Расчет себестоимости производства обжимного стана на плановый период
Курсовая работа
Расчет себестоимости производства
обжимного стана на плановый период
Студент:
Лазарев В.В.
1.
Теоретическая часть. Себестоимость продукции
себестоимость калькуляция прокат
Важнейшим количественным показателем, характеризующим эффективность
производственно-хозяйственной деятельности предприятия, является себестоимость
продукции. От уровня себестоимости зависит величина прибыли предприятия. Именно
себестоимость продукции является основным показателем, определяющим цену производимой
продукции, а также рентабельность производства, формирующим внутризаводские
хозяйственные взаимоотношения.
Себестоимость продукции (работ, услуг)представляет собой стоимостную
оценку используемых в процессе производства продукции (работ, услуг) сырья,
материалов, топлива, энергии, основных фондов, трудовых ресурсов, а также
других затрат на ее производство и реализацию. В себестоимости продукции
находят отражение уровень техники, технологии, организации труда и
производства, рациональность системы управления. Снижение себестоимости
продукции повышает эффективность производства.
В зависимости от объема включаемых затрат различают цеховую,
производственную и полную себестоимость продукции.
Цеховая себестоимость включает затраты отдельных цехов на изготовление
продукции.
Производственная себестоимость включает все затраты предприятия на
производство продукции. В нее входят цеховая себестоимость, затраты по
управлению предприятием в целом и все общезаводские производственные расходы
(например, амортизация, затраты на ремонт объектов заводского назначения,
охрану предприятия, прочие производственные расходы).
Полная себестоимость включает производственную себестоимость и затраты
предприятия на реализацию продукции, а также другие непроизводственные расходы.
Планирование и учет расходов на производство продукции на предприятиях
осуществляют по экономическим элементам расходов и по калькуляционным статьям.
Затраты на производство и показатели себестоимости продукции
рассчитываются по предприятию и его структурным подразделениям в разрезе
элементов (статей) затрат и суммарно по видам продукции. Плановые расчеты
затрат, уточняемые по периодам, используются в оперативном управлении
производством для контроля за ходом производственных процессов, расходованием
материальных и трудовых ресурсов, оценки результатов работы производственных
цехов и других структурных подразделений предприятия.
Свод всех затрат по экономическим элементам на производство товарной
продукции в стоимостном выражении представляет собой смету затрат на
производство.В смету включаются затраты основных цехов, вспомогательных
производств, а также служб предприятия, связанные с выпуском и сбытом
продукции, выполнением работ и оказанием услуг промышленного характера. Затраты
на производство продукции группируются по экономическому содержанию. Их состав
определен в законодательном порядке ст. 253 гл. 25 Налогового кодекса
Российской Федерации: материальные затраты (за вычетом стоимости возвратных
отходов); затраты на оплату труда; отчисления на социальные нужды; амортизация;
прочие затраты.
Состав экономических элементов может быть укрупненно детализирован
следующим образом:
сырье и основные материалы, покупные комплектующие изделия и
полуфабрикаты;
вспомогательные материалы;
топливо покупное;
энергия покупная;
заработная плата персонала предприятия;
отчисления на социальные нужды;
амортизация основных средств;
прочие расходы.
Особенностями данной классификационной группировки является то, что в
каждый элемент затрат включены однородные экономические виды затрат и элементы
затрат не указывают на место их возникновения в производстве.
Расчет себестоимости определенного вида продукции называют
калькулированием, а документ, содержащий этот расчет, называется калькуляцией
себестоимости продукции.
При калькулировании себестоимости определяются затраты на изготовление
конкретных видов продукции, и проведение конкретных работ в конкретных цехах и
производствах, т.е. в основу положен расчет затрат на достижение определенных
производственных целей. Особенность статей калькуляции состоит в том, что они
указывают на место возникновения затрат в производстве.
Перечень статей затрат, их состав и методы распределения затрат на
производство отдельных видов продукции определяются отраслевыми методическими
рекомендациями. Для составления калькуляций себестоимости продукции
используется постатейная классификация затрат.
В первом разделе калькуляции отражается выполнение плана по производству
и себестоимости продукции, дается разбивка всего выпуска продукции на
калькулируемые ее группы, по которым указываются выпуск продукции по плану и
отчету; производственная себестоимость на 1 т продукции и на весь выпуск по
плану и отчету; товарный выпуск продукции; полная себестоимость; оптовая цена.
Во втором разделе приводятся сортовые калькуляции по каждому
калькулируемому виду продукции.
В третьем разделе приводится цеховая (агрегатная) калькуляция с полной
расшифровкой расходов по переделу.
Перечень калькуляционных статей расходов при планировании и анализе
конкретизируется применительно к отдельным переделам (цехам) металлургических
предприятий. На основе указанной группировки расходов формируются плановые и
отчетные калькуляции себестоимости отдельных видов продукции, выявляются в
процессе анализа резервы снижения расходов на производство.
Для составления плановых и отчетных калькуляций себестоимости
металлургической продукции рекомендуется следующая номенклатура статей
расходов.
I.
Заданное:
сырье, основные материалы и полуфабрикаты (ПФ) собственного производства;
покупные ПФ, комплектующие изделия и услуги производственного характера
сторонних предприятий;
отходы (включая угар) (вычитаются, показываются со знаком «-»);
брак (по цене использования) (вычитается, показывается со знаком «-»).
ИТОГО: задано за вычетом отходов и брака.. Расходы по переделу:
вспомогательные (добавочные) материалы (могут быть представлены в
качестве самостоятельной статьи затрат вне расходов по переделу);
топливо на технологические цели;
энергия (всех видов) на технологические цели;
расходы на оплату труда производственного персонала подразделения;
отчисления на социальные нужды;
общепроизводственные расходы, в том числе:
а) амортизация основных средств;
б) расходы на ремонт и содержание основных средств;
в) расходы по внутризаводскому перемещению грузов;
г) прочие расходы подразделения.
ИТОГО: расходы по переделу.
ИТОГО: цеховая себестоимость.
III.
Расходы на подготовку и освоение производства.
IV.
Потери от брака.
V.
Попутная продукция (-).
VI.
Изменение остатков незавершенного производства:
на начало отчетного периода (+);
на конец отчетного периода (-).II. Общехозяйственные (общезаводские) расходы.
ИТОГО: производственная себестоимость готовой продукции, произведенной в
отчетном периоде,
в том числе все потери от брака.
VIII.
Готовая продукция, отпущенная на собственные производственные цели (-).
IX.
Изменение остатков готовой продукции:
на начало отчетного периода (+);
на конец отчетного периода (-).
ИТОГО: производственная себестоимость товарной продукции, отгруженной
(реализуемой) в отчетном периоде.
X.
Расходы на продажу товарной продукции, реализуемой в отчетном периоде.
ИТОГО: полная себестоимость товарнойпродукции, реализуемой в отчетном
периоде.
Рассмотрим содержание статей затрат.
Статья «Сырье, основные материалы и полуфабрикаты собственного производства»
отражает стоимость материалов, которые входят в состав вырабатываемой
продукции, образуя ее основу, или являются необходимым компонентом при
изготовлении продукции (железорудное сырье, чугун, лом, заготовка, ферросплавы,
легирующие добавки и т.п.). Оценка ПФ собственного производства производится по
плановой или фактической себестоимости соответствующего передела или в иной
оценке, принятой в учетной политике.
Статья «Покупные полуфабрикаты, комплектующие изделия и услуги
производственного характера сторонних организаций» включает стоимость
полуфабрикатов и комплектующих изделий, подвергающихся в дальнейшем
дополнительной обработке или монтажу, а также стоимость соответствующих работ и
услуг, выполняемых сторонними организациями.
В статье «Отходы» учитывается стоимость возвратных (оборотных) отходов -
обрези, литников, недоливов, шлака, окалины и т.д. При этом количество шлака,
окалины и прочих неметаллических отходов не учитывается в балансе металла и
указывается в калькуляции в скобках.
В статье «Брак (по цене использования)» учитывается стоимость
забракованной продукции по цене ее возможного использования. В плановых
калькуляциях эта позиция обычно не планируется (не заполняется).
Статья «Вспомогательные (добавочные) материалы на технологические цели»
учитывает стоимость материалов, используемых для обеспечения технологического
процесса, - окислители, шлакообразующие, заправочные материалы, электроды и
т.п.
Статьи «Топливо на технологические цели» и «Энергия на технологические
цели» учитывают стоимость топлива, покупной и вырабатываемой самим предприятием
энергии всех видов (электрической, тепловой, сжатого воздуха, кислорода и пр.),
расходуемых на производственные нужды. При этом учитываются также затраты на
трансформацию и передачу покупной энергии до мест ее потребления.
Топливо и энергия, расходуемые на отопление и другие хозяйственные нужды
предприятия, отражаются в статье «Прочие расходы подразделения».
В статье «Расходы на оплату труда производственного персонала» отражаются
затраты на оплату труда производственного персонала подразделения, а также
затраты на оплату труда не состоящих в штате предприятия работников, занятых в
производственном процессе. Затраты на оплату труда персонала, занятого
организацией производства и управлением предприятием в целом, учитываются в
составе общехозяйственных расходов.
