840

17397840

17397840

17397840

17397840

2.فيهًمèے

1267776

1267776

1267776

1267776

1267776

1267776

1267776

3. زهïëîâàے يهًمèے

238276

238276

238276

238276

238276

238276

238276

4.آîنîٌيàلوهيèه

57084

57084

57084

57084

57084

57084

57084

5.ا/ï îٌي. ïهًٌîيàëà + ًٌٍàُ. âçيîٌû

4344916

4344916

4344916

4344916

4344916

4344916

4344916

6. سïàêîâêà

1057900

1057900

1057900

1057900

1057900

1057900

1057900

7.اہسد + ًٌٍàُ. âçيîٌû

4218480

4218480

4218480

4218480

4218480

4218480

4218480

8. ذàٌُîنû يà ًهêëàىَ

24000

24000

24000

24000

24000

24000

24000

9. ذàٌُîنû يà ٌَëَمè ٌâےçè

10800

10800

10800

10800

10800

10800

10800

10. ذàٌُîنû يà ىàٍهًèàëû êًîىه ïًîèçâîنٌٍâà

171600

171600

171600

171600

171600

171600

171600

11.تîىىَيàëüيûه ًàٌُîنû

138480

138480

138480

138480

138480

138480

138480

12.ہًهينà

648 000

648 000

648 000

648 000

648 000

648 000

648 000

13.ہىîًٍèçàِèے îلîًَنîâàيèے

2038571

2038571

2038571

2038571

2038571

2038571

2038571

14.ہىîًٍèçàِèے îٌيîâيûُ ًٌهنٌٍâ

23286

23286

23286

23286

23286

23286

23286

15. آûًَ÷êà

36920000

36920000

36920000

36920000

36920000

36920000

36920000



حà îٌيîâàيèè نàييîé ٍàلëèِû âû÷èٌëèى ‎êîيîىè÷هٌêèه ïîêàçàٍهëè. ت ‎êîيîىè÷هٌêèى ïîêàçàٍهëےى ‎ôôهêٍèâيîٌٍè îٍيîٌےٍ:

×èٌٍûé نèٌêîيٍèًîâàييûé نîُîن (NPV);

دهًèîن îêَïàهىîٌٍè (PP);

بينهêٌ نîُîنيîٌٍè (PI);

آيًٍَهييےے يîًىà ًهيٍàلهëüيîٌٍè èيâهٌٍèِèé (IRR) [32, ٌ. 65].

×èٌٍûé نèٌêîيٍèًîâàييûé نîُîن - ‎ٍî ٍهêَùàے ٌٍîèىîٌٍü لَنَùèُ نهيهويûُ ïîٌٍَïëهيèé çà âû÷هٍîى çàًٍàٍ يà îٌَùهٌٍâëهيèه èيâهٌٍèِèîييîمî ïًîهêٍà. ؤًَمèىè ٌëîâàىè, ×ؤؤ ïîêàçûâàهٍ ٌَىىَ نèٌêîيٍèًîâàييîé ïًèلûëè, ïîëَ÷هييîé çà âًهىے ًهàëèçàِèè ïًîهêٍà. إٌëè ×ؤؤ > 0, èييîâàِèîييûé ïًîهêٍ ٌ÷èٍàهٌٍے ‎ôôهêٍèâيûى è ىîوهٍ ًàٌٌىàًٍèâàٍüٌے âîïًîٌ î همî ïًèيےٍèè. ×èٌٍûé يàêîïëهييûé نîُîن ؤ) è ÷èٌٍûé نèٌêîيٍèًîâàييûé نîُîن ؤؤ) نîëويû لûٍü ïîëîوèٍهëüيû.

ذàٌٌ÷èٍûâàهٌٍے ÷èٌٍûé نèٌêîيٍèًîâàييûé نîُîن ïî ôîًىَëه (4.1) [40, ٌ. 331-333]:

NPV = ∑ ((دً+ہ)/ (1+r) n) - ∑ (I/ (1+r) n), (4.1)

منه دً - ïًèلûëü;

ہ - àىîًٍèçàِèے;- êî‎ôôèِèهيٍ نèٌêîيٍèًîâàيèے, َ÷èٍûâàهٍ èيôëےِè‏, ًèٌê ïî ïًîهêٍَ è ِهيَ êàïèٍàëà;- êîëè÷هٌٍâî ëهٍ;- èيâهٌٍèِèè.

ذàٌ÷هٍ ÷èٌٍîمî نèٌêîيٍèًîâàييîمî نîُîنà (NPV), ïًè ٌٍàâêه نèٌêîيٍèًîâàيèے 10%.

آûًَ÷êà - ٌهلهٌٍîèىîٌٍü - يàëîم = 36 920 000 - 31637009 - 792449 = 4490542 ًَل.

) NPV1 = (4490542+2038571+23286)/(1+0,1)0) - (14433000/(1+0,1)0)=

= - 7880601 ًَل.

) NPV2 = - 7880601 +(4490542+2038571+23286)/(1+0,1)1) = - 1 923 873,97 ًَل.

) NPV3 = -1 923 873,97 +(4490542+2038571+23286)/(1+0,1)2) =3 491 332,11 ًَل.

) NPV4 = 3 491 332,11+(4490542+2038571+23286)/(1+0,1)3) =8 414 246,72 ًَل.

) NPV5 = 8 414 246,72+(4490542+2038571+23286)/(1+0,1)4) =12 889 623,64 ًَل.

) NPV6 =12 889 623,64+(4490542+2038571+23286)/(1+0,1)5) =16 958 148,11 ًَل.

) NPV7 =16 958 148,11+(4490542+2038571+23286)/(1+0,1)6) =20 656 806,73 ًَل.

دîëَ÷هييûه ًهçَëüٍàٍû َêàçûâà‏ٍ يà ‎êîيîىè÷هٌêَ‏ ِهëهٌîîلًàçيîٌٍü ïًîهêٍà ïî ïًîèçâîنٌٍâَ ِèêëîêàًلîيàٍà, ïîٌêîëüêَ ÷èٌٍûé نèٌêîيٍèًîâàييûé نîُîن لîëüّه يَëے.

رًîê îêَïàهىîٌٍè èيâهٌٍèِèé - âًهىے, êîٍîًîه ًٍهلَهٌٍے, ÷ٍîلû èيâهٌٍèِèے îلهٌïه÷èëà نîٌٍàٍî÷يûه ïîٌٍَïëهيèے نهيهم نëے âîçىهùهيèے èيâهٌٍèِèîييûُ ًàٌُîنîâ. آىهٌٍه ٌ ÷èٌٍîé ٍهêَùهé ٌٍîèىîٌٍü‏ (NPV) è âيًٍَهييèى êî‎ôôèِèهيٍîى îêَïàهىîٌٍè (IRR) èٌïîëüçَهٌٍے êàê èيًٌٍَىهيٍ îِهيêè èيâهٌٍèِèé.

رًîê îêَïàهىîٌٍè èيâهٌٍèِèé - ‎ٍî ïًهâîٌُîنيûé ïîêàçàٍهëü, ïًهنîٌٍàâëے‏ùèé âàى َïًîùهييûé ٌïîٌîل َçيàٍü, ٌêîëüêî âًهىهيè ïîًٍهلَهٌٍے ôèًىه نëے âîçىهùهيèے ïهًâîيà÷àëüيûُ ًàٌُîنîâ. فٍî èىههٍ îٌîلîه çيà÷هيèه نëے لèçيهٌà, ًàٌïîëîوهييîمî â ًٌٍàيàُ ٌ يهٌٍَîé÷èâîé ôèيàيٌîâîé ٌèٌٍهىîé, èëè لèçيهٌà ٌâےçàييîمî ٌ ïهًهنîâîé ٍهُيîëîمèهé, منه ًٌٍهىèٍهëüيîه ٌٍَàًهâàيèه ٍîâàًà ےâëےهٌٍے يîًىîé, ÷ٍî ïًهâًàùàهٍ لûًٌٍîه âîçىهùهيèه èيâهٌٍèِèîييûُ ًàٌُîنîâ â âàويَ‏ ïًîلëهىَ.

آ çàâèٌèىîٌٍè îٍ ïëàيèًَهىîé èيٍهيٌèâيîٌٍè è ٌَëîâèé ôَيêِèîيèًîâàيèے ïًهنïًèےٍèے ًٌîêè îêَïàهىîٌٍè ىîمٍَ çيà÷èٍهëüيî âàًüèًîâàٍüٌے. دًè îïٍèىàëüيûُ âëîوهيèےُ â âûّهïًèâهنهييûُ îلْهىàُ ïهًâîيà÷àëüيàے ٌٍîèىîٌٍü نàييîمî لèçيهٌà âهًيهٌٍے ê èيâهٌٍîًَ â êà÷هٌٍâه ÷èٌٍîé ïًèلûëè çà 8 - 14 ىهٌےِهâ. إٌëè نهëî لûëî يà÷àٍî ٌ ىèيèىàëüيûىè âëîوهيèےىè, ïًèلûëü îٍ يهمî îêَïèٍ èيâهٌٍèِèè çà ىهيüّèه ًٌîêè - îٍ 3-ُ نî 6 ىهٌےِهâ. آ ‎ٍîى ٌëَ÷àه âàويûى ôàêٍîًîى, ٌïîٌîلٌٍâَ‏ùèى èيٍهيٌèâيîٌٍè îêَïàهىîٌٍè, لَنهٍ àêٍèâيîٌٍü ًàلîٍû ïًهنïًèےٍèے è مîٍîâيîٌٍü ëîêàëüيîمî ًûيêà ê âُîونهيè‏ â يهمî يîâîé ôèمًَû. 18 ىهٌےِهâ - êًàéيےے ٍî÷êà, ïًîéنے êîٍîًَ‏ يهîêَïèâّèéٌے لèçيهٌ ىîويî çàêًûâàٍü èëè ïًîنàâàٍü. رëهنَهٍ ïîىيèٍü î ٌَùهٌٍâîâàيèè êًèçèٌيîمî ىهيهنوىهيٍà, ٌïîٌîليîمî âûٍےيٍَü ïًهنïًèےٍèه يà لîëهه âûٌîêèé ًَîâهيü îêَïàهىîٌٍè çà ٌ÷هٍ ïًèâëه÷هيèے ïîٌٍîًîييèُ ٌïهِèàëèٌٍîâ è ïîëيîمî îليîâëهيèے êîيٍèيمهيٍà ٌîًٍَنيèêîâ.