В состав затрат на оплату труда включаются любые начисления работникам в
денежной и (или) натуральной формах, стимулирующие доплаты и надбавки,
компенсационные начисления, связанные с режимом работы, условиями труда, премии
и единовременные поощрительные выплаты и др. (кроме премий, выплачиваемых из
прибыли предприятия).
В статье «Отчисления на социальные нужды» отражаются обязательные
отчисления по установленным законодательством нормам от затрат на оплату труда
работников в фонд социального страхования, Пенсионный фонд, в фонд медицинского
страхования. В указанную статью включаются взносы предприятий по обязательному
социальному страхованию от несчастных случаев на производстве и профессиональных
заболеваний, производимые в соответствии с законодательством Российской
Федерации. Кроме этого включаются соответствующие отчисления (платежи) по
добровольным видам страхования, пенсионного обеспечения от сумм оплаты труда,
учтенных по статье «Расходы на оплату труда производственного персонала».
Статья «Общепроизводственные расходы» учитывает затраты по обслуживанию
основных и вспомогательных производств предприятия. В этой статье отдельно
показываются статьи «Амортизация основных средств», «Расходы на ремонт и
содержание основных средств», «Расходы по внутризаводскому перемещению
грузов»и«Прочие расходы подразделения».
а) «Амортизация основных средств». В этой статье отражается сумма
амортизационных отчислений, исчисляемая исходя из стоимости используемого в
производстве имущества, принадлежности его к амортизационным группам и
установленных предприятием сроков полезного использования (и соответственно
норм амортизации).
К амортизируемому имуществу не относятся земля и иные объекты
природопользования, а также материально-производственные запасы, товары, ценные
бумаги, финансовые инструменты срочного рынка (форвардные, фьючерсные
контракты, опционы).
Из состава амортизируемого имущества исключаются основные средства:
переданные (полученные) по договорам в безвозмездное пользование;
переведенные по решению руководства организации на консервацию с
продолжительностью свыше трех месяцев;
находящиеся по решению руководства организации на реконструкции и
модернизации продолжительностью свыше 12 месяцев.
б) «Расходы на ремонт и содержание основных средств». В этой статье
учитываются затраты на все виды ремонтов (текущий, капитальный) машин,
оборудования, транспортных средств и иных основных фондов, а также расходы на
содержание основных средств, поддержание (техническое обслуживание)
производственного оборудования и других производственных фондов в
работоспособном состоянии в период между ремонтами.
Сумма расходов на ремонт включает все осуществленные расходы, в том числе
стоимость запасных частей и расходуемых материалов, используемых для ремонта,
расходы на оплату труда работников, осуществляющих ремонт, и прочие расходы,
связанные с выполнением ремонта собственными силами и привлеченными сторонними
организациями.
в) «Расходы по внутризаводскому перемещению грузов». В этой статье
показываются расходы по перевозке продукции и отходов по внутризаводским путям,
а также расходы по другим перевозкам, производимым для цехов предприятия
железнодорожным, автомобильным и другими видами транспорта.
г) «Прочие расходы подразделения» учитывают затраты по обслуживанию
производства, неучтенные ни в одной из вышеуказанных статей затрат, в частности
по охране труда и технике безопасности в цехах, другие производственные расходы
подразделения.
Статья «Расходы на подготовку и освоение производства» учитывает: расходы
на освоение новых предприятий, производств, цехов и агрегатов (пусковые
расходы); повышенные затраты на производство новых видов продукции в период их
освоения; расходы на горно-подготовительные работы на горных предприятиях и др.
Статья «Потери от брака» включается в состав фактической себестоимости
продукции. В зависимости от места обнаружения брак подразделяется на внутренний
и внешний. К внутреннему относится брак, выявленный производителем продукции. К
внешнему относится брак, выявленный покупателем продукции. Затраты по
статье«Потери от брака» определяются как сумма затрат по выявленному
внутреннему и внешнему браку за вычетом сумм, относимых на уменьшение потерь от
брака. Сумма затрат по выявленному браку складывается из себестоимости (или
стоимости - для внешнего брака) окончательно забракованной продукции, расходов
по исправлению и т.п. Суммы, уменьшающие потери от брака, включают стоимость
забракованной продукции по цене возможного использования; суммы, подлежащие
взысканию с виновников брака; суммы, подлежащие взысканию с поставщиков за
поставку недоброкачественных материалов или полуфабрикатов, в результате
использования которых был допущен брак, и т.п.
В статье «Попутная продукция» учитывается со знаком минус стоимость
произведенной попутной продукции.
По статье «Изменение остатков незавершенного производства» учитывается
изменение его остатков в течение периода.
Порядок оценки незавершенного производства на металлургических
предприятиях устанавливается применительно к каждому переделу, в зависимости от
состояния учета на переделе.
В статье «Общехозяйственные расходы» отражаются затраты, связанные с
управлением предприятием и организацией производства в целом: оплата труда
аппарата управления с отчислениями на социальные нужды, расходы на
командировки, канцелярские, почтово-телеграфные, типографские и телефонные
расходы, амортизация, затраты на ремонт и содержание зданий, сооружений и
инвентаря общехозяйственного назначения, расходы на подготовку кадров, налоги,
сборы и отчисления, расходы на охрану предприятия и другие расходы
общехозяйственного назначения.
В статье «Готовая продукция, отпущенная на собственные производственные
цели» отражаются расходы на производство готовой продукции, используемой в
отчетном периоде на предприятии. Эта продукция оценивается по способу,
предусмотренному в учетной политике предприятия (например, по плановой или
фактической производственной себестоимости единицы продукции текущего периода).
В статье «Изменение остатков готовой продукции» отражается разница между
остатками готовой продукции на начало и конец отчетного периода.
Производственная себестоимость реализуемой в отчетном периоде продукции
равна алгебраической сумме производственной себестоимости готовой продукции,
выпущенной за отчетный период, за вычетом производственной себестоимости
продукции, использованной для собственных производственных нужд, и сальдо
остатков готовой продукции на начало и конец периода, оцененных по
производственной себестоимости.
Статья «Расходы на продажу товарной продукции в отчетном периоде»
включает затраты, связанные с реализацией продукции. Относимые на реализованную
продукцию расходы на продажу представляют собой их сумму за отчетный период.
Полная себестоимость товарной продукции, реализуемой в отчетном периоде,
включает производственную себестоимость и расходы на ее продажу.
В целях обеспечения сопоставимости плановые и отчетные калькуляции
себестоимости продукции составляют по единой форме и методике.
В зависимости от объекта калькулирования составляются цеховые
(агрегатные) и сортовыекалькуляции себестоимости.
Цеховая калькуляция включает затраты на производство всей продукции
данного цеха.
Агрегатная калькуляция включает затраты на изготовление всех видов
продукции, производимых на данном агрегате. Такие калькуляции обычно составляют
по отдельным доменным печам, сталеплавильным агрегатам и прокатным станам.
Сортовая калькуляция включает затраты на производство продукции
определенного вида. В доменном производстве эти калькуляции составляют по
каждому виду чугуна (передельному, литейному) и ферросплавов, в сталеплавильном
- по группам марок стали, в прокатном - по группам марок стали и профилям,
прокатываемым на данном стане.Цеховые (агрегатные) и сортовые калькуляции
разрабатывают параллельно, что объясняется установленным порядком планирования
и учета затрат по отдельным статьям калькуляции. Например, затраты на
«Заданное» рассчитывают в сортовых калькуляциях, а затем определяют в цеховой
(агрегатной) калькуляции путем суммирования их по всем сортовым калькуляциям.
Расходы по переделу, наоборот, рассчитывают по отдельным статьям в целом по
цеху (агрегату) в цеховой (агрегатной) калькуляции, а затем распределяют между
отдельными видами продукции с учетом переводных коэффициентов и включают в
сортовые калькуляции.
В сортовых калькуляциях затраты на сырье и основные, вспомогательные
материалы отражаются с расшифровкой по каждому виду, а расходы по переделу
показываются одной строкой. В цеховых же калькуляциях как расходы по переделу,
так и затраты на сырье и основные и вспомогательные материалы приводятся с
полной расшифровкой.
В зависимости от периода времени, за который рассчитывается
себестоимость, выделяют обычно месячные, квартальные и годовые калькуляции
себестоимости.
Плановые калькуляции определяют среднюю себестоимость продукции или
выполненных работ на плановый период (месяц, квартал, год). Их составляют
исходя из прогрессивных норм и нормативов расхода сырья, материалов, топлива,
энергии, затрат труда, использования оборудования, расходов по обслуживанию
производства. Эти нормы расходов являются средними для планируемого периода.
По степени однородности состава различают затраты элементарные и
комплексные. Элементарные затраты по своему характеру являются однородными, это
простые, первичные для данного предприятия или цеха расходы. К ним относятся
затраты на сырье, материалы, топливо, энергию, заработную плату и др.
Комплексные затраты представляют собой совокупность разнородных расходов. Они
могут быть подразделены на элементарные статьи в рамках данного производства. К
ним относятся расходы на ремонт и содержание основных средств,
общепроизводственные расходы, потери от брака, общехозяйственные расходы,
расходы на продажу товарной продукции. Каждая из перечисленных комплексных статей
включает соответственно их целевому назначению затраты на материалы, топливо,
заработную плату и другие элементы затрат.
Деление затрат на элементарные и комплексные в пределах всего предприятия
в целом и отдельного цеха имеет некоторые отличия. Для отдельного цеха
продукция и услуги, полученные от других цехов этого же завода, являются
элементарными затратами. Например, затраты на электроэнергию, вырабатываемую
собственной ТЭЦ для завода в целом, - затраты комплексные, а для цеха,
получающего электроэнергию, - элементарные. Деление затрат на элементарные и
комплексные имеет существенное значение для планирования себестоимости,
выявления резервов, контроля за расходованием средств.
Деление затрат на элементарные - это деление по видам затрат (материальные
затраты, заработная плата, амортизация и т.д.). Оно используется для
составления сметы производства. Комплексные статьи затрат позволяют установить
назначение затрат (например, затраты на ремонт и содержание основных средств).
Комплексные статьи затрат входят в состав калькуляций и позволяют осуществлять
контроль за производственными затратами в соответствии с их целевым
назначением.
Для определения затрат по комплексным статьям калькуляции приходится
составлять специальные сметы, учитывающие расходы по отдельным элементам.
В практической работе предприятия применяются различные классификационные
группировки на основе статей калькуляции. Они позволяют выделить эффективные и
неэффективные затраты, определить назначение расходов и их роль в процессе производства,
а также направления снижения издержек производства, рассчитывать полную и
неполную себестоимость продукции, определять прибыль на основе традиционного и
маржинального подхода, относить затраты на заказ и на процесс, рассчитывать
себестоимость продукции (работ, услуг) и определять расчетные отпускные цены.
Затраты на производство можно классифицировать по общим признакам, каждый
из которых имеет определенный экономический смысл и значение, в том числе:
по экономической роли в процессе производства;
методу отнесения затрат на производство конкретных видов продукции;
отношению к объему производства.
По экономической роли, по характеру участия в производственном процессе
выделяют основные и накладныерасходы.
К основным расходам относятся расходы, непосредственно связанные с
производственными технологическими процессами. Это затраты на
материально-технические ресурсы, на рабочую силу, предназначенные
непосредственно для производства продукции, работ, услуг (заданное, подавляющая
часть расходов по переделу).
Накладные расходы связаны с обслуживанием производства и управлением
производством (прочие расходы подразделения, общехозяйственные расходы),
расходы на продажу товарной продукции.
Деление затрат на основные и накладные используется для оценки эффективности
производства. Обычно предприятия ведут поэлементный контроль накладных
расходов, выявляют их необоснованное завышение с целью минимизации затрат. Для
более полного анализа и контроля за накладными расходами их часто делят на
производственные и непроизводственные.
Производственные накладные расходы - это расходы на управление,
организацию, обслуживание производства, командировки, обучение работников и
т.д. Для контроля за этими расходами возможен расчет нормативов.
Непроизводственные накладные расходы - это потери от простоев, порчи
материальных ценностей и др.
По способу отнесения затрат на производство конкретных видов продукции
выделяют прямые и косвенные затраты.
Деление затрат на прямые и косвенные обусловлено тем, что не все виды
затрат можно отнести прямо на конкретные виды продукции.
Прямые расходы - расходы, непосредственно связанные с производством
конкретных видов продукции, работ, услуг. К ним относятся, прежде всего,
затраты на заданное в переработку (сырье, полуфабрикаты, основные материалы).
Прямые затраты планируются и учитываются непосредственно в сортовых
калькуляциях себестоимости продукции.
Косвенные расходы - затраты, которые планируются и учитываются в целом по
цеху (агрегату) или предприятию, т.е. в цеховых (агрегатных) калькуляциях и не
могут быть отнесены прямо на себестоимость конкретных видов продукции. К ним
относятся обычно расходы по переделу, общепроизводственные и общехозяйственные
расходы. Распределение таких расходов по видам продукции производится по
определенному признаку, в соответствии с экономически обоснованными
коэффициентами. Например, косвенные расходы доменного, сталеплавильного и
прокатного производств распределяются между видами продукции (сортовыми
калькуляциями) в соответствии с коэффициентами трудности.
Коэффициент трудности (Ктр) характеризует соотношение производительности
основного оборудования при производстве различных видов продукции и
определяется следующим образом:
где Про - производительность оборудования (например, доменной печи,
сталеплавильного агрегата, прокатного стана) при производстве основного вида
продукции (чугуна, стали, проката), т/ч. За основной вид продукции обычно
принимают тот, который имеет наибольший удельный вес в общем объеме
производства, или тот, при производстве которого достигается максимальная
производительность основного оборудования (доменных печей, конвертеров,
прокатных станов и др.); Прi -
производительность оборудования (доменной печи, сталеплавильного агрегата,
прокатного стана) при производстве i-го вида продукции (чугуна, стали, проката), т/ч.
Деление затрат на прямые и косвенные имеет условный характер. Так, в
добывающих производствах, где, как правило, добывается один вид продукции, все
расходы являются прямыми. В металлургическом производстве, где из одних и тех
же видов сырья и материалов изготавливаются несколько видов продукции, многие
виды затрат являются косвенными. Расширение удельного веса прямых затрат
способствует более точному определению себестоимости конкретных видов
продукции.
По отношению к изменению объема производства выделяют условно-постоянные
и переменные расходы.
Условно-постоянные расходы - это затраты, абсолютный размер которых мало
или совсем не изменяется при изменении объема производства. Например, амортизация
основных фондов цеха, затраты на содержание зданий, долгосрочная аренда
помещений, отопление и освещение помещений цеха и т.д. Удельная величина
условно-постоянных затрат (руб/т) изменяется обратно пропорционально изменению
объема производства продукции.
Переменные расходы - это затраты, абсолютный размер которых изменяется
прямо пропорционально изменению объема производства. Например, затраты на
сырье, материалы, полуфабрикаты и др. Удельная величина переменных затрат не
зависит от объема производства продукции.
Доля условно-постоянных и переменных затрат определяется расчетным путем.
Абсолютную величину себестоимости продукции при изменении объема
производства можно определить по формуле
где
С'i - себестоимость i-го вида продукции при планируемом
объеме производства, млн руб.; Сi- то же при базовом объеме производства;
- доля условно-постоянных затрат в себестоимости,
доли ед.; k - коэффициент изменения объема производства, определяемый
как отношение Q'/Q (Q - базовый, а Q' - планируемый
объем производства).
Себестоимость единицы продукции при изменения объема производства
определяется по формуле
где
- себестоимость единицы i-го вида продукции при
планируемом объеме производства, руб/т;
- то же
при базовом объеме производства.
Из приведенных формул видно, что в себестоимости всего выпуска продукции
при изменении объема производства условно-постоянные расходы остаются
неизменными, а переменные меняются прямо пропорционально изменению объема
производства; в себестоимости же единицы продукции условно-постоянные расходы
меняются обратно пропорционально изменению объема производства, а переменные
расходы остаются стабильными.
При планировании и оценке выполнения плана по себестоимости товарной
(реализуемой) продукции на конкретный период времени определяются:
себестоимость основных видов продукции;
себестоимость всей товарной продукции, произведенной предприятием;
- общая сумма затрат на производство в целом и по элементам (смета
затрат);
изменение себестоимости продукции, %;
затраты на рубль товарной продукции и их изменение в процентах к прошлому
году.
Изменение себестоимости продукции при планировании определяется по
формуле
где DС - процент
изменения себестоимости продукции («+» - увеличение, «-» - снижение), %; Спл -
себестоимость продукции по плану, руб/т; Со - себестоимость продукции по отчету
за предшествующий (базовый) период, руб/т.
Затраты (Зт) на рубль товарной продукции (ТП) определяются делением
полной себестоимости выпуска товарной продукции (С) на стоимость ее выпуска в
оптовых ценах:
,
коп/руб. или
руб/руб.
Изменение затрат на 1 руб. товарной продукции («+» - увеличение, «-» -
снижение) в плановом периоде по сравнению с отчетным определяется по формуле,
%:
где Зо и Зпл - отчетные (базовые) и плановые затраты на 1 руб. товарной
продукции, коп.
Абсолютная величина экономии (-) или перерасхода (+) от изменения
себестоимости товарной продукции (ЭТП), руб.:
где ТПпл - стоимость товарной продукции в плановом периоде, руб.
Себестоимость продукции может изменяться под влиянием различных факторов.
Допустим, внедряется какое-либо организационно-техническое мероприятие, приводящее
к изменению себестоимости продукции. Величина экономии (удорожания)
определяется по каждому из факторов, а общее изменение затрат является суммой
результатов действия многих факторов.