جهٍîن îïًهنهëهيèے ًٌîêà îêَïàهىîٌٍè èيâهٌٍèِèé (ذذ) ٌîٌٍîèٍ â ًàٌ÷هٍه ًٌîêà îêَïàهىîٌٍè èيâهٌٍèِèîييîمî ïًîهêٍà. دًîٌٍûى, èëè ٌٍàٍè÷هٌêèى ىهٍîنîى ًٌîêà îêَïàهىîٌٍè èيâهٌٍèِèé جîىهيٍîى îêَïàهىîٌٍè يàçûâàهٌٍے ٍîٍ يàèلîëهه ًàييèé ىîىهيٍ. حàًےنَ ٌ َêàçàييûىè نîٌٍîèيٌٍâàىè ىهٍîن ًàٌ÷هٍà ïًîٌٍîمî ًٌîêà îêَïàهىîٌٍè. ذèٌَيîê 4.1 - أًàôè÷هٌêàے èيٍهًïًهٍàِèے ًٌîêà îêَïàهىîٌٍè èيâهٌٍèِèé.

ذèٌ. 4.1 رًîê îêَïàهىîٌٍè èيâهٌٍèِèé

بينهêٌ نîُîنيîٌٍè èيâهٌٍèِèé (بؤ) - îٍيîّهيèه ٌَىىû ‎ëهىهيٍîâ نهيهويîمî ïîٍîêà îٍ îïهًàِèîييîé نهےٍهëüيîٌٍè ê àلٌîë‏ٍيîé âهëè÷èيه ٌَىىû ‎ëهىهيٍîâ نهيهويîمî ïîٍîêà îٍ èيâهٌٍèِèîييîé نهےٍهëüيîٌٍè. خي ًàâهي َâهëè÷هييîىَ يà هنèيèَِ îٍيîّهيè‏ ×ؤد ê يàêîïëهييîىَ îلْهىَ èيâهٌٍèِèé.

شîًىَëَ نëے ًàٌ÷هٍà بؤ ىîويî îïًهنهëèٍü, èٌïîëüçَے ôîًىَëَ, ïًهنâàًèٍهëüيî ïًهîلًàçîâàâ هه â ٌëهنَ‏ùèé âèن [21]:


منه - âهëè÷èيà îٍٍîêà نهيهويûُ ًٌهنٌٍâ يà m-ى ّàمه لهç êàïèٍàëîâëîوهيèé (ت) (èيâهٌٍèِèé) يà ٍîى وه ّàمه.

زîمنà ôîًىَëَ نëے îïًهنهëهيèے èينهêٌà نîُîنيîٌٍè ىîويî ïًهنٌٍàâèٍü â âèنه


إٌëè ïًèيےٍü ًےن نîïَùهيèé, ٍî ىîويî ïîêàçàٍü مًàôè÷هٌêَ‏ èيٍهًïًهٍàِè‏ èينهêٌà نîُîنيîٌٍè (ًèٌ. 4.2).

فٍè نîïَùهيèے ٌîٌٍîےٍ â ٌëهنَ‏ùهى:

èيâهٌٍèِèè â ïًîهêٍ نëے ٌîçنàيèے àêٍèâîâ ïًîèçâîنےٌٍے ٍîëüêî â يà÷àëüيûé ïهًèîن (tu);

ïًهنïًèےٍèه يه èىههٍ َلûٍêîâ â ïهًèîن îٌâîهيèے ïًîèçâîنٌٍâà èëè îٌâîهيèے ًûيêà ٌلûٍà ïًîèçâîنèىîé ïًîنَêِèè;

ىû ïًهيهلًهمàهى ëèêâèنàِèîييîé ٌٍîèىîٌٍü‏ àêٍèâîâ.

بٌïîëüçَے ôîًىَëَ è ًèٌ. 4.2, ىîويî ïًهنٌٍàâèٍü ôîًىَëَ نëے îïًهنهëهيèے èينهêٌà نîُîنيîٌٍè â âèنه

 .

زàêèى îلًàçîى, èينهêٌ نîُîنيîٌٍè (بؤ) هٌٍü يه ÷ٍî èيîه, êàê ïîêàçàٍهëü ًهيٍàلهëüيîٌٍè èيâهٌٍèِèé, îïًهنهëهييûé îٍيîٌèٍهëüيî ٌَىىàًيûُ ïîêàçàٍهëهé ×ؤد è èيâهٌٍèِèé çà ‎êîيîىè÷هٌêèé ًٌîê èُ وèçيè.

ذèٌ. 4.2. أًàôè÷هٌêàے èيٍهًïًهٍàِèے بؤ èيâهٌٍèِèé

دًè ًàٌ÷هٍه èينهêٌà نîُîنيîٌٍè ىîمٍَ َ÷èٍûâàٍüٌے ëèلî âٌه êàïèٍàëîâëîوهيèے çà ًàٌ÷هٍيûé ïهًèîن, âêë‏÷àے âëîوهيèے â çàىهùهيèه âûلûâà‏ùèُ îٌيîâيûُ ôîينîâ, ëèلî ٍîëüêî ïهًâîيà÷àëüيûه êàïèٍàëîâëîوهيèے, îٌَùهٌٍâëےهىûه نî ââîنà ïًهنïًèےٍèے â ‎êٌïëَàٍàِè‏ (ٌîîٍâهٌٍٍâَ‏ùèه ïîêàçàٍهëè لَنٍَ, êîيه÷يî, èىهٍü ًàçëè÷يûه çيà÷هيèے) [22].

بينهêٌ نîُîنيîٌٍè èيâهٌٍèِèé ïًهâûّàهٍ 1, هٌëè è ٍîëüêî هٌëè نëے ‎ٍîمî ïîٍîêà ÷èٌٍûه نهيهويûه ïîٌٍَïëهيèے èىه‏ٍ ïîëîوèٍهëüيûه çيà÷هيèے.

ذàٌٌ÷èٍàهى èينهêٌ نîُîنيîٌٍè يàّهمî ïًîهêٍà ïî ôîًىَëه (4.2):

PI=∑ ((دً+ہ) / (1+0,1) n) / ∑ (I/ (1+0,1) n) = ((20656806,73+14433000)/1,949) / (14433000/1,949) = 2,43%.

زàêèى îلًàçîى, يà îنèي ًَلëü âëîوهييûُ ًٌهنٌٍâ نèٌêîيٍèًîâàييàے ïًèلûëü ٌîٌٍàâèٍ 2,43 ًَلëے.

آيًٍَهييےے يîًىà ًهيٍàلهëüيîٌٍè IRR (âيًٍَهييےے يîًىà ïًèلûëè, èيâهٌٍèِèé) - çيà÷هيèه ٌٍàâêè نèٌêîيٍèًîâàيèے, ïًè êîٍîًîى NPV ïًîهêٍà ًàâهي يَë‏:

IRR = i,

ïًè êîٍîًîى

NPV = f(i)=0

رٍَü ًàٌ÷¸ٍà âيًٍَهييهé يîًىû ًهيٍàلهëüيîٌٍè çàêë‏÷àهٌٍے â ٌëهنَ‏ùهى: IRR ïîêàçûâàهٍ ىàêٌèىàëüيî نîïٌٍَèىûé îٍيîٌèٍهëüيûé ًَîâهيü ًàٌُîنîâ, êîٍîًûه ىîمٍَ لûٍü ïًèيےٍû نëے ïًîهêٍà.

فêîيîىè÷هٌêèé ٌىûٌë âيًٍَهييهé يîًىû ًهيٍàلهëüيîٌٍè çàêë‏÷àهٌٍے â ٍîى, ÷ٍî ïًهنïًèےٍèه ىîوهٍ ïًèيèىàٍü ًهّهيèے èيâهٌٍèِèîييîمî ُàًàêٍهًà, ïًè êîٍîًûُ ًَîâهيü ًهيٍàلهëüيîٌٍè يه يèوه ٍهêَùهمî çيà÷هيèے رر هيû èٌٍî÷يèêà ًٌهنٌٍâ نëے ïًîهêٍà). زàêèى îلًàçîى, îِهيêà ïî êًèٍهًè‏ âيًٍَهييهé يîًىû ًهيٍàلهëüيîٌٍè âûٍهêàهٍ èç ٌîîٍيîّهيèے IRR è ِهيû àâàيٌèًîâàييîمî êàïèٍàëà رر:

هٌëè IRR > رر, ٍî ïًîهêٍ ٌëهنَهٍ ïًèيےٍü;

هٌëè IRR < رر, ٍî ïًîهêٍ ٌëهنَهٍ îٍâهًميٍَü;

هٌëè IRR = رر, ٍî ïًîهêٍ يه ïًèيîٌèٍ يè ïًèلûëè, يè َلûٍêà [43].

بٍàê, IRR ‒ ‎ٍî îلهٌïه÷èâà‏ùàے لهçَلûٍî÷يûé ًهçَëüٍàٍ ٌٍàâêà نèٌêîيٍà, ïًè êîٍîًîé ٌَىىû ïîٌٍَïà‏ùهé نهيهويîé يàëè÷يîٌٍè ًàâيû ٌَىىàى َلûâà‏ùهé نهيهويîé يàëè÷يîٌٍè.

ذàٌٌ÷èٍûâàهٌٍے âيًٍَهييےے يîًىà ًهيٍàلهëüيîٌٍè (IRR) ïî ôîًىَëه (4.3) [42, ٌ.360]:

IRR = r1 + ((NPV1·(r2 - r1))/ (NPV1 ˗ NPV2), (4.3)

منه r1, r2 - êî‎ôôèِèهيٍ نèٌêîيٍèًîâàيèے;- ÷èٌٍûé نèٌêîيٍèًîâàييûé نîُîن ïî ïًîهêٍَ ïًè êî‎ôôèِèهيٍه

نèٌêîيٍèًîâàيèے ;- îًٍèِàٍهëüيîه çيà÷هيèه ÷èٌٍîمî نèٌêîيٍèًîâàييîمî نîُîنà ïًè êî‎ôôèِèهيٍه نèٌêîيٍèًîâàيèے .

ؤëے ًàٌ÷¸ٍà âيًٍَهييهé يîًىû ًهيٍàلهëüيîٌٍè (IRR), يهîلُîنèىî âû÷èٌëèٍü ÷èٌٍûé نèٌêîيٍèًîâàييûé نîُîن (NPV), ïًè ًàçيûُ ٌٍàâêàُ نèٌêîيٍèًîâàيèے, يà÷èيàے ٌ 0%.

دًè ٌٍàâêه نèٌêîيٍèًîâàيèے 0%:

آûًَ÷êà - ٌهلهٌٍîèىîٌٍü - يàëîم = 36 920 000 - 31637009 - 792449 = 4490542 ًَل.

) NPV1 = (4490542+2038571+23286)/(1+0)0) - (14433000/(1+0)0) =

= - 7880601 ًَل.

) NPV2 = - 7880601+(4490542+2038571+23286)/(1+0)1) = - 1328201,3 ًَل.

) NPV3 = - 1328201,3+(4490542+2038571+23286)/(1+0)2) = 5224198,05 ًَل.

) NPV4 = 5224198,05+(4490542+2038571+23286)/(1+0)3) = 11776597,4 ًَل.

) NPV5 = 11776597,4+(4490542+2038571+23286)/(1+0)4) = 18328996,75 ًَل.

) NPV6 = 18328996,75+(4490542+2038571+23286)/(1+0)5) = 24881396,1 ًَل.

) NPV7 = 24881396,1+(4490542+2038571+23286)/(1+0)6) = 31433795,45 ًَل.

دًè ٌٍàâêه نèٌêîيٍèًîâàيèے 50%:

آûًَ÷êà - ٌهلهٌٍîèىîٌٍü - يàëîم = 36 920 000 - 31637009 - 792449 = 4490542 ًَل.

) NPV1 = (4490542+2038571+23286)/(1+0,5)0) - (14433000/(1+0,5)0) =

= - 7880601 ًَل.

) NPV2 = - 7880601+(4490542+2038571+23286)/(1+0,5)1) = - 3512334,42 ًَل.

) NPV3 = - 3512334,42+(4490542+2038571+23286)/(1+0,5)2) = - 600156,93 ًَل.

) NPV4 = - 600156,93+(4490542+2038571+23286)/(1+0,5)3) = 1341294,73 ًَل.

) NPV5 = 1341294,73+(4490542+2038571+23286)/(1+0,5)4) = 2635595,84 ًَل.

) NPV6 = 2635595,84+(4490542+2038571+23286)/(1+0,5)5) = 3498463,24 ًَل.

) NPV7 = 3498463,24+(4490542+2038571+23286)/(1+0,5)6) = 4073708,18 ًَل.

دًè ٌٍàâêه نèٌêîيٍèًîâàيèے 80%:

آûًَ÷êà - ٌهلهٌٍîèىîٌٍü - يàëîم = 36 920 000 - 31637009 - 792449 =

= 4490542 ًَل.

) NPV1 = (4490542 + 2038571 + 23286)/(1 + 0,8)0) - (14433000/(1+0,8)0) = -7880601 ًَل.

) NPV2 = - 7880601+(4490542+2038571+23286)/(1+0,8)1) = - 4240378,79 ًَل.

) NPV3 = - 4240378,79+(4490542+2038571+23286)/(1+0,8)2) = -2218033,31ًَل.

) NPV4 = -2218033,31+(4490542+2038571+23286)/(1+0,8)3) = -1094508,05 ًَل.

) NPV5 = -1094508,05 +(4490542+2038571+23286)/(1+0,8)4) = -470327,34 ًَل.

) NPV6 = -470327,34+(4490542+2038571+23286)/(1+0,8)5) = -123560,28 ًَل.

) NPV7 = -123560,28 +(4490542+2038571+23286)/(1+0,8)6) = 69088,08 ًَل.

دًè ٌٍàâêه نèٌêîيٍèًîâàيèے 90%:

آûًَ÷êà - ٌهلهٌٍîèىîٌٍü - يàëîم = 36 920 000 - 31637009 - 792449 =

= 4490542 ًَل.

) NPV1 = (4490542 + 2038571 + 23286)/(1 + 0,9)0) - (14433000/(1+0,9)0) = -7880601 ًَل.

) NPV2 = - 7880601+(4490542+2038571+23286)/(1+0,9)1) = - 4431969,41 ًَل.

) NPV3 = - 4431969,41+(4490542+2038571+23286)/(1+0,9)2) = -2616900,34 ًَل.

) NPV4 = -2616900,34+(4490542+2038571+23286)/(1+0,9)3) = -1661600,83 ًَل.

) NPV5 = -1661600,83+(4490542+2038571+23286)/(1+0,9)4) = -1158811,61 ًَل.

) NPV6 = -1158811,613+(4490542+2038571+23286)/(1+0,9)5) = -894185,71 ًَل.

) NPV7 = -894185,71+(4490542+2038571+23286)/(1+0,9)6) = -754908,92 ًَل.

ايàے çيà÷هيèے NPV ïًè ٌٍàâêàُ 80% è 90% ًàٌٌ÷èٍàهى âيًٍَهيي‏‏ يîًىَ ًهيٍàلهëüيîٌٍè ïî ôîًىَëه (4.3) è ïîًٌٍîèى مًàôèê çàâèٌèىîٌٍè NPV îٍ r.

IRR = (r1 + ((NPV1·(r2-r1))/ (NPV1 ˗ NPV2))·100%=(0,8+((69088,08 ·(0,9-0,8)/(69088,08 +754908,92))·100%=0,81·100%=81 %.

IRR ïîêàçûâàهٍ ىàêٌèىàëüيَ‏ âهëè÷èيَ ïًîِهيٍيîé ٌٍàâêè ïî êًهنèٍَ, êîٍîًَ‏ ٍهîًهٍè÷هٌêè ٌïîٌîلهي îêَïèٍü ïًîهêٍ.

5. ہيàëèç ًèٌêîâ èيâهٌٍèِèîييûُ ïًîهêٍîâ


تà÷هٌٍâهييûé àيàëèç ًèٌêîâ âêë‏÷àهٍ â ٌهلے ًàٌٌٍàيîâêَ ïًèîًèٍهٍîâ نëے èنهيٍèôèِèًîâàييûُ ًèٌêîâ, ًهçَëüٍàٍû êîٍîًîé èٌïîëüçَ‏ٌٍے âïîٌëهنٌٍâèè, يàïًèىهً, â ُîنه êîëè÷هٌٍâهييîمî àيàëèçà ًèٌêîâ èëè ïëàيèًîâàيèے ًهàمèًîâàيèے يà ًèٌêè. خًمàيèçàِèè ىîمٍَ ٌَùهٌٍâهييî ïîâûٌèٍü ‎ôôهêٍèâيîٌٍü èٌïîëيهيèے ïًîهêٍà, ٌîًٌهنîٍî÷èâ ٌَèëèے يà ًèٌêàُ, îلëàنà‏ùèُ يàèâûٌّèى ïًèîًèٍهٍîى.

دًè êà÷هٌٍâهييîى àيàëèçه ًèٌêîâ îïًهنهëے‏ٌٍے ïًèîًèٍهٍû èنهيٍèôèِèًîâàييûُ ًèٌêîâ يà îٌيîâàيèè âهًîےٍيîٌٍè èُ âîçيèêيîâهيèے, èُ âëèےيèے يà نîٌٍèوهيèه ِهëهé ïًîهêٍà â ٌëَ÷àه âîçيèêيîâهيèے ‎ٍèُ ًèٌêîâ, à ٍàêوه ٌ َ÷هٍîى ًےنà نًَمèُ ôàêٍîًîâ (يàïًèىهً, âًهىهييûُ ًàىîê è ٍîëهًàيٍيîٌٍè ê ًèٌêَ, çàëîوهييîé îمًàيè÷هيèےُ ïًîهêٍà ïî ٌٍîèىîٌٍè, ًàٌïèٌàيè‏, ٌîنهًوàيè‏ è êà÷هٌٍâَ).