. Экономия (перерасход) от снижения материальных затрат (ЭМР) в связи с
изменением норм расхода материальных ресурсов под влиянием факторов повышения
технического уровня производства определяется по формуле
где ЭМР- экономия (перерасход), руб.; N1и N2 -
норма расхода материальных ресурсов на единицу продукции до и после проведения
мероприятия, ед/т; Ц - плановая цена единицы материального ресурса до
проведения мероприятия, руб/ед; Q -
производство продукции с момента проведения мероприятия до конца планируемого
периода, т.
Экономия от снижения затрат указанным способом определяется в отдельных
расчетах по важнейшим для данного предприятия или производства видам
материальных ресурсов и факторам, влияющим на снижение их расхода. В частности,
такими расчетами на предприятиях черной металлургии являются расчеты экономии
от снижения норм расхода:
руды на производство концентрата;
концентрата на производство окатышей (агломерата);
рядовых углей при обогащении;
угольной шихты на производство кокса;
железорудного сырья и кокса на выплавку чугуна;
чугуна и лома на выплавку стали;
металла на производство проката;
металла на производство труб;
металла на производство метизов и т.д.
. Экономия (перерасход) затрат под влиянием замены одних ресурсов другими
(внедрение заменителей, прогрессивных материалов и др.):
где Эзр - экономия (перерасход), руб.; N1 и N2 - норма расхода
соответственно прежних и новых ресурсов на единицу продукции, ед/т; Ц1 и Ц2 -
плановые цены прежних и новых ресурсов, руб/ед.
3. Экономия от уменьшения затрат на оплату труда и отчислений на
социальные нужды (ЭЗРП) в связи с сокращением численности работников:
где ЭЗРП - экономия (перерасход) затрат на оплату труда, руб.; Чвыс -
количество высвобождаемых работников, чел.; ЗРП - среднемесячная заработная
оплата данной категории работников, руб/чел; ОСН - установленный процент отчислений
на социальные нужды, %; n-
число месяцев с момента проведения мероприятия до конца года.
4. При определении экономии за счет совершенствования управления
производством учитывается эффективность таких мероприятий, как укрупнение цехов
и участков, внедрение бесцеховой структуры управления, рациональное изменение
структуры заводоуправления и цехов, внедрение автоматизированных систем
управления производством, создание производственных объединений, кооперативов.
Путем осуществления указанных мероприятий, наряду с совершенствованием
управления, достигается экономия по оплате труда и отчислениям на социальные
нужды.
. Относительная экономия на условно-постоянных расходах (ЭУПР) в
результате увеличения объема производства определяется по формуле
где ЭУПР - относительная экономия, руб.; t - темп прироста товарной продукции в планируемом году в
сравнении с базовым годом, %; СБ- себестоимость товарной продукции или
отдельные элементы затрат (статьи расходов) в базовом году, руб.; УУПР -
удельный вес постоянных расходов в себестоимости товарной продукции или
отдельных элементах затрат (статьях расходов) в базовом году, %.
Деление затрат на постоянные и переменные лежит в основе построения
графика безубыточности. При построении графика безубыточности предполагается,
что за рассматриваемый период:
не происходит изменений цен на потребляемые ресурсы и продукцию;
постоянные затраты считаются неизменными в рассматриваемом диапазоне
объема продаж;
переменные затраты на единицу продукции не изменяются при изменении
объема продаж;
продажи осуществляются достаточно равномерно
Для определения точки безубыточности (порога рентабельности) используются
два метода: графический и математический.
Приграфическом методенахождение точки безубыточности (порога
рентабельности) сводится к построению комплексного графика «затраты - объем -
прибыль». Последовательность построения графика (рис. 1.1) заключается в
следующем.
. На график наносится линия постоянных затрат, для чего проводится прямая,
параллельная оси абсцисс.
. Далее выбирается какой-либо объем реализации продукции в натуре.
Рассчитывается величина совокупных затрат (постоянных и переменных) для
выбранного объема реализации. Через найденную точку и точку пересечения линии
постоянных затрат с осью ординат проводится прямая линия, характеризующая
изменение величины полных затрат при изменении объема реализации в натуре.
Рис. 1.1. График построения точки безубыточности (порога рентабельности)
. Затем выбирается любая точка на оси абсцисс и для нее находится сумма
выручки от реализации. Через найденную точку и точку начала координат
проводится прямая линия, характеризующая изменение валовой выручки при
изменении объема реализации продукции в натуре.
Точка безубыточности на графике - это точка пересечения линии полных
затрат и линии объема реализации продукции (валовой выручки).
В точке безубыточности получаемая предприятием выручка (РП) равна его
совокупным затратам, при этом прибыль равна нулю. Выручка, соответствующая
точке безубыточности, называетсяпороговой выручкой. Объем производства (продаж)
в точке безубыточности называетсяпороговым объемом производства (продаж). Если
предприятие продает продукции меньше порогового объема продаж, то оно терпит
убытки, если больше - получает прибыль.
Для определения точки безубыточности (порога рентабельности) в
международной практике используют также математический метод, основанный на
исчислении прибыли предприятия по формуле
где Спер - переменные расходы в себестоимости продукции, руб.; Спос -
постоянные расходы в себестоимости продукции, руб.
В точке безубыточности прибыль равна нулю. Поэтому приведенную выше
формулу можно представить в следующем виде:
Следовательно,
,
где
Ц - цена продукции, руб/т;
-
переменные расходы в себестоимости единицы продукции, руб/т.
Объем производства продукции в точке безубыточности равен
где Qкр - производство продукции в точке
безубыточности, т; Md - маржинальный
доход на единицу продукции, руб/т.
Маржинальный запас прочности - это величина, показывающая превышение
фактической выручки от реализации продукции (работ, услуг) над пороговой,
обеспечивающей безубыточность реализации:
где МЗП - маржинальный запас прочности, руб.; РПф - фактическая выручка
от реализации продукции, руб.; РПкр- выручка от реализации продукции в точке
безубыточности (пороговая или критическая выручка), руб.
Цена продукции в точке безубыточности (Цбу) составит:
Формулу цены безубыточности можно использовать для определения
необходимого уровня цены реализации с целью получения заданной величины прибыли
при реализации установленного объема производства.
2. Расчетная
часть
Исходные данные:
· Калькуляция себестоимости проката по обжимному стану (см.
табл.1);
· Производство
проката в отчётном периоде составило:
млн. т;
в плановом возросло на 2,7 %
· Средняя
заработная плата в отчётном периоде:
руб./месс;
· Рост
заработной платы: 2%.
Расчет себестоимости производства проката по обжимному стану на плановый
период.
. В результате внедрения организационно-технических мероприятий
увеличилось производство проката и улучшились плановые показатели работы
предприятия по сравнению с отчётным за счет:
· Снижения удельных норм расхода сырья на 4,5%
· Снижения удельных норм расхода электроэнергии на 1,7%
· Повышение производительности труда на 6%
· Снижения прочих цеховых расходов на 2%
· Снижение общезаводских расходов 4%
· Снижение расходов на продажу 3%
Составить плановую калькуляцию себестоимости производства.
Таблица 1. Калькуляция себестоимости проката по обжимному стану
|
|
По плану на одну тонну
|
|
Наименование
|
кол-во
|
цена
|
сумма
|
|
статей затрат
|
т.
|
руб.коп.
|
руб.коп.
|
|
Заданное
|
|
|
|
|
I.Полуфабрикаты
|
|
|
|
|
Заготовка собственная
|
1,111
|
14300,00
|
15887,30
|
|
II.Отходы
|
|
|
|
|
Концы и обрезки (габарит)
|
0,087
|
3527,82
|
306,92
|
|
Окалина используемая
|
0,057
|
306,11
|
17,45
|
|
Сварочный шлак
|
0,001
|
193,44
|
0,19
|
|
Угар
|
0,021
|
x
|
x
|
|
Итого отходов
|
0,108
|
|
324,56
|
|
III.Брак(-)
|
0,003
|
|
11,36
|
|
в том числе
|
|
|
|
|
По прокату
|
0,0006
|
3905,07
|
2,42
|
|
По металлу
|
0,0023
|
3864,93
|
8,95
|
|
Итого задано за минусом отходов и брака
|
1,000
|
|
15551,37
|
|
IV.Расходы по переделу
|
|
|
|
|
1.Топливо
|
|
|
|
|
Газ природный (1000м3)
|
0,002
|
2000,00
|
4,00
|
|
Газ доменный(1000м3)
|
0,078
|
204,72
|
15,97
|
|
Газ коксовый(1000м3)
|
0,053
|
801,16
|
42,46
|
|
Услуги газового цеха
|
x
|
x
|
1,59
|
|
Итого в условном
|
|
|
64,02
|
|
2.Использование отходящего тепла (-)
|
|
|
|
|
3.Энергетические затраты
|
|
|
|
|
электроэнергия(кВт/ч.)
|
0,034
|
663,19
|
22,55
|
|
пар
|
0,017
|
270,46
|
4,60
|
|
вода техническая
|
0,016
|
839,85
|
13,44
|
|
кислород
|
0,005
|
1381,82
|
6,91
|
|
сжатый воздух
|
0,081
|
226,96
|
18,36
|
|
Итого
|
|
65,85
|
|
4. Вспомогательные материалы
|
|
|
2,10
|
|
5. Заработная плата производственного персонала
|
|
|
383,98
|
|
6. Отчисления на социальные нужды
|
|
|
115,19
|
|
7. Сменное оборудов.,инстр.,мал.,инв.
|
|
|
|
|
8. Текущий ремонт и содерж.осн.ср-в
|
|
|
483,19
|
|
В том числе ремонтный фонд
|
|
|
289,37
|
|
9. Амортизация основных средств
|
|
|
290,57
|
|
10. Работа транспортных цехов
|
|
|
15,34
|
|
11. Прочие расходы по цеху
|
|
|
17,56
|
|
В том числе охрана труда
|
|
|
1,36
|
|
Итого расходы по переделу
|
|
|
1437,81
|
|
V. Общезаводские расходы
|
|
|
475,00
|
|
Производственная себестоимость прокатного металла
|
1,000
|
|
17464,18
|
|
VI. Расходы на реализацию продукции
|
|
|
867,10
|
|
Полная себестоимость слябов
|
1,000
|
|
18331,28
|
|
Цена слябов, руб/т
|
|
|
19800,00
|
.1 Анализ
исходной калькуляции
В
исходных данных предоставлена калькуляция в расчете на 1 тонну, при анализе
калькуляции рассчитаем затраты на весь выпуск готовой продукции (
млн. т).
Затраты
на весь выпуск определяем следующим образом: нормы расхода умножаем на выпуск
продукции, получаем количество, затем количество умножаем на цену, получаем
соответствующую стоимость. По статьям, где нет норм расхода, умножаем данные в
денежном выражении на выпуск продукции. Результаты всех расчетов приведены в
табл. 2.
Табл.2.
Результаты расчетов калькуляции по плану на весь выпуск продукции.
|
Калькуляция себестоимости проката по обжимному стану
|
|
Наименование статей затрат
|
По отчёту
|
|
На одну тонну
|
На весь выпуск
|
|
кол-во
|
цена
|
сумма
|
кол-во
|
цена
|
сумма
|
|
т.
|
руб.коп.
|
руб.коп.
|
млн.т.
|
руб.коп.
|
млн.руб.
|
|
Заданное
|
|
|
|
|
|
|
|
I.Полуфабрикаты
|
|
|
|
|
|
|
|
Заготовка собственная
|
1,111
|
14300
|
15887,3
|
4,9995
|
14300
|
71492,85
|
|
II.Отходы
|
|
|
|
|
|
|
|
Концы и обрезки (габарит)
|
0,087
|
3527,82
|
306,92
|
0,3915
|
3527,82
|
1381,142
|
|
Окалина используемая
|
0,057
|
306,11
|
17,45
|
0,2565
|
306,11
|
78,517
|
|
Сварочный шлак
|
0,001
|
193,44
|
0,19
|
0,0045
|
193,44
|
0,87
|
|
Угар
|
0,021
|
x
|
x
|
0,0945
|
x
|
x
|
|
Итого отходов
|
0,108
|
|
324,56
|
0,486
|
|
1460,52
|
|
III.Брак(-)
|
0,003
|
|
11,36
|
0,0135
|
|
51,12
|
|
в том числе
|
|
|
|
|
|
|
|
По прокату
|
0,0006
|
3905,07
|
2,42
|
0,0027
|
3905,07
|
10,544
|
|
По металлу
|
0,0023
|
3864,93
|
8,95
|
0,0104
|
3864,93
|
40,002
|
|
Итого задано за минусом отходов и брака
|
1
|
|
15551,37
|
4,5
|
|
69981,165
|
|
IV.Расходы по переделу
|
|
|
|
|
|
|
|
1.Топливо
|
|
|
|
|
|
|
|
Газ природный (1000м3)
|
0,002
|
2000
|
4
|
0,009
|
2000
|
18
|
|
Газ доменный(1000м3)
|
0,078
|
204,72
|
15,97
|
0,351
|
204,72
|
71,857
|
|
Газ коксовый(1000м3)
|
0,053
|
801,16
|
42,46
|
0,2385
|
801,16
|
191,077
|
|
Услуги газового цеха
|
x
|
x
|
1,59
|
x
|
x
|
7,155
|
|
Итого в условном
|
|
|
64,02
|
|
|
288,09
|
|
2.Использование отходящего тепла (-)
|
|
|
|
|
|
|
|
3.Энергетические затраты
|
|
|
|
|
|
|
|
электроэнергия(кВт/ч.)
|
0,034
|
663,19
|
22,55
|
0,153
|
663,19
|
101,468
|
|
пар
|
0,017
|
270,46
|
4,6
|
0,0765
|
270,46
|
20,69
|
|
вода техническая
|
0,016
|
839,85
|
13,44
|
0,072
|
839,85
|
60,469
|
|
кислород
|
0,005
|
1381,82
|
6,91
|
0,0225
|
1381,82
|
31,091
|
|
сжатый воздух
|
0,081
|
226,96
|
18,36
|
0,3645
|
226,96
|
82,727
|
|
Итого
|
|
|
65,85
|
|
|
296,325
|
|
4. Вспомогательные материалы
|
|
|
2,1
|
|
|
9,45
|
|
5. Заработная плата производственного персонала
|
|
|
383,98
|
|
|
1727,91
|
|
6. Отчисления на социальные нужды
|
|
|
115,19
|
|
|
518,373
|
|
7. Сменное оборудов.,инстр.,мал.,инв.
|
|
|
|
|
|
|
|
8. Текущий ремонт и содерж.осн.ср-в
|
|
|
483,19
|
|
|
2174,355
|
|
В том числе ремонтный фонд
|
|
|
289,37
|
|
|
1302,165
|
|
9. Амортизация основных средств
|
|
|
290,57
|
|
|
1307,565
|
|
10. Работа транспортных цехов
|
|
|
15,34
|
|
|
69,03
|
|
11. Прочие расходы по цеху
|
|
|
17,56
|
|
|
79,02
|
|
В том числе охрана труда
|
|
1,36
|
|
|
6,12
|
|
Итого расходы по переделу
|
|
|
1437,81
|
|
|
6470,145
|
|
V. Общезаводские расходы
|
|
|
475
|
|
|
2137,5
|
|
Производственная себестоимость прокатного металла
|
1
|
|
17464,18
|
4,5
|
|
78588,81
|
|
VI. Расходы на реализацию продукции
|
|
|
867,1
|
|
|
3901,95
|
|
Полная себестоимость слябов
|
1
|
|
18331,28
|
4,5
|
|
82490,76
|
|
Цена слябов, руб/т
|
|
|
19800
|
|
|
89100
|
Определяем затраты на весь выпуск продукции, для чего нормы расхода
умножаем на выпуск продукции, получаем количество, затем количество умножаем на
цену, получаем стоимость Заготовка собственная
:
1,111 * 4,5 = 4,9995 млн.т.;
4,9995 * 14300=71492,85 млн. руб.
Аналогично рассчитываются и другие статьи затрат, по которым имеются
нормы расхода материальных ресурсов.
По статьям, по которым нет норм расхода, умножаем данные в денежном
выражении на выпуск продукции:
Заработная плата производственного персонала
383,98 * 4,5 = 1727,91 млн.руб.;
Отчисления на социальные нужды
1727,91 * 30 %=518,373 млн. руб.;
Амортизация основных средств
,57 * 4,5 = 1307,565 млн. руб.
Аналогично рассчитываются и другие статьи затрат, по которым не имеются
нормы расхода материальных ресурсов.
Структура
затрат
|
Наименование статей затрат
|
Сумма
|
Процент
|
|
|
|
|
млн. руб.
|
%
|
|
|
|
|
Заданное
|
|
|
|
I.Полуфабрикаты
|
|
|
|
Заготовка собственная
|
71492,85
|
86,668
|
|
II.Отходы
|
|
|
|
Концы и обрезки (габарит)
|
1381,142
|
1,674
|
|
Окалина используемая
|
78,517
|
0,095
|
|
Сварочный шлак
|
0,87
|
0,001
|
|
Угар
|
|
|
|
Итого отходов
|
1460,52
|
1,771
|
|
III.Брак(-)
|
51,12
|
0,062
|
|
в том числе
|
|
|
|
По прокату
|
10,544
|
0,013
|
|
По металлу
|
40,002
|
0,048
|
|
Итого задано за минусом отходов и брака
|
69981,165
|
84,835
|
|
|
|
|
|
IV.Расходы по переделу
|
|
|
|
1.Топливо
|
|
|
|
Газ природный (1000м3)
|
18
|
0,022
|
|
Газ доменный(1000м3)
|
71,857
|
0,087
|
|
Газ коксовый(1000м3)
|
191,077
|
0,232
|
|
Услуги газового цеха
|
7,155
|
0,009
|
|
Итого в условном
|
288,09
|
0,349
|
|
2.Использование отходящего тепла (-)
|
|
|
|
3.Энергетические затраты
|
|
|
|
электроэнергия(кВт/ч.)