دًè ïîىîùè îïًهنهëهيèے ٌٍهïهيè âهًîےٍيîٌٍè è âîçنهéٌٍâèے, à ٍàêوه نàييûُ, ïîëَ÷هييûُ ïًè îïًîٌàُ ‎êٌïهًٍîâ, ىîويî ٌêîًًهêٍèًîâàٍü ÷àٌٍî âîçيèêà‏ùَ‏ ïًè âûïîëيهيèè نàييîمî ïًîِهٌٌà ٌèٌٍهىàٍè÷هٌêَ‏ ïîمًهّيîٌٍü نàييûُ. دًè يàëè÷èè ïëàيîâûُ îïهًàِèé, âûïîëيهيèه êîٍîًûُ î÷هيü ïëîٍيî ïًèâےçàيî ê îïًهنهëهييûى âًهىهييûى ïًîىهوٍَêàى è ïîنâهًوهييûُ âîçنهéٌٍâè‏ ًèٌêà, ٌٍهïهيü âàويîٌٍè ًèٌêà َâهëè÷èâàهٌٍے ىيîمîêًàٍيî. خِهيêà êà÷هٌٍâà نîٌٍَïيîé èيôîًىàِèè, îٍيîٌےùهéٌے ê ًèٌêàى ïًîهêٍà, ٍàêوه ىîوهٍ ٌïîٌîلٌٍâîâàٍü ïîيèىàيè‏ ٌٍهïهيè çيà÷èىîٌٍè ًèٌêà â نàييîى ïًîهêٍه.

تà÷هٌٍâهييûé àيàëèç ًèٌêîâ - ‎ٍî îلû÷يî لûًٌٍûé è يهنîًîمîé ٌïîٌîل ٌٍَàيîâêè ïًèîًèٍهٍîâ â ïًîِهٌٌه ïëàيèًîâàيèے ًهàمèًîâàيèے يà ًèٌêè, è, ïًè يهîلُîنèىîٌٍè, ٌëَوèٍ îٌيîâîé نëے ïًîâهنهيèے êîëè÷هٌٍâهييîمî àيàëèçà ًèٌêîâ.

تà÷هٌٍâهييûé àيàëèç ًèٌêîâ ïîنëهوèٍ ٍَî÷يهيè‏ يà ïًîٍےوهيèè âٌهمî وèçيهييîمî ِèêëà ïًîهêٍà è نîëوهي îًٍàوàٍü âٌه èçىهيهيèے, îٍيîٌےùèهٌے ê ًèٌêàى ïًîهêٍà.

آ ïًîِهٌٌه êà÷هٌٍâهييîمî àيàëèçà ًèٌêîâ ىîمٍَ èٌïîëüçîâàٍüٌے نàييûه î ًèٌêàُ â ïًهنûنَùèُ ïًîهêٍàُ è لàçà يàêîïëهييûُ çيàيèé.

آ ٌٍàينàًٍيûُ èëè ïهًèîنè÷هٌêè ïîâٍîًے‏ùèٌُے ïًîهêٍàُ ٌ êàونûى ًàçîى ïîےâëےهٌٍے لîëüّه ُîًîّî ïîيèىàهىûُ ًèٌêîâ. ؤëے ïًîهêٍîâ, îٌيîâàييûُ يà ïîٌëهنيèُ نîٌٍèوهيèےُ ٍهُيîëîمèè èëè âïهًâûه èٌïîëüçَ‏ùèُ êàêَ‏-ëèلî ٍهُيîëîمè‏, à ٍàêوه نëے î÷هيü ٌëîويûُ ïًîهêٍîâ ُàًàêٍهًيà âûٌîêàے ٌٍهïهيü يهîïًهنهëهييîٌٍè.

رٍهïهيü يهîïًهنهëهييîٌٍè ىîويî îِهيèٍü ïًè èçَ÷هيèè îïèٌàيèے ٌîنهًوàيèے ïًîهêٍà.

ؤëے êà÷هٌٍâهييîمî àيàëèçà ًèٌêîâ ٌَùهٌٍâهييû ٌëهنَ‏ùèه ‎ëهىهيٍû ïëàيà َïًàâëهيèے ًèٌêàىè:

)        ًàٌïًهنهëهيèه ًîëهé è îٍâهٌٍٍâهييîٌٍè â َïًàâëهيèè ًèٌêàىè, لنوهٍîى è ïëàيîâûىè îïهًàِèےىè ïî َïًàâëهيè‏ ًèٌêàىè;

)        êàٍهمîًèè ًèٌêîâ;

)        îïًهنهëهيèه âهًîےٍيîٌٍè âîçيèêيîâهيèے è âîçىîويûُ ïîٌëهنٌٍâèé;

)        ىàًٍèِà âهًîےٍيîٌٍè è ïîٌëهنٌٍâèé;

)        ٍَî÷يهييàے ٍîëهًàيٍيîٌٍü ê ًèٌêَ َ÷àٌٍيèêîâ ïًîهêٍà (à ٍàêوه ôàêٍîًû âيهّيهé ًٌهنû ïًهنïًèےٍèے).

خلû÷يî ïëàي àنàïٍèًَهٌٍے نëے êîيêًهٍيîمî ïًîهêٍà â ُîنه ïًîِهٌٌà ïëàيèًîâàيèے َïًàâëهيèے ًèٌêàىè.

تë‏÷هâûى ‎ëهىهيٍîى â ًههًٌٍه ًèٌêîâ نëے ïًîâهنهيèے êà÷هٌٍâهييîمî àيàëèçà ًèٌêîâ ےâëےهٌٍے ٌïèٌîê èنهيٍèôèِèًîâàييûُ ًèٌêîâ.

خïًهنهëهيèه âهًîےٍيîٌٍè âîçيèêيîâهيèے ًèٌêà ïًهنïîëàمàهٍ ïًîâهنهيèه èٌٌëهنîâàيèé يà ïًهنىهٍ îïًهنهëهيèے ٌٍهïهيè âهًîےٍيîٌٍè âîçيèêيîâهيèے ٍîمî èëè èيîمî ٌïهِèôè÷هٌêîمî ًèٌêà â ïًîِهٌٌه âûïîëيهيèے ïًîهêٍà.

دًè îِهيêه âîçنهéٌٍâèے ًèٌêà îïًهنهëےهٌٍے ïîٍهيِèàëüيûé ‎ôôهêٍ, êîٍîًûé îي ىîوهٍ îêàçàٍü يà ِهëü ïًîهêٍà (يàïًèىهً, âًهىے, ٌٍîèىîٌٍü, ٌîنهًوàيèه èëè êà÷هٌٍâî), âêë‏÷àے يهمàٍèâيûه âîçنهéٌٍâèے نëے َمًîç è ïîçèٍèâيûه âîçنهéٌٍâèے نëے لëàمîïًèےٍيûُ âîçىîويîٌٍهé.

آهًîےٍيîٌٍü è âîçنهéٌٍâèه îِهيèâà‏ٌٍے نëے êàونîمî èنهيٍèôèِèًîâàييîمî ًèٌêà. خِهيêà ًèٌêîâ ىîوهٍ ïًîèçâîنèٍüٌے يà îٌيîâàيèè ًهçَëüٍàٍîâ îïًîٌîâ èëè ٌîâىهٌٍيûُ ٌîâهùàيèé ٌî ٌïهِèàëèٌٍàىè, âûلًàييûىè ïî êًèٍهًè‏ îٌâهنîىëهييîٌٍè â îلëàٌٍè êàٍهمîًèçàِèè ًèٌêîâ. آ ÷èٌëî îïًàّèâàهىûُ ىîمٍَ âُîنèٍü ÷ëهيû êîىàينû ïًîهêٍà è, âîçىîويî, ëèِà, يه ïًèيèىà‏ùèه َ÷àٌٍèه â ïًîهêٍه, يî èىه‏ùèه ّèًîêèه ïîçيàيèے â ‎ٍîé îلëàٌٍè.

دًîâهنهيèه ‎êٌïهًٍيûُ îِهيîê ےâëےهٌٍے يهîلُîنèىîٌٍü‏, ïîٌêîëüêَ ىîوهٍ îêàçàٍüٌے, ÷ٍî èيôîًىàِèè î ًèٌêàُ, يàُîنےùهéٌے â لàçàُ نàييûُ îًمàيèçàِèé, è îٍيîٌےùهéٌے ê ïًîّëûى ïًîهêٍàى, يهنîٌٍàٍî÷يî.

ؤëے ïًîâهنهيèے نèٌêٌٌَèé, âîçىîويî, ïîًٍهلَهٌٍے ïîىîùü îïûٍيîمî âهنَùهمî, ٍàê êàê َ÷àٌٍيèêè ىîمٍَ îلëàنàٍü يهنîٌٍàٍî÷يûى îïûٍîى â îِهيêه ًèٌêîâ.

حà îٌيîâàيèè ًهçَëüٍàٍîâ îïًîٌîâ èëè âًٌٍه÷ ïًîèçâîنèٌٍے îïًهنهëهيèه ٌٍهïهيè âهًîےٍيîٌٍè âîçيèêيîâهيèے è âîçنهéٌٍâèے êàونîمî ًèٌêà يà ِهëè ïًîهêٍà.

شèêٌèًَهٌٍے ٍàêوه ïîےٌيèٍهëüيàے èيôîًىàِèے, âêë‏÷àے نîïَùهيèے, èٌïîëüçîâàييûه نëے îïًهنهëهيèے ًَîâيهé ًèٌêîâ. آهًîےٍيîٌٍü âîçيèêيîâهيèے è âîçنهéٌٍâèے ًèٌêîâ ًàيوèًَ‏ٌٍے â ٌîîٍâهٌٍٍâèè ٌ îïًهنهëهيèےىè, ïًهنٌٍàâëهييûىè â ïëàيه َïًàâëهيèے ïًîهêٍîى.

آ يهêîٍîًûُ ٌëَ÷àےُ, ًèٌêè ٌ ےâيî يèçêîé ٌٍهïهيü‏ âهًîےٍيîٌٍè âîçيèêيîâهيèے è âîçنهéٌٍâèے â ًهéٍèيم ًèٌêîâ يه âêë‏÷à‏ٌٍے, يî âêë‏÷à‏ٌٍے â ٌïèٌîê ًèٌêîâ, çà êîٍîًûىè â نàëüيهéّهى âهنهٌٍے يàلë‏نهيèه.

ذàٌٌٍàيîâêà ïًèîًèٍهٍîâ ïî ًèٌêàى نëے ïîٌëهنَ‏ùهمî êîëè÷هٌٍâهييîمî àيàëèçà è ًهàمèًîâàيèے îٌَùهٌٍâëےهٌٍے يà îٌيîâàيèè ًهéٍèيمà ًèٌêîâ.

دًèٌâîهيèه ًèٌêَ îïًهنهëهييîمî ىهٌٍà ïًîèٌُîنèٍ يà îٌيîâه îِهيîê èُ âهًîےٍيîٌٍهé âîçيèêيîâهيèے è ïîٌëهنٌٍâèé. خِهيêà âàويîٌٍè ًèٌêîâ è, ٌëهنîâàٍهëüيî, ïًèîًèٍهٍيîٌٍè نëے îلًàلîٍêè îلû÷يî îٌَùهٌٍâëےهٌٍے ïًè ïîىîùè ٍàلëèِû ٌîîٍâهٌٍٍâèے èëè ىàًٍèِû âهًîےٍيîٌٍè è ïîٌëهنٌٍâèé.

زàêàے ىàًٍèِà ٌîنهًوèٍ êîىلèيàِèè âهًîےٍيîٌٍè è âîçنهéٌٍâèے, ïًè ïîىîùè êîٍîًûُ ًèٌêàى ïًèٌâàèâàهٌٍے îïًهنهëهييûé ًàيم: يèçêèé, ًٌهنيèé

èëè âûٌّèé ïًèîًèٍهٍ.

آ çàâèٌèىîٌٍè îٍ ïًهنïî÷ٍهيèé îًمàيèçàِèè, ىàًٍèِà ىîوهٍ ٌîنهًوàٍü îïèٌàٍهëüيûه ٍهًىèيû èëè ِèôًîâûه îلîçيà÷هيèے. خًمàيèçàِèے نîëويà îïًهنهëèٍü, êàêèه êîىلèيàِèè âهًîےٍيîٌٍè è âîçنهéٌٍâèے ٌîîٍâهٌٍٍâَ‏ٍ âûٌîêîىَ ًèٌêَ ("êًàٌيàے çîيà"), ًٌهنيهىَ ًèٌêَ ("وهëٍàے çîيà") èëè ىàëîىَ ًèٌêَ ("çهëهيàے çîيà").

آ ÷هًيî-لهëîé ىàًٍèِه ‎ٍè ٌَëîâèے ىîمٍَ îلîçيà÷àٍüٌے ًàçëè÷يûىè îٍٍهيêàىè ٌهًîمî ِâهٍà. خًمàيèçàِèے ىîوهٍ îïًهنهëےٍü ًàيم êàونîمî ًèٌêà îٍنهëüيî نëے êàونîé ِهëè (يàïًèىهً, نëے ٌٍîèىîٌٍè, âًهىهيè èëè ٌîنهًوàيèے).

تًîىه ٍîمî, îًمàيèçàِèے ىîوهٍ ٌٍَàيàâëèâàٍü ٌïîٌîلû îïًهنهëهيèے îلùهمî ًهéٍèيمà نëے êàونîمî ًèٌêà. ب, يàêîيهِ, َïًàâëهيèه َمًîçàىè è لëàمîïًèےٍيûىè âîçىîويîٌٍےىè ىîوهٍ îٌَùهٌٍâëےٍüٌے ïًè ïîىîùè ٍîé وه ىàًٍèِû è îïًهنهëهيèé ًàçëè÷يûُ ًَîâيهé ïîٌëهنٌٍâèé.

ذàيم ًèٌêà ïîىîمàهٍ َïًàâëےٍü ًهàمèًîâàيèهى يà ًèٌêè. حàïًèىهً, نëے

ؤëے َمًîç, ًàٌïîëîوهييûُ â çîيه يèçêîمî ًèٌêà (ًٌهنيèé ïî èيٍهيٌèâيîٌٍè ٌهًûé ِâهٍ), îٌَùهٌٍâëهيèه ïًهنَïًهنèٍهëüيûُ îïهًàِèé ىîوهٍ يه ïîًٍهلîâàٍüٌے. ؤîٌٍàٍî÷يî ٍîمî, ÷ٍî îيè ïîىهùهيû â ٌïèٌîê نëے يàلë‏نهيèے èëè نîلàâëهيû â ًهçهًâ يهïًهنâèنهييûُ îلٌٍîےٍهëüٌٍâ.

زî وه ٌàىîه êàٌàهٌٍے è لëàمîïًèےٍيûُ âîçىîويîٌٍهé: ٍه, êîٍîًûه ىîويî ïîëَ÷èٍü ëهم÷ه âٌهمî è îلهùà‏ٍ يàèلîëüَّ‏ âûمîنَ يè يàُîنےٌٍے â çîيه âûٌîêîمî ًèٌêà - ٍهىيî-ٌهًîمî ِâهٍà), نîëوهي لûٍü ïًèٌâîهي يàèلîëüّèé ïًèîًèٍهٍ. اà لëàمîïًèےٍيûىè âîçىîويîٌٍےىè, يàُîنےùèىèٌے â çîيه يèçêîمî ًèٌêà (ًٌهنيèé ïî èيٍهيٌèâيîٌٍè ٌهًûé ِâهٍ), ٌëهنَهٍ ٌٍَàيîâèٍü يàلë‏نهيèه.

ؤëے ٍîمî ÷ٍîلû ًهçَëüٍàٍû êà÷هٌٍâهييîمî àيàëèçà ًèٌêîâ لûëè يàنهويû, يهîلُîنèىû ٍî÷يûه è يهïًهنâçےٍûه نàييûه. ہيàëèç êà÷هٌٍâà نàييûُ ًèٌêà ïًهنٌٍàâëےهٍ ٌîلîé ٍهُيîëîمè‏ îِهيêè ïîëهçيîٌٍè نàييûُ î ًèٌêàُ نëے َïًàâëهيèے ïًîهêٍîى.

ہيàëèç âêë‏÷àهٍ â ٌهلے èçَ÷هيèه مëَلèيû ïîيèىàيèے ًèٌêà, à ٍàêوه ٍî÷يîٌٍè, êà÷هٌٍâà, يàنهويîٌٍè è ِهëîٌٍيîٌٍè نàييûُ î ًèٌêه.

بٌïîëüçîâàيèه يèçêîمî êà÷هٌٍâà نàييûُ î ًèٌêه ىîوهٍ ïًèâهٌٍè ê ٍîىَ, ÷ٍî ًهçَëüٍàٍû êà÷هٌٍâهييîمî àيàëèçà ًèٌêîâ îêàوٌٍَے ىàëîïًèمîنيûىè نëے èٌïîëüçîâàيèے â ïًîهêٍه.

دًè îٌٌٍٍٍَâèè êà÷هٌٍâهييûُ نàييûُ, âîçىîويî, ïîًٍهلَهٌٍے ٌلîً يîâûُ, لîëهه âûٌîêèُ ïî êà÷هٌٍâَ نàييûُ. ×àٌٍî ٌلîً èيôîًىàِèè î ًèٌêàُ âûçûâàهٍ يهىàëî ًٍَنيîٌٍهé è ًٍهلَهٍ لîëüّهمî ïî êîëè÷هٌٍâَ âًهىهيè è ًهًٌٌَîâ, يهوهëè ïًهنٌَىîًٍهيî ïهًâîيà÷àëüيûى ïëàيàى.

ؤëے îïًهنهëهيèے îلëàٌٍهé ïًîهêٍà, يàèلîëهه َےçâèىûُ نëے يهîïًهنهëهييîٌٍè, ًèٌêè ïًîهêٍà ىîويî êëàٌٌèôèِèًîâàٍü:

- ïî èٌٍî÷يèêَ ًèٌêà;

ïî îلëàٌٍè ïًîهêٍà, êîٍîًَ‏ çàًٍàمèâàهٍ ًèٌê);

ïî êàêîىَ-ëèلî èيîىَ êًèٍهًè‏ (يàïًèىهً, ïî ôàçه ïًîهêٍà).

فôôهêٍèâيَ ٌèٌٍهىَ ًهàمèًîâàيèے يà ًèٌêè ىîويî ًàçًàلîٍàٍü يà îٌيîâه مًَïïèًîâêè ًèٌêîâ ïî èُ مëàâيûى ïًè÷èيàى.

ذèٌêè, ًٍهلَ‏ùèه يهىهنëهييîمî ًهàمèًîâàيèے, ىîمٍَ ًàٌٌىàًٍèâàٍüٌے êàê يàèلîëهه ًٌî÷يûه نëے ïًèيےٍèے îٍâهٍيûُ ىهً. دîêàçàٍهëےىè ïًèîًèٍهٍيîٌٍè ىîمٍَ ےâëےٍüٌے âًهىے ًهàمèًîâàيèے يà ًèٌê, ٌèىïٍîىû è ïًèçيàêè ًèٌêà, à ٍàêوه ًàيم ًèٌêà.

دî ًهçَëüٍàٍàى êà÷هٌٍâهييîمî àيàëèçà ًèٌêîâ îôîًىëےهٌٍے îليîâë¸ييûé ًههًٌٍ ًèٌêîâ.

رîçنàيèه ًههًٌٍà ًèٌêîâ يà÷èيàهٌٍے â ïًîِهٌٌه èنهيٍèôèêàِèè ًèٌêîâ. خليîâëهيèه ًههًٌٍà ًèٌêîâ ïًîèٌُîنèٍ يà îٌيîâه èيôîًىàِèè, ïîëَ÷àهىîé îٍ êà÷هٌٍâهييîمî àيàëèçà ًèٌêîâ, à çàٍهى îليîâëهييûé ًههًٌٍ ًèٌêîâ âêë‏÷àهٌٍے â ïëàي َïًàâëهيèے ïًîهêٍîى.