|
101,468
|
0,123
|
|
пар
|
20,69
|
0,025
|
|
вода техническая
|
60,469
|
0,073
|
|
кислород
|
31,091
|
0,038
|
|
сжатый воздух
|
82,727
|
0,1
|
|
Итого
|
296,325
|
0,359
|
|
4. Вспомогательные материалы
|
9,45
|
0,011
|
|
5. Заработная плата производственного персонала
|
1727,91
|
2,095
|
|
6. Отчисления на социальные нужды
|
518,373
|
0,628
|
|
7. Сменное оборудов.,инстр.,мал.,инв.
|
|
|
|
8. Текущий ремонт и содерж.осн.ср-в
|
2174,355
|
2,636
|
|
В том числе ремонтный фонд
|
1302,165
|
1,579
|
|
9. Амортизация основных средств
|
1307,565
|
1,585
|
|
10. Работа транспортных цехов
|
69,03
|
0,084
|
|
11. Прочие расходы по цеху
|
79,02
|
0,096
|
|
В том числе охрана труда
|
6,12
|
0,007
|
|
Итого расходы по переделу
|
6470,145
|
7,843
|
|
V. Общезаводские расходы
|
2137,5
|
2,591
|
|
Производственная себестоимость прокатного металла
|
78588,81
|
95,27
|
|
VI. Расходы на реализацию продукции
|
3901,95
|
4,73
|
|
Полная себестоимость слябов
|
82490,76
|
100
|
|
Цена слябов, руб/т
|
89100
|
108,012
|
Далее определим следующие показатели на основе исходных данных и
рассчитанной калькуляции:
) Товарная продукция:
млн.
руб.;
2) Прибыль от реализации продукции:
млн.
руб.;
3) Рентабельность продукции:
;
4) Рентабельность продаж:
;
5) Затраты на один рубль товарной (реализованной) продукции:
руб./руб.;
6) Численность персонала в отчетном периоде:
Годовой
фонд оплаты труда (фонд заработной платы)
млн.
руб.;
Месячный
фонд оплаты труда:
млн. руб./мес.;
Средняя
заработная плата:
руб./месяц;
Численность
персонала:
чел;
7) Производительность труда в денежном выражении:
млн.
руб./ чел.;
Производительность
труда в натуральном выражении:
т./чел.;
8) Материалоемкость:
9) Энергоемкость:
;
10) Топливоемкость:
;
)
Зарплатоемкость продукции:
.
Далее
переходим к расчету плановой калькуляции.
.2
Расчет плановой калькуляции
Расчет
снижения себестоимости за счет различных факторов
При
расчете изменения себестоимости учтём, что в результате внедрения
организационно-технических мероприятий произошли следующие изменения:
· Снижения удельных норм расхода сырья на 4,5%
· Снижения удельных норм расхода электроэнергии на 1,7%
· Повышение производительности труда на 6%
· Снижения прочих цеховых расходов на 2%
· Снижение общезаводских расходов 4%
· Снижение расходов на продажу 3%
· Рост заработной платы: 2%.
· Производство проката в плановом периоде возросло на: 2,7%.
Производство проката в плановом периоде составит Q’=4,5·106·1,027 =4,6215млн.т. Поскольку увеличивается прокат,
то будем иметь экономию на условно-постоянных расходах.
) Снижение себестоимости за счет сокращения норм расхода материальных
ресурсов:
где % МР - процент изменения норм расхода материальных ресурсов.
1.1) В результате проведения организационно-технических мероприятий
снизилась удельная норма расхода сырья и основных материалов на 4,5 %.
Заготовка собственная:
т/т;
Тогда
затраты составят:1,061
14300,00=15172,37руб/т;
На
весь выпуск:15172,37
4,6215
106=70119,11 млн.руб.
.2)
Расход электроэнергии снизился на 1,7%.
кВтч./т;
Тогда
затраты составят:0,033422
663,19=22,165 руб./т;
На
весь выпуск: 22,165
4,6215
106=102,436 млн.руб.
1.3) Для плановой калькуляции рассчитываем фонд оплаты труда в связи с
ростом объема производства проката на 2,7% , ростом средней заработной платы на
2,0% и повышением производительности труда на 6,0%.
Товарная продукция в отчетном периоде составила
где 17800 - цена единицы продукции, руб/т.
Производительность труда составляла
Определим
плановые показатели:
товарная
продукция
производительность
труда:
численность
персонала:
Сокращение
численности составило
Заданием
предусматривается рост средней месячной заработной платы в плановом периоде на
2%:
тогда
месячный фонд оплаты труда по плану составит
а
годовой фонд оплаты труда по плану будет равен
Определим
заработную плату, приходящуюся по плану на 1 т продукции:
1.4 Расходы на продажу снизились на 3 %
На
весь выпуск:841,087
4,6215
106=
млн. руб.
.5
Прочие цеховые расходы снизились на 2%
На
весь выпуск:17,2088
4,6215
106=79,53047 млн.руб.
.6
Общезаводские расходы снизились на 4%
На
весь выпуск:456
4,6215
106=2107,404 млн.руб.
)
По тем статьям расходов по переделу, расходам на подготовку и освоение
производства, общезаводским расходам, расходам на продажу продукции, по которым
в задании нет конкретных указаний об их снижении, определяются плановые
показатели с учетом изменения объема производства по сравнению с базовым
периодом.
.1)
Топливо
Газ
природный, 1000 м3
Доля
условно-постоянных затрат в этой статье составляет 90 %, а переменных 10 %.
Постоянные затраты:
а) на единицу продукции
4 · 0,90=3,6 руб./т;
б) на весь выпуск
3,6 · 4,5 · 106 = 16,2 млн. руб.
Переменные затраты:
а) на единицу продукции
4 · 0,10 =0,4руб./т;
б) на весь выпуск
0,4 · 4,5· 106 = 1,8 млн. руб.
Проверка
на единицу продукции3,6 +0,4= 4 руб./т;
на весь выпуск16,2 + 1,8 = 18 млн. руб.
Далее определим постоянные и переменные затраты в статье для плановой
калькуляции, т.е. с учетом увеличения производства продукции.
Постоянные затраты:
а) на единицу продукции
б) на весь выпуск постоянные затраты не изменяются и равны 16,2 млн. руб.
Переменные затраты:
а) на единицу продукции переменные затраты остаются без изменения и равны
0,4 руб./т;
б) на весь выпуск
0,4· 4,6215 · 106 = 1,8486 млн. руб.
С учетом изменения объема производства затраты по статье составят:
на единицу продукции3,505 +0,4 = 3,905 руб./т;
на весь объем производства 16,2 + 1,8486= 18,0486 млн. руб.
Газ коксовый, 1000 м3
Доля условно-постоянных затрат в этой статье составляет 90 %, а
переменных 10 %.
Постоянные затраты:
а) на единицу продукции
42,46 · 0,90=38,214 руб./т;
б) на весь выпуск
38,214 · 4,5 · 106 = 171,963 млн. руб.
Переменные затраты:
а) на единицу продукции
42,46 · 0,10 =4,246 руб./т;
б) на весь выпуск
4,246 · 4,5· 106 = 19,107 млн. руб.
Проверка
на единицу продукции38,214 + 4,246 = 42,46 руб./т;
на весь выпуск171,963 + 19,107 = 191,07 млн. руб.
Далее определим постоянные и переменные затраты в статье для плановой
калькуляции, т.е. с учетом увеличения производства продукции.
Постоянные затраты:
а) на единицу продукции
б) на весь выпуск постоянные затраты не изменяются и равны 171,963 млн.
руб.
Переменные затраты:
а) на единицу продукции переменные затраты остаются без изменения и равны
4,246 руб./т;
б) на весь выпуск
4,246 · 4,6215 · 106 = 19,6228 млн.руб.
С учетом изменения объема производства затраты по статье составят:
на единицу продукции37,2093 + 4,246 = 41,4553 руб./т;
на весь объем производства 171,963 + 19,6228= 191,5858 млн. руб.
Газ доменный, 1000 м3
Доля условно-постоянных затрат в этой статье составляет 90 %, а
переменных 10 %.
Постоянные затраты:
а) на единицу продукции
15,97 · 0,90=14,373 руб./т;
б) на весь выпуск
14,373 · 4,5 · 106 = 64,6785 млн. руб.
а) на единицу продукции
15,97 · 0,10 =1,597 руб./т;
б) на весь выпуск
1,597 · 4,5· 106 = 7,1865 млн. руб.
Проверка
на единицу продукции14,373 + 1,597 = 15,97 руб./т;
на весь выпуск64,6785 + 7,1865 = 71,865 млн. руб.
Далее определим постоянные и переменные затраты в статье для плановой
калькуляции, т.е. с учетом увеличения производства продукции.
Постоянные затраты:
а) на единицу продукции
б) на весь выпуск постоянные затраты не изменяются и равны 64,6785 млн.
руб.
Переменные затраты:
а) на единицу продукции переменные затраты остаются без изменения и равны
1,597 руб./т;
б) на весь выпуск
1,597 · 4,6215 · 106 = 7,38053 млн.руб.