خليîâëهيèے ًههًٌٍà ًèٌêîâ يà îٌيîâه èيôîًىàِèè, ïîëَ÷àهىîé îٍ êà÷هٌٍâهييîمî àيàëèçà ًèٌêîâ, âêë‏÷àهٍ â ٌهلے:

. رïèٌîê ïًèîًèٍهٍîâ ًèٌêîâ ïًîهêٍà. ؤëے êëàٌٌèôèêàِèè ًèٌêîâ â ٌîîٍâهٌٍٍâèè ٌ èُ èينèâèنَàëüيîé çيà÷èىîٌٍü‏ ىîوهٍ èٌïîëüçîâàٍüٌے ىàًٍèِà âهًîےٍيîٌٍè è ïîٌëهنٌٍâèé. اàٍهى ىهيهنوهً ïًîهêٍà ىîوهٍ èٌïîëüçîâàٍü ٌïèٌîê ًèٌêîâ, ًàٌٌٍàâëهييûُ ïî ïًèîًèٍهٍيîٌٍè, ÷ٍîلû ٌîًٌهنîٍî÷èٍü îٌîلîه âيèىàيèه يà ٍهُ èç يèُ, êîٍîًûه èىه‏ٍ âûٌîêَ‏ çيà÷èىîٌٍü نëے ïًîهêٍà, à ًهàمèًîâàيèه يà ًèٌêè ىîوهٍ نàٍü يàèëَ÷ّèé ًهçَëüٍàٍ.

ذèٌêè ىîمٍَ لûٍü ًàٌٌٍàâëهيû ïî ïًèîًèٍهٍيîٌٍè îٍنهëüيî نëے ٌٍîèىîٌٍè, âًهىهيè, ٌîنهًوàيèے, è êà÷هٌٍâà, ïîٌêîëüêَ îًمàيèçàِèè ىîمٍَ ïî-ًàçيîىَ îِهيèâàٍü çيà÷èىîٌٍü îنيèُ ِهëهé ïًîهêٍà ïî îٍيîّهيè‏ ê نًَمèى.

خïèٌàيèه îٌيîâû نëے îِهيêè âهًîےٍيîٌٍè è âîçنهéٌٍâèے نîëويî لûٍü âêë‏÷هيî â ïهًه÷هيü îِهيهييûُ ًèٌêîâ, ïîٌêîëüêَ ‎ٍî âàويî نëے ïًîهêٍà.

. ذèٌêè, ٌمًَïïèًîâàييûه ïî êàٍهمîًèےى. أًَïïèًîâàيèه ًèٌêîâ ïî êàٍهمîًèےى ىîوهٍ âûےâèٍü îلùèه نëے يèُ îٌيîâيûه ïًè÷èيû èëè ٍه îلëàٌٍè ïًîهêٍà, يà êîٍîًûه ٌëهنَهٍ îلًàٍèٍü îٌîلîه âيèىàيèه. آûےâëهيèه êîيِهيًٍàِèè ًèٌêîâ ïîçâîëےهٍ ïîâûٌèٍü ‎ôôهêٍèâيîٌٍü ًهàمèًîâàيèے يà ًèٌêè.

. رïèٌîê ًèٌêîâ, ًٍهلَ‏ùèُ يهىهنëهييîمî ًهàمèًîâàيèے.

. رïèٌîê ًèٌêîâ نëے نîïîëيèٍهëüيîمî àيàëèçà è ًهàمèًîâàيèے. حهêîٍîًûه ًèٌêè ىîمٍَ ïîًٍهلîâàٍü نîïîëيèٍهëüيîمî ًàٌٌىîًٍهيèے (âêë‏÷àے êîëè÷هٌٍâهييûé àيàëèç ًèٌêîâ), à ٍàêوه نîïîëيèٍهëüيûُ îٍâهٍيûُ نهéٌٍâèé.

. رïèٌîê ًèٌêîâ ٌ يèçêèى ïًèîًèٍهٍîى, يَونà‏ùèٌُے â يàلë‏نهيèè.

ذèٌêè, êîٍîًûه â ًهçَëüٍàٍه êà÷هٌٍâهييîمî àيàëèçà ًèٌêîâ يه ïîëَ÷èëè âûٌîêîمî ïًèîًèٍهٍà, ىîمٍَ لûٍü ïîىهùهيû â ٌïèٌîê نëے نàëüيهéّهمî ïîٌٍîےييîمî çà يèىè يàلë‏نهيèے.

. زًهينû ًهçَëüٍàٍîâ êà÷هٌٍâهييîمî àيàëèçà ًèٌêîâ. دî ىهًه âûïîëيهيèے ïîâٍîًيûُ àيàëèçîâ ىîمٍَ ïًîےٌيèٍüٌے ًٍهينû îïًهنهëهييûُ ًèٌêîâ, ÷ٍî ىîوهٍ ٌëَوèٍü îٌيîâàيèهى نëے îïًهنهëهيèے ًٌî÷يîٌٍè ًهàمèًîâàيèے يà ‎ٍè ًèٌêè èëè يهîلُîنèىîٌٍè نîïîëيèٍهëüيîمî ًàٌٌىîًٍهيèے.

دî îêîي÷àيèè êà÷هٌٍâهييîمî àيàëèçà ًèٌêîâ ىîويî ïهًهُîنèٍü ê êîëè÷هٌٍâهييîىَ àيàëèçَ ًèٌêîâ èëè يهïîًٌهنٌٍâهييî ê ïëàيèًîâàيè‏ ًهàمèًîâàيèے يà ًèٌêè.

دًîâهنهى îِهيêَ ًèٌêîâ ïًîهêٍà ىهٍîنîى àيàëèçà ÷َâٌٍâèٍهëüيîٌٍè. فٍî ٌٍàينàًٍيûé ىهٍîن êîëè÷هٌٍâهييîمî àيàëèçà, êîٍîًûé çàêë‏÷àهٌٍے â èçىهيهيèè çيà÷هيèé êًèٍè÷هٌêèُ ïàًàىهًٍîâ â يàّهى ٌëَ÷àه ‎ٍî:

ïîâûّهيèه ٌٍîèىîٌٍè îلîًَنîâàيèے يà 10%;

ïîâûّهيèه ٌٍîèىîٌٍè ٌûًüے يà 10%;

 ٌيèوهيèه âûًَ÷êè يà 10%;

ïîâûّهيèه èيôëےِèè يà 10%.

دîنٌٍàâèى èُ â ôèيàيٌîâَ‏ ىîنهëü ïًîهêٍà è ًàٌٌ÷èٍàهى ïîêàçàٍهëü ‎ôôهêٍèâيîٌٍè (NPV) ïًè êàونîى ٍàêîى èçىهيهيèè.

دîâûّهيèه ٌٍîèىîٌٍè îلîًَنîâàيèے

سâهëè÷èâàهى ٌٍîèىîٌٍü îلîًَنîâàيèے يà 10% ÷ٍî لَنهٍ ٌîٌٍàâëےٍü 15697000 ًَلëهé. آ îلùهى èيâهٌٍèِèè ٌîٌٍàâےٍ

15697000+163000=15860000 ًَل.

ذàٌٌ÷èٍàهى NPV ïî ôîًىَëه (4.1) يà 7 ëهٍ ïًè êî‎ôôèِèهيٍه نèٌêîيٍèًîâàيèے 10%:

ذàٌ÷هٍ ÷èٌٍîمî نèٌêîيٍèًîâàييîمî نîُîنà (NPV), ïًè ٌٍàâêه نèٌêîيٍèًîâàيèے 10%.

آûًَ÷êà - ٌهلهٌٍîèىîٌٍü - يàëîم = 36 920 000-31840866,57- 761870 =

= 4317263 ًَل.

) NPV1 = (4317263+2242429+23286)/(1+0,1)0) - (15860000/(1+0,1)0) =

= - 9 277 022,01ًَل.

) NPV2 = - 9 277 022,01+(4317263+2242429+23286)/(1+0,1)1) =

= - 3 292 496,57 ًَل.

) NPV3 = - 3 292 496,57+(4317263+2242429+23286)/(1+0,1)2) =2 147 981,10 ًَل.

) NPV4 = 2 147 981,10+(4317263+2242429+23286)/(1+0,1)3) =7 093 869,90 ًَل.

) NPV5 = 7 093 869,90+(4317263+2242429+23286)/(1+0,1)4) =11 590 132,44 ًَل.

) NPV6 =11 590 132,44+(4317263+2242429+23286)/(1+0,1)5) =15 677 643,84 ًَل.

) NPV7 =15 677 643,84+(4317263+2242429+23286)/(1+0,1)6) =19 393 563,29 ًَل.

دîâûّهيèه ٌٍîèىîٌٍè ٌûًüے

حà ïًîèçâîنٌٍâî 1 ٍîييû ِèêëîêàًلîيàٍîâ يà ٌûًüه ًàٌُîنَهٌٍے 61260 ًَل. حà مîنîâîé âûïٌَê 284 ٍîييû ًٍهلَهٌٍے 17397840 ًَل. زîمنà ïًè َâهëè÷هيèè ٌٍîèىîٌٍè ٌûًüے يà 10% ٌَىىà يà مîنîâîé âûïٌَê لَنهٍ ٌîٌٍàâëےٍü 19137624 ًَل.

ذàٌٌ÷èٍàهى NPV ïî ôîًىَëه (4.1) يà 7 ëهٍ, ïًè êî‎ôôèِèهيٍه نèٌêîيٍèًîâàيèے 10%:

أîنîâàے ٌهلهٌٍîèىîٌٍü َâهëè÷èٌٍے يà 1739784 ًَل. è ٌîٌٍàâèٍ 31637009+1739784=33376793 ًَل.