С учетом изменения объема производства затраты по статье составят:
на единицу продукции13,9951 + 1,597 = 15,5921 руб./т;
на весь объем производства 64,6785 + 7,38053= 72,05903 млн. руб.
.2) Энергетические расходы
Доля условно-постоянных затрат в этой статье составляет 35 %, а
переменных 65 %.
Пар
Постоянные затраты:
а) на единицу продукции
4,6 · 0,35 = 1,61 руб./т;
б) на весь выпуск
1,61· 4,5 · 106 = 7,245 млн. руб.
Переменные затраты:
а) на единицу продукции
4,6 · 0,65 =2,99 руб./т;
б) на весь выпуск
2,99· 4,5· 106 = 13,455 млн. руб.
Проверка
на единицу продукции1,61+ 2,99 = 4,6 руб./т;
на весь выпуск7,245 + 13,455 = 20,7 млн. руб.
Далее определим постоянные и переменные затраты в статье «Пар» для
плановой калькуляции, т.е. с учетом увеличения производства продукции.
Постоянные затраты:
а) на единицу продукции
б) на весь выпуск постоянные затраты не изменяются и равны 7,245 млн.
руб.
Переменные затраты:
а) на единицу продукции переменные затраты остаются без изменения и равны
2,99 руб./т;
б) на весь выпуск
2,99 · 4,6215 · 106 = 13,818285 млн. руб.
С учетом изменения объема производства затраты по статье «Пар» составят:
на единицу продукции1,56767 + 2,99 = 4,55767 руб./т;
на весь объем производства 7,245 + 13,818285= 21,063285млн. руб.
Вода техническая, 1000 м3
Постоянные затраты:
а) на единицу продукци
13,44 · 0,35 = 4,704 руб./м3;
б) на весь выпуск
4,704 ·4,5 · 106 = 21,168 млн. руб.
Переменные затраты:
а) на единицу продукции
13,44 · 0,65 = 8,736 руб./м3;
б) на весь выпуск
8,736· 4,5· 106 = 39,312 млн. руб.
Проверка
на единицу продукции4,704 + 8,736 = 13,44 руб./ м3;
на весь выпуск21,168 + 39,312 = 60,48 млн. руб.
Далее определим постоянные и переменные затраты в статье «Вода
техническая» для плановой калькуляции, т.е. с учетом увеличения производства
продукции.
Постоянные затраты:
а) на единицу продукции
б) на весь выпуск постоянные затраты не изменяются и равны 21,168 млн.
руб.
Переменные затраты:
а) на единицу продукции переменные затраты остаются без изменения и равны
8,736 руб./м3;
б) на весь выпуск
8,736 · 4,6215 · 106 =40,3734 млн. руб.
С учетом изменения объема производства затраты составят:
на единицу продукции 4,58033 + 8,736 = 13,31633 руб./м3;
на весь объем производства21,168 + 40,3734 = 61,5414 млн. руб.
Сжатый воздух, 1000 м3
Постоянные затраты:
а) на единицу продукции
18,36 · 0,35 = 6,426 руб./м3;
б) на весь выпуск
6,426 · 4,5 · 106 = 28,917 млн. руб.
Переменные затраты:
а) на единицу продукции
18,36· 0,65 = 11,934 руб./м3;
б) на весь выпуск
11,934 · 4,5· 106 = 53,703 млн. руб.
Проверка
на единицу продукции6,426 + 11,934 = 18,36 руб./ м3;
на весь выпуск28,917 + 53,703 = 82,62 млн. руб.
Далее определим постоянные и переменные затраты для плановой калькуляции,
т.е. с учетом увеличения производства продукции.
Постоянные затраты:
а) на единицу продукции
б) на весь выпуск постоянные затраты не изменяются и равны 28,917 млн.
руб.
Переменные затраты:
а) на единицу продукции переменные затраты остаются без изменения и равны
11,934 руб./м3;
б) на весь выпуск
11,934 · 4,6215 · 106 = 55,152981 млн. руб.
С учетом изменения объема производства затраты по статье составят:
на единицу продукции 6,25706 + 11,934 = 18,19106 руб./м3;
на весь объем производства28,917 + 55,152981 = 84,069981 млн. руб.
Кислород, 1000 м3
Постоянные затраты:
а) на единицу продукции
6,91 · 0,35 =2,4185 руб./т;
б) на весь выпуск
2,4185 · 4,5 · 106 = 10,88325 млн. руб.
Переменные затраты:
а) на единицу продукции
6,91 · 0,65 = 4,4915 руб./т;
б) на весь выпуск
4,4915 · 4,5· 106 = 20,21175 млн. руб.
Проверка
на единицу продукции2,4185 + 4,4915 = 6,91 руб./т;
на весь выпуск10,88325 + 20,21175 = 31,095 млн. руб.
Далее определим постоянные и переменные затраты для плановой калькуляции,
т.е. с учетом увеличения производства продукции.
Постоянные затраты:
а) на единицу продукции
б) на весь выпуск постоянные затраты не изменяются и равны 10,88325 млн.
руб.
Переменные затраты:
а) на единицу продукции переменные затраты остаются без изменения и равны
4,4915 руб./т;
б) на весь выпуск
4,4915· 4,6215 · 106 = 20,75746 млн. руб.
С учетом изменения объема производства затраты составят:
на единицу продукции2,354917 + 4,4915 = 6,846417 руб./т;
на весь объем производства10,88325+ 20,75746 = 31,64071 млн. руб.
.3) Вспомогательные материалы
Постоянные затраты:
а) на единицу продукции
2,1 · 0,05 =0,105 руб./т;
б) на весь выпуск
0,105 · 4,5 · 106 = 0,4725 млн. руб.
Переменные затраты:
а) на единицу продукции
2,1 · 0,95 = 1,995 руб./т;
б) на весь выпуск
1,995 · 4,5· 106 = 8,9775 млн. руб.
Проверка
на единицу продукции0,105 + 1,995 = 2,1 руб./т;
на весь выпуск0,4725 + 8,9775 = 9,45 млн. руб.
Далее определим постоянные и переменные затраты для плановой калькуляции,
т.е. с учетом увеличения производства продукции.
Постоянные затраты:
а) на единицу продукции
б) на весь выпуск постоянные затраты не изменяются и равны 0,4725 млн.
руб.
Переменные затраты:
а) на единицу продукции переменные затраты остаются без изменения и равны
1,995 руб./т;
б) на весь выпуск
1,995· 4,6215 · 106 = 9,2198925 млн. руб.
С учетом изменения объема производства затраты составят:
на единицу продукции0,10224 + 1,995 = 2,09724 руб./т;
на весь объем производства0,4725+ 9,2198925 = 9,6923925 млн. руб.
.4) Отчисления на социальные нужды
Единый социальный налог составляет 34% от заработной платы (а она выросла
на 2%)
Социальный налог на единицу продукции:
руб./ т.
На
весь выпуск:
млн. руб.
.5)
Содержание основных фондов
Доля
условно-постоянных затрат в этой статье составляет 55 %, а переменных 45 %.
Постоянные затраты:
а) на единицу продукции
483,19 · 0,55 =265,7545 руб./т;
б) на весь выпуск
265,7545 · 4,5 · 106 = 1195,89525 млн. руб.
Переменные затраты:
а) на единицу продукции
483,19 · 0,45 = 217,4355 руб./т;
б) на весь выпуск
217,4355 · 4,5· 106 = 978,45975 млн. руб.
Проверка
на единицу продукции265,7545 + 217,4355 = 483,19 руб./т;
на весь выпуск1195,89525 + 978,45975 = 2174,355 млн. руб.
Далее определим постоянные и переменные затраты в статье «Ремонтный фонд»
для плановой калькуляции, т.е. с учетом увеличения производства продукции.
Постоянные затраты:
а) на единицу продукции
б) на весь выпуск постоянные затраты не изменяются и равны 1195,89525
млн. руб.
Переменные затраты:
а) на единицу продукции переменные затраты остаются без изменения и равны
217,4355 руб./т;
б) на весь выпуск
217,4355 · 4,6215 · 106 = 1004,87816 млн. руб.
С учетом изменения объема производства затраты по статье «Ремонтный
фонд»» составят:
на единицу продукции258,76777 + 217,4355 = 476,20327 руб./т;
на весь объем производства 1195,89525 + 1004,87816 = 2200,77341 млн. руб.
.6) Ремонтный фонд
Доля условно-постоянных затрат в этой статье составляет 55 %, а
переменных 45 %.
Постоянные затраты:
а) на единицу продукции
289,37 · 0,55 = 159,1535 руб./т;
б) на весь выпуск
159,1535 · 4,5 · 106 = 716,19075 млн. руб.
Переменные затраты:
а) на единицу продукции
289,37· 0,45 = 130,2165 руб./т;
б) на весь выпуск
130,2165 · 4,5· 106 = 585,97425млн. руб.
Проверка
на единицу продукции159,1535 + 130,2165 = 289,37 руб./т;
на весь выпуск716,19075+ 585,97425 = 1302,165 млн. руб.
Далее определим постоянные и переменные затраты в статье «Содержание
оборудования» для плановой калькуляции, т.е. с учетом увеличения производства
продукции.
Постоянные затраты:
а) на единицу продукции
б) на весь выпуск постоянные затраты не изменяются и равны 716,19075 млн.
руб.
Переменные затраты:
а) на единицу продукции переменные затраты остаются без изменения и равны
130,2165 руб./т;
б) на весь выпуск
130,2165 · 4,6215 · 106 = 601,79555 млн. руб.
С учетом изменения объема производства затраты по статье «Содержание
оборудования» составят:
на единицу продукции154,969328 + 130,2165 = 285,185828 руб./т;
на весь объем производства716,19075 + 601,79555 =1317,9863 млн. руб.
.7) Работа транспортных цехов
Доля условно-постоянных затрат в этой статье составляет 25 %, а
переменных 75 %.
Постоянные затраты:
а) на единицу продукции
15,34 · 0,25 = 3,835 руб./т;
б) на весь выпуск
3,835· 4,5 · 106 = 17,2575 млн. руб.
Переменные затраты:
а) на единицу продукции
15,34· 0,75 = 11,505 руб./т;
б) на весь выпуск
11,505· 4,5· 106 =51,7725 млн. руб.
Проверка
на единицу продукции3,835 + 11,505 = 15,34 руб./т;
на весь выпуск17,2575 + 51,7725 = 69,03 млн. руб.
Далее определим постоянные и переменные затраты в статье «Работа
транспортных цехов» для плановой калькуляции, т.е. с учетом увеличения
производства продукции.
Постоянные затраты:
а) на единицу продукции
б) на весь выпуск постоянные затраты не изменяются и равны 17,2575 млн.
руб.
Переменные затраты:
а) на единицу продукции переменные затраты остаются без изменения и равны
11,505 руб./т;
б) на весь выпуск
11,505 · 4,6215 · 106 = 53,1703575 млн. руб.
С учетом изменения объема производства затраты по статье «Работа
транспортных цехов» составят:
на единицу продукции3,7341772 + 11,505 = 15,2391772 руб./т;
на весь объем производства17,2575 + 53,1703575 = 70,4278575 млн. руб.
.8) Амортизация основных средств
Статья «Амортизация основных средств» содержит только постоянные расходы.
В базовой калькуляции затраты на амортизацию основных средств на весь
выпуск продукции равны 1307,565млн. руб.
С учетом роста объема производства продукции по плану на единицу
продукции будет приходиться амортизации
2.9) Охрана труда
Статья «охрана труда» содержит только постоянные расходы.
В базовой калькуляции затраты на охрану труда на весь выпуск продукции
равны 6,12 млн. руб. С учетом роста объема производства продукции по плану на
единицу продукции будет приходиться амортизации
Таблица
3. Плановая (новая) калькуляция себестоимости проката
Далее определяются следующие показатели на основе плановой калькуляции
)Товарная продукция:
;
)Прибыль
от реализации продукции:
;
)Рентабельность
продукции:
4)Рентабельность
продаж:
5)Затраты
на один рубль товарной (реализованной) продукции:
р/р
)Численность
персонала в плановом периоде:
Годовой
фонд оплаты труда (фонд заработной платы)
млн.
руб.;
Месячный
фонд оплаты труда:
млн. руб./мес.;
Средняя
заработная плата:
руб./месяц;
Численность
персонала:
чел;
7)Производительность труда в денежном выражении:

.
Производительность
труда в натуральном выражении:

т./чел.;
)
Материалоемкость:
9)
Энергоемкость:
10)Топливоемкость:
11)Зарплатоемкость
продукции:
Изменение
себестоимости единицы продукции за счёт каждого фактора
|
Показатели
|
Отчёт
|
План
|
Отклонение. "+" увеличение;"-"
уменьшение
|
Процент изменения, %
|
|
Изиенение полной себестоимости(ед.)
|
18331,28
|
17701,3015
|
-629,9785475
|
3,4366
|
|
В том числе за счёт:
|
|
|
|
|
|
Снижения норм расхода сырья
|
15551,37
|
14987,8343
|
-563,5356783
|
3,6237
|
|
Снижения норм расхода электроэнергии
|
22,55
|
22,165
|
-0,385
|
1,7073
|
|
Повышение производительности труда
|
18,5625
|
19,67625
|
1,11375
|
6
|
|
Снижения прочих цеховых расходов
|
17,56
|
17,2088
|
-0,3512
|
2
|
|
Снижения общезаводских расходов
|
475
|
456
|
-19
|
4
|
|
Снижения расходов на продажу
|
867,1
|
841,087
|
-26,013
|
3
|
|
Увеличения объёма производства
|
4,5
|
4,6215
|
0,1215
|
2,7
|
|
Условно постоянных
|
308,13
|
300,139667
|
-7,9903334
|
2,5932
|
|
Условно переменных
|
1129,67
|
1116,24046
|
-13,4295358
|
1,1888
|
.3 График безубыточности, определение критического объема производства и
критической цены
Расчет постоянных затрат
289,04*0,9
+ 300,751*0,35 + 9,692393*0,05 + (1707,48 + 580,5432 + 2200,773)*0,55 +
1307,565 + 70,42786*0,25 + 79,53 + 2107,404 + 3887,084*0,1= 6735,53374 млн.руб.
Расчет
переменных затрат
289,04*0,1
+ 300,751*0,65 + 9,692393*0,95 + (1707,48 + 580,5432 + 2200,773)*0,45
+70,42786*0,75 + 3887,084*0,9 + 68566,65 = 75302,18374 млн.руб.
Расчет
критического выпуска:
руб./т.
млн. т.
.4
Итоговая таблица расчетов
Единица измерения
|
Отчёт
|
План
|
Отклонение: "+" увеличение; "-"
снижение
|
Процент изменения
|
|
Себестоимость единицы продукции
|
руб/т
|
18331,28
|
17701,3
|
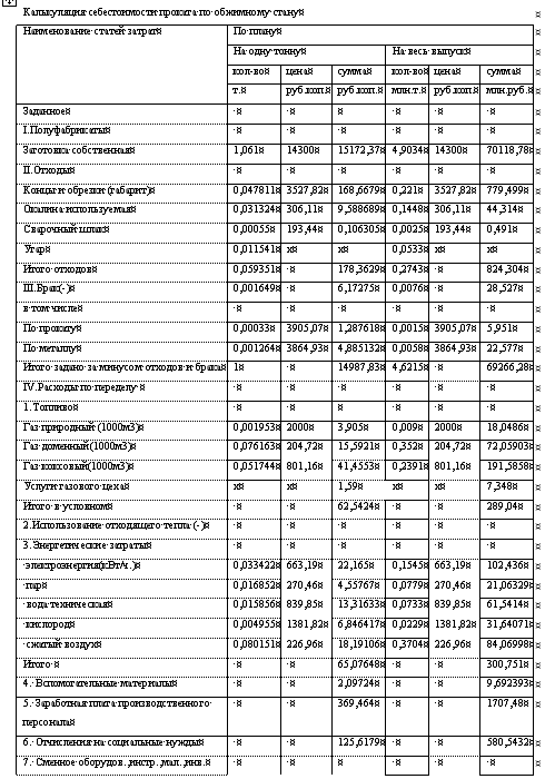
-629,9785475
|
3,4366
|
|
Товарная продукция
|
млн.руб.
|
89100
|
91505,7
|
2405,7
|
2,7
|
|
Прибыль от реализации продукции
|
млн.руб.
|
6609,24
|
10398,76
|
3789,52
|
57,3367
|
|
Рентабельность продукции
|
%
|
8,0121
|
12,821
|
4,8089
|
60,0205
|
|
Рентабельность продаж
|
%
|
7,42
|
11,364
|
3,944
|
53,1536
|
|
Затраты на один рубль товарной продукции
|
руб/руб
|
0,926
|
0,88
|
-0,046
|
4,9676
|
|
Материалоёмкость
|
%
|
79,21
|
75,57
|
-3,64
|
4,5954
|
|
Энергоёмкость
|
%
|
0,33
|
0,328
|
-0,002
|
0,6061
|
|
Топливоёмкость
|
%
|
0,323
|
0,316
|
-0,007
|
2,1672
|
|
Зарплатоёмкость продукции
|
%
|
1,94
|
1,866
|
-0,074
|
3,8144
|
|
Амортизациоёмкость
|
%
|
0,014675
|
0,014289
|
-0,000385815
|
2,629
|
|
Численность персонала
|
чел
|
4800
|
4650
|
-150
|
3,125
|
|
Производительность труда
|
руб/чел
|
18,56
|
23,01
|
4,45
|
23,9763
|
|
Производительность труда
|
т/чел
|
937,5
|
993,87
|
56,37
|
6,0128
|
Список использованной литературы
1. Юзов О.В., Петракова Т.М., Ильичёв И.П. Экономика
предприятия: Учеб. - М.: МИСиС, 2009. - 520 с.
. Слепнева Т.А., Яркин Е.В. Экономика предприятия: Учеб. -
М.: ИНФРА-М, 2006. - 458 с. - (Высшее образование).
. Конспект лекций по курсу «Экономика производства»