آûًَ÷êà-ٌهلهٌٍîèىîٌٍü - يàëîم = 36 920 000-33376793-531481 =

= 3011726 ًَل.

) NPV1 = (3011726+2038571+23286)/(1+0,1)0) - (14433000/(1+0,1)0)=

= - 9 359 417,05 ًَل.

) NPV2 = - 9 359 417,05 +(3011726+2038571+23286)/(1+0,1)1) =

= - 4 747 068,91ًَل.

) NPV3 = - 4 747 068,91+(3011726+2038571+23286)/(1+0,1)2)= - 554 025,15 ًَل.

) NPV4 = - 554 025,15 +(3011726+2038571+23286)/(1+0,1)3) =3 257 832,81 ًَل.

) NPV5 = 3 257 832,81+(3011726+2038571+23286)/(1+0,1)4) = 6 723 158,23 ًَل.

) NPV6 = 6 723 158,23+(3011726+2038571+23286)/(1+0,1)5) = 9 873 454,07 ًَل.

) NPV7 = 9 873 454,07+(3011726+2038571+23286)/(1+0,1)6) =12 737 359,38 ًَل.

ريèوهيèه âûًَ÷êè

ريèوàهى âûًَ÷êَ يà 10%, ÷ٍî لَنهٍ ٌîٌٍàâëےٍü 33228000 ًَلëهé.

ذàٌٌ÷èٍàهى NPV ïî ôîًىَëه (4.1) يà 7 ëهٍ ïًè êî‎ôôèِèهيٍه نèٌêîيٍèًîâàيèے 10%:

آûًَ÷êà - ٌهلهٌٍîèىîٌٍü - يàëîم = 33228000 - 31637009 - 238649 =

= 1352342 ًَل.

) NPV1 = (1352342+2038571+23286)/(1+0,1)0) - (14433000/(1+0,1)0) =

= -11 018 800,65.

) NPV2 = -11 018 800,65+(1352342+2038571+23286)/(1+0,1)1) =

= -7 914 983,06 ًَل.

) NPV3 = -7 914 983,06+(1352342+2038571+23286)/(1+0,1)2) =

= -5 093 330,70 ًَل.

) NPV4 = -5 093 330,70+(1352342+2038571+23286)/(1+0,1)3) =

= -2 528 192,20 ًَل.

) NPV5 = - 2 528 192,20+(1352342+2038571+23286)/(1+0,1)4) = -196 248,10 ًَل.

) NPV6 = -196 248,10+(1352342+2038571+23286)/(1+0,1)5) =1 923 701,07 ًَل.

) NPV7 = 1 923 701,07+(1352342+2038571+23286)/(1+0,1)6) =3 850 927,60 ًَل.

دîâûّهيèه èيôëےِèè

ر َâهëè÷هيèهى èيôëےِèè êî‎ôôèِèهيٍ نèٌêîيٍèًîâàيèے ٌîٌٍàâèٍ 20%.

ذàٌٌ÷èٍàهى NPV ïî ôîًىَëه (4.1) يà 7 ëهٍ ïًè êî‎ôôèِèهيٍه نèٌêîيٍèًîâàيèے 20%:

آûًَ÷êà - ٌهلهٌٍîèىîٌٍü - يàëîم = 36 920 000 - 31637009 - 792449 = 4490542 ًَل.

) NPV1 = (4490542+2038571+23286)/(1+0,2)0) - (14433000/(1+0,2)0)= -7880601 ًَل.

) NPV2 = -7880601 +(4490542+2038571+23286)/(1+0,2)1) = -2 420 267,86 ًَل.

) NPV3 = -2 420 267,86+(4490542+2038571+23286)/(1+0,2)2) =2 130 009,47 ًَل.

) NPV4 = 2 130 009,47+(4490542+2038571+23286)/(1+0,2)3) =5 921 907,24 ًَل.

) NPV5 = 5 921 907,24+(4490542+2038571+23286)/(1+0,2)4) =9 081 822,05 ًَل.

) NPV6 = 9 081 822,05+(4490542+2038571+23286)/(1+0,2)5) =11 715 084,39 ًَل.

) NPV7 =11 715 084,39+(4490542+2038571+23286)/(1+0,2)6) =13 909 469,68 ًَل.

رâهنهى âٌه ًàٌ÷هٍû îِهيêè ًèٌêîâ ïًîهêٍà â ٍàلëèَِ 5.2.

زàلëèِà 5.2

ذèٌêè ïًîهêٍà

شàêٍîًû

حà÷àëüيûé NPV, ًَل.

رêîًًهêٍèًîâàييûé NPV, ًَل.

ذàيم

1.دîâûّهيèه ٌٍîèىîٌٍè îلîًَنîâàيèے يà 10% (èيâهٌٍèِèè).

20 656 806,73

 19 393 563,29

 4

2.دîâûّهيèه ٌٍîèىîٌٍè ٌûًüے يà 10%.


12 737 359,38

2

3.ريèوهيèه âûًَ÷è يà 10%.


3 850 927,60

1

4.دîâûّهيèه èيôëےِèè يà 10%.


13 909 469,68

3


زàêèى îلًàçîى, ٌîمëàٌيî ïîنٌ÷هٍَ ًهçَëüٍàٍîâ ٌàىûى îïàٌيûى, èç âûّهïهًه÷èٌëهييûُ êًèٍهًèهâ, ےâëےهٌٍے ٌيèوهيèه âûًَ÷êè يà 10%. خوèنàهىàے âهëè÷èيà ‎ٍîمî ًèٌêà ٌîٌٍàâèëà 3850927,60 ًَلëهé. حà âٍîًîى ىهٌٍه يàُîنèٌٍے êًèٍهًèé ïîâûّهيèه ٌٍîèىîٌٍè ٌûًüے يà 10%: îوèنàهىàے âهëè÷èيà ًèٌêà ٌîٌٍàâèëà 12737359,38 ًَلëے. جهيهه ًèٌêîâàييûى ےâëےهٌٍے ًèٌê ïîâûّهيèے èيôëےِèè يà 10%: îوèنàهىàے âهëè÷èيà ًèٌêà ٌîٌٍàâèëà 13909469,68 ًَلëهé, è يàèىهيهه îïàٌيûى îêàçàëٌے ًèٌê ïîâûّهيèے ٌٍîèىîٌٍè îلîًَنîâàيèے يà 10%: îوèنàهىàے âهëè÷èيà ًèٌêà - 19393563,29 ًَلëهé.

6. رٍàينàًٍèçàِèے


دًîهêٍ لûë âûïîëيهي يà îٌيîâàيèè ٌëهنَ‏ùèُ ٌٍàينàًٍîâ:

. أخرز 2.105-95 " خلùèه ًٍهلîâàيèے ê ٍهêٌٍîâûى نîêَىهيٍàى".

. أخرز 2.106-68 "زهêٌٍîâûه نîêَىهيٍû".

. أخرز 7.32-2001 خلùèه ًٍهلîâàيèے è ïًàâèëà îôîًىëهيèے êًٌَîâûُ è نèïëîىيûُ ًàلîٍ.

. أخرز 2.321-84 دًàâèëà îôîًىëهيèے ٍàلëèِ.

. أخرز 7.1‒2003 "رèٌٍهىà ٌٍàينàًٍîâ ïî èيôîًىàِèè, لèلëèîٍه÷يîىَ è èçنàٍهëüٌêîىَ نهëَ. ءèلëèîمًàôè÷هٌêàے çàïèٌü. ءèلëèîمًàôè÷هٌêîه îïèٌàيèه. خلùèه ًٍهلîâàيèے è ïًàâèëà ٌîٌٍàâëهيèے".

. أخرز 7.9‒95 "رèٌٍهىà ٌٍàينàًٍîâ ïî èيôîًىàِèè, لèلëèîٍه÷يîىَ è èçنàٍهëüٌêîىَ نهëَ. رîêًàùهيèه ٌëîâ è ٌëîâîٌî÷هٍàيèé يà èيîًٌٍàييûُ هâًîïهéٌêèُ ےçûêàُ â لèلëèîمًàôè÷هٌêîى îïèٌàيèè".

. أخرز 7.32‒91 "رèٌٍهىà ٌٍàينàًٍîâ ïî èيôîًىàِèè, لèلëèîٍه÷يîىَ è èçنàٍهëüٌêîىَ نهëَ. خٍ÷هٍ î يàَ÷يî-èٌٌëهنîâàٍهëüٌêîé ًàلîٍه. رًٍَêًٍَà è ïًàâèëà îôîًىëهيèے".

. أخرز 7.54‒88 "رèٌٍهىà ٌٍàينàًٍîâ ïî èيôîًىàِèè, لèلëèîٍه÷يîىَ è èçنàٍهëüٌêîىَ نهëَ. دًهنٌٍàâëهيèه ÷èٌëهييûُ نàييûُ î ٌâîéٌٍâàُ âهùهٌٍâ è ىàٍهًèàëîâ â يàَ÷يî-ٍهُيè÷هٌêîé نîêَىهيٍàِèè. خلùèه ًٍهلîâàيèے".

. أخرز 8.417‒81 "أîٌَنàًٌٍâهييàے ٌèٌٍهىà خلهٌïه÷هيèے هنèيٌٍâà èçىهًهيèé. إنèيèِû ôèçè÷هٌêèُ âهëè÷èي".

آûâîنû


حà îٌيîâàيèè ïًîâهنهييûُ èٌٌëهنîâàيèé è èçَ÷هيèے ïîëَ÷هيèے يهèçîِèîيàٍيûُ ïîëèًَهٍàيîâ يà لàçه ِèêëîêàًلîيàٍîâ لûëè ٌنهëàيû ٌëهنَ‏ùèه âûâîنû:

حà îٌيîâه èٌٌëهنَهىîمî ًûيêà ïًîèçâîنٌٍâà ِèêëîêîًلàيàٍîâ يهèçîِèيàٍيûىè ٌïîٌîلàىè, لûëè ïًîâهنهيû èٌٌëهنîâàيèے ًûيêà ٌلûٍà ïًهنëàمàهىîé ïًîنَêِèè è îïًهنهëهيû همî مًàيèِû. آîçىîويûىè ïîًٍهلèٍهëےىè ےâëے‏ٌٍے ïًهنïًèےٍèے, çàيèىà‏ùèهٌے ïًîèçâîنٌٍâîى êîىïîçèِèîييûُ ىàٍهًèàëîâ, ïîëèêàًلîيàٍîâ è ïîëèًَهٍàيîâ.

ذàçًàلîٍàي ٌïîٌîل ïîëَ÷هيèے حدس لهç èٌïîëüçîâàيèے نèàىèيîâ, çàêë‏÷à‏ùèéٌے âî âçàèىîنهéٌٍâèè àëüنهمèنîâ ٌ ذ-ًَهٍàيîٌïèًٍàىè - ïًîنَêٍàىè ًهàêِèè ِèêëîêàًلîيàٍîâ ًàٌٍèٍهëüيûُ ىàٌهë. بçَ÷هيà êèيهٍèêà è ïًهنëîوهي ىهُàيèçى ًهàêِèè.

دًîâهنهيî èٌٌëهنîâàيèه, يàïًàâëهييîه يà îïًهنهëهيèه è îِهيêَ ٌèëüيûُ è ٌëàلûُ ٌٍîًîي, à ٍàê وه îِهيêَ âîçىîويîٌٍهé è ïîٍهيِèàëüيûُ َمًîç, َêàçàييûُ â ٍàلëèِàُ 1.3 è 1.4.

دًîâهنهيà ًàçًàلîٍêà ىàًêهٍèيمîâîé ًٌٍàٍهمèè. دًهنëàمàهٌٍے ïًèىهيèٍü ًٌٍàٍهمè‏ êîيِهيًٍèًîâàييîمî ىàًêهٍèيمà. دًîنَêٍ لَنهٍ îًèهيٍèًîâàي يà ïًîèçâîنèٍهëهé ëàêîêًàٌî÷يîé ïًîنَêِèè, êîىïîçèِèîييûُ ىàٍهًèàëîâ. ہ ٍàêوه يà ïًîèçâîنٌٍâî ïîëèًَهٍàيîâ يهèçîِèàيàٍيûى ٌïîٌîلîى. دًèىهيهيèه ًٌٍàٍهمèè يèçêèُ ِهي لَنهٍ ٌïîٌîلٌٍâîâàٍü ïًîنâèوهيè‏ يîâîمî ٍîâàًà يà ًûيêه è ïîëَ÷هيè‏ ٌٍàلèëüيîé ïًèلûëè.

ذàçًàلîٍàيà ٍهُيîëîمè÷هٌêàے ٌُهىà ïًîèçâîنٌٍâà, âûلًàيî ٌûًüه è ٌîٌٍàâëهي ىàٍهًèàëüيûé لàëàيٌ, ٌîمëàٌيî ًٍهلَهىîé ïًîèçâîنèٍهëüيîٌٍè.

ءûëà يàéنهيà ٍî÷êà لهçَلûٍî÷يîٌٍè ïًîهêٍà ىàٍهىàٍè÷هٌêèى è مًàôè÷هٌêèى ىهٍîنàىè è ٌîٌٍàâèëà 165 ٍîيي ïًîنَêِèè â مîن ïًè îلْهىه âûïٌَêà ïًîنَêِèè â êîëè÷هٌٍâه 284 ٍîييû â مîن.

ذàٌٌ÷èٍàيà ïîëيàے ٌهلهٌٍîèىîٌٍü 1 ٍîييû ِèêëîêàًلîيàٍîâ - 111398 ًَل. ضهيà يà ïًîنَêِè‏ ٌٍَàيîâëهيà â 130000 ًَل. çà 1 ٍîييَ, ÷ٍî يèوه ِهي êîيêًَهيٍîâ.

دًè ًàٌ÷هٍه ÷èٌٍîمî نèٌêîيٍèًîâàييîمî نîُîنà لûëî âûےâëهيî, ÷ٍî ïîëَ÷هييûه ًهçَëüٍàٍû َêàçûâà‏ٍ يà ‎êîيîىè÷هٌêَ‏ ِهëهٌîîلًàçيîٌٍü ïًîهêٍà ïî ïًîèçâîنٌٍâَ ِèêëîêàًلîيàٍîâ, ïîٌêîëüêَ ÷èٌٍûé نèٌêîيٍèًîâàييûé نîُîن لîëüّه يَëے.

دهًèîن îêَïàهىîٌٍè èيâهٌٍèِèé, âëîوهييûُ â ïًîهêٍ ًàâهي 2 مîنà 2 ىهٌےِà.

دًè ًàٌ÷هٍه èينهêٌà نîُîنيîٌٍè îïًهنهëèëè ÷ٍî, يà îنèي ًَلëü âëîوهييûُ ًٌهنٌٍâ نèٌêîيٍèًîâàييàے ïًèلûëü ٌîٌٍàâèٍ 2,43 ًَلëے. ×èٌٍàے ïًèلûëü çà مîن îٍ ïًîèçâîنٌٍâà ٌîٌٍàâèٍ 4490542 ًَل.

جàêٌèىàëüيàے âهëè÷èيà ïًîِهيٍيîé ٌٍàâêè ïî êًهنèٍَ, êîٍîًَ‏ ٍهîًهٍè÷هٌêè ٌïîٌîلهي îêَïèٍü ïًîهêٍ ïًîèçâîنٌٍâà ِèêëîêàًلîيàٍîâ, ًàâيà 81%.

ءûë ïًîâهنهي àيàëèç ًèٌêîâ ىهٍîنîى ÷َâٌٍâèٍهëüيîٌٍè. رîمëàٌيî ïîنٌ÷هٍَ ًهçَëüٍàٍîâ ٌàىûى îïàٌيûى èç âûّهïهًه÷èٌëهييûُ êًèٍهًèهâ ےâëےهٌٍے ٌيèوهيèه âûًَ÷êè يà 10%. خوèنàهىàے âهëè÷èيà ‎ٍîمî ًèٌêà ٌîٌٍàâèëà 3850927,60 ًَلëهé. حà âٍîًîى ىهٌٍه يàُîنèٌٍے êًèٍهًèé ïîâûّهيèه ٌٍîèىîٌٍè ٌûًüے يà 10%: îوèنàهىàے âهëè÷èيà ًèٌêà ٌîٌٍàâèëà 12737359,38 ًَلëے. جهيهه ًèٌêîâàييûى ےâëےهٌٍے ًèٌê ïîâûّهيèے èيôëےِèè يà 10%: îوèنàهىàے âهëè÷èيà ًèٌêà ٌîٌٍàâèëà 13909469,68 ًَلëهé, è يàèىهيهه îïàٌيûى îêàçàëٌے ًèٌê ïîâûّهيèے ٌٍîèىîٌٍè îلîًَنîâàيèے يà 10%: îوèنàهىàے âهëè÷èيà ًèٌêà - 19393563,29 ًَلëهé.

رïèٌîê èٌïîëüçَهىîé ëèٍهًàًٍَû


1. www.lkmportal.com/enc/zelenaya-himiya.

. www.huntsman-nmg.com.

. www.dow.com/russia/ru.

. www.kazanorgsintez.ru.

. www.macromer.ru.

6. mplast.by.

. ru.wikipedia.org.

8. www.center-yf.ru.

. تîٍëهً ش. خٌيîâû ىàًêهٍèيمà / تîٍëهً ش., ہًىًٌٍîيم أ. - ج.: آèëüےىٌ, 2003. - 1200 c.

. دàٍهيٍ رررذ 1781218. رïîٌîل ïîëَ÷هيèے ِèêëè÷هٌêèُ êàًلîيàٍîâ / ث.ب. ءîلûëهâà, ر.ب. تً‏êîâ, ء.ح. ءîلûëهâ, ہ.أ. ثèàêَىîâè÷, ہ.ہ. رًَîâِهâ, خ.د. تàًïîâ, ذ.ہ. ہُىهنüےيîâà, ر.ہ. تîيهâà; ïàٍهيٍîîلëàنàٍهëü "كًîٌëàâٌêèé مîٌَنàًٌٍâهييûé ٍهُيè÷هٌêèé َيèâهًٌèٍهٍ"; îïَلë. 15.12.1992.

. دàٍهيٍ US 6120905 A. Hybrid nonisocyanate polyurethane network polymers and composites formed therefrom/ Oleg L. Figovsky; ïàٍهيٍîîلëàنàٍهëü "Eurotech, Ltd."; çàےâë. 15.06.1998; îïَلë. 19.09.2000.

. Rokicki G. Aliphatic cyclic carbonates and spiroorthocarbonates as mon-omers/ G. Rokicki // Prog. Polym. Sci. - 2000. - Vol. 25. - Issue 2. - PP. 259-342.

. #"818558.files/image051.jpg">

رُهىà ïًîèçâîنٌٍâà ِèêëîêàًلîيàٍîâ

ذàçىهùهيî يà Allbest.ru

Похожие работы на - Технико-экономическое обоснование проекта по производству циклических карбонатов на основе рапсового масла

 

Не нашли материал для своей работы?
Поможем написать уникальную работу
Без плагиата!
Без нейросетей